|
|
(21), (22) Заявка: 2007111141/15, 26.08.2005
(24) Дата начала отсчета срока действия патента:
26.08.2005
(30) Конвенционный приоритет:
27.08.2004 JP 2004-247785 15.07.2005 JP 2005-207799
(43) Дата публикации заявки: 10.10.2008
(46) Опубликовано: 27.10.2009
(56) Список документов, цитированных в отчете о поиске:
MULLER M. et al. Selection of ventricular-like cardiomyocytes from ES cells in vitro. FASEB J. 2000 Dec; 14(15):2540-2548. SWIFT L.M., SARVAZYAN N. Localization of dichlorofluorescin in cardiac myocytes: implications for assessment of oxidative stress. Am. J. Physiol. Heart Circ. Physiol. 2000 Mar; 278(3):H982-990. MATHUR A. et al. Evaluation offluorescent dyes for the detection of mitochondrial membrane potential changes in cultured cardiomyocytes. Cardiovasc. Res. 2000 Apr; 46(1):126-138. FUKUDA К. et al. Regeneration of cardiomyocytes from bone marrow: Use of mesenchymal stem cell for cardiovascular tissue engineering. Cytotechnology. 2003 Mar; 41(2-3):165-175. ELSE P.L., HULBERT A.J. Mammals: an allometric study of metabolism at tissue and mitochondrial level. Am. J. Physiol. 1985 Apr; 248 (4 Pt 2):R415-421. NIR S.G. et al. Human embryonic stem cells for cardiovascular repair. Cardiovasc. Res. 2003 May 1; 58(2):313-323. WO 02064152 A1, 22.08.2002.
(85) Дата перевода заявки PCT на национальную фазу:
27.03.2007
(86) Заявка PCT:
JP 2005/015553 20050826
(87) Публикация PCT:
WO 2006/022377 20060302
Адрес для переписки:
129090, Москва, ул. Б.Спасская, 25, стр.3, ООО “Юридическая фирма Городисский и Партнеры”, пат.пов. Е.Е.Назиной
|
(72) Автор(ы):
ХАТТОРИ Фумиюки (JP), ФУКУДА Кейити (JP)
(73) Патентообладатель(и):
АСУБИО ФАРМА КО., ЛТД. (JP), КЕЙО ЮНИВЕРСИТИ (JP)
|
(54) СПОСОБ ОТБОРА КАРДИОМИОЦИТОВ С ИСПОЛЬЗОВАНИЕМ ВНУТРИКЛЕТОЧНЫХ МИТОХОНДРИЙ В КАЧЕСТВЕ ИНДИКАТОРА
(57) Реферат:
Изобретение относится к медицине, в частности к способу отбора кардиомиоцитов из содержащей кардиомиоциты смеси клеток без генетического изменения кардиомиоцитов, к способу отбора кардиомиоцитов из содержащей кардиомиоциты смеси клеток без генетического изменения кардиомиоцитов, к способу увеличения содержания кардиомиоцитов в содержащей кардиомиоциты смеси клеток без генетического изменения, к способу получения кардиомиоцитов без генетического изменения кардиомиоцитов, к способу оценки содержания кардиомиоцитов в содержащей кардиомиоциты смеси клеток. Вышеописанные способы позволяют эффективно отобрать кардиомиоциты из содержащей кардиомиоциты смеси клеток без их генетического изменения. 4 н. и 16 з.п. ф-лы, 16 ил.
ОБЛАСТЬ ТЕХНИКИ
Настоящее изобретение относится к способу отбора кардиомиоцитов из клеточной популяции, полученной из целого сердца или из популяции стволовых клеток, и способу их применения.
ПРЕДШЕСТВУЮЩИЙ УРОВЕНЬ ТЕХНИКИ
Поскольку кардиомиоцит теряет способность к пролиферации во взрослом организме, то при лечении тяжелых заболеваниях сердца, таких как инфаркт миокарда или кардиомиопатия, необходимо проводить трансплантацию сердца. Однако в настоящее время, поскольку доступно недостаточное количество донорских сердец, существует настоятельная необходимость в разработке способа лечения, отличного от трансплантации сердца. С другой стороны, ожидается, что привлечение продуцируемых ex vivo кардиомиоцитов окажется наиболее перспективным способом оказания помощи пациентам, которым необходима трансплантация сердца.
Разработаны различные способы получения кардиомиоцитов, такие как способ с использованием дифференцированных эмбриональных стволовых клеток, способ стимуляции и дифференцировки стволовых клеток (соматических стволовых клеток), выделенных из живого организма, которые, как полагают, находятся в организме, и так далее. Однако в данной области проблема состоит в том, что характерной особенностью стволовой клетки является то, что в процессе дифференцировки/стимуляции из стволовой клетки в качестве побочного продукта всегда развиваются клетки, отличные от кардиомиоцитов, и что недифференцированная стволовая клетка всегда сохраняется даже после процесса дифференцировки/стимуляции. Таким образом, в данной области полагают, что дифференцированную/индуцированную клеточную популяцию саму по себе нельзя применять в способе лечения. Таким образом, необходимо отбирать кардиомиоциты из дифференцированной/стимулированной клеточной популяции в целях успешного достижения трансплантации в сердце человека.
К настоящему времени в данной области не было сообщений об эффективном способе очистки кардиомиоцитов, кроме способа очистки кардиомиоцитов предварительным встраиванием маркерного гена в геном стволовой клетки (FASEB J., 2000, 14: 2540-2548). Однако поскольку изменение генома включает существенные этические проблемы и приводит к непредсказуемому серьезному риску, включая изменения скорости злокачественных изменений, то изменение генома для использования на практике у человека остается под вопросом.
В данной области известно, что потребность миокарда в кислороде относительно более высокая, чем потребность основных тканей, отличных от сердечной, и что содержание митохондрий в миокарде также относительно более высокое, чем содержание в других тканях (Am. J. Physiol., 1985, 248: R415-421). Кроме того, в данной области хорошо известно, что кардиомиоцит в значительной степени теряет способность к митозу после дифференцировки и созревания клетки. Однако ранее не было известно, что специалисты в данной области предпринимали попытку отбирать кардиомиоциты, используя описанные выше свойства кардиомиоцитов. Кроме того, не было сообщений о непосредственном сравнении трансмембранного потенциала митохондрий кардиомиоцита с трансмембранным потенциалом митохондрий других типов клеток, о сосредоточении внимания на трансмембранном потенциале митохондрий и об отборе кардиомиоцитов с использованием трансмембранного потенциала митохондрий в качестве индикатора кардиомиоцитов.
[непатентный документ 1] FASEB J., 2000, 14: 2540-2548
[непатентный документ 2] Am. J. Physiol., 1985, 248: R415 421
ОПИСАНИЕ ИЗОБРЕТЕНИЯ
ЗАДАЧА, РЕШАЕМАЯ ИЗОБРЕТЕНИЕМ
Авторы настоящего изобретения стремились решить задачу разработки способа отбора кардиомиоцитов без генетических изменений из смеси клеток, полученной из целого сердца, и из клеточной смеси, полученной из клеток, способных дифференцироваться в кардиомиоциты с использованием различных типов свойств кардиомиоцитов, напрямую не связанных с отбором кардиомиоцитов.
СПОСОБЫ РЕШЕНИЯ ЗАДАЧИ
Авторы настоящего изобретения успешно решили описанную выше задачу, основываясь на открытиях, что кардиомиоцит содержит относительно более высокое количество митохондрий, чем любой другой тип клеток, и что митохондрии кардиомиоцита обладают относительно более высоким трансмембранным потенциалом, чем любой другой тип клеток. Основываясь на этих открытиях, авторы настоящего изобретения разработали новый способ отбора кардиомиоцитов без генетического изменения кардиомиоцитов, который включает следующие стадии: стадию мечения клеточной смеси, содержащей кардиомиоциты, с использованием специфичного для митохондрий реагента для мечения и стадию измерения относительного содержания митохондрий в клетках и/или трансмембранного потенциала митохондрий.
Конкретно, в первом варианте осуществления настоящее изобретение относится к способу отбора кардиомиоцитов из содержащей кардиомиоциты смеси клеток без генетического изменения кардиомиоцитов, на основе относительного содержания митохондрий в клетках и/или относительного трансмембранного потенциала митохондрий клеток.
Таким образом, в первом варианте осуществления настоящее изобретение относится к
способу отбора кардиомиоцитов из содержащей кардиомиоциты смеси клеток без генетического изменения кардиомиоцитов на основе относительного содержания митохондрий в клетках;
способу отбора кардиомиоцитов из содержащей кардиомиоциты смеси клеток без генетического изменения кардиомиоцитов на основе также относительного трансмембранного потенциала митохондрий клеток; или
способу отбора кардиомиоцитов из содержащей кардиомиоциты смеси клеток без генетического изменения кардиомиоцитов на основе относительного содержания митохондрий в клетках и трансмембранного потенциала.
Этот вариант осуществления способа по настоящему изобретению характеризуется стадиями мечения содержащей кардиомиоциты смеси клеток митохондриальным индикатором и измерения относительного содержания митохондрий в клетках и/или относительного трансмембранного потенциала митохондрий клеток.
В контексте этого изобретения содержащая кардиомиоциты смесь клеток может представлять собой смесь клеток, полученную из целого сердца, или клеточную смесь, полученную из клеток, способных дифференцироваться в кардиомиоцит.
Кроме того, клетка, обладающая способностью дифференцироваться в кардиомиоцит, может быть выбрана из группы, состоящей из стволовой клетки, клетки-предшественника и яйцеклетки.
В этом варианте осуществления после стадии мечения содержащей кардиомиоциты смеси клеток митохондриальным индикатором и перед стадией измерения относительного содержания митохондрий в клетках и/или относительного трансмембранного потенциала митохондрий клеток способ по настоящему изобретению может дополнительно включать стадию культивирования меченых клеток в отсутствии митохондриального индикатора.
Более того, митохондриальный индикатор, используемый в этом варианте осуществления настоящего изобретения, может быть выбран из группы, состоящей из A1372, D273, D288, D308, D378, D426, D632, D633, D22421, D23806, L6868, M7502, M7510, M7511, M7512, M7513, M7514, M22422, M22423, M22425, M22426, R302, R634, R648, R14060, R22420, T639, T668, T669 и T3168. В этом варианте осуществления M7512, T3168, T668 или R302 являются предпочтительными в качестве митохондриального индикатора.
Во втором варианте осуществления настоящее изобретение относится к способу увеличения содержания кардиомиоцитов в содержащей кардиомиоциты смеси клеток без генетического изменения кардиомиоцитов, где указанный способ включает следующие стадии:
(1) стадию мечения содержащей кардиомиоциты смеси клеток митохондриальным индикатором; и
(2) стадию отбора кардиомиоцитов на основе относительного содержания митохондрий в клетках и/или относительного трансмембранного потенциала митохондрий клетки.
