|
|
(21), (22) Заявка: 2007127918/28, 14.12.2005
(24) Дата начала отсчета срока действия патента:
14.12.2005
(30) Конвенционный приоритет:
21.12.2004 DE 102004062680.4 03.02.2005 DE 102005005195.2
(43) Дата публикации заявки: 27.01.2009
(46) Опубликовано: 20.10.2009
(56) Список документов, цитированных в отчете о поиске:
US 5915280 A, 22.06.1999. WO 03/059977 A1, 24.07.2003. WO 02/083493 A1, 24.10.2002. RU 2072905 C1, 10.02.1997.
(85) Дата перевода заявки PCT на национальную фазу:
23.07.2007
(86) Заявка PCT:
EP 2005/056784 20051214
(87) Публикация PCT:
WO 2006/067077 20060629
Адрес для переписки:
103735, Москва, ул. Ильинка, 5/2, “Союзпатент”, А.А.Силаевой
|
(72) Автор(ы):
ЗУЛЬЦЕР Томас (DE), РУХЕЛЬ Йоханнес (CH)
(73) Патентообладатель(и):
ЭНДРЕСС+ХАУЗЕР ФЛОУТЕК АГ (CH)
|
(54) ВРЕЗНОЙ ИЗМЕРИТЕЛЬНЫЙ ПРИБОР, СПОСОБ ИЗГОТОВЛЕНИЯ ИЗМЕРИТЕЛЬНОЙ ТРУБЫ ДЛЯ НЕГО И ПРИМЕНЕНИЕ ВРЕЗНОГО ИЗМЕРИТЕЛЬНОГО ПРИБОРА
(57) Реферат:
Изобретение может быть использовано для измерения расхода среды, протекающей в трубопроводе. Расходомер содержит магнитно-индуктивный или акустический измерительный преобразователь с помещенной в трубопровод металлической измерительной трубой, облицованной внутри футеровкой из органического пластика (эластомера), включающего полиуретан, который получен на основе многокомпонентной системы, образованной преполимером, двухвалентным спиртом и катализатором, содержащим металлорганические (преимущественно оловоорганические) соединения. Футеровка из полиуретана содержит органически связанное олово. Изобретение особенно пригодно в условиях с высокими гигиеническими требованиями, в частности для измерения питьевой воды. 3 н. и 20 з.п. ф-лы, 2 ил.
Изобретение относится к врезному измерительному прибору, в частности расходомеру, для измерения протекающей в трубопроводе среды, причем врезной измерительный прибор содержит, в частности, магнитно-индуктивный измерительный преобразователь с помещенной в трубопровод, облицованной внутри футеровкой измерительной трубой для ведения измеряемой среды, причем футеровка состоит из полиуретана, полученного с использованием содержащего металлоорганические соединения катализатора. Кроме того, изобретение относится к способу изготовления названного врезного измерительного прибора.
Врезные измерительные приборы с магнитно-индуктивным измерительным преобразователем позволяют измерять скорость течения и/или объемный расход электропроводящей среды, протекающей через измерительную трубу измерительного преобразователя в направлении течения. Для этого в магнитно-индуктивном измерительном преобразователе посредством большей частью диаметрально противоположных друг другу полевых катушек магнитного контура, электрически подключенного к возбуждающей электронной схеме врезного измерительного прибора, создают магнитное поле, которое пронизывает среду внутри заданного измерительного объема, по меньшей мере, местами перпендикулярно направлению течения и которое замыкается, в основном, вне среды. Измерительная труба состоит поэтому обычно из неферромагнитного материала, чтобы на магнитное поле при измерении не оказывалось неблагоприятного влияния. Вследствие движения свободных носителей заряда среды в магнитном поле в соответствии с магнитогидродинамическим принципом в измерительном объеме создается электрическое поле, проходящее перпендикулярно магнитному полю и перпендикулярно направлению течения среды. Посредством, по меньшей мере, двух удаленных друг от друга в направлении электрического поля измерительных электродов и посредством подключенной к ним обрабатывающей электронной схемы врезного измерительного прибора может быть измерено, следовательно, индуцированное в среде электрическое напряжение, являющееся, в свою очередь, мерой объемного расхода. Для съема индуцированного напряжения могут служить, например, соприкасающиеся со средой гальванические или не соприкасающиеся со средой емкостные измерительные электроды. Для ведения и ввода магнитного поля в измерительный объем магнитный контур содержит обычно окруженные полевыми катушками сердечники, которые вдоль периферии измерительной трубы удалены друг от друга, в частности диаметрально, и соответствующей свободной концевой торцевой поверхностью расположены, в частности, зеркально-симметрично друг другу. При работе магнитное поле, созданное подключенными к возбуждающей электронной схеме полевыми катушками, вводится через сердечники в измерительную трубу так, что оно пронизывает протекающую между обеими торцевыми поверхностями среду, по меньшей мере, местами перпендикулярно направлению течения.
