|
|
(21), (22) Заявка: 2008130808/28, 25.07.2008
(24) Дата начала отсчета срока действия патента:
25.07.2008
(46) Опубликовано: 20.10.2009
(56) Список документов, цитированных в отчете о поиске:
US 2006262993 A1, 23.11.2006. JP 1029011 A, 31.01.1989. US 5986767 A, 16.11.1999. US 5541864 A, 30.07.1996. US 5729631 A, 17.03.1998. US 4980640 A, 25.12.1990.
Адрес для переписки:
392006, г.Тамбов-6, ТВВАИУРЭ(ВИ), научно-исследовательский отдел, Д.С. Юдакову
|
(72) Автор(ы):
Богословский Андрей Витальевич (RU), Богословский Евгений Андреевич (RU), Юдаков Дмитрий Сергеевич (RU)
(73) Патентообладатель(и):
Государственное образовательное учреждение высшего профессионального образования Тамбовское высшее военное авиационное инженерное училище радиоэлектроники (военный институт) (RU)
|
(54) СПОСОБ ИЗМЕРЕНИЯ ПАРАМЕТРОВ ЭНЕРГЕТИЧЕСКОГО СПЕКТРА ДВУМЕРНОГО СИГНАЛА
(57) Реферат:
Изобретение относится к области обработки многомерных сигналов и может быть использовано при анализе и синтезе фильтров для обработки изображений, а также при построении систем технического зрения. Измерение параметров энергетического спектра сигнала производят для определения значений отсчетов импульсной характеристики фильтра, позволяющего производить фильтрацию с максимальной эффективностью. Сущность изобретения заключается в том, что к принимаемому изображению применяют алгоритм быстрого преобразования Фурье. Затем вычисляют квадрат модуля, тем самым получают отсчеты энергетического спектра. Далее эти отсчеты умножают на отсчеты дискретизированной функции cos(i x+j y), причем для каждого коэффициента используются соответствующие значения индексов (i, j). Для каждого коэффициента рассчитывают энергию на выходе каждого из каналов измерения, используя значение энергии входного сигнала и энергии с выхода для каждого из каналов измерения. Рассчитывают значения нормированных к входной энергии коэффициентов разложения энергетического спектра в ряд Фурье по косинусам. Достоинствами данного способа является возможность измерения параметров энергетического спектра сигнала в режиме реального времени и простота технической реализации на современной элементной базе. 2 ил.
Изобретение относится к области обработки многомерных сигналов и может быть использовано при анализе и синтезе фильтров для обработки изображений, а также при построении систем технического зрения.
Техническим результатом изобретения является возможность получения параметров энергетического спектра входного сигнала изображения.
Сущность изобретения заключается в том, что в известном способе спектрального анализа, при котором применяют алгоритм БПФ к входному изображению, вычисляют квадрат модуля спектра, тем самым получают отсчеты энергетического спектра, дополнительно производят расчет энергии входного сигнала путем сложения всех отсчетов энергетического спектра входного сигнала, а также подают отсчеты энергетического спектра в каналы измерения, где их умножают на отсчеты дискретизированной функции cos(i x+j y), причем для каждого коэффициента используют соответствующие значения индексов (i, j), для каждого коэффициента соответственно индексам (i, j) рассчитывают сумму всех отсчетов на выходе каждого канала измерения; используя значение энергии входного сигнала и значения сумм с выхода для каждого из (i, j) каналов измерения, рассчитывают значения коэффициентов, здесь x, у – нормированные пространственные частоты.
Сущность изобретения подтверждается следующими рассуждениями.
Измерение параметров энергетического спектра сигнала (коэффициентов разложения энергетического спектра входного сигнала в двумерный ряд Фурье (КРЭСВИ)) производится для определения значений отсчетов импульсной характеристики фильтра, позволяющего производить фильтрацию с максимальной эффективностью.
Выражение для эффективности фильтрации имеет вид

где Евых и Евх – энергия сигнала изображения на выходе и входе фильтра соответственно; и – энергетические спектры выходного и входного изображения.
Известно выражение для эффективности двумерной дискретной фильтрации (Богословский А.В. Жигулина И.В. Эффективность многомерной дискретной фильтрации. Радиотехника, 2008, 4, с.11-16), которое связывает отсчеты импульсной характеристики фильтра аi,j с параметрами энергетического спектра входного сигнала

где a, b – целые положительные числа (b может быть равно нулю);
l,m – веса, с которыми выборки входного сигнала формируют отсчеты выходного сигнала; – нормированные к входной энергии коэффициенты преобразования Фурье по косинусам энергетического спектра входного сигнала.
В общем случае энергетический спектр обладает центральной симметрией, т.е. не меняется при одновременном изменении знака x и y. Тогда из (2) следует система для нахождения стационарных точек функции е (Богословский А.В. Жигулина И.В. Эффективность многомерной дискретной фильтрации. Радиотехника, 2008, 4, с.11-16)

где s0,0=1; е’i,j – производная функции е по переменной i,j, i, j [-a, b].
При использовании (2) необходимо учесть симметрию энергетического спектра, т.е., что

Далее используются только коэффициенты si,j, для которых i не положительно. Если i=0, то j не положительно. Всего таких коэффициентов будет [(а+b+1)2+(а+b)2].
Система (4) – линейная однородная система (а+b+1)2 уравнений. Для того чтобы она имела нетривиальное решение необходимо и достаточно, чтобы матрица системы, составленная из коэффициентов si,j
(а+b+1)2.
На фиг.1 показана матрица системы (3) для а=b=1. При этом у всех элементов si,j, расположенных ниже главной диагонали, изменены индексы в соответствии с правилом (4).
Для синтеза фильтров можно использовать следующую процедуру. Сначала определяются условия, при которых ранг матрицы входного сигнала меньше, чем (a+b+1)2, а затем из (3) находятся отсчеты импульсной характеристики фильтра.
Таким образом, задача сводится к измерению коэффициентов разложения энергетического спектра входного сигнала в ряд Фурье по косинусам. Расчет каждого коэффициента производится с учетом энергетического спектра входного сигнала и энергии сигнала на выходе соответствующего канала измерения (i,j) – коэффициента.
Энергия входного изображения определяется по формуле

где – значения отсчетов энергетического спектра входного сигнала.
Значения (i, j)-го коэффициента вычисляются по формуле

где Сp,q – значения отсчетов функции cos(i x+j y), дискретизированой в пределах x (- , ), у (- , ).
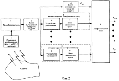
Блок-схема, поясняющая способ, представлена на фиг.2; она содержит последовательно соединенные приемник изображения 1, преобразователь 2, блок вычисления квадрата модуля 3, каналы измерения коэффициентов 5, которые содержат устройства умножения 6 и устройства накопления сумм 7, арифметический блок 8.
Способ реализуется следующей последовательностью действий.
Оптический сигнал, отраженный от сцены, поступает на приемник 1, где преобразуется в распределение яркости (амплитуды), попиксельно поступает в преобразователь 2, в котором вычисляется спектр входного сигнала изображения размером (N+1)×(М+1) пикселей с помощью алгоритма БПФ, с выхода блока 2 отсчеты спектра входного сигнала поступают в блок расчета квадрата модуля 3, где вычисляются значения отсчетов энергетического спектра входного сигнала изображения, с выхода блока 3 отсчеты энергетического спектра подают в блок измерения энергии входного сигнала 4, а также в каналы измерения коэффициентов 5, в каждом канале измерения в блоке 6 производят умножение отсчетов входного сигнала на отсчеты дискретизированой в плоскости x (- , ), y (- , ) функции
cos(i x+j y) согласно значениям индексов и накопление значений в блоке 7 путем суммирования выходных сигналов блоков 6 для каждого из каналов, значения, вычисленные в блоках 7 и блоке 4, подаются в арифметический блок 8, где производят вычисление (i,j)-коэффициента, нормированного к входной энергии.
Значения si,j описывают параметры энергетического спектра входного сигнала, что позволяет определить отсчеты импульсной характеристики фильтра, позволяющего производить фильтрацию с максимальной эффективностью для конкретного вида входного воздействия.
К достоинствам данного способа можно отнести то, что параметры энергетического спектра сигнала можно измерять в режиме реального времени, способ отличается простотой технической реализации на современной элементной базе, его можно применять при построении самообучающихся систем технического зрения.
Формула изобретения
Способ измерения параметров энергетического спектра двумерного сигнала, заключающийся в том, что изображение, поступающее на приемник, преобразуется в распределение яркости (амплитуды), попиксельно поступает в преобразователь, в котором вычисляется спектр входного сигнала изображения размером (N+1)×(M+1) пикселей с помощью алгоритма быстрого преобразования Фурье, с выхода преобразователя отсчеты спектра входного сигнала поступают в блок расчета квадрата модуля, в котором вычисляются значения отсчетов энергетического спектра входного сигнала изображения, отличающийся тем, что отсчеты энергетического спектра входного сигнала изображения подают в блок измерения энергии входного сигнала и каналы измерения коэффициентов, в каждом канале измерения производится умножение отсчетов входного сигнала на отсчеты дискретизированой в плоскости х (- ; ), у (- ; ) функции cos(i x+j y) согласно значениям индексов (i, j) для измеряемого коэффициента, вычисляют значения энергии на выходе каждого канала измерения коэффициентов, вычисленные в каждом канале значения подают в арифметический блок, в который также подают значение энергии входного сигнала, и производят вычисление параметров энергетического спектра входного сигнала (коэффициентов разложения энергетического спектра входного сигнала в двумерный ряд Фурье), нормированных к входной энергии, где х, у – нормированные пространственные частоты.
РИСУНКИ
|
|