|
|
(21), (22) Заявка: 2008108275/28, 05.03.2008
(24) Дата начала отсчета срока действия патента:
05.03.2008
(46) Опубликовано: 10.10.2009
(56) Список документов, цитированных в отчете о поиске:
RU 2237984 C1, 10.10.2004. RU 2293453 C1, 10.02.2007. RU 2289223 C1, 10.12.2006. RU 2307484 C2, 27.09.2007. US 4521905 A, 04.06.1985. GB 2175778 A, 03.12.1986.
Адрес для переписки:
109431, Москва, Жулебино, ул. Авиаконструктора Миля, 15, корп.1, кв.124, В.Я.Маклашевскому
|
(72) Автор(ы):
Маклашевский Виктор Яковлевич (RU), Кеткович Андрей Анатольевич (RU), Маклашевская Наталья Викторовна (RU)
(73) Патентообладатель(и):
Маклашевский Виктор Яковлевич (RU)
|
(54) ЛАЗЕРНЫЙ ЦЕНТРАТОР ДЛЯ РЕНТГЕНОВСКОГО ИЗЛУЧАТЕЛЯ
(57) Реферат:
Использование: для ориентации рентгеновского излучателя по отношению к объекту. Сущность: заключается в том, что лазерный центратор для рентгеновского излучателя содержит корпус в котором расположены лазер, первое зеркало из оргстекла, установленное на пересечении оптических осей лазера и рентгеновского пучков, направляющее на объект лазерный пучок, концентричный рентгеновскому пучку, телевизионная система, состоящая из ПЗС-матрицы, объектива и монитора, линейная шкала, оцифрованная в расстояниях от объекта до рентгеновского излучателя, которая проецируется на ПЗС-матрицу с помощью первого полупрозрачного зеркала и объектива и которая наблюдается на экране монитора одновременно с изображением контролируемой зоны объекта и кольцевыми структурами, формируемыми лазерным пучком, при этом в центратор дополнительно введен ротор с центральными осевым отверстием, размещаемый на оси лазера между ним и первым зеркалом с возможностью вращения, на поверхности ротора, обращенной к перпендикулярной оси лазера и к первому зеркалу, вдоль одного из его радиусов последовательно размещены второе зеркало, установленное под углом 45° к оси лазера на расстоянии R от нее, второе полупрозрачное зеркало, установленное под углом к оси лазера на расстоянии Н от нее, где – угол расходимости рентгеновского пучка и третье полупрозрачное зеркало, установленное перед центральным отверстием ротора непосредственно на оси лазера под углом 45° к ней, плоскости второго зеркала и третьего полупрозрачного зеркала параллельны друг другу. Технический результат: повышение яркости лазерного излучения, обеспечение подсветки центра, освещаемой лазером зоны, упрощение конструкции. 2 ил.
Изобретение относится к области неразрушающего контроля объектов с использованием рентгеновского излучения.
Известно устройство, которое включает в себя лазер, два зеркала, первое зеркало установлено на пересечении оптических осей лазерного и рентгеновских пучков и направляет на объект лазерные пучки, концентричные рентгеновским пучкам, линейную шкалу, телескоп для расширения и коллимации лазерного излучения, позволяющий сформировать посредством зеркал и объектива действительное изображение светящегося диска, телевизионную систему. Особенностью устройства является кольцевая матрица лазеров, расположенная в задней фокальной плоскости объектива, причем диаметр окружности расположения лазеров матрицы задан определенным соотношением. Техническим результатом изобретения является возможность оценивать размеры исследуемой зоны объекта [1].
Недостаток данного изобретения – низкая эффективность использования лазерного излучения за счет расширения пучка лазера, что приводит к резкому снижению его яркости; матрица лазеров сложна для юстировки при перестройке углов излучения лазеров по отношению к оси рентгеновского пучка при изменении угла его расхождения; объектив телескопа при реальных размерах лазерного пятна на объекте имеет большой диаметр (100 мм и более), что резко увеличивает его стоимость и сложность изготовления. Кроме того, отсутствует подсветка центра освещаемой лазером зоны, что затрудняет ориентацию центратора относительно объекта.
