|
|
(21), (22) Заявка: 2006125510/04, 20.12.2004
(24) Дата начала отсчета срока действия патента:
20.12.2004
(30) Конвенционный приоритет:
18.12.2003 US 60/530,822 23.01.2004 EP 04001506.7
(43) Дата публикации заявки: 27.01.2008
(46) Опубликовано: 27.10.2009
(56) Список документов, цитированных в отчете о поиске:
WO 03/032962 А2, 24.04.2003. WO 03/031443 А1, 17.04.2003. WO 03/002560 А1, 09.01.2003. WO 02/059116 А2, 01.08.2002. RU 2167873 С2, 27.05.2001.
(85) Дата перевода заявки PCT на национальную фазу:
18.07.2006
(86) Заявка PCT:
EP 2004/014500 20041220
(87) Публикация PCT:
WO 2005/058888 20050630
Адрес для переписки:
101000, Москва, М.Златоустинский пер., 10, кв.15, “ЕВРОМАРКПАТ”, пат.пов. И.А.Веселицкой, рег. 11
|
(72) Автор(ы):
ЮБШВЕРЛЕН Кристиан (FR), СПЕКЛЕН Ж. Л. (FR), БЭШЛИН Даниель Каспар (CH), ШМИТТ Кристин (FR), МЮЛЛЕР Штефан (CH), КАППИ Михаэль (DE)
(73) Патентообладатель(и):
МОРФОХЕМ АКЦИЕНГЕЗЕЛЬШАФТ ФЮР КОМБИНАТОРИШЕ ХЕМИ (DE)
|
(54) ОКСАЗОЛИДИНОН-ХИНОЛОНГИБРИДНЫЕ АНТИБИОТИКИ
(57) Реферат:
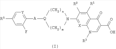
Изобретение относится к соединениям формулы I, к их фармакологически приемлемой соли, сольвату, гидрату.
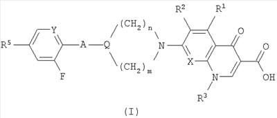
где А означает алкиленовую группу, алкениленовую группу, алкиниленовую группу, гетероалкиленовую группу, циклоалкиленовую группу, гетероциклоалкиленовую группу, ариленовую группу или гетероариленовую группу, причем каждая из указанных групп может быть замещена, Q означает CR4, X означает CR7 или N, Y означает CR6 или N, n равно 1, 2 или 3, m равно 1, 2 или 3, R1 означает Н, F, Cl, Br, I, ОН, NH2, алкильную группу или гетероалкильную группу, R2 означает Н, F или Cl, R3 означает Н, алкильную группу, алкенильную группу, алкинильную группу, гетероалкильную группу, циклоалкильную группу, гетероциклоалкильную группу, арильную группу, гетероарильную группу, алкиларильную группу или гетероарилалкильную группу, причем каждая из указанных групп может быть замещена одним, двумя или более атомами галогена или аминогруппами, R4 означает гидрокси, группу формулы OPO3R9 2 или OSO3R10 или гетероалкильную группу, содержащую по меньшей мере одну ОН, NH2, SO3R10, PO3R9 2 или СООН группу или сложноэфирную группу природной аминокислоты или ее производного, где группы R9 независимо друг от друга означают Н, алкил, циклоалкил, арил или аралкил, a R10 означает Н, алкил, циклоалкил, арил или аралкил, и далее значения для R5, R6,
R7 и R8, такие, как указаны в формуле изобретения, к фармацевтическим композициям, обладающим антимикробной активностью, содержащим вышеописанные соединения, а также к применению соединений формулы (I) и фармацевтической композиции для лечения бактериальной инфекции. Технический результат: получены и описаны новые соединения, которые могут использоваться в качестве антимикробных агентов и которые являются эффективными в отношении множества мультирезистентных бактерий. 4 н. и 14 з.п. ф-лы.
В настоящем изобретении описаны новые соединения, в которых фармакофоры, хинолон и оксазолидинон, связаны линкерной группой, стабильной в физиологических условиях, и фармацевтическая антибактериальная композиция, содержащая указанные соединения. Эти соединения двойного действия могут использоваться в качестве антимикробных агентов, эффективных в отношении множества известных в медицине и ветеринарии патогенов, включающих грамположительные аэробные бактерии, такие, как полирезистентные стафилококки, стрептококки и энтерококки, а также грамотрицательные бактерии, такие, как Moraxella catarrhalis и Haemophilus influenzae, и анаэробные организмы, такие, как различные виды Bacteroides spp. и Clostridia spp., и кислотоустойчивые организмы, такие, как Mycobacterium tuberculosis, Mycobacterium avium spp.
Оксазолидинон-хинолон-гибридные антибиотики описаны в литературе (см. WO 02059116, WO 03002560, WO 03031443, WO 03032962). Главным недостатком соединений, известных из уровня техники, является плохая растворимость в воде, что затрудняет получение соответствующих составов.
В настоящем изобретении предлагаются новые соединения формулы (I), которые используются в качестве антимикробных агентов и являются эффективными в отношении множества полирезистентных бактерий

где А означает алкиленовую группу, алкениленовую группу, алкиниленовую группу, гетероалкиленовую группу, циклоалкиленовую группу, гетероциклоалкиленовую группу, ариленовую группу или гетероариленовую группу, причем каждая из указанных групп может быть замещена,
Q означает CR4 или N (особенно CR4),
Х означает CR7 или N,
Y означает CR6 или N,
n равно 1, 2 или 3,
m равно 1, 2 или 3,
R1 означает Н, F, Cl, Br, I, ОН, NH2, алкильную группу или гетероалкильную группу,
R2 означает Н, F или Cl,
R3 означает Н, алкильную группу, алкенильную группу, алкинильную группу, гетероалкильную группу, циклоалкильную группу, гетероциклоалкильную группу, арильную группу или гетероарильную группу, алкиларильную группу или гетероарилалкильную группу, причем каждая из указанных групп может быть замещена одним, двумя или более атомами галогена, такого, как F или C1, или аминогруппами,
R4 означает гидрокси, группу формулы ОРО3R9 2 или ОSО3R10 или гетероалкильную группу, содержащую по меньшей мере одну группу ОН, NH2, SО3R10, РО2R9 2 или СООН или сложноэфирную группу природной аминокислоты или ее производного, где группы R9 независимо друг от друга означают Н, алкил, циклоалкил, арил или аралкил, а R10 означает H, алкил, циклоалкил, арил или аралкил,
R5 выбирают из следующих групп:
  
  
R6 означает Н, F, Cl или ОМе,
R7 означает Н, F, Cl, ОН, NH2, замещенную или незамещенную алкильную группу, или замещенную или незамещенную гетероалкильную группу, или R3 и R7 могут быть связаны через алкиленовую, алкениленовую или гетероалкиленовую группу, или будут частью циклоалкиленовой или гетероциклоалкиленовой группы, если R3 не означает Н и R7 не означает Н, F, ОН, NH2 или Cl, а
R8 означает C1-С6гетероалкильную, гетероарилалкильную, гетероалкиларильную или гетероалкилгетероарильную группу,
или их фармакологически приемлемая соль, сольват, гидрат или состав.
Подразумевается, что некоторые соединения формулы (I) или (II), указанные в описании заявки, могут существовать в виде таутомерных форм, из которых только одна конкретно упомянута и отображена в описании, различных геометрических изомеров (которые обычно обозначаются как цис/транс изомеры или чаще всего (Е) и (Z) изомеры) или различных оптических изомеров, благодаря присутствию в структуре одного или более хиральных атомов углерода (которые обычно обозначаются в соответствии с правилами Кана-Ингольда-Прелога или как R/S система). Кроме того, некоторые соединения могут существовать в полиморфных формах. Изобретение включает все такие таутомерные формы, геометрические или оптические изомеры (а также рацематы и диастереомеры) и полиморфные формы.
Термин «алкил» означает насыщенную алкильную группу с прямой или разветвленной цепью, содержащую от одного до десяти, предпочтительно от одного до шести, атомов углерода, например группы метил, этил, пропил, изопропил, бутил, изобутил, втор-бутил, трет-бутил, н-пентил, изопентил, н-гексил, 2,2-диметилбутил, н-октил или н-пентил. Любая указанная алкильная группа замещена одним, двумя или более заместителями, например группами F, Cl, Br, I, NH2, ОН, SH или NO2.
Термины алкенил и алкинил означают ненасыщенную алкильную группу с прямой или разветвленной цепью, содержащую одну, две или более двойных и/или тройных связей, причем алкенил предпочтительно содержит одну или две двойные связи, а алкинил предпочтительно содержит одну или две тройные связи, предпочтительно содержащую от двух до десяти, предпочтительно от двух до шести, атомов углерода, например группы этенил (винил), пропенил (аллил), изопропенил, н-пентенил, бутенил, изопренил или гекса-2-енил, этинил, пропинил или бутинил. Любая указанная алкенильная или алкинильная группа замещена одним, двумя или более заместителями, например группами F, Cl, Br, I, NH2, ОН, SH или NO2.
Термин гетероалкил означает группу алкил, алкенил или алкинил, указанную выше, в которой один или более атомов углерода заменены на атом кислорода, азота, фосфора или серы, например группу алкокси, такую, как метокси, этокси, пропокси, изопропокси, бутокси или трет-бутокси, группу алкоксиалкил, такую, как метоксиметил, этоксиметил, 1-метоксиэтил, 1-этоксиэтил, 2-метоксиэтил или 2-этоксиэтил, алкиламиногруппу, такую, как метиламино, этиламино, пропиламино, изопропиламино, диметиламино или диэтиламино, алкилтиогруппу, такую, как метилтио, этилтио или изопропилтио, или цианогруппу. Кроме того, гетероалкил может означать одну из вышеуказанных групп, содержащую кетогруппу. Термин гетероалкил означает также группу, производную от карбокси или карбоксамидогруппы, такую, как ацетил, пропионил, ацетилокси, пропионилокси, ацетиламино или пропиониламино, карбоксиалкильную группу, такую, как карбоксиметил, карбоксиэтил или карбоксипропил, карбоксиалкильный эфир, алкилтиокарбоксиаминогруппу, алкоксииминогруппу, алкиламинотиокарбоксиаминогруппу или алкоксикарбониламиногруппу. Любая гетероалкильная группа, указанная выше, может содержать один, два или более заместителей, например F, Cl, Br, I, NH2, ОН, SH или NO2.
Термин циклоалкил означает насыщенную или частично ненасыщенную (содержащую одну, две или более двойных и/или тройных связей) циклическую группу, включающую один, два или более циклов и от 3 до 14 атомов углерода в цикле, предпочтительно от 5-6 до десяти атомов углерода в цикле, например группу циклопропил, циклобутил, циклопентил, циклогексил, тетралин, циклопентенил или циклогекс-2-енил. Любая циклоалкильная группа, указанная выше, может содержать один, два или более заместителей, например F, Cl, Br, I, ОН, NH2, SH, N3, NO2, алкильные группы, такие, как метил или этил, гетероалкильные группы, такие, как метокси, метиламино, диметиламино или циано.
Термин гетероциклоалкил означает циклоалкильную группу, указанную выше, в которой один, два или более атомов углерода в цикле заменены на один, два или более атомов кислорода, азота, фосфора или серы или на группы S(O)1-2, например группы пиперидино, морфолино или пиперазино.
Термин арил означает ароматическую циклическую группу, включающую один, два или более циклов и от 5 до 14 атомов углерода в цикле, предпочтительно от 5-6 до десяти атомов углерода в цикле, например группу фенил или нафтил. Любая арильная группа, указанная выше, может содержать один, два или более заместителей, например F, Cl, Br, I, ОН, NH2, SH, N3, NO2, алкильные группы, такие, как метил или этил, гетероалкильные группы, такие, как метокси, метиламино, диметиламино или циано.
Термин гетероарил означает арильную группу, указанную выше, в которой один, два или более атомов углерода в цикле заменены на атом кислорода, азота, бора, фосфора или серы, например группы пиридил, имидазолил, пиразолил, хинолинил, изохинолинил, пирролил, оксазолил, изоксазолил, тиазолил, изотиазолил, 1,2,3-триазолил, 1,2,4-триазолил, оксадиазолил, тиадиазолил, индолил, индазолил, тетразолил, пиразинил, пиримидинил и пиридазинил.
Термин аралкил (или арилалкил или алкиларил) означает группы, которые включают как арильную, так и алкильную и/или циклоалкильную группы.
Термин гетероарилалкил (или гетероалкиларил или гетероалкилгетероарил и т.п.) означает аралкильную группу, указанную выше, в которой один, два, три или более атомов углерода заменены на один, два, три или более атомов кислорода, азота, фосфора или серы или на группы S(O)1-2.
Любая алкильная, алкенильная, алкинильная, гетероалкильная, циклоалкильная, гетероциклоалкильная, арильная, гетероарильная, аралкильная или гетероарилалкильная группы, указанные выше, замещены одним или более атомами галогена, группами NH2, SH, NO2 или ОН, или незамещенными группами алкил, гетероалкил, арил, аралкил, аралкилокси, гетероарил, циклоалкил или гетероциклоалкил, указанными выше.
Термин “необязательно замещенный” или “замещенный” означает группы, в которых один или более атомов водорода заменены на атом галогена, на группу NH2, SH, NO2 или ОН, на группу незамещенный алкил, гетероалкил, арил, аралкил, аралкилокси, гетероарил, циклоалкил или гетероциклоалкил, указанную выше.
Предпочтительными и/или преимущественными вариантами осуществления изобретения являются объекты пунктов формулы изобретения.
Предпочтительны соединения формулы (I), в которых R1 означает Н.
Кроме того, предпочтительны соединения формулы (I), в которых R2 означает F или Н.
Более предпочтительны соединения формулы (I), в которых R3 означает этил, 2-пропил, С3-С6циклоалкил (т.е. циклопропил, циклобутил, циклопентил или циклогексил), фенил или пиридил. Все указанные группы замещены одним, двумя, тремя или более атомами фтора или аминогруппами.
Более предпочтительны соединения формулы (I), в которых R3 означает циклопропильную группу.
Кроме того, предпочтительны соединения формулы (I), в которых R7 и R3 вместе образуют мостиковую группу формулы -O-CH2-N(Me)- или -О-СН2-CH(Ме)-, причем в конечном соединении хиральный центр находится в (S)-конфигурации.
Более предпочтительны соединения формулы (I), в которых R4 означает гидрокси или группу формулы OSO3H, ОРО3Н2, ОСН2ОРО3Н2, ОСОСН2СН2СООН или сложный эфир природной аминокислоты или ее производного (т.е. группу формулы -OCOCHR NH2 или ее производное, такое, как сложный эфир, амид или алкиламин, где R’ означает боковую цепь природной аминокислоты, такой, как аспарагиновая кислота, глутаровая кислота, лизин и т.п., например диметиламиноглицин, OCOCH2N(СН3)2).
Кроме того, предпочтительны соединения формулы (I), в которых R8 означает группу формулы -CH2NHCOCH=CHAryl, -СН2О-гетероарил (особенно -окса-3-оксазол), -CH2NHSO2Me, -CH2NHCOOMe, -CH2NHCOMe, -CH2NHCS2Me, -CH2NHCSMe, -CH2NHCSNH2, -CH2NHCSOMe или -NHCOMe, особенно -CH2NHCSMe или -CH2NHCOMe.
Предпочтительны прежде всего соединения формулы (I), в которых R5 означает структуру