В качестве альтернативы врезным измерительным приборам с магнитно-индуктивными измерительными преобразователями для измерения скоростей течения и/или объемных расходов протекающих сред нередко используют врезные измерительные приборы, основанные на акустическом измерении посредством ультразвука.
Из-за требуемой высокой механической стабильности таких измерительных труб они состоят как у магнитно-индуктивных, так и у основанных на акустическом измерении измерительных преобразователей в большинстве случаев из внешней, в частности металлической, несущей трубы заданных прочности и диаметра, которая покрыта внутри электронепроводящим изолирующим материалом заданной толщины, так называемой футеровкой. Например, в US-B 6595069, US-A 5664315, US-A 5280727, US-A 4679442, US-A 4253340, US-A 3213685 или JP-Y 53-51181 описаны магнитно-индуктивные измерительные преобразователи, содержащие герметично помещаемую в трубопровод, имеющую первый конец с впускной стороны и второй конец с выпускной стороны измерительную трубу с неферромагнитной несущей трубой в качестве внешней оболочки измерительной трубы и размещенным по ширине в свете несущей трубы, состоящим из изолирующего материала трубчатой футеровкой для ведения протекающей и изолированной от несущей трубы среды.
Состоящая обычно из термопласта, реактопласта или эластомера футеровка служит для химической изоляции несущей трубы от среды. У магнитно-индуктивных измерительных преобразователей, у которых несущая труба имеет высокую электропроводность, например при использовании металлических несущих труб, футеровка служит, кроме того, в качестве электрической изоляции между несущей трубой и средой, препятствующей короткому замыканию электрического поля через несущую трубу. Посредством соответствующего расчета несущей трубы возможно, следовательно, согласование прочности измерительной трубы с возникающими в каждом случае механическими нагрузками, тогда как посредством футеровки возможно согласование измерительной трубы с действующими в каждом случае химическими и/или биологическими требованиями.
Благодаря своей хорошей перерабатываемости, с одной стороны, и своим хорошим химическим и механическим свойствам, с другой стороны, помимо эбонита или фторсодержащих пластиков, таких, например, как ПТФЭ и ПФА, в особой степени зарекомендовали себя также полиуретаны в качестве материала футеровок врезных измерительных приборов, в частности с магнитно-индуктивным измерительным преобразователем. К тому же футеровки из полиуретана обладают в большинстве случаев хорошими биологическими свойствами, в частности также в бактериологическом отношении и, следовательно, хорошо пригодны также для применения в водянистых средах.
Полиуретаны, применяемые для изготовления футеровок описанного рода, представляют собой в большинстве случаев эластомеры полученных на основе жидкой многокомпонентной системы, образованной непосредственно перед переработкой из реактивных исходных компонентов, причем систему после смешивания наносят на предварительно обработанную промотором адгезии внутреннюю стенку несущей трубы и оставляют там отверждаться в футеровку в течение заданного времени реакции. Полиуретаны получают, как известно, методом полиприсоединения из ди- и полиизоцианатов с двух- или более валентными спиртами. В качестве исходных компонентов могут служить при этом, например, преполимеры, полученные из алифатических и/или ароматических эфирных групп, а также из гликолевых и изоцианатных групп, которые могут реагировать с подаваемым двух- или более валентным спиртом.
