|
|
(21), (22) Заявка: 2008137219/04, 17.09.2008
(24) Дата начала отсчета срока действия патента:
17.09.2008
(46) Опубликовано: 27.10.2009
(56) Список документов, цитированных в отчете о поиске:
J. Appl. Phys. 2008, v.104, 053706. JP 2003-183639 A, (JAPAN SCIENCE & TECHNOLOGY CORP). 03.07.2003. DE 10242471 A1, (Rohm. GmbH & Co) 25.03.2004.
Адрес для переписки:
603950, г.Нижний Новгород, ГСП-445, ул. Тропинина, 49, зам. директора ИМХ им. Г.А. Разуваева РАН В.К. Черкасову
|
(72) Автор(ы):
Бочкарев Михаил Николаевич (RU), Каткова Марина Александровна (RU), Ильичев Василий Александрович (RU), Конев Алексей Николаевич (RU)
(73) Патентообладатель(и):
Учреждение Российской академии наук Институт металлоорганической химии им. Г.А. Разуваева РАН (ИМХ РАН) (RU)
|
(54) СОЕДИНЕНИЯ СКАНДИЯ С ГЕТЕРОЦИКЛИЧЕСКИМИ ЛИГАНДАМИ И ОРГАНИЧЕСКИЙ СВЕТОИЗЛУЧАЮЩИЙ ДИОД С ИСПОЛЬЗОВАНИЕМ УПОМЯНУТЫХ СОЕДИНЕНИЙ В КАЧЕСТВЕ ЭМИССИОННОГО СЛОЯ
(57) Реферат:
Изобретение относится к новым химическим соединениям, в частности к комплексам скандия с гетероциклическими лигандами трис[2-(1,3-бензокс(ти/имид)азол-2-ил)фенолят-O,N]скандия общей формулы,

где Х – кислород, или сера, или NH, которые могут быть использованы в качестве электролюминесцентного (эмиссионного) слоя в органических светоизлучающих диодах (ОСИД). Объектом изобретения является также светоизлучающий органический диод, в котором эмиссионный слой выполнен из трис[2-(1,3-бензоксазол-2-ил)фенолят-O,N]скандия. 2 н. и 4 з.п.ф-лы, 1 ил., 2 табл.
Изобретение относится к новым химическим соединениям, в частности к комплексам скандия с гетероциклическими лигандами: трис[2-(1,3-бензокс(ти,имид)азол-2-ил)фенолят-O,N]скандия общей формулы

где Х – кислород, или сера, или NH, которые могут быть использованы в качестве электролюминесцентного (эмиссионного) слоя в органических светоизлучающих диодах (ОСИД).
Эмиссионный слой в ОСИД является средой, в которой непосредственно происходит соединение инжектированных в него электронно-дырочных пар и образование квантов света.
Изобретение относится также к области полупроводниковой оптоэлектроники, а именно к твердотельным источникам света на основе органических светоизлучающих диодов – ОСИД или OLED – Organic Light Emitting Diodes, которые используются для создания плоских цветных информационных экранов и цветовых индикаторных устройств с высокими потребительскими свойствами, а также экономичных и эффективных источников света.
Впервые в качестве эффективного материала эмиссионного слоя был предложен 8-оксихинолинат алюминия Alq3, который в настоящее время традиционно используется как эталон при создании новых органических светоизлучающих устройств. В качестве материала эмиссионного слоя могут быть использованы как органические, так и комплексные соединения металлов (например, полифенилвинилен, оксихинолиновые комплексы алюминия, цинка, карбоксилаты металлов и многие другие соединения). В последнее время в качестве материала эмиссионного слоя активно используются 8-оксихинолинаты иттербия, неодима и эрбия, которые являются эффективными инфракрасными электролюминесцентными материалами (см. например, Успехи химии, т.74, 12, с.1193-1215, 2005).
Несмотря на достаточно большие успехи, достигнутые в области органических светоизлучающих диодов, задача поиска и исследования новых оптоэлектронных материалов остается в настоящий момент чрезвычайно актуальной.
