Патент на изобретение №2371452
|
||||||||||||||||||||||||||
(54) СПОСОБ ПОЛУЧЕНИЯ СТАБИЛИЗИРОВАННЫХ ХИМИЧЕСКИ СТОЙКИХ ПОЛИГЕКСАФТОРПРОПИЛЕНОКСИДОВ
(57) Реферат:
Описан способ получения стабилизированных химически стойких полигексафторпропиленоксидов путем обработки полигексафторпропиленоксидов с реакционно-способными фторангидридными группами элементарным фтором при нагревании, причем процесс проводят в одну стадию в никелевом аппарате колонного типа, заполненного никелевой насадкой Гровера, путем подачи элементарного фтора непосредственно в реакционную массу при нагревании до 120-240°С.
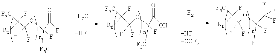
Изобретение относится к получению высокостабильных, химически стойких перфторполиэфиров, на основе гексафторпропилена, широко используемых в качестве смазочных масел, жидких диэлектриков, запорных жидкостей, пластификаторов и модификаторов, поверхностно-активных веществ и других продуктов. Известен периодический способ получения полигексафторпропиленоксида (ПГФПО) фотохимической сополимеризацисй гексафторпропилена (ГФП) с кислородом, барботируемым через массу мономера до конверсии последнего не более 30%. Выход ПГФПО на прореагировавший мономер составляет 90%. Увеличение конверсии гексафторпропилена приводит к резкому снижению выхода целевого продукта. Способ имеет низкую производительность и весьма ограниченную возможность регулирования молекулярной массы ПГФПО (SU 211090, 01.01.1968). Известен другой способ получения ПГФПО сополимеризацией ГФП с кислородом при минус 30 – минус 65°С в присутствии инициатора полимеризации, в качестве которого используют УФ-облучение (фотохимическая сополимеризация). Процесс осуществляют непрерывно, реакционную массу выводят из зоны реакции потоком ГФП, непрерывно циркулирующим со скоростью 0,2-1,0 л/ч на 1 л объема. ПГФПО выделяют путем нагревания смеси от -20 до +50°С, а низкомолскулярные газообразные побочные продукты отделяют от ГФП охлаждением газовой фары при температуре от минус 120 до минус 60°С. ГФП возвращают в зону реакции (SU 410040, 1974). Производительность этого способа в 2-3 раза выше, чем периодического, а конверсия ГФП в целевой продукт практически неограниченна. Однако этому способу присущи: – низкий КПД источников УФ-излучения (экспериментально установлено, что 5-7% мощности ламп расходуется на получение продукта, а остальное на образование паразитного тепла); – большое количество побочных низкомолекулярных продуктов (1.5 моля COF2 на 1 моль ПГФПО); – ограниченная возможность варьирования молекулярной массы ПГФПО, определяемой концентрацией растворенного кислорода, температурой реакционной массы и интенсивностью УФ-излучения из-за трудности регулирования тепломассообмена. Известно, что при фотоокислении ГФП образуется смесь олигомеров, которые содержат активные фторангидридные концевые группы. Для того чтобы сделать их пригодными для применения в качестве высокотемпературных смазочных масел, теплоносителей и т.д., разработаны различные методы обработки концевых фторангидридных групп перфторполиэфиров. Реакцию фотоокисления ГФП кислородом при низкой температуре (минус 30 -минус 70°С) можно представить следующим образом: Rf=CF3O, CF3CF2O – стабильные группы; R1 n=3-50. Из патента СА 701360, 1965 известно замещение концевых групп в перфторполиэфирах на водород при гидролизе и последующем пиролизе калиевых солей при температуре 115-200°С. Образующиеся в результате такой обработки масла отличаются высокой стабильностью. Выход на стадии стабилизации превышает 90%. Однако водородсодержащие ПГФПО обладают более слабыми поверхностно-активными свойствами, чем полностью фторированные ПГФПО, а также большей реакционной способностью. Миллеру удалось получить еще более стабильные концевые группы (US 3242218, 22.03.1966). Исходный ПГФПО подвергают гидролизу до чистых кислот, которые затем фторируют при температуре 184-187°С в инертном растворителе, например, в перфтордиметилциклобутане: Выход и степень превращения были количественными. Продукты, стабилизированные таким способом, применяют в качестве высокотемпературных смазочных масел или теплоносителей. Интересный метод стабилизации описал Миллиан (US 3214478, 26.10.1965), который нашел, что фотолиз концевых фторангидридных групп приводит к декарбонилированию и сочетанию: Этот метод позволяет увеличить молекулярный вес ПГФПО при их стабилизации. Известен способ получения стабилизированного ПГФПО фторированием под действием света (G. Marchionni, A.Staccione, etc., J.Fluorine Chem., 47, 515 (1990)). Данный способ заключается в обработке перфторполиэфира с концевыми активными группами фтором с одновременным УФ-облучением при температуре 20-140°С. Способ обеспечивает высокую скорость и довольно высокий выход (80-87%) инертного перфторполиэфира. Однако этот метод характеризуется чрезвычайно сложным аппаратурным оформлением. Из RU 2073692, 20.02.1997 известен способ получения галогенсодержащего, в том числе и фторсодержащего, простого полиэфира, содержащего структурные звенья общей формулы -(CH2-CF2-CF2O)a, где а=2-200, и полученного полимеризацией 2,2,3,3-тетрафтороксетана с газообразным фтором. В примерах 6-10 известного патента описывается, в частности, способ получения стабилизированных ПГФПО из ПГФПО с реакционно-способными фторангидридными группами в фотохимическом реакторе из нержавеющей стали и верхним окном, ламинированным пленкой из полихлортрифторэтилена или сополимером этилентетрафторэтилена, или поливинилиденфторидом, или пленкой ПВА, или с окном из монокристаллов сапфира, или кварцевого стекла. В реактор добавляют перфторполиэфир общей формулы F(CH2CF2CF2O)nCF2CF2COF, где например n=25, смесь нагревают до 100°С в потоке азота на масляной ванне. Затем полимер облучают через окно ртутной лампой высокого давления с расстояния 5 см при перемешивании в потоке газообразной смеси фтора и азота и скорости потока 1 л/м. Температуру внутри реактора поддерживают не более 120°С за счет регулирования температуры масляной ванны. Через 100 часов подачу фтора прекращают и только азот подают в течение 50 часов при скорости 2 л/мин при облучении. После охлаждения до комнатной температуры получают 1.8 кг маслянистого соединения формулы F(СF2СF2СF2O)nСF2СF2СF3. Полученный таким образом продукт ректифицируют при пониженном давлении в 0.05 Торр и получают 1.2 кг фракции, которую перегоняют при температуре в диапазоне 180-220°С. Кинематическая вязкость при 40°С составляет 65 сСт. Фторирование проводят с получением продукта с выходом 28% и 80%. Технической задачей заявленного изобретения является упрощение процесса получения стабильных химстойких ПГФПО и повышение выхода продуктов. Поставленная техническая задача достигается тем, что в способе получения стабилизированных химстойких ПГФПО путем обработки исходной реакционной смеси ПГФПО с реакционно-способными фторангидридными группами элементарным фтором при нагревании процесс осуществляют в одну стадию в никелевом аппарате колонного типа, заполненного никелевой насадкой Гровера путем подачи элементарного фтора непосредственно в реакционную массу при нагревании до 120-240°С. Итак, способ по изобретению заключается в обработке элементарным фтором фторангидридных групп непосредственно во всей реакционной массе Обработку элементарным фтором проводят в никелевом аппарате колонного типа, заполненным никелевой насадкой Гровера. Температура фторирования – 120-240°С. Использование никелевой насадки Гровера значительно увеличивает поверхность контакта реакционной массы с элементарным фтором, что приводит к ускорению процесса обработки сырца с получением стабильного перфторполиэфира. При этом реакционную массу не требуется разбавлять инертным растворителем, а фтор – инертным газом. Выход стабилизированного продукта достигает 90%. Нижеследующие примеры иллюстрируют способ по изобретению, но не ограничивают его. Пример 1. В никелевый аппарат высотой 800 мм и диаметром 300 мм, заполненный насадкой Гровера, загружают сырец ПГФПО, содержащий реакционно-способные фторангидридные группы, с молекулярной массой 1000 ед., включают обогрев и при температуре 120-140°С подают фтор снизу через распределительный диск с отверстиями непосредственно в реакционную массу. Стабилизация проходит в течение 30 часов. Конечный продукт не содержит фторангидридных групп (отсутствие поглощения в ИК-спектрах при 1800 см-1). Выход конечного продукта – 90%. Пример 2. В условиях примера 1 в никелевый реактор загружают сырец перфторполиэфира с молекулярной массой 2000 ед., включают обогрев и при темпераутре от 120 до 240°С обрабатывают реакционную массу фтором в течение 40 часов. Конечный продукт не содержит фторангидридных групп (отсутствие поглощения в ИК-спектрах при 1800 см-1). Выход конечного продукта – 90%. Схематически обработку фтором активных концевых групп можно представить следующим образом: или В результате полученная смесь ПГФПО является инертным продуктом, обладающим высокой химической и термической стойкостью. Все физические свойства и, в первую очередь, вязкость не претерпевают изменений после длительного пребывания перфторполиэфиров при высоких температурах (больше 300°С). Предлагаемый способ стабилизации предпочтительнее известных, так как позволяет в одну стадию получить стабильные высокотемпературные химически инертные соединения. Никелевая насадка Гровера представляет собой пружинную шайбу по ГОСТ 6402-70/DIN127, изготовленную из никеля.
Формула изобретения
Способ получения стабилизированных химически стойких полигексафторпропиленоксидов путем обработки полигексафторпропиленоксидов с реакционноспособными фторангидридными группами элементарным фтором при нагревании, отличающийся тем, что процесс проводят в одну стадию в никелевом аппарате колонного типа, заполненного никелевой насадкой Гровера, путем подачи элементарного фтора непосредственно в реакционную массу при нагревании до 120-240°С.
|
||||||||||||||||||||||||||


f=CF(CF3)COF, CF2COF – реакционно-способные группы;