Для изготовления состоящих из полиуретана футеровок нередко применяют так называемый способ ротационного литья, при котором предварительно полученную жидкую многокомпонентную систему посредством соответствующей литьевой или распылительной головки равномерно распределяют по перемещаемой подходящим образом внутренней стенке несущей трубы. Требуемое затем для отверждения время реакции многокомпонентной системы помимо дозирования исходных компонентов можно в значительной степени регулировать также за счет подходящего управления температурой переработки. Правда, короткое время реакции менее одной минуты, требуемое для рентабельного изготовления футеровки при температуре переработки, соответствующей приблизительно комнатной температуре, достигается обычно только за счет добавления к многокомпонентной системе подходящего, в большинстве случаев содержащего тяжелые металлы и/или амины катализатора. В качестве катализаторов при этом находят применение особенно третичные амины и/или ртуть. Ввиду того, что сам катализатор остается в готовом полиуретане, в основном, без изменений, последний неизбежно имеет также токсичные, по меньшей мере, однако физиологически не вполне безопасные соединения. Многочисленные исследования показали к тому же, что катализатор, по меньшей мере, в присутствии воды может в значительной степени отделяться от футеровок. В этом отношении применяемые в настоящее время во врезных измерительных приборах полиуретаны лишь условно пригодны для применений с высокими гигиеническими требованиями, например для измерений в области питьевой воды, поскольку предъявляемые к питьевой воде для соприкасающихся с ней деталей высокие требования в отношении химической стойкости и физиологической совместимости больше не могут быть выполнены. Особое значение в области питьевой воды придается, в том числе, соблюдению максимально допустимой скорости миграции (Mmax,ТОС) в отношении содержания общеорганического углерода (ТОС) и/или специфических предельных значений миграции (SML), характерных для токсикологически критических веществ. Такими же строгими являются требования к воздействию футеровок на внешний характер питьевой воды, в частности в отношении нейтральности футеровок в присутствии воды по вкусу, цвету, мутности и/или запаху, а также в отношении максимально допустимых скоростей хлорпоглощения (Mmax,Cl).
Задача изобретения состоит поэтому в создании врезного измерительного прибора, в частности с магнитно-индуктивным измерительным преобразователем с облицовывающим его измерительную трубу футеровкой, который обладал бы хорошими физиологическими, органолептическими и бактериологическими свойствами. Кроме того, врезной измерительный прибор при применении полиуретана в качестве материала футеровки должен максимально отвечать также предъявляемым к применениям в области питьевой воды высоким химико-биологическим и гигиеническим требованиям.
Для решения этой задачи изобретение состоит во врезном измерительном приборе, в частности расходомере для измерения протекающей в трубопроводе среды, содержащем, в частности, магнитно-индуктивный измерительный преобразователь с помещенной в трубопровод, облицованной внутри футеровкой измерительной трубой для ведения измеряемой среды. Футеровка врезного измерительного прибора состоит из полиуретана, полученного с использованием содержащего металлоорганические соединения катализатора, причем компоненты полиуретана выбраны так, что введенные с катализатором в футеровку и оставшиеся там металлы имеют физическую и/или химическую, в частности атомную, связь с образованными в футеровке углеродными цепочками. Далее изобретение состоит в применении такого врезного измерительного прибора для измерения расхода и/или скорости течения протекающей в трубопроводе воды, в частности питьевой воды.
Кроме того, изобретение состоит в способе изготовления измерительной трубы для врезного измерительного прибора. Способ включает в себя этап образования жидкой многокомпонентной системы, содержащей преполимер, в частности двухвалентный, спирт и катализатор, причем катализатор содержит образованные, в частности физиологически безопасным металлом, металлоорганические соединения, такие, например, как оловоорганические соединения. Кроме того, способ включает в себя этапы нанесения жидкой многокомпонентной системы на внутреннюю стенку, в частности металлической, служащей в качестве составной части измерительной трубы несущей трубы, а также отверждения многокомпонентной системы на внутренней стенке несущей трубы для образования футеровки, облицовывающей внутри готовую измерительную трубу.
Согласно первому варианту врезного измерительного прибора, полиуретан получен на основе многокомпонентной системы, образованной преполимером, в частности двухвалентным, спиртом и катализатором.
Согласно второму варианту врезного измерительного прибора преполимер содержит, в частности алифатические, эфирные группы.
Согласно третьему варианту врезного измерительного прибора преполимер содержит ароматические соединения.
Согласно четвертому варианту врезного измерительного прибора катализатор, применяемый для получения полиуретана, не содержит аминов, так что и сама футеровка свободна от аминов.
Согласно пятому варианту врезного измерительного прибора катализатор, применяемый для получения полиуретана, не содержит тяжелых металлов, так что и сама футеровка свободна от тяжелых металлов.
Согласно шестому варианту врезного измерительного прибора катализатор, применяемый для получения полиуретана, содержит олово, а футеровка содержит олово с атомной связью.
Согласно седьмому варианту врезного измерительного прибора футеровка имеет толщину менее 5 мм, в частности менее 3 мм.
Согласно восьмому варианту врезного измерительного прибора измерительная труба имеет условный проход, меньший или равный 2000 мм.
Согласно девятому варианту врезного измерительного прибора измерительная труба имеет условный проход, больший или равный 100 мм.
Согласно одной модификации врезного измерительного прибора измерительный преобразователь содержит расположенный на измерительной трубе магнитный контур для создания и ведения магнитного поля, который индуцирует в протекающей среде электрическое поле, и измерительные электроды для съема индуцированного в протекающей среде электрического напряжения.
Согласно первому варианту способа применяемый катализатор содержит оловоорганические соединения, например ди-n-октилоловосоединения.
Согласно второму варианту способа катализатор представляет собой ди-n-октилоловодилаурат и/или ди-n-октилоловодиламинат.
Согласно третьему варианту способа преполимер содержит, в частности, алифатические и/или ароматические, эфирные группы.
Согласно четвертому варианту способа преполимер содержит ароматические или алифатические изоцианатные группы.
Согласно пятому варианту способа преполимер содержит, по меньшей мере, две реактивные NCO-группы.
Согласно шестому варианту способа спирт содержит, по меньшей мере, две функциональные ОН-группы.
Согласно седьмому варианту способа спирт представляет собой диол, в частности бутандиол.
Согласно восьмому варианту способа его осуществляют при температуре переработки менее 100°С, в частности примерно 25°С.
Основная идея изобретения состоит в применении для изготовления футеровки полиуретана, полученного с помощью металлоорганического, в частности свободного от аминов и/или тяжелых металлов, катализатора. Кроме того, в изобретении речь идет о применении такого полиуретана для футеровки, чтобы со стороны применяемого при изготовлении катализатора введенные в футеровку металлы, например за счет перекрестных связей, имели физическую и/или химическую, в частности атомную, связь с углеродными цепочками и в этом отношении были стойко и прочно заделаны в футеровку. Таким образом, можно гарантировать, что при работе врезного измерительного прибора футеровка, если это вообще возможно, будет отдавать измеряемой среде лишь очень малые количества металлов или металлических соединений в физиологически безопасной степени. Далее при применении для катализатора физиологически безопасных нетяжелых металлов, например олова, может быть образован практически «собственно безопасный» полиуретан, так что даже при возможном отделении измеряемой средой введенных с катализатором металлов или металлических соединений можно гарантировать, что это не вызовет, по меньшей мере, гигиенически неприемлемого загрязнения среды.
Изобретение и предпочтительные варианты его осуществления более подробно поясняются ниже с помощью чертежа. Одинаковые детали обозначены одинаковыми ссылочными позициями. Если это не требуется для наглядности, ссылочные позиции на последующих фигурах отсутствуют.
На чертеже изображают:
фиг.1 в перспективе при виде сбоку измерительную трубу, в частности для магнитно-индуктивного, врезного измерительного прибора;
фиг 2 продольный разрез измерительной трубы из фиг.1.
На фиг.1 и 2 в разных видах изображена измерительная труба для измерительного преобразователя врезного измерительного прибора, который служит для измерения протекающей в трубопроводе (не показан) среды, например скорости ее течения и/или объемного расхода. Врезной измерительный прибор может представлять собой, например, измеряющий магнитно-индуктивно или измеряющий акустически на основе ультразвука расходомер. В частности, врезной измерительный прибор предназначен для использования в сетях питьевой воды.
Измерительная труба содержит, в частности, металлическую несущую трубу 2 заданной ширины в свету и трубчатая, состоящая из изолирующего материала футеровка 3 заданного диаметра. Несущая труба 2 состоит из неферромагнитного материала, например высококачественной стали или другого нержавеющего металла, и охватывает футеровка 3 коаксиально, так что он полностью облицовывает внутри несущую трубу 2 и в этом отношении практически полностью изолирован от протекающей при работе среды.
Футеровка 3 состоит из полиуретана, который, например, центробежным способом или так называемым способом ротационного литья нанесен на внутреннюю стенку несущей трубы и распределен там максимально равномерно, закрывая ее поверхность. В качестве материала футеровки 3 может применяться, например, такой полиуретан, который содержит алифатические и/или ароматические эфирные группы.
Согласно одному варианту осуществления изобретения измерительная труба предназначена для применения во врезном измерительном приборе с магнитно-индуктивным измерительным преобразователем. В соответствии с этим измерительный преобразователь содержит далее расположенный на измерительной трубе магнитный контур для вырабатывания и ведения магнитного поля, который индуцирует в протекающей – здесь электропроводящей среде – электрическое напряжение, и измерительные электроды для съема индуцированных в протекающей среде напряжений. Магнитный контур содержит обычно две полевые катушки, которые в измерительном режиме соединены с возбуждающей электронной схемой (не показана) врезного измерительного прибора, служащей для вырабатывания переменных электрических токов заданной силы и через которые, по меньшей мере, временно протекает ток возбуждения. Созданное за счет этого магнитное поле пронизывает протекающую внутри измерительной трубы 1 среду, по меньшей мере, местами перпендикулярно направлению ее течения. Для съема соответственно индуцированного в протекающей среде электрического напряжения измерительный преобразователь содержит размещенное на измерительной трубе 1 сенсорное устройство, включающее в себя первый 31 и второй 32 измерительные электроды. Они диаметрально противоположны друг другу, причем виртуально соединяющий измерительные электроды диаметр измерительной трубы 1 проходит перпендикулярно ее виртуально соединяющему полевые катушки диаметру. Само собой, измерительные электроды 31, 32, в случае необходимости, в частности в количестве более двух, могут быть расположены на измерительной трубе 1 на таком расстоянии друг от друга, чтобы они не были диаметрально противоположны. Это может быть, например, в том случае, если предусмотрены дополнительные измерительные электроды для опорных потенциалов или в горизонтальном встроенном положении измерительной трубы 1 измерительные электроды для контроля минимального уровня среды в ней. Для герметичного помещения в трубопровод измерительная труба 1 содержит далее на первом конце первый фланец 4, а на втором конце – второй фланец 5. Несущая труба 2 и фланцы 4, 5 имеют кругообразное сечение.
При изготовлении самой измерительной трубы 1 сначала подготавливают несущую трубу 2 нужной длины и металлические фланцы 4, 5. Затем на концах несущей трубы 2 на ее наружную сторону надевают фланцы 4, 5. После этого обратную сторону каждого фланца 4, 5 механически прочно и герметично соединяют с наружной стороной несущей трубы 2. При использовании металлической несущей трубы и металлических фланцев это может происходить, например, посредством пайки, высокотемпературной пайки или сварки, дающей соответствующий паяный или сварной шов 6. Образованный фланцами 4, 5 и несущей трубой 2 промежуток может быть закрыт огибающим листом, как это принято особенно в магнитно-индуктивных измерительных преобразователях. В случае если измерительная труба должна использоваться для магнитно-индуктивного измерительного преобразователя, промежуток может служить, например, для размещения вырабатывающих упомянутое магнитное поле полевых катушек. Если лист должен служить при этом в качестве составной части магнитного контура, то его следует выполнить преимущественно ферромагнитным.