Наиболее близким по сущности и достигаемому эффекту является 8-оксихинолинатный комплекс Scq3 формулы

который проявляет лучшие по сравнению с Alq3 электролюминесцентные свойства при длине волны 540 нм, что соответствует желто-зеленому цвету (см. J. Appl. Phys., 2008, 104, 053706). Вместе с тем, наиболее проблемной областью создания органических светодиодов в настоящее время являются устройства, излучающие в синей области спектра. Других соединений скандия, используемых в качестве эмиссионного слоя в ОСИД, в литературе не описано.
В этом же источнике описан органический светоизлучающий диод конфигурации ITO/TPD/Scq3/Yb, на котором определяли электролюминесцентные свойства известных соединений скандия. Эффективность известного органического светоизлучающего диода составляет 2,6 лм/Вт при яркости 300 кд/м2.
Известный органический светоизлучающий диод содержит несущую основу, выполненную в виде стеклянной подложки с размещенным на ней прозрачным слоем анода из оксида индия, допированного оловом (100 нм, 20 Ом/см2), на котором расположен слой органического вещества с дырочной проводимостью – дырочно-транспортный слой (70 нм), затем расположен излучающий (эмиссионный) слой из оксихинолината скандия (Scq3) (40 нм), а поверх органических слоев расположен металлический слой катода, выполненный, например, из иттербия (150 нм). Упомянутое устройство взято в качестве прототипа.
Задачей, на решение которой направлено заявляемое изобретение, является расширение арсенала химических соединений, проявляющих высокие электролюминесцентные свойства, расширение диапазона излучения и создание на их основе органических светоизлучающих диодов с высокими рабочими характеристиками за счет использования нового химического вещества эмиссионного слоя.
Эта задача решается за счет того, что получены новые соединения скандия с гетероциклическими лигандами: трис[2-(1,3-бензокс(ти, имид)азол-2-ил)фенолят-O,N] скандия общей формулы 1 
где X – кислород, или сера, или NH, которые могут быть использованы в качестве электролюминесцентного (эмиссионного) слоя в органических светоизлучающих диодах (ОСИД).
Получено соединение трис[2-(1,3-бензоксазол-2-ил)фенолят-O,N]скандия формулы 2

где Х – кислород.
Получено соединение трис[2-(1,3-бензотиазол-2-ил)фенолят-O,N]скандия формулы 3

где Х – сера.
Получено трис[2-(1H-бензимидазол-2-ил)фенолят-O,N] скандия формулы 4

где Х – NH.
Заявляемые соединения представляют собой комплексы с гетероциклическими лигандами, хелатно(О,N) связанные с атомом скандия. Лиганд состоит из двух фрагментов – фенольного и гетероциклического, который в качестве гетероатома содержит азот, или кислород, или серу.
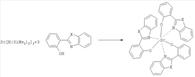
Способ получения соединений заключается во взаимодействии трис-триметилсилиламида скандия с фенолом, содержащим в орто-положении гетероциклический заместитель.

где X=O(1), S(2), NH(3).
Заявителем были изготовлены органические светоизлучающие диоды, в которых эмиссионный слой выполнен из новых соединений трис[2-(1,3-бензоксазол-2-ил)фенолят-O,N]скандия (Sc(OON)3) формулы 2, или трис[2-(1,3-бензотиазол-2-ил)фенолят-O,N]скандия (Sc(SON)3) формулы 3, или трис[2-(1H-бензимидазол-2-ил)фенолят-O,N]скандия) (Sc(NON)3) формулы 4. Опытным путем было установлено, что наилучшими электролюминесцентными свойствами обладает новое соединение трис[2-(1,3-бензоксазол-2-ил)фенолят-O,N]скандия (Sc(ООN)3) формулы 2, которое в качестве эмиссионного слоя может быть использовано в ОСИД (таблица 1).
Эта задача также решается за счет того, что органический светоизлучающий диод, содержащий несущую основу, выполненную в виде подложки с размещенным на ней прозрачным слоем анода, на котором расположены, по меньшей мере, органический излучающий (эмиссионный) слой, выполненный на основе соединений скандия, поверх которого расположен металлический катод, выполненный, например, из иттербия, согласно заявляемому изобретению эмиссионный слой выполнен из трис[2-(1,3-бензоксазол-2-ил)фенолят-O,N]скандия формулы 2

Предпочтительно наличие в устройстве слоя органического вещества с дырочной проводимостью (дырочно-транспортного слоя), расположенного на аноде, роль которого заключается в облегчении переноса дырок от анода к эмиссионному слою. В качестве материала дырочно-транспортного слоя используются соединения, обладающие дырочной проводимостью, например N,N -бис(3-метилфенил)-N,N -дифенилбензидин.
Предпочтительно наличие в устройстве слоя с электронной проводимостью (электронно-транспортного слоя), расположенного под слоем катода, который облегчает инжектирование электронов в эмиссионный слой и часто сочетает в себе функцию эмиссионного слоя. В качестве материала электронно-транспортного слоя используют соединения, обладающие электронной проводимостью. В данном случае используют новое соединение трис[2-(1,3-бензоксазол-2-ил)фенолят-O,N]скандия, которое обладает хорошей электронной проводимостью
В качестве несущей основы могут быть использованы стеклянные или пластмассовые подложки. Стеклянные подложки с размещенным на них слоем анода, материалом которого традиционно является оксид индия, допированный оловом, выпускаются промышленностью. В заявляемом устройстве используются упомянутые подложки. При этом в качестве материала анода могут быть использованы другие соединения, обладающие высокой инжекцией дырок (например, прозрачные оксиды галлия и цинка, нитриды титана и галлия и др.). Электролюминесцентный (эмиссионный) слой является средой, в которой непосредственно происходят соединение инжектированных в него электронно-дырочных пар и образование квантов света. Толщина эмиссионного слоя составляет 30-50 нм.
Опытным путем было установлено, что использование эмиссионного слоя, выполненного из трис[2-(1,3-бензоксазол-2-ил)фенолят-O,N]скандия улучшает рабочие характеристики устройства по сравнению с прототипом.
Заявителем были изготовлены органические светоизлучающие диоды, в которых эмиссионный слой выполнен из трис[2-(1,3-бензоксазол-2-ил)фенолят-O,N]скандия и, для сравнения, из 8-оксихинолината скандия Scq3, и определены их технические характеристики (таблица 2).
| Таблица 2 |
| Комплекс |
Эффективность по току (кд/А) |
Эффективность по мощности (лм/Вт) |
Рабочее напряжение (В) |
эмиссии (нм) |
| Scq3 |
4.6 |
2.6 |
5.5 |
540 |
| Sc(OON)3 |
6.6 |
4.4 |
4.7 |
435 |
Из таблицы 2 видно, что при использовании устройства с эмиссионным слоем, выполненным из трис[2-(1,3-бензоксазол-2-ил)фенолят-O,N] скандия, в сравнении с прототипом, в котором упомянутый слой выполнен из Scq3, эффективность по току увеличивается с 4,6 до 6,6 кд/А, эффективность по мощности увеличивается с 2,6 до 4,4 лм/Вт, длина волны излучения изменяется с 540 на 435 нм излучения, соответствующего синему цвету, а рабочее напряжение при яркости 300 кд/м2, соответствующей яркости работающего монитора, понижается с 5,5 до 4,7 В. Улучшение рабочих характеристик при использовании эмиссионного слоя из нового соединения скандия можно объяснить, по-видимому, свойствами хелатной структуры комплексов скандия с гетероциклическими лигандами. Теоретические подходы не позволяют предсказать обнаруженный эффект, т.е. полученный результат является неочевидным для решения поставленной задачи и явным образом не следует из уровня техники.
Пример 1. Трис[2-(1,3-бензоксазол-2-ил)фенолят-O,N] скандия
К 1 ммоля трис-триметилсилиламиду скандия Sс[N(SiМе3)2]3 в 20 мл тетрагидрофурана прибавляют 3 ммоля 2-(1,3-бензоксазол-2-ил)фенола в 10 мл тетрагидрофурана при перемешивании в течение 30 минут. Реакционную смесь перемешивают еще 30 минут при комнатной температуре, после чего растворитель и летучие продукты реакции удаляют в вакууме. Твердый остаток амида промывают толуолом и после перекристаллизации из диметилформамида выделяют целевой продукт в виде бесцветных кристаллов с Тпл. 320°С. Вычислено: С39H24N3O6Sс: С 69.34, Н 3.58, N 6.22, Sc 6.65. Найдено: Сc69.39, Н 3.62, N 6.26, Sc 6.71. ИК-спектр (вазелиновое масло, см-1): 3050 (пл), 1607 (ср), 1558 (сл), 1523 (ср), 1331 (сл), 1284 (сл), 1257 (ср), 1155 (сл), 1057 (сл), 869 (ср), 802 (ср), 740 (с), 615 (ср). 1Н ЯМР, Py-d5, , м.д.: 6.68 (1Н, д, С(6)-Н), 6.85 (1Н, т, С(4)-H), 6.98-7.76 (м, CAr-H), 7.97-8.02 (2Н, м, СAr-Н).
Пример 2. Трис[2-(1,3-бензотиазол-2-ил)фенолят-O,N] скандия
К 1 ммоля трис-триметилсилиламиду скандия Sс[N(SiМе3)2]3 в 20 мл тетрагидрофурана прибавляют 3 ммоля 2-(1,3-бензотиазол-2-ил)фенола в 10 мл тетрагидрофурана при перемешивании в течение 30 минут. Реакционную смесь перемешивают еще 30 минут при комнатной температуре, после чего растворитель и летучие продукты реакции удаляют в вакууме. Твердый остаток промывают толуолом и после перекристаллизации из диметилформамида выделяют целевой продукт в виде бесцветных кристаллов с Тпл. >350°С. Вычислено: С39H24N3O3S3Sс: С 64.72, Н 3.34, N 5.81, S 13.29, Sc 6.21. Найдено: С 64.78, Н 3.41, N 5.89, S 13.33, Sc 6.27. ИК-спектр (вазелиновое масло, см-1): 3050 (пл), 1597 (с), 1554 (ср), 1335 (ср), 1318 (ср), 1263 (сл), 1216 (сл), 1156 (сл), 970 (сл), 878 (ср), 842 (ср), 750 (с), 724 (с), 616 (ср). 1Н ЯМР, Py-d5, , м.д.: 6.99 (1Н, т, С(4)-Н), 7.28-7.49 (м, СAr-H), 8.02-8.10 (2Н, м, СAr-H).
Пример 3. Трис[2-(1H-бензимидазол-2-ил)фенолят-O,N] скандия
К 1 ммоля трис-триметилсилиламиду скандия Sс[N(SiМе3)2]3 в 20 мл тетрагидрофурана прибавляют 3 ммоля 2-(1H-бензимидазол-2-ил)фенола в 10 мл тетрагидрофурана при перемешивании в течение 30 минут. Реакционную смесь перемешивают еще 30 минут при комнатной температуре, после чего растворитель и летучие продукты реакции удаляют в вакууме. Твердый остаток промывают толуолом и после перекристаллизации из диметилформамида выделяют целевой продукт в виде бесцветных кристаллов с Тпл. >350°С. Вычислено: C39H27N6O3Sc: С 69.64, Н 4.05, N 12.49, Sc 6.68. Найдено: С 69.69, Н 4.15, N 12.43, Sc 6.62. ИК-спектр (вазелиновое масло, см-1): 3170 (сл), 3050 (пл), 1623 (ср), 1600 (ср), 1560 (ср), 1527 (ср), 1311 (ср), 1265 (ср), 1130 (сл), 1038 (сл), 965 (сл), 915 (сл), 850 (с), 803 (ср), 738 (с), 615 (ср). 1Н ЯМР,
Py-d5, , м.д.: 6.70-6.80 (2Н, м, CAr-Н), 7.06-7.34 (м, CAr-Н), 8.13-8.20 (2Н, м, СAr-Н), 8.60 (1Н, д, CAr-H), 13.2(1H, NH).
