Патент на изобретение №2164795
|
||||||||||||||||||||||||||
(54) ПРИМЕНЕНИЕ N-(ПИРИДИНИЛ)-1H-ИНДОЛ-1-АМИНОВ ДЛЯ ПОЛУЧЕНИЯ МЕДИКАМЕНТА ДЛЯ ЛЕЧЕНИЯ ОБСЕССИВНО-КОМПУЛЬСИВНЫХ РАССТРОЙСТВ
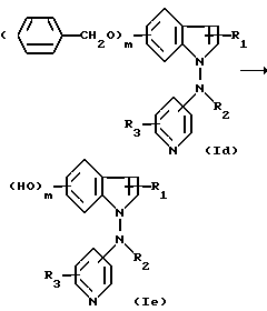
(57) Реферат: Изобретение относится к новым средствам для лечения обсессивно-компульсивных расстройств. В качестве активного вещества лекарственного средства предложено соединение формулы I ![]() где m = 1 или 2; R обозначает галоген, низший алкил, низший алкокси, арил (низший алкокси), гидроксил, нитро-, амино-(низший алкил)-амино или ди-(низший алкил)-аминогруппу; R1 обозначает водород или низший алкил; R2 обозначает водород или низший алкил и R3 обозначает водород, галоген или низший алкил; или его фармацевтически приемлемой соли присоединения кислоты. Новое средство оказывает действие за счет ингибирования повторного поглощения серотонина. 10 з.п. ф-лы, 1 табл. Изобретение относится к новому применению соединения формулы I ![]() где m обозначает 0, 1 или 2; R обозначает галоген, низший алкил, низший алкокси, арилнизший алкокси, гидрокси, нитро, амино, низший алкиламино или ди(низший алкил) амино; R1 обозначает водород или низший алкил; R2 обозначает водород или низший алкил; R3 обозначает водород, галоген или низший алкил, или его фармацевтически приемлемой соли присоединения кислот для получения лекарственного средства для лечения обсессивно-компульсивных расстройств. Во всем описании и прилагаемой формуле изобретения указанная химическая формула или название соединения охватывают все пространственные, оптические и геометрические изомеры этого соединения, где такие изомеры существуют, а также его фармацевтически приемлемые соли присоединения кислот и его сольваты, как например гидраты. Во всем описании и прилагаемой формуле изобретения употребляются следующие общие принципы терминологии: Если не указано иного, термин низший алкил обозначает линейную или разветвленную алкильную группу с 1-6 атомами углерода. Примеры вышеуказанного низшего алкила включают метил, этил, н-пропил, изопропил, н-бутил, изобутил, втор-бутил, трет-бутил и линейный или разветвленный пентил или гексил. Если не указано иного, термин низший алкокси обозначает линейную или разветвленную алкоксигруппу с 1-6 атомами углерода. Примеры вышеуказанного низшего алкокси включают метокси, этокси, н-пропокси, изопропокси, н-бутокси, изобутокси, втор-бутокси, трет-бутокси и линейный или разветвленный пентокси и гексокси. Если не указано иного, термин галоген обозначает фтор, хлор, бром или йод. Соединения формулы I, применяемые по способу настоящего изобретения, могут быть получены путем нижеописанной схемы синтеза, где параметры R, R1, R2, R3 и m имеют значения, как указано выше, если не указано иного. СТАДИЯ A N-Аминоиндол формулы II, где R4 обозначает водород, низший алкил, низший алкокси, арилнизший алкокси или бензилокси, подвергают взаимодействию с хлор- или фторпиридином формулы III (где X обозначает хлор или фтор) с получением соединения формулы Ia ![]() Вышеуказанную реакцию обычно осуществляют в простом эфире в качестве растворителя, таком как простой бис-(2-метоксиэтиловый) эфир, диэтиловый эфир, диметоксиэфир, диоксан или тетрагидрофуран, или в полярном апротонном растворителе, такой как диметилформамид, диметилацетамид, N-метил-2-пирролидон, гексаметилфосфорамид или диметилсульфоксид, или в протонном растворителе, таком как этанол или изопропанол, при температуре около 20-150oC. СТАДИЯ B В качестве альтернативы стадии A соединение формулы (Ib), полученное выше, подвергают взаимодействию с сильным основанием, таким как гидрид натрия, в подходящем растворителе, таком как полярный апротонный растворитель, включая дидметилформамид, диметилсульфоксид и простые эфиры, или ароматический углеводород, при температуре около -10…50oC, предпочтительно при 0-25oC, с образованием соответствующего аниона, и последний подвергают взаимодействию с низшим хлор или бромалкилом формулы R2-Hal (где Hal обозначает хлор или бром и R2 обозначает низший алкил) или с ди(низший алкил) сульфатом формулы (R2O)2SO2 при температуре около -10…80oC, предпочтительно при 0-25oC, с получением соединения формулы Ia (где R2 обозначает низший алкил) ![]() СТАДИЯ C Когда желательны соединения формулы I, в которых группа R обозначает амино, низший алкиламино или ди(низший алкил)амино, исходным соединением является соединение формулы Ic, полученное на стадии A или стадии B, и нитрогруппу, находящуюся в бензольном кольце, преобразуют в аминогруппу, низший алкиламиногруппу или ди(низший алкил) аминогруппу путем использования способов синтеза, известных в данной области ![]() СТАДИЯ D Когда желательны соединения формулы I, в которой R обозначает гидрокси, исходным соединением является соединение формулы Id, полученное на стадии A или стадии B, и бензилоксигруппу преобразуют в гидроксигруппу обычным методом, известным в данной области, с получением соединения формулы Ie ![]() Соединения формулы I могут использоваться для облегчения обсессивно-компульсивных расстройств. Эта полезность может быть установлена на основании подробно описанного ниже протокола, который относится к планово-индуцированной полидипсии крыс (SIP). ПЛАНОВО-ИНДУЦИРОВАННАЯ ПОЛИДИПСИЯ У КРЫС ЦЕЛЬ Это испытание проводят для оценки активности ингибиторов повторного поглощения серотонина, которые могут обладать эффективностью при обсессивно-компульсивном расстройстве (OCD). У лишенных пищи крыс, которых установленное время кормят по графику и предоставляют свободный доступ к воде, развивается поведение избыточного потребления жидкости, известное как полидипсия. Эта планово-индуцированная полидипсия (SIP) не может быть объяснена с точки зрения физиологического дефицита, обусловленного лишением воды. Кроме того, данное чрезмерное потребление жидкости является неадекватной активностью, поскольку не приносит крысе какой-либо пользы или выгоды (Falk, 1971; Robbins and Koob, 1980). В настоящее время известно, что ингибиторы повторного поглощения серотонина, которые уменьшают компульсивное поведение при OCD, также уменьшает планово-индуцированное полидипсическое поведение (Goodman, 1990; Insel et al., 1990; Rapoport, 1991; Woods et al., 1993). МЕТОДЫ Самцов крыс Вистар (Charles River) массой 180-220 г объединяли в группу и содержали в соответствии с “NIH Guide to Care and Use of Laboratory Animals” (National Institute of Health Care Publications, N 85-23, исправлено в 1985) при цикле 12 часов освещения / 12 часов темноты и при предоставлении свободного доступа к пище и воде. После нескольких дней акклиматизации крыс пересаживают в индивидуальные клетки и сажают на ограничивающую диету, которая поддерживает 80% их массы тела при свободном кормлении, по крайней мере в течение трех дней до начала исследования. Это осуществляют путем кормления крыс четырьмя пилюлями для питания в день, причем каждая пилюля весит 4 г. При этом крысам ставят стойкие метки с помощью опознавательного номера, либо путем клейма, либо в виде бирки на ухе, поскольку их постоянно объединяют в большие группы. Для того чтобы вызвать полидипсию, крыс помещают в рабочие камеры, расположенные в заглушающих шум боксах, где раздаточное для пилюль устройство автоматически выдает две по 45 мг (Noyes) пилюли в установленное по графику время, раз каждые 60 секунд (ниже сокращенно обозначается как “FT – 60 с по графику”) в течение периода исследования 150 минут. Вода в рабочих камерах доступна все время. В дни, когда крысы получают пищу в камерах, им не дают четырех пилюль по 4 г каждая. Спустя четыре недели (с понедельника по пятницу) FT – 60 с кормления по графику, приблизительно 80% крыс удовлетворяют заданному критерию потребления воды (более, чем 60 мл воды в период испытания) и рассматриваются как полидипсические. Крыс произвольно собирают в группу так, чтобы каждая принимающая лекарство дозами группа имела его в сопоставимом среднем количестве и S.E.M. Каждая группа также выбирается произвольно, насколько это возможно, в отношении времени дня осуществления тестов и камер, в которых производят испытания. Крысам (N=8) внутрибрюшинно (вб) вводят наполнитель или соответствующее соединение ежедневно. Начав дозирование, крыс исследуют в рабочих камерах раз в неделю для оценки SIP. В день испытания осуществляют 60-минутную предварительную обработку. Исследования проводят постоянно в течение 29 дней. Уменьшение полидипсии рассматривают как показатель возможности ослабления симптомов обсессивного компульсивного расстройства. Эти эксперименты анализируют по Mann Whitney U-тесту. ЛЕКАРСТВЕННЫЕ СРЕДСТВА Соединения либо растворяют, либо суспендируют в дистиллированной воде плюс капля Твин 80 и инъецируют внутрибрюшинно в дозировочном объеме 1 мл/кг. Конечный объем получают в расчете на содержание соли и дозу выражают в виде 100% основания. Ссылки: 1. Falk, J., (1971): The Nature and Determinants of Adjunctive Behavior, Physiology and Behavior, 6, 577-588. 2. Goodman W.K., Price, L.H., Delgado D.L., Palumbo, J., Krystal, J.H., Nagy, L.M., Rassmussen, S.A., Heninger, G.R., Charney, D.S., (1990): Specificity of Serotonin Re-Uptake Inhibitors in the Treatment of OCD, Arch. Gen. Psych. 47:577-585. 3. Insel, T.R., Zohar, J., Benkelfat, C., Murphy, C., (1990): Serotonin in Obsessions, Compulsions, and the control of Aggressive Impulses, Annals NY Acad., Sci. 600:574-586. 4. Piman, K. K. (1989): Animal Models of Compulsive Behavior, Biol. Psych. 26:189-198. 5. Rapoport, J.L., (1991): Recent Advances in Obsessive-Compulsive Disorder, Neuropsychopharmacology. 5, 1-10. 6. Woods, A. , Smith, C. , Szewczak, M., Dunn, R.W., Cornfeldt, M., (1993): Selective Serotonin Re-Uptake Inhibitors Decrease Schedule-Induced Polydipsia in Rats: A Potential Model for Obsessive Compulsive Disorder, Psychopharmacology, в печати. Результаты вышеприведенного протокола представлены в таблице для характерного соединения по данному изобретению и для двух ссылочных соединений. Эффективные количества соединений по изобретению можно вводить пациенту любым из различных способов, например перорально в виде капсулы или таблеток, парентерально в виде стерильных растворов или суспензий и в некоторых случаях внутривенно в виде стерильных растворов. Целевые продукты в виде свободного основания, если они эффективны сами по себе, могут быть введены в препарат и введены в виде их фармацевтически приемлемых солей присоединения кислот в целях стабильности, удобства кристаллизации, увеличения растворимости и тому подобное. Кислоты, которые одни могут использоваться для получения фармацевтически приемлемых солей присоединения кислот по изобретению, включают неорганические кислоты, такие как хлористо-водородная, бромисто-водородная, серная, азотная, фосфорная и перхлорная кислота, а также органические кислоты, такие как винная, лимонная, уксусная, янтарная, малеиновая, фумаровая и щавелевая кислоты. Активные соединения по настоящему изобретению могут быть введены перорально, например, с инертным разбавителем или с пригодным в пищу носителем, или они могут быть включены в желатиновые капсулы, или они могут быть спрессованы в таблетки. С целью перорального терапевтического введения активные соединения по изобретению могут быть объединены с эксципиентами и использованы в виде таблеток, пастилок, капсул, эликсиров, суспензий, сиропов, облаток, жевательной резинки и т. п. Эти препараты должны содержать по крайней мере 0,5% активных соединений, но в зависимости от конкретной формы их количество может изменяться и удобным образом может быть от 4% до около 70% от массы единицы лекарственного средства. Количество активного соединения в таких композициях такое, чтобы получалась соответствующая доза. Предпочтительные композиции и препараты согласно настоящему изобретению получают так, чтобы пероральная стандартная лекарственная форма содержала 1,0-300 мг активного соединения. Таблетки, пилюли, капсулы, пастилки и тому подобное также могут содержать следующие ингредиенты: связующие, такое как микрокристаллическая целлюлоза, смола трагаканта или желатин; эксципиент, такой как крахмал или лактоза; разрыхлитель, такой как альгиновая кислота, примогель, кукурузный крахмал и тому подобное; смазывающее средство, такое как стеарат магния или Sterotex; придающий свойства скольжения агент, такой как коллоидный диоксид кремния; и может быть добавлен подслащивающий агент, такой как сахароза или сахарин, ароматизирующий агент, такой как мята, метилсалицилат, или придающий апельсиновый вкус агент. Когда стандартной лекарственной формой является капсула, она может содержать, в дополнение к материалам вышеуказанного вида, жидкий носитель, такой как жирное масло. Другие стандартные лекарственные формы могут содержать другие различные материалы, которые изменяют физическую форму стандартной лекарственной формы, например, как покрытия. Так, таблетки или пилюли могут быть покрыты сахаром, шеллаком или другими энтеросолюбильными покрытиями. Сироп может содержать, кроме активных соединений, сахарозу в качестве подслащивающего агента и некоторые консерванты, красители, окрашивающие вещества и ароматизаторы. Материалы, используемые для приготовления этих различных композиций, должны быть фармацевтически чистыми и нетоксичными в используемых количествах. С целью парентерального терапевтического введения, активные соединения по изобретению могут входить в состав раствора или суспензии. Эти препараты должны содержать по крайней мере 0,1% активного соединения, но это количество может изменяться от 0,5 до около 30% от их массы. Количество активного соединения в таких композициях такое, чтобы получалась соответствующая доза. Предпочтительные композиции и препараты согласно настоящему изобретению готовят так, чтобы парентеральная стандартная лекарственная форма содержала 0,5-100 мг активного соединения. Растворы или суспензии также могут включать следующие компоненты: стерильный разбавитель, такой как вода для инъекции, физиологический раствор, нелетучие масла, полиэтиленгликоли, глицерин, пропиленгликоль или другие синтетические растворители; антибактериальные средства, такие как бензиловый спирт или метилпарабены; антиоксиданты, такие как аскорбиновая кислота или бисульфит натрия; хелатирующие агенты, такие как этилендиаминотетрауксусная кислота; буферы, такие как ацетатный, цитратный или фосфатный буферы; и средства для установления изотоничности, такие как хлорид натрия или декстроза. Парентеральный препарат может быть помещен в шприцы-тюбики или во вмещающие многократную дозу пузырьки, сделанные из стекла или пластика. Примеры соединений, которые могут быть использованы для приготовления лекарственных средств для облегчения обсессивно-компульсивных расстройств, включают: N-(4-пиридинил)-1H-индол-1-амин; N-этил-N-(4-пиридинил)-1H-индол-1-амин; N-метил-N-(4-пиридинил)-1H-индол-1-амин; N-пропил-Н-(4-пиридинил)-1H-индол-1-амин; 5-метокси-N-пропил-N-(4-пиридинил)-1H-индол-1-амин; 3-этил-N-метил-N-(4-пиридинил)-1H-индол-1-амин; 5-хлор-N-(4-пиридинил)-1H-индол-1-амин; 5-хлор-N-пропил-N-(4-пиридинил)-1H-индол-1-амин; 5-бром-N-(4-пиридинил)-1H-индол-1-амин; 5-бром-N-метил-N-(4-пиридинил)-1H-индол-1-амин; 5-бром-N-пропил-N-(4-пиридинил)-1H-индол-1-амин; 5-нитро-N-(4-пиридинил)-1H-индол-1-амин; N-метил-5-нитро-N-(4-пиридинил)-1H-индол-1-амин; 3-метил-N-(4-пиридинил)-1H-индол-1-амин; 3-метил-N-пропил-N-(4-пиридинил)-1H-индол-1-амин; N-(3-фтор-4-пиридинил)-3-метил-1H-индол-1-амин; N-(3-фтор-4-пиридинил)-N-пpoпил-3-мeтил-1H-индoл-1-aмин; N-(3-фтор-4-пиридинил)-N-пропил-1H-индол-1-амин; 2-метил-N-(4-пиридинил)-1H-индол-1-амин; N-(3-метил-4-пиридинил)-1H-индол-1-амин; N-(3-метил-4-пиридинил)-N-пропил-1H-индол-1-амин; N-(3-фтор-4-пиридинил)-1H-индол-1-амин; N-(3-хлор-4-пиридинил)-1H-индол-1-амин; N-(3-фтор-4-пиридинил)-2-метил-1H-индол-1-амин; N-(3-хлор-4-пиридинил)-3-метил-1H-индол-1-амин; 3-этил-N-пропил-N-(4-пиридинил)-1H-индол-1-амин; N-бутил-N-(4-пиридинил)-1H-индол-1-амин; N-(2-метилпропил)-N-(4-пиридинил)-1H-индол-1-амин; N-пентил-N-(4-пиридинил)-1H-индол-1-амин; N-(2-метилпропил)-N-(4-пиридинил)-1H-индол-1-амин; N-(2-метилэтил)-N-(4-пиридинил)-1H-индол-1-амин; 2-метил-N-пропил-N-(4-пиридинил)-1H-индол-1-амин; N-(3-хлор-4-пиридинил)-N-пpoпил-1H-индoл-1-aмин; N-(3-фтор-4-пиридинил)-2-метил-N-пропил-1H-индол-1-амин; N-(3-хлор-4-пиридинил)-3-метил-N-пропил-1H-индол-1-амин; 5-гидpoкcи-N-(4-пиридинил)-1H-индол-1-амин; 5-гидpoкcи-N-пpoпил-N-(4-пиридинил)-1H-индол-1-амин; 3-метил-N-(3-метил-4-пиридинил)-1H-индол-1-амин; 3-метил-N-(3-метил-4-пиридинил)-N-пpoпил-1H-индoл-1-aмин; 2-метил-N-(3-метил-4-пиридинил)-1H-индол-1-амин; и 2-метил-N-(3-метил-4-пиридинил)-N-пpoпил-1H-индoл-1-aмин. Следующие примеры представлены в порядке иллюстрации синтеза различных соединений, которые могут быть использованы для приготовления лекарственных средств для лечения обсессивно-компульсивных расстройств. ПРИМЕР 1: Малеат N-(4-пиридинил)-1H-индол-1-амина Раствор 1H-индол-1-амина (30 г), 4-хлорпиридингидрохлорида (34 г) и пиридина (18 г) в 250 мл изопропанола перемешивают при 85oC в течение 1,5 часов и после этого охлаждают, перемешивают и добавляют ледяную воду, подщелачивают с помощью карбоната натрия и экстрагируют дихлорметаном. Органический экстракт промывают водой и насыщенным раствором хлорида натрия, сушат над безводным сульфатом магния, фильтруют и концентрируют до темного масла. Это масло очищают путем флэш-хроматографии (силикагель, этилацетат) и затем колоночной хроматографии (оксид алюминия, эфир) с получением 24 г масла. 3,6 г образца очищают путем высокоэффективной жидкостной хроматографии (в дальнейшем ВЭЖХ) (силикагель, этилацетат), с получением 3,5 г масла. Это масло преобразуют в малеатную соль и перекристаллизовывают дважды из метанола-эфира с получением 3,8 г игл, т.пл. 145-146oC (разл.). Анализ: для C13H11N3 C4H4O4вычислено, %: C 62,75; H 4,65; N 12,99, найдено, %: C 62,62; H 4,81; N 12,73. ПРИМЕР 2: Малеат N-метил-N-(4-пиридинил)-1H-индол-1-амина Раствор N-(4-пиридинил)-1H-индол-1-амина (7,4 г) в 30 мл диметилформамида добавляют к охлаждаемой льдом суспензии NaH (1,6 г 60%-ной дисперсии NaH в минеральном масле промывают гексаном, жидкую часть декантируют, оставшийся твердый продукт диспергируют в 10 мл диметилформамида). После образования аниона добавляют раствор диметилсульфата (5 г) в 10 мл диметилформамида. После перемешивания в течение одного часа при комнатной температуре реакционную смесь перемешивают с водой со льдом и экстрагируют эфиром. Органический экстракт промывают водой и насыщенным раствором хлорида натрия, сушат над безводным сульфатом магния, фильтруют и концентрируют с получением 8 г масла. Это масло очищают путем флэш-хроматографии (силикагель, этилацетат), колоночной хроматографии (оксид алюминия, эфир) и ВЭЖХ (силикагель, этилацетат) с получением 2,9 г масла. Это масло преобразуют в малеатную соль и перекристаллизовывают дважды из метанола/эфира с получением 2,1 г кристаллов: т.пл. 103-104oC. Анализ: для C14H13N3 C4H4O4вычислено, %: C 63,70; H 5,05; N 12,39, найдено, %: C 63,36; H 4,93; N 12,39. ПРИМЕР 3: Малеат N-этил-N-(4-пиридинил)-1H-индол-1-амина К охлаждаемой льдом суспензии гидрида натрия (1,7 г 60%-ной дисперсии NaH в минеральном масле промывают гексаном, жидкость декантируют и оставшийся твердый продукт диспергируют в 5 мл диметилформамида) медленно добавляют раствор N-(4-пиридинил)-1H- индол-1-амина (7,6 г) в 25 мл диметилформамида. После образования аниона медленно добавляют раствор диэтилсульфата (6,4 г) в 10 мл диметилформамида. Спустя один час смесь перемешивают с водой со льдом и экстрагируют этилацетатом. Органический экстракт промывают водой и насыщенным раствором хлорида натрия, сушат над безводным сульфатом магния, фильтруют и концентрируют с получением 11 г масла. Это масло очищают путем флэш-хроматографии (силикагель, этилацетат) с получением 6,2 г масла. Это масло очищают путем колоночной хроматографии (оксид алюминия, эфир) с получением 6 г масла. Образец массой 3 г преобразуют в малеатную соль и перекристаллизовывают из этанола/эфира и затем из метанола/эфира с получением 2,7 г кристаллов, т. пл. 119-120oC. Анализ: для C15H15N3 C4H4O4вычислено, %: C 64,58; H 5,42; N 11,89, найдено, %: C 64,27; H 5,49; N 12,11. ПРИМЕР 4 Часть A: Малеат N-пpoпил-N-(4-пиpидинил)-1H-индoл- 1-амина Раствор N-(4-пиридинил)-1H-индол-1-амина (6 г) в 25 мл диметилформамида медленно добавляют к охлаждаемой льдом суспензии NaH (1,3 г 60%-ной дисперсии NaH в минеральном масле промывают гексаном, жидкость декантируют, а оставшееся твердое вещество диспергируют в 5 мл диметилформамида). После образования аниона добавляют раствор 1-бромпропана (4 г) в 5 мл диметилформамида. После перемешивания в течение 1 часа при комнатной температуре реакционную смесь перемешивают с ледяной водой и экстрагируют дихлорметаном. Органический экстракт промывают водой и насыщенным раствором хлорида натрия, сушат над безводным сульфатом магния, фильтруют и концентрируют с получением 8 г масла. Это масло очищают путем ВЭЖХ (силикагель, этилацетат) и затем путем колоночной хроматографии (оксид алюминия, эфир), получая 6,4 г масла. Это масло превращают в малеатную соль и перекристаллизовывают из смеси метанола с эфиром с получением 6,8 г кристаллов. Т. пл. 115-116oC. Анализ: для C16H17N3 C4H4O4вычислено, %: C 65,38; H 5,76; N 11,44, найдено, %: C 65,26; H 5,71; N 11,34. Часть B: Гидрохлорид N-пропил-N-(4-пиридинил)-1H-индол-1- амина Свободное основание в виде масла преобразуют в гидрохлоридную соль, которую перекристаллизовывают из метанола: т.пл. 212-214oC. Анализ: для C16H17N3 HClвычислено, %: C 66,78; H 6,30; N 14,60, найдено, %: C 66,77; H 6,39; N 14,59. ПРИМЕР 5: Малеат 5-метокси-N-пропил-N-(4-пиридинил)-1H- индол-1-амина К охлаждаемой льдом суспензии гидрида натрия (0,5 г 60%-ной дисперсии NaH в минеральном масле промывают гексаном, жидкость декантируют, а оставшееся твердое вещество диспергируют в 5 мл диметилформамида) медленно добавляют раствор 5-метокси-N-(4- пиридинил)-1H-индол-1-амина (2,3 г) в 20 мл диметилформамида. После образования аниона, добавляют раствор 1-бромпропана (1,4 г) в 5 мл диметилформамида. После перемешивания в течение 1 часа реакционную смесь перемешивают с ледяной водой и экстрагируют дихлорметаном. Органический экстракт промывают водой и насыщенным раствором хлорида натрия, сушат над безводным сульфатом магния и концентрируют с получением 2,3 г масла. Это масло очищают путем флэш-хроматографии (силикагель, этилацетат) с получением 2,1 г масла. Это масло преобразуют в малеатную соль в этаноле/эфире с получением 2,0 г кристаллов, т.пл. 138-139oC. Анализ: для C17H19N3O C4H4O4вычислено, %: C 63,46; H 5,83; N 10,58, найдено, %: C 63,26; H 5,77; N 10,47. ПРИМЕР: Малеат N-метил-N-(4-пиридинил)-1H-индол-1-амин-3- карбоксальдегида К охлаждаемому льдом диметилформамиду (4 г) медленно добавляют оксихлорид фосфора (7 г). После образования комплекса добавляют раствор N-метил-N-(4-пиридинил)-1H-индол-1-амина (5 г) в 50 мл дихлорэтана. После перемешивания в течение 1 часа при 85oC реакционную смесь охлаждают, гидролизуют с помощью раствора ацетата натрия (5 г) в 25 мл воды, снова охлаждают, подщелачивают с помощью карбоната натрия и экстрагируют дихлорметаном. Органический экстракт промывают водой и насыщенным раствором хлорида натрия, сушат над безводным сульфатом магния, фильтруют и концентрируют с получением 6 г масла. Это масло очищают путем флэш-хроматографии (силикагель, этилацетат) с получением 4,6 г масла. Это масло преобразуют в малеатную соль и перекристаллизовывают из этанола/эфира и затем метанола/эфира с получением 2,6 г кристаллов, т. пл. 162-163oC (разл.). Анализ: для C15H13N3O C4H4O4вычислено, %: C 62,12; H 4,66; N 11,44, найдено, %: C 61,71; H 4,62; N 11,14. ПРИМЕР 7: Малеат N-этил-N-(4-пиридинил)-1H-индол-1-амин-3- карбоксальдегида К охлаждаемому льдом диметилформамиду (2,2 г) медленно добавляют оксихлорид фосфора (4,5 г). После образования комплекса добавляют раствор N-этил-N-(4-пиридинил)-1H-индол-1-амина (3,5 г) в 50 мл дихлорэтана. Смесь перемешивают при 80oC в течение 1 часа и затем гидролизуют с помощью раствора ацетата натрия (5 г) в 25 мл воды, охлаждают, подщелачивают с помощью карбоната натрия и экстрагируют дихлорметаном. Органический экстракт промывают водой и насыщенным раствором хлорида натрия, сушат над безводным сульфатом магния, фильтруют и концентрируют с получением 5 г масла. Это масло очищают путем флэш-хроматографии (силикагель, этилацетат) с получением 3,5 г масла. Это масло преобразуют в малеатную соль и перекристаллизовывают из этанола/эфира и затем из метанола/эфира с получением 3 г твердого вещества; т. пл. 170- 171oC (разл.). Анализ: для C16H15N3 C4H4O4вычислено, %; C 62,98; H 5,02; N 11,02, найдено, %: C 62,97; H 5,08; N 11,06. ПРИМЕР 8: Малеат 3-этенил-N-метил-N-(4-пиридинил)-1H- индол-1-амина К охлаждаемой льдом суспензии метилтрифенилфосфонийбромида (13 г) в 100 мл безводного эфира добавляют трет-бутоксид калия (4 г). После образования фосфорана добавляют раствор N-этил-N-(4-пиридинил) -1H-индол-1-амин-3-карбоксальдегида (7,5 г) в 50 мл эфира и 50 мл тетрагидрофурана. После перемешивания в течение 1 часа реакционную смесь перемешивают с водой и экстрагируют эфиром. Органический экстракт промывают водой и насыщенным раствором хлорида натрия, сушат над безводным сульфатом магния, фильтруют и концентрируют с получением 20 г масла. Это масло очищают путем флэш-хроматографии (диоксид кремния, этилацетат) с получением 7 г масла. Образец весом 3,5 г преобразуют в малеатную соль в этаноле и перекристаллизовывают из смеси метанола с эфиром с получением 3 г кристаллов. Т. пл. 153- 154oC. Анализ: для C16H15N3 C4H4O4вычислено, %: C 65,74; H 5,24; N 11,50, найдено, %: C 65,94; H 5,39; N 11,45. ПРИМЕР 9: Гидрохлорид 3-этил-N-метил-N-(4-пиридинил)-1H- индол-1-амина Раствор 3-этинил-N-метил-N-(4-пиридинил)-1H-индол-1-амина (5 г) в 250 мл этанола, содержащего 0,5 г оксида платины, гидрируют при 50 psi (= 3,515 кгс/см2) в течение 1 часа. Смесь отфильтровывают и фильтрат концентрируют с получением 5 г масла. Это масло очищают путем флэш-хроматографии (силикагель, этилацетат) с получением 3,5 г масла. Это масло преобразовывают в гидрохлоридную соль в смеси этанола/эфира и перекристаллизовывают из метанола /эфира с получением 3,0 г кристаллов. Т. пл. 262oC (разл.). Анализ: для C16H17N3 HClвычислено, %: C 66,77; H 6,30; N 14,60, найдено, %: C 66,87; H 6,33; N 14,57. ПРИМЕР 10: Малеат 5-хлор-N-(4-пиридинил)-1H-индол-1-амина Раствор 5-хлор-1H-индол-1-амина (9 г), гидрохлорида-4-хлорпиридина (12 г) и пиридина (6,4 г) в 100 мл изопропанола перемешивают при температуре кипения с обратным холодильником в течение 1 часа, охлаждают и перемешивают со смесью воды со льдом, и смесь подщелачивают с помощью карбоната натрия, экстрагируют дихлорметаном и фильтруют. Органический экстракт промывают водой и насыщенным раствором хлорида натрия, сушат над безводным сульфатом магния, фильтруют и концентрируют с получением масла темного цвета. Это масло очищают путем флэш-хроматографии (силикагель, этилацетат), получая 6,2 г масла. Это масло преобразовывают в малеат в смеси метанола с эфиром, получая 7 г кристаллов, т. пл.148-150oC. Образец в количестве 2,6 г перекристаллизовывают из смеси метанола с эфиром, получая 2,4 г кристаллов. Т.пл. 150-152oC (разл.). Анализ: для C13H10ClN3 C4H4O4вычислено, %: C 56,75; H 3,92; N 11,68, найдено, %: C 56,71; H 4,00; N 11,62. ПРИМЕР 11: Малеат 5-хлор-N-пропил-N-(4-пиридинил)-1H-индол- 1-амина Раствор 5-хлор-N-(4-пиридинил)-1H-индол-1-амина (3,3 г) в 15 мл диметилформамида медленно добавляют к охлажденной льдом суспензии гидрида натрия (0,65 г 60%-ной масляной дисперсии промывают гексаном) в 5 мл диметилформамида. После образования аниона добавляют раствор 1-бромпропана (2 г) в 5 мл диметилформамида. Спустя 1 час реакционную смесь перемешивают со смесью воды со льдом и экстрагируют дихлорметаном. Органический экстракт промывают водой и насыщенным раствором хлорида натрия, сушат над безводным сульфатом магния, фильтруют и концентрируют с получением 5 г масла. Это масло очищают путем флэш-хроматографии (силикагель, этилацетат) с получением 3,1 г масла. Это масло преобразовывают в малеатную соль в смеси этанола с эфиром с затем перекристаллизовывают из смеси метанола с эфиром с получением 3,4 г кристаллов, т.пл. 130oC. Анализ: для C16H16ClN3 C4H4O4вычислено, %: C 59,77; H 5,02; N 10,46, найдено, %: C 59,97; H 5,13; N 10,35. ПРИМЕР 12: Малеат 5-бром-N-(4-пиридинил)-1H-индол-1-амина Раствор 5-бром-1H-индол-1-амина (13 г), гидрохлорида 4-хлорпиридина (14 г) и пиридина (7,2 г) в 100 мл изопропанола перемешивают при температуре кипения с обратным холодильником в течение 1 часа, охлаждают и перемешивают со смесью воды со льдом и затем смесь подщелачивают с помощью карбоната натрия, экстрагируют дихлорметаном и фильтруют. Органический экстракт промывают водой и насыщенным раствором хлорида натрия, сушат над безводным сульфатом магния, фильтруют и концентрируют с получением масла темного цвета. Это масло очищают путем флэш-хроматографии (силикагель, этилацетат) с получением 11 г масла. Это масло преобразовывают в малеатную соль в смеси этанола с эфиром с получением 13 г твердого продукта. Т. пл. 155-157oC (разл.). Образец в количестве 3 г перекристаллизовывают из смеси метанола с эфиром с получением 2,8 г кристаллов. Т. пл. 161-162oC (разложение). Анализ: для C13H10BrN3 C4H4O4вычислено, %: C 50,51; H 3,49; N 10,40, найдено, %: C 50,46; H 3,56; N 10,40. ПРИМЕР 13: Малеат 5-бром-N-метил-N-(4-пиридинил)-1H-индол-1- амина Раствор 5-бром-N-(4-пиридинил)-1H-индол-1-амина (2,7 г) в 20 мл диметилформамида медленно добавляют к охлаждаемой льдом суспензии гидрида натрия (0,45 г 60%-ной масляной дисперсии промывают гексаном) в 5 мл диметилформамида. После образования аниона добавляют раствор диметилсульфата (1,4 г) в 5 мл диметилформамида. Спустя 1 час реакционную смесь перемешивают со смесью воды со льдом и экстрагируют дихлорметаном. Органический экстракт промывают водой и насыщенным раствором хлорида натрия, сушат над безводным сульфатом магния, фильтруют и концентрируют с получением 2 г масла. Это масло очищают путем флэш-хроматографии (силикагель, этилацетат) с получением 1,4 г масла. Это масло преобразовывают в малеат в смеси этанола с эфиром с получением 1,2 г кристаллов, т. пл. 110-111oC. Анализ: для C14H12BrN3 C4H4O4вычислено, %: C 51,69; H 3,86; N 10,05, найдено, %: C 51,55; H 3,89; N 10,14. ПРИМЕР 14: Малеат 5-бром-N-пропил-N-(4-пиридинил)-1H-индол-1 -амина Раствор 5-бром-N-(4-пиридинил)-1H-индол-1-амина (4,9 г) в 25 мл диметилформамида медленно добавляют к охлаждаемой льдом суспензии гидрида натрия (0,8 г 60%-ной масляной дисперсии промывают гексаном) в 5 мл диметилформамида. После образования аниона добавляют раствор 1-бромпропана (2,5 г) в 5 мл диметилформамида. Спустя 1 час реакционную смесь перемешивают со смесью воды со льдом и экстрагируют дихлорметаном. Органический экстракт промывают водой и насыщенным раствором хлорида натрия, сушат над безводным сульфатом магния, фильтруют и концентрируют с получением 5 г масла. Это масло очищают путем флэш-хроматографии (силикагель, этилацетат) с получением 4,5 г масла. Это масло преобразуют в малеатную соль в смеси этанола с эфиром с получением 5,4 г твердого продукта, т.пл. 150-152oC (разл.). Это твердое вещество перекристаллизовывают из смеси метанола с эфиром с получением 4,8 г кристаллов, т.пл. 157-158oC (разл.). Анализ: для C16H16BrN3 C4H4O4вычислено, %; C 53,82; H 4,52; N 9,42, найдено, %: C 53,63; H 4,62; N 9,40. ПРИМЕР 15: Гидрохлорид 5-нитро-N-(4-пиридинил)-1H-индол-1- амина Раствор 5-нитро-1H-индол-1-амина (4,5 г) и гидрохлорида 4- хлорпиридина (4,5 г) в 175 мл изопропанола перемешивают в течение двух часов при температуре кипения с обратным холодильником, после чего добавляют еще один эквивалент гидрохлорида 4-хлорпиридина и смесь кипятят с обратным холодильником в течение еще двух часов. Реакционную смесь затем охлаждают, перемешивают с водой, подщелачивают карбонатом натрия и экстрагируют этилацетатом. Органический экстракт промывают водой и насыщенным раствором хлорида натрия, сушат (MgSO4), фильтруют и концентрируют с получением 9 г темного масла. Это масло очищают путем флэш- хроматографии (силикагель, этилацетат) с получением 3,8 г светло-коричневого твердого продукта, т.пл. 183-184oC. Это твердое вещество преобразуют в гидрохлорид и прекристаллизовывают дважды из метанола/эфира с получением 3,5 г оранжевых игл, т. пл. 300-302oC (разложение). Анализ: для C13H10N4O2 HClвычислено, %: C 53,71; H 3,81; N 19,28, найдено, %: C 53,55; H 3,77; N 19,17. ПРИМЕР 16: Малеат N-метил-5-нитро-N-(4-пиридинил)-1H-индол- 1-амина Раствор 5-нитро-N-(4-пиридинил)-1H-индол-1-амина (6 г) в 20 мл диметилформамида медленно добавляют к охлаждаемой льдом суспензии NaH, приготовленной путем промывки 1,2 г 60%-ной суспензии NaH в масле с помощью гексана и суспендирования остатка в 5 мл диметилформамида. После образования аниона добавляют раствор диметилсульфата (3,7 г) в 10 мл диметилформамида. Спустя 1 час реакционную смесь перемешивают с водой и экстрагируют этилацетатом. Органический экстракт промывают водой и насыщенным раствором хлорида натрия, сушат (сульфат магния), фильтруют и концентрируют с получением 6 г темного цвета масла. Это масло очищают путем флэш-хроматографии (силикагель, этилацетат) с получением 2,7 г оранжевого твердого продукта, т. пл. 149-150oC. Это вещество преобразовывают в малеатную соль и перекристаллизуют дважды из метанола/эфира с получением 2,7 г оранжевых кристаллов, т. пл. 174-175oC (разл.). Анализ: для C14H12N4O2 C4H4O4вычислено, %: C 56,25; H 4,20; N 14,58, найдено, %: C 56,14; H 4,27; N 14,46. ПРИМЕР 17: Оксалат 3-метил-N-(4-пиридинил)-1H-индол-1-амина К 200 мл изопропанола добавляют гидрохлорид 4-хлорпиридина (7,5 г) и 3-метил-1H-индол-1-амин (7,6 г). Смесь перемешивают при 90oC в течение 6 часов и затем выливают в 400 мл смеси воды со льдом и перемешивают в течение 5 минут. pH доводят до 10 с помощью раствора карбоната натрия и затем экстрагируют этилацетатом. Органический слой промывают водой и сушат (насыщенный раствор NaCl; безводный сульфат магния). После фильтрации растворитель выпаривают с получением 8,4 г густого масла коричневого цвета, которое элюируют этилацетатом на колонке с силикагелем при использовании ВЭЖХ. Целевые фракции объединяют и концентрируют с получением 7,4 г коричневого масла. Образец в количестве 2,3 г этого масла растворяют в 50 мл этанола, доводят до 1 с помощью этанольного раствора щавелевой кислоты и раствор разбавляют эфиром. Полученный белый осадок собирают и сушат с получением 4,0 г, т. пл. 130-135oC (разл. ). Это вещество перекристаллизовывают из смеси этанола/ эфира (1:1) с получением 3,8 г, т. пл. 137oC (разл.). Анализ: для C14H13N3 C2H2O4вычислено, %: C 61,33; H 4,83; N 13,41, найдено, %: C 61,41; H 4,96; N 13,28. ПРИМЕР 18: Малеат 3-метил-N-пропил-N-(4-пиридинил)-1H- индол-1-амина К охлаждаемой суспензии NaH, приготовленной путем промывки 0,8 г 60%-ной суспензии NaH в масле гексаном и суспендирования остатка в 15 мл безводного ДМФ, добавляют раствор 3- метил-N-(4-пиридинил)-1H-индол-1-амина (4,0 г) в 25 мл безводного ДМФ в течение 10 минут. Спустя 10 минут добавляют раствор пропилбромида (2,7 г) в 15 мл ДМФ. Смесь перемешивают при комнатной температуре в течение 30 минут, вливают в 200 мл воды со льдом, перемешивают в течение 5 минут и затем экстрагируют этилацетатом. Органический слой промывают водой и сушат (насыщенный раствор NaCl; безводный сульфат магния). После фильтрации растворитель выпаривают с получением 5 г коричневого масла, которое элюируют этилацетатом на колонке с силикагелем при использовании ВЭЖХ. Целевые фракции объединяют и концентрируют с получением 2,6 г коричневого масла. Это масло растворяют в эфире, pH раствора доводят до 1 с помощью эфирного раствора малеиновой кислоты, и полученный белый осадок собирают и сушат с получением 4,0 г, т.пл. 148oC (разл.). Этот продукт перекристаллизовывают из метанола/эфира (1: 10) с получением 3,5 г белых кристаллов, т. пл. 148-149oC. Анализ: для C17H19N3 C4H4O4вычислено, %: C 66,13; H 6,08; N 11,02, найдено, %: C 66,15; H 6,02; N 11,00. ПРИМЕР 19: N-(3-фтор-4-пиридинил)-3-метил-1H-индол-1-амин К 200 мл изопропанола добавляют гидрохлорид 4-хлор-3-фторпиридина (10 г) и 3-метил-1H-индол-амин (5,9 г). Смесь перемешивают при 90oC в течение четырех часов, охлаждают и выливают в 500 мл ледяной воды. pH доводят до 10 с помощью раствора карбоната натрия и смесь экстрагируют этилацетатом. Органический слой промывают водой и сушат (насыщенный раствор NaCl; безводный сульфат магния). После фильтрации растворитель выпаривают с получением примерно 10 г масла темного цвета, которое на колонке с силикагелем элюируют сначала дихлорметаном и затем эфиром/петролейным эфиром (1:1), при использовании флэш-хроматографии. Целевые фракции объединяют и концентрируют с получением желтого твердого продукта, 6,2 г, т. пл. 45oC. Образец этого вещества перекристаллизовывают из диизопропилового эфира/гексана (1:1) с получением желтого твердого продукта, т.пл. 141-142oC. Анализ: для C14H12FN3 вычислено, %: C 69,69; H 5,02; N 17,42, найдено, %: C 69,52; H 5,01; N 17,57. ПРИМЕР 20: Гидрохлорид N-(3-фтор-4-пиридинил)-N-пропил-3- метил-1H-индол-1-амина К суспензии NaH, приготовленной путем промывки 0,5 г 60%-ной суспензии NaH в масле с помощью гексана и суспендирования остатка в 10 мл ДМФ, добавляют раствор N-(3-фтор-4-пиридинил)-3-метил-1H- индол-1-амина (3,0 г) в 20 мл ДМФ при охлаждении на ледяной бане в течение 10 минут. Смесь перемешивают еще в течение 5 минут и затем в течение 5 минут добавляют раствор пропилбромида (1,2 мл) в 10 мл ДМФ. Смесь перемешивают при комнатной температуре в течение 30 минут, выливают в 10 мл смеси воды со льдом и затем экстрагируют этилацетатом. Органический слой собирают, промывают водой и сушат (насыщенный раствор NaCl; безводный сульфат магния). После фильтрации растворитель выпаривают с получением 4 г коричневого масла, которое при использовании ВЭЖХ на колонке с силикагелем элюируют с помощью 20% этилацетата в дихлорметане. Целевые фракции объединяют и концентрируют с получением густого желтого масла, 3,4 г. Масло растворяют в эфире, pH доводят до 1 с помощью эфирного раствора HCl и полученный белый осадок собирают и сушат с получением 3,4 г. Это вещество перекристаллизовывают из этанола/эфира (1: 20) с получением 2,7 г белых кристаллов, т. пл. 193oC (разложение). Анализ: для C17H18FN3 HClвычислено, %: C 63,84; H 5,99; N 13,14, найдено, %: C 64,11; H 6,01; N 13,20. ПРИМЕР 21: Гидрохлорид N-(3-фтор-4-пиридинил)-N-пропил-1H- индол-1-амина К суспензии NaH, приготовленной путем промывки 0,6 г 60%-ной суспензии NaH в масле с помощью гексана и суспендирования остатка в 10 мл охлажденного ДМФ, добавляют раствор N-(3-фтор-4- пиридинил)-1H-индол-1-амина в 25 мл ДМФ. Смесь перемешивают в течение 10 минут при 5oC и затем добавляют раствор бромпропана (1,4 мл) в 10 мл ДМФ. Смесь перемешивают при комнатной температуре в течение 30 минут, выливают в 200 мл воды со льдом и перемешивают в течение 5 минут и экстрагируют этилацетатом. Органический слой промывают водой и сушат (насыщенный раствор NaCl; безводный сульфат магния). После фильтрации растворитель выпаривают получением 3,2 г коричневого масла, которое при использовании ВЭЖХ на колонке с силикагелем элюируют с помощью 10% этилацетата в дихлорметане. Целевые фракции объединяют и концентрируют с получением 2,4 г коричневого масла, которое растворяют в 40 мл абсолютного этанола. pH доводят до 1 с помощью эфирного раствора HCl и раствор разбавляют 400 мл эфира. Полученный осадок не совсем белого цвета собирают и сушат с получением 2,1 г, т. пл. 198-200oC (разл). Анализ: для C16H16FN3 HClвычислено, %: C 62,85; H 5,60; N 13,74, найдено, %: C 62,80; H 5,60; N 13,66. ПРИМЕР 22: 2-Метил-N-(4-пиридинил)-1H-индол-1-амин Целевое соединение получают из 2-метил-1H-индол-1-амина и гидрохлорида 4-хлорпиридина при 120oC в течение 30 минут по существу таким же образом, как в примере 1, т. пл. 75-78oC. Анализ: для C14H13N3 вычислено, %: C 75,31; H 5,87; N 18,82, найдено, %: C 75,02; H 5,88; N 18,66. ПРИМЕР 23: N-(3-Метил-4-пиридинил)-1H-индол-1-амин Целевое соединение получают из 1H-индол-1-амина и гидрохлорида 4-хлор-3-метилпиридина в изопропаноле при 90oC в течение 6 часов по существу таким же образом, как в примере 1, т.пл. 78-80oC. Анализ: для C14H13N3 вычислено, %: C 75,31; H 5,87; N 18,82, найдено, %: C 74,98; H 5,83; N 18,86. ПРИМЕР 24: Оксалат N-(3-мeтил-4-пиpидинил)-N-пpoпил-1H- индол-1-амина Целевое соединение получают из N-пропил-1H-индол-1- амина и гидрохлорида 4-хлор-3-метилпиридина в 1-метил-2- пирролидоне при 120oC в течение 20 часов по существу таким же образом, как в примере 1, т. пл. 155oC (разл.). Анализ: для C17H19N3 C2H2O4вычислено, %: C 64,21; H 5,96; N 11,82, найдено, %: C 64,15; H 5,85; N 11,69. ПРИМЕР 25: Гидрохлорид N-(3-фтор-4-пиридинил)-1H-индол-1- амина Целевое соединение получают из 1H-индол-1-амина и гидрохлорида 4-хлор-3-фторпиридина в изопропаноле при 90oC в течение четырех часов по существу таким образом, как в примере 1, т. пл. > 250oC. Анализ: для C13H10N3 HClвычислено, %: C 59,21; H 4,21; N 15,93, найдено, %: C 59,35; H 4,36; N 15,81. ПРИМЕР 26: Гидрохлорид N-(3-хлор-4-пиридинил)-1H-индол-1- амина Целевое соединение получают из 1H-индол-1-амина и гидрохлорида 3,4-дихлорпиридина в изопропаноле при 100oC в течение четырех часов по существу таким же образом, как в примере 1, т.пл. > 230oC. Анализ: для C13H10ClN3 HClвычислено, %: C 55,78; H 3,96; N 15,00, найдено, %: C 55,97; H 4,23; N 14,64. ПРИМЕР 27: N-(3-фтор-4-пиридинил)-2-метил-1H-индол-1-амин Целевое соединение получают из 2-метил-1H-индол-1-амина и гидрохлорида 4-хлор-3-фторпиридина в 1-метил-2-пирролидоне в течение 1 часа по существу таким образом, как в примере 1, т. пл. 157-158oC. Анализ: для CH14H12FN3 вычислено, %: C 69,69; H 5,02; N 17,42, найдено, %: C 69,53; H 4,95; N 17,28. ПРИМЕР 28: Гидрохлорид N-(3-хлор-4-пиридинил)-3-метил-1H- индол-1-амина Целевое соединение получают из 3-метил-1H-индол-1- амина и гидрохлорида 3,4-дихлопиридина в изопропаноле при 80oC в течение 5 часов по существу таким образом, как в примере 1. Перекристаллизовывают из этанола, т. пл. 278-280oC (разложение). Анализ: для C14H12ClN3 HClвычислено, %: C 57,16; H 4,45; N 14,29, найдено, %: C 57,20; H 4,44; N 14,28. ПРИМЕР 29: Малеат N-пропил-N-(4-пиридинил)-1H-индол-1-амин- 3-карбоксальдегида Целевое соединение получают из N-пропил-N-(4-пиридинил) -1H-индол-1-амина, оксихлорида фосфора и диметилформамида по существу таким же образом, как в примере 6, т. пл. 169-171oC. Анализ: для C17H17N3O C4H4O4вычислено, %: C 63,79; H 5,35; N 10,63, найдено, %: C 63,67; H 5,38; N 10,58. ПРИМЕР 30: Малеат N-пропил-N-(4-пиридинил)-3-этенил-1H- индол-1-амина Целевое соединение получают из N-пропил-N-(4- пиридинил)-1H-индол-1-амин-3-карбоксальдегида, метилтрифенилфосфонийбромида и трет-бутоксида калия по существу таким же образом, как в примере 8. Перекристаллизовывают из метанола/эфира, т. пл. 157-158oC (разл.). Анализ: для C18H19N3 C4H4O4вычислено, %: C 67,16; H 5,89; N 10,68, найдено, %: C 66,87; H 5,76; N 10,56. ПРИМЕР 31: Малеат 3-этил-N-пропил-N-(4-пиридинил)-1H-индол- 1-амина Целевое соединение получают путем гидрования 3-этенил-N- пропил-N-(4-пиридинил)-1H-индол-1-амина по существу таким же образом, как в примере 9. Т. пл. 133-134oC. Анализ: для C18H21N3 C4H4O4вычислено, %: C 66,82; H 6,37; N 10,63, найдено, %: C 66,73; H 6,40; N 10,62. ПРИМЕР 32: Малеат N-бутил-N-(4-пиридинил)-1H-индол-1-амина Целевое соединение получают из N-(4-пиридинил)-1H-индол-1-амина и 1-бромбутана с помощью NaH по существу таким же образом, как в примере 4. Перекристаллизовывают из смеси этанол/эфир (1:10), т. пл. 108-110oC. Анализ: для C17H19N3 C4H4O4вычислено, %: C 66,13; H 6,08; N 11,02, найдено, %: C 66,10; H 6,05; N 11,04. ПРИМЕР 33: Малеат N-(2-пропинил)-N-(4-пиридинил)-1H-индол-1- амина Целевое соединение получают из N-(4-пиридинил)-1H-индол-1- амина и промпаргилбромида с помощью NaH по существу таким же образом, как в примере 4. Перекристаллизовывают из этанола/эфира, т. пл. 107-109oC. Анализ: для C16H13N3 C4H4O4вычислено, %: C 66,11; H 4,72; N 11,56, найдено, %: C 66,04; H 4,69; N 11,45. ПРИМЕР 34: Малеат N-(2-метилпропил)-N-(4-пиридинил)-1H- индол-1-амина Целевое соединение получают из N-(4-пиридинил)-1H-индол-1-амина и 1-бром-2-метилпропана с помощью NaH по существу таким же образом, как в примере 4, т. пл. 101-103oC. Анализ: для C17H19N3 C4H4O4вычислено, %: C 66,13; H 6,08; N 11,02, найдено, %: C 66,03; H 6,09; N 11,01. ПРИМЕР 35: Малеат N-пентил-N-(4-пиридинил)-1H-индол-1-амина Целевое соединение получают из N-(4-пиридинил)-1H-индол-1-амина и 1-бромпентана с помощью NaH по существу таким же образом, как в примере 4. Перекристаллизовывают из смеси этанола/эфира (1:9), т.пл. 91-93oC. Анализ: для C18H21N3 C4H4O4вычислено, %: C 66,82; H 6,37; N 10,63, найдено, %: C 66,70; H 6,29; N 10,55. ПРИМЕР 36: Малеат N-(1-метилпропил)-N-(4-пиридинил)-1H- индол-1-амина Целевое соединение получают из N-(4-пиридинил)-1H- индол-1-амина и 2-бромбутана с помощью NaH по существу таким же образом, как в примере 4. Перекристаллизовывают из этанола/эфира, т.пл. 117-118oC. Анализ: для C17H19N3 C4H4O4вычислено, %: C 66,13; H 6,08; N 1,02, найдено, %: C 65,78; H 5,97; N 10,98. ПРИМЕР 37: Малеат N-(1-метилэтил)-N-(4-пиридинил)-1H-индол- 1-амин Целевое соединение получают из N-(4-пиридинил)-1H-индол-1- амина и 2-бромпропана с помощью NaH по существу таким же образом, как в примере 4. Перекристаллизовывают из метанола/эфира, т.пл. 121-123oC. Анализ: для C16H17N3 C4H4O4вычислено, %: C 65,38; H 5,76; N 11,44, найдено, %: C 65,28; H 5,81; N 11,36. ПРИМЕР 38: Малеат 2-метил-N-пропил-N-(4-пиридинил)-1H-индол- 1-амина Целевое соединение получают из 2-метил-N-(4-пиридинил)-1H- индол-1-амина и 1-бромпропана с помощью NaH по существу таким же образом, как в примере 4, т.пл. 155-156oC (разложение). Анализ: для C17H19N3 C4H4O4вычислено, %: C 66,13; H 6,08; N 11,02, найдено, %: C 65,78; H 6,08; N 10,82. ПРИМЕР 39: Гидрохлорид N-(3-фтор-4-пиридинил)-N-(2- пропенил)-3-метил-1H-индол-1-амина Целевое соединение получают из N-(3-фтор-4-пиридинил)- 3-метил-1H-индол-1-амина и аллилбромида с помощью NaH по существу таким же образом, как в примере 4, т. пл. 185-187oC. Анализ: для C17H16FN3 HClвычислено, %: C 64,25; H 5,39; N 13,22, найдено, %: C 64,15; H 5,39; N 13,08. ПРИМЕР 40: Гидрохлорид N-(3-хлор-4-пиридинил)-N-пропил-1H- индол-1-амина Целевое соединение получают из N-(3-хлор-4-пиридинил)-1H- индол-1-амина и пропилбромида с помощью NaH по существу таким же образом, как в примере 4, т.пл. 202oC (разл.). Анализ: для C16H16ClN3 HClвычислено, %: C 59,63; H 5,32; N 13,04, найдено, %: C 60,01; H 5,31; N 12,94. ПРИМЕР 41: Гидрохлорид N-(3-фтор-4-пиридинил)-N-(2- пропинил)-1H-индол-1-амина Целевое соединение получают из N-(3-фтор-4-пиридинил) -1H-индол-1-амина и пропаргилбромида с помощью NaH по существу таким же образом как в примере 4. Перекристаллизовывают из метанола/эфира (1:5), т.пл. 211-212oC. Анализ: для C16H12FN3 HClвычислено, %: C 63,68; H 4,34; N 13,93, найдено, %: C 63,46; H 4,20; N 13,72. ПРИМЕР 42: Гидрохлорид N-(3-фтор-4-пиридинил)-3-метил-N-(2- пропинил)-1H-индол-1-амина Целевое соединение получают из N-(3-фтор-4-пиридинил)- 3-метил-1H-индол-1-амина и пропаргилбромида с помощью NaH по существу таким же образом, как в примере 4. Перекристаллизовывают из метанола/эфира (1:5), т.пл. 206-207oC. Анализ: для C17H14FN3 HClвычислено, %: C 64,66; H 4,79; N 13,30, найдено, %: C 64,49; H 4,70; N 13,18. ПРИМЕР 43: N-(3-фтор-4-пиридинил)-2-метил-N-пропил-1H-индол- 1-амин Целевое назначение получают из N-(3-фтор-4-пиридинил)-2- метил-1H-индол-1-амина и 1-бромпропана с помощью NaH по существу таким же образом, как в примере 4, т. пл. 5oC. Анализ: для C17H18FN3 вычислено, %: C 72,06; H 6,40; N 14,83, найдено, %: C 71,76; H 6,51; N 14,48. ПРИМЕР 44: N-(3-Хлор-4-пиридинил)-3-метил-N-пропил-1H-индол- 1-амин Целевое соединение получают из N-(3-хлор-4-пиридинил)-3- метил-1H-индол-1-амина и 1-бромпропана с помощью NaH по существу таким же образом, как в примере 4, т. пл. 68-70oC. Анализ: для C17H18ClN3 вычислено, %: C 68,10; H 6,05; N 14,02, найдено, %: C 67,99; H 6,01; N 14,01. ПРИМЕР 45: Гидрохлорид N-(3-фтор-4-пиридинил)-N-(2- пропенил)-1H-индол-1-амина К охлаждаемому раствору N-(3-фтор-4-пиридинил)-1H-индол-1-амина (2,9 г) в 70 мл безводного ТГФ добавляют трет-бутоксид калия (1,7 г) и смесь перемешивают при 0oC в течение 10 минут. К этой смеси добавляют раствор аллилбромида (1,3 мл) в 10 мл ТГФ. После перемешивания при oC в течение двух часов смесь выливают в 100 мл воды, перемешивают в течение 5 минут и экстрагируют этилацетатом (3 раза). Органический слой промывают водой и сушат (насыщенный раствор NaCl : безводный сульфат магния). После фильтрации фильтрат концентрируют с получением масла, 3,0 г, которое при применении ВЭЖХ, на колонке с силикагелем элюируют с помощью 50% этилацетата в дихлорметане. Целевые фракции объединяют и концентрируют, получая 2,0 г масла, которое растворяют в этаноле. pH доводят до 1 с помощью эфирного раствора HCl и раствор разбавляют эфиром. Полученный осадок собирают и высушивают, получая 2,0 г, т.пл. 204-205oC. Анализ: для C16H14FN3 HClвычислено, %: C 63,26; H 4,98; N 13,83, найдено, %: C 63,25; H 4,98; N 13,70. Формула изобретения
![]() где m = 1 или 2; R обозначает водород, галоген, низший алкил, низший алкокси, арил(низший алкокси), гидроксил, нитро, амино, (низший алкил)амино; R1 обозначает водород или низший алкил; R2 обозначает водород или низший алкил; R3 означает водород, галоген или низший алкил; или его фармацевтически приемлемой аддитивной соли кислоты в качестве активного вещества лекарственного средства, ингибирующего повторное поглощение серотонина при лечении обессивнокомпульсивных расстройств. 2. Применение соединения по п.1, где m = 1. 3. Применение соединения по п.1 или 2, где R обозначает низший алкил, галоген или нитро. 4. Применение соединения по пп.1 – 3, где R находится в 5-положении. 5. Применение соединения по пп.1 – 4, где R1 обозначает низший алкил и находится в 3-положении. 6. Применение соединения по пп.1 – 5, где R2 обозначает низший алкил. 7. Применение соединения по пп.1 – 6, где R3 обозначает фтор или хлор. 8. Применение соединения по пп.1 – 7, где пиридинильная группа присоединена в 4-положении. 9. Применение соединения по п.8, где R2 находится в 3-положении. 10. Применение соединения по п. 1, которое представляет собой N-(3-фтор-4-пиридинил)-N-пропил-3-метил-1H-индол-1-амин. 11. Применение соединения по п.1, которое представляет собой малеат или гидрохлорид N-(4-пиридинил)-N-пропил-1H-индол-1-амина. РИСУНКИ
PD4A – Изменение наименования обладателя патента Российской Федерации на изобретение
Номер и год публикации бюллетеня: 34-2001
(73) Новое наименование патентообладателя:
Извещение опубликовано: 10.12.2001
PD4A – Изменение наименования обладателя патента СССР или патента Российской Федерации на изобретение
(73) Новое наименование патентообладателя:
Адрес для переписки:
Извещение опубликовано: 20.07.2009 БИ: 20/2009
PC4A Государственная регистрация договора об отчуждении исключительного права
Дата и номер государственной регистрации договора: 27.12.2010 № РД0074776
Лицо(а), передающее(ие) исключительное право:
(73) Патентообладатель(и):
Адрес для переписки:
Дата публикации: 10.02.2011
|
||||||||||||||||||||||||||







C4H4O4