В контексте второго варианта осуществления настоящего изобретения содержащая кардиомиоциты смесь клеток может представлять собой смесь клеток, полученную из целого сердца, или смесь клеток, полученную из клеток обладающих способностью дифференцироваться в кардиомиоциты.
Кроме того, клетка, обладающая способностью дифференцироваться в кардиомиоцит, может быть выбрана из группы, состоящей из стволовой клетки, клетки-предшественника и яйцеклетки.
Во втором варианте осуществления после стадии (1) и перед стадией (2) способ по настоящему изобретению может дополнительно включать стадию культивирования меченых клеток в отсутствии митохондриального индикатора.
Более того, митохондриальный индикатор, используемый в этом варианте осуществления настоящего изобретения, может быть выбран из группы, состоящей из A1372, D273, D288, D308, D378, D426, D632, D633, D22421, D23806, L6868, M7502, M7510, M7511, M7512, M7513, M7514, M22422, M22423, M22425, M22426, R302, R634, R648, R14060, R22420, T639, T668, T669 и T3168. В этом варианте осуществления M7512, T3168, T668 или R302 являются предпочтительными в качестве митохондриального индикатора.
В третьем варианте осуществления настоящее изобретение относится к способу получения кардиомиоцитов без генетического изменения кардиомиоцитов, где указанный способ включает следующие стадии:
(1) стадию дифференцировки и стимуляции образования кардиомиоцитов из клетки, обладающей способностью дифференцироваться в кардиомиоцит с получением содержащей кардиомиоциты смеси клеток;
(2) стадию мечения содержащей кардиомиоциты смеси клеток митохондриальным индикатором; и
(3) стадию отбора кардиомиоцитов на основе относительного содержания митохондрий в клетках и/или относительного трансмембранного потенциала митохондрий клеток.
В контексте третьего варианта осуществления настоящего изобретения клетка, обладающая способностью дифференцироваться в кардиомиоцит, может быть выбрана из группы, состоящей из стволовой клетки, клетки-предшественника и яйцеклетки.
Кроме того, после стадии (2) и перед стадией (3) способ по настоящему изобретению может дополнительно включать стадию культивирования меченых клеток в отсутствии митохондриального индикатора.
Более того, митохондриальный индикатор, используемый в этом варианте осуществления настоящего изобретения, может быть выбран из группы, состоящей из A1372, D273, D288, D308, D378, D426, D632, D633, D22421, D23806, L6868, M7502, M7510, M7511, M7512, M7513, M7514, M22422, M22423, M22425, M22426, R302, R634, R648, R14060, R22420, T639, T668, T669 и T3168. В этом варианте осуществления настоящего изобретения M7512, T3168, T668 или R302 являются предпочтительными в качестве митохондриального индикатора.
В четвертом варианте осуществления настоящее изобретение относится к способу оценки содержания кардиомиоцитов в содержащей кардиомиоциты смеси клеток, где указанный способ включает следующие стадии:
(1) стадию мечения содержащей кардиомиоциты смеси клеток митохондриальным индикатором; и
(2) стадию измерения соотношения кардиомиоцитов и некардиомиоцитов на основе относительного содержания митохондрий в клетках и/или относительного трансмембранного потенциала митохондрий клеток.
В контексте четвертого варианта осуществления содержащая кардиомиоциты смесь клеток может представлять собой смесь дифференцированных клеток, которая получена из смеси клеток, полученной из целого сердца, или из клеток, обладающих способностью дифференцироваться в кардиомиоциты.
Кроме того, клетка, обладающая способностью дифференцироваться в кардиомиоцит, может быть выбрана из группы, состоящей из стволовой клетки, клетки-предшественника и яйцеклетки.
Более того, митохондриальный индикатор, используемый в этом варианте осуществления настоящего изобретения, может быть выбран из группы, состоящей из A1372, D273, D288, D308, D378, D426, D632, D633, D22421, D23806, L6868, M7502, M7510, M7511, M7512, M7513, M7514, M22422, M22423, M22425, M22426, R302, R634, R648, R14060, R22420, T639, T668, T669 и T3168. В этом варианте осуществления M7512, T3168, T668 или R302 являются предпочтительными в качестве митохондриального индикатора.
Как указано выше, в одном варианте осуществления настоящее изобретение относится к способу отбора кардиомиоцитов из содержащей кардиомиоциты смеси клеток без генетического изменения кардиомиоцитов на основе относительного содержания митохондрий в клетках и/или относительного трансмембранного потенциала митохондрий клеток.
Относительное содержание митохондрий в клетках и/или относительный трансмембранный потенциал митохондрий клеток можно измерять мечением содержащей кардиомиоциты смеси клеток митохондриальным индикатором.
Как используется здесь, термин “содержащая кардиомиоциты смесь клеток” означает смесь клеток любых типов, состоящую из кардиомиоцитов и других типов клеток. Например, “содержащая кардиомиоциты смесь клеток” включает, но не ограничивается ими, смесь клеток, полученную из целого сердца, или смесь клеток, полученную из клеток, обладающих способностью дифференцироваться в кардиомиоцит. Как используется здесь, термин “смесь клеток, полученная из целого сердца” означает смесь клеток, состоящую из кардиомиоцитов, эндотелиальных клеток, клеток стромы, гладкомышечных клеток и т.д., которая получена ферментативной обработкой гомогенной или гетерогенной сердечной ткани (сердца) с использованием различных ферментов. Кроме того, как используется здесь, термин “смесь клеток, полученная из клетки, обладающей способностью дифференцироваться в кардиомиоцит,” означает смесь клеток, состоящую из кардиомиоцитов, некардиомиоцитов, недифференцированных клеток, нейрональных клеток и эпителиальных клеток, которую получают культивированием клеток, обладающих способностью дифференцироваться в кардиомиоциты (например, стволовых клеток, таких как эмбриональные стволовые клетки и соматические стволовые клетки, клетки-предшественники и яйцеклетки, такие как оплодотворенные яйцеклетки и клоны соматических клеток), в условиях стимуляции дифференцировки клеток из клеток, обладающих способностью дифференцироваться в кардиомиоциты.
Содержание митохондрий в клетках и трансмембранный потенциал митохондрий могут быть количественно определены с помощью мечения внутриклеточных митохондрий митохондриальным индикатором. Однако абсолютное значение для полученного посредством митохондриального индикатора сигнала, который отражает содержание митохондрий и трансмембранный потенциал митохондрий, варьирует в зависимости от стадии созревания кардиомиоцита, подвергающегося анализу, и условий воздействия метки, таких как тип метки и время воздействия метки. Таким образом, важным признаком настоящего изобретения является не абсолютное значение полученного с помощью митохондриального индикатора сигнала, а соотношение между количеством полученного посредством митохондриального индикатора сигнала для кардиомиоцитов и сигнала для некардиомиоцитов. В соответствии с настоящим изобретением можно отбирать клетки, проявляющие относительно более высокую интенсивность флуоресценции, такие как кардиомиоциты. Во-первых, на основе предварительного эксперимента с использованием образца содержащей кардиомиоциты смеси клеток, которая по существу может использоваться в соответствии с настоящим изобретением, определение желательной популяции кардиомиоцитов (т.е. соотношения между содержанием митохондрий и/или степенью трансмембранного потенциала митохондрий кардиомиоцита) проводят должным образом в соответствии с целями этого изобретения. Конкретно, в предварительном эксперименте на основе значений содержания митохондрий и/или степени трансмембранного потенциала митохондрий, используемых в качестве индикаторов, величину полученного посредством митохондриального индикатора сигнала клеток, предназначенных для отбора, классифицируют на несколько групп. Клетки, для которых показано относительно более высокое содержание внутриклеточных митохондрий, и клетки, для которых показан относительно более высокий трансмембранный потенциал митохондрий, должны быть отобраны на основе значений содержания митохондрий и/или степени трансмембранного потенциала митохондрий, используемых в качестве индикаторов.
В соответствии с настоящим изобретением термин “митохондриальный индикатор” означает, но не ограничивается этим, вещество, такое как вещество, которое может специфично метить митохондрии в живой клетке и может отображать содержание митохондрий, вещество, которое может специфично метить митохондрии в живой клетке и может отображать трансмембранный потенциал митохондрий, или вещество, которое может специфично метить митохондрии в живой клетке и может отображать как содержание митохондрий, так и трансмембранный потенциал митохондрий. Например, “митохондриальный индикатор” включает, но не ограничивается ими, (1) вещество, обладающее свойством вызывать флуоресцентное излучение и обладающее способностью связывать структурные компоненты митохондрий (например, белок, липид, цепь сахара, нуклеиновую кислоту или их метаболит и т.д.); (2) вещество, обладающее свойством вызывать флуоресцентное излучение и встраиваться в митохондрии под действием трансмембранного потенциала митохондрий; (3) вещество, которое превращено в форму вещества, обладающего свойством вызывать флуоресцентное излучение под действием структурных компонентов митохондрий; или (4) вещество, которое теряет способность диффундировать из митохондрий наружу под действием структурных компонентов митохондрий.
В соответствии с настоящим изобретением в качестве иллюстративного митохондриального индикатора может использоваться митохондриальный индикатор, такой как, но не ограничиваясь ими, A1372, D273, D288, D308, D378, D426, D632, D633, D22421, D23806, L6868, M7502, M7510, M7511, M7512, M7513, M7514, M22422, M22423, M22425, M22426, R302, R634, R648, R14060, R22420, S7563, T639, T668, T669 или T3168 (номера продуктов для соединений: все доступны в Molecular Probes); более предпочтительно M7514, M7510, M7511, M7512, M7513, M22425, M22426, T668, R302 или T3168; наиболее предпочтительно T668, R302, M7514 или T3168. Химические структуры описанных выше митохондриальных индикаторов, используемых в соответствии с настоящим изобретением, представлены ниже:
[Chem 1]
Структура A1372
Молекулярная формула: C26H38BrN3
Молекулярная масса: 472,51
Номер CAS: 75168-11-5
Название: Акридиний, 3,6-бис(диметиламино)-10-нонил-, бромид