Как уже сказано, врезной измерительный прибор служит, в частности, также для измерения сред, к которым предъявляются повышенные требования в отношении химико-биологической и бактериологической чистоты, например питьевой воды. Поэтому для получения применяемого для футеровки полиуретана следует отказаться от содержащего тяжелые металлы и/или амины катализатора, хотя эти типы катализаторов из-за своей хорошей реактивности были бы, собственно, весьма предпочтительны для получения полиуретана. Напротив, у врезного измерительного прибора, согласно изобретению, для изготовления его футеровки применяют полиуретан, образованный с помощью содержащего металлоорганические соединения катализатора (С). Кроме того, полиуретан выбран так, что введенные с катализатором (С) в футеровку и оставшиеся там металлы (Me) имеют химическую, в частности атомную, и/или физическую, в частности за счет перекрестных связей, связь с образованными в футеровке углеродными цепочками. Преимущество этого катализатора состоит в том, что его органо-металлические соединения введены в материал футеровки таким образом, что даже под действием воды при работе врезного измерительного прибора они высвобождаются из футеровки, если вообще высвобождаются, в физиологически безопасных количествах.
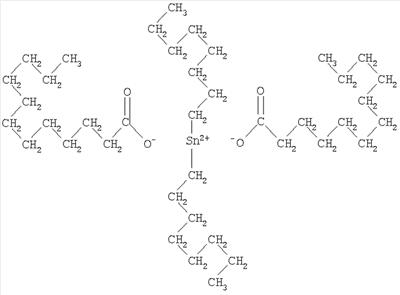
Согласно одному варианту осуществления изобретения применяемый для получения полиуретана катализатор содержит оловоорганические соединения, в частности ди-n-октилоловосоединения, благодаря чему можно гарантировать, что введенное через катализатор в готовую футеровку и оставшееся там олово (Sn) химически и/или физически будет связано в самой футеровке и, тем самым, прочно заделано. Согласно одному варианту осуществления изобретения для получения полиуретана для футеровки 3 применяют следующее оловоорганическое соединение в качестве катализатора (С):

Особенно предпочтительным катализатором для изготовления футеровки оказался, например, ди-n-октилоловодилаурат (DOTL), структура которого схематично может быть представлена следующим образом:

Кроме того, в качестве катализаторов для изготовления футеровки могут применяться, например, также диоктилоловодиламинаты или аналогичные металлоорганические соединения.
Согласно одному варианту осуществления изобретения полиуретан представляет собой эластомер, полученный на основе многокомпонентной системы (А+В+С), образованной преполимером (А), в частности двух- или более валентным, спиртом (В), а также с применением катализатора (С). Например, полиуретан может представлять собой эластомер, который, по меньшей мере, по долям имеет, в основном, следующую структуру:

Согласно другому варианту осуществления изобретения используемый для изготовления футеровки 3 спирт (В) представляет собой спирт, по меньшей мере, с двумя функциональными ОН-группами, например диол. Особенно хорошие результаты достигаются при этом за счет использования бутандиола.
Кроме того, особенно предпочтительными для изготовления футеровки 3 оказались преполимеры (А) с ароматическими или алифатическими изоцианатными группами, в частности с двумя или более реактивными NCO-группами. Согласно другому предпочтительному варианту осуществления изобретения преполимер, по меньшей мере, по долям имеет следующую структурную формулу:

Для получения такого преполимера, согласно одной модификации изобретения, применяют полипропиленоксид, который заставляют вступать в реакцию, в частности с избыточно добавленным, ароматическим диизоцианатом.
Согласно другому варианту осуществления изобретения в качестве полипропиленоксида применяют полипропиленгликоль (ППГ), структура которого в упрощенном виде может быть представлена приблизительно такой:

В качестве альтернативы или в дополнение к полипропиленоксиду для получения преполимера может служить, например, также политетраметиленэфиргликоль (ПТМЭГ) следующей структурной формулы:

Кроме того, в качестве альтернативы или в дополнение к этому для получения преполимера могут применяться и другие алифатические гликолевые соединения с полимерными эфирными группами и концевыми ОН-группами.
Согласно другому варианту осуществления изобретения применяемый для получения преполимера ароматический диизоцианат представляет собой дифенилметандиизоцианат (МДИ), в частности, по меньшей мере, одной из следующих структур:
  
Для изготовления футеровки, согласно одной модификации изобретения, сначала посредством жидкого преполимера (А), спирта (В) и с добавлением катализатора (С) образуют многокомпонентную систему (А+В+С). В основном, еще жидкую многокомпонентную систему (А+В+С), например, так называемым способом ротационного литья, с использованием перемещаемой внутри ширины в свету несущей трубы 2 литьевой или распыливающей головки наносят затем на внутреннюю стенку несущей трубы 2. За счет одновременного вращения несущей трубы 2 вокруг ее продольной оси и перемещения литьевой или распыливающей головки, в основном, параллельно продольной оси жидкая многокомпонентная система (А+В+С) очень простым и хорошо воспроизводимым образом может быть равномерно распределена по всей внутренней стенке. Под действием катализатора нанесенная на несущую трубу 2 – здесь способом ротационного литья – все еще жидкая многокомпонентная система (А+В+С) отверждается, в результате чего непосредственно на внутренней стенке несущей трубы 2 образуется футеровка 3. Преимущественно концентрация и количество добавленного катализатора (С) рассчитаны при этом так, что нанесенная на несущую трубу 2 многокомпонентная система (А+В+С) может отверждаться в течение сравнительно короткого времени реакции менее одной минуты, в частности менее 30 секунд, и при температуре переработки менее 100°С, например, примерно при 25°С.
Экспериментальные исследования показали при этом, что, в частности, при применении описанных выше преполимерных систем (ППГ+МДИ и/или ПТМЕГ+МДИ), такое короткое время реакции может быть достигнуто уже за счет добавления катализатора (С) с массовой долей менее 2% от общей массы многокомпонентной системы (А+В+С). Дальнейшие исследования показали также, что особенно хорошие результаты при изготовлении футеровки 2 достигаются тогда, когда спирт (В) добавляют к преполимеру (А) в соотношении смешивания В:А около 15:100 или менее, в частности менее 10:100.
Благодаря применению полиуретана в качестве материала футеровки 3 измерительная труба 1 вполне может изготавливаться с условными проходами в диапазоне 100-2000 мм. Точно так же, в частности с применением описанного выше способа ротационного литья для изготовления футеровки 3, можно гарантировать, что футеровка 3 будет иметь максимально равномерную толщину менее 5 мм, в частности менее 3 мм.
Другое преимущество врезного измерительного прибора, согласно изобретению, состоит в том, что за счет применения описанного выше полиуретана для футеровки 3 он может отвечать даже очень высоким гигиеническим требованиям, предъявляемым к применениям в области питьевой воды, очень высоким, в частности, также по сравнению с другими применениями в области продуктов питания. Исследования показали, например, что скорость миграции (Mmax, ТОС) в отношении содержания общеорганического углерода (ТОС) может составлять менее 0,25 миллиграмма на литр в сутки, тогда как в отношении скорости хлорпоглощения (Mmax, Cl) вполне могут быть достигнуты значения менее 0,2 миллиграмма на литр в сутки. В этом отношении врезной измерительный прибор может отвечать, например, также требованиям, предъявляемым в соответствии с «Директивой по гигиенической оценке покрытий из эпоксидной смолы в контакте с питьевой водой» к оборудованию в распределительной сети, в частности также в главных сетях и/или в соответствии со стандартом NSF/ANSI Standard 61 к компонентам системы питьевой воды.
Формула изобретения
1. Врезной измерительный прибор, в частности расходомер, для измерения протекающей в трубопроводе среды, содержащий, в частности магнитно-индуктивный или акустический, измерительный преобразователь с помещенной в трубопровод, облицованной внутри футеровкой измерительной трубой для ведения измеряемой среды, у которого футеровка состоит из полиуретана, который получен на основе многокомпонентной системы, образованной преполимером, и, в частности, двухвалентным спиртом и катализатором, причем полиуретан, в основном, свободен от тяжелых металлов, при этом введенные с катализатором в футеровку и оставшиеся там металлы имеют химическую, в частности атомную, и/или физическую связь с образованными в футеровке углеродными цепочками, причем полиуретан получен с применением содержащего металлоорганические соединения катализатора, который содержит олово, при этом футеровка содержит органически связанное олово.