На чертеже изображен органический светоизлучающий диод, содержащий несущую основу, выполненную в виде стеклянной подложки 1 с размещенным на ней прозрачным слоем анода 2 – источника дырок, выполненным из оксида индия, допированного оловом. На аноде расположен слой органического вещества с дырочной проводимостью 3 – слой проводника дырок, выполненный из N,N -бис(3-метилфенил-N,N -дифенилбензидин толщиной 20 нм. Затем следуют излучающий слой (слой эмиттера) 4, выполненный из трис[2-(1,3-бензоксазол-2-ил)фенолят-O,N]скандия, который является средой, где непосредственно происходят соединение инжектированных в него электронно-дырочных пар и образование квантов света. Упомянутый слой одновременно выполняет функцию электронно-транспортного слоя 5. Поверх органических слоев расположен слой катода 6 – источник электронов, выполненный из иттербия.
Толщина эмиссионного и катодного слоев составляет 50 и 200 нм соответственно.
Устройство работает следующим образом. При подаче напряжения минусом к катоду 6, а плюсом к аноду 2 из них инжектируются соответственно электроны и дырки, т.е. отрицательные и положительные заряды. В излучающем слое 4 происходит рекомбинация этих зарядов, что вызывает эффект электролюминесценции (излучение света). В качестве несущей основы 1 устройства использовали выпускаемую промышленностью стеклянную подложку с размещенным на ней прозрачным слоем оксида индия, допированного оловом, выполняющего функцию анода. Для получения органических пленок материалов слоев, входящих в структуру заявляемого ОСИД и слоя катода, использовали метод термического испарения в вакууме.
Заявляемое устройство с использованием в качестве эмиссионного слоя нового соединения скандия, относящегося к классу эмиссионных соединений в синем диапазоне длины волны, характеризуется высокими техническими характеристиками: эффективность по току и мощности составляет 6,6 кд/А и 4,4 лм/Вт соответственно, рабочее напряжение при яркости 150 кд/м2, что соответствует яркости работающего монитора 4,5 В. При упомянутом рабочем напряжении падение яркости на 10% составляет не менее 4000 часов.
Эффективность заявляемого органического светоизлучающего диода составляет 4.4 лм/Вт при яркости 300 кд/м2.
Создание нового материала расширяет арсенал химических соединений, проявляющих высокие электролюминесцентные и электронопроводящие свойства, что позволяет использовать его в качестве эмиссионного слоя в органических светоизлучающих диодах для улучшения их рабочих характеристик.
Формула изобретения
1. Соединения скандия с гетероциклическими лигандами Трис[2-(1,3-бензокс(ти/имид)азол-2-ил)фенолят-O,N]скандия общей формулы
 где Х – кислород, или сера, или NH, которые могут быть использованы в качестве электролюминесцентного (эмиссионного) слоя в органических светоизлучающих диодах (ОСИД).
2. Соединение по п.1, которое представляет собой трис[2-(1,3-бензоксазол-2-ил)фенолят-O,N]скандия, формулы
 где Х – кислород.
3. Органический светоизлучающий диод, содержащий несущую основу, выполненную в виде подложки с размещенным на ней прозрачным слоем анода, на котором расположен, по меньшей мере, излучающий (эмиссионный) слой, выполненный на основе органического соединения скандия, поверх излучающего слоя расположен металлический катод, выполненный, например, из иттербия, отличающийся тем, что эмиссионный слой выполнен из трис[2-(1,3-бензоксазол-2-ил)фенолят-O,N]скандия.
4. Органический светоизлучающий диод по п.3, отличающийся тем, что содержит слой органического вещества с дырочной проводимостью (дырочно-транспортный слой), выполненный из N,N’-бис(3-метилфенил)-N,N’-дифенилбензидина, расположенный на слое анода.
5. Органический светоизлучающий диод по п.3, отличающийся тем, что содержит слой органического вещества с электронной проводимостью (электронно-транспортный слой), выполненный из трис[2-(1,3-бензоксазол-2-ил)фенолят-O,N]скандия, расположенный под слоем катода.
6. Органический светоизлучающий диод по п.3, отличающийся тем, что слой анода выполнен из оксида индия, допированного оловом.
РИСУНКИ
|
|