Цель изобретения – устранение этих недостатков.
Для этого в центратор для рентгеновского излучателя, содержащий корпус, в котором расположены лазер, оптическая ось которого параллельна продольной оси рентгеновского излучателя, первое зеркало из оргстекла, установленное на пересечении оптических осей лазерного и рентгеновских пучков перпендикулярно образуемой ими плоскости и направляющее на объект лазерный пучок, концентричный рентгеновскому пучку, телевизионная система, состоящая из ПЗС-матрицы, объектива и монитора, линейная шкала, оцифрованная в расстояниях от объекта до рентгеновского излучателя, которая проецируется на ПЗС-матрицу с помощью первого полупрозрачного зеркала и объектива и которое наблюдается на экране монитора одновременно с изображением контролируемой зоны объекта и кольцевыми структурами, формируемыми лазерным пучком, дополнительно введен ротор с центральными осевым отверстием, размещаемый на оси лазера между ним и первым зеркалом с возможностью вращения с помощью электрического или иного привода относительно оси лазера с частотой f 10 Гц, на поверхности ротора, обращенной к перпендикулярной оси лазера и к первому зеркалу, вдоль одного из его радиусов последовательно размещены второе зеркало, установленное под углом 45° к оси лазера на расстоянии R от нее, второе полупрозрачное зеркало, установленное под углом к оси лазера на расстоянии Н от нее, и третье полупрозрачное зеркало, установленное перед центральным отверстием ротора непосредственно на оси лазера под углом 45° к ней, плоскости второго зеркала и третьего полупрозрачного зеркала параллельны друг другу, а расстояние от поверхности ротора до первого зеркала по оси лазера выбирается из соотношения , где А – расстояние от анода рентгеновской трубки до центра первого зеркала, где – угол расходимости рентгеновского пучка.
Схема устройства приведена на фиг.1.
Лазерный центратор содержит корпус 2, который крепится на рентгеновском излучателе 1. В корпусе 2 расположены лазер 8, ось которого параллельна продольной оси излучателя расположено первое зеркало 3 из оргстекла, установленное на пересечении осей лазера и рентгеновского пучка.
На оси лазера 8 на расстоянии t=A+B от центра первого зеркала расположен ротор 4 с центральным отверстием диаметром d dл, вращаемый относительно оси лазера, где dл – диаметр лазерного пучка, с помощью электрического двигателя 10 и фрикциона или шестерни 9.
На поверхности ротора 4, перпендикулярной оси лазера, вдоль одного из его радиусов расположены последовательно второе зеркало 5, установленное под углом 45° к оси лазера на расстоянии R от нее, второе полупрозрачное зеркало 6, установленное под углом к оси лазера на расстоянии Н от нее, и третье полупрозрачное зеркало 7, установленное перед центральным отверстием ротора 4 непосредственно на оси лазера под углом 45° к ней. Плоскости второго зеркала, а также второго и третьего полупрозрачных зеркал перпендикулярны плоскости, образуемой радиусом ротора, вдоль которого установлены эти оптические элементы.
На корпусе 2 установлена также телевизионная система 11, состоящая из объектива 13 и ПЗС-матрицы 12. Видеоизображения наблюдаются на экране монитора 14. Линейная шкала 16, оцифрованная в единицах расстояния от объекта до рентгеновского излучателя, установлена в фокальной плоскости коллиматора 15, освещается источником света 17 и проецируется объективом 13 с фокусным расстоянием f0 с помощью первого полупрозрачного зеркала 14′. Угол поля зрения телевизионной системы выбирается с учетом w .
Перед объективом 13 может устанавливаться узкоплоскостной фильтр 18 для повышения контраста изображения в условиях солнечных засветок, полоса пропускания которого соответствует длине волны лазера 8.
На фиг.1,б показан вид экрана монитора.
Устройство работает следующим образом. Лучи лазера 8 частично проходят отверстие ротора 4, полупрозрачное зеркало 7, после отражения от первого зеркала 3 распространяется на оси рентгеновского пучка, формируя на объекте яркую точку в центре зоны его просвечивания.
Лучи, отраженные от полупрозрачного зеркала 7, направляются вдоль радиуса ротора 4 и, после отражения вторым полупрозрачным зеркалом 6 направляются под углом /2 к оси лазера на первое зеркало 3 и после отражения от него направляются на объект под углом /2.
Излучения лазера 8, прошедшие второе полупрозрачное зеркало 6, направляются на второе зеркало 5, отражаются от него и первого зеркала 3 и направляются на объект 18 параллельно оси рентгеновского пучка на расстоянии R от нее. Существенно, что центральный луч лазера и лучи, отраженные от второго полупрозрачного зеркала 6 и второго зеркала 5, лежат в одной плоскости. Поэтому при вращении ротора 4 они создают в пространстве поверхности конуса и цилиндра, расположенных на одной оси, совпадающей с осью рентгеновского пучка.
При этом на объекте возникают изображения двух колец и центральной яркой точки, соответствующей пересечению оси рентгеновского пучка с объектом.
Диаметр кольца, формируемого цилиндрическим пучком лучей, очевидно, равен D’=2R и остается постоянным при изменении расстояния от объекта до рентгеновского излучателя, это позволяет использовать его в качестве базового элемента при определении расстояния от объекта до рентгеновского излучателя c использованием известных соотношений геометрической оптики, связывающих размер изображения этого кольца с увеличением оптической системы, зависящего от расстояния до объекта L [2].
Диаметр на объекте кольца, формируемого коническим пучком, образующимся при вращении второго полупрозрачного зеркала 5 на роторе 4, связан с расстоянием до объекта очевидным соотношением , что позволяет использовать его для оценки зоны объекта, просвечиваемой рентгеновским излучением.
Это обеспечивается совпадением вершины конического пучка лучей, сформированного вращением второго полупрозрачного зеркала 6 на роторе 4, с точкой на оси лазера, находящейся на расстоянии А, равном расстоянию от анода до рентгеновской трубки до центра а первого зеркала 3.
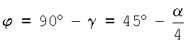
Угол наклона второго полупрозрачного зеркала 6 к оси лазерного пучка выбран с учетом геометрических соотношений, показанных на фиг.2.
Из прямоугольного треугольника ОМК имеем . Таким образом, расстояние от второго полупрозрачного зеркала до лазера определяется углом расхождения рентгеновского пучка и конструктивным параметром В, что позволяет легко перестраивать геометрию пучка конических лучей при вращении ротора 4.
Понятно, что при этом угол наклона второго полупрозрачного зеркала имеет единственное значение, равное .
Действительно, из прямоугольного треугольника ОМК имеем откуда .
Рассматривая углы, прилегающие к оси OD, получим 2 =180°- , откуда .
С учетом (2) получаем .
Из прямоугольника OCD имеем окончательно .
Отметим, что гипотенуза треугольника OCD, совпадающая с поверхностью полупрозрачного зеркала 6, проведена через точку О пересечения прямой РО (сторона угла ОРС, равного по определению) и перпендикулярна СО, направление которого совпадает с радиусом ротора 4. По известному закону отражения геометрической оптики нормаль MN к поверхности второго полупрозрачного зеркала 6, угла КМО (угол падения равен углу отражения).
В процессе центровки и ориентации рентгеновского излучателя оператор включает привод ротора 4 и наблюдает на экране монитора картину, показанную фиг.1,б. Совмещают центр кольцевых зон с нужным участком объекта и определяют расстояние от объекта до рентгеновского излучателя, оценивая его по числу делений шкалы, приходящихся на изображение базового (внутреннего) кольца, действуя аналогично процедуре, описанной в патенте-аналоге [1].
Одновременно оценивают размер зоны просвечивания объекта по диаметру внешнего кольца и, в случае необходимости, изменяют расстояние от объекта до излучателя, добиваясь нужной величины просвечиваемой зоны.
Применение сканирующей лазерной системы вместо телескопического расширителя лазерного пучка позволило резко (до 100 раз) повысить яркость лазерных структур на объекте, а также существенно упростить процесс перестройки угла расходимости лазерных лучей при изменении угла расхождения рентгеновского пучка при замене рентгеновской трубки и т.п.
Также упростился процесс изменения диаметра базового полого цилиндрического пучка лучей, что может быть использовано при корректировке диапазона расстояний объекта излучения и/или погрешности измерения этих величин.
Существенно, что в предлагаемом устройстве один лазер, выполняющий три функции – подсветку центра контролируемой зоны объекта, формирование на его поверхности светящегося кольца, перемещенный диаметр которого совпадает с границами зоны объекта, просвечиваемой рентгеновским пучком конкретного излучателя, и, наконец, формирование на поверхности объекта изображения светящегося кольца постоянного диаметра, не зависящего от расстояния между объектом и рентгеновским излучателем, которое используется для реализации дальнометрической функции центратора.
В то же время в аналоге использованы девять лазеров!!! Этот резко увеличивает стоимость и сложность юстировки оптической системы центратора.
Частота вращения ротора выбирается в диапазоне частот f 10 Гц для обеспечения слитного восприятия динамических лазерных структур (колец), формируемых подвижными лазерными лучами.
В качестве телевизионной системы в центраторе использована стандартная видеокамера, при этом отпадает необходимость применения объективов большого диаметра (как в патенте-аналоге). Оптические элементы телевизионной системы теперь не связаны с телескопом, что обеспечило свободную конструктивную компоновку при размещении видеокамеры в корпусе центратора.
Для проектирования измерительной шкалы на ПЗС-матрицу телевизионной системы использована распространенная схема на основе коллиматора с полупрозрачным зеркалом, устанавливаемым на входе объектива видеокамеры.
Это также существенно укрепило конструкцию и сделало ее более гибкой, с возможностью быстрой замены (в случае необходимости, например, изменения диапазона измерений, масштаба изображения и т.п.) как шкалы, так и коллиматора в целом. Важно, что освещение шкалы производится от стабильного внешнего источника света (например, светодиода) в коллиматоре, а не рассеянным лазерным светом, как в аналоге, что приводило к зависимости яркости шкалы от интенсивности отраженного от объекта света.
Литература
1. Патент РФ N2237984.
2. Турыгин И.А. Прикладная оптика, т.1 и 2. М.: Машиностроение, 1986, 350 с.
Формула изобретения
Лазерный центратор для рентгеновского излучателя, содержащий корпус, в котором расположены лазер, оптическая ось которого параллельна продольной оси рентгеновского излучателя, первое зеркало из оргстекла, установленное на пересечении оптических осей лазера и рентгеновского пучков перпендикулярно образуемой ими плоскости и направляющее на объект лазерный пучок, концентричный рентгеновскому пучку, телевизионная система, состоящая из ПЗС-матрицы, объектива и монитора, линейная шкала, оцифрованная в расстояниях от объекта до рентгеновского излучателя, которая проецируется на ПЗС-матрицу с помощью первого полупрозрачного зеркала и объектива и которая наблюдается на экране монитора одновременно с изображением контролируемой зоны объекта и кольцевыми структурами, формируемыми лазерным пучком, отличающийся тем, что в центратор дополнительно введен ротор с центральными осевым отверстием, размещаемый на оси лазера между ним и первым зеркалом с возможностью вращения с помощью электрического или иного привода относительно оси лазера с частотой f 10 Гц, на поверхности ротора, обращенной к перпендикулярной оси лазера и к первому зеркалу, вдоль одного из его радиусов последовательно размещены второе зеркало, установленное под углом 45° к оси лазера на расстоянии R от нее, второе полупрозрачное зеркало, установленное под углом к оси лазера на расстоянии Н от нее, и третье полупрозрачное зеркало, установленное перед центральным отверстием ротора непосредственно на оси лазера под углом 45° к ней, плоскости второго зеркала и третьего полупрозрачного зеркала параллельны друг другу, а расстояние от поверхности ротора до первого зеркала по оси лазера выбирается из соотношения , где A – расстояние от анода рентгеновской трубки до центра первого зеркала;
– угол расходимости рентгеновского пучка.
РИСУНКИ
|
|