2. Прибор по п.1, характеризующийся тем, что полиуретан содержит, в частности, алифатические, эфирные группы.
3. Прибор по п.1, характеризующийся тем, что полиуретан содержит ароматические соединения.
4. Прибор по п.1, характеризующийся тем, что катализатор, применяемый для получения полиуретана, содержит олово, причем футеровка содержит связанное олово.
5. Прибор по п.1, характеризующийся тем, что применяемый для футеровки полиуретан, в основном, свободен от аминов.
6. Прибор по одному из пп.1-5, характеризующийся тем, что футеровка имеет толщину менее 5 мм, в частности менее 3 мм.
7. Прибор по п.1, характеризующийся тем, что измерительная труба имеет условный проход, меньший или равный 2000 мм.
8. Прибор по п.1, характеризующийся тем, что измерительная труба имеет условный проход, больший или равный 100 мм.
9. Прибор по п.1, характеризующийся тем, что измерительный преобразователь содержит расположенный на измерительной трубе (1) магнитный контур для вырабатывания и ведения магнитного поля, индуцирующего в протекающей среде электрическое поле, и измерительные электроды (31, 32) для съема индуцированных в протекающей среде электрических напряжений.
10. Прибор по п.4, характеризующийся тем, что полиуретан содержит, в частности, алифатические, эфирные группы, и/или полиуретан содержит ароматические соединения.
11. Прибор по п.4, характеризующийся тем, что применяемый для футеровки полиуретан, в основном, свободен от тяжелых металлов и/или применяемый для футеровки полиуретан, в основном, свободен от аминов.
12. Прибор по п.1, характеризующийся тем, что футеровка имеет толщину менее 5 мм, в частности менее 3 мм, и/или измерительная труба имеет условный проход, больший или равный 100 мм.
13. Прибор по п.1, характеризующийся тем, что измерительный преобразователь содержит расположенный на измерительной трубе (1) магнитный контур для вырабатывания и ведения магнитного поля, индуцирующего в протекающей среде электрическое поле, и измерительные электроды (31, 32) для съема индуцированных в протекающей среде электрических напряжений.
14. Способ изготовления измерительной трубы для врезного измерительного прибора, в частности врезного измерительного прибора по одному из пп.1-13, включающий в себя следующие этапы: образование жидкой многокомпонентной системы, содержащей преполимер, и, в частности, двухвалентный спирт и катализатор, причем катализатор содержит оловоорганические соединения, нанесение жидкой многокомпонентной системы на внутреннюю стенку служащей в качестве составной части измерительной трубы, в частности металлической несущей трубы, и отверждение многокомпонентной системы на внутренней стенке несущей трубы для образования облицовывающей внутри готовую измерительную трубу футеровки.
15. Способ по п.14, характеризующийся тем, что катализатор содержит ди-n-октилоловосоединения.
16. Способ по п.15, характеризующийся тем, что катализатор представляет собой ди-n-октилоловодилаурат и/или ди-n-октилоловодиламинат.
17. Способ по п.14, характеризующийся тем, что преполимер содержит, в частности, алифатические и/или ароматические, эфирные группы.
18. Способ по одному из пп.14-17, характеризующийся тем, что преполимер содержит ароматические или алифатические изоцианатные группы.
19. Способ по одному из пп.14-17, характеризующийся тем, что преполимер содержит, по меньшей мере, две реактивные NCO-группы.
20. Способ по одному из пп.14-17, характеризующийся тем, что спирт содержит, по меньшей мере, две функциональные ОН-группы.
21. Способ по п.20, характеризующийся тем, что спирт представляет собой диол, в частности бутандиол.
22. Способ по одному из пп.14-17, характеризующийся тем, что его осуществляют при температуре переработки менее 100°С, в частности около 25°С.
23. Применение изготовленного, в частности, способом по одному из пп.14-22 врезного измерительного прибора по одному из пп.1-13 для измерения расхода и/или скорости течения протекающей в трубопроводе воды, в частности питьевой воды.
РИСУНКИ
|
|