Более предпочтительны соединения формулы (I), в которых R7 означает Н, F, Cl или метоксигруппу, замещенную одним, двумя или тремя атомами фтора.
Кроме того, предпочтительны соединения формулы (I), в которых Х означает N или СН.
Более предпочтительны соединения формулы (I), в которых Y означает СН или N.
Кроме того, предпочтительны соединения формулы (I), в которых А означает C1-С6алкилен, С2-С6алкенилен, С2-С6алкинилен, C1-С6гетероалкилен, циклопропилен, эпоксид, азиридин, тиоэпоксид, лактам или лактон, причем каждая группа может быть замещена.
Более предпочтительны соединения формулы (I), в которых А означает группу формулы -О-В-, где В означает С1-С4алкиленовую группу, С2-С4алкениленовую группу, С2-С4алкиниленовую группу или C1-С4гетероалкиленовую группу, причем каждая группа может быть замещена одной, двумя или более гидрокси- или аминогруппами.
Предпочтительны прежде всего соединения формулы (I), в которых А означает группу формулы -СН2СН2-, -ОСН2-, -ОСН2СН2-, -SCH2-, -SCH2CH2-, -СН=СН-, , -СН(ОН)СН(ОН)- или -CH(NH2)CH(OH)-.
Предпочтительны прежде всего соединения формулы (I), в которых В означает СН2 или СН2СН2.
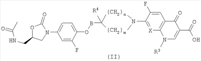
Предпочтительны прежде всего соединения формулы (II)

где остатки имеют значения, указанные выше. В предпочтительном варианте В означает СН2 или СН2СН2, Х означает СН, N или С-ОМе, а R3 означает циклопропил или Х означает CR7, а R7 и R3 вместе образуют мостиковую группу формулы -О-СН2-CH(Ме)-, где в конечном соединении предпочтительной конфигурацией хирального центра является (S)-конфигурация, n равно 1, 2 или 3, m равно 1, 2 или 3, а R4 означает гидрокси или группу формулы OSO3H, ОРО3Н2, ОСН2ОРО3Н2, ОСОСН2СН2СООН или сложный эфир природной аминокислоты или ее производного.
Более предпочтительны моно-, ди- и тринатриевые соли (наиболее предпочтительны мононатриевые соли) соединений формулы (I) или (II) или их смеси. Предпочтительны прежде всего моно-, ди- или тринатриевые соли (наиболее предпочтительны мононатриевые соли) соединений формулы (I) или (II), в которых R4 означает ОРО3Н2 или OSO3H, или их смеси.
Предпочтительна прежде всего натриевая соль соединения формулы (II), в котором R3 означает циклопропильную группу, Х означает CH или N, n равно 2, m равно 2, R4 означает ОРО3Н2, а В означает СН2.
Настоящее изобретение также относится к фармакологически приемлемым солям, или сольватам и гидратам, соответственно, и к композициям и составам соединений формулы (I) или (II). В настоящем изобретении описаны методики получения фармацевтически приемлемых агентов, которые содержат указанные соединения, а также применение указанных соединений для получения фармацевтически приемлемых агентов.
Фармацевтические композиции по настоящему изобретению содержат по меньшей мере одно соединение формулы (I) или (II) в качестве активного агента и необязательно носители и/или разбавители и/или адъюванты. Кроме того, фармацевтические композиции по настоящему изобретению необязательно содержат дополнительные известные антибиотики.
Примерами фармакологически приемлемых солей оснований формулы (I) или (II) являются соли физиологически приемлемых минеральных кислот, таких, как хлористоводородная кислота, бромистоводородная кислота, серная и фосфорная кислота, или органических кислот, таких, как метансульфоновая, пара-толуолсульфоновая, молочная, уксусная, трифторуксусная, лимонная, янтарная, фумаровая, малеиновая и салициловая кислота. Кроме того, кислотное соединение формулы (I) или (II) может образовывать соли с щелочными или щелочно-земельными металлами, например, соли натрия, калия, лития, кальция или магния, соли аммония или соли органических оснований, например соли метиламина, диметиламина, триметиламина, триэтиламина, этилендиамина, этаноламина, гидроксида холина, меглумина, пиперидина, морфолина, трис(2-гидроксиэтил)амина, лизина или аргинина. Соединения формулы (I) или (II) могут образовывать сольваты, особенно гидраты. Гидратирование может происходить в процессе получения или из-за гигроскопичности первоначально безводного соединения формулы (I) или (II). Соединения формулы (I) или (II) могут содержать асимметрические атомы углерода и могут присутствовать в форме ахиральных соединений, смесей диастереомеров, смесей энантиомеров или в форме оптически чистых соединений.
Кроме того, настоящее изобретение относится к пролекарствам, которые включают соединение формулы (I) или (II) и по меньшей мере одну фармакологически приемлемую защитную группу, которая отщепляется в физиологических условиях, такую, как алкокси-, аралкокси-, ацил-, SO3H, РО3Н2, ацилоксиметильная группа (например, пивалоилоксиметил), 2-алкил-, 2-арил- или 2-аралкилоксикарбонил-2-алкилиденэтильная группа или ацилоксигруппа, указанная выше, например этокси, бензилокси, ацетил или ацетилокси. Предпочтительны прежде всего пролекарства, представляющие собой соединение формулы (I) или (II), где R4 означает ОН, модифицированное по гидроксигруппе.
Как указано выше, терапевтические агенты, которые содержат соединения формулы (I) или (II), их сольваты, соли или составы, также включены в объем настоящего изобретения. В общем случае соединения формулы (I) или (II) вводят известными и приемлемыми способами, известными в уровне техники, отдельно или в комбинации с любым другим терапевтическим агентом. Такие терапевтические агенты можно вводить одним из следующих способов: пероральным способом, например, в форме таблеток, драже, таблеток в оболочке, пилюлей, полутвердых препаратов, мягких или твердых капсул, например мягких или твердых желатиновых капсул, водных или масляных растворов, эмульсий, суспензий или сиропов; парентеральным способом, включающим внутривенную, внутримышечную и подкожную инъекцию, например, в форме инъекционного раствора или суспензии; ректальным способом в форме суппозитория; ингаляцией или вдуванием, например, порошкообразного состава в форме микрокристаллов или спрея (например, жидкого аэрозоля); чрескожным способом, например, с использованием системы чрескожной доставки (TDS), такой, как пластырь, содержащий активный ингредиент, или интраназальным способом. При получении таких таблеток, драже, пилюлей, полутвердых препаратов, таблеток в оболочке, драже и твердых, например, желатиновых, капсул, терапевтически эффективный продукт смешивают с фармацевтически инертными неорганическими или органическими эксципипентами, такими, например, как лактоза, сахароза, глюкоза, желатин, солод, силикагель, крахмал или его производные, тальк, стеариновая кислота или ее соли, сухое обезжиренное молоко и т.п. При получении мягких капсул в качестве эксципиентов используются, например, растительные, минеральные, животные или синтетические масла, воски, жиры, полиолы. При получении жидких растворов, эмульсий или суспензий или сиропов в качестве эксципипентов используются, например, вода, спирты, солевой раствор, водная декстроза, полиолы, глицерин, липиды, фосфолипиды, циклодекстрины, растительные, минеральные, животные или синтетические масла.
Предпочтительны прежде всего липиды и более предпочтительны фосфолипиды (предпочтительно природного происхождения; особенно с размерами частиц от 300 до 350 нм), предпочтительно в солевом фосфатном буферном растворе (рН 7-8, предпочтительно 7,4). При получении суппозиториев в качестве эксципиентов можно использовать, например, растительные, минеральные, животные или синтетические масла, воск, жиры и полиолы. В аэрозольных составах используются пригодные для этих целей сжатые газы, например кислород, азот и диоксид углерода. Фармацевтически пригодные агенты могут также содержать дополнительные компоненты, такие, как консерванты, стабилизаторы, например, УФ-защитные средства, эмульгаторы, подсластители, ароматизаторы, соли для изменения осмотического давления, буферные вещества, компоненты оболочки и антиоксиданты.
Для специалиста в данной области представляется очевидной суточная доза для одного пациента от приблизительно 1 мг до приблизительно 4000 мг, особенно от приблизительно 50 мг до приблизительно 3 г, причем подразумевается, что доза зависит от возраста и состояния пациента (млекопитающего) и типа заболевания, которое подлежит излечению или профилактике. Суточную дозу можно вводить в виде разовой дозы или раздельными дозами. Средняя разовая доза может составлять приблизительно 50 мг, 100 мг, 250 мг, 500 мг, 1000 мг и 2000 мг.
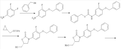
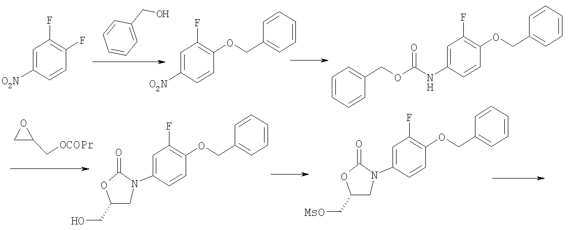
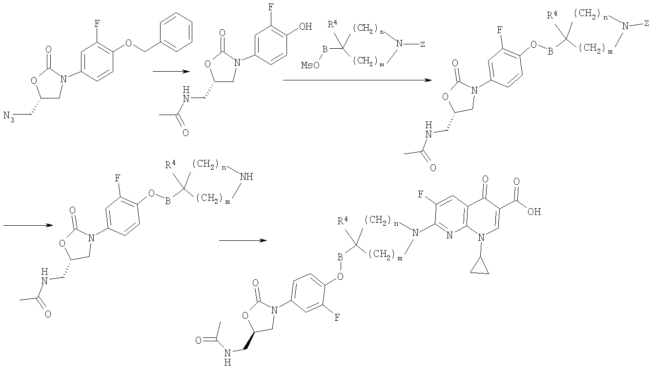
Соединения формулы (I) и (II) можно синтезировать, как показано на следующей схеме:


Условия реакции
Стадия 1: CH2Cl2, КОН (50%), 3 ч, КТ, 97%.
Стадия 2: Н2, Pt/C, 20 ч, КТ, затем Z-Cl (Cbz-Cl), ацетон/вода, NaHCO3, 12 ч, КТ, 98%.
Стадия 3: н-BuLi, -60°С, 24 ч, 80%.
Стадия 4: MsCl, триэтиламин, CH2Cl2, 100%.
Стадия 5: NaN3 в ДМФА, 90°С, катализатор Bu4NI, 5 ч, 90%.
Стадия 6: Н2, Pd(OH)2, ТГФ, МеОН, 24 ч, затем АсОН, Ac2O, КТ, 2 ч, 70%.
Стадия 7: ДМФА, NaH, 70°C, 12 ч, 75%.
Стадия 8: H2, Pd(OH)2, МеОН, ТГФ, 24 ч, КТ, 100%.
Стадия 9: N-метилпирролидинон, 1-циклопропил-7-хлор-6-фтор-1,4-дигидро-4-оксо-1,8-нафтиридин-3-карбоновая кислота (коммерческий препарат), TMS-Cl, основание Хюнига или К2СО3, 80°С, 5 ч, 80%.
Примеры
Пример 1
7-(4-{4-[(5S)-5-(Ацетиламинометил)-2-оксооксазолидин-3-ил]-2-фторфеноксиметил}-4-гидроксипиперидин-1-ил)-1-циклопропил-6-фтор-4-оксо-1,4-дигидро[1,8]нафтиридин-3-карбоновая кислота

Стадия 1
Бензиловый эфир (4-бензилокси-3-фторфенил)карбаминовой кислоты
Раствор 34,9 г 1-бензилокси-2-фтор-4-нитробензола (WO 03064413) (MM: 247,28, 141 ммоль) и 340 мг 5% платины на активированном угле в 350 мл этилацетата перемешивали в атмосфере водорода при КТ и нормальном давлении. По результатам анализа методом ЖХВР реакция завершалась через 20 ч. Катализатор отделяли фильтрованием через стекловолоконный фильтр и фильтрат упаривали при пониженном давлении досуха. Маслообразный остаток растворяли в 500 мл ацетона, добавляли 250 мл насыщенного раствора бикарбоната натрия и 17,5 г бикарбоната натрия (ММ: 84,01, 208 ммолей). Смесь охлаждали до 5°С и добавляли по каплям 26,08 г бензилхлорформиата (ММ: 170,59, 152 ммоля) и смесь перемешивали при комнатной температуре в течение 2 ч, контролируя ход реакции методом ТСХ (элюент: гексан/этилацетат, 3:1). Ацетон выпаривали, остаток разбавляли добавлением 500 мл воды и твердое вещество отделяли фильтрованием. Кристаллы промывали 500 мл воды и высушивали. Выход: 48,05 г, 95,8%. МС (ESI+): 352,5 (M+H)+, MC (ESI–): 350,8, (M-H)+.
Стадия 2
(5R)-3-(4-Бензилокси-3-фторфенил)-5-гидроксиметилоксазолидин-2-он
Раствор 17,5 г бензилового эфира (4-бензилокси-3-фторфенил)карбаминовой кислоты (ММ: 351,38, 50 ммолей) в 30 мл сухого тетрагидрофурана перемешивали при охлаждении до -78°С на бане с сухим льдом/ацетоном. Затем в смесь добавляли по каплям 22,8 мл 2,3 М раствора н-бутиллития (52,5 ммоля) в н-гексане и реакционную смесь перемешивали при -78°С в течение 15 мин. Затем в смесь добавляли 7,92 г R(-)-глицидилбутирата (ММ: 144,17, 60 ммолей) и реакционную смесь нагревали до комнатной температуры. Реакцию контролировали методом ЖХВР, останавливали добавлением насыщенного раствора хлорида аммония и смесь разбавляли добавлением 100 мл этилацетата. Органический слой промывали 200 мл воды и 200 мл солевого раствора. Органический слой сушили над сульфатом магния, фильтровали и фильтрат упаривали при пониженном давлении. Остаток кристаллизовали из 200 мл смеси этилацетат/гексан, 1:1. Твердое вещество отделяли фильтрованием и перекристаллизовывали из 150 мл смеси этилацетат/дихлорметан, 9:1. Бесцветные кристаллы отделяли фильтрованием и высушивали. Выход: 10,4 г, 65,5%. МС (ESI+): 318,1 (М+Н)+.
Стадия 3
(5S)-5-Азидометил-3-(4-бензилокси-3-фторфенил)оксазолидин-2-он
В раствор 10 г (5R)-3-(4-бензилокси-3-фторфенил)-5-гидроксиметилоксазолидин-2-она (ММ: 317,32, 31,51 ммоля) и 4,78 г триэтиламина (ММ: 101,19, 47,26 ммоля) в 300 мл дихлорметана при перемешивании при 10°С добавляли 4,32 г метансульфонилхлорида (ММ: 114,55, 37,82 ммоля). Смесь перемешивали при комнатной температуре в течение 1 ч, контролируя ход реакции методом ТСХ (элюент: этилацетат/гексан, 1:1). Реакцию останавливали добавлением 100 мл воды, органический слой промывали 100 мл солевого раствора, сушили над сульфатом магния, фильтровали и фильтрат упаривали при пониженном давлении. Остаток растворяли в 100 мл диметилформамида, добавляли 5,12 г азида натрия (ММ: 65,01, 78,7 ммоля) и каталитическое количество иодида тетрабутиламмония. Суспензию перемешивали при 90°С в течение ночи, контролируя ход реакции методом ЖХВР. Диметилформамид выпаривали при пониженном давлении, остаток растворяли в 200 мл дихлорметана и органический слой последовательно промывали 100 мл воды и 100 мл солевого раствора. Раствор в дихлорметане сушили над сульфатом магния, фильтровали и фильтрат упаривали при пониженном давлении. Остаток кристаллизовали из 150 мл смеси этилацетат/гексан, 1:1. Кристаллы отделяли фильтрованием, при этом получали твердое вещество грязно-белого цвета. Выход: 10,4 г, 97%. MS (ESI+): 343,1 (M+H)+-.
Стадия 4
N-[(5S)-{3-(3-Фтор-4-гидроксифенил)}-2-оксооксазолидин-5-илметил]ацетамид
Суспензию 10,4 г (5S)-5-азидометил-3-(4-бензилокси-3-фторфенил)оксазолидин-2-она (ММ: 342,33, 30,38 ммоля) и 1,5 г 10% палладия на активированном угле в 400 мл смеси метанол/этилацетат, 1:1, перемешивали при комнатной температуре в атмосфере водорода в течение 2 сут. Катализатор отделяли фильтрованием через стекловолоконный фильтр и фильтрат упаривали при пониженном давлении. Остаток растворяли в 100 мл уксусной кислоты и добавляли 3,72 г уксусного ангидрида (ММ: 102,09, 36,45 ммоля). Растворитель упаривали при пониженном давлении, остаток кристаллизовали из смеси этилацетат/гексан, 1:1, при этом получали твердое вещество грязно-белого цвета. Выход: 6,76 г, 83%. MS (ESI+): 269,4 (M+H)+, MC (ESI–): 267,3
(M-H)–.
Стадия 5
Бензиловый эфир 4-{4-[(5S)-5-(ацетиламинометил)-2-оксооксазолидин-3-ил]-2-фторфеноксиметил}-4-гидроксипиперидин-1-карбоновой кислоты
Суспензию 22,72 г бензилового эфира 1-окса-6-азаспиро[2.5]октан-6-карбоновой ктслоты (WO 9803507) (MM: 247,29, 92 ммоля), 21,45 г N-[(5S)-{3-(3-фтор-4-гидроксифенил)}-2-оксооксазолидин-5-илметил]ацетамида (MM: 268,246, 80 ммолей) и 16,58 г карбоната калия (ММ: 138,20, 120 ммолей) в 150 мл диметилформамида перемешивали при 100°С в течение 7 ч, контролируя ход реакции методом ТСХ (элюент: дихлорметан/метанол, 9:1). Диметилформамид выпаривали при пониженном давлении и остаток растворяли в 600 мл смеси дихлорметан/метанол, 9:1. Органический слой последовательно промывали 400 мл воды и 400 мл солевого раствора. Органический слой сушили над сульфатом магния, фильтровали и фильтрат разбавляли добавлением 250 мл этилацетата. Смесь концентрировали при пониженном давлении до конечного объема 400 мл. Суспензию перемешивали при комнатной температуре в течение ночи. Кристаллы отделяли фильтрованием и последовательно промывали 150 мл этилацетата и 100 мл пентана. Выход: 31,65 г, 76,7%. MS (ESI+): 516,8 (М+Н)+.
Стадия 6
N-[{(5S)-3-[3-Фтор-4-(4-гидроксипиперидин-4-илметокси)фенил]-2-оксооксазолидин-5-илметил}]ацетамид
Суспензию 31 г бензилового эфира 4-{4-[(5S)-5-(ацетиламинометил)-2-оксооксазолидин-3-ил]-2-фторфеноксиметил}-4-гидроксипиперидин-1-карбоновой кислоты (ММ: 515,54, 60,13 ммоля) и 2,5 г 10% палладия на активированном угле в 310 мл метанола и 150 мл этилацетата перемешивали в атмосфере водорода в течение 4 ч, контролируя ход реакции методом ТСХ (элюент: этилацетат). Суспензию разбавляли 300 мл метанола, нагревали до 40°С и катализатор отделяли фильтрованием через стекловолоконный фильтр. Фильтрат концентрировали до 150 мл, разбавляли добавлением 300 мл этилацетата и повторно концентировали до 200 мл. Затем добавляли 200 мл диэтилового эфира и суспензию перемешивали при охлаждении до 0°С. Твердое вещество отделяли фильтрованием и высушивали. Выход: 21,6 г, 94,3%. МС (ESI+): 382,6 (М+Н)+.
Стадия 7
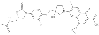
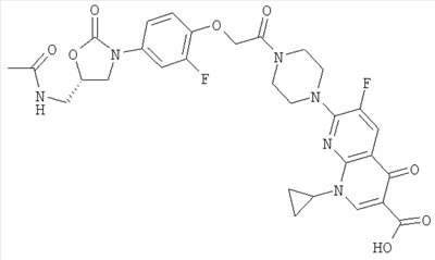
7-(4-{4-[(5S)-5-(Ацетиламинометил)-2-оксооксазолидин-3-ил]-2-фторфеноксиметил}-4-гидроксипиперидин-1-ил)-1-циклопропил-6-фтор-4-оксо-1,4-дигидро[1,8]нафтиридин-3-карбоновая кислота
Суспензию 71 мг 7-хлор-1-циклопропил-6-фтор-1,4-дигидро-4-оксо[1,8]нафтиридин-3-карбоновой кислоты (ММ: 282,66, 0,25 ммоля), 95 мг N-[{(5S)-3-[3-фтор-4-(4-гидроксипиперидин-4-илметокси)фенил]-2-оксооксазолидин-5-илметил}]ацетамида (ММ: 381,40, 0,25 ммоля), 102 мг триэтиламина (ММ: 101,19, 1,0 ммоль) и 81 мг триметилхлорсилана (ММ: 108,64, 0,75 ммоля) в 1 мл N-метилпирролидин-2-она перемешивали при нагревании при 80°С в течение 5 ч, контролируя ход реакции методом ТСХ (элюент: дихлорметан/метанол, 9:1). N-Метилпирролидин-2-он выпаривали, остаток растворяли в 20 мл смеси дихлорметан/метанол, 9:1, и раствор последовательно промывали 10 мл 0,1 н. соляной кислоты и 20 мл солевого раствора. Органический слой сушили над сульфатом магния, фильтровали и фильтрат упаривали. Остаток растворяли в 10 мл смеси дихлорметан/метанол, 9:1, и разбавляли добавлением 20 мл этилацетата. Выпавший осадок отделяли фильтрованием, при этом получали твердое вещество грязно-белого цвета. Вторую порцию получали при концентировании маточного раствора при пониженном давлении. Выход: 100 мг, 64%. МС (ESI+): 628,8 (М+Н)+, МС (ESI–): 626,8 (М-Н)–.
Пример 2
7-(4-{4-[(5S)-5-(Ацетиламинометил)-2-оксооксазолидин-3-ил]-2-фторфеноксиметил}-4-фосфонооксипиперидин-1-ил)-1-циклопропил-6-фтор-4-оксо-1,4-дигидро[1,8]нафтиридин-3-карбоновая кислота

Стадия 1
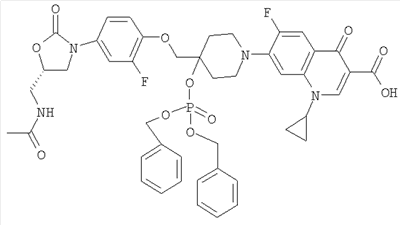
7-[4-{4-[(5S)-5-(Ацетиламинометил)-2-оксооксазолидин-3-ил]-2-фторфеноксиметил}-4-(бис-бензилоксифосфорилокси)пиперидин-1-ил]-1-циклопропил-6-фтор-4-оксо-1,4-дигидро[1,8]нафтиридин-3-карбоновая кислота
В суспензию 125 мг 7-(4-{4-[(5S)-5-(ацетиламинометил)-2-оксооксазолидин-3-ил]-2-фторфеноксиметил}-4-гидроксипиперидин-1-ил)-1-циклопропил-6-фтор-4-оксо-1,4-дигидро[1,8]нафтиридин-3-карбоновой кислоты (ММ: 627,60, 0,2 ммоля) и 42 мг тетразола (ММ: 70,05, 0,6 ммоля) в 1 мл дихлорметана добавляли 138 мг дибензил-N,N-диизопропилфосфорамидита (ММ: 345,42, 0,4 ммоля), при этом наблюдалось медленное превращение исходной суспензии в прозрачный раствор. Раствор перемешивали при комнатной температуре в течение 2 ч, контролируя ход реакции методом ТСХ (элюент: дихлорметан/метанол, 9:1). Реакционную смесь охлаждали до 0°С и добавляли 0,6 мл 0,5 М раствора мета-хлорбензойной кислоты в дихлорметане. Смесь перемешивали при комнатной температуре в течение 2 ч и разбавляли добавлением 20 мл дихлорметана. Органический слой последовательно промывали 20 мл насыщенного раствора бикарбоната натрия, 20 мл солевого раствора и сушили над сульфатом магния. Суспензию фильтровали и фильтрат упаривали при пониженном давлении. Остаток очищали хроматографией на силикагеле (элюент: дихлорметан/метанол, 9:1), при этом получали твердое вещество грязно-белого цвета. Выход: 158 мг, 89%. MS (ESI+): 889,3 (M+H)+, MC (ESI–): 887,0 (M-H)–.
Стадия 2
7-(4-{4-[(5S)-5-(Ацетиламинометил)-2-оксооксазолидин-3-ил]-2-фторфеноксиметил}-4-фосфонооксипиперидин-1-ил)-1-циклопропил-6-фтор-4-оксо-1,4-дигидро[1,8]нафтиридин-3-карбоновая кислота
Суспензию 158 мг 7-[4-{4-[(5S)-5-(Ацетиламинометил)-2-оксооксазолидин-3-ил]-2-фторфеноксиметил}-4-(бис-бензилоксифосфорилокси)пиперидин-1-ил]-1-циклопропил-6-фтор-4-оксо-1,4-дигидро[1,8]нафтиридин-3-карбоновой кислоты (ММ: 887,84, 0,177 ммоля) и 20 мг 20% гидроксида палладия на активированном угле в 20 мл смеси дихлорметан/метанол/вода, 6:3:1, перемешивали при комнатной температуре в атмосфере водорода в течение 3 ч. Катализатор отделяли фильтрованием через стекловолоконный фильтр, растворители упаривали при пониженном давлении и остаток растворяли в 10 мл метанола. Раствор разбавляли добавлением 20 мл воды, при этом наблюдалось образование осадка белого цвета. Твердое вещество отделяли фильтрованием и высушивали. Выход: 85 мг, 68%. МС (ESI+): 709,0 (М+Н)+, МС
(ESI–): 706,5 (М-Н)–.
Пример 3
7-[4-{4-[(5S)-5-(Ацетиламинометил)-2-оксооксазолидин-3-ил]-2-фторфеноксиметил}-4-(2,6-диаминогексаноилокси)пиперидин-1-ил]-1-циклопропил-6-фтор-4-оксо-1,4-дигидро[1,8]нафтиридин-3-карбоновая кислота

Стадия 1
трет-Бутиловый эфир 4-{4-[(5S)-5-(ацетиламинометил)-2-оксооксазолидин-3-ил]-2-фторфеноксиметил}-4-гидроксипиперидин-1-карбоновой кислоты
Указанное соединение получали при взаимодействии 3,83 г трет-бутилового эфира 1-окса-6-азаспиро[2.5]октан-6-карбоновой кислоты (WO 0204462) (MM: 213,28, 18 ммолей) и 4,02 г N-[(5S)-{3-(3-фтор-4-гидроксифенил)}-2-оксооксазолидин-5-илметил]ацетамида (MM: 268,246, 15 ммолей) в присутствии 3,1 г карбоната калия (ММ: 138,20, 22,5 ммоля) в 30 мл диметилформамида, аналогично тому, как описано в примере 1, стадия 5. Выход: 4,89 г, 67%. МС (ESI+): 482,6 (М+Н)+.
Стадия 2
трет-Бутиловый эфир 4-{4-[(5S)-5-(ацетиламинометил)-2-оксооксазолидин-3-ил]-2-фторфеноксиметил}-4-(2,6-бис-бензилоксикарбониламиногексаноилокси)пиперидин-1-карбоновой кислоты
В суспензию 96 мг трет-бутилового эфира 4-{4-[5-(5S)-(ацетиламинометил)-2-оксооксазолидин-3-ил]-2-фторфеноксиметил}-4-гидроксипиперидин-1-карбоновой кислоты (ММ: 481,52, 0,2 ммоля), 195 мг Z-Lys(Z)-OH (MM: 414,46, 0,4 ммоля) и 49 мг 4-диметиламинопиридина (MM: 122,17, 0,4 ммоля) в 2 мл дихлорметана при перемешивании при комнатной температуре добавляли 115 мг гидрохлорида N-(3-диметиламинопропил)-N -этилкарбодиимида (ММ: 191,70, 0,6 ммоля) и реакционную смесь перемешивали в течение ночи. Смесь разбавляли добавлением 20 мл этилацетата, органический слой последовательно промывали 10 мл 1 н. соляной кислоты, 20 мл воды и 20 мл солевого раствора, сушили над сульфатом магния, фильтровали и фильтрат упаривали досуха. Остаток очищали хроматографией на силикагеле (элюент: дихлорметан/метанол, 9:1), при этом получали бесцветное вязкое масло. Выход: 150 мг, 88%. МС (ESI+): 878,8 (М+Н)+.
Стадия 3
Гидрохлорид 4-{4-[(5S)-5-(ацетиламинометил)-2-оксооксазолидин-3-ил]-2-фторфеноксиметил}пиперидин-4-илового эфира 2,6-бис-бензилоксикарбониламиногексановой кислоты
200 мг трет-бутилового эфира 4-{4-[5-(5S)-(ацетиламинометил)-2-оксооксазолидин-3-ил]-2-фторфеноксиметил}-4-(2,6-бис-бензилоксикарбониламиногексаноилокси)пиперидин-1-карбоновой кислоты (ММ: 977,97, 0,22 ммоля) растворяли в 4 мл 1,25 М раствора сухого HCl в метаноле. Реакционную смесь перемешивали при 40°С в течение 2 ч, растворитель удаляли перегонкой при пониженном давлении, при этом получали твердое вещество грязно-белого цвета. Выход: 178 мг, колич. МС (ESI+): 778,8 (М+Н)+.
Стадия 4
7-[4-{4-[(5S)-5-(Ацетиламинометил)-2-оксооксазолидин-3-ил]-2-фторфеноксиметил}-4-(2,6-бис-бензилоксикарбониламиногексаноилокси)пиперидин-1-ил]-1-циклопропил-6-фтор-4-оксо-1,4-дигидро[1,8]нафтиридин-3-карбоновая кислота
Указанное соединение получали при взаимодействии 62 мг 7-хлор-1-циклопропил-6-фтор-1,4-дигидро-4-оксо[1,8]нафтиридин-3-карбоновой кислоты (ММ: 282,66, 0,25 ммоля), 178 мг гидрохлорида 4-{4-[5-(5S)-(ацетиламинометил)-2-оксооксазолидин-3-ил]-2-фторфеноксиметил}пиперидин-4-илового эфира 2,6-бис-бензилоксикарбониламиногексановой кислоты (ММ: 814,31, 0,22 ммоля) и 48 мг триметилхлорсилана (ММ: 108,64, 0,44 ммоля) в присутствии 90 мг триэтиламина (ММ: 101,19, 0,88 ммоля) в 1 мл N-метилпирролидин-2-она аналогично тому, как описано в примере 1, стадия 7. Выход: 94 мг, 42%. МС (ESI+): 1025,3 (М+Н)+.
Стадия 5
7-[4-{4-[(5S)-5-(Ацетиламинометил)-2-оксооксазолидин-3-ил]-2-фторфеноксиметил}-4-(2,6-диаминогексаноилокси)пиперидин-1-ил]-1-циклопропил-6-фтор-4-оксо-1,4-дигидро[1,8]нафтиридин-3-карбоновая кислота
Суспензию 94 мг 7-[4-{4-[(5S)-5-(ацетиламинометил)-2-оксооксазолидин-3-ил]-2-фторфеноксиметил}-4-(2,6-бис-бензилоксикарбониламиногексаноилокси)пиперидин-1-ил]-1-циклопропил-6-фтор-4-оксо-1,4-дигидро[1,8]нафтиридин-3-карбоновой кислоты (ММ: 1024,05, 0,091 ммоля) и 20 мг 20% гидроксида палладия на активированном угле в 20 мл смеси дихлорметан/метанол/вода, 6:3:1, перемешивали при комнатной температуре в атмосфере водорода в течение 4 ч. Катализатор отделяли фильтрованием через стекловолоконный фильтр, растворители упаривали при пониженном давлении и остаток растворяли в 10 мл метанола. Раствор разбавляли добавлением 20 мл воды, при этом наблюдалось образование осадка белого цвета. Твердое вещество отделяли фильтрованием и высушивали. Выход: 29 мг, 43%. МС (ESI+): 757,0 (М+Н)+, МС
(ESI–): 755,2.
Пример 4
Моно-[4-{4-[(5S)-5-(ацетиламинометил)-2-оксооксазолидин-3-ил]-2-фторфеноксиметил}-1-(6-карбокси-8-циклопропил-3-фтор-5-оксо-5,8-дигидро[1,8]нафтиридин-2-ил)пиперидин-4-ил]эфир янтарной кислоты

Стадия 1
4-{4-[(5S)-5-(Ацетиламинометил)-2-оксооксазолидин-3-ил]-2-фторфеноксиметил}-1-трет-бутоксикарбонилпиперидин-4-иловый/бензиловый диэфир янтарной кислоты
825 мг трет-бутилового эфира 4-{4-[(5S)-5-(ацетиламинометил)-2-оксооксазолидин-3-ил]-2-фторфеноксиметил}-4-гидроксипиперидин-1 -карбоновой кислоты (ММ: 481,52, 1,71 ммоля), 1,07 г монобензилового эфира янтарной кислоты (ММ: 208,21, 5,14 ммоля) и 0,63 г 4-диметиламинопиридина (ММ: 122,17, 5,1 ммоля) в 10 мл дихлорметана перемешивали при комнатной температуре в присутствии 1,3 г гидрохлорида N-(3-диметиламинопропил)-N -этилкарбодиимида (ММ: 191,70, 6,8 ммоля) аналогично тому, как описано в примере 3, стадия 2, при этом получали указанное соединение. Выход: 820 мг, 70%. МС (ESI+): 673,3 (М+Н)+.
Стадия 2
4-{4-[(5S)-5-(Ацетиламинометил)-2-оксооксазолидин-3-ил]-2-фторфеноксиметил}пиперидин-4-иловый/бензиловый диэфир янтарной кислоты
820 мг 4-{4-[(5S)-5-(ацетиламинометил)-2-оксооксазолидин-3-ил]-2-фторфеноксиметил}-1-трет-бутоксикарбонилпиперидин-4-илового/бензилового диэфира янтарной кислоты (ММ: 671,72, 1,23 ммоля) растворяли в 4 мл трифторуксусной кислоты и реакционную смесь перемешивали при комнатной температуре в течение 1 ч. Растворитель выпаривали, остаток растворяли в 30 мл смеси дихлорметан/метанол, 9:1, и органический слой последовательно промывали 30 мл насыщенного раствора бикарбоната натрия и 30 мл солевого раствора, сушили над сульфатом магния, фильтровали и фильтрат упаривали при пониженном давлении. Остаток очищали хроматографией на силикагеле (элюент: дихлорметан/метанол (+2% триэтиламина), 95:5). Выход: 420 мг, 60%. МС (ESI+): 572,7 (М+Н)+.
Стадия 3
4-{4-[(5S)-5-(Ацетиламинометил)-2-оксооксазолидин-3-ил]-2-фторфеноксиметил}-1-(6-карбокси-8-циклопропил-3-фтор-5-оксо-5,8-дигидро[1,8]нафтиридин-2-ил)пиперидин-4-иловый/бензиловый диэфир янтарной кислоты
Указанное соединение получали при взаимодействии 113 мг 7-хлор-1-циклопропил-6-фтор-1,4-дигидро-4-оксо[1,8]нафтиридин-3-карбоновой кислоты (ММ: 282,66, 0,4 ммоля), 230 мг 4-{4-[(5S)-5-(ацетиламинометил)-2-оксооксазолидин-3-ил]-2-фторфеноксиметил}пиперидин-4-илового/бензилового диэфира янтарной кислоты (ММ: 571,60, 0,4 ммоля) и 87 мг триметилхлорсилана (ММ: 108,64, 0,8 ммоля) в присутствии 161 мг триэтиламина (ММ: 101,19, 1,6 ммоля) в 2 мл N-метилпирролидин-2-она аналогично тому, как описано в примере 1, стадия 7. Выход: 25 мг, 7,6%. МС (ESI+): 819 (М+Н)+, MC (ESI–): 817,8.
Стадия 4
Моно-[4-{4-[(5S)-5-(ацетиламинометил)-2-оксооксазолидин-3-ил]-2-фторфеноксиметил}-1-(6-карбокси-8-циклопропил-3-фтор-5-оксо-5,8-дигидро[1,8]нафтиридин-2-ил)пиперидин-4-ил]эфир янтарной кислоты
22 мг 4-{4-[(5S)-5-(ацетиламинометил)-2-оксооксазолидин-3-ил]-2-фторфеноксиметил}-1-(6-карбокси-8-циклопропил-3-фтор-5-оксо-5,8-дигидро[1,8]нафтиридин-2-ил)пиперидин-4-иловый/бензиловый диэфир янтарной кислоты (ММ: 817,80, 0,026 ммоля) и 2 мг 20% гидроксида палладия на активированном угле в 20 мл смеси тетрагидрофуран/метанол, 1:1, гидрировали аналогично тому, как описано в примере 3, стадия 5. Выход: 16 мг, 81%. МС (ESI+): 729 (М+Н)+, МС (ESI–): 727 (М+Н)–.
Пример 5
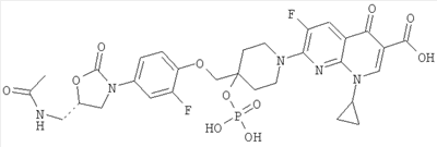
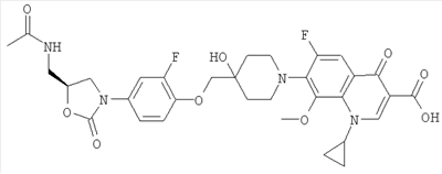
7-(4-{4-[(5S)-5-(Ацетиламинометил)-2-оксооксазолидин-3-ил]-2-фторфеноксиметил}-4-гидроксипиперидин-1-ил)-1 -циклопропил-6-фтор-4-оксо-1,4-дигидрохинолин-3-карбоновая кислота

В раствор 60 г N-[{(5S)-3-[3-фтор-4-(4-гидроксипиперидин-4-илметокси)фенил]-2-оксооксазолидин-5-илметил}]ацетамида (C18H24FN3O5, MM: 381,40, 0,157 моля) и 26,87 мл этилдиизопропиламина (MM: 129,25, 0,157 моля) в 300 мл N-метилпирролидин-2-она добавляли 67,81 г комплекса 7-хлор-1-циклопропил-6-фтор-1,4-дигидро-4-оксо-3-хинолинкарбоновая кислота/диацетат бора (ММ: 410,57, 0,165 моля) и смесь перемешивали при 80°С в течение 5 ч. N-Метилпирролидин-2-он выпаривали при пониженном давлении, остаток растворяли в 300 мл метанола и через полученный раствор при 10°С в течение 30 мин пропускали поток сухого хлористого водорода. Раствор перемешивали при комнатной температуре до образования осадка желтого цвета. Превращение комплекса бора в свободную кислоту контролировали методом ЖХВР. Смесь разбавляли 300 мл этилацетата, твердое вещество отделяли фильтрованием и промывали 100 мл этилацетата/метанола, 8:2, и 100 мл этилацетата. Твердое вещество желтого цвета высушивали, при этом получали 86,4 г продукта, который растворяли в 200 мл диметилсульфоксида при 40°С и в раствор желтого цвета добавляли при перемешивании 1000 мл воды. Твердое вещество желтого цвета отделяли фильтрованием, промывали водой и высушивали. Выход: 73 г, 74,5%. МС (ESI+): 627,8 (М+Н)+, МС (ESI–): 625,8 (М+Н)–.
Пример 6
7-[4-{4-[(5S)-5-(Ацетиламинометил)-2-оксооксазолидин-3-ил]-2-фторфеноксиметил}-4-(бис-бензилоксифосфорилокси)пиперидин-1-ил]-1-циклопропил-6-фтор-4-оксо-1,4-дигидрохинолин-3-карбоновая кислота

В суспензию 35 г 7-(4-{4-[(5S)-5-(ацетиламинометил)-2-оксооксазолидин-3-ил]-2-фторфеноксиметил}-4-гидроксипиперидин-1-ил)-1-циклопропил-6-фтор-4-оксо-1,4-дигидрохинолин-3-карбоновой кислоты (ММ: 626,61, 55,85 ммоля) и 6,45 г тетразола (ММ: 70,05, 92,15 ммоля) в 700 мл дихлорметана при перемешивании при комнатной температуре добавляли раствор 31,8 г дибензилдиизопропилфосфорамидита (ММ: 345,42, 92,15 ммоля) в 20 мл дихлорметана и смесь перемешивали в течение 1 ч, контролируя ход реакции методом ТСХ (элюент: дихлорметан/метанол, 9:1). Смесь промывали при 0°С 200 мл 1 н. соляной кислоты и 100 мл насыщенного раствора бикарбоната натрия. Водный слой снова экстрагировали 200 мл дихлорметана. Объединенные органические слои концентрировали до объема 500 мл и при комнатной температуре добавляли 13,2 мл 70% раствора трет-бутилгидропероксида в воде (ММ: 90,12, 95 ммолей). Реакционную смесь перемешивали в течение 30 мин, разбавляли 500 мл дихлорметана, органический слой промывали 200 мл 1 н. соляной кислоты и 300 мл солевого раствора, сушили над сульфатом магния, фильтровали и фильтрат упаривали при пониженном давлении. Остаток растворяли в 400 мл дихлорметана и разбавляли 400 мл н-гексана. Смесь концентрировали (300 мбар, температура в бане 40°С) до объема 400 мл. Вязкое масло декантировали и растворяли в 400 мл кипящего метанола. Раствор концентрировали при пониженном давлении до объема 300 мл и перемешивали при КТ в течение ночи. Суспензию охлаждали до 0°С и отделяли твердое вещество. Выход: 27,60 г, 55,6%. МС (ESI+): 888,3 (М+Н)+, МС (ESI–): 885,8 (М+Н)–.
Пример 7
7-(4-{4-[(5S)-5-(Ацетиламинометил)-2-оксооксазолидин-3-ил]-2-фторфеноксиметил}-4-фосфонооксипиперидин-1-ил)-1-циклопропил-6-фтор-4-оксо-1,4-дигидрохинолин-3-карбоновая кислота

27 г 7-[4-{4-[(5S)-5-(ацетиламинометил)-2-оксооксазолидин-3-ил]-2-фторфеноксиметил}-4-(бис-бензилоксифосфорилокси)пиперидин-1 -ил]-1-циклопропил-6-фтор-4-оксо-1,4-дигидрохинолин-3-карбоновой кислоты (ММ: 886,85, 30,44 ммоля) суспендировали в 600 мл ацетонитрила и добавляли 53 мл 33% раствора безводной бромистоводородной кислоты в уксусной кислоте. Суспензию желтого цвета разбавляли добавлением 150 мл уксусной кислоты и нагревали при 45°С в течение 3 ч, при этом результаты ЖХВР/МС указывали на завершение реакции. Вязкую суспензию добавляли при перемешивании к 1,5 л воды. Кристаллы грязно-белого цвета отделяли фильтрованием, промывали 300 мл воды, 150 мл этанола и 150 мл эфира. Твердое вещество суспендировали в 1,3 л воды и добавляли 35 мл (35 ммолей) 1 М раствора гидроксида натрия. Твердое вещество растворяли, в раствор желто-коричневого цвета добавляли 15 г активированного угля и смесь фильтровали. Фильтрат экстрагировали тремя порциями по 200 мл смесью дихлорметан/метанол, 95:5. В водный слой добавляли 40 мл 1 М HCl и продукт кристаллизовался при перемешивании. Твердое вещество отделяли и высушивали. Выход: 17,3 г, 80,4%. МС (ESI+): 609,7 (М+Н)+, МС (ESI–): 607,8 (М+Н)–.
Пример 8
7-(4-{4-[(5S)-5-(Ацетиламинометил)-2-оксооксазолидин-3-ил]-2-фторфеноксиметил}-4-гидроксипиперидин-1-ил)-1-циклопропил-6-фтор-4-оксо-1,4-дигидрохинолин-3-карбоновая кислота

Указанное соединение получали при взаимодействии 114 мг N-[{(5S)-3-[3-фтор-4-(4-гидроксипиперидин-4-илметокси)фенил]-2-оксооксазолидин-5-илметил}]ацетамида (ММ: 381,40, 0,3 ммоля), 127 мг диацетилбората 1-циклопропил-6,7-дифтор-1,4-дигидро-8-метокси-4-оксо-3-хинолинкарбоновой кислоты (Sakurai Nobuhiro, Sano Mitsuharu, Hirayama Fumihiro, Kuroda Tsuyoshi, Uemori Satoru, Bioorg. Med. Chem. Lett., 8, 16, 2185-2190 (1998)) (MM: 423,137, 0,3 ммоля) в присутствии 38 мг этилдиизопропиламина (MM: 129,25, 0,3 ммоля) в 1 мл N-метилпирролидин-2-она аналогично тому, как описано в примере 5. Выход: 137 мг, 69,5%. МС (ESI+): 658,2 (М+Н)+, МС (ESI–): 655,8 (М+Н)–.
Пример 9
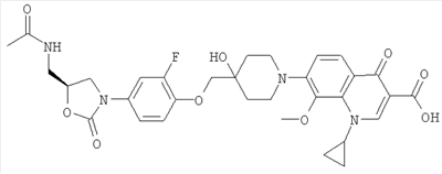
7-(4-{4-[(5S)-5-(Ацетиламинометил)-2-оксооксазолидин-3-ил]-2-фторфеноксиметил}-4-гидроксипиперидин-1-ил)-1-циклопропил-8-метокси-4-оксо-1,4-дигидрохинолин-3-карбоновая кислота

Указанное соединение получали при взаимодействии 114 мг N-[{(5S)-3-[3-фтор-4-(4-гидроксипиперидин-4-илметокси)фенил]-2-оксооксазолидин-5-илметил}]ацетамида (ММ: 381,40, 0,3 ммоля), 121 мг 1-циклопропил-8-метокси-4-оксо-1,4-дигидрохинолин-3-карбоксилата/диацетата бора (WO 03032962, MM: 405,15, 0,3 ммоля) в присутствии 77 мг этилдиизопропиламина (ММ: 129,25, 0,6 ммоля) в 2 мл N-метилпирролидин-2-она аналогично тому, как описано в примере 5. Выход: 117 мг, 61,2%. МС (ESI+): 639,8 (М+Н)+, МС (ESI–): 637,5 (М+Н)–.
Пример 10
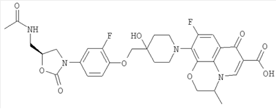
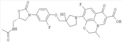
9-(4-{4-[(5S)-5-(Ацетиламинометил)-2-оксооксазолидин-3-ил]-2-фторфеноксиметил}-4-гидроксипиперидин-1-ил)-8-фтор-3-метил-6-оксо-2,3-дигидро-6Н-1-окса-3а-азафенален-5-карбоновая кислота

Раствор 140 мг 9,10-дифтор-2,3-дигидро-3-метил-7-оксо-7Н-пиридо[1,2,3-de]-1,4-бензоксазин-6-карбоновой кислоты (ММ: 281,22, 0,5 ммоля), 191 мг N-[{(5S)-3-[3-фтор-4-(4-гидроксипиперидин-4-илметокси)фенил]-2-оксооксазолидин-5-илметил}]ацетамида (ММ: 381,40, 0,5 ммоля) и 129 мг этилдиизопропиламина (ММ: 129,25, 1 ммоль) в 1 мл N-метилпирролидин-2-она перемешивали при 80°С в течение 24 ч. Растворитель выпаривалим при пониженном давлении, остаток растворяли в метаноле и добавляли 10 мл 1,2 М раствора безводного хлористого водорода в метаноле. Метанол выпаривали, остаток растирали в этилацетате, твердое вещество отделяли и дважды кристаллизовали из смеси дихлорметан/этанол. Выход: 88 мг, 27%. МС (ESI+): 643,7 (М+Н)+, МС (ESI–): 641,5 (М+Н)–.
Пример 11
7-(3-{4-[(5S)-5-(Ацетиламинометил)-2-оксооксазолидин-3-ил]-2-фторфеноксиметил}-3-гидроксипирролидин-1-ил)-1-циклопропил-6-фтор-4-оксо-1,4-дигидро[1,8]нафтиридин-3-карбоновая кислота

Стадия 1
Бензиловый эфир 1-окса-5-азаспиро[2.4]гептан-5-карбоновой кислоты
В раствор бензилового эфира 3-метиленпирролидин-1-карбоновой кислоты (WO 9624593) в 5 мл дихлорметана добавляли 2,16 г бикарбоната натрия (ММ: 84,01, 26,28 ммоля) и 2,47 г 80% мета-хлорпербензойной кислоты (ММ: 172,57, 11,48 ммоля) и реакционную смесь перемешивали при комнатной температуре в течение 3 ч. Реакционную смесь разбавляли добавлением 20 мл насыщенного раствора сульфита натрия и 45 мл дихлорметана. Органический слой последовательно промывали 30 мл насыщенного раствора бикарбоната натрия и солевым раствором. Органический слой сушили над сульфатом магния. Остаток очищали хроматографией на силикагеле (элюент: этилацетат/н-гексан, 1:1), при этом получали твердое вещество грязно-белого цвета. Выход: 440 мг, 57%. МС (ESI+): 234,1 (M+H)+.
Стадия 2
Бензиловый эфир 3-{4-[(5S)-5-(ацетиламинометил)-2-оксооксазолидин-3-ил]-2-фторфеноксиметил}-3-гидроксипирролидин-1-карбоновой кислоты
В раствор 420 мг N-[(5S)-{3-(3-фтор-4-гидроксифенил)}-2-оксооксазолидин-5-илметил]ацетамида (ММ: 268,246, 1,56 ммоля) в 2 мл диметилформамида добавляли 83 мг гидрида натрия и суспензию перемешивали при комнатной температуре в течение 1 ч. Затем в смесь добавляли 440 мг бензилового эфира 1-окса-5-азаспиро[2.4]гептан-5-карбоновой кислоты (ММ: 233,26, 1,88 ммоля) в 1 мл ДМФА и смесь перемешивали при 70°С в течение 3 ч. Диметилформамид выпаривали при пониженном давлении, остаток очищали хроматографией на силикагеле (элюент: дихлорметан/метанол (+1% NH3), 95:5), при этом получали порошок грязно-белого цвета. Выход: 630 мг, 80%. МС (ESI+): 502.5 (М+Н)+.
Стадия 3
N-{(5S)-3-[3-Фтор-4-(3-гидроксипирролидин-3-илметокси)фенил]-2-оксооксазолидин-5-илметил}ацетамид
Суспензию 660 мг бензилового эфира 3-{4-[(5S)-5-(ацетиламинометил)-2-оксооксазолидин-3-ил]-2-фторфеноксиметил}-3-гидроксипирролидин-1-карбоновой кислоты (ММ: 501,51, 1,31 ммоля) и 20 мг 10% палладия на активированном угле в 20 мл смеси этилацетат/метанол, 1:1, перемешивали в течение 12 ч в атмосфере водорода. Катализатор отделяли фильтрованием через стекловолоконный фильтр, фильтрат упаривали при пониженном давлении, при этом получали бесцветное масло. Выход: 400 мг, 83,2%. МС (ESI+): 368,4 (М+Н)+.
Стадия 4
7-(3-{4-[(5S)-5-(Ацетиламинометил)-2-оксооксазолидин-3-ил]-2-фторфеноксиметил}-3-гидроксипирролидин-1-ил)-1-циклопропил-6-фтор-4-оксо-1,4-дигидро[1,8]нафтиридин-3-карбоновая кислота
Указанное соединение получали при взаимодействии 39 мг 7-хлор-1-циклопропил-6-фтор-1,4-дигидро-4-оксо[1,8]нафтиридин-3-карбоновой кислоты (ММ: 282,66, 0,24 ммоля), 99 мг N-{(5S)-3-[3-фтор-4-(3-гидроксипирролидин-3-илметокси)фенил]-2-оксооксазолидин-5-илметил}ацетамида (ММ: 367,38, 0,24 ммоля) в присутствии 101 мг триэтиламина (ММ: 101,19, 1,0 ммоль) и 80 мг триметилхлорсилана (ММ: 108,64, 0,75 ммоля) в 2 мл N-метилпирролидин-2-она аналогично тому, как описано в примере 1, стадия 7. Выход: 70 мг, 46%. МС (ESI+): 614,7 (М+Н)+, МС (ESI–): 612,7 (М+Н)–.
Пример 12
7-(3-{4-[(5S)-5-(Ацетиламинометил)-2-оксооксазолидин-3-ил]-2-фторфеноксиметил}-3-гидроксипирролидин-1-ил)-1-циклопропил-6-фтор-4-оксо-1,4-дигидрохинолин-3-карбоновая кислота

Указанное соединение получали при взаимодействии 106 мг N-{(5S)-3-[3-фтор-4-(3-гидроксипирролидин-3-илметокси)фенил]-2-оксооксазолидин-5-илметил}ацетамида (ММ: 367,38, 0,29 ммоля), 119 мг комплекса (7-хлор-1-циклопропил-6-фтор-1,4-дигидро-4-оксо-3-хинолинкарбоновая кислота/диацетат бора (ММ: 410,57, 0,29 ммоля) в присутствии 75 мг этилдиизопропиламина (ММ: 129,25, 0,58 ммоля) в 2 мл N-метилпирролидин-2-она аналогично тому, как описано в примере 5. Выход: 19 мг, 11%. МС (ESI+): 613,5
(М+Н)+, МС (ESI–): 611,5(М+Н)–.
Пример 13
7-(3-{4-[(5S)-5-(Ацетиламинометил)-2-оксооксазолидин-3-ил]-2-фторфеноксиметил}-3-гидроксипирролидин-1-ил)-1-циклопропил-6-фтор-8-метокси-4-оксо-1,4-дигидрохинолин-3-карбоновая кислота

Указанное соединение получали при взаимодействии 143 мг N-{(5S)-3-[3-фтор-4-(3-гидроксипирролидин-3-илметокси)фенил]-2-оксооксазолидин-5-илметил}ацетамида (ММ: 367,38, 0,39 ммоля), 165 мг 1-циклопропил-6,7-дифтор-1,4-дигидро-8-метокси-4-оксо-3-хинолинкарбоновой кислоты/диацетилбората (ММ: 423,137, 0,39 ммоля) в присутствии 100 мг этилдиизопропиламина (ММ: 129,25, 0,78 ммоля) в 2 мл N-метилпирролидин-2-она аналогично тому, как описано в примере 5. Выход: 143 мг, 57%. МС (ESI+): 643,7 (М+Н)+, МС (ESI–): 641,7 (М+Н)–.
Пример 14
7-(3-{4-[(5S)-5-(Ацетиламинометил)-2-оксооксазолидин-3-ил]-2-фторфеноксиметил}-3-гидроксипирролидин-1-ил)-1-циклопропил-8-метокси-4-оксо-1,4-дигидрохинолин-3-карбоновая кислота

Указанное соединение получали при взаимодействии 48 мг N-{(5S)-3-[3-фтор-4-(3-гидроксипирролидин-3-илметокси)фенил]-2-оксооксазолидин-5-илметил}ацетамида (ММ: 367,38, 0,13 ммоля), 53 мг 1-циклопропил-8-метокси-4-оксо-1,4-дигидрохинолин-3-карбоксилат/диацетат бора (ММ: 405,15, 0,13 ммоля) в присутствии 33 мг этилдиизопропиламина (ММ: 129,25, 0,26 ммоля) в 1 мл N-метилпирролидин-2-она аналогично тому, как описано в примере 5. Выход: 41 мг, 50%. МС (ESI+): 625,8 (М+Н)+, МС (ESI–): 623,8 (М+Н)–.
Пример 15
9-(3-{4-[(5S)-5-(Ацетиламинометил)-2-оксооксазолидин-3-ил]-2-фторфеноксиметил}-3-гидроксипирролидин-1-ил)-8-фтор-3-метил-6-оксо-2,3-дигидро-6Н-1-окса-3а-азафенален-5-карбоновая кислота

Указанное соединение получали при взаимодействии 110 мг 9,10-дифтор-2,3-дигидро-3-метил-7-оксо-7Н-пиридо[1,2,3-de]-1,4-бензоксазин-6-карбоновой кислоты (ММ: 281,22, 0,39 ммоля), 143 мг N-{(5S)-3-[3-фтор-4-(3-гидроксипирролидин-3-илметокси)фенил]-2-оксооксазолидин-5-илметил}ацетамида (ММ: 367,38, 0,39 ммоля) и 100 мг этилдиизопропиламина (ММ: 129,25, 0,78 ммоля) в 2 мл N-метилпирролидин-2-она аналогично тому, как описано в примере 10. Выход: 103 мг, 42%. МС (ESI+): 629,8 (М+Н)+.
Пример 16
7-(4-{4-[(5S)-5-(Ацетиламинометил)-2-оксооксазолидин-3-ил]-2-фторфеноксиметил}-4-гидроксиазепан-1-ил)-1-циклопропил-6-фтор-4-оксо-1,4-дигидрохинолин-3-карбоновая кислота

Стадия 1
трет-Бутиловый эфир 4-метиленазепан-1-карбоновой кислоты
В раствор 1 г метилтрифенилфосфонийбромида (ММ: 357,22, 2,79 ммоля) в 20 мл тетрагидрофурана при -78°С добавляли 1,22 мл 2,3 М раствора н-бутиллития в н-гексане (2,8 ммоля) и реакционную смесь перемешивали при -78°С в течение 10 мин, а затем при 0°С в течение 1 ч. Суспензию охлаждали до -78°С, а затем добавляли раствор 595 мг трет-бутилового эфира 4-оксоазепан-1-карбоновой кислоты (WO 2000044376) (MM: 213,279, 2,78 ммоля) в 10 мл тетрагидрофурана. Реакционную смесь перемешивали при комнатной температуре в течение 1,5 ч, реакцию останавливали добавлением 30 мл насыщенного раствора хлорида аммония и смесь разбавляли 30 мл этилацетата. Органический слой последовательно промывали 30 мл воды и 30 мл солевого раствора, сушили над сульфатом магния и фильтровали. Фильтрат упаривали при пониженном давлении, остаток очищали хроматографией на силикагеле (элюент: циклогексан/этилацетат, 1:1). Выход: 487 мг, 83%. ЯМР (CDCl3): 1,35 (s, 9H, трет-бут.), 1,6 (m, 2H, -CH2-), 2,14 (m, 2H), 2,33 (m, 2H), 3,29 (m, 4H, N-CH2), 4,67 (m, 2H, винил-СН2).
Стадия 2
трет-Бутиловый эфир 1-окса-6-азаспиро[2,6]нонан-6-карбоновой кислоты
Указанное соединение получали при взаимодействии трет-бутилового эфира 4-метиленазепан-1-карбоновой кислоты (ММ: 211,307, 1,73 ммоля) и 1,36 г 80% мета-хлорпербензойной кислоты (ММ 72,57, 6,05 ммоля) в присутствии 1,16 г бикарбоната натрия (ММ: 84,01, 13,8 ммоля) в 5 мл дихлорметана аналогично тому, как описано в примере 11, стадия 1. Выход: 250 мг, 63%. МС (ESI+): 228,8 (М+Н)+, 127,8 (М-(СН3)3СОСО).
Стадия 3
трет-Бутиловый эфир 4-{4-[(5S)-5-(ацетиламинометил)-2-оксооксазолидин-3-ил]-2-фторфеноксиметил}-4-гидроксиазепан-1-карбоновой кислоты
Указанное соединение получали при взаимодействии 247 мг трет-бутилового эфира 1-окса-6-азаспиро[2.6]нонан-6-карбоновой кислоты (ММ: 227,31, 1,08 ммоля), 296 мг N-[(5S)-{3-(3-фтор-4-гидроксифенил)}-2-оксооксазолидин-5-илметил]ацетамида (ММ: 268,246, 80 ммолей) и 228 мг карбоната калия (ММ: 138,20, 1,65 ммоля) в 150 мл диметилформамида аналогично тому, как описано в примере 1, стадия 5. Выход: 334 мг, 62%. МС (ESI+): 496,8 (М+Н)+, 440,8 (М-С(CH3)3+Н)+.
Стадия 4
N-{(5S)-3-[3-Фтор-4-(4-гидроксиазепан-4-илметокси)фенил]-2-оксооксазолидин-5-илметил}ацетамид
Раствор 334 мг трет-бутилового эфира 4-{4-[(5S)-5-(ацетиламинометил)-2-оксооксазолидин-3-ил]-2-фторфеноксиметил}-4-гидроксиазепан-1-карбоновой кислоты (ММ: 495,55, 0,674 ммоля) в 3 мл 1,25 М раствора безводного хлористого водорода в метаноле перемешивали при 35°С в течение 4 ч.
Растворитель выпаривали при пониженном давлении, остаток растворяли в 4 мл воды и водный слой нейтрализовали до рН 7 добавлением насыщенного раствора бикарбоната натрия. Воду выпаривали и остаток растворяли в 30 мл дихлорметана/метанола, 9:1. Нерастворимую соль отделяли фильтрованием, фильтрат упаривали досуха, при этом получали твердое вещество грязно-белого цвета. Выход: 266 мг, колич. МС (ESI+): 395,8 (M+H)+, МС (ESI–): 440,6 (М+НСОО–).
Стадия 5
7-(4-{4-[(5S)-5-(Ацетиламинометил)-2-оксооксазолидин-3-ил]-2-фторфеноксиметил}-4-гидроксиазепан-1-ил)-1-циклопропил-6-фтор-4-оксо-1,4-дигидрохинолин-3-карбоновая кислота
Указанное соединение получали при взаимодействии 150 мг N-{(5S)-3-[3-фтор-4-(4-гидроксиазепан-4-илметокси)фенил]-2-оксооксазолидин-5-илметил}ацетамида (ММ: 395,43) и 163 мг комплекса (7-хлор-1-циклопропил-6-фтор-1,4-дигидро-4-оксо-3-хинолинкарбоновая кислота/диацетат бора (ММ: 410,57, 0,397 ммоля) в присутствии 98 мг этилдиизопропиламина (ММ: 129,25, 0,758 ммоля) в 2 мл N-метилпирролидин-2-она аналогично тому, как описано в примере 5. Выход: 70 мг, 28,8%. МС (ESI+): 641,7 (М+Н)+.
Пример 17
7-(4-{4-[(5S)-5-(Ацетиламинометил)-2-оксооксазолидин-3-ил]-2-фторфеноксиметил}-4-гидроксиазепан-1-ил)-1-циклопропил-6-фтор-4-оксо-1,4-дигидро[1,8]нафтиридин-3-карбоновая кислота

Указанное соединение получали при взаимодействии 98 мг 7-хлор-1-циклопропил-6-фтор-1,4-дигидро-4-оксо[1,8]нафтиридин-3-карбоновой кислоты (ММ: 282,66, 0,348 ммоля), 138 мг N-{(5S)-3-[3-фтор-4-(4-гидроксиазепан-4-илметокси)фенил]-2-оксооксазолидин-5-илметил}ацетамида (ММ: 395,43, 0,348 ммоля), 140 мг триэтиламина (ММ: 101,19, 1,39 ммоля) и 113 мг триметилхлорсилана (ММ: 108,64, 1,04 ммоля) в 1 мл N-метилпирролидин-2-она аналогично тому, как описано в примере 1, стадия 7. Выход: 150 мг, 77%. МС (ESI+): 642,7 (М+Н)+, МС (ESI–): 640,7 (М+Н)–.
Пример 18
Натриевая соль 7-(4-{4-[(5S)-5-(ацетиламинометил)-2-оксооксазолидин-3-ил]-2-фторфеноксиметил}-4-фосфонооксипиперидин-1-ил)-1-циклопропил-6-фтор-4-оксо-1,4-дигидрохинолин-3-карбоновой кислоты
183 г соединения, полученного, как описано в примере 7, растворяли при комнатной температуре в 400 мл сухого ДМСО, в полученный раствор добавляли 60 г фуллеровой земли, смесь фильтровали, остаток на фильтре промывали 50 мл сухого ДМСО. Объединенные фильтраты смешивали в атмосфере азота с еще одной порцией объемом 50 мл сухого ДМСО и 2000 мл сухого ацетона. В указанный раствор при комнатной температуре добавляли по каплям 47,1 г 2-этилгексаноата натрия (97% раствор в этилацетате, т.е. 250 мл). Затем полученную суспензию перемешивали в течение 1 ч и при комнатной температуре добавляли 2750 мл этилацета. Полученную суспензию перемешивали в течение еще 1 ч, выпавшие кристаллы отделяли фильтрованием, промывали этилацетатом (10×500 мл) для удаления ДМСО и высушивали в вакууме. Если кристаллы содержали остаточное количество ДМСО и/или этилацетата, то их суспендировали в ацетоне/воде (99:1) в течение 24 ч. Смесь фильтровали, остаток на фильтре промывали ацетоном/водой (99:1, 2×500 мл) и высушивали на вакуумном фильтре в течение 12 ч. Затем твердое вещество высушивали в вакууме. Выход: 90%.
Пример 19
трет-Бутиловый эфир 4-{4-[5S-(ацетиламинометил)-2-оксооксазолидин-3-ил]-2-фторфенилэтинил}-4-гидроксипиперидин-1-карбоновой кислоты
В примере описан способ получения структурных блоков по реакции Соногашира.


Стадия 1
Бензиловый эфир (4-бром-3-фторфенил)карбаминовой кислоты
В раствор 4-бром-3-фторанилина (50,0 г, 0,263 моля, 1 экв.) в ацетоне (660 мл) добавляли при перемешивании гидрокарбонат натрия (27,63 г, 0,329 моля, 1,25 экв.) и насыщенный раствор гидрокарбоната натрия (333 мл). Полученную смесь охлаждали до 15°С и небольшими порциями добавляли бензилхлорформиат (39 мл, 0,276 моля, 1,05 экв.), при этом температуру реакционной смеси поддерживали не выше 22°С. Смесь перемешивали при комнатной температуре в течение 90 мин и ацетон удаляли в вакууме. Водный слой экстрагировали этилацетатом (3×150 мл), объединенные органические слои промывали насыщенным раствором хлорида натрия, сушили над MgSO4, фильтровали, растворитель выпаривали и к остатку добавляли н-гексан. Смесь перемешивали при комнатной температуре в течение 30 мин, кристаллы отделяли фильтрованием и промывали гексаном, при этом получали первую порцию твердого вещества. Фильтрат упаривали и твердое вещество при 0°С смешивали с гептаном и перемешивали в течение 30 мин. Смесь фильтровали, при этом получали вторую порцию твердого вещества, которую объединяли с первой порцией, при этом получали 85,3 г твердого вещества (выход колич.).
Стадия 2
(5R)-3-(4-Бром-3-фторфенил)-5-гидроксиметилоксазолидин-2-он
В безводный трет-бутанол (25,0 г, 0,53 моля, 2,07 экв.) в безводном ТГФ (170 мл) при -30°С в атмосфере азота добавляли бутиллитий (2,3 М раствор в н-гексане, 118,3 мл, 0,272 моля, 1,06 экв.). Смесь перемешивали при -30°С в течение 30 мин, а затем медленно нагревали до 0°С. Через 30 мин при 0°С к смеси порциями добавляли бензиловый эфир (4-бром-3-фторфенил)карбаминовой кислоты (83 г, 0,256 моля, 1 экв.), поддерживая температуру не выше 0°С, и полученную смесь перемешивали при 0°С в течение еще 30 мин. Затем при охлаждении на ледяной бане к смеси добавляли R(-)-глицидилбутират (39,7 мл, 0,288 моля, 1,12 экв.) и медленно нагревали до комнатной температуры. Смесь экстрагировали насыщенным раствором хлорида натрия, органическую фазу сушили над MgSO4, фильтровали и фильтрат упаривали. Неочищенный продукт перекристаллизовывали из этилацетата (выход: 64,1 г, 86,4%).
Стадия 3
3-(4-Бром-3-фторфенил)-2-оксооксазолидин-(5R)-илметиловый эфир метансульфоновой кислоты
В охлажденный на ледяной бане раствор (5R)-3-(4-бром-3-фторфенил)-5-гидроксиметилоксазолидин-2-она (54,0 г, 0,186 моля, 1 экв.) и триэтиламина (51,8 мл, 0,372 моля, 2 экв.) в безводном ДХМ (420 мл) при 0°С добавляли метансульфонилхлорид (27,4 мл, 0,354 моля, 1,9 экв.), полученную смесь медленно нагревали до комнатной температуры, а затем перемешивали в течение 3 ч. Затем смесь промывали 10% раствором гидрокарбоната натрия, при этом наблюдалось образование осадка. Твердое вещество отделяли фильтрованием и промывали ДХМ. Фильтрат и промывные фракции сушили над MgSO4, фильтровали и выпаривали растворитель. Полученное твердое вещество суспендировали в диэтиловом эфире, отделяли фильтрованием, промывали охлажденным льдом диэтиловым эфиром и высушивали, при этом получали 68,5 г (выход колич.) конечного продукта.
Стадия 4
(5R)-Азидометил-3-(4-бром-3-фторфенил)оксазолидин-2-он
Суспензию 3-(4-бром-3-фторфенил)-2-оксооксазолидин-(5R)-илметилового эфира метансульфоновой кислоты (68,5 г, 0,186 моля, 1 экв.), иодида тетрабутиламмония (0,686 г, 0,00186 моля, 0,01 экв.) и азида натрия (24,57 г, 0,378 моля, 2,03 экв.) в безводном ДМФА (500 мл) в атмосфере азота перемешивали при 80°С в течение ночи. Реакционную смеь охлаждали, ДМФА выпаривали и остаток растворяли в этилацетате. Раствор промывали водой и насыщенным раствором хлорида натрия, сушили над MgSO4, фильтровали и фильтрат упаривали, при этом получали 58,6 г (выход колич.) продукта в виде твердого вещества белого цвета.
Стадия 5
(5R)-Аминометил-3-(4-бром-3-фторфенил)оксазолидин-2-он
Смесь (5R)-азидометил-3-(4-бром-3-фторфенил)оксазолидин-2-она (10,5 г, 33,3 ммоля, 1 экв.), трифенилфосфина (12,6 г, 48 ммолей, 1,44 экв.) и воды (7,8 мл, 433 ммоля, 13 экв.) в ТГФ (180 мл) перемешивали при 80°С. После завершения реакции смесь охлаждали и растворители выпаривали в вакууме. Остаток очищали хроматографией (элюент: этилацетат для удаления производных трифенилфосфина, затем дихлометан/метанол, 9:1), при этом получали 9,63 г (выход колич.) продукта в виде твердого вещества белого цвета.
Стадия 6
(5S)-N-[(4-Бром-3-фторфенил)-2-оксооксазолидин-5-илметил]ацетамид
К (5R)-аминометил-3-(4-бром-3-фторфенил)оксазолидин-2-ону (9,63 г, 33,3 ммоля, 1 экв.) добавляли уксусную кислоту (9 мл, 156 ммолей, 4,68 экв.) и уксусный ангидрид (9 мл, 95,3 ммоля, 2,86 экв.) и полученную суспензию перемешивали при комнатной температуре в течение 1 ч. Затем растворитель выпаривали в высоком вакууме, при этом получали продукт (11,03 г, колич.) в виде твердого вещества бежевого цвета.
Стадия 7
трет-Бутиловый эфир 4-оксопиперидин-1-карбоновой кислоты
К гидрату гидрохлорида 4-пиперидиона (3,9 г, 25,4 ммоля, 1 экв.) в воде/диоксане (50 мл, 1:1) добавляли раствор ВОС2О (6,02 г, 27,6 ммоля, 1,1 экв.) в диоксане (25 мл), причем при добавлении наблюдалась экзотермическая реакция. После завершения реакции реакционную смесь перемешивали при комнатной температуре в течение 4 ч. Диоксан выпаривали, остаток экстрагировали этилацетатом, экстракт сушили над MgSO4, фильтровали и фильтрат упаривали, при этом получали продукт (5,06 г, колич.) в виде твердого вещества белого цвета.
Стадия 8
трет-Бутиловый эфир 4-гидрокси-4-триметилсиланилэтинилпиперидин-1-карбоновой кислоты
В раствор TMS-алкина (6,03 мл, 42,4 ммоля, 1,26 экв.) в ТГФ (124 мл) при -78°С в атмосфере азота добавляли н-бутиллитий (2,3 М раствор в н-гексане, 16,0 мл, 36,8 ммоля, 1,1 экв.), полученную смесь перемешивали при -78°С в течение 30 мин, а затем при -78°С добавляли раствор трет-бутилового эфира 4-оксопиперидин-1-карбоновой кислоты (6,7 г, 33,6 ммоля, 1 экв.) в ТГФ (30 мл). Реакционную смесь перемешивали при -78°С в течение 15 мин, а затем медленно нагревали до комнатной температуры. Через 30 мин реакцию останавливали добавлением 10% раствора гидросульфата натрия. Две фазы разделяли, водный слой реэкстрагировали этилацетатом, объединенные органичекие слои промывали солевым раствором и сушили над сульфатом магния. После концентрирования получали достаточно чистый остаток светло-желтого цвета (7 г, 70%), который использовали без дополнительной очистки.
Стадия 9
трет-Бутиловый эфир 4-этинил-4-гидроксипиперидин-1-карбоновой кислоты
Смесь трет-бутилового эфира 4-гидрокси-4-триметилсиланилэтинилпиперидин-1-карбоновой кислоты (7 г, 23,5 ммоля, 1 экв.) и карбоната калия (1,0 г, 7,25 ммоля, 0,3 экв.) в МеОН (30 мл) перемешивали при комнатной температуре в течение 6 ч. Растворитель удаляли при пониженном давлении и остаток суспендировали в диэтиловом эфире. Суспензию промывали насыщенным раствором хлорида аммония и водой, сушили над MgSO4, фильтровали и фильтрат упаривали, при этом получали продукт (4,5 г, 86%) в виде твердого вещества белого цвета.
Стадия 10
трет-Бутиловый эфир 4-{4-[5S-(ацетиламинометил)-2-оксооксазолидин-3-ил]-2-фторфенилэтинил}-4-гидроксипиперидин-1-карбоновой кислоты
PdCl2(Р(С6Н5)3)2 (297 мг, 0,422 ммоля, 0,1 экв.) и 148 мг иодида меди(I) (160 мг, 0,78 ммоля, 0,2 экв.) перемешивали при КТ в атмосфере аргона. Затем в смесь добавляли (5S)-N-[(4-бром-3-фторфенил)-2-оксооксазолидин-5-илметил]ацетамид (1,40 г, 4,22 ммоля, 1 экв.), трет-бутиловый эфир 4-этинил-4-гидроксипиперидин-1-карбоновой кислоты (1,24 г, 5,5 ммоля, 1,3 экв.) в безводном ДМФА (20 мл) и диизопропиламин (10 мл) и смесь перемешивали при КТ в течение 30 мин. Для инициирования реакции смесь перемешивали при нагревании при 50°С в течение ночи. Затем в смесь добавляли диэтиловый эфир и воду, слои разделяли и водный слой реэкстрагировали диэтиловым эфиром. Объединенные органические слои промывали насыщенным раствором хлорида натрия, сушили над MgSO4, фильтровали и фильтрат упаривали. Остаток очищали хроматографией (элюент: этилацетат для удаления остатков трифенилфосфина, затем дихлорметан/МеОН), при этом получали продукт (1,55 г, 77%) в виде твердого вещества серого цвета.
Пример 20
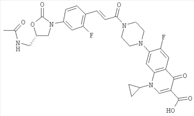
трет-Бутиловый эфир 4-(3-{4-[5S-(ацетиламинометил)-2-оксооксазолидин-3-ил]-2-фторфенил}акрилоил)пиперазин-1-карбоновой кислоты
В примере описан способ получения структурных блоков по реакции Хека.

Стадия 1
трет-Бутиловый эфир пиперазин-1-карбоновой кислоты
В раствор пиперазина (20 г, 0,23 моля, 2 экв.) в дихлорметане (800 мл) при перемешивании при КТ добавляли раствор ди-трет-бутилдикарбоната (24 г, 0,11 моля, 1 экв.) в 200 мл дихлорметана и смесь перемешивали при КТ в течение ночи. Затем смесь фильтровали и фильтрат упаривали. К остатку добавляли диэтиловый эфир, смесь фильтровали и к фильтрату добавляли н-гептан. Суспензию фильтровали и фильтрат упаривали, при этом получали продукт (19 г, 43,9%) в виде твердого вещества белого цвета.
Стадия 2
трет-Бутиловый эфир 4-акрилоилпиперазин-1-карбоновой кислоты
В охлажденный на ледяной бане раствор трет-бутилового эфира пиперазин-1-карбоновой кислоты (2 г, 9,8 ммоля, 1 экв.) и триэтиламина (1,4 мл, 9,8 ммоля, 1 экв.) в дихлорметане (50 мл) при перемешивании при 0°С добавляли по каплям акрилоилхлорид (0,8 мл, 9,8 ммоля, 1 экв.), смесь перемешивали и нагревали до комнатной температуры в течение 2 ч. Затем в смесь добавляли 1 М соляную кислоту (50 мл), слои разделяли, органическую фазу промывали насыщенным раствором гидрокарбоната натрия (2×50 мл) и насыщенным раствором хлорида натрия (50 мл), сушили над MgSO4, фильтровали и растворитель выпаривали. Остаток очищали хроматографией (элюент: этилацетат/н-гексан, 1:1), при этом получали продукт (1,26 г, 49%) в виде твердого вещества белого цвета.
Стадия 3
трет-Бутиловый эфир 4-(3-{4-[5S-(ацетиламинометил)-2-оксооксазолидин-3-ил]-2-фторфенил}акрилоил)пиперазин-1-карбоновой кислоты
(5S)-N-[(4-Бром-3-фторфенил)-2-оксооксазолидин-5-илметил]ацетамид (1,998 г, 6,0 ммолей, 1 экв.), трет-бутиловый эфир 4-акрилоилпиперазин-1-карбоновой кислоты (1,6 г, 6,6 ммоля, 1,1 экв.), трифенилфосфин (105 мг, 0,4 ммоля, 0,067 экв.), ацетат палладия(II) (134 мг, 0,6 ммоля, 0,1 экв.), диизопропилэтиламин (10 мл), карбонат калия (829 мг, 6 ммолей, 1 экв.) в ДМФА (15 мл) перемешивали при 140°С в течение 4 ч. Растворитель выпаривали, остаток растворяли в дихлорметане, промывали водой, сушили над MgSO4 и растворитель выпаривали. Остаток очищали хроматографией (элюент: этилацетат для удаления остатков трифенилфосфина, затем дихлорметан/МеОН), при этом получали продукт (1,3 г, 46%) в виде твердого вещества серого цвета.
Пример 21
трет-Бутиловый эфир 4-(3-{4-[5S-(ацетиламинометил)-2-оксооксазолидин-3-ил]-2-фторфенокси}-2-гидроксипропионил)пиперазин-1-карбоновой кислоты
В примере описан способ получения структурных блоков с использованием раскрытия эпоксидного цикла в присутствии фенола.

Стадия 1
трет-Бутиловый эфир 4-оксиранкарбонилпиперазин-1-карбоновой кислоты
В безводный ТГФ (50 мл) при -78°С в атмосфере аргона добавляли раствор безводного трет-бутилгидропероксида (5,5 М раствор в нонане, 2,07 мл, 11,38 ммоля, 1,5 экв.). В полученный раствор при -78°С добавляли бутиллитий (2,3 М раствор в н-гексане, 3,36 мл, 8,4 ммоля, 1,1 экв.) и смесь перемешивали при указанной температуре в течение еще 5 мин. Затем при -78°С добавляли по каплям раствор трет-бутилового эфира 4-акрилоилпиперазин-1-карбоновой кислоты (1,96 г, 7,64 ммоля, 1 экв.) в безводном ТГФ (20 мл). Полученную смесь медленно нагревали до комнатной температуры и перемешивали в течение еще 16 ч. Затем в смесь добавляли сульфит натрия (1,5 г, 12 ммолей, 1,55 экв.) и перемешивали в течение 15 мин. Смесь разбавляли диэтиловым эфиром (50 мл), фильтровали через целит и фильтрат упаривали. Остаток очищали хроматографией (элюент: этилацетат/н-гексан, 4:1), при этом получали продукт (0,39 г, 19%) в виде твердого вещества белого цвета.
Стадия 2
трет-Бутиловый эфир 4-(3-{4-[5S-(ацетиламинометил)-2-оксооксазолидин-3-ил]-2-фторфенокси}-2-гидроксипропионил)пиперазин-1-карбоновой кислоты
В раствор N-[(5S)-{3-(3-фтор-4-гидроксифенил)}-2-оксооксазолидин-5-илметил]ацетамида (стадия 4, пример 1, 0,104 г, 0,39 ммоля, 1 экв.) и К2СО3 (0,081 г, 0,585 ммоля, 1,5 экв.) в ДМФА (2 мл) добавляли при перемешивании трет-бутиловый эфир 4-оксиранкарбонилпиперазин-1-карбоновой кислоты (0,1 г, 0,39 ммоля, 1 экв.), смесь нагревали до 80°С и перемешивали в течение 4 ч. Затем смесь охлаждали до комнатной температуры, добавляли дихлорметан/метанол (10 мл, 9:1), органический слой промывали водой (2×10 мл) и насыщенным раствором хлорида натрия, сушили над MgSO4, фильтровали и растворитель выпаривали. Остаток очищали хроматографией (элюент: дихлорметан/метанол, 9:1), при этом получали продукт (0,08 г, 39%) в виде твердого вещества белого цвета.
Пример 22
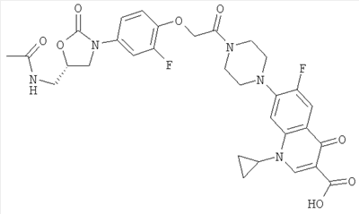
трет-Бутиловый эфир 4-(2-{4-[5S-(ацетиламинометил)-2-оксооксазолидин-3-ил1-2-фторфенокси}ацетил)пиперазин-1-карбоновой кислоты
В примере описан способ получения структурных блоков алкилированием фенольной группы.

Стадия 1
трет-Бутиловый эфир 4-(2-бромацетил)пиперазин-1-карбоновой кислоты
В смесь трет-бутилового эфира пиперазин-1-карбоновой кислоты (4,0 г, 21,47 ммоля, 1 экв.) и диизопропилэтиламина (12,05 г, 92,5 ммоля, 4,3 экв.) в дихлорметане (108 мл) при перемешивании и охлаждении на ледяной бане добавляли по каплям бромацетилбромид (4,86 мл, 21,47 ммоля, 1 экв.). Полученную смесь промывали водой (2х50 мл) и насыщенным раствором хлорида натрия (100 мл), сушили над MgSO4, фильтровали и растворитель выпаривали. Остаток очищали хроматографией (элюент: этилацетат/н-гексан, 1:1), при этом получали продукт (2,72 г, 41%) в виде твердого масла оранжевого цвета.
Стадия 2
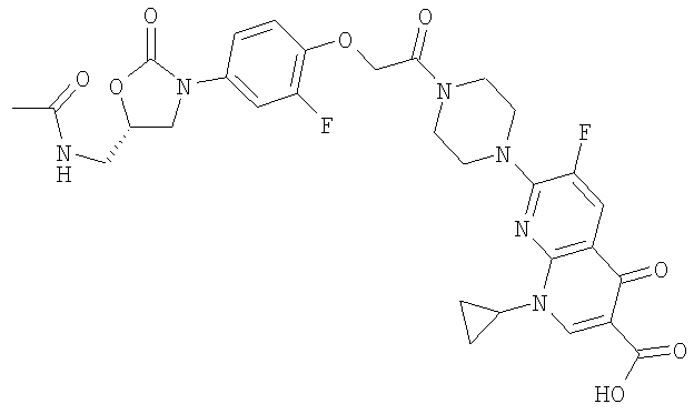
трет-Бутиловый эфир 4-(2-{4-[5S-(ацетиламинометил)-2-оксооксазолидин-3-ил]-2-фторфенокси}ацетил)пиперазин-1-карбоновой кислоты
В раствор N-[(5S)-{3-(3-фтор-4-гидроксифенил)}-2-оксооксазолидин-5-илметил]ацетамида (стадия 4, пример 1, 1,75 г, 6,5 ммоля, 1 экв.) и карбоната калия (1,138 г, 9,75 ммоля, 1,5 экв.) в ДМФА (32 мл) добавляли при перемешивании трет-бутиловый эфир 4-(2-бромацетил)пиперазин-1-карбоновой кислоты (2,0 г, 6,5 ммоля, 1 экв.), смесь нагревали до 80°С, перемешивали в течение 30 мин, охлаждали и добавляли дихлорметан/метанол (100 мл, 9:1). Затем органический слой промывали водой (2×10 мл) и насыщенным раствором хлорида натрия, сушили над MgSO4, фильтровали и растворитель выпаривали. Остаток очищали хроматографией (элюент: дихлорметан/метанол, 9:1), при этом получали продукт (1,72 г, 55%) в виде твердого вещества коричневого цвета.
Пример 23
трет-Бутиловый эфир 4-(2-{4-[5S-(ацетиламинометил)-2-оксооксазолидин-3-ил]-2-фторфенил}этил)-4-гидроксипиперидин-1-карбоновой кислоты
В примере описан способ получения структурных блоков восстановлением тройной связи.

В раствор трет-бутилового эфира 4-{4-[5S-(ацетиламинометил)-2-оксооксазолидин-3-ил]-2-фторфенилэтинил}-4-гидроксипиперидин-1-карбоновой кислоты (пример 19) (0,95 г, 2 ммоля, 1 экв.) в метаноле/этилацетате (20 мл, 1:1) добавляли при перемешивании 10% Pd/С (100 мг), а затем смесь гидрировали с использованием баллона с водородом. После завершения реакции 10% Pd/C удаляли фильтрованием через целит, остаток на фильтре промывали метанолом/этилацетатом (2×10 мл, 1:1), фильтрат и промывные фракции упаривали, при этом получали твердое достаточно чистое вещество белого цвета (0,96 г, колич.), которое использовали без дополнительной очистки.
Общая методика удаления защитных трет-бутильных групп
К полученному амину (1 экв.) при комнатной температуре добавляли хлористый водород (1,25 М раствор в метаноле, 4,0 экв.), смесь перемешивали при комнатной температуре или нагревали при 40°С до завершения реакции, охлаждали и подщелачивали до рН 10 добавлением насыщенного раствора гидрокарбоната натрия. Полученную смесь упаривали, остаток растворяли в дихлорметане/метаноле, 9:1. Затем колбу со смесью помещали на ультразвуковую баню, озвучивали в течение 5 мин, а затем фильтровали. Фильтрат упаривали, при этом получали продукт, который использовали без дополнительной очистки для конденсации с хинолоновыми группами.
Пример 24
7-(4-{4-[5S-(ацетиламинометил)-2-оксооксазолидин-3-ил]-2-фторфенилэтинил}-4-гидроксипиперидин-1-ил)-1-циклопропил-6-фтор-4-оксо-1,4-дигидрохинолин-3-карбоновая кислота

Указанное соединение получали с использованием общего метода удаления трет-бутильной защитной группы, указанного выше, с образованием амина. Затем полученный амин конденсировали с соответствующим хинолином по методу, описанному в примере 5, при этом в две стадии получали требуемый продукт с выходом 8%.
Пример 25
7-(4-{4-[5S-(ацетиламинометил)-2-оксооксазолидин-3-ил]-2-фторфенилэтинил}-4-гидроксипиперидин-1-ил)-1-циклопропил-6-фтор-4-оксо-1,4-дигидро[1,8]нафтиридин-3-карбоновая кислота

Указанное соединение получали с использованием общего метода удаления трет-бутильной защитной группы, указанного выше, с образованием амина. Затем полученный амин конденсировали с соответствующим хинолином по методу, описанному в примере 1, стадия 7, при этом в две стадии получали требуемый продукт с выходом 15%.
Пример 26
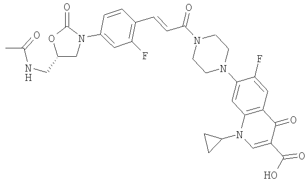
7-[4-(3-{4-[5S-(Ацетиламинометил)-2-оксооксазолидин-3-ил]-2-фторфенил}акрилоил)пиперазин-1-ил]-1-циклопропил-6-фтор-4-оксо-1,4-дигидрохинолин-3-карбоновая кислота

Указанное соединение получали с использованием общего метода удаления трет-бутильной защитной группы, указанного выше, с образованием амина. Затем полученный амин конденсировали с соответствующим хинолином по методу, описанному в примере 5, при этом в две стадии получали требуемый продукт с выходом 15%.
Пример 27
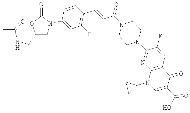
7-[4-(3-{4-[5S-(ацетиламинометил)-2-оксооксазолидин-3-ил]-2-фторфенил}акрилоил)пиперазин-1-ил]-1-циклопропил-6-фтор-4-оксо-1,4-дигидро[1,8]нафтиридин-3-карбоновая кислота

Указанное соединение получали с использованием общего метода удаления трет-бутильной защитной группы, указанного выше, с образованием амина. Затем полученный амин конденсировали с соответствующим хинолином по методу, описанному в примере 1, стадия 7, при этом в две стадии получали требуемый продукт с выходом 11%.
Пример 28
7-[4-(3-{4-[5S-(ацетиламинометил)-2-оксооксазолидин-3-ил]-2-фторфенокси}-2-гидроксипропионил)-1-циклопропил-6-фтор-4-оксо-1,4-дигидрохинолин-3-карбоновая кислота

Указанное соединение получали с использованием общего метода удаления трет-бутильной защитной группы, указанного выше, с образованием амина. Затем полученный амин конденсировали с соответствующим хинолином по методу, описанному в примере 5, при этом в две стадии получали требуемый продукт с выходом 5%.
Пример 29
7-[4-(3-{4-[5S-(Ацетиламинометил)-2-оксооксазолидин-3-ил]-2-фторфенокси}-2-гидроксипропионил)-1-циклопропил-6-фтор-4-оксо-1,4-дигидро[1,8]нафтиридин-3-карбоновая кислота

Указанное соединение получали с использованием общего метода удаления трет-бутильной защитной группы, указанного выше, с образованием амина. Затем полученный амин конденсировали с соответствующим хинолином по методу, описанному в примере 1, стадия 7, при этом в две стадии получали требуемый продукт с выходом 4%.
Пример 30
7-[4-(2-{4-[5S-(Ацетиламинометил)-2-оксооксазолидин-3-ил]-2-фторфенокси}ацетил)пиперазин-1-ил]-1-циклопропил-6-фтор-4-оксо-1,4-дигидрохинолин-3-карбоновая кислота

Указанное соединение получали с использованием общего метода удаления трет-бутильной защитной группы, указанного выше, с образованием амина. Затем полученный амин конденсировали с соответствующим хинолином по методу, описанному в примере 5, при этом в две стадии получали требуемый продукт с выходом 20%.
Пример 31
7-[4-(2-{4-[5S-(Ацетиламинометил)-2-оксооксазолидин-3-ил]-2-фторфенокси}ацетил)пиперазин-1-ил]-1-циклопропил-6-фтор-4-оксо-1,4-дигидро[1,8]нафтиридин-3-карбоновая кислота

Указанное соединение получали с использованием общего метода удаления трет-бутильной защитной группы, указанного выше, с образованием амина. Затем полученный амин конденсировали с соответствующим хинолином по методу, описанному в примере 1, стадия 7, при этом в две стадии получали требуемый продукт с выходом 18%.
Пример 32
7-[4-(2-{4-[5S-(ацетиламинометил)-2-оксооксазолидин-3-ил]-2-фторфенил}этил)-4-гидроксипиперидин-1-ил]-1-циклопропил-6-фтор-4-оксо-1,4-дигидрохинолин-3-карбоновая кислота

Указанное соединение получали с использованием общего метода удаления трет-бутильной защитной группы, указанного выше, с образованием амина. Затем полученный амин конденсировали с соответствующим хинолином по методу, описанному в примере 5, при этом в две стадии получали требуемый продукт с выходом 10%.
Формула изобретения
1. Соединения формулы (I)
 где А означает алкиленовую группу, алкениленовую группу, алкиниленовую группу, гетероалкиленовую группу, циклоалкиленовую группу, гетероциклоалкиленовую группу, ариленовую группу или гетероариленовую группу, причем каждая из указанных групп может быть замещена, Q означает CR4, X означает CR7 или N, Y означает CR6 или N, n равно 1, 2 или 3, m равно 1, 2 или 3, R1 означает Н, F, Cl, Br, I, ОН, NH2, алкильную группу или гетероалкильную группу, R2 означает H, F или Cl, R3 означает H, алкильную группу, алкенильную группу, алкинильную группу, гетероалкильную группу, циклоалкильную группу, гетероциклоалкильную группу, арильную группу, гетероарильную группу, алкиларильную группу или гетероарилалкильную группу, причем каждая из указанных групп может быть замещена одним, двумя или более атомами галогена или аминогруппами, R4 означает гидрокси, группу формулы OPO3R9 2 или OSO3R10 или гетероалкильную группу, содержащую по меньшей мере одну ОН, NH2, SO3R10, PO3R9 2 или СООН группу или сложноэфирную группу природной аминокислоты или ее производного, где группы R9 независимо друг от друга означают Н, алкил, циклоалкил, арил или аралкил, a R10 означает Н, алкил, циклоалкил, арил или аралкил, R5 выбирают из следующих групп:
  
   R6 означает Н, F, Cl или ОМе, R7 означает Н, F, Cl, ОН, NH2, замещенную или незамещенную алкильную группу, или замещенную или незамещенную гетероалкильную группу, или R3 и R7 могут быть связаны через алкиленовую, алкениленовую или гетероалкиленовую группу, или будут частью циклоалкиленовой или гетероциклоалкиленовой группы, если R3 не означает Н и R7 не означает Н, F, ОН, NH2 или Cl, a R8 означает С1-С6гетероалкильную, гетероарилалкильную, гетероалкиларильную или гетероалкилгетероарильную группу, или их фармакологически приемлемая соль, сольват, гидрат.
2. Соединения по п.1, где R1 означает Н.
3. Соединения по п.1, где R2 означает F или Н.
4. Соединения по п.1, где R3 означает этил, 2-пропил, С3-С6пиклоалкил, фенил или пиридил, причем каждая из указанных групп может быть замещена одним, двумя, тремя или более атомами фтора или аминогруппами.
5. Соединения по п.1, где R3 означает циклопропильную группу.
6. Соединения по п.1, где R7 и R3 вместе образуют мостиковую группу формулы -O-CH2-N(Me)- или -О-СН2-СН(Ме)-, причем в конечном соединении хиральный центр предпочтительно находится в (S)-конфигурации.
7. Соединения по п.1, где R7 означает Н, F, Cl или метоксигруппу, которая может быть замещена одним, двумя или тремя атомами фтора.
8. Соединения по п.1, где X означает N или СН.
9. Соединения по п.1, где R4 означает гидрокси или группу формулы OSO3H, OPO3H2, ОСН2ОРО3Н2, ОСОСН2СН2СООН или сложный эфир природной аминокислоты или ее производного.
10. Соединения по п.1, где R означает группу формулы -СН2NHСОСН=СН-арил, -СН2Огетероарил, -CH2NHSO2Me, -CH2NHCOOMe, -CH2NHCOMe, -CH2NHCS2Me, -CH2NHCSMe, -CH2NHCSNH2, -CH2NHCSOMe или -NHCOMe.
11. Соединения по п.1, где R5 означает следующую структуру:

12. Соединения по п.1, где Y означает СН или N.
13. Соединения по п.1, где А означает С1-С6алкилен, С2-С6алкенилен, С2-С6алкинилен, С1-С6гетероалкилен, циклопропилен, эпоксид, азиридин, тиоэпоксид, лактам или лактон, причем каждая из указанных групп может быть замещена.
14. Соединения по п.1, где А означает группу формулы -СН2СН2-, -ОСН2-, -ОСН2СН2-, -SCH2-, -SCH2CH2-, -СН=СН-, -С С-, -CH(ОН)СН(ОН)- или -CH(NH2)CH(OH)-.
15. Соединения формулы (I) по п.1 в виде моно-, ди- или тринатриеваой соли или их смесь, особенно моно-, ди- или тринатриевая соль соединения формулы (I), где R4 означает ОРО3Н2 или OSO3H, или их смесь.
16. Фармацевтические композиции, обладающие антимикробной активностью, содержащие соединение по любому из пп.1-15 и необязательно носители, и/или адъюванты, и/или разбавители.
17. Применение соединения по любому из пп.1-15 для получения лекарственных средств, предназначенных для лечения бактериальных инфекций.
18. Применение фармацевтической композиции по п.16 для получения лекарственных средств, предназначенных для лечения бактериальных инфекций.
|
|