[Chem 2]
Структура D273
Молекулярная формула: C29H37IN2O2
Молекулярная масса: 572,53
Номер CAS: 53213-82-4
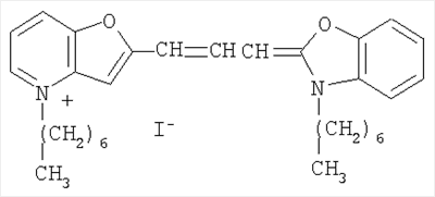
Название: бензоксазолий, 3-гексил-2-(3-(3-гексил-2(3H)-бензоксазолиден)-1-пропенил)-, иодид

[Chem 3]
Структура D288
Молекулярная формула: C16H19IN2
Молекулярная масса: 366,24
Номер CAS: 959-81-9
Название: пиридиний, 4-(2-(4-(диметиламино)фенил)этенил)-1-метил, иодид

[Chem 4]
Структура D308
Молекулярная формула: C16H19IN2
Молекулярная масса: 366,24
Номер CAS: 2156-29-8
Название: пиридиний, 2-(2-(4-(диметиламино)фенил)этенил)-1-метил, иодид

[Chem 5]
Структура D378
Молекулярная формула: C31H41N2O2I
Молекулярная масса: 600,58
Номер CAS: нет сведений
Название: нет сведений

[Chem 6]
Структура D426
Молекулярная формула: C17H21IN2
Молекулярная масса: 380,27
Номер CAS: 3785-01-1
Название: пиридиний, 2-(2-(4-диметиламино)фенил)этенил)-1-этил, иодид

[Chem 7]
Структура D632
Молекулярная формула: C21H18N2O3
Молекулярная масса: 346,38
Номер CAS: 109244-58-8
Название: бензойная кислота, 2-(3,6-диамино-9H-ксантен-9-ил)-, метиловый эфир

[Chem 8]
Структура D633
Молекулярная формула: C28H32N2O3
Молекулярная масса: 444,57
Номер CAS: нет сведений
Название: нет сведений

[Chem 9]
Структура D22421
Молекулярная формула: C27H21IN2O3
Молекулярная масса: 532,38
Номер CAS: нет сведений
Название: нет сведений

[Chem 10]
Структура D23806
ИНГРЕДИЕНТ A: дигидрородамин 123
Молекулярная формула: C21H18N2O3
Молекулярная масса: 346,38
Номер CAS: 109244-58-8
Название: бензойная кислота, 2-(3,6-диамино-9H-ксантен-9-ил)-, метиловый эфир

[Chem 11]
Структура L6868
Молекулярная формула: C28H22N4O6
Молекулярная масса: 510,50
Номер CAS: 22103-92-0
Название: 9,9′-биакридиний, 10,10′-диметил-

[Chem 12]
Структура M7502
Молекулярная формула: C34H30Cl3N3O
Молекулярная масса: 602,99
Номер CAS: нет сведений
Название: нет сведений

[Chem 13]
Структура M7510
Молекулярная формула: C24H24Cl2N2O
Молекулярная масса: 427,37
Номер CAS: нет сведений
Название: нет сведений

[Chem 14]
Структура M7511
Молекулярная формула: C24H25ClN2O
Молекулярная масса: 392,93
Номер CAS: нет сведений
Название: нет сведений

[Chem 15]
Структура M7512
Молекулярная формула: C32H32Cl2N2O
Молекулярная масса: 531,52
Номер CAS: 167095-09-2
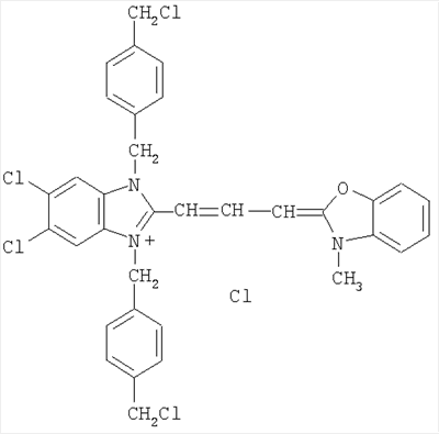
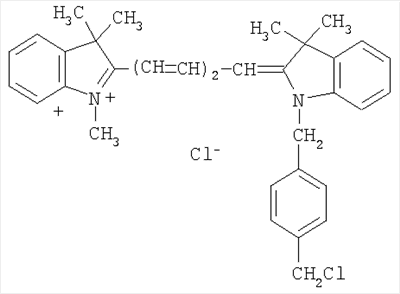
Название: 1H,5H,11H,15H-ксантено-[2,3,4-ij:5,6,7-i’j’]-дихинолизин-18-ий, 9-[4-(хлорметил)фенил]-2,3,6,7,12,13,16,17-октагидро-, хлорид

[Chem 16]
Структура M7513
Молекулярная формула: C32H33ClN2O
Молекулярная масса: 497,08
Номер CAS: 167095-08-1
Название: 1H,5H,9H,11H,15H-ксантено-[2,3,4-ij:5,6,7-i’j’]-дихинолизин, 9-[4-(хлорметил)фенил]-2,3,6,7,12,13,16,17-октагидро-

[Chem 17]
Структура M7514
Молекулярная формула: C34H28Cl5N3O
Молекулярная масса: 671,88
Номер CAS: 201860-17-5
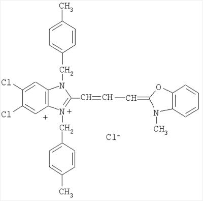
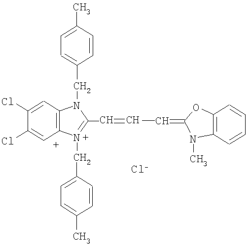
Название: бензоксазолий, 2-[3-[5,6-дихлор-1,3-бис[[4-(хлорметил)фенил]метил]-1,3-дигидро-2H-бензимидазол-2-илиден]-1-пропенил]-3-метил-, хлорид

[Chem 18]
Структура M22422
Молекулярная формула: C35H33ClF6N2O
Молекулярная масса: 647,10
Номер CAS: нет сведений
Название: нет сведений

[Chem 19]
Структура M22423
Молекулярная формула: C26H26ClN3O5
Молекулярная масса: 495,96
Номер CAS: 137993-41-0
Название: 1H,5H,11H,15H-ксантено[2,3,4-ij:5,6,7-i’j’]-дихинолизин-18-ий, 9-циано-2,3,6,7,12,13,16,17-октагидро-, перхлорат

[Chem 20]
Структура M22425
Молекулярная формула: C39H36Cl5N3
Молекулярная масса: 724,00
Номер CAS: нет сведений
Название: нет сведений

[Chem 21]
Структура M22426
Молекулярная формула: C34H36Cl2N2
Молекулярная масса: 543,58
Номер CAS: нет сведений
Название: нет сведений

[Chem 22]
Структура R302
Молекулярная формула: C21H17ClN2O3
Молекулярная масса: 380,83
Номер CAS: 62669-70-9
Название: ксантилий, 3,6-диамино-9-(2-(метоксикарбонил)фенил, хлорид

[Chem 23]
Структура R634
Молекулярная формула: C28H31ClN2O3
Молекулярная масса: 479,02
Номер CAS: 989-38-8
Название: ксантилий, 9-(2-(этоксикарбонил)фенил)-3,6-бис(этиламино)-2,7-диметил, хлорид

[Chem 24]
Структура R648
Молекулярная формула: C34H43ClN2O7
Молекулярная масса: 627,18
Номер CAS: нет сведений
Название: нет сведений

[Chem 25]
Структура R14060
Молекулярная формула: C23H19F5N2O
Молекулярная масса: 434,41
Номер CAS: нет сведений
Название: нет сведений

[Chem 26]
Структура R22420
Молекулярная формула: C21H17ClN2O3
Молекулярная масса: 380,83
Номер CAS: 62669-70-9
Название: ксантилий, 3,6-диамино-9-(2-(метоксикарбонил)фенил, хлорид

[Chem 27]
Структура T639
Молекулярная формула: C23H23N2OCl
Молекулярная масса: 378,90
Номер CAS: 6837-70-3
Название: ксантилий, 3,6-бис(диметиламино)-9-фенил, хлорид

[Chem 28]
Структура T668
Молекулярная формула: C25H25ClN2O7
Молекулярная масса: 500,93
Номер CAS: 115532-50-8
Название: ксантилий, 3,6-бис(диметиламино)-9-(2-(метоксикарбонил)фенил)-, перхлорат

[Chem 29]
Структура T669
Молекулярная формула: C26H27ClN2O7
Молекулярная масса: 514,96
Номер CAS: 115532-52-0
Название: ксантилий, 3,6-бис(диметиламино)-9-[2-(этоксикарбонил)фенил]-, перхлорат

[Chem 30]
Структура T3168
Молекулярная формула: C25H27Cl4IN4
Молекулярная масса: 652,23
Номер CAS: 47729-63-5
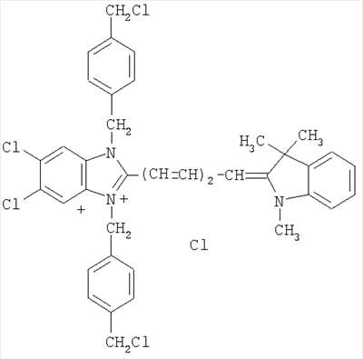
Название: 1H-бензимидазолий, 5,6-дихлор-2-[3-(5,6-дихлор-1,3-диэтил-1,3-дигидро-2H-бензимидазол-2-илиден)-1-пропенил]-1,3-диэтил-, иодид, (E)-

Кроме того, в качестве митохондриального индикатора также могут использоваться S7563, S7567 и S7585 (номера продуктов для соединений: все доступны в Molecular Probes).
В данной области известно, что каждый митохондриальный индикатор обладает определенной длиной волны возбуждения и вызывает флуоресцентное излучение определенной длины волны. Например, M7514 вызывает флуоресцентное излучение 516 нм, испускаемое при длине волны возбуждения 490 нм, и T3168 вызывает флуоресцентное излучение 590 нм, испускаемое при длине волны возбуждения 535 нм.
Как описано выше, кардиомиоцит проявляет более высокую интенсивность флуоресценции, чем другие типы клеток при мечении содержащей кардиомиоциты смеси клеток митохондриальным индикатором, поскольку кардиомиоцит обладает относительно более высоким содержанием внутриклеточных митохондрий и обладает относительно более высоким трансмембранным потенциалом митохондрий, чем другие типы клеток. Во-первых, в соответствии с настоящим изобретением содержание внутриклеточных митохондрий и/или трансмембранный потенциал митохондрий измеряют для каждой клетки, находящейся в меченой смеси клеток, содержащей кардиомиоциты. Далее, клетки, для которых была показана более высокая интенсивность флуоресценции, определяют как кардиомиоциты. На основе измеренного содержания митохондрий и/или трансмембранного потенциала митохондрий кардиомиоциты выделяют в соответствии со следующим: клеточная популяция, обладающая относительно высоким содержанием митохондрий; клеточная популяция, содержащая митохондрии с относительно высоким трансмембранным потенциалом; или клеточная популяция, состоящая из клеток, обладающих относительно высоким содержанием митохондрий и относительно высоким трансмембранным потенциалом.
Например, если содержащая кардиомиоциты смесь клеток мечена люминесцентными митохондриальными индикаторами c описанной выше флуоресценцией, то кардиомиоциты (для которых показана относительно высокая интенсивность флуоресценции вследствие относительно высокого содержания митохондрий и митохондрий, показывающих относительно высокий трансмембранный потенциал) могут быть отделены от других отличных от кардиомиоцитов типов клеток (т.е. клеток, которые проявляют относительно менее высокую интенсивность флуоресценции на основе метки с митохондриальными индикаторами, вследствие относительно низкого содержания митохондрий или митохондрий, показывающих относительно низкий трансмембранный потенциал) с использованием клеточного сортера. В результате сортировки клеток могут быть отобраны жизнеспособные кардиомиоциты без генетического изменения кардиомиоцитов. Клеточный сортер, используемый по настоящему изобретению, может не ограничиваться конкретным устройством, при условии, что могут быть отсортированы жизнеспособные меченые флуоресцентной меткой клетки. Например, в качестве конкретного устройства для сортировки клеток по настоящему изобретению может использоваться клеточный сортер с активированной флуоресценцией (FACS (зарегистрированный товарный знак); BD, Franklin Lakes, NJ USA) и другие устройства для сортировки клеток (поставляемые Beckman, Coulter, Cytomation и т.д.).
Кардиомиоциты могут быть отобраны непосредственно после мечения содержащей кардиомиоциты смеси клеток митохондриальным индикатором. Однако если необходимо отбирать кардиомиоциты из содержащей кардиомиоциты смеси клеток более точно, кардиомиоциты могут быть отобраны после мечения клеток митохондриальным индикатором с последующим культивированием меченых клеток в отсутствии митохондриального индикатора. В процессе культивирования меченых клеток в отсутствии митохондриального индикатора после мечения митохондриальным индикатором содержание митохондриального индикатора, находящегося в одной клетке снижается, поскольку клетка подвергается клеточному делению. Таким образом, с течением времени культивирования пролиферирующих клеток содержание внутриклеточного митохондриального индикатора снижается и интенсивность флуоресценции также снижается. С другой стороны, поскольку кардиомиоцит определяется как клетка, теряющая способность к митозу, или как клетка со значительно сниженным уровнем способности к митозу, то даже после длительного периода времени культивирования содержание митохондриального индикатора, находящегося в отдельной клетке, снижается медленнее, чем в других типах клеток, и таким образом может сохраняться относительно более высокая интенсивность флуоресценции. Таким образом, вследствие различий в интенсивности мечения между кардиомиоцитами и некардиомиоцитами, кардиомиоциты можно выделять более точно после мечения содержащей кардиомиоциты смеси клеток митохондриальным индикатором с последующим дополнительным культивированием клеток в отсутствии митохондриального индикатора в течение определенного периода времени, более конкретно в течение нескольких суток.
Кроме того, во втором варианте осуществления настоящее изобретение относится к способу увеличения содержания кардиомиоцитов в содержащей кардиомиоциты смеси клеток без генетического изменения кардиомиоцитов, где указанный способ включает следующие стадии:
(1) стадию мечения содержащей кардиомиоциты смеси клеток митохондриальным индикатором; и
(2) стадию отбора кардиомиоцитов на основе относительного содержания митохондрий в клетках и/или относительного трансмембранного потенциала митохондрий клеток.
В контексте этого варианта осуществления содержащая кардиомиоциты смесь клеток может представлять собой смесь клеток, полученную из целого сердца или смесь клеток, полученную из клеток, обладающих способностью дифференцироваться в кардиомиоциты. Поскольку, как используется здесь, термин “смесь клеток, полученная из целого сердца” означает смесь кардиомиоцитов и некардиомиоцитов, то “смесь клеток, полученная из целого сердца” может вызывать клинический риск тяжелых побочных эффектов на сердечную ткань (сердце) реципиента вследствие существования некардиомиоцитов, если смесь используется для трансплантации в сердце без предварительной обработки. Таким образом, для более безопасной и надежной трансплантации кардиомиоцитов реципиенту предпочтительно увеличить процентную долю кардиомиоцитов в содержащей кардиомиоциты смеси клеток, т.е. максимально увеличить содержание кардиомиоцитов перед трансплантацией. Кроме того, например, клетка, обладающая способностью дифференцироваться в кардиомиоцит, может быть выбрана из группы, состоящей из стволовой клетки, клетки-предшественника и яйцеклетки.
Для безошибочного увеличения содержания кардиомиоцитов в этом способе после стадии (1) и перед стадией (2) способ по настоящему изобретению может дополнительно включать стадию культивирования меченых клеток в отсутствии митохондриального индикатора. Эта стадия обеспечивает увеличение уровня относительной внутриклеточной интенсивности флуоресценции кардиомиоцита относительно сниженного уровня интенсивности флуоресценции других типов клеток и более точно приводит к увеличению количества кардиомиоцитов.
Как описано выше, митохондриальный индикатор, используемый в этом варианте осуществления настоящего изобретения, может быть выбран из группы, состоящей из A1372, D273, D288, D308, D378, D426, D632, D633, D22421, D23806, L6868, M7502, M7510, M7511, M7512, M7513, M7514, M22422, M22423, M22425, M22426, R302, R634, R648, R14060, R22420, T639, T668, T669 и T3168. В этом варианте осуществления настоящего изобретения M7512, T3168, T668 или R302 являются предпочтительными в качестве митохондриального индикатора.
Кроме того, в третьем варианте осуществления настоящего изобретения настоящее изобретение относится к способу получения кардиомиоцитов из содержащей кардиомиоциты смеси клеток без генетического изменения кардиомиоцитов, где указанный способ включает следующие стадии:
(1) стадию дифференцировки и стимуляции получения кардиомиоцитов из клеток, обладающих способностью дифференцироваться в кардиомиоциты с получением содержащей кардиомиоциты смеси клеток;
(2) стадию мечения содержащей кардиомиоциты смеси клеток митохондриальным индикатором; и
(3) стадию отбора кардиомиоцитов на основе относительного содержания митохондрий в клетках и/или относительного трансмембранного потенциала митохондрий клеток.
В контексте этого варианта осуществления содержащая кардиомиоциты смесь клеток может представлять собой смесь клеток, полученную из целого сердца или смесь клеток, полученную из клеток, обладающих способностью дифференцироваться в кардиомиоцит. Поскольку, как используется здесь, термин “смесь клеток, полученная из целого сердца” означает смесь кардиомиоцитов и некардиомиоцитов, то “смесь клеток, полученная из целого сердца” может вызывать клинический риск тяжелых побочных эффектов на сердечную ткань реципиента (сердце) вследствие существования некардиомиоцитов, если смесь используется для трансплантации в сердце без какой-либо предварительной обработки. Таким образом, для более безопасной и надежной трансплантации кардиомиоцитов реципиенту предпочтительно увеличить процентную долю кардиомиоцитов в содержащей кардиомиоциты смеси клеток, т.е. максимально увеличить содержание кардиомиоцитов перед трансплантацией. Кроме того, например, клетка, обладающая способностью дифференцироваться в кардиомиоцит, может быть выбрана из группы, состоящей из стволовой клетки, клетки-предшественника и яйцеклетки.
Для безошибочного получения кардиомиоцитов в этом способе после стадии (1) и перед стадией (2) способ по настоящему изобретению может дополнительно включать стадию культивирования меченых клеток в отсутствии митохондриального индикатора.
Как описано выше, митохондриальный индикатор, используемый в этом варианте осуществления, также может быть выбран из группы, состоящей из A1372, D273, D288, D308, D378, D426, D632, D633, D22421, D23806, L6868, M7502, M7510, M7511, M7512, M7513, M7514, M22422, M22423, M22425, M22426, R302, R634, R648, R14060, R22420, T639, T668, T669 и T3168. В этом варианте осуществления M7512, T3168, T668 или R302 являются предпочтительными в качестве митохондриального индикатора.
В данной области в качестве способа дифференцировки и стимуляции образования кардиомиоцитов было выявлено, что образование кардиомиоцитов может происходить при дифференцировке и стимуляции плюрипотентной стволовой клетки, которая является менее дифференцированной и обладает различными возможностями дифференцировки. Термин “плюрипотентная стволовая клетка” определяется как клетка, обладающая способностью неограниченно пролиферировать или в течение длительного периода времени в условиях культивирования in vitro поддерживаться в недифференцированном состоянии, обладающая нормальным кариотипом (набором хромосом) и обладающая способностью дифференцироваться в любой клеточный росток любого из трех листков (эктодермы, мезодермы и энтодермы) в соответствующих условиях. В настоящее время в качестве плюрипотентных стволовых клеток в данной области хорошо известно три типа клеток, т.е. эмбриональные стволовые клетки (ES клетки), которые выделяют из раннего эмбриона, эмбриональные половые клетки (EG клетки), которые выделяют из первичных половых клеток на зародышевой стадии, и взрослые плюрипотентные стволовые клетки (также называемые взрослыми мультипотентными клетками-предшественниками (MAPC)), которые выделяют из взрослого костного мозга.
Например, способ дифференцировки и стимуляции образования кардиомиоцитов из эмбриональных стволовых клеток (например, плюрипотентных стволовых клеток) может быть выбран из группы, состоящей из подвижной культуры эмбриональных агрегатов, подобных тельцам, капельной культуры, культуры совместно с фидерными клетками, культуры с вращением, культуры в мягком агаре и культуры на микроносителе.
Например, в случае подвижной культуры эмбриональных агрегатов, подобных тельцам, известно, что автономно пульсирующий кардиомиоцит может быть получен дифференцировкой и стимуляцией клетки ES, где способ включает следующие стадии: стадию суспендирования эмбриональных стволовых клеток в культуральной среде в концентрации несколько сотен клеток/мл, где каждая клетка ES находится в виде отдельной клетки (т.е. в состоянии, при котором все клетки распределены в водной фазе без межклеточной адгезии с помощью ферментативной обработки), стадию культивирования клеток в суспензионной культуре в отсутствии фактора, ингибирующего дифференцировку (такого как фактор ингибирования лейкозных клеток: LIF), стадию формирования структуры, подобной раннему эмбриону, известной как эмбриональное тельце (EB), которое формируется при адгезии и агрегации клеток ES между собой, и стадию культивирования EB в условиях суспензионной культуры или прикрепленной культуры.
В случае капельной культуры известно, что автономно пульсирующий кардиомиоцит может быть получен дифференцировкой и стимуляцией клетки ES, где способ включает следующие стадии: стадию получения капли, состоящей из 20 мкл культуральной среды, включающей несколько сотен клеток на крышке чашки для культивирования, стадию помещения крышки чашки для культивирования с каплей на чашку для культивирования, стадию образования клеточной массы в нижней части (т.е. на вершине) капли, и стадию дифференцировки и стимуляции образования автономно пульсирующих кардиомиоцитов из клеточной массы.
В случае культуры совместно с фидерными клетками известно, что автономно пульсирующий кардиомиоцит может быть получен при дифференцировке и стимуляции клетки ES, где способ включает следующие стадии: стадию получения фидерного слоя из клеток, обладающих свойствами, подобными свойствам мезенхимных клеток, предпочтительно из клеток, обладающих свойствами, подобными свойствам стромальных клеток костного мозга (таких как клеток ST2, клеток OP9, клеток PA6), с использованием способа, такого как культура с высокой плотностью, обработка митомицином C или радиационное облучение, и стадию культивирования клеток ES, находящихся в виде отдельных клеток на фидерном слое.
Кроме того, в четвертом варианте осуществления настоящее изобретение относится к способу оценки процентного содержания кардиомиоцитов в содержащей кардиомиоциты смеси клеток, где указанный способ включает следующие стадии:
(1) стадию мечения содержащей кардиомиоциты смеси клеток митохондриальным индикатором; и
(2) стадию определения соотношения кардиомиоцитов и некардиомиоцитов на основе относительного содержания митохондрий в клетках и/или стадию отбора кардиомиоцитов на основе относительного трансмембранного потенциала митохондрий клеток.
В контексте этого варианта осуществления содержащая кардиомиоциты смесь клеток может представлять собой смесь клеток, полученную из целого сердца, или смесь клеток, полученную из клеток, обладающих способностью дифференцироваться в кардиомиоциты. Поскольку, как используется здесь, термин “смесь клеток, полученная из целого сердца” означает смесь кардиомиоцитов и некардиомиоцитов, то “смесь клеток, полученная из целого сердца” может вызывать клинический риск тяжелых побочных эффектов на сердечную ткань реципиента (сердце) вследствие существования некардиомиоцитов, если смесь используется для трансплантации в сердце без какой-либо предварительной обработки. Таким образом, для более безопасной и надежной трансплантации кардиомиоцитов реципиенту предпочтительно увеличить процентную долю кардиомиоцитов в содержащей кардиомиоциты смеси клеток, т.е. максимально увеличить содержание кардиомиоцитов перед трансплантацией. Кроме того, например, клетка, обладающая способностью дифференцироваться в кардиомиоцит, может быть выбрана из группы, состоящей из стволовой клетки, клетки-предшественника и яйцеклетки.
Также в этом варианте осуществления, как описано выше, митохондриальный индикатор, используемый в этом варианте осуществления настоящего изобретения, может быть выбран из группы, состоящей из A1372, D273, D288, D308, D378, D426, D632, D633, D22421, D23806, L6868, M7502, M7510, M7511, M7512, M7513, M7514, M22422, M22423, M22425, M22426, R302, R634, R648, R14060, R22420, T639, T668, T669 и T3168. В этом варианте осуществления M7512, T3168, T668 или R302 являются предпочтительными в качестве митохондриального индикатора.
В области, связанной с трансплантацией кардиомиоцитов, известно несколько способов для дифференцировки и стимуляции образования кардиомиоцитов и ожидается, что ряд способов будет разработан в будущем в качестве способов дифференцировки и стимуляции образования кардиомиоцитов. Однако, как описано выше, при использовании смеси для трансплантации в сердце существует клинический риск, связанный с серьезными побочными эффектами на сердечную ткань реципиента (сердце) вследствие существования некардиомиоцитов. Таким образом, можно предварительно оценивать безопасность препарата кардиомиоцитов, предназначенного для использования для трансплантации, посредством предварительной оценки процентного содержания кардиомиоцитов в препарате, предназначенном для трансплантации в сердечную ткань в соответствии с этим способом.
В качестве способов очистки кардиомиоцитов в данной области известно несколько способов, таких как способ на основе взаимодействия антиген-антитело, такой как способ проточной цитофлуометрии, способ с магнитными бусами, способ пэннинга и так далее (Monoclonal Antibodies: principles and practice, Third Edition (Acad. Press, 1993); Antibody Engineering: A Practical Approach (IRL Press at Oxford University Press, 1996); способ выделения клеток с фенотипом кардиомиоцитов посредством предварительного встраивания искусственных модификаций в ген плюрипотентной стволовой клетки, как исходной клетки (такой как клетки ES), для придания устойчивости к лекарственному средству или способности к экспрессии эктопического белка; и способ фракционирования клеток центрифугированием в градиенте плотности с использованием носителя, такого как сахароза и перколл, который может быть легко объединен с другими способами, несмотря на относительно низкую степень очистки (Circ Res. 2002 20;91:501-508) и т.д.
ЭФФЕКТЫ ИЗОБРЕТЕНИЯ
В соответствии с настоящим изобретением можно отбирать кардиомиоциты из содержащей кардиомиоциты смеси клеток без генетического изменения кардиомиоцитов. Кроме того, в соответствии с настоящим изобретением также можно увеличивать количество кардиомиоцитов в содержащей кардиомиоциты смеси клеток без генетического изменения кардиомиоцитов и получать кардиомиоциты без генетического изменения кардиомиоцитов. Более того, также можно оценивать процентное содержание кардиомиоцитов в содержащей кардиомиоциты смеси клеток, полученной различными способами.
В соответствии с этими вариантами осуществления, можно увеличивать процентное содержание кардиомиоцитов в содержащей кардиомиоциты смеси клеток и снижать различные возможные побочные эффекты на сердечную ткань реципиента (сердце) вследствие существования некардиомиоцитов при трансплантации.
КРАТКОЕ ОПИСАНИЕ ЧЕРТЕЖЕЙ
На фиг.1 представлено флуоресцентное изображение смеси клеток, полученной из целого сердца извлеченной из сердца новорожденной крысы, которую метили митохондриальным индикатором M7512.
На фиг.2 представлено флуоресцентное изображение смеси клеток, полученной из клеток, обладающих способностью дифференцироваться в кардиомиоциты, извлеченной из эмбриональных стволовых клеток мышей, которых метили митохондриальным индикатором M7512.
На фиг.3 представлено распределение клеточной популяции при мечении смеси клеток, полученной из экстракта из целого сердца новорожденной крысы, митохондриальным индикатором M7512, где величину флуоресценции для всех клеток определяли отдельно.
На фиг.4 представлено распределение клеточных популяций при мечении смеси клеток, полученной из клеток, обладающих способностью дифференцироваться в кардиомиоциты, полученной из эмбриональных стволовых клеток мыши, митохондриальным индикатором M7512, где величину флуоресценции для всех клеток определяли отдельно.
На фиг.5 представлено флуоресцентное изображение смеси клеток, полученной из целого сердца (представленной на фиг.3), которую метили антителами против маркера кардиомиоцитов, антителами против -актинина саркомера.
На фиг.6 представлено флуоресцентное изображение смеси клеток, полученной из клетки, обладающей способностью дифференцироваться в кардиомиоцит (представленной на фиг.4), которую метили антителами против маркера кардиомиоцитов, антителами против -актинина саркомера.
На фиг.7 представлено флуоресцентное изображение клеточной популяции, полученное с использованием антител против маркера кардиомиоцитов, антител против -актинина саркомера, где клеточную популяцию подвергали анализу распределения и клеточной сортировке с отдельным определением величины флуоресценции для каждой клетки после мечения митохондриальным индикатором T3168 смеси клеток, полученной из целого сердца, извлеченной из сердца новорожденной крысы.
На фиг.8 представлен результат анализа клеточной популяции, которую подвергали анализу распределения и клеточной сортировке с отдельным определением величины флуоресценции для каждой клетки после мечения митохондриальным индикатором T668 клеток, извлеченных из целого сердца новорожденной крысы, и флуоресцентное изображение каждой клеточной популяции с использованием антител против маркера кардиомиоцитов, антител против -актинина саркомера.
На фиг.8-1 представлено разделение клеточной популяции, полученной из сердца новорожденной крысы, на 3 группы клеточных популяций на основе интенсивности флуоресценции T668.
На фиг.8-2 показано, что практически все клетки из клеточной популяции с наибольшей интенсивностью флуоресцентного сигнала T668 состоят из кардиомиоцитов и почти все клетки из клеточной популяции со средней интенсивностью флуоресценции состоят из некардиомиоцитов.
На фиг.8-3 показано, что требуемые клетки также могут быть получены с использованием R302 так же, как и T668.
На фиг.9 представлен анализ клеточной популяции эмбриональных клеток крысы, полученных из целого сердца, с помощью митохондриального индикатора T668 и иммунного окрашивания отсортированных клеток антителами против актинина.
На фиг.9-1 представлено разделение клеточной популяции, полученной из сердца эмбриона крысы на 13 сутки после оплодотворения, на 3 группы клеточных популяций на основе интенсивности флуоресценции T668.
На фиг.9-2 показано, что практически все клетки из клеточной популяции с наибольшей интенсивностью флуоресцентного сигнала T668 состоят из кардиомиоцитов и почти все клетки из клеточной популяции со средней интенсивностью флуоресценции состоят из некардиомиоцитов.
На фиг.10 представлены мечение митохондриальным индикатором T668 цельных эмбриональных клеток и очистка кардиомиоцитов.
На фиг.10-1 показано, что популяция отдельных клеток, полученная из эмбрионов крыс на 9 сутки после оплодотворения, в основном выявляется при выделении клеток по интенсивности флуоресценции.
На фиг.10-2 показано, что более приблизительно 95% клеток, меченых T668, выявляют как кардиомиоциты при иммунном окрашивании против маркера кардиомиоцитов актинина.
На фиг.11 представлены данные мечения и анализа клеточной популяции клеток крысы, полученных из целого сердца, в течение периода времени от 11 суток после оплодотворения до 8 суток после рождения с использованием митохондриального индикатора T668.
На фиг.12 представлены данные мечения митохондриальным индикатором T668 популяции, состоящей из разнообразных типов клеток, полученной из эмбриональных стволовых клеток мыши, и иммунного окрашивания отсортированной клеточной популяции против актинина.
ВАРИАНТ ОСУЩЕСТВЛЕНИЯ ИЗОБРЕТЕНИЯ
(1) Получение содержащей кардиомиоциты смеси клеток
Во-первых, содержащую кардиомиоциты смесь клеток получают в качестве смеси клеток, полученной из целого сердца или смеси клеток, полученной из стволовых клеток.
Смесь клеток, полученная из целого сердца, может быть получена извлечением желудочка сердца из абортивного эмбриона или новорожденного животного, измельчением его с использованием пинцета, устранением межклеточной адгезии с использованием фермента, такого как коллагеназа, для разделения клеток.
Смесь клеток, полученная из стволовых клеток, может быть получена при дифференцировке и стимуляции стволовой клетки, такой как эмбриональная стволовая клетка и соматическая стволовая клетка, с получением кардиомиоцитов с использованием способа капельной культуры (Bader A, et al., Differentiation, 2001 68: p.31-43). Предпочтительно, чтобы при использовании смеси, полученной из стволовых клеток, проводили дополнительную обработку для увеличения степени дифференцировки/стимуляции образования кардиомиоцитов (такую как добавление полностью транс-ретиноевой кислоты) в дифференцирующейся/стимулированной смеси клеток.
(2) Мечение клетки митохондриальным индикатором
В соответствии с настоящим изобретением в качестве требуемого митохондриального индикатора используется флуоресцентное вещество, такое как M7512, T3168, T668 или R302 (все поставляются Molecular Probe). Клетки метят M7512, T3168, T668 или R302 инкубированием смеси клеток, полученной из целого сердца, или смеси клеток, полученной из стволовой клетки, в присутствии M7512, T3168, T668 или R302 в культуральной среде.
Дополнительным культивированием в течение нескольких суток после мечения клеток митохондриальным индикатором можно дополнительно увеличить различия между величинами сигнала метки для кардиомиоцитов и некардиомиоцитов.
(3) Отбор кардиомиоцитов
Для измерения содержания митохондрий в смеси клеток, полученной из целого сердца, или в смеси клеток, полученной из стволовых клеток, меченой M7512, T3168, T668 или R302 используют клеточный сортер и клеточную популяцию, содержащую относительно более высокое количество митохондрий, выделяют в качестве кардиомиоцитов. В качестве предпочтительного клеточного сортера для отбора кардиомиоцитов с использованием M7512, T3168, T668 или R302 используется клеточный сортер с активированной флуоресценцией (FACS (зарегистрированный товарный знак); BD, Franklin Lakes, NJ USA).
(4) Подтверждение получения кардиомиоцитов
Клетки, проявляющие относительно более высокую интенсивность флуоресценции, сортируют описанным выше способом и проводят культивирование. Затем в целях подтвердить эффективность настоящего изобретения вычисленное содержание и коэффициент содержания кардиомиоцитов, выделенных представленным способом, сравнивают со значениями для кардиомиоцитов, выделенных способами отделения кардиомиоцитов от других типов клеток, отличных от представленного способа. В соответствии с настоящим изобретением в качестве другого способа отделения кардиомиоцитов от других типов клеток может использоваться способ определения кардиомиоцитов с использованием антител против специфичного для кардиомиоцитов маркера (такого, как тяжелая цепь/легкая цепь миозина, -акинин саркомера, тропонин I, ANP, GATA-4, Nkx2.5, и MEF-2c). Главным образом, в соответствии с настоящим изобретением для мечения и отбора кардиомиоцитов используют антитела против -акинина саркомера.
ПРИМЕРЫ
Следующие ниже примеры предоставлены для дополнительной иллюстрации настоящего изобретения. Однако следующие ниже примеры следует воспринимать не как ограничивающие технический объем этого изобретения, а только как иллюстрацию.
ПРИМЕР 1: Мечение митохондриальным индикатором смеси клеток, полученной из целого сердца, извлеченной из сердца новорожденной крысы
Этот пример проводили для подтверждения возможности применения способа по настоящему изобретению для определения кардиомиоцитов в смеси клеток, полученной из целого сердца.
Новорожденных крыс на 1-3 сутки после рождения умерщвляли смещением шейных позвонков после анестезии эфиром, после чего извлекали сердце каждой крысы. Желудочки сердца, выделенные из сердца, обрабатывали 0,025% (мас./об.) коллагеназой (поставляемой Warthington Biomedical Corporation) в D-MEM (с высоким содержанием глюкозы), не содержащей сыворотку среде (поставляемой Invitrogen). При расщеплении желудочков сердца с использованием коллагеназы клетки диспергировали в среде с получением смеси клеток, полученной из целого сердца.
Затем культуральную среду заменяли средой D-MEM (с высоким содержанием глюкозы) (поставляемой Invitrogen) с добавлением 10% (конечная концентрация) эмбриональной телячьей сыворотки (поставляемой JRH Bioscience). Таким образом, полученную культуру клеток инкубировали в культуральной среде, содержащей 100 нМ (конечная концентрация) митохондриального индикатора, M7512 (поставляемого Molecular Probe) в течение 10 минут при 37°C. После инкубации клетки промывали 4 раза с использованием культуральной среды и дополнительно культивировали в течение 24 часов при 37°C.
Таким образом, осуществляли наблюдение меченых клеток с использованием флуоресцентного микроскопа. Результаты представлены на фиг.1.
На фиг.1 показано, что в то время как флуоресценция на основе M7512 отчетливо наблюдалась в кардиомиоцитах, и кардиомиоциты содержали множество митохондрий в клетке, некардиомиоциты содержали только небольшое количество митохондрий в клетке.
ПРИМЕР 2: Мечение митохондриальным индикатором смеси клеток, полученной из эмбриональных стволовых клеток мыши
Этот пример проводили для подтверждения возможности применения способа по настоящему изобретению для определения кардиомиоцитов в смеси клеток, полученной из стволовых клеток.
Недифферинцированные эмбриональные стволовые клетки мыши подвергали капельному культивированию (Bader A, et al., Differentiation, 2001 68: p.31-43) для дифференцировки и стимуляции образования кардиомиоцита. Конкретно, известна капельная культура, с помощью которой могут быть получены кардиомиоциты посредством дифференцировки и стимуляции клеток ES представленным способом, где представленный способ включает следующие стадии: стадию получения капли, состоящей из 20 мкл культуральной среды на крышке чашки для культивирования, где указанная капля содержит несколько сотен клеток, стадию помещения крышки чашки для культивирования с каплей на чашку для культивирования, стадию образования клеточной массы в нижней части капли, т.е. на вершине капли, и стадию дифференцировки и получения из клеточной массы автономно пульсирующих кардиомиоцитов. В соответствии с настоящим изобретением при дифференцировке и стимуляции образования кардиомиоцитов используется среда -MEM (поставляемая SIGMA), содержащая 10% (конечная концентрация) эмбриональную телячью сыворотку (поставляемую EQUITECH-BIO).
Через четырнадцать суток после дифференцировки и стимуляции подтверждали образование в сосуде для культивирования клеточной массы, содержащей автономно пульсирующие кардиомиоциты, к которой добавляли 10-8 M полностью транс-ретиноевой кислоты для дополнительного увеличения степени дифференцировки/стимуляции кардиомиоцитов.
На 21 сутки после дифференцировки/стимуляции клеточную массу, содержащую автономно пульсирующие кардиомиоциты, разделяли на отдельные клетки с получением смеси клеток. Полученную таким образом смесь клеток метили M7512 в условиях, указанных в примере 1, и культивировали в условиях прикрепленной культуры в течение 5 суток после удаления M7512. После дополнительного культивирования в течение 5 суток клеточную массу, содержащую автономно пульсирующие кардиомиоциты, полученную в условиях культивирования, наблюдали с использованием флуоресцентного микроскопа. Результаты представлены на фиг.2.
На фиг.2 представлены фотографии фазово-контрастных изображений (верхние панели) и флуоресцентные изображения (нижние панели) клеточной массы на протяжении одного цикла пульсации (т.е. цикла из фазы расслабления 1 – фазы сокращения – фазы расслабления 2). Эти результаты показывают, что все автономно пульсирующие кардиомиоциты строго были мечены M7512 по сравнению с другими типами клеток. Таким образом, флуоресценция на основе M7512 отчетливо наблюдалась в клеточной массе, состоящей из автономно пульсирующих кардиомиоцитов; в то время как флуоресценция на основе M7512 практически не наблюдалась в клетках из клеточной массы.
ПРИМЕР 3: Анализ распределения клеток, меченых митохондриальным индикатором, в смеси клеток, полученной из целого сердца
Этот пример проводили для определения количества кардиомиоцитов, содержащихся в смеси клеток, полученной из целого сердца по примеру 1.
Смесь клеток, полученную из целого сердца, получали в соответствии со способом, описанным в примере 1, и метили M7512. Меченую смесь клеток, полученную из целого сердца, подвергали анализу распределения клеток в смеси клеток, полученной из целого сердца с использованием FACS (зарегистрированный товарный знак) (BD, Franklin Lakes, NJ USA). Результаты представлены на фиг.3.
На фиг.3 “FSC-A” горизонтальной оси отображает показатель размера клеток. Как изображено на фиг.3, смесь клеток, полученную из целого сердца, можно разделить на две группы клеток, одна из которых состоит из клеток с относительно более высокой интенсивностью флуоресценции (изображена на фиг.3 в виде области P5), а другая состоит из клеток с относительно более низкой интенсивностью флуоресценции (изображена на фиг.3 в виде области P6). В этом примере клетки области P5 были отсортированы в качестве кардиомиоцитов и клетки области P6 были отсортированы в качестве некардиомиоцитов, затем все из них отдельно подвергали культивированию.
ПРИМЕР 4: Анализ распределения клеток в смеси клеток, полученной из эмбриональных стволовых клеток мыши с использованием митохондриального индикатора
Этот пример проводили для определения количества кардиомиоцитов, содержащихся в смеси клеток, полученных их эмбриональных стволовых клеток мыши, полученных по примеру 2.
Смесь клеток, полученную из эмбриональных стволовых клеток мыши, получали в соответствии со способом, описанным в примере 2, и метили M7512. Меченую смесь клеток, полученную из эмбриональных стволовых клеток мыши, подвергали анализу распределения клеток с использованием FACS (зарегистрированный товарный знак) (BD, Franklin Lakes, NJ USA). Результаты представлены на фиг.4.
На фиг.4 “FSC-A” горизонтальной оси отображает показатель размера клеток. Как изображено на фиг.4, смесь клеток, полученную из эмбриональных стволовых клеток мыши, можно разделить на две группы клеток, одна из которых состоит из клеток с относительно более высокой интенсивностью флуоресценции (изображена на фиг.4 в виде области P2), а другая состоит из клеток с относительно более низкой интенсивностью флуоресценции. В этом примере клетки области P2 были отсортированы в качестве кардиомиоцитов и их подвергали культивированию.
ПРИМЕР 5: Мечение маркером кардиомиоцитов клеток, отобранных из смеси клеток, полученной из целого сердца
Этот пример проводили для определения степени увеличения содержания кардиомиоцитов, находящихся в смеси клеток, полученной из целого сердца способом по примеру 3.
Клеточные популяции области P5 и области P6, отсортированные способом по примеру 3, культивировали в течение 12 часов в среде D-MEM (поставляемой SIGMA) с добавлением 10% (конечная концентрация) эмбриональной телячьей сыворотки (поставляемой EQUITECH-BIO) с последующей фиксацией параформальдегидом.
Затем фиксированные клетки метили маркером кардиомиоцитов, антителами против -актинина саркомера мышей (поставляемого SIGMA), которые визуализировали с использованием антител козы против мыши, конъюгированных с зеленым флуоресцентным веществом (поставляемым Molecular Probes). Результаты представлены на фиг.5. На фиг.5 результаты для смеси клеток, полученной из целого сердца, представлены на верхних панелях, результаты для клеток, выделенных из области P5 по примеру 3, представлены на средних панелях и результаты для клеток, выделенных из области P6 по примеру 3, представлены на нижних панелях.
Перед выделением кардиомиоцитов способом по настоящему изобретению кардиомиоциты, распознанные антителами против -актинина саркомера, и другие типы клеток смешивали в клеточную смесь, и процентное содержание кардиомиоцитов, находящихся среди всех клеток, составляло только 30%. С другой стороны, более 99% клеток, выделенных из области P5, составляли кардиомиоциты. В клетках, выделенных из области P6, было небольшое количество кардиомиоцитов, процентное содержание которых было приблизительно равно процентному содержанию кардиомиоцитов перед выделением представленным способом.
Результаты этого примера отчетливо показывают, что способом по настоящему изобретению могут быть выделены кардиомиоциты с высокой степенью очистки и их содержание может быть увеличено в смеси клеток, полученной из целого сердца.
ПРИМЕР 6: Мечение маркером кардиомиоцитов клеток, отобранных из смеси клеток, полученной из эмбриональных стволовых клеток мыши
Этот пример проводили для определения степени увеличения содержания кардиомиоцитов, находящихся в смеси клеток, полученной из эмбриональных стволовых клеток мыши способом по примеру 4.
Клеточные популяции области P2 и других областей, отсортированные способом по примеру 4, культивировали в течение 12 часов в среде D-MEM (поставляемой SIGMA) с добавлением 10% (конечная концентрация) эмбриональной телячьей сыворотки (поставляемый EQUITECH-BIO), с последующей фиксацией параформальдегидом.
Затем фиксированные клетки метили маркером кардиомиоцитов, антителами против -актинина саркомера мышей (поставляемого SIGMA), которые визуализировали с использованием антител козы против мыши, конъюгированных с зеленым флуоресцентным веществом (поставляемым Molecular Probes). Результаты представлены на фиг.6. На фиг.6 результаты для смеси клеток, полученной из эмбриональных стволовых клеток мыши, представлены на верхних панелях и результаты для клеток, выделенных из области P2 по примеру 4, представлены на нижних панелях.
Перед выделением кардиомиоцитов способом по настоящему изобретению кардиомиоциты, распознанные антителами против -актинина саркомера, и другие типы клеток смешивали в клеточную смесь, и процентное содержание кардиомиоцитов, находящихся среди всех клеток, составляло только 10%. С другой стороны, было показано, что более 80% клеток, выделенных из области P2 (проявляющих относительно более высокую интенсивность флуоресценции при мечении M7512), являются кардиомиоцитами.
Результаты этого примера отчетливо показывают, что способом по настоящему изобретению могут быть выделены кардиомиоциты с высокой степенью очистки и их количество может быть увеличено в смеси клеток, полученной из эмбриональных стволовых клеток мыши.
ПРИМЕР 7: Мечение митохондриальным индикатором T3168
Этот пример проводили для подтверждения того, что при использовании митохондриального индикатора T3168 для мечения клеток можно получать данные, сходные с данными, полученными при использовании M7512.
В этом примере смесь клеток, полученную из целого сердца, извлекали из сердца новорожденной крысы, которую метили митохондриальным индикатором, получали способом, описанным в примере 1, за исключением того, что в качестве митохондриального индикатора использовали T3168 (поставляемый Molecular Probe).
Полученную и меченую таким образом смесь клеток, полученную из целого сердца, для анализа распределения клеток подвергали FACS способом, описанным в примере 3, и клетки с относительно более высокой интенсивностью флуоресценции определяли и выделяли как кардиомиоциты. Выделенные таким образом клетки культивировали с последующей фиксацией параформальдегидом способом, описанным в примере 5, которые метили антителами против -актинина саркомера (поставляемыми SIGMA). Результаты представлены на фиг.7.
Перед отбором кардиомиоцитов способом по настоящему изобретению кардиомиоциты, распознанные антителами против -актинина саркомера, и другие типы клеток смешивали в клеточную смесь, и процентное содержание кардиомиоцитов, находящихся среди всех клеток, составляло только 30%. С другой стороны, было показано, что более 95% клеток, проявляющих относительно более высокую интенсивность флуоресценции, являются кардиомиоцитами.
Результаты этого примера отчетливо показывают, что способом по настоящему изобретению могут быть отобраны кардиомиоциты с высокой степенью очистки и их количество может быть увеличено в смеси клеток, полученной из целого сердца, с использованием T3168 в качестве митохондриального индикатора.
ПРИМЕР 8: Мечение митохондриальным индикатором T668 клеток новорожденной крысы, полученных из целого сердца, и очистка кардиомиоцитов
Для получения клеточных популяций сердце новорожденной крысы обрабатывали 0,025% (мас./об.) коллагеназой (поставляемой SIGMA) и трипсином (поставляемым GIBCO). Клетки, диспергированные в культуральной среде, подвергали воздействию 1 мкМ (конечная концентрация) митохондриального индикатора T668 (поставляемого Molecular Probe) в течение 15 минут при 37°C, промывали 3 раза и сразу анализировали с помощью FACS. Затем клетки разделяли на три группы в соответствии с интенсивностью флуоресценции на основе T668 (фиг.8-1). Клеточную популяцию с высокой флуоресценцией, проявляющую более высокую интенсивность флуоресценции, и клеточную популяцию со средней флуоресценцией сортировали по отдельности.
Затем иммунным окрашиванием культуры клеток с использованием антител против актинина идентифицировали кардиомиоциты (фиг.8-2). Далее, практически все клетки в клеточной популяции с наиболее высокой интенсивностью сигнала флуоресценции T668 состояли из кардиомиоцитов, и практически все клетки в клеточной популяции со средней интенсивностью флуоресценции состояли из некардиомиоцитов. Указанный анализ проводили в отношении R302 (поставляемого Molecular Probe) и получали аналогичные результаты (фиг.8-3), как и для T668.
ПРИМЕР 9: Мечение клеток новорожденной крысы, полученных из целого сердца митохондриальными индикаторами T668 и M7514, и сравнительный анализ трансмембранного потенциала митохондрий
Клеточную популяцию выделяли с использованием материалов и способа, описанных в примере 8. Выделенные таким образом кардиомиоциты метили митохондриальным индикатором M7514 (поставляемым Molecular Probe), независимым от трансмембранного потенциала, который специфично метит митохондрии, и митохондриальным индикатором T668, зависимым от трансмембранного потенциала, который также специфично метит митохондрии. Клетки анализировали с использованием FACS сразу после мечения. Поскольку длина волны флуоресценции T668 отличается от длины волны флуоресценции M7514, можно отдельно определять флуоресценцию T668 и флуоресценцию M7514. В этом примере выявили три группы клеточных популяций на основе флуоресценции T668 в качестве индикатора. Как описано для анализа по примеру 8, известно, что клеточная популяция с высокой флуоресценцией, проявляющая наиболее высокую интенсивность флуоресценции, является популяцией кардиомиоцитов, и что популяция со средней флуоресценцией представляет собой популяцию некардиомиоцитов.
Затем каждую клеточную популяцию разделяли на основе соотношения интенсивности флуоресценции, полученной с помощью T668 и интенсивности флуоресценции, полученной для M7514. В клеточной популяции, идентифицированной в качестве кардиомиоцитов на основе сигнала T668, количество клеток, отнесенных к группе со значением более 150%, составляло 90% от общего количества клеток при использовании предельного значения соотношения интенсивности флуоресценции T668 и интенсивности флуоресценции M7514, равного 150%; в то время как в клеточной популяции, идентифицированной как некардиомиоциты на основе сигнала T668, количество клеток, отнесенных к группе со значением более 150%, составляло 13% от общего числа клеток при использовании предельного значения соотношения интенсивности флуоресценции T668 и интенсивности флуоресценции M7514, равного 150%. Эти результаты показывают, что кардиомиоциты обладают не только более высоким содержанием митохондрий, но также более высоким трансмембранным потенциалом митохондрий по сравнению с некардиомиоцитами.
ПРИМЕР 10: Мечение митохондриальным индикатором T668 эмбриональных клеток крысы, полученных из целого сердца, и очистка кардиомиоцитов
Сердце эмбриона крысы на 13 сутки после оплодотворения обрабатывали коллагеназой и трипсином для получения клеточных популяций. Клетки, диспергированные в культуральной среде, подвергали воздействию 1 мкМ (конечная концентрация) митохондриального индикатора T668 в течение 15 минут при 37°C, промывали 3 раза и сразу подвергали анализу FACS. Клетки разделяли на 3 группы клеточных популяций на основе интенсивности флуоресценции T668 (фиг.9-1). В этом примере клеточную популяцию с высокой флуоресценцией, проявляющую наиболее высокую интенсивность флуоресценции, и клеточную популяцию со средней флуоресценцией сортировали и культивировали.
Затем иммунным окрашиванием культуры клеток с использованием антител против актинина идентифицировали кардиомиоциты. Далее, практически все клетки в клеточной популяции с наиболее высокой интенсивностью сигнала флуоресценции T668 состояли из кардиомиоцитов и практически все клетки в клеточной популяции со средней интенсивностью флуоресценции состояли из некардиомиоцитов (фиг.9-2).
ПРИМЕР 11: Мечение митохондриальными индикаторами T668 и M7512 цельных эмбриональных клеток и очистка кардиомиоцитов
Эмбрион крысы на 9 сутки после оплодотворения обрабатывали коллагеназой и трипсином для получения клеточной популяции. Клетки, диспергированные в культуральной среде, подвергали воздействию 1 мкМ (конечная концентрация) митохондриального индикатора T668 в течение 15 минут при 37°C, промывали 3 раза и сразу подвергали анализу FACS. В качестве клеточной популяции на основе интенсивности флуоресценции главным образом наблюдалась одна отдельная клеточная популяция. С другой стороны, в области высокой интенсивности флуоресценции, в которой предположительно должны обнаруживаться кардиомиоциты на основе анализа образца целого сердца на более поздней стадии развития, нельзя было выявить определенной клеточной популяции (фиг.10-1). Однако, поскольку существовало небольшое количество клеток, проявляющих более высокую интенсивность флуоресценции, чем в основной клеточной популяции, эти клетки выделяли как клеточную популяцию с высокой флуоресценцией.
Клетки культивировали и иммунологически окрашивали антителами против маркера кардиомиоцитов актинина. Было обнаружено, что приблизительно более 95% клеток, выделенных с использованием T668, представляли собой кардиомиоциты (фиг.10-2). Поскольку в эмбрионе на 9 сутки после оплодотворения (ранний эмбрион) кардиомиоциты являются крайне незрелыми, в данной области полагают, что количественное изменение митохондрий происходит не полностью. Эти данные показывают, что, несмотря на раннюю стадию, можно эффективно выделять кардиомиоциты с использованием трансмембранного потенциала митохондрий в качестве индикатора.
ПРИМЕР 12: Мечение клеток крысы, полученных из целого сердца в период от 11 суток после оплодотворения до 8 суток после рождения, с использованием митохондриального индикатора T668 и анализа FACS
Для получения клеточной популяции сердце крысы, полученное в период от 11 суток после оплодотворения до 8 суток после рождения, обрабатывали коллагеназой и трипсином. Клетки, диспергированные в культуральной среде, подвергали воздействию 1 мкМ (конечная концентрация) митохондриального индикатора T668 в течение 15 минут при 37°C, промывали 3 раза и сразу анализировали с помощью FACS. Затем клеточные популяции выделяли по интенсивности флуоресценции T668. При повышении стадии развития популяция кардиомиоцитов с высокой флуоресценцией, проявляющая наиболее высокую интенсивность флуоресценции, численно возрастала, и клеточные популяции отчетливо различались между собой (фиг.11). Таким образом, показано, что можно делать предположение о стадии созревания кардиомиоцитов способом, представленным в настоящем описании.
ПРИМЕР 13: Мечение митохондриальным индикатором T668 популяции, состоящей из разнообразных типов клеток, и очистка кардиомиоцитов
Проводили дифференцировку клеток ES в клеточную популяцию, содержащую кардиомиоциты с использованием способа, указанного в примере 2. Для получения отдельных клеток эту клеточную массу, состоящую их разнообразных типов клеток, обрабатывали коллагеназой и трипсином. Клетки, диспергированные в культуральной среде, подвергали воздействию 1 мкМ (конечная концентрация) митохондриального индикатора T668 в течение 15 минут при 37°C, промывали 3 раза и сразу анализировали с помощью FACS. В качестве клеточной популяции на основе интенсивности флуоресценции главным образом наблюдалась одна отдельная клеточная популяция. С другой стороны, в области высокой интенсивности флуоресценции, в которой предположительно должны обнаруживаться кардиомиоциты на основе анализа образца целого сердца на более поздней стадии развития, нельзя было выявить определенной клеточной популяции (фиг.12). Однако, поскольку существовало небольшое количество клеток, проявляющих более высокую интенсивность флуоресценции, чем в основной клеточной популяции, эти клетки выделяли как клеточную популяцию с высокой флуоресценцией.
Клетки культивировали в большом масштабе и иммунологически окрашивали антителами против маркера кардиомиоцитов актинина. Было выявлено, что более 98% полученных клеток представляли собой кардиомиоциты. С другой стороны, основную клеточную популяцию также выделяли и культивировали с последующим иммунным окрашиванием антителами против маркера кардиомиоцитов актинина. Почти все полученные клетки состояли из некардиомиоцитов.
ПРИМЕР 14: Мечение митохондриальным индикатором S7563 клеток новорожденной крысы, полученных из целого сердца, и очистка кардиомиоцитов
Сердце новорожденной крысы обрабатывали коллагеназой и трипсином для получения клеточной популяции. Клетки, диспергированные в культуральной среде, подвергали воздействию 1 мкМ (конечная концентрация) митохондриального индикатора S7563 в течение 15 минут при 37°C, промывали 3 раза и сразу анализировали с помощью FACS. Затем клетки разделяли на 3 группы клеточных популяций на основе интенсивности флуоресценции S7563. В этом примере клеточную популяцию с высокой флуоресценцией, проявляющую наиболее высокую интенсивность флуоресценции, сортировали и культивировали.
Затем кардиомиоциты идентифицировали иммунным окрашиванием клеточных культур с использованием антител против актинина. Далее, практически все клетки в клеточной популяции с наиболее высокой интенсивностью сигнала флуоресценции S7563 состояли из кардиомиоцитов и практически все клетки в клеточной популяции со средней интенсивностью флуоресценции состояли из некардиомиоцитов.
ПРОМЫШЛЕННАЯ ПРИМЕНИМОСТЬ
В соответствии с настоящим изобретением можно отбирать кардиомиоциты из содержащей кардиомиоциты смеси клеток без генетического изменения кардиомиоцитов. Кроме того, в соответствии с настоящим изобретением, можно увеличивать содержание кардиомиоцитов в содержащей кардиомиоциты смеси клеток без генетического изменения кардиомиоцитов и получать кардиомиоциты без генетического изменения кардиомиоцитов. Более того, также можно оценивать процентное содержание кардиомиоцитов в содержащей кардиомиоциты смеси клеток, полученных различными способами.
В соответствии с этими вариантами осуществления, можно увеличивать процентное содержание кардиомиоцитов в содержащей кардиомиоциты смеси клеток и уменьшать различные возможные побочные эффекты на сердечную ткань реципиента (сердце) вследствие существования некардиомиоцитов при трансплантации.
Формула изобретения
1. Способ отбора кардиомиоцитов из содержащей кардиомиоциты смеси клеток без генетического изменения кардиомиоцитов на основе относительного содержания митохондрий в клетках, относительного трансмембранного потенциала митохондрий клеток или как относительного содержания митохондрий в клетках, так и относительного трансмембранного потенциала митохондрий клеток, где указанный способ включает стадию мечения митохондриальным индикатором содержащей кардиомиоциты смеси клеток и стадию измерения относительного содержания митохондрий в клетках и/или относительного трансмембранного потенциала митохондрий клеток, и где кардиомиоциты выделяют в соответствии со следующим: клеточная популяция, обладающая относительно высоким содержанием митохондрий; клеточная популяция, содержащая митохондрии с относительно высоким трансмембранным потенциалом; или клеточная популяция, состоящая из клеток, обладающих относительно высоким содержанием митохондрий и относительно высоким трансмембранным потенциалом.
2. Способ по п.1, где указанный способ дополнительно включает стадию культивирования меченых клеток в отсутствии митохондриального индикатора после стадии мечения митохондриальным индикатором содержащей кардиомиоциты смеси клеток, перед стадией измерения относительного содержания митохондрий в клетках и/или относительного трансмембранного потенциала митохондрий клеток.
3. Способ по любому из пп.1 и 2, где указанная содержащая кардиомиоциты смесь клеток представляет собой смесь клеток, полученную из целого сердца, или смесь клеток, полученную из клеток, обладающих способностью дифференцироваться в кардиомиоциты.
4. Способ по п.3, где клетка, обладающая способностью дифференцироваться в кардиомиоцит, выбрана из группы, состоящей из стволовой клетки, клетки-предшественника и яйцеклетки.
5. Способ по любому из пп.1, 2 или 4, где указанный митохондриальный индикатор выбран из группы, состоящей из А1372, D273, D288, D308, D378, D426, D632, D633, D22421, D23806, L6868, М7502, М7510, М7511, М7512, М7513, М7514, М22422, М22423, М22425, М22426, R302, R634, R648, R14060, R22420, Т639, Т668, Т669 и Т3168.
6. Способ по п.3, где указанный митохондриальный индикатор выбран из группы, состоящей из А1372, D273, D288, D308, D378, D426, D632, D633, D22421, D23806, L6868, М7502, М7510, М7511, М7512, М7513, М7514, М22422, М22423, М22425, М22426, R302, R634, R648, R14060, R22420, Т639,Т668,Т669иТ3168.
7. Способ увеличения содержания кардиомиоцитов в содержащей кардиомиоциты смеси клеток без генетического изменения кардиомиоцитов, включающий следующие стадии: (1) стадию мечения содержащей кардиомиоциты смеси клеток митохондриальным индикатором; и (2) стадию отбора кардиомиоцитов на основе относительного содержания митохондрий в клетках и/или относительного трансмембранного потенциала митохондрий клеток, где указанный способ дополнительно включает стадию культивирования меченых клеток в отсутствии митохондриального индикатора после стадии (1) и перед стадией (2).
8. Способ по п.7, где указанная содержащая кардиомиоциты смесь клеток представляет собой смесь клеток, полученную из целого сердца, или смесь клеток, полученную из клеток, обладающих способностью дифференцироваться в кардиомиоциты.
9. Способ по п.8, где указанная клетка, обладающая способностью дифференцироваться в кардиомиоцит, выбрана из группы, состоящей из стволовой клетки, клетки-предшественника и яйцеклетки.
10. Способ по любому из п.7 или 9, где указанный митохондриальный индикатор выбран из группы, состоящей из А1372, D273, D288, D308, D378, D426, D632, D633, D22421, D23806, L6868, М7502, М7510, М7511, М7512, М7513, М7514, М22422, М22423, М22425, М22426, R302, R634, R648, R14060, R22420, Т639, Т668, Т669 и Т3168.
11. Способ по п.8, где указанный митохондриальный индикатор выбран из группы, состоящей из А1372, D273, D288, D308, D378, D426, D632, D633, D22421, D23806, L6868, М7502, М7510, М7511, М7512, М7513, М7514, М22422, М22423, М22425, М22426, R302, R634, R648, R14060, R22420, Т639, Т668, Т669 и Т3168.
12. Способ получения кардиомиоцитов без генетического изменения кардиомиоцитов, включающий следующие стадии: (1) стадию дифференцировки и стимуляции образования кардиомиоцитов из клеток, обладающих способностью дифференцироваться в кардиомиоциты с получением содержащей кардиомиоциты смеси клеток; (2) стадию мечения содержащей кардиомиоциты смеси клеток митохондриальным индикатором; и (3) стадию отбора кардиомиоцитов на основе относительного содержания митохондрий в клетках и/или относительного трансмембранного потенциала митохондрий клеток.
13. Способ по п.12, где указанный способ дополнительно включает стадию культивирования меченых клеток в отсутствии митохондриального индикатора после стадии (2), перед стадией (3).
14. Способ по п.12 или 13, где указанная клетка, обладающая способностью дифференцироваться в кардиомиоцит, выбрана из группы, состоящей из стволовой клетки, клетки-предшественника и яйцеклетки.
15. Способ по п.12 или 13, где указанный митохондриальный индикатор выбран из группы, состоящей из А1372, D273, D288, D308, D378, D426, D632, D633, D22421, D23806, L6868, М7502, М7510, М7511, М7512, М7513, М7514, М22422, М22423, М22425, М22426, R302, R634, R648, R14060, R22420, Т639, Т668, Т669 и Т3168.
16. Способ по п.14, где указанный митохондриальный индикатор выбран из группы, состоящей из А1372, D273, D288, D308, D378, D426, D632, D633, D22421, D23806, L6868, М7502, М7510, М7511, М7512, М7513, М7514, М22422, М22423, М22425, М22426, R302, R634, R648, R14060, R22420, Т639, Т668, Т669 и Т3168.
17. Способ оценки содержания кардиомиоцитов в содержащей кардиомиоциты смеси клеток, включающий следующие стадии: (1) стадию мечения содержащей кардиомиоциты смеси клеток митохондриальным индикатором; и (2) стадию определения соотношения кардиомиоцитов и некардиомиоцитов на основе относительного содержания митохондрий в клетках и/или относительного трансмембранного потенциала митохондрий клеток.
18. Способ по п.17, где указанная содержащая кардиомиоциты смесь клеток представляет собой смесь клеток, полученную из целого сердца, или смесь клеток, полученную из клеток, обладающих способностью дифференцироваться в кардиомиоциты.
19. Способ по п.18, где указанная клетка, обладающая способностью дифференцироваться в кардиомиоцит выбрана из группы, состоящей из стволовой клетки, клетки-предшественника и яйцеклетки.
20. Способ по любому из пп.17-19, где указанный митохондриальный индикатор выбран из группы, состоящей из А1372, D273, D288, D308, D378, D426, D632, D633, D22421, D23806, L6868, М7502, М7510, М7511, М7512, М7513, М7514, М22422, М22423, М22425, М22426, R302, R634, R648, R14060, R22420, Т639, Т668, Т669 и Т3168.
РИСУНКИ
|
|