|
(21), (22) Заявка: 2008123160/09, 10.06.2008
(24) Дата начала отсчета срока действия патента:
10.06.2008
(46) Опубликовано: 10.10.2009
(56) Список документов, цитированных в отчете о поиске:
RU 2004105819 A, 10.08.2005. RU 2101819 C1, 10.01.1998. GB 209712 A, 02.10.1924.
Адрес для переписки:
115612, Москва, ул. Борисовские пруды, 22, корп.1, кв.120, Б.И. Блескину
|
(72) Автор(ы):
Трушкин Николай Сергеевич (RU), Журомский Всеволод Михайлович (RU), Маторин Александр Геннадиевич (RU), Блескин Борис Иванович (RU)
(73) Патентообладатель(и):
Трушкин Николай Сергеевич (RU), Журомский Всеволод Михайлович (RU), Маторин Александр Геннадиевич RU (RU), Блескин Борис Иванович (RU)
|
(54) СПОСОБ УТИЛИЗАЦИИ ЭНЕРГИИ МОЛНИИ
(57) Реферат:
Изобретение относится к области экологически чистой возобновляемой электроэнергетики. Вокруг соединенного с землей металлического молниеотвода располагают стартовый тороид-приемник ударного возбуждения, являющийся частью высокодобротного контура, состоящего из последовательно соединенных стартового тороида-приемника, рабочей индуктивности и конденсатора, настроенного на частоту, в частности, промышленной сети, а энергию от указанного контура для питания стандартного электродвигателя переменного тока отбирают трансформатором тока, протекающего в резонансной цепи ударного возбуждения, причем электродвигатель подключен к вторичной обмотке трансформатора тока по схеме последовательного резонанса, в которой стандартное напряжение питания промышленного электродвигателя при изменении напряжения в основном контуре поддерживается автоматическим регулятором путем изменения электрической емкости конденсатора, а промышленный электродвигатель соединен с устройствами выполнения непосредственной механической работы или накопления энергии. Контур, получивший ударное возбуждение, переводят в нерабочее состояние для исключения негативных последствий повторного удара молнии, одновременно аналогичный другой контур переводят из нерабочего в рабочее состояние. Резонансную частоту выбирают в 50 Гц или 400 Гц или в соответствии с конкретной необходимостью. По высоте снижения молниеотвода устанавливают несколько одинаковых устройств утилизации энергии молнии. 6 з.п. ф-лы, 4 ил.
Изобретение относится к области экологически чистой возобновляемой электроэнергетики.
Известна экологически чистая система утилизации электроэнергии атмосферной молнии, в которой импульсный ток молнии воспринимается тороидом, расположенным вокруг снижения заземленного молниеотвода, в котором возникает импульсная ЭДС, соединенным с выпрямителем и накопительным конденсатором.
Недостатком такой системы утилизации энергии молнии является то, что при напряжениях до 106 В и токах в до 106 А, действующих в пределах до 10-3 с, имеют место существенные, хотя принципиально преодолимые, сложности реализации высоковольтных выпрямителей и конденсаторов большой емкости (многие единицы фарад) и технические проблемы превращения заряда конденсатора в доступную для утилизации на современном уровне развития техники энергию в электрическом или механическом виде.
Задачей изобретения является обеспечение утилизации энергии молнии в удобно используемой стандартной электрической или механической форме с помощью простых реализуемых и/или серийно выпускаемых промышленностью технических средств.
Техническим результатом изобретения является превращение энергии удара молнии в стандартную форму электрической энергии промышленной частоты, в том числе в виде длительно работающих одно или 3-фазных электродвигателей либо непосредственно производящих работу (например, как электроприводы насосов, закачивающих воду (газ) в напорную емкость (накопитель потенциальной энергии) для последующей утилизации, например, в водяной (газовой) турбине, для полива сельскохозяйственных угодий), или, например, раскручивающих до максимальных оборотов маховик, который используется для сохранения механической энергии.
Указанная цель достигается тем, что вокруг соединенного с землей металлического снижения молнии располагают тороид-приемник (с намоткой электрическим проводом) ударного возбуждения высокодобротного контура, состоящего из последовательно соединенных указанного тороида-приемника, рабочей индуктивности и емкости, настроенного на частоту резонанса промышленной сети, а так же тем, что энергия от указанного высокодобротного контура для питания стандартного электродвигателя переменного тока отбирается от трансформатора тока, протекающего в упомянутом высокодобротном контуре, причем электродвигатель подключен к вторичной обмотке трансформатора тока по схеме последовательного резонанса, в которой стандартное напряжение питания промышленного электродвигателя при изменении напряжения в основном контуре вследствие затухания колебательного процесса поддерживается автоматическим регулятором за счет изменения емкости в цепи двигателя.
Принцип работы системы представлен на фиг.1, где L1 – стартовый тороид, L – рабочая индуктивность, Lтр – трансформатор тока, С, Ср – конденсаторы электрические, М – маховик или иная механическая нагрузка.
При ударе молнии через снижение при напряжении 106 В протекает импульсный ток величиной порядка (0.5-1) 106 A за время t 10-3 с.
Этот ток создает импульсное магнитное поле, силовые линии которого есть окружности, плоскости которых ортогональны снижению, а центры совпадают со снижением. По силовым линиям располагается стартовый тороид L1 радиуса r, в котором возникает импульсная ЭДС Е0, производя ударное возбуждение контура (L1+L, C, R).
Возникающий в контуре ток i создает свое магнитное поле и в трансформаторе тока Lтр энергия поля трансформируется в ЭДС Е, которая питает асинхронный двигатель переменного тока, включенный по схеме последовательного резонанса через конденсатор Ср. Двигатель либо совершает механическую работу по повышению потенциальной энергии жидкости или газа посредством насоса, или раскручивает маховик М, в котором происходит утилизация энергии в механической форме.
Двигатель должен работать длительное время, что предполагает высокую добротность контура и в свою очередь требует величины индуктивности порядка сотен Гн, а электрического сопротивления – доли или единицы Ом. Так как при импульсном воздействии при столь больших индуктивностях величина импульсной ЭДС может оказаться чрезвычайно большой и вызвать пробой обмоток и конденсатора, а также создать вторичные молнии, общая индуктивность разбивается на две части.
Стартовая индуктивность L1 выбирается значительно меньшей величины, чем рабочая L, величина которой составляет несколько сотен Гн, но располагается так, что магнитосцепление ее с основным магнитным полем снижения отсутствует.
Таким образом, ударная ЭДС Е0 оказывается в приемлемых пределах, а декремент затухания контура будет определяться рабочей индуктивностью L и величиной отбора мощности, выраженной, например, в обобщенном сопротивлении контура R.
Частота колебаний контура соответствует промышленной, т.е. 314 рад/с (50 Гц) или 2512 рад/с (400 Гц) или иной при необходимости.
Амплитуда тока i значительно меньше, чем амплитуда напряжения на емкости С или индуктивности L, так как ток контура пропорционален второй производной импульса и величине емкости, которая на много порядков меньше величины индуктивности.
Снятие энергии с контура (L1+L, С, R) осуществляется с помощью трансформатора тока.
По мере затухания амплитуды колебаний контура автоматическая система управления, состоящая из датчика напряжения U на двигателе, элемента сравнения, исполнительного двигателя и автоматического регулятора, который, работая по принципу отрицательной обратной связи дискретно (или непрерывно, дискретно-непрерывно), изменяет емкость Ср с целью поддержания неизменным напряжение U (например, 220 В) на клеммах двигателя, что обеспечивает его штатную работу в диапазоне относительно медленного изменения амплитуды колебаний в контуре (L1+L, С, R). Такая ситуация может иметь место при высокой добротности контура последовательного резонанса в цепи двигателя, вследствие чего, по крайне мере, индуктивность трансформатора Lтр должна значительно превосходить индуктивность L статора двигателя.
Исходная энергия импульса тока снижения является случайной величиной. Следовательно, ток i и ЭДС Е – тоже случайные величины в пределах, определяемых диапазоном тока в проводе снижения – молниеотводе – при ударе молнии.
Стабильная работа двигателя в этом случае также обеспечивается соответствующим автоматическим изменением емкости Ср.
Для повышения энергетической эффективности установки конструкцию устройства утилизации энергии молнии выполняют многоярусной по высоте снижения молниеотвода, т.е. при одном ударе молнии энергия закачивается через отдельные стартовые тороиды в несколько резонансных контуров (L1+L, С, R), следовательно, в несколько двигателей одновременно.
В случае утилизации энергии молнии в виде механической энергии раскрученного маховика, как, в частности, показано на фиг.1, при полной раскрутке конкретного маховика, подсоединенного к одному трансформатору тока и соответствующему двигателю, через, например, фрикционные муфты, двигатель переключают на раскрутку следующего маховика и так далее.
При повторном ударе молнии в период утилизации энергии, закачанной в контур (L1+L, С, R) предыдущим ударом молнии, возможен пробой конденсатора С или повреждение обмоток контура L.
Для исключения последствий этой ситуации в конструкции многоярусного устройства утилизации энергии молнии стартовые тороиды L1 изготавливают в виде частичных, незамкнутых дуг. Тогда после удара молнии часть тороидов поворачивают на 90°, вследствие чего прерывается их сцепление с электромагнитным полем провода-молниеотвода и далее контура (L1+L, С, R) и они не реагируют на последующие удары молнии.
Другая часть стартовых тороидов находится в рабочем состоянии, но после удара молнии их поворачивают на 90° (нерабочее положение). Поскольку ударное возбуждение контуров тороидов уже произошло, энергия поступает на соответствующие двигатели.
Первую же часть стартовых тороидов резонансных контуров (L1+L, С, R), в которых энергия уже успела утилизироваться, поворачивают на 90° в рабочее положение и при ударе молнии получившие ударное возбуждение стартовые тороиды вновь выводят из рабочего положения и т.д.
Описанную последовательность работы стартовых тороидов электростанции обеспечивают специальной системой релейной автоматики.
Предлагаемая электростанция может обеспечить потребителя электроэнергией достаточно длительное время, особенно в районах, где происходят частые грозы в течение года при абсолютной экологической чистоте.
Оценка реализуемости способа утилизации энергии молнии
Импульс тока снижения вследствие индуктивности самого снижения, его сопротивления, имеет неопределенную форму. Максимум функции Im имеет порядок величины и длительность импульса t, указанные выше.
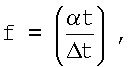
Пусть

Тогда f нормирована и предполагается, что дифференцируема, и, кроме того, удовлетворяет требованиям f(0)=0,f( )=0,fmax=1.
По закону Био-Савара-Лапласа при этом в тороиде L1 возникает магнитное поле H= I/2 r и поток магнитной индукции Ф=µ1µ0 ISn1/2 r, где µ1 – магнитная проницаемость сердечника тороида, S – поперечное сечение сердечника тороида, n1 – число витков тороида, µ0=4 10-7[Гн/м] – магнитная проницаемость пустоты.
Таким образом, ЭДС с учетом (1) окажется равной

Где h(x) – единичная функция.
Обозначим Ф0m=µ1µ0Im·S·n1/2 r примем 0.1 м2 [(30×30)см], тогда


Окончательная оценка L1 будет дана ниже после выбора параметра 
Для расчета L и R контура необходимо учесть потребляемую энергию от контура и связь тока контура с суммарной индуктивностью.
При снятии мощности двигателями Р в. от контура отбирается мощность, равная , где i – действующее значение тока контура, Rэкв – эквивалентное сопротивление, вносимое в контур нагрузкой.
Тогда , откуда и определяется Rэкв, которое влияет на декремент затухания.
С учетом Rэкв эквивалентная схема контура представляется в виде, показанном на фиг.2, где L =L1+L; Rэкв – суммарное сопротивление контура, включающее сопротивление обмоток стартовой и рабочей индуктивностей Rобм и Rэкв, т.е. R =Rобм+Rэкв.
Оценку Rобм можно произвести следующим образом.
Полагаем, что обмотки стартовой и рабочей индуктивности выполнены из одинакового медного провода сечением 50 мм2. Тогда R= l/Sпр, где l – суммарная длина провода, которая при одинаковом сечении магнитопроводов L1 и L, S=0.1 м2 (30×30)см2, одинаковом количестве витков n=103 равна 2.5-103 м; при Sпр – сечении провода, равного 50·10-6 м2 и  1,7·10-8[ ·м].
При этих параметрах Rобм составляет величину порядка Rобм 1[ ].
Эквивалентная схема контура показана на фиг.2.
Операторное выражение для напряжения на емкости Uc(p) в схеме фиг.2 представляется в виде

где p – оператор Лапласа, F(p) – операторное выражение функции 
c=R C
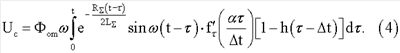
Оригинал (3), с учетом (2), удобнее представить в виде свертки (интеграла Дюамеля):

При выводе (4) учитывалось, что добротность контура и .
Выражение (4) разделяется на 2 части: при t t и t> t.
Интерес представляет исследование при t> t, тем более, что при t= t обе части «сшиваются» и максимальное напряжение на электрической емкости возможно оценить, не рассматривая диапазон t t.
При t> t выражение (4) перепишется следующим образом:

или окончательно

Равенство (5) можно упростить, если учесть, что величина R /2L должна быть мала (условие малого декремента затухания), тогда экспоненту под интегралом можно с достаточной точностью принять равной 1 и выражение (5) перепишется в следующем виде:

Последний множитель в (6) есть средний интеграл. В силу свойств функции f величина этого интеграла 1
Учитывая, что  t<<1, можно приближенно (6) представить в виде

где  1
Проведем оценку амплитуды Uc

Величину можно включить в диапазон неопределенности (1÷2), тогда окончательно оценка Ucm определяется параметром, введенным выше, . Для выбора этого параметра необходимо еще провести оценку величины тока контура i.
Из соотношения получаем

где 
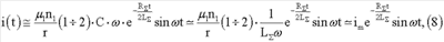
Из (8) следует

или

С другой стороны, если потребовать , что обеспечит работу двигателей в течение не менее te=5 мин (амплитуда тока за это время уменьшится в е раз), то

Энергию контура можно оценить двояко:

Где im и Um выбираются минимальными.
Если рассчитывать на 5 двигателей, то Р в =5[кВт] и Wk 5·P в·te=1,5·106[Дж],
откуда 
Подставив в (10) вместо , получаем еще одно соотношение

или

Полагая, что потери мощности на сопротивлении обмоток не должны превышать потерь на Rэкв, т.е. im 100 A, и сопоставляя (12) и (13), получаем одно соотношение

Далее, исходя из равенства (11), получаем

или

В равенстве (15) можно считать Um=Um.доп. – допустимое напряжение.
С другой стороны , а С 10-5/L и, учитывая, что L =k·102 [Гн], где k<10, получаем оценку или Um 107 [В].
Таким образом, можно положить Um.доп. 2·107 [В], что при современных высоковольтных конденсаторах вполне допустимо. Тогда из (15) получаем
L ·im 7·104,
а из (14)
im 0.4·102 [A].
Можно положить im 50 [A], тогда L 1400 [Гн].
Из равенства (9) находим 
Возвращаясь к оценке L1, получаем
L1 2·10-8·2·107·n1=4·10-1·n1.
Если, как ранее было указано, положить n1=103, то
L1 400 [Гн],
откуда
L 1000 [Гн].
Для окончательного определения параметров тороида и дросселя L полагаем
n=n1=103, µ1=105, r=5 м, S1=S=0.1 м2, µ=105.
Тогда из равенства , где l – длина дросселя (соленоида), получаем
l=4 12.5 м.
Сопротивление, вносимое нагрузкой в контур, теперь можно оценить, т.к. и, следовательно,

Таким образом R =5[ ] и постоянная затухания контура .
Т.е. за время te 9 мин ток в контуре уменьшится в е раз. Двигатели в резонансном включении смогут за это время надежно работать, так как номинальное для их работы напряжение питания поддерживается автоматическим регулятором.
Проблема высокого напряжения на емкости решается с помощью современных высоковольтных конденсаторов на напряжения до сотни киловольт.
Рассмотрим контур двигателя, представленный на фиг.3.
На фиг.3 влияние ротора учтено в L и R . Для двигателя мощностью 1 кВт ориентировочно L 0.5 Гн, a R можно оценить также, как и Rэкв в силовом контуре, т.е. 
Ток i в номинальном режиме составляет 5А, поэтому R .экв 40 [ ]. Точная формула для оценки R .экв сложна и включает множество параметров, в том числе характеризующие скольжение. Примем R 40 [ ].
ЭДС контура Е определяется током i основного контура

где 
µT – магнитная проницаемость сердечника трансформатора тока,
ST – сечение сердечника,
nT – число витков трансформатора тока,
rT – средний радиус тороида трансформатора тока.
Исследование процессов в контуре фиг.3, в общем виде сложно, однако, учитывая весьма малый декремент затухания, можно упростить анализ, проведя его на частотном языке и предполагая, что амплитуда генератора Е медленно изменяется во времени, т.е.
Em=Em0·e-R из (16) следует Em0=k· ·im.
Тогда модуль напряжения на двигателе /U / можно записать в виде

Поскольку L зависит от режима работы двигателя, то, как было сказано выше, Lmp>>L и поэтому диапазон перекрытия определяется только индуктивностью Lmp. С учетом этого (17) можно переписать в более удобной форме:

где m2=( · mp-1/ p)2;  =L /R ; mp=Lmp/R ; p=Cp·R .
Коэффициент m в (18) определяет диапазон перекрытия. Формально m2 [0, ). При m=0 имеет место резонанс и /U /max Em·  (учитывая, что при реальных параметрах двигателя   >>1). При m очевидно /U / 0.
Рассмотрим пределы изменения Em за время уменьшения i в е раз:

Иными словами, за время, отсчитываемое от момента удара молнии в течение 9 мин, двигатель должен стабильно работать, т.е. m2 должен изменяться таким образом,
что (амплитудное напряжение на двигателе),
откуда .
При t=0 имеем 
при t=t1 имеем 
Между этими двумя границами /m/ изменяется по закону

Проведем оценку границ при ST 10-2 м2, 
Тогда 
Из равенства (8) получается оценка диапазона неопределенности тока, т.е.

Следовательно 
Из (19) следует, что , где v<10
Тогда 

При этом
/m1/ (4÷8), /m0/ (10÷20).
Таким образом, диапазон перекрытия оказывается равным /m/ (4÷20).
Заметим, что диапазон регулировки не должен содержать m=0 (условие резонанса), так как границы диапазона неопределенности случайные величины.
Тогда

Из этого равенства следуют два решения

Для выбора решения необходимо провести оценку Lmp. Для тороида трансформатора тока

Так как Lmp должна быть много больше L , а с другой стороны, при слишком большой Lmp, помимо конструктивных усложнений, как видно из формулы (20), резко сужается диапазон регулировки Cp, исходя из этих соображений, примем nT=102. Тогда Lmp=6 [Гн].
Не сложно заметить, что больший диапазон регулировки дает верхнее решение(20), т.е.
Ср (2÷3)·106 [Ф]=(2-3) [мкФ]
Максимально возможное напряжение на конденсаторе С возникает при резонансе и равно

Относительно выбора типа конденсатора Cp соображения те же, что и приведенные выше, а схема регулировки представлена на фиг.4. На фиг.4 показана схема дискретной регулировки, но возможна и плавная, а также комбинированная.
Реализация устройства утилизации энергии молнии не требует разработки специальных технологий и материалов для изготовления электромагнитных устройств, стартового тороида L1, рабочей индуктивности L и трансформатора Lmp.
Электродвигатели – асинхронные переменного тока мощностью ориентировочно 1 кВт.
При необходимости применения 3-фазного двигателя используют общепромышленные преобразователи частоты /ПЧ/, имеющие штатную функцию формирования стандартного 3-фазного напряжения силовой сети при однофазном питании собственно ПЧ и выходную мощность, достаточную для питания применяемого 3-фазного электродвигателя, например ПЧ серии VFD фирмы «DELTA ELECTRONICS, INC» корпорации DELTA (DELTA GROUP COMPANIES) Тайвань.
Регулятор автоматический общепромышленный, стандартный, например, типа «МИНИТЕРМ-400» производства Московского Завода Тепловой Автоматики или серии UDC фирмы «HONEYWELL»
Переключатель конденсаторов (фиг.4) изготавливается по стандартным технологиям высоковольтных цепей.
В качестве привода переключателя может быть применен общепромышленный исполнительный механизм, например, серии МЭО производства МЗТА (Москва) или ООО «МЕТРАН» (РФ) или ему аналогичный.
Датчик напряжения переменного промышленной частоты – общепромышленный, информационно сопрягающийся (по крайне мере, по категории унифицированного сигнала токового (4 20) мА) с общепромышленными средствами КИП и А, например типа У855.3ЭС (Республика Беларусь, г.Витебск).
Конденсаторы – высоковольтные типа К75-90 на 40 кВ производства фирмы «Элкод» или производства фирмы «AVX High Voltage Capacitors HP/HW/HK Type – Strontium-based Dielectric» типа НР60Е90751М (на 100 кВ).
Формула изобретения
1. Способ экологически чистой утилизации энергии молнии, отличающийся тем, что вокруг соединенного с землей металлического снижения молнии располагают тороид-приемник с намоткой электрическим проводом ударного возбуждения высокодобротного контура, состоящего из последовательно соединенных стартового тороида-приемника, рабочей индуктивности и конденсатора, настроенного на частоту промышленной сети, а энергию от указанного контура для питания стандартного электродвигателя переменного тока отбирают трансформатором тока, протекающего в резонансной цепи ударного возбуждения, причем электродвигатель подключен ко вторичной обмотке трансформатора тока по схеме последовательного резонанса, в которой стандартное напряжение питания промышленного электродвигателя при изменении напряжения в основном контуре вследствие затухания колебательного процесса поддерживается автоматическим регулятором путем изменения электрической емкости конденсатора, а промышленный электродвигатель соединен с устройствами накопления энергии, устройствами выполнения непосредственной работы, при этом контур, получив ударное возбуждение переводят в нерабочее состояние для исключения негативных последствий от близкого по времени повторного удара молнии.
2. Способ по п.1, отличающийся тем, что рабочая индуктивность много больше индуктивности тороида-приемника.
3. Способ по п.1, отличающийся тем, что индуктивность трансформатора тока много больше индуктивности статора электродвигателя.
4. Способ по п.1, отличающийся тем, что на заземленном снижении молнии по высоте снижения молниеотвода устанавливают несколько одинаковых устройств утилизации энергии молнии.
5. Способ по п.1, отличающийся тем, что в многоярусной конструкции стартовый тороид изготавливают не замкнутыми, а частичными дугами.
6. Способ по п.1, отличающийся тем, что частоту настройки контуров выбирают с конкретной необходимостью, в частности 50 Гц или 400 Гц.
7. Способ по п.1, отличающийся тем, что 3-хфазный двигатель подсоединяется к трансформатору тока и настраиваемой емкости через тиристорный преобразователь частоты, который при однофазном напряжении питания (например, 220 В) формирует трехфазное напряжение питания (380 В, 3 фазы).
РИСУНКИ
|