|
|
(21), (22) Заявка: 2006117303/28, 13.10.2004
(24) Дата начала отсчета срока действия патента:
13.10.2004
(30) Конвенционный приоритет:
15.10.2003 DE 10348623.2
(43) Дата публикации заявки: 10.12.2007
(46) Опубликовано: 20.10.2009
(56) Список документов, цитированных в отчете о поиске:
DE 10100836 A, 11.07.2002. DE 10100836 A, 11.07.2002. WO 9957682 A, 11.11.1991. CA 2058268 A, 22.06.1992. DE 19945642 A, 05.04.2001.
(85) Дата перевода заявки PCT на национальную фазу:
15.05.2006
(86) Заявка PCT:
EP 2004/011496 20041013
(87) Публикация PCT:
WO 2005/038499 20050428
Адрес для переписки:
191002, Санкт-Петербург, а/я 5, ООО “Ляпунов и партнеры”, пат.пов. А.С.Пантелееву, рег. 1071
|
(72) Автор(ы):
КАУЛЕ Виттих (DE), РАУШЕР Вольфганг (DE), СТЕНЦЕЛЬ Герхард (DE)
(73) Патентообладатель(и):
Гизеке унд Девриент Гмбх (DE)
|
(54) ОПТИЧЕСКИ ИЗМЕНЯЮЩАЯСЯ ДИФРАКЦИОННАЯ СТРУКТУРА И СПОСОБ ЕЕ ИЗГОТОВЛЕНИЯ
(57) Реферат:
Изобретение относится к оптически изменяющейся дифракционной структуре. Оптически изменяющаяся дифракционная структура, содержащая открытую и скрытую визуальную информацию, отличающаяся тем, что имеет элементы с решеткой, формирующие скрытую информацию, причем открытая информация образована благодаря форме и положению этих элементов. Технический результат: упрощение изготовления оптически изменяющихся дифракционных структур, в которых содержится открытая и скрытая визуальная информация. 8 н. и 28 з.п. ф-лы, 1 табл., 27 ил.
Данное изобретение относится к оптически изменяющейся дифракционной структуре, в которой содержится открытая и скрытая визуальная информация. Оба вида информации, по существу, распределены по всей площади структуры. Изобретение относится также к элементу защиты, к бумаге с защитой от подделок и к носителям данных с соответствующей дифракционной структурой и к способу их изготовления.
Как известно, для защиты от подделок кредитных карт, ценных документов, упаковок и т.п. используют голограммы, изображения на голографических решетках и другие аналогичные голограммам дифракционные структуры. Чтобы, в свою очередь, обеспечить от подделок голограмму или похожую на нее структуру и в еще большей степени увеличить общую надежность носителей данных, в голограмму можно ввести дополнительную скрытую информацию. При этом внутрь основной голограммы, которая хорошо видна, помещают еще одно изображение. Без специальных мер это изображение заметить невозможно. Такую скрытую визуальную информацию называют также «скрытым изображением».
В то время как содержание основной голограммы видно невооруженным глазом, для того чтобы увидеть скрытое изображение, обычно необходим лазер, например, обычная лазерная указка, а также приемный экран. Для считывания скрытой информации лазером освещают то место основной голограммы, где спрятано скрытое изображение, и отображают на экране информацию, которая содержится в этом изображении. Чтобы облегчить нахождение скрытой информации, часто одно и то же скрытое изображение помещается в нескольких местах основной голограммы.
Обычно скрытое изображение создается следующим способом. Скрытое изображение записывается в виде трехмерной голограммы таким образом, чтобы содержащуюся в нем информацию можно было увидеть только с помощью когерентного лазерного излучения, а при освещении обычными некогерентными источниками света, например при комнатном освещении, эта информация была не видна. В этом случае при нормальном освещении скрытое изображение выглядит как серая, беловатая или пастельная поверхность. Например, в документе DE 4237415 A1 описан способ идентификации подлинности продукта. При этом способе используется голографическое изображение, в котором содержится незаметная в обычных условиях информация. Увидеть ее можно с помощью устройства для считывания голограмм, которое состоит из лазера и экрана.
Еще один способ производства скрытых изображений описан в документе DE 10100836 A1. В этом случае область скрытого изображения состоит из подобластей. Каждая из подобластей содержит оптическую решетку с определенным параметром и угловой ориентацией. При лазерном облучении эти подобласти восстанавливают одну точку скрытого информационного узора. Для улучшения защиты от подделок подобласти размещают так, чтобы они не соответствовали форме информационного узора. Все скрытое изображение отображается на экране в том случае, если одновременно лазерной указкой освещаются все подобласти. При этом подобласти покрываются соответствующими оптическими решетками способом точечной матрицы, как описано в ЕР 0467601 B1, или способом Holomax, который описан, например, в WO 97/16772.
В остальных известных способах изготовления скрытых изображений используется электронно-лучевая литография. При этом способе сначала с помощью компьютера на основе объекта скрытого изображения вычисляют Фурье-образ. Этот образ состоит из микроскопического узора, который состоит из переплетенных друг с другом линий. Узор способом электронно-лучевой литографии записывают в чувствительный к излучению слой. При облучении лазером на экране можно увидеть лежащий в основе объект скрытого изображения.
Скрытые изображения, которые создаются такими обычными способами, как обычная голограмма, точечная матрица и Holomax, а также способом, при котором изображение изготавливается в виде полученного с помощью компьютера Фурье-образа, яркостью не отличаются. Однако яркость имеет большое значение, так как само по себе скрытое изображение распознается с трудом, и/или оно должно занимать лишь небольшую часть площади дифракционной структуры. К тому же яркость луча лазера, который необходим для визуализации скрытого изображения, ограничивается законодательно установленной мощностью лазера. Это необходимо для предотвращения поражения глаз, которое может случиться, если при проверке скрытого изображения свет лазера по ошибке попадет в глаз. Яркость, контрастность и резкость объекта скрытого изображения на приемном экране существенно уменьшаются также вследствие того, что оно помещается на шероховатой основе, например бумаге.
Кроме того, как правило, скрытые изображения конструируются на основе опробования и использования эмпирических величин для конкретного сочетания информационного узора и геометрии приемного экрана. Вследствие этого получаются неоптимальные результаты, на измененные формы они переносятся с трудом.
Исходя из сказанного, в основе данного изобретения лежит задача – создать оптически изменяющуюся дифракционную структуру вышеназванного вида, но с более яркими скрытыми изображениями, а также способ изготовления такой структуры. Кроме того, описываемый способ должен обеспечить простоту вычисления параметров решетки скрытого изображения для любого информационного узора и любой геометрии экрана.
Эта задача решается благодаря оптически изменяющейся дифракционной структуре с признаками независимых пунктов формулы изобретения. Сведения об элементе защиты, бумаге с защитой от подделок и носителе данных с такими дифракционными структурами, а также способе изготовления дифракционных структур раскрыты в зависимых пунктах. Усовершенствования являются предметом зависимых пунктов.
Изобретение обеспечивает несложное производство оптически изменяющихся дифракционных структур, в которых содержится открытая и скрытая визуальная информация. При этом термин «открытая визуальная информация» обозначает любой вид визуальной информации, которую наблюдатель в состоянии различить без специальных вспомогательных средств. Этот термин, в частности, относится к голограммам и аналогичным дифракционным структурам, которые видны при обычных условиях освещения, а также к содержащим информацию отпечатанным изображениям и вырезам в непрозрачных или прозрачных слоях. Более подробно дополнительные возможности оформления визуальной информации описаны ниже.
При этом те элементы изображения или элементы с решеткой, которые создают открытую или скрытую информацию, можно комбинировать друг с другом различными способами. Это делается, например, для маскировки скрытой информации. Соответствующие изобретению дифракционные структуры позволяют интегрировать в открытую визуальную информацию, например, основную голограмму, чрезвычайно яркие скрытые изображения. Далее область элементов с решеткой, которые создают скрытую визуальную информацию, часто будем называть также как «участок скрытой информации”.
В первом аспекте изобретения дифракционная структура имеет первые элементы изображения, в частности первые элементы с решеткой, которые представляют собой открытую информацию, и вторые элементы с решеткой, воспроизводящие скрытую визуальную информацию. При этом вторые элементы с решеткой размещены на тех соответствующих участках первых элементов изображения, которые не имеют большого значения для представления открытой визуальной информации.
В частности, при этом в условиях обычного освещения дифракционной структуры видна открытая визуальная информация, в то время как скрытую информацию при таком освещении увидеть невозможно. Ее можно отобразить на экране только при направленном практически монохроматическом освещении дифракционной структуры. В предпочтительных вариантах первые элементы изображения образованы элементами с решеткой, которые в условиях обычного освещения создают открытую визуальную информацию.
Предпочтительно, чтобы скрытая визуальная информация состояла из большого количества отдельных точек изображения. При этом каждый из вторых элементов с решеткой ставится в соответствии одной из этих точек. Содержащийся во вторых элементах решетчатый узор имеет такой параметр решетки и угловую ориентацию, что направленное практически монохроматическое освещение отклоняется в направлении, которое характерно для соответствующей точки изображения.
В предпочтительном варианте соответствующей изобретению дифракционной структуры вторые элементы с решеткой в виде полосок, в частности вертикальных и горизонтальных, помещают на соответствующих участках поверхности первых элементов с решеткой. Речь может идти и о наклонно расположенных полосках. Альтернативно вторые элементы с решеткой, которые помещают на соответствующих участках первых элементов, могут иметь вид одинаковых или разных участков, в частности прямоугольных. Участки вторых элементов с решеткой могут также иметь совершенно неправильные очертания. Кроме того, они могут иметь форму любых знаков и/или узоров.
Ширина полосок или типичный размер участков предпочтительно должны быть такими, чтобы они лежали за пределами разрешения, доступного невооруженному глазу. При рассматривании основной голограммы полоски и участки не должны быть видны.
В одном из вариантов рядом расположенные полоски или рядом расположенные участки ставят в соответствии рядом расположенным точкам скрытого изображения. Альтернативно такие полоски и участки могут ставиться в соответствии не с ближайшими точками изображения, а с точками, которые расположены не рядом друг с другом, а через одну, две или три точки. В зависимости от применения благодаря этому в первом случае соответствующие части объекта будут отображаться на экране даже при освещении лишь части полосок объекта скрытого изображения. В последнем случае даже при частичном освещении полосок можно будет увидеть, по крайней мере, один укрупненный контур всего скрытого объекта.
Вторые элементы с решеткой преимущественно размещают в свободных областях первых элементов изображения или тех элементов с решеткой, в которых нет частей открытого изображения. Первые элементы изображения и вторые элементы с решеткой также могут накладываться друг на друга таким образом, что на определенных участках будет закрываться либо открытая, либо скрытая визуальная информация. Эти участки выбирают так, чтобы их отсутствие в открытой визуальной информации основной голограммы не бросалось в глаза.
В некоторых вариантах открытую визуальную информацию можно увидеть не со всех направлений, а только с определенного, заранее заданного направления. В этом случае направление, с которого можно рассмотреть скрытую информацию, предпочтительно расположить перпендикулярно или параллельно первому направлению. В последнем случае участки скрытого изображения при рассматривании открытой визуальной информации кажутся белыми или пастельного цвета, в то время как в первом случае они выглядят как свободные поверхности.
Во втором аспекте изобретения рассматриваемая дифракционная структура имеет первые элементы с решеткой, которые создают открытую визуальную информацию, и вторые элементы с решеткой, формирующие скрытую информацию, причем элементы чередуются друг с другом. При этом, как и в первом аспекте, в частности, в условиях обычного освещения дифракционной структуры видна открытая визуальная информация, в то время как скрытая информация в таких условиях не заметна. Ее можно отобразить на экране только при направленном практически монохроматическом освещении дифракционной структуры.
Скрытую визуальную информацию предпочтительно составить из множества отдельных точек изображения, причем каждый из вторых элементов с решеткой целесообразно поставить в соответствии одной из этих точек. Содержащаяся во вторых элементах решетка должна иметь такую постоянную решетки и угловую ориентацию, чтобы направленное, в сущности, монохроматическое освещение отклонялось в направлении, которое характерно для соответствующей точки изображения.
В соответствии с предпочтительной конструкцией первые и вторые элементы с решеткой чередуются друг с другом в виде узких полосок. При этом полоски могут размещаться вертикально, горизонтально или в любом другом направлении. Альтернативно вторые элементы с решеткой помещают в небольших свободных пространствах на участке первых элементов. Эти пространства могут иметь любую форму. Свободные пространства преимущественно выполняют в виде одинаковых или разных участков, в частности квадратных, прямоугольных, круглых, овальных, ячеистых, многоугольных или мозаичных. Чтобы открытая визуальная информация искажалась как можно меньше, ширина полосок или характерный размер участков предпочтительно должны быть такими, чтобы они лежали за пределами разрешения, доступного невооруженному глазу.
Аналогично первому аспекту изобретения рядом расположенные полоски и участки могут сопоставляться с рядом расположенными точками скрытого изображения или с точками, которые расположены дальше друг от друга: вторыми, третьими, четвертыми по счету и т.д.
Если открытая визуальная информация рассчитана на просмотр с определенного направления, то направление рассматривания скрытой информации предпочтительно рассчитать так, чтобы оно располагалось перпендикулярно этому направлению. Это необходимо для того, чтобы при таком варианте избежать беловатой вуали, которая возникает над основной голограммой в случае параллельной ориентации.
В дополнительном аспекте изобретения предложенная дифракционная структура имеет элементы с решеткой, которые создают скрытую визуальную информацию, а открытая информация образована благодаря форме и положению этих элементов.
И в этом аспекте изобретения, в частности, в условиях обычного освещения дифракционной структуры видна только открытая визуальная информация, а скрытая информация не видна. Скрытую информацию можно отобразить на экране только при направленном, в сущности, монохроматическом освещении дифракционной структуры. Скрытая визуальная информация преимущественно составлена из множества отдельных точек изображения, причем каждый элемент с решеткой целесообразно поставить в соответствии одной из этих точек. Содержащаяся в этих элементах решетка должна иметь такую постоянную решетки и угловую ориентацию, чтобы направленное, в сущности, монохроматическое освещение отклонялось в направлении, которое характерно для соответствующей точки изображения.
Элементы с решеткой создают, например, в виде полосок, в частности, вертикальных или горизонтальных, а также в виде одинаковых или разных участков, в частности в виде прямоугольных. Их ширина и характерный размер должны лежать вне пределов разрешения, доступного невооруженному глазу.
Во всех названных аспектах изобретения открытая и/или скрытая визуальная информация, по существу, может быть распределена по всей поверхности структуры.
Кроме того, во всех аспектах изобретения те элементы с решеткой, которые предназначены для создания скрытой информации, могут занимать различную долю поверхности. Благодаря этому соответствующие точки изображения, которые предназначены для создания скрытой информации, могут иметь различную яркость, так что в качестве скрытой визуальной информации можно использовать, например, градации серой шкалы. Различные доли поверхности можно реализовать, например, благодаря тому, что элементы с решеткой образованы полосками разной ширины. Кроме того, с этой целью можно использовать равномерно или неравномерно сформированные участки различного размера.
Открытая визуальная информация преимущественно представляет собой голограмму, голографическое решетчатое изображение или другую, аналогичную голограмме дифракционную структуру. Скрытая визуальная информация может представлять собой, например, контурный или штриховой рисунок, так как для этих рисунков, как правило, необходимо меньшее количество точек изображения, чем для объектов, которые покрывают большую площадь. Можно использовать и надписи. При небольшом количестве точек яркость, которая приходится на одну точку изображения, в общем, увеличивается. Кроме того, при меньшем числе точек получается нечувствительное к помехам скрытое изображение. К тому же небольшое число точек дает короткий период повторения в открытой визуальной информации. Таким образом, открытая информация почти не искажается. С другой стороны, чтобы уменьшить переходные зоны, из-за которых при некоторых обстоятельствах снижается эффективность, ширину полосок и/или их отрезки можно увеличить. Кроме того, небольшое число точек позволяет создавать такие формы, при которых в скрытую информацию интегрировано несколько частичных изображений.
В усовершенствованной конструкции соответствующей изобретению дифракционной структуры предусматривается, что в скрытой визуальной информации содержится несколько частичных изображений, которые создаются при освещении различных соответствующих участков дифракционной структуры.
В информации, основанной на частичных изображениях, может, например, содержаться ряд изменений одного и того же объекта, поэтому при последовательном освещении соответствующих участков создается движущийся объект. Если в информации, которая основана на частичных изображениях, содержится увеличивающийся или уменьшающийся контур объекта, то при последовательном освещении соответствующих участков создается пульсирующий объект.
Еще одна возможность заключается в следующем. В основанной на частичных изображениях информации может также содержаться наложение, по меньшей мере, двух объектов, так что при последовательном освещении соответствующих участков происходит переход от одного объекта к другому. Кроме того, в такой информации может содержаться объект с различными градациями яркости, поэтому при последовательном освещении участков происходит высвечивание, затемнение и/или мигание объекта. Если в основанной в частичных изображениях информации содержится объект в различных видах, которые возникают при рассматривании под различным углом зрения, то при последовательном освещении участков создается привлекательный, изменяющийся в пространстве вид.
В изобретении также предусмотрен элемент защиты с оптически изменяющейся дифракционной структурой вышеописанного вида. Этот элемент может представлять собой, в частности, защитную нить, этикетку или переводной элемент. Далее, изобретение предусматривает бумагу с защитой от подделок и оптически изменяющейся дифракционной структурой описанного вида или одним из вышеуказанных элементов защиты. Изобретение охватывает также носитель данных, который снабжен оптически изменяющейся дифракционной структурой описанного вида. При этом либо дифракционная структура наносится прямо на носитель данных, либо носитель данных охватывает элемент защиты или бумагу с защитой от подделок. В случае носителя данных речь может идти, в частности, о банкноте, ценном документе, паспорте, пропуске или удостоверении.
При применении способа изготовления оптически изменяющейся дифракционной структуры с открытой или скрытой визуальной информацией определяют первые и вторые элементы с решеткой, формирующие открытую и соответственно, скрытую информацию, причем вторые элементы с решеткой, по существу, распределяют по всей поверхности структуры на тех участках поверхности первых элементов, которые не имеют большого значения для отображения открытой информации.
При втором способе производства такой оптически изменяющейся дифракционной структуры вторые элементы с решеткой, по существу, распределяют по всей поверхности структуры и чередуют с первыми элементами.
При еще одном способе производства оптически изменяющейся дифракционной структуры с открытой и скрытой визуальной информацией определяют те элементы с решеткой, которые создают скрытую информацию, элементы в соответствии с изобретением, по существу, распределяют по всей площади структуры, причем форма и положение этих элементов формирует открытую визуальную информацию.
При всех способах первые и вторые элементы с решеткой могут быть воспроизведены в рамках одного и того же производственного процесса, преимущественно с использованием оптической литографии, способом Holomax или точечной матрицы.
В соответствии с изобретением открытая визуальная информация может существовать не только в виде голограммы или аналогичного голограмме решетчатого изображения, но и в виде надпечатки поверх скрытого изображения, либо в виде выреза в скрытом изображении.
В первом случае сначала, например, создают скрытое изображение, затем его переносят на конечную основу, например бумагу банкноты. В процессе запечатывания основы, например, при печатании банкноты открытая информация может быть напечатана рядом со скрытым изображением или над ним, так что части скрытого изображения не повреждаются, и их можно обнаружить, как описано выше. В качестве способа печати могут применяться любые обычные способы, в частности офсетная, высокая, глубокая, трафаретная, струйная или лазерная печать.
В принципе, процесс производства тисненой структуры от освещения до готового продукта протекает следующим образом. Независимо от того, что осуществляют в качестве первого шага – голографическое освещение, способ точечной голографической матрицы, оптическую литографию, как это делают в случае применения способа Holomax, или электронно-лучевую литографию, – сначала освещают и проявляют нанесенный на подложку слой чувствительного к излучению полимера. В верхней части полимерного слоя в виде рельефа возникает дифракционная структура. Из этого рельефа изготавливают гальванический слепок, так что в результате получают рельеф в металле, который можно использовать в качестве штампа для тиснения.
Такой штамп, в общем, изготавливают не с одним рельефом для тиснения дифракционной структуры, он соответствующим образом составляется из нескольких одинаковых рельефов. Затем с помощью такого штампа одновременно можно снабдить сразу несколькими рельефами рулонную пленку, покрытую специальным лаком для тиснения. Эти рельефы могут быть выполнены либо для рассматривания в отраженном свете, либо для исследования в проходящем свете. Для рассматривания в отраженном свете рельефы во время следующего этапа напыления снабжаются тонким отражающим металлическим слоем или диэлектрическим слоем. На металлический или диэлектрический слой еще наносят защитный слой. Таким образом, получается рулонная пленка с множеством одинаковых дифракционных структур. Эти структуры можно вырезать или разделить каким-либо иным способом, а затем наклеить на соответствующий объект. Для исследования в проходящем свете на поверхность рельефа лучше не наносить никаких дополнительных слоев, чтобы на поверхности оставалась рельефная структура в виде выступов и углублений.
Вместо пленочных дифракционных структур могут также быть изготовлены переводные дифракционные структуры. Для этого с пленки специальным способом снимают лаковый слой вместе с рельефом, напыленным и защитным слоем, затем его переносят на соответствующий объект.
Дифракционная структура с прозрачными вырезами получается, если соответствующим образом обработать вышеупомянутое тонкое металлическое покрытие. Для этого при использовании предпочтительного конструктивного решения на металлическое покрытие в соответствии с рисунком вырезов наносят протравной краситель. При этом в соответствующих местах происходит отслаивание или растворение металла. Остатки стирают, и только после этого наносят защитный слой. Дальнейшая обработка осуществляется так, как описано выше. Альтернативно для того, чтобы удалить металл и, таким образом, получить узор или знак, можно использовать лазер. Следующий способ заключается в том, что под металлическое покрытие наносят растворяющуюся печатную краску таким образом, что в результате получают соответствующие вырезы. После металлизации краска растворяется, вместе с ней растворяются и соответствующие участки металлического покрытия.
В соответствии с изобретением прозрачные информационные вырезы в дифракционной структуре могут также отображать открытую визуальную информацию. С этой целью вырезы делаются следующим образом. После напыления металла в соответствии с открытой информацией наносят протравной краситель, который удаляет металлическое покрытие в соответствующих местах. В результате при исследовании в проходящем свете можно увидеть открытую информацию. Если таким образом обработать скрытое изображение, то его наличие можно выявить благодаря отражению от остатков металлического покрытия.
При создании открытой информации, естественно, можно использовать и другие способы, например лазерную персонализацию. Для этого после изготовления документа, в частности, кредитной карты со скрытым изображением с помощью лазера в документ записывают открытую информацию, например, текст или числовой код. В частности, благодаря лазерному облучению удаляют металлическое покрытие или меняют цвета в документе. Благодаря выжиганию с помощью мощного лазера информация может выглядеть, например, как черный шрифт перед металлическим задним планом скрытого изображения. Приведенные примеры показывают, что со скрытой визуальной информацией можно комбинировать практически любую соответствующую открытую информацию.
Для определения параметров решетки преимущественно задают геометрию экрана, на котором при направленном, в сущности, монохроматическом освещении должна отражаться скрытая информация.
Затем на основе геометрии экрана, используя соотношение

вычисляют постоянную решетки и угловую ориентацию для тех элементов с решеткой, которые создают скрытую информацию. При этом  представляют собой нормальный вектор, вектор проекции и вектор освещения, m – порядок дифракции, – вектор решетки. Подробное объяснение и определение используемых величин будет приведено ниже.
Кроме того, изобретение охватывает способ изготовления оптически изменяющейся дифракционной структуры. В этой структуре содержится скрытая информация, которая состоит из множества точек изображения. При данном способе
задают геометрию приемного экрана, на котором отображается скрытая визуальная информация,
задают тип освещения, в частности длину волны и направление освещения, которое создает на экране скрытую информацию,
для каждой точки изображения на основании геометрии экрана и с использованием соотношения определяют постоянную решетки и угловую ориентацию, причем  каждый представляет собой нормальный вектор, вектор проекции и вектор освещения, m – порядок дифракции, а – вектор решетки,
на подложке создают оптически изменяющуюся дифракционную структуру с дополнительной областью, состоящей из множества подобластей, каждая из которых поставлена в соответствии одной из точек изображения и заполнена дифракционной решеткой, постоянная решетки и ее угловая ориентация определены постоянной решетки и угловой ориентацией, заданными для поставленной ей в соответствии точки изображения.
При соответствующем изобретению усовершенствованном способе дополнительно задают основную область, которая при обычных условиях освещенности создает открытую визуальную информацию. При этом оптически изменяющаяся дифракционная структура составлена из основной и дополнительной области таким образом, что открытая визуальная информация реализована в основной области, а скрытая информация – в дополнительной области.
В предпочтительных формах реализации изобретения основная область выполнена в виде голограммы, голографического решетчатого изображения или другой аналогичной голограмме дифракционной структуры, отпечатанного изображения, информационного выреза в непрозрачном или отражающем слое, или лазерной надписи. Дополнительная область на подложке может быть выполнена под основной областью, рядом с основной областью или на ней.
В процессе проверки подлинности элемента защиты, бумаги с защитой от подделки или носителя данных вышеописанного вида при определенных условиях освещения световые лучи отклоняются элементами дифракционной решетки, причем элементы с решеткой создают на экране скрытую визуальную информацию. Геометрия приемного экрана выполнена таким образом, что световые лучи, которые отклоняются элементами с решеткой, отражаются экраном в сторону наблюдателя. Затем на основании созданной на экране скрытой информации делается заключение о подлинности проверяемого элемента защиты. Предпочтительно геометрию экрана выполнить в виде эллипсоида, причем точка падения световых лучей на элементы с решеткой должна лежать в одном фокусе, а глаз наблюдателя – в другом. Альтернативно геометрия экрана может быть образована поверхностью с параболическим или круглым поперечным сечением.
При альтернативном способе проверки подлинности элемента защиты, бумаги с защитой от подделки или носителя данных вышеописанного вида приемный экран представляет собой обратную сторону коллективной линзы или системы линз. При этом коллективная линза выполнена таким образом, что световые лучи, отклоняющиеся элементами с решеткой, проходят сквозь нее таким образом, что скрытая визуальная информация отображается на приемном экране, представляющем собой обратную сторону коллективной линзы.
Ниже на основе чертежей поясняются остальные примеры исполнения, а также преимущества изобретения. Для обеспечения наглядности масштаб и пропорции на чертежах не соблюдаются. Примеры исполнения, которые поясняются ниже на основе чертежей, подходят для рассматривания как в отраженном, так и в проходящем свете, поскольку не утверждается противоположное.
На чертежах показано следующее.
Фиг.1 – Схематичное представление банкноты со вставленной в нее защитной нитью, которая выполнена в соответствии с одним из примеров реализации изобретения.
Фиг.2 – Защитная нить Фиг.1 в поперечном сечении.
Фиг.3 – Принцип конструкции, соответствующей изобретению дифракционной структуры и геометрические соотношения при проекции скрытой информации на приемный экран: (а) – для исследования в отраженном свете и (b) – для исследования в проходящем свете.
Фиг.4 – Оптически изменяющаяся дифракционная структура в соответствии с одним из примеров исполнения изобретения; (а) – открытая визуальная информация, (b) – дифракционная структура с частично заполненными элементами с решеткой для создания скрытой информации.
Фиг.5 и 6 – Две дифракционные структуры, как на Фиг.4, с альтернативным размещением элементов с решеткой для создания скрытой информации.
Фиг.7 – Дифракционная структура в соответствии с дополнительным примером реализации изобретения, в котором используют различную яркость точек скрытого визуального изображения.
Фиг.8 – Дифракционная структура, как на Фиг.7, с альтернативным размещением элементов с решеткой для создания скрытой визуальной информации.
Фиг.9 – Дифракционная структура в соответствии с еще одним примером исполнения изобретения: (а) – основная голограмма, (b) – голограмма, разделенная на узкий полоски, (с) – чередование на поверхности скрытого изображения и основной голограммы.
Фиг.10 – дифракционная структура в соответствии с дополнительным примером реализации изобретения, при котором открытая визуальная информация образована благодаря форме и положению тех элементов с решеткой, которые создают скрытую информацию.
Фиг.11 – дифракционная структура, как на Фиг.4, в которой область скрытого изображения разделена на несколько участков, которые содержат различную частичную информацию.
Фиг.12 – схематичное представление дифракции луча лазера на соответствующей изобретению дифракционной структуре: (а) – при наблюдении в отраженном свете, (b) – при наблюдении в проходящем свете.
Фиг.13 – (а) визуальная информация, скрытая в дифракционной структуре Фиг.12, в том виде, как она отображается на экране, (b) – положение пронумерованных точек скрытого изображения.
Фиг.14 – (с) дифракционная структура в соответствии с дополнительным примером исполнения изобретения, (а) показана только открытая визуальная информация, (b) показаны только частично заполненные элементы с решеткой, которые предназнечены для создания скрытой визуальной информации.
Фиг.15 – Дифракционная структура, как на Фиг.4, в которой область скрытого изображения разделена на участки разной формы, которые содержат элементы с решеткой для создания скрытой визуальной информации.
Фиг.16 – Две дифракционные структуры с альтернативным расположением элементов с решеткой для создания скрытой визуальной информации, (а) – область скрытого изображения, которая разделена на участки; участки выполнены в виде знаков и/или узоров, (b) – область скрытого изображения, которая разделена на участки; на участках имеются вырезы в виде знаков и/или узоров.
Фиг.17 – (а) устройство для просмотра скрытой визуальной информации. Приемный экран имеет такую форму, что падающие на него световые лучи отражаются в сторону наблюдателя, (b) устройство для просмотра скрытой визуальной информации. Приемный экран связан с коллективной линзой таким образом, что лучи, которые создаются благодаря скрытой визуальной информации, направляются в глаз наблюдателя.
Фиг.1 представляет собой схематичное представление банкноты 10, которая в качестве примера соответствующего изобретению защитного элемента имеет защитную нить 12. Защитная нить 12 выполнена в виде ныряющей нити. В пределах определенных окошек 14 нить выходит на поверхность банкноты 10, в промежутках между окошками она внедрена внутрь банкноты 10. В зависимости от того, выходит защитная нить 12 на поверхность лишь с одной стороны банкноты 10, или окошки выполняются в виде сквозных отверстий в бумаге, защитная нить может быть снабжена дифракционными структурами, которые подходят для рассматривания в отраженном или проходящем свете.
На Фиг.2 показано поперечное сечение слоистой структуры защитной нити 12. Защитная нить 12 содержит основу 16, например полимерную пленку, с нанесенным на нее слоем 18 элемента защиты с соответствующей изобретению оптически изменяющейся дифракционной структурой. Разумеется, защитная нить 12 может иметь дополнительные слои и/или дополнительные защитные признаки, например, в виде люминесцирующего или магнитного материала. Для данного изобретения существенного значения это не имеет и поэтому подробно не описывается.
Принципиальная конфигурация соответствующей изобретению дифракционной структуры, рабочие операции по ее изготовлению и визуализация скрытой информации поясняются со ссылками на Фиг.3. На этом чертеже отображены геометрические соотношения, которые наблюдаются при проекции скрытой информации на экран. При этом на Фиг.3 (а) показаны соотношения при визуальном исследовании в отраженном свете, а на Фиг.3 (b) – соотношения при исследовании в проходящем свете.
Сначала для каждой дифракционной структуры определяют вид приемного экрана 20, на котором будет отображаться скрытая информация. В случае экрана 20 речь может идти о поверхности любой формы. Это может быть плоскость, часть цилиндрической поверхности или другая поверхность, которая, в общем, описывается соотношением F(x,y,z)=0. Затем определяется скрытая информация, которую необходимо создать. В упрощенном примере, который представлен на Фиг.3, этой информацией является буква «А». При этом скрытая информация состоит из множества отдельных точек изображения 22, в совокупности они образуют соответствующую информацию.
Дифракционная структура 24 содержит множество элементов 26 с решеткой, для создания скрытой информации они заполняются решетчатым узором. Как более подробно объясняется ниже, эти элементы могут различным образом комбинироваться с другими элементами с решеткой или прочими элементами дизайна, которые создают открытую информацию. Каждый элемент 26 с решеткой, который создает скрытую информацию, соответствует одной из точек изображения 22. Так, например, элемент 28 с решеткой соответствует точке Р.
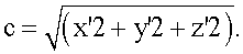
Узор каждого элемента 28 с решеткой характеризуется двумя параметрами решетки: постоянной решетки а и азимутальным углом , который представляет собой угол между линиями решетки 30 и опорным направлением 32. Оба этих параметра можно представить также с помощью вектора решетки . Этот вектор представляет собой вектор длиной 2 /а, который направлен параллельно линиям решетки. Ориентация элемента с решеткой в пространстве задается с помощью нормального вектора . Данный вектор представляет собой единичный вектор, который направлен перпендикулярно плоскости решетки.
Падающий монохроматический свет с длиной волны характеризуется вектором освещения . Вектор освещения представляет собой вектор длиной 2 / , который направлен от источника света к элементу с решеткой 28. Вектор проекции – это вектор длиной 2 / , который направлен от элемента 28 с решеткой к соответствующему пункту Р на экране 20.
Упомянутые величины связаны друг с другом соотношением

причем m является целым числом, в частности +1 или -1. Это позволяет на основании данных о геометрии экрана, положении на экране 20 точек 22 изображения и условий освещения, то есть векторе освещения , в котором содержится длина волны падающего света и направление освещения, непосредственно вычислить параметры решетки а и . Таким образом, элементы 26 с решеткой можно заполнить решетками таким образом, что при освещении с направления в сущности, монохроматическим светом с длиной волны они будут создавать на экране 20 соответствующую скрытую визуальную информацию 22.
С целью расчета соответствующей изобретению дифракционной структуры для отображения скрытого изображения можно использовать систему координат, в которой дифракционная структура расположена в нулевой точке, нормальный вектор решетки направлен вдоль оси z, а вектор решетки образует с осью у угол . Таким образом, если необходимо, чтобы лазер с длиной волны , который находится в точке (х, у, z), высветил на экране точку с координатами (х’, у’, z’), то из предыдущей формулы (1) для параметров решетки можно получить следующие соотношения:

причем gx и gy являются компонентами вектора решетки. Последние вычисляются следующим образом:
gx=-(2 /m )(у’/с’+у/с); gy=(2 /m )(х’/с’+х/с); gz=0
где с и c’ представляют собой расстояние между источником света или соответственно высвечивающейся точкой и нулевой точкой. Расстояния с и с’ задают следующим образом:
 
Геометрию, то есть форму и положение приемного экрана, можно выбрать с различных точек зрения.
Если скрытое изображение используется как защитный признак, то защиту можно улучшить, например, рассчитав с помощью предыдущих соотношений (1) и (2) дифракционную структуру для отображения скрытого изображения на экране определенной геометрии. Рассчитанное и выполненное таким образом скрытое изображение может быть отображено без искажений только на экране того же вида и той же геометрии. На экране другого вида или геометрии изображение будет отображаться с искажениями.
Еще одна возможность заключается в том, что геометрию экрана выбирают таким образом, чтобы увеличить яркость, с которой скрытое изображение высвечивается на экране, который рассеивает попадающий на него свет. Если на экран смотрят спереди, то максимально возможная яркость достигается в том случае, если приемный экран имеют такую форму, при которой попадающие на него лучи отражаются в сторону наблюдателя, как схематично показано на Фиг.17 (а). Падающий световой луч 161 попадает на скрытое изображение 160, которое содержит элементы с решеткой. Эти элементы рассчитывают так, чтобы они создавали соответствующее изображение на рассеивающем свет изогнутом приемном экране 164. При этом приемный экран имеет такую геометрию, чтобы лучи 162, 163, которые идут от точки падения луча 161 лазера на скрытое изображение 160, отклонялись в сторону наблюдателя 167.
Предпочтительная геометрия экрана образуется благодаря эллипсоиду, при этом скрытое изображение находится в одном фокусе, а глаз наблюдателя – другом. Так как экран обычно находится возле скрытого изображения и сравнительно далеко от наблюдателя, эллипсоид приближенно можно заменить поверхностью с параболическим или круглым поперечным сечением. При этом точка падения луча лазера на скрытое изображение находится в фокусе этой системы, а оптическая ось направлена в сторону наблюдателя.
Если на экран смотрят сзади, как схематично показано на Фиг.17 (b), то высокая яркость достигается в том случае, если приемный экран в виде матового стекла образован задней поверхностью 165 коллективной линзы 166. При этом коллективная линза премущественно рассчитана таким образом, чтобы положение точки падения луча 161 лазера на скрытое изображение 160 благодаря коллективной линзе 166 отображалась в глазу наблюдателя 166. В этом случае элементы с решеткой скрытого изображения рассчитываются так, чтобы исходящие от них лучи 162, 162 проходили через коллективную линзу таким образом, что соответствующее изображение будет появляться на матовой поверхности (с противоположной наблюдателю стороны) коллективной линзы.
Так как направление , в котором отклоняется падающий луч света , зависит только от параметров решетки элемента 26 с решеткой, а не от его положения внутри дифракционной структуры 24, в принципе можно выбрать любое расположение элементов 26. В частности, расположение элементов 26 не обязательно должно соответствовать расстановке точек изображения 22 скрытой информации.
Более того, положение тех элементов 26 с решеткой, которые создают скрытую информацию, как правило, выбирается в пределах дифракционной структуры 24 таким образом, чтобы распознать наличие этих элементов и отображаемую ими информацию было не так просто. Поэтому, как это еще будет описано более подробно ниже, эти элементы, в частности, размещаются на дифракционной структуре в специальных промежутках или незанятых участках открытой информации.
На Фиг.3 и последующих чертежах для иллюстрации размер и промежутки между линиями 30 решетки представлены в сильно увеличенном масштабе. На самом деле постоянная решетки а решетчатого узора обычно лежит примерно в пределах от 0,5 до 2 мкм, поэтому для того чтобы создать дифракционные структуры размером в несколько миллиметров или сантиметров, линий решетки должно быть достаточно много.
На Фиг.4 показан дополнительный пример соответствующей изобретению оптически изменяющейся дифракционной структуры 40. Прежде всего, на Фиг.4 (а) показана основная голограмма, которая образуется из первых элементов 42 с решеткой. Эта голограмма представляет собой открытую визуальную информацию дифракционной структуры 40. Эта голограмма, как обычно, создается при обычном освещении дифракционной структуры 40 благодаря первым элементам 42 с решеткой. В зависимости от вида голограммы наблюдатель может видеть ее с одного или нескольких направлений. Знак 42 может представлять собой не только голограмму, но и голографическое решетчатое изображение или другую аналогичную голограмме дифракционную структуру, отпечатанное изображение, негатив в непрозрачном или отражающем слое, лазерную надпись и т.п. Он может быть нанесен на структуру со скрытым изображением также дополнительно.
Те части 44 дифракционной структуры 40, которые не заняты участками основной голограммы, занимают вторыми элементами 46 с решеткой, которые создают скрытую визуальную информацию. В том примере исполнения, который показан на Фиг.4 (b), элементы 46 с решеткой представляют собой множество расположенных рядом друг с другом узких полосок шириной примерно 10 мкм. Итак, ширина полосок лежит далеко за пределами разрешения, различимого невооруженным глазом, поэтому разделение на полоски при обычном освещении дифракционной решетки распознать невозможно.
В каждом случае элементы 46 с решеткой заполняют решетчатым узором. Параметры решетки этого узора определяются отображаемой скрытой информацией. Для наглядности рисунка на Фиг.4 (b) решетчатым узором заполнена лишь часть полосок 46. Конкретный вид скрытой информации для настоящего описания существенного значения не имеет. Речь может идти, например, о простых контурных или штриховых рисунках, например, последовательности букв и цифр, которые состоят из некоторого множества точек изображения.
Для расчета параметров решетки каждого элемента 46, как это описано в связи с Фиг.3, для каждой точки изображения скрытой информации на основе геометрии экрана и условий освещения вычисляется постоянная решетки а и азимутальный угол . Поэтому направленное, в сущности, монохроматическое излучение отклоняется решетчатым узором в направлении, которое характерно для соответствующей точки изображения. Последовательность соотнесения полосок 46 с решетчатыми узорами, в принципе, может быть любой, однако предпочтительно делать это с учетом относительного положения точек изображения.
Например, решетчатые узоры, которые относятся к рядом расположенным точкам изображения, могут размещаться в рядом расположенных полосках 46. Это дает то преимущество, что даже в том случае, если освещаются не все полоски, которые относятся к скрытому объекту, на экране, по крайней мере, воспроизводятся связанные между собой участки объекта изображения.
Альтернативно решетчатые узоры, которые относятся к каждой второй точке изображения, могут размещаться в рядом расположенных полосках 46. В этом случае при частичном освещении, например, половины полосок посредством каждой второй точки создается укрупненный контур скрытой информации, так что можно понять ее характер. Благодаря этому нетрудно получить общее представление о скрытом объекте изображения. С этой целью в случае объектов, которые состоят из большого количества точек, может оказаться целесообразным, в рядом расположенных полосках 46 разместить решетчатые узоры, которые относятся к третьим, четвертым или даже более удаленным точкам изображения.
В рассматриваемом примере исполнения вторые элементы 46 с решеткой в незанятой области 44 заполняют решетками последовательно или с циклическим повторением в соответствии с одной из названных схем. Повторение продолжают до тех пор, пока элементы 46 не заполнят всю соответствующую область, так что при облучении скрытую визуальную информацию можно обнаружить практически в любом месте дифракционной структуры 40. В этом случае одной точке изображения скрытой визуальной информации соответствует множество элементов 46 дифракционной структуры. Кроме того, при типичном диаметре пятна лазерной указки ок. 500 мкм и ширине полоски 10 мкм скрытые объекты, которые состоят из некоторого количества точек изображения (до 50 точек), отображаются одновременно.
Альтернативное расположение элементов 46 с решеткой показано на Фиг.5, здесь разделение на узкие полоски происходит не по вертикали, а по горизонтали. И в данном случае заполнение показано лишь для некоторых полосок 46. В примере, который показан на Фиг.4 и 5, открытую визуальную информацию основной голограммы можно рассчитать так, чтобы она была видна с определенного направления 48. Если для скрытой информации установить одинаковое направление, например, как показано на Фиг.4, то при обычном освещении заполненные площади 46 будут иметь беловатый или пастельный цвет. Это можно использовать в качестве отличительной черты при проектировании дизайна открытой информации.
Если желательно, чтобы этот эффект не проявлялся, то направление 50 рассматривания скрытой информации можно выбрать так, что оно будет перпендикулярно направлению 48, с которого рассматривается основная голограмма, как показано на Фиг.5. В этом случае при обычном освещении области основной голограммы со скрытым изображением будут выглядеть как пустые поверхности.
На Фиг.6 представлен еще один предпочтительный пример исполнения изобретения. В этом варианте элементы 46 с решеткой представляют собой прямоугольные участки, каждый участок заполнен однородным решетчатым узором для соответствующей точки изображения. На этом чертеже заполнение показано лишь для некоторых участков 46. При таком варианте луч лазерной указки может одновременно охватить еще большее количество элементов 46. Если, например, высота прямоугольных участков оставляет 10 мкм, а длина – 50 мкм, то при диаметре луча около 0,5 мм одновременно освещается примерно 400 элементов.
Даже если скрытый объект состоит не из такого большого количества точек, благодаря разделению на небольшие участки достигается уменьшение структур в области скрытого изображения. Например, даже при представлении сравнительно небольшого числа точек с рядом расположенными полосками достигается такая длина периода, что она будет видна невооруженным глазом и, таким образом, исказится создаваемое открытой информацией впечатление. Напротив, при разделении полосок на более мелкие прямоугольные участки, элементы 46 с решеткой, которые соответствуют точкам изображения, могут быть размещены на таком участке поверхности, что они не будут различаться глазом.
Вместо равномерного распределения, которое показано на Фиг.6, может быть принято такое разделение на участки, при котором прямоугольные участки в пределах рядом расположенных полосок сдвинуты относительно друг друга. Разделение на соседних участках также может быть совершенно неравномерным. Вместо прямоугольных участков можно использовать участки любой формы, например, треугольники, шестиугольники и т.п. При правильной форме участков облегчается покрытие всей области скрытого изображения.
С другой стороны, при неправильной форме участков в областях со скрытым изображением легче избежать мешающего, бросающегося в глаза узора. Такое альтернативное размещение вторых элементов 46 с решеткой показано на Фиг.15. В этом варианте участки вторых элементов 46 имеют контуры неравномерной формы. Как и в случае равномерного распределения, которое показано на Фиг.6, каждый участок заполняется однородным решетчатым узором для соответствующей точки изображения.
Усовершенствованный вариант проиллюстрирован на Фиг.7. При таком решении точкам со скрытой визуальной информацией соответствуют различные значения яркости, благодаря этому получается приятное, например, полутоновое изображение. Для этого выбирают большую или меньшую долю площади, которая занята тем или иным элементом 46 с решеткой, в зависимости от яркости соответствующей этому элементу точки изображения. Например, если необходимо, чтобы точка Р1 скрытой информации высвечивалась с удвоенной по сравнению с точкой Р2 интенсивностью, то полоски 52, которые соответствуют точке Р1, должны быть в два раза шире, чем полоски 54, которые соответствуют точке Р2. Тот же подход применяется в случае других значений яркости.
Вместо того чтобы изменять размер полосок, в каждом случае можно предусмотреть различное количество участков одинакового размера. Например, область скрытого изображения можно разделить на участки размером примерно 0,0001 мм2. Если, например, необходимо, чтобы первая точка Р1 высвечивалась с удвоенной по сравнению с точкой Р2, то параметры, которые относятся к Р1, распространяются на вдвое большее количество участков по 0,0001 мм2 по сравнению с параметрами, которые относятся к Р2.
Разделив полоски на отрезки так, как показано на Фиг.8, ширину полосок можно оставить одинаковой, и изменять только длину отрезков 56, в зависимости от необходимой яркости. Разумеется, можно применить обе меры, то есть как изменение ширины полосок, так и изменение длины отрезков.
Еще одну возможность, комбинировать открытую и скрытую информации, поясним в связи с дифракционной структурой 60, которая изображена на Фиг.9. В этом примере первые элементы 62 с решеткой, которые создают открытую визуальную информацию, и вторые элементы 64, которые формируют скрытую информацию, чередуются на поверхности друг с другом. Для этого показанная на Фиг.9 (а) основную голограмму 66 сначала делят на узкие полоски, как изображено на Фиг.9 (b). Так как соседние полоски содержат почти одинаковую визуальную информацию, можно пропустить, например, каждую вторую полоску. Затем в освободившиеся промежутки 68 голограммы 66 можно вставить полоски 64 скрытого изображения, как показано на Фиг.9 (с).
При этом, как описано выше, каждая полоска 64 соответствует точке скрытого изображения, полоски заполняют решетчатыми узорами, которые рассчитывают в соответствии с положением точки. Полоски 64 циклически вставляют в промежутки 68 до тех пор, пока не будут заполнены все промежутки 68 голограммы.
При этом варианте скрытую информацию можно интегрировать в дифракционную структуру независимо от предмета открытого изображения, так как ее не приходится записывать в незанятые участки. Зато из-за пропуска в основной голограмме первых элементов с решеткой уменьшается яркость. Это уменьшение зависит от той доли, которая приходится на пропущенные элементы.
При создании чередующихся дифракционных структур первые элементы 62 основной голограммы и вторые элементы 64 скрытого изображения можно записать в процессе одной операции, предпочтительно посредством электронно-лучевой литографии. При этом, в частности, применяются способы, которые описаны в DE 10226115 и DE 10243413; записывают сразу все части изображения.
Альтернативно первые элементы 62 и вторые элементы 64 могут освещаться разными способами. Для этого, например, можно, воспользовавшись подходом, который описан в документе DE 10308328 (см. в этом описании Фиг.1-3, 8, 9 и 11), интегрировать вторые элементы с решеткой 64 в промежутки основной голограммы 66.
Для того, чтобы создать чередование элементов с решеткой, вместо разложения изображения на полоски, которое показано на Фиг.9, в основной голограмме 66 можно создать небольшие промежутки любой формы. Затем в эти промежутки помещают вторые элементы с соответствующими решетчатыми узорами.
Еще одна возможность состоит в том, что скрытое изображение и основную голограмму накладывают друг на друга так, чтобы под скрытым изображением была видна основная голограмма. Для этого можно использовать подход, который описан в документе DE 10308328 (см. в этом описании Фиг.17а-17с и 18а-18d). Скрытое изображение и основную голограмму можно наложить друг на друга также таким образом, что при этом будут перекрыты определенные участки либо основной голограммы, либо скрытого изображения. Эти участки выбирают так, чтобы их отсутствие в основной голограмме не бросалось в глаза. Для этого, например, можно использовать подход, который описан в документе DE 10308328 (см. в этом описании Фиг.16а-16d).
В связи с Фиг.5 было сказано, что направление, с которого просматривается скрытая визуальная информация, может располагаться перпендикулярно или параллельно направлению, с которого рассматривается основная голограмма. Если область скрытого изображения и основная голограмма накладываются или чередуются друг с другом, то направление, с которого просматривается скрытое изображение, рекомендуется располагать перпендикулярно направлению для рассматривания основной голограммы, так как при параллельной ориентации над основной голограммой создается искажающая ее беловатая вуаль.
На Фиг.10 показана дифракционная структура 70 в соответствии с еще одним примером исполнения изобретения. Дифракционная структура 70 не содержит в себе основной голограммы в качестве открытой визуальной информации. Более того, область скрытого изображения 72, то есть область, содержащая элементы 74 с решеткой, которые формируют скрытую визуальную информацию, создана таким образом, что она сама по себе, с ее формой и положением, образует открытую информацию, в данном примере лицо 76. При обычном освещении дифракционной структуры 70 видно только лицо 76, при освещении же лучами лазерной указки на приемном экране появляется скрытая информация.
При выборе объектов для скрытой информации следует выбирать контурные или штриховые рисунки, а не объекты, занимающие большую площадь (однако, какие объекты также возможны), так как при отображении таких рисунков можно обойтись меньшим числом точек. Чем меньше используется точек изображения, тем, как правило, выше яркость на одну точку. Кроме того, при меньшем количестве точек создается менее детализированное изображение. Такое изображение в меньшей степени размывается вследствие износа и сминания. Это соображение очень важно при выборе объекта для скрытого изображения, так как скрытые изображения реагируют на такие воздействия весьма чувствительно. К тому же при меньшем числе точек в области скрытого изображения сокращается период повторения в основной голограмме и, таким образом, создается меньше искажений. Кроме того, при сокращении числа точек изображения можно увеличить ширину полосок и/или их отрезки и, таким образом, уменьшить количество переходных зон, из-за которых при некоторых обстоятельствах снижается эффективность.
Наряду со статичной визуальной информацией, которая записывается в нескольких местах дифракционной структуры в одной и то же форме, скрытая информация также может состоять из несколько частичных информаций, которые создаются при освещении различных соответствующих участков дифракционной структуры. На Фиг.11, например, показана дифракционная структура 80, которая выполнена аналогично структуре 40. Последняя изображена на Фиг.4 (b). Однако в примере, показанном на Фиг.11, область 44, которая не занята первыми элементами 42 с решеткой, разделена на участки 81-84, в каждом из которых содержится различная скрытая информация. Как сказано выше, каждый участок 81-84 разделен на множество узких полосок, которые образуют вторые элементы 46 с решеткой.
Участки 81-84 могут, например, содержать ряд изменений одного и того же объекта, поэтому при последовательном освещении соответствующих участков будет создаваться движущийся объект. Чтобы не возникало некрасивых наложений, при которых одновременно можно видеть несколько фаз движения, ширину участков 81-84 выбирают так, чтобы она примерно соответствовала типичному размеру светящейся точки, которую создает лазерная указка.
На Фиг.11 показаны участки 81-84, которые расположены друг возле друга. Однако эти участки могут быть расположены вертикально друг над другом или в любом другом направлении. В этом случае лазерную указку следует перемещать соответствующим образом. Обычно изображения располагают друг возле друга в соответствии с естественным движением руки, которая перемещает лазерную указку. Если объекты должны чередоваться при прямолинейном движении лазерной указки в любом направлении, то элементы 46 рекомендуется выполнять не в виде прямых полосок, а в форме дугообразных, например, волнистых фигур.
Наряду с рядом сменяющих друг друга картинок, различные участки могут содержать и другие последовательности изображений, например пульсирующее изображение, переход между двумя или несколькими различными объектами, высвечивающийся, гаснущий или мигающий объект. Для этого также можно использовать виды с разных направлений одного и того же объекта, так что при проходе через соответствующие участки на экране, например, появится вращающийся кубик.
На Фиг.12 схематично изображена дифракция лазерного луча на соответствующей изобретению структуре при исследовании в отраженном (Фиг.12 (а)) и проходящем (Фиг.12 (b)) свете. Лазерный луч 90, который исходит из точки (x, y, z), падает на решетку 92, которая находится в нулевой точке системы координат. Здесь лазерный луч 90 отклоняется в луч 94 и попадает в точку (х’, у’, z’) приемного экрана 96.
В таблице приведен пример расчета соответствующей изобретению дифракционной структуры для отображения скрытого изображения, которая в схематичном виде представлена на 12 (а). При дальнейших пояснениях будем ссылаться на Фиг.12 (а) и 13. На основании данных, которые приведены над таблицей, а также положения точек 1-16, которые представляют собой сочетание букв PL, с помощью соотношений (1) или (2) можно вычислить относящиеся к точкам 1-16 азимутальные углы и постоянные решетки. Результаты вычислений представлены в таблице.
| Таблица |
| Порядок дифракции m=1 |
| Длина волны лазера: 635 нм |
| Положение лазера: х=-1,2 см, у=-1,4 см, z=11,5 см |
| Положение матового стекла: х’=-5 см, перпендикулярно оси х |
| Положение решетки: в плоскости ху, в нулевой точке |
точки |
х’ (см) |
v’ (см) |
z’ (см) |
(°) |
а (нм) |
| 1 |
-5 |
-2,25 |
3 |
28,0026 |
620,8619 |
| 2 |
-5 |
-2,25 |
3,75 |
28,2041 |
653,9430 |
| 3 |
-5 |
-2,25 |
4,5 |
28,4308 |
691,1591 |
| 4 |
-5 |
-2,25 |
5,25 |
28,6760 |
731,4135 |
| 5 |
-5 |
-2,25 |
6 |
28,9343 |
773,7920 |
| 6 |
-5 |
-1,5 |
5,9 |
22,8330 |
793,3048 |
| 7 |
-5 |
-1,5 |
4,6 |
22,2286 |
715,3931 |
| 8 |
-5 |
-0,8 |
4,875 |
16,0325 |
749,4073 |
| 9 |
-5 |
-0,8 |
5,625 |
16,4790 |
797,3516 |
| 10 |
-5 |
0,75 |
6 |
1,9045 |
857,3042 |
| 11 |
-5 |
0,75 |
5,25 |
1,2564 |
804,5961 |
| 12 |
-5 |
0,75 |
4,5 |
0,6396 |
754,3350 |
| 13 |
-5 |
0,75 |
3,75 |
0,0676 |
707,6518 |
| 14 |
-5 |
0,75 |
3 |
-0,4428 |
665,9348 |
| 15 |
-5 |
1,5 |
3 |
-7,8639 |
673,8483 |
| 16 |
-5 |
2,25 |
3 |
-14,8714 |
679,6329 |
Ниже другие примеры исполнения изобретения пояснены в связи с Фиг.14.
В первом примере скрытое изображение представляет собой решетчатое изображение, которое составлено из элементов 146 с решеткой, как показано на Фиг.14 (b). В это изображение помещают открытую информацию 142 в виде вырезов в металлическом слое, который предназначен для просмотра скрытого изображения в отраженном свете. Благодаря этому получается дифракционная структура 140, которая показана на Фиг.14 (с). На участке 142 блестящий металлический слой этой структуры имеет вырез. Скрытое изображение в этом металлическом слое обнаруживается вышеописанным способом. По аналогии с Фиг.14 (с) в виде скрытого изображения с вырезами могут быть выполнены также примеры, которые показаны на Фиг.5-8.
В соответствии с дополнительным конструктивным решением Фиг.14 (b) представляет собой нанесенную на объект решетку со скрытым изображением. На Фиг.14 (а) показано отпечатанное изображение, которое печатается поверх скрытого изображения. В совокупности, таким образом, опять же возникает такая же дифракционная структура 140, как та, что показана на Фиг.14 (с), причем в этом случае обозначение 142 относится к напечатанной открытой информации, а обозначение 146 – к элементам с решеткой для отображения скрытой информации. По аналогии с Фиг.14 (с) в виде скрытого изображения с надпечаткой могут быть выполнены также примеры, которые показаны на Фиг.5-8.
В соответствии с еще одним дополнительным конструктивным решением Фиг.14 (b) представляет собой нанесенную на объект решетку со скрытым изображением, а Фиг.14 (а) – лазерную надпись, которая частично перекрывает скрытое изображение. В целом, таким образом, возникает дифракционная структура 140, которая состоит из созданной с помощью лазера визуальной информации 142 и элементов 146 с решеткой, которые формируют скрытую информацию. По аналогии с Фиг.14 (с) в виде скрытого изображения с лазерной надписью могут быть выполнены также примеры, которые показаны на Фиг.5-8.
В пределах одной серии объектов открытая информация может быть выполнена одинаково или по разному. В качестве примеров особой информации можно назвать печать с помощью нумератора или лазерную надпись с индивидуальным управлением.
В соответствии с еще одной конструктивной формой скрытое изображение представляет собой решетчатое изображение, которое образуют вторые элементы 156 с решеткой. В этом изображении участки элементов с решеткой могут иметь вид любых знаков и/или узоров. Таким образом, они сами по себе представляют собой открытую информацию (которую в случае необходимости можно рассмотреть с помощью лупы), как показано на Фиг.16 (а) и 16 (b).
Итак, в целом возникает дифракционная структура 150. Она состоит из элементов 156 с решеткой, которые создают скрытую информацию, и открытой визуальной информации, которая создана благодаря конфигурации этих элементов.
При такой конфигурации, которая показана на Фиг.16 (а), в виде знаков и/или узоров, например, печатных знаков, выполнены сами вторые элементы 156 с решеткой, каждый из которых заполнен единообразным решетчатым узором для соответствующей точки изображения. Альтернативно знаки и/или узоры во вторых элементах 156 с решеткой могут существовать в виде вырезов 158, например, негативного шрифта, как показано на Фиг.16 (b). При этом элементы 156 с решеткой выполнены в виде прямоугольных участков. Для большей наглядности на Фиг.16 (а) и 16 (b) решетчатым узором заполнена лишь часть элементов 156 с решеткой, которые образуются благодаря печатным знакам или прямоугольным участкам.
Разумеется, смысл могут иметь и такие скрытые изображения, которые не связаны с открытой визуальной информацией. Поэтому скрытые решетчатые изображения со скрытой информацией, которые создаются в соответствии со способом, предложенном в данном изобретении, могут, например, использоваться в защитной этикетке. При этом вследствие своих особенностей сами по себе эти изображения открытой информации не представляют.
Формула изобретения
1. Оптически изменяющаяся дифракционная структура, содержащая открытую и скрытую визуальную информацию, отличающаяся тем, что имеет элементы с решеткой, формирующие скрытую информацию, причем открытая информация образована благодаря форме и положению этих элементов.
2. Дифракционная структура по п.1, отличающаяся тем, что при обычном освещении скрытая информация не видна, но отображается на экране при направленном практически монохроматическом освещении дифракционной структуры.
3. Дифракционная структура по п.1 или 2, отличающаяся тем, что скрытая визуальная информация состоит из множества отдельных точек.
4. Дифракционная структура по п.3, отличающаяся тем, что каждый из элементов с решеткой поставлен в соответствие одной из точек изображения, а содержащийся в этих элементах решетчатый узор имеет такую постоянную решетки и угловую ориентацию, что направленное практически монохроматическое освещение отклоняется в направлении, характерном для соответствующей точки.
5. Дифракционная структура по п.1, отличающаяся тем, что элементы с решеткой выполнены в виде полосок, в частности вертикальных или горизонтальных, или в форме одинаковых или разных участков, в частности прямоугольных.
6. Дифракционная структура по п.5, отличающаяся тем, что ширина полосок или характерный размер участков лежит ниже пределов разрешения, доступного невооруженному глазу.
7. Дифракционная структура по любому из пп.4-6, отличающаяся тем, что рядом расположенные полоски или участки соответствуют рядом расположенным точкам изображения скрытой визуальной информации.
8. Дифракционная структура по любому из пп.4-6, отличающаяся тем, что рядом расположенные полоски или участки соответствуют таким точкам изображения скрытой визуальной информации, которые расположены не рядом, а через одну, две или три точки.
9. Дифракционная структура по п.1, отличающаяся тем, что открытая и/или скрытая визуальная информация в каждом случае распределена по всей поверхности структуры.
10. Дифракционная структура по п.1, отличающаяся тем, что для элементов с дифракционной структурой, формирующих скрытую информацию, предусмотрены различные доли площади.
11. Дифракционная структура по п.10, отличающаяся тем, что элементы с решеткой, формирующие скрытую визуальную информацию, образованы полосками различной ширины или участками разного размера.
12. Дифракционная структура по п.1, отличающаяся тем, что открытая визуальная информация представляет собой голограмму, голографическое решетчатое изображение или другую аналогичную голограмме дифракционную структуру.
13. Дифракционная структура по п.1, отличающаяся тем, что скрытая визуальная информация представляет собой контурный рисунок, пунктирный рисунок или надпись.
14. Дифракционная структура по п.1, отличающаяся тем, что скрытая информация содержит несколько частичных изображений, воспроизводимых при освещении различных соответствующих участков дифракционной структуры.
15. Дифракционная структура по п.14, отличающаяся тем, что в информации, основанной на частичных изображениях, содержится ряд таких изменений одного и того же объекта, что при последовательном освещении соответствующих участков воспроизводится движущийся объект.
16. Дифракционная структура по п.14, отличающаяся тем, что в информации, основанной на частичных изображениях, содержится увеличивающийся или уменьшающийся контур объекта, так что при последовательном освещении соответствующих участков воспроизводится пульсирующее изображение.
17. Дифракционная структура по п.14, отличающаяся тем, что в информации, основанной на частичных изображениях, содержится наложение по меньшей мере двух объектов, так что при последовательном освещении соответствующих участков воспроизводится переход от одного объекта к другому.
18. Дифракционная структура по п.14, отличающаяся тем, что в информации, основанной на частичных изображениях, содержится объект с различными градациями яркости, так что при последовательном освещении соответствующих участков происходит высвечивание, затемнение и/или мигание объекта.
19. Дифракционная структура по п.14, отличающаяся тем, что в информации, основанной на частичных изображениях, содержатся различные виды объекта, возникающие при его просмотре с разных направлений, так что при последовательном освещении соответствующих участков происходит пространственное изменение объекта.
20. Способ изготовления оптически-изменяющейся дифракционной структуры, содержащей открытую и скрытую визуальную информацию, при котором определяют элементы с решеткой, создающие скрытую визуальную информацию, отличающийся тем, что элементам с решеткой придают форму и размещают таким образом, что они создают открытую информацию.
21. Способ по п.20, отличающийся тем, что первые элементы изображения или первые элементы с решеткой и/или вторые элементы с решеткой распределяют по всей поверхности дифракционной структуры.
22. Способ по п.20 или 21, отличающийся тем, что первые и вторые элементы с решеткой изготавливают в пределах одного процесса, преимущественно способом электронно-лучевой литографии, непосредственной записи лазерным лучом, оптической литографии, способом Holomax или точечной матрицы.
23. Способ по п.20, отличающийся тем, что задают геометрию приемного экрана, на котором при направленном практически монохроматическом освещении должна появляться скрытая визуальная информация, и на основе геометрии экрана с использованием соотношения вычисляют постоянную решетки и угловую ориентацию для тех элементов с решеткой, которые создают скрытую информацию, причем , и представляют собой нормальный вектор решетки, вектор проекции и вектор освещения, m – порядок дифракции, а – вектор решетки.
24. Способ изготовления оптически изменяющейся дифракционной структуры, содержащей скрытую визуальную информацию, состоящую из множества точек, при котором: задают геометрию приемного экрана, предназначенного для отображения скрытой визуальной информации; задают тип освещения, в частности длину волны и направление освещения, формирующего на приемном экране скрытую информацию; для каждой точки изображения на основании геометрии экрана и с использованием соотношения определяют постоянную решетки и угловую ориентацию, причем , , и представляют собой нормальный вектор решетки, вектор проекции и вектор освещения, m – порядок дифракции, а – вектор решетки; на подложке создают оптически изменяющуюся дифракционную структуру с дополнительной областью, состоящей из множества подобластей, каждая из которых поставлена в соответствие одной из точек изображения и заполнена решетчатым узором, где постоянная решетки и ее угловая ориентация определяются постоянной решетки и угловой ориентацией, заданными для соответствующей точки изображения.
25. Способ по п.24, отличающийся тем, что задают основную область, которая при обычном освещении формирует открытую визуальную информацию, дополнительно на подложке создают оптически изменяющуюся дифракционную структуру с основной и дополнительной областью.
26. Способ по п.25, отличающийся тем, что основную область создают в виде голограммы, голографического решетчатого изображения или другой аналогичной голограмме дифракционной структуры, отпечатанного изображения, информационного выреза в непрозрачном или отражающем слое, или лазерной надписи.
27. Способ по п.25 или 26, отличающийся тем, что дополнительную область на подложке создают под основной областью, рядом с основной областью или на ней.
28. Элемент защиты с оптически изменяющейся дифракционной структурой, выполненной по любому из пп.1-19, или с оптически изменяющейся дифракционной структурой, изготовленной способом в соответствии с любым из пп.20-27.
29. Элемент защиты по п.28, отличающийся тем, что представляет собой защитную нить, этикетку или переводной элемент.
30. Бумага с защитой от подделок и оптически изменяющейся дифракционной структурой, выполненной в соответствии с любым из пп.1-19 или с оптически изменяющейся дифракционной структурой, выполненной способом, раскрытым в любом из пп.20-27, или с элементом защиты в соответствии с п.29 или 30.
31. Носитель данных с оптически изменяющейся дифракционной структурой, выполненной по любому из пп.1-19, или с оптически изменяющейся дифракционной структурой, изготовленной способом по любому из пп.20-27, или с элементом защиты по любому из пп.29, 30, или с бумагой с защитой от подделок по п.30.
32. Носитель данных по п.31, отличающийся тем, что он представляет собой банкноту, ценный документ, паспорт, пропуск или удостоверение.
33. Способ проверки подлинности элемента защиты, выполненного по любому из пп.28, 29, или бумаги с защитой от подделок по п.30 или носителя данных по п.31 или 32, отличающийся тем, что при заданных условиях освещения световые лучи отклоняют элементами с решеткой, являющимися частью дифракционной структуры, причем элементы с решеткой формируют на приемном экране скрытую визуальную информацию, причем геометрия экрана выполнена таким образом, что световые лучи, отклоненные элементами с решеткой, отражаются экраном в сторону наблюдателя, где подлинность испытуемого элемента защиты определяют на основании сформированной на экране скрытой информации.
34. Способ по п.33, отличающийся тем, что используют изогнутый приемный экран.
35. Способ по п.33 или 34, отличающийся тем, что геометрически поверхность приемного экрана в поперечном сечении имеет форму эллипсоида, или параболы, или круга.
36. Способ проверки подлинности элемента защиты, выполненного по любому из пп.28, 29, или бумаги с защитой от подделок по п.30 или носителя данных по п.31 или 32, отличающийся тем, что при заданном освещении световые лучи отклоняют элементами с решеткой, являющимися частью дифракционной структуры, при этом элементы с решеткой воспроизводят на приемном экране скрытую визуальную информацию, причем приемный экран представляет собой обратную сторону коллективной линзы, выполненной так, что лучи, отклоняемые элементами с решеткой, проходят через коллективную линзу, формируя на экране, образованном обратной стороной коллективной линзы, скрытую информацию, причем подлинность испытуемого элемента защиты определяют на основании сформированной на экране скрытой информации.
РИСУНКИ
|
|