|
|
(21), (22) Заявка: 2008117119/09, 31.10.2006
(24) Дата начала отсчета срока действия патента:
31.10.2006
(30) Конвенционный приоритет:
31.10.2005 KR 10-2005-0103554
(46) Опубликовано: 10.10.2009
(56) Список документов, цитированных в отчете о поиске:
US 2004/0082356 A1, 29.04.2004. RU 2238611 C1, 20.20.2004. US 2003/0235147 A1, 29.04.2004. WO 03/085875 A1, 16.10.2003.
(85) Дата перевода заявки PCT на национальную фазу:
29.04.2008
(86) Заявка PCT:
KR 2006/004491 20061031
(87) Публикация PCT:
WO 2007/052941 20070510
Адрес для переписки:
129090, Москва, ул.Б.Спасская, 25, стр.3, ООО “Юридическая фирма Городисский и Партнеры”, пат.пов. А.В.Миц, рег. 364
|
(72) Автор(ы):
ХАН Дзин-Киу (KR), КХАН Фарук (US), КВОН Хван-Дзоон (KR), ЛИ Дзу-Хо (KR), ВАН РЕНСБУРГ Корнелиус (US), КИМ Донг-Хи (KR)
(73) Патентообладатель(и):
САМСУНГ ЭЛЕКТРОНИКС КО., ЛТД. (KR)
|
(54) УСТРОЙСТВО И СПОСОБ ДЛЯ ПЕРЕДАЧИ/ПРИЕМА ДАННЫХ В СИСТЕМЕ СВЯЗИ С МНОЖЕСТВОМ АНТЕНН
(57) Реферат:
Изобретение относится к устройству и способу для передачи/приема данных в системе связи с множеством антенн (MIMO). Достигаемый технический результат – повышение пропускной способности системы в технологии OFDMA, использующей способ адаптивной модуляции и кодирования (АМС) и способ управления планированием ресурсов канала. Способ заключается в следующем. Исходя из информации состояния канала планировщик определяет терминал, на который базовая станция должна передавать данные, определяет антенны из множества антенн, через которые базовая станция должна передавать данные, и определяет способ пространственного предварительного кодирования. Мультиплексор мультиплексирует передаваемые данные во множество потоков данных в соответствии с количеством определенных антенн. Блок модуляции и кодирования осуществляет модуляцию и кодирование на каждом потоке данных. Контроллер предварительного кодирования выводит сигнал выбора матрицы для выбора одной из множества матриц пространственного предварительного кодирования в соответствии со способом пространственного предварительного кодирования. Кодер пространственного предварительного кодирования пространственно кодирует каждый из кодируемых потоков матрицей, выбранной исходя из сигнала выбора матрицы. OFDM-модулятор осуществляет OFDM-модуляцию на каждом из пространственно-кодированных потоков. 6 н. и 18 з.п. ф-лы, 15 ил.
УРОВЕНЬ ТЕХНИКИ
Область техники
Настоящее изобретение относится к устройству и способу для передачи/приема данных в системе связи, использующим множество антенн (далее “системы беспроводной связи с множеством антенн”) и, в частности, к устройству и способу для передачи с пространственным мультиплексированием в системе связи с множеством антенн.
Описание уровня техники
Система беспроводной связи была разработана для обеспечения возможности пользователям осуществлять связь без ограничений по расстоянию. Система мобильной связи – типичная система беспроводной связи. Система мобильной связи эволюционировала от ранней системы голосовой связи в высокоскоростную, высококачественную беспроводную систему передачи пакетных данных для предоставления информационных и мультимедийных услуг. Можно полагать, что продолжающаяся стандартизация Высокоскоростной Пакетной Передачи в Нисходящем канале (HSDPA), предложенная Проектом Партнерства 3-го Поколения (3GPP), и Эволюция для Данных и Голоса (EV-DV) и Эволюция Только Данные (EV-DO), предложенные Проектом 2 Партнерства 3-го Поколения (3GPP2), являются типичной попыткой найти решение для услуги высокоскоростной, высококачественной беспроводной передачи пакетных данных в 2Мбит/с или выше в 3-ем поколении (3G) системы мобильной связи.
Тем временем проводятся исследования относительно 4-го поколения (4G) системы мобильной связи с целью предоставления более высокоскоростной, более высококачественной мультимедийной услуги с использованием Мультиплексирования с Ортогональным Частотным Разделением (OFDM) и Множественного Доступа с Ортогональным Частотным Разделением (OFDMA).
Современные 3G беспроводные системы передачи пакетных данных, подобные HSDPA, EV-DV и EV-DO, используют способ Адаптивной Модуляции и Кодирования (AMC) и способ управления планированием ресурсов канала для улучшения эффективности передачи. При использовании способа AMC передатчик может настраивать объем передаваемых данных в соответствии с состоянием канала. Таким образом, передатчик снижает объем передаваемых данных в канале, имеющем плохое состояние, и увеличивает объем передаваемых данных в канале, имеющем хорошее состояние, тем самым эффективно передавая большой объем данных при поддержании желаемой вероятности ошибок приема.
При способе управления планированием ресурсов канала передатчик выбирает пользователя канала с хорошим состоянием, тем самым увеличивая пропускную способность данных. В способе AMC и способе управления планированием ресурсов канала передатчик принимает частичную информацию о состоянии канала, поданную обратно от приемника, и применяет соответствующий метод модуляции и кодирования, который наиболее эффективен в данный момент времени.
Для существенного улучшения пропускной способности системы в способе AMC и способе управления планированием ресурсом информация о состоянии канала, поданная обратно приемником, должна соответствовать состоянию канала в момент передачи. Однако обычно в среде мобильной связи, поскольку передатчик или приемник перемещаются, состояние канала изменяется непрерывно. Непрерывное изменение состояния канала связано со скоростью перемещения передатчика или приемника, и это называют доплеровским расширением. Высокая скорость перемещения увеличивает доплеровское расширение. В этом случае информация состояния канала, поданная обратно приемником, может быть недостоверной.
Таким образом, в этой ситуации даже использование способа AMC и способа управления планированием ресурсом канала не может дать улучшения системной пропускной способности. Для компенсации недостатков беспроводная 3G система передачи пакетных данных использует Гибридный Автоматический Запрос на повторную передачу данных (HARQ). В технологии HARQ, когда приемник не в состоянии нормально принять данные, переданные передатчиком, приемник немедленно сообщает передатчику о неудаче так, чтобы передатчик быстро выполнил повторную передачу на физическом уровне.
В то же время схема OFDM, недавно введенная в систему беспроводной связи, посылает сигналы модуляции на сигналах ортогональных частот, то есть на поднесущих. Поэтому схема OFDMA представляет собой способ для посылки различным пользователям сигналов на различных поднесущих исходя из схемы OFDM. В схеме OFDMA планирование работы канала, которое могло быть выполнено только по времени, может быть выполнено даже по частоте. Таким образом, для передачи данных система OFDMA планирует поднесущую, предпочтенную каждым пользователем в среде с частотно зависимым замиранием посредством частотного планирования, тем самым улучшая пропускную способность системы по сравнению со случаем, когда планирование выполняется только по времени. Поэтому для эффективного выполнения частотного планирования предпочтительно использовать набор смежных поднесущих, имеющих подобный отклик канала для передачи данных с учетом служебной нагрузки обратной связи состояния канала.
Кроме того, система с множеством входов и множеством выходов и (MIMO), использующая множество антенн для передатчика и приемника, обсуждается в настоящее время как основная технология для предоставления высокоскоростной, высококачественной передачи данных в беспроводной связи. Теоретически, для системы MIMO известно, что когда число передающих/приемных антенн увеличивается без дополнительного увеличения ширины полосы частот, обслуживаемая пропускная способность данных линейно увеличивается пропорционально числу передающих/приемных антенн. Поэтому технология на основе MIMO может быть разделена на метод пространственного разнесения и метод мультиплексирования пространственной области (SDM) в соответствии с ее целью. Ниже рассмотрен метод пространственного разнесения и метод SDM.
Метод пространственного разнесения разработан, чтобы предотвратить снижение эффективности линии связи вследствие замираний в канале мобильной связи посредством использования множества передающих/приемных антенн. Метод пространственного разнесения может эффективно снизить вероятность ошибки при приеме приема, когда передатчик имеет информацию о состоянии канала и не может адаптивно корректировать количество передаваемой информации. Метод SDM разработан для передачи большого количества данных, используя схему MIMO, по сравнению с вариантом единственной передающей/приемной антенны. Метод SDM может эффективно увеличить пропускную способность в среде, где пространственная корреляция очень низка из-за рассеивающих объектов, число которых достаточно велико в среде канала.
Метод SDM, расширенный на основе множественного доступа представляет собой метод множественного доступа в пространственной области (SDMA). Метод SDM увеличивает число каналов передачи, по которым передаются данные, используя множество передающих/приемных антенн. В среде, где пространственная корреляция низка, возможно увеличение пропускной способности с использованием метода SDM. Однако в среде, где пространственная корреляция высока, даже при том, что пропускная способность увеличивается, невозможно предотвратить увеличение вероятности ошибки приема. Однако в среде, где пространственная корреляция высока, если каналы передачи, по которым передаются данные (число которых увеличивается при использовании схемы MIMO), распределены по различным пользователям, то это способствует увеличению пропускной способности системы. Это происходит потому, что когда пространственная корреляция высока, взаимные помехи пользовательских сигналов, имеющих различные пространственные характеристики, могут снижаться. Таким образом, метод SDMA представляет собой метод пространственной обработки, способный увеличить пропускную способность системы в среде с высокой пространственной корреляцией.
Каждый из таких методов пространственной обработки, например метод пространственного разнесения, метод SDM и метод SDMA, отличаются по своим возможностям в соответствии с типом трафика и средой канала, предоставляя повышение пропускной способности. Например, для голосового вызова, поскольку всегда генерируются сходные объемы данных, трудно применить способ AMC и чувствительный к каналу способ управления планированием ресурсов, которые изменяют пропускную способность данных. Кроме того, если состояние канала становится плохим из-за замираний, то ошибка приема становится неизбежной. В этой ситуации использование метода пространственного разнесения может препятствовать ухудшению состояния канала. В канальной среде, где пространственная корреляция низка, использование метода SDM может увеличить пропускную способность данных вместе со способом AMC и чувствительным к каналу способом управления планированием ресурсов. В среде канала, где пространственная корреляция высока, метод SDMA может улучшить пропускную способность системы. Таким образом, имеется потребность в выборе соответствующего метода пространственной обработки в соответствии со средой канала и типом трафика.
Ниже рассматривается передатчик для каждой из описанных выше систем.
На фиг.1 показана блок-схема передатчика в системе беспроводной связи, использующей пространственно-временное кодирование (STC). Ниже, в связи с фиг.1, рассматриваются устройство и способ передачи данных, использующие кодирование STC.
Если получены данные (например, информационный битовый поток) 10, которые верхний уровень желает передать, данные 10 вводятся в блок AMC 100. Блок AMC 100 включает в себя блок 110 кодирования/модуляции канала и AMC контроллер 101. Блок 110 кодирования/модуляции канала включает в себя кодер 111 канала, средство перемежения 112 канала и модулятор 113. Поэтому данные 10 вводятся в кодер 111 канала. Данные, кодированные кодером 111 канала, рассредотачиваются (или переставляются) средством 112 перемежения канала. Причина рассредоточения данных средством 112 перемежения канала заключается в необходимости предотвратить ухудшение параметров кодирования из-за замираний во время передачи данных. Данные, рассредоточенные средством 112 перемежения канала, преобразуются в сигнал модуляции модулятором 113. Последовательность процессов, где данные подвергаются кодированию 111, перемежению 112 и модуляции 113, называют процессом “канального кодирования и модуляции”. Поэтому этот процесс выполняется в блоке кодирования/модуляции канала 110.
Блок 110 кодирования/модуляции канала может использовать отличающуюся схему в зависимости от обратной связи 105 информации о состоянии канала (CSI), которую доставил приемник в соответствии с системой. Например, если состояние канала хорошее, блок 110 кодирования/модуляции канала увеличивает скорость канального кодирования и порядок модуляции так, что передается увеличенный объем данных. Однако, если состояние канала плохое, блок 110 кодирования/модуляции канала снижает скорость кодирования и порядок модуляции так, чтобы более надежно был передан сниженный объем данных. При этом передатчик использует AMC исходя из обратной связи 105 CSI, и AMC контроллер 101 определяет, какую схему кодирования и модуляции он будет использовать. В конкретной конструкции AMC контроллер может отсутствовать. Таким образом, это означает в связи с фиг.1, что сигналы, показанные пунктирными линиями, являются факультативными. Например, в случае, когда несколько пользователей принимают ту же самую информацию, например широковещательную, то поскольку невозможно адаптивно изменить схемы кодирования и модуляции в соответствии с состоянием канала отдельного пользователя, передатчику не требуется поддерживать AMC. Процесс, в котором AMC контроллер 101 адаптивно изменяет схемы кодирования и модуляции канала исходя из обратной связи 105 CSI, называют процессом AMC. Поэтому устройство для выполнения процесса AMC показано на фиг.1 как AMC блок 100.
Сигнал, модулированный AMC блоком 100, является STC-кодированным STC кодером 121. STC кодер 121 обычно использует способ кодирования Alamouti, который применяется с двумя передающими антеннами. Способ кодирования Alamouti, который соответствует ортогональному пространственно-временному кодированию (OSTC), может обеспечить максимальный выигрыш от разнесения. В способе кодирования Alamouti не должно быть изменения в канале между смежными Alamouti-кодированными временными сигналами для поддержания ортогональности. Если канал между смежными временными сигналами подвергается резкому изменению, способ кодирования Alamouti не может гарантировать ортогональность, вызывая собственные помехи и, вследствие этого, ухудшение рабочих параметров.
Однако известно, что способ кодирования OSTC, гарантирующий ортогональность, обеспечивает максимальный выигрыш от разнесения. Общий способ кодирования STC выполняется не зависимо от CSI, которую приемник подает обратно. Поэтому способ кодирования STC разработан для максимизации выигрыша от разнесения вместо адаптивной каналу модификации. Сигнал, полученный STC-кодированием сигнала модуляции, преобразуется в сигнал полосы передачи посредством радиочастотного (RF) блока 122, создавая множество символов, передаваемых через множество передающих антенн 131-132. Например, способ кодирования STC, используемый с системой двух передающих антенн, принимает один поток данных и выводит два символьных потока. Созданные символьные потоки передаются через различные передающие антенны 131 и 132.
Символьный поток, к которому применяется способ кодирования STC, преобразуется RF блоком 122 в RF сигнал, передаваемый через передающую антенну. RF блок 122 выполняет фильтрацию для удовлетворения спектральной характеристики, регулирует передаваемую мощность и преобразует видеосигнал в RF сигнал. После этого процесса выходные сигналы передаются через соответствующие антенны 131 и 132.
На фиг.2 показана блок-схема передатчика, использующего кодирование OFDM-STC. Ниже, в связи с фиг.2, рассмотрена конструкция и работа передатчика, использующего кодирование OFDM-STC.
AMC блок 100 идентичен в работе таковому на фиг.1 и поэтому здесь не рассматривается. Сигнал, модулированный AMC блоком 100, является входным сигналом для OFDM модулятора 210. OFDM модулятор 210 включает в себя блок 211 быстрого обратного преобразования Фурье (IFFT) и сумматор 212 символа циклического префикса (CP). Поэтому сигнал, модулированный AMC блоком 100, является входным сигналом для IFFT блока 211. IFFT блок 211 выполняет IFFT с сигналом модуляции так, что модулированные сигналы переносятся на сигналы ортогональных частот, то есть на поднесущие. Затем символ CP добавляется к IFFT-обработанному сигналу посредством сумматора 212 символа CP. CP получается копированием части последней части генерированной поднесущей и добавлением скопированной части к заголовку символа для поддержания ортогональности между поднесущими даже при том, что из-за многолучевых замираний имеется расширение задержки, тем самым предотвращая помехи. Если OFDM символы создаются OFDM модулятором 210, STC кодер 121 выполняет STC кодирование на последовательных OFDM символах. Затем RF блок 122 преобразует STC-кодированные OFDM символы в полосу передачи RF сигналов и затем передает RF сигналы через множество передающих антенн 131 и 132. В передатчике, использующем OFDM-STC кодирование, если изменение в канале между последовательными OFDM символами велико, возможно влияние на ортогональность, что приводит к помехам.
На фиг.3 показана блок-схема структуры передатчика, использующего OFDM-SFC кодирование. Ниже рассматриваются структура и работа передатчика, использующего OFDM-SFC кодирование (пространственно-частотное кодирование).
В схеме OFDM сигналы модуляции могут переноситься на различных частотах в разное время. Поэтому способ SFC кодирования может быть осуществлен применением способа STC кодирования к сигналам, последовательным по частоте, то есть поднесущим, вместо того, чтобы применять способ STC кодирования к сигналам, последовательным по времени. AMC блок 100 выводит модулированный сигнал, используя входной информационный битовый поток 10 и информацию 105 SCI обратной связи. Выходной сигнал модуляции является входным сигналом для SFC кодера 300. SFC кодер 300 осуществляет тот же самый процесс, что и процесс STC кодирования, но в конце применяет STC кодирование к сигналам последовательных частот, таким образом этот способ кодирования называют способом SFC кодирования. Сигнальный поток, модулированный SFC кодером 300, получается применением STC кодирования к сигналам, последовательным по времени. Один поток кодируется в множество потоков SFC кодером 300, и потоки раздельно модулируются ODFM модуляторами 210a-210n. STC-кодированные сигналы преобразуются в OFDM сигналы OFDM модуляторами 210a-210n. В данном случае можно считать, что STC кодирование, используемое для последовательных по времени сигналов, посредством OFDM модуляторов 210a-210n применяется к сигналам, последовательным по частоте. Затем OFDM сигналы преобразуются в передаваемые RF сигналы блоком 122 и далее передаются через связанные передающие антенны 131 и 132. В передатчике, использующем OFDM-SFC кодирование, если изменение в канале между последовательными поднесущими велико, возможно влияние на ортогональность, что приводит к помехам.
На фиг.2 и 3 соответственно показана схема передачи, использующая STC кодирование, и схема передачи, использующая SFC кодирование, которое означает STC кодирование по частоте. Эти обычные методы были разработаны для получения максимального выигрыша от пространственного разнесения, как рассмотрено выше. Поэтому такие методы дают хорошие рабочие показатели линии связи в среде с малой пространственной корреляцией, но не могут обеспечить выигрыш с множеством антенн, если пространственная корреляция увеличивается. Причина проявления высоких рабочих показателей линии связи в среде с малой пространственной корреляцией заключается в том, что использование метода разнесения подобно другим методам разнесения может снизить изменение в канале с течением времени. Вместе с тем, методы разнесения способствуют снижению вероятности ухудшения канала благодаря снижению изменения в канале, но сокращает большое число каналов, пригодных для передачи данных. Поэтому известно, что в системе, поддерживающей AMC и канальное планирование, метод разнесения нежелательно снижает пропускную способность системы.
На фиг.4 показана блок-схема структуры передатчика, использующего пространственное мультиплексирование на основе OFDM. Ниже, в связи с фиг.4, рассматриваются структура и работа передатчика, использующего пространственное мультиплексирование на основе OFDM.
До описания фиг.4 вкратце рассматриваются предшествующие методы и метод пространственного мультиплексирования. С использованием множества передающих антенн в методе STC кодирования и методе SFC кодирования передается один поток данных, тогда как в методе пространственного мультиплексирования передается множество потоков данных. В канальной среде, где используется схема MIMO с малой пространственной корреляцией из-за большого количества рассеивающих объектов, может быть передано заданное число потоков данных, причем заданное число потоков соответствует меньшему числу из числа передающих антенн и числа приемных антенн. Например, в вышеупомянутой канальной среде, если число передающих антенн равно 2 и число приемных антенн равно 4, то передатчик может передать 2 потока данных. Поэтому для устойчивой работы системы на фиг.4, приемнику также требуется больше, чем М антенн. Следует отметить, что поскольку метод STC кодирования и схема SFC кодирования передают только один поток данных, им не требуется множество приемных антенн.
Для системы MIMO известно, что для увеличения пропускной способности предпочтительно увеличить число передаваемых потоков данных вместо того, чтобы улучшать отношение сигнал-шум (SNR) при установленном одном передаваемом потоке данных. Поэтому метод пространственного мультиплексирования использует такие характеристики системы MIMO.
На фиг.4 показано, что передаваемые потоки данных являются отдельными входными сигналами для AMC блоков 100a-100n, где они независимо подвергаются AMC обработке. Затем получающиеся потоки модулируются согласно OFDM модуляторами 2I0a-210n. OFDM-модулированные символы преобразуются в передаваемые RF сигналы RF блоком 122 и затем передаются на приемник через множество передающих антенн 131 и 132. Таким образом различные потоки данных передаются через различные передающие антенны. AMC блоки 100a-100n, показанные на фиг.4, могут быть использованы когда система выполняет обратную связь по CSI. Если CSI не подается по обратной связи, то выполняются операции фиксированного кодирования и модуляции. В этом случае AMC блоки 100a-100n выполняют операции фиксированного кодирования и модуляции.
В методе пространственного мультиплексирования имеется два способа выполнения AMC с использованием обратной связи по CSI. Первый способ использует один и тот же AMC способ для всех передающих антенн. Для поддержания этого способа приемник может передавать по обратной связи только одну характерную CSI. Второй способ использует различные способы AMC для всех передающих антенн. Для поддержания этого способа приемник должен подать обратно CSI, соответствующую каждой из передающих антенн. Таким образом, первый способ имеет меньшие потери в обратной связи по CSI, чем второй способ. Вместе с тем, поскольку в первом способе используется только один AMC для различных передающих антенн, использующих различные состояния канала, эффект улучшения пропускной способности системы, поддерживающей AMC и планирование канала, снижается. На фиг.4 показан второй способ, который позволяет приемнику передавать по обратной связи CSI для каждой из передающих антенн, и показан передатчик, использующий соответствующий способ AMC. Такой способ пространственного мультиплексирования известен как управление скоростью по каждой антенне (PARC).
На фиг.5 показана блок-схема структуры передатчика, использующего PARC в системе, поддерживающей AMC и канальное планирование. Ниже, в связи с фиг.5, рассматривается структура и работа передатчика, использующего PARC в системе, поддерживающей AMC и канальное планирование.
Планировщик 501 принимает передаваемые данные 10a-10n К множества пользователей от верхнего уровня. В данном случае планировщик 501 представляет собой канальный планировщик (в дальнейшем просто “планировщик”). Планировщик 501 выбирает наиболее предпочтительный пользовательский терминал, на который он передает данные в настоящее время исходя из CSI, поданной по обратной связи от каждого пользовательского терминала. Для доставки необходимой управляющей информации в последующем процессе передачи данных выбранного пользователя планировщик 501 обеспечивает планировочную информацию 510 на AMC контроллер 505. Затем AMC контроллер 505 анализирует запланированного пользователя и выдает команду AMC в соответствии с состоянием канала пользователя. Таким образом планировщик 501 создает информацию, указывающую через какую антенну и с какими способами кодирования и модуляции он будет передавать данные передачи, и предоставляет созданную информацию на AMC контроллер 505. Поэтому AMC контроллер 505 может определить число потоков передаваемых данных и размер предаваемых данных для каждой отдельной антенны исходя из информации относительно передающих антенн.
Мультиплексор 503 мультиплексирует битовый поток пользовательской информации, намечаемый планировщиком 501 в соответствии с числом передающих антенн и скоростью передачи данных для каждой отдельной антенны исходя из информации, предоставленной AMC контроллером 505. Например, мультиплексор 503 мультиплексирует запланированный пользователем информационный битовый поток так, что большая часть потока данных должна передаваться через передающую антенну с хорошим состоянием канала. В следующем процессе PARC используется для мультиплексированного потока данных. Таким образом мультиплексированные потоки данных индивидуально вводятся в блоки 110a-110m канального кодирования/модуляции, где они кодируются и модулируются. Кодированные/модулированные потоки данных индивидуально вводятся в OFDM модуляторы 210a-210m, где они OFDM-модулируются. Затем OFDM-модулированные потоки данных преобразуются в RF сигналы и передаются через соответствующие антенны 131-132.
Система, показанная на фиг.5, выбирает только одного пользователя на время передачи и передает потоки данных по всей полосе частот. Таким образом, система не является системой OFDMA. Однако возможно просто расширить систему до системы OFDMA, поддерживающей AMC и канальное планирование, посредством деления полной системной полосы частот на подканалы, каждый из которых состоит из смежных поднесущих, и посредством независимого применения PARC к каждому из подканалов. Однако, поскольку только один пользовательский сигнал передается через множество антенн, SDMA не осуществляется.
Два различных метода пространственной обработки были рассмотрены как обычная технология MIMO.
Первый метод, метод пространственного разнесения, устанавливает число передаваемых потоков данных как один поток для снижения изменения в канале с течением времени. Второй метод, метод пространственного мультиплексирования, передает множество потоков данных.
Методы STC кодирования и SFC кодирования, проиллюстрированные на фиг.2 и 3, могут быть классифицированы как метод пространственного разнесения. Как рассмотрено выше, метод разнесения способствует снижению вероятности ухудшения канала посредством снижения изменения в канале, но снижает большое число каналов, пригодных для передачи данных. Поэтому известно, что метод пространственного разнесения снижает пропускную способность системы нежелательным образом. Однако пространственное разнесение способствует расширению покрытия для трафика, передатчик которого не может изменить способ передачи в соответствии с состоянием канала подобно широковещательной передаче.
Хотя метод STC кодирования и метод SFC кодирования были разработаны для поддержания ортогональности для получения максимального выигрыша от пространственного разнесения, если соседние каналы изменяются, эти методы вызывают нежелательные взаимные помехи. Например, метод STC кодирования способствует дополнению AMC и канальному планированию в среде с быстрым перемещением, но нежелательным образом снижает пропускную способность системы потому, что нарушена ортогональность. В случае метода SFC кодирования, поскольку смежные поднесущие соответствуют различным откликам канала в среде, где значительно расширение временной задержки, пропускная способность системы снижается даже в этом случае из-за воздействия на ортогональность.
Метод PARC, проиллюстрированный на фиг.4 и 5, может быть классифицирован как метод пространственного мультиплексирования. Метод PARC имеет недостатки, заключающиеся в том, что характеристики приема ухудшаются в случае среды с сильной пространственной корреляцией. Поскольку метод PARC выполняет AMC посредством передачи по обратной связи только состояния канала для каждого отдельного канала передачи, он нежелательно передает данные, объем которых превышает пропускную способность, поддерживаемую каналом в среде с сильной пространственной корреляцией. Сильная пространственная корреляция означает, что имеется высокая вероятность того, что когда одна передающая антенна соответствует хорошему состоянию канала, другие передающие антенны также соответствуют хорошему состоянию канала. Однако, поскольку каналы, воспринимаемые различными антеннами, подобны друг другу, приемник не может отделить сигналы, переданные от различных антенн. Поэтому имеются взаимные помехи между одновременно передаваемыми потоками, ухудшающие рабочие показатели приемной линии. Метод PARC не может исключить ухудшение рабочих показателей приемной линии из-за пространственной корреляции, поскольку она была разработана в предположении отсутствия пространственной корреляции каналов.
Другая проблема заключается в том, что метод PARC не поддерживает SDMA. Система, поддерживающая AMC и канальное планирование, улучшает пропускную способность системы посредством получения выигрыша от многопользовательского разнесения. Многопользовательское разнесение выбирает надлежащего пользователя через планирование в среде мобильной связи с варьирующимся каналом и передает данные выбранному пользователю. Системная пропускная способность снижается нежелательным образом по сравнению со средой, где каналы не варьируются. Соответственно, имеется потребность в улучшенном устройстве и способе для передачи/приема данных в системе связи с множеством антенн.
Сущность изобретения
Таким образом, задача вариантов реализации существующего изобретения заключается в том, чтобы предоставить устройство и способ для повышения пропускной способности системы в технологии OFDMA, использующей способ AMC и способ управления планированием ресурсов канала.
Другая задача вариантов реализации настоящего изобретения заключается в том, чтобы предоставить устройство и способ для увеличения эффективности передачи/приема данных посредством применения различных методов MIMO, например формирования диаграммы направленности, пространственного разнесения и SDMA в системе OFDMA.
Еще одна задача вариантов реализации настоящего изобретения заключается в том, чтобы предоставить устройство и способ для снижения величины CSI обратной связи в системе OFDMA.
В соответствии с одним объектом настоящего изобретения предоставляется способ передачи данных в базовой станции системы беспроводной связи, которая передает данные в зависимости от информации состояния канала, подаваемой по обратной связи от терминалов, и использует множество антенн в схеме с множеством входов и множеством выходов (MIMO). Способ включает в себя определение терминала, на который базовая станция будет передавать данные, основываясь на информации состояния канала, определение антенн, через которые базовая станция будет передавать данные, из множества антенн, и определение способа пространственного предварительного кодирования; мультиплексирование данных передачи во множество потоков данных в соответствии с числом определенных антенн и выполнение кодирования и модуляции на каждом из потоков данных; выведение сигнала выбора матрицы для выбора одной из множества матриц пространственного предварительного кодирования в соответствии со способом пространственного предварительного кодирования и пространственное кодирование каждого из кодируемых потоков матрицей, выбранной на основе сигнала выбора матрицы; и выполнение модуляции мультиплексирования с ортогональным частотным разделением (OFDM) на каждом из пространственно-кодированных потоков и передача каждого из OFDM-модулированных потоков через соответствующую антенну.
В соответствии с другим объектом настоящего изобретения предоставляется устройство для передачи данных в базовой станции системы беспроводной связи, которая передает данные в зависимости от информации состояния канала, переданной по обратной связи от терминалов, и использует множество антенн в схеме MIMO. Устройство включает в себя планировщик для определения терминала, на который базовая станция будет передавать данные, основываясь на информацию состояния канала, определения антенн, через которые базовая станция будет передавать данные, из множества антенн, и определения способа пространственного предварительного кодирования; мультиплексор для мультиплексирования данных передачи во множество потоков данных в соответствии с числом определенных антенн; блок модуляции и кодирования для выполнения модуляции и кодирования на каждом из потоков данных; контроллер предварительного кодирования для выведения сигнала выбора матрицы для выбора одной из множества матриц пространственного предварительного кодирования в соответствии со способом пространственного предварительного кодирования; кодер пространственного предварительного кодирования для пространственного кодирования каждого из кодируемых потоков матрицей, выбранной на основе сигнала выбора матрицы; модулятор OFDM для выполнения модуляции OFDM на каждом из пространственно-кодируемых потоков; и радиочастотный (RF) блок для передачи каждого из OFDM-модулированных потоков через соответствующую антенну.
В соответствии с еще одним объектом настоящего изобретения предоставляется устройство передачи данных в базовой станции системы беспроводной связи, которая передает данные в зависимости от информации состояния канала, переданной по обратной связи от терминалов, и использует множество антенн в схеме MIMO. Устройство включает в себя планировщик для определения терминала, на который базовая станция будет передавать данные, основываясь на информации о состоянии канала, и определения антенн, через которые базовая станция будет передавать данные, из множества антенн; мультиплексор для мультиплексирования данных передачи во множество потоков данных в соответствии с числом определенных антенн; блок модуляции и кодирования для выполнения модуляции и кодирования на каждом из потоков данных; контроллер предварительного кодирования для выведения команды пространственного предварительного кодирования, применяемой к потокам данных, передаваемых на выбранный терминал; кодер пространственного предварительного кодирования для пространственного кодирования каждого из кодируемых потоков, выбранных на основе команды пространственного предварительного кодирования; модулятор OFDM для выполнения модуляции OFDM на каждом из пространственно-кодируемых потоков; и RF блок для передачи каждого из OFDM-модулированных потоков через соответствующую антенну.
В соответствии с еще одним объектом настоящего изобретения предоставляется способ передачи данных в базовой станции системы беспроводной связи, которая передает данные в зависимости от информации состояния канала, переданной по обратной связи от терминалов, и использует множество антенн в схеме MIMO. Способ включает в себя определение терминала, на который базовая станция будет передавать данные, основываясь на информации о состоянии канала, и определение антенн, через которые базовая станция будет передавать данные, из множества антенн; мультиплексирование предаваемых данных во множество потоков данных в соответствии с числом определенных антенн; выполнение модуляции и кодирования на каждом из потоков данных; определение способа пространственного предварительного кодирования, который будет применен к потокам данных, передаваемых на выбранный терминал, и пространственное кодирование каждого из потоков данных, используя определенный способ пространственного предварительного кодирования; выполнение модуляции OFDM на каждом из пространственно-кодируемых потоков; и передачу каждого из OFDM-модулированных потоков через соответствующую антенну.
В соответствии с еще одним объектом настоящего изобретения предоставляется устройство для приема данных терминалом в системе беспроводной связи, которая передает данные в зависимости от информации состояния канала, передаваемой по обратной связи от терминалов, и использует множество антенн в схеме MIMO. Устройство содержит средство извлечения пилот-сигнала передающей антенны для извлечения пилот-сигнала, переданного через каждую передающую антенну, из сигнала, принятого от каждой антенны; средство оценки канала MIMO для оценки канала MIMO, используя информацию, принятую от средства извлечения пилот-сигнала передающей антенны; средство оценки канала MIMO с предварительным кодированием для оценки предварительного кодированного канала MIMO, используя оцененный канал MIMO и информацию предварительного кодирования; средство извлечения данных для извлечения данных из принятого сигнала; блок объединения и демультиплексирования для объединения и демультиплексирования данных, извлеченных посредством средства извлечения данных, используя выходной сигнал средства оценки предварительного кодирования канала MIMO; и блок демодуляции и декодирования для демодуляции и декодирования демультиплексированного сигнала.
В соответствии с еще одним объектом настоящего изобретения предоставляется способ для приема данных терминалом в системе беспроводной связи, которая передает данные в зависимости от информации состояния канала, переданной по обратной связи от терминалов, и использует множество антенн в схеме MIMO. Способ включает в себя извлечение пилот-сигнала, переданного через каждую передающую антенну, из сигнала, принятого от каждой антенны; оценку канала MIMO, используя извлеченный пилот-сигнал; оценку предварительно кодированного канала MIMO, используя оцененный канал MIMO и информацию предварительного кодирования; извлечение данных из принятого сигнала; объединение и демультиплексирование извлеченных данных, используя оцененный предварительно кодированный канал MIMO; и демодуляцию и декодирование демультиплексированного сигнала.
Краткое описание чертежей
Вышеупомянутые и другие задачи, признаки и преимущества настоящего изобретения станут более очевидными из следующего подробного описания со ссылками на чертежи, на которых:
фиг.1 – блок-схема структуры передатчика в системе беспроводной связи, использующей пространственно-временное кодирование (STC);
фиг.2 – блок-схема структуры передатчика, использующего кодирование OFDM-STC;
фиг.3 – блок-схема структуры передатчика, использующего кодирование OFDM-SFC;
фиг.4 – блок-схема структуры передатчика, использующего пространственное мультиплексирование на основе OFDM;
фиг.5 – блок-схема структуры передатчика, использующего PARC в системе, поддерживающей AMC и канальное планирование;
фиг.6 – блок-схема структуры многопользовательского MIMO передатчика, использующего пространственное предварительное кодирование в соответствии с примерным вариантом реализации настоящего изобретения;
фиг.7 – блок-схема пространственного кодера предварительного кодирования на Фиг.6, осуществленного с формирователем диаграммы направленности в соответствии с примерным вариантом реализации настоящего изобретения;
фиг.8 – блок-схема пространственного кодера предварительного кодирования на Фиг.6, осуществленного с Фурье-преобразователем в соответствии с другим примерным вариантом реализации настоящего изобретения;
фиг.9 – блок-схема структуры многопользовательского передатчика, использующего альтернативное пространственное предварительное кодирование в соответствии с другим примерным вариантом реализации настоящего изобретения;
фиг.10 – блок-схема структуры альтернативного пространственного кодера предварительного кодирования на фиг.9, осуществленного с формирователем диаграммы направленности в соответствии с примерным вариантом реализации настоящего изобретения;
фиг.11 – блок-схема примерной структуры альтернативного пространственного кодера предварительного кодирования на фиг.9, осуществленного с блоком FFT в соответствии с другим примерным вариантом реализации настоящего изобретения;
фиг.12 – блок-схема примерной структуры приемника, соответствующего передатчику на фиг.6 с пространственным предварительным кодированием в соответствии с примерным вариантом реализации настоящего изобретения;
фиг.13 – блок-схема примерной структуры приемника, соответствующего передатчику на фиг.9 с альтернативным пространственным предварительным кодированием в соответствии с примерным вариантом реализации настоящего изобретения;
фиг.14 – блок-схема последовательности операций процесса передачи потоков данных в передатчике в соответствии с примерным вариантом реализации настоящего изобретения; и
Фиг.15 – блок-схема последовательности операций процесса приема потоков данных в приемнике в соответствии с примерным вариантом реализации настоящего изобретения.
Подобные ссылочные позиции на чертежах относятся к подобным же элементам, признакам и структурам.
Подробное описание примерных вариантов реализации
Примерные варианты реализации настоящего изобретения рассмотрены ниже подробно в связи с соответствующими чертежами. В нижеследующем рассмотрении подробное описание используемых известных функций и конфигураций опущено для ясности и краткости.
Как указано выше, многопользовательское разнесение обеспечивает больший выигрыш по мере возрастания уровня, где выполняется планирование. В 3G системе мобильной связи, например HSDPA, EV-DV и EV-DO, планирование выполняется только по времени. Однако в системе OFDMA планирование может быть выполнено по времени и по частоте, увеличивая пропускную способность системы. Поэтому задача рассматриваемого здесь SDMA состоит в том, чтобы выполнить планирование не только по времени и по частоте, но также и в пространстве, тем самым улучшая степень многопользовательского разнесения и увеличивая системную пропускную способность.
Далее, рассмотрение примерных вариантов реализации настоящего изобретения проводится в связи с сопровождающими чертежами.
На фиг.6 показана блок-схема структуры многопользовательского передатчика MIMO, использующего пространственное предварительное кодирование в соответствии с примерным вариантом реализации настоящего изобретения.
Для удобства на фиг.6 показан МIМО передатчик в системе OFDM-TDMA, которая использует OFDM вместо расширенного OFDMA как схему мультиплексирования и использует TDMA как схему множественного доступа. Система на фиг.6 может также быть легко расширена до системы OFDMA, использующей AMC и канальное планирование посредством деления полной системной полосы частот на подканалы, каждый из которых состоит из смежных поднесущих, и независимым применением PARC к каждому из подканалов.
Ниже рассматриваются различия между фиг.5 и фиг.6.
Во-первых, новый передатчик передает множественные потоки, используя кодер 605 пространственного предварительного кодирования.
Во вторых, планировщик может выбирать несколько пользовательских сигналов и передавать выбранные пользовательские сигналы вместо выбора одного пользовательского сигнала и передачи выбранного сигнала.
Первое различие не только предотвращает ухудшение при приеме пропускной способности PARC линии связи в среде с сильной пространственной корреляцией, но также и способствует осуществлению SDMA. Второе различие реализует SDMA, тем самым улучшая степень многопользовательского разнесения.
Характеристика пространственного предварительного кодирования рассматривается ниже.
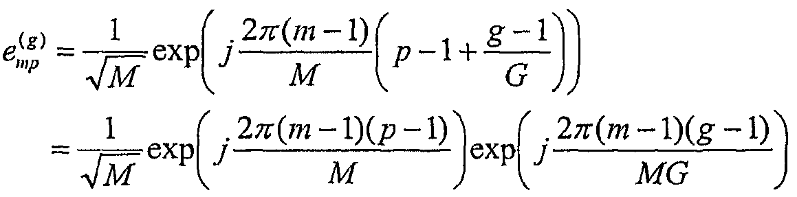
В общем случае канал MIMO может быть выражен как матрица, имеющая каналы, между множеством передающих/приемных антенн как элементы. Если число передающих антенн равно М и число приемных антенн равно N, то детерминант, выражающий канал MIMO, может быть выражен как
(1)
Здесь, hnm обозначает отклик канала, который, когда сигнал, переданный от m-й передающей антенны, получен n-й приемной антенной, характеризует сигнал. Пространственное предварительное кодирование может также быть выражено как детерминант, определенный в уравнении (2).
(2)
Здесь emp обозначает множитель, используемый, когда p-й символ модуляции передается через m-ю передающую антенну. В данном случае предполагается, что матрицы многократного пространственного предварительного кодирования предоставляются, и матрица пространственного предварительного кодирования изменяется в соответствии с обстоятельствами. Таким образом, передатчик имеет G способов пространственного предварительного кодирования и выбирает один из них в соответствии с обстоятельствами. Матрица пространственного предварительного кодирования, соответствующая g-му способу пространственного предварительного кодирования среди G способов пространственного предварительного кодирования, имеет вид
(3)
Метод пространственного предварительного кодирования может быть описан как технология формирования диаграммы направленности. Матрица E(g) составлена из M векторов-столбцов, и каждый из векторов-столбцов равен весу формирования диаграммы направленности для передачи одного символа модуляции. Поэтому для выделения одного луча имеется необходимость в значении ‘g’, указывающем какой матрице луч соответствует, и значении ‘m’, указывающем какому вектору-столбцу в матрице соответствует луч. Метод пространственного предварительного кодирования одновременно формирует М лучей. Если метод пространственного предварительного кодирования активизирует только один из М лучей и передает поток данных, то осуществляется общая технология формирования диаграммы направленности. Для передачи множества потоков данных, передаваемых одному пользователю, если метод пространственного предварительного кодирования активизирует то же самое число лучей и передает потоки с отдельными лучами, то осуществляется пространственное мультиплексирование. Если каждый луч переносит поток другого пользователя, то осуществляется SDMA. Таким образом, метод пространственного предварительного кодирования может одновременно поддерживать различные технологии MIMO, например формирование диаграммы направленности передачи, пространственное мультиплексирование и SDMA.
Пространственное предварительное кодирование может быть описано как другой способ линейного преобразования канала MIMO. Например, канал MIMO, преобразованный посредством g-го способа пространственного предварительного кодирования, выражается как
(4)
Канал MIMO может быть преобразован в G различных эквивалентных каналов MIMO в соответствии с G способами пространственного предварительного кодирования. Поскольку пользователи используют различные каналы MIMO, способ пространственного предварительного кодирования, предпочитаемый отдельным пользователем, отличается. При использовании способа подготовки множества пространственных способов предварительного кодирования и изменения способа пространственного предварительного кодирования в соответствии с обстоятельствами возможно получить дополнительный выигрыш от многопользовательскую разнесения.
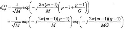
В примерных вариантах реализации настоящего изобретения элементы матрицы предварительного кодирования для пространственного предварительного кодирования определяются как
(5)
Если матрица пространственного предварительного кодирования определена как уравнение (5), то это – унитарная матрица. Если матрица пространственного предварительного кодирования является унитарной матрицей, то не может быть ситуации, когда пропускная способность канала MIMO снижается пространственным предварительным декодированием.
Ниже дается подробное описание структуры и работы передатчика, показанного на фиг.6.
Передатчик принимает CSI от пользовательских приемников. При этом обратная связь CSI, поставляемая одним пользователем, разделяется на три способа в соответствии с методом пространственного предварительного кодирования.
Первый способ подает по обратной связи информации качества канала (CQI) для AMC для каждого луча, который процесс пространственного предварительного кодирования может создать. Если имеется G матриц пространственного предварительного кодирования и М передающих антенн, то всего GM информаций CQI подается по обратной связи как CSI. Этот способ выгоден тем, что может выполнить оптимальное планирование, подавая по обратной связи наибольшее количество информации. Однако этот способ невыгоден из-за увеличения служебных сигналов обратной связи.
Второй способ уведомляет предпочтительный способ пространственного предварительного кодирования и подает по обратной связи CQI только для М лучей, которые могут быть созданы с использованием уведомленного способа. Поэтому второй способ подает по обратной связи М информаций CQI и индекс предпочтительной матрицы (PMI), указывающий предпочтительную матрицу пространственного предварительного кодирования.
Вышеупомянутые два способа могут быть использованы для пространственного мультиплексирования и могут также быть использованы для формирования диаграммы направленности на передачу и SDMA в соответствии с результатом планирования.
Третий способ уведомляет предпочтительный способ пространственного предварительного кодирования и предпочтительный способ формирования диаграммы направленности одновременно и подает по обратной связи только одну CQI, которая может быть получена через луч. Поэтому одна CQI, PMI и предпочтительный векторный индекс (PVI), указывающий предпочтительный вектор-столбец, подаются по обратной связи как многие CSI. Среди трех способов этот способ нуждается в наименьшем количестве служебных данных обратной связи. Однако этот способ может использоваться только для передачи формирования диаграммы направленности и передачи единственного потока SDMA.
Те CSI, которые приемники передают используя один из вышеупомянутых способов, собираются в AMC контроллере 601 и блоке 600 планирования и мультиплексирования. Блок 600 планирования и мультиплексирования сначала определяет способ пространственного предварительного кодирования исходя из CSI информации обратной связи и выбирает поток данных для передачи каждым лучом, сформированным в соответствии с определенным способом. Если различные пользователи выбраны одновременно, то осуществляется SDMA. Если блок 600 планирования и мультиплексирования решает передать множество потоков данных от одного пользователя, то он реализует пространственное предварительное кодирование. Кроме того, если блок 600 планирования и мультиплексирования решает передавать один поток данных от одного пользователя, то он реализует формирование диаграммы направленности передачи. Определение способа пространственного предварительного кодирования посредством блока 600 планирования и мультиплексирования определяет, какая матрица пространственного предварительного кодирования будет использоваться в данное время. Определенный способ пространственного предварительного кодирования сообщается контроллеру 603 предварительного кодирования. Затем контроллер 603 предварительного кодирования осуществляет поиск индекса матрицы пространственного предварительного кодирования, соответствующий определенному способу пространственного предварительного кодирования, и выдает индекс матрицы пространственного предварительного кодирования на пространственный кодер 605 предварительного кодирования. Блок 600 планирования и мультиплексирования выдает определенную информацию 615 планирования на AMC контроллер 601. Поэтому AMC контроллер 601 определяет способ кодирования и модуляции, используемый в каждом луче исходя из CSI информации обратной связи, и сообщает об определенных способах на блоки 110-1-110-M кодирования/модуляции. Блок 600 планирования и мультиплексирования мультиплексирует заданное число потоков данных, определенных как передаваемые по пользовательским потокам данных, принятых от верхнего уровня, причем заданное число соответствует числу передаваемых потоков, которые будут передавать, и выводит мультиплексированные потоки на соответствующие блоки 110-1-110-М кодирования/модуляции канала.
Каждый из блоков 110-1-110-М кодирования/модуляции канала выполняет AMC на потоке данных, запланированном и мультиплексированном посредством блока 600 планирования и мультиплексирования. AMC-обработанные выходные сигналы являются входными сигналами для пространственного кодера 605 предварительного кодирования. Кодер 605 пространственного предварительного кодирования выполняет пространственное предварительное кодирование исходя из команды предварительного кодирования, то есть матричного индекса 611 пространственного предварительного кодирования, определенного контроллером предварительного кодирования 603. Этим процессом завершается формирование символьного потока для передачи через каждую передающую антенну. Пространственно предварительно кодированные символьные потоки являются входными сигналами для средств ввода 607-1-607-М пилот-сигнала, связанных с антеннами. Средства ввода 607-1-607-М пилот-сигнала вставляют ортогональные пилот-сигналы для отдельных антенн и выводят потоки со вставленными пилот-сигналами на соответствующие OFDM модуляторы 210-1-210-М. OFDM модуляторы 210-1-210-М преобразуют входные сигналы в OFDM сигналы и выводят OFDM сигналы на RF блок 122. RF блок 122 преобразует OFDM сигналы в RF сигналы и передает RF сигналы через множество передающих антенн 131-132.
В данном случае потоки данных подвергаются пространственному предварительному кодированию, но пилот-сигналы не подвергаются пространственному предварительному кодированию. Это объясняется тем, что даже пользователь, которому данные не передаются в настоящее время, должен подать по обратной связи информацию CSI для случая, когда данные будут переданы позднее. Если пространственное предварительное кодирование применяется к пилот-сигналу для пользователя, которому в настоящее время передаются данные, то пользователи, которым данные не передаются, не могут это распознать. Поэтому пользователи, которым данные не передаются, не могут сформировать CSI информацию из пилот-сигнала. Если ортогональные пилот-сигналы передаются через отдельные антенны в передатчике на фиг.6, то каждый пользовательский приемник может сформировать CSI информацию, используя уравнение (4).
На фиг.7 показана блок-схема кодера пространственного предварительного кодирования по фиг.6, осуществленного с формирователем диаграммы направленности в соответствии с примерным вариантом реализации настоящего изобретения. Ниже, в связи с фиг.7, приводится описание структуры и работы кодера пространственного предварительного кодирования в соответствии с примерным вариантом реализации настоящего изобретения.
Если команда предварительного кодирования, то есть индекс ‘g’ 611 матрицы пространственного предварительного кодирования, определенный контроллером 603 предварительного кодирования, поставляется на кодер 605 пространственного предварительного кодирования, первый формирователь диаграммы направленности 701-1 формирует луч первого вектора-столбца, используя вес формирования диаграммы направленности, и M-й формирователь 701-М диаграммы направленности формирует луч M-того вектора-столбца E(g), используя вес формирования диаграммы направленности. Сигналы, сформированные формирователями 701-1-701М диаграммы направленности, суммируются сумматорами 703-1-703М.
На фиг.8 показана блок-схема кодера пространственного предварительного кодирования по фиг.6, осуществленного с преобразователем фурье в соответствии с другим примерным вариантом реализации настоящего изобретения. Ниже, в связи с фиг.8, приводится описание структуры и работы кодера пространственного предварительного кодирования в соответствии с другим примерным вариантом реализации настоящего изобретения.
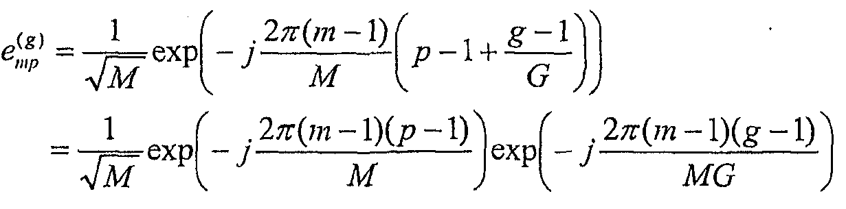
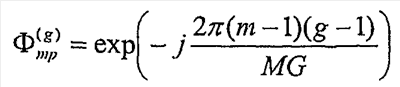
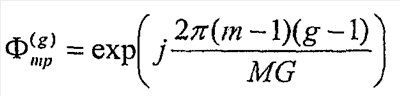
Если используется матрица пространственного предварительного кодирования согласно уравнению (5), кодер 605 пространственного предварительного кодирования применяет IFFT к символам модуляции, запланированным к одновременной передаче. Поэтому символы модуляции являются входными сигналами для Фурье-преобразователя 801, где они подвергаются IFFT. В данном случае IFFT может быть заменен быстрым преобразованием Фурье (FFT) или дискретным преобразованием Фурье (DFT) в соответствии со способом передачи. Потоки после Фурье-преобразования вводятся на линейное фазосдвигающее средство 803. Линейное фазосдвигающее средство 803 сдвигает фазу входных потоков, используя команду предварительного кодирования, то есть индекс ‘g’ 611 матрицы пространственного предварительного кодирования, определенный контроллером 603 предварительного кодирования. Линейное фазосдвигающее средство 803 применяет сдвиг фазы согласно уравнению (6) к символу модуляции, передаваемому через m-ю передающую антенну среди символов модуляции, IFFT-обработанных Фурье преобразователем 801, используя индекс ‘g’ 611 матрицы пространственного предварительного кодирования.
(6)
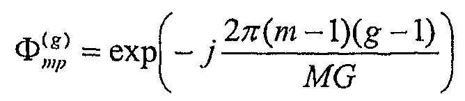
Кодер 605 пространственного предварительного кодирования, как отмечено выше, может заменить блок IFFT блоком FFT. В этом случае элементы матрицы пространственного предварительного кодирования определены уравнением (7), и фазовый сдвиг определен уравнением
(7)
(8)
На фиг.9 показана блок-схема структуры многопользовательского передатчика, использующего альтернативное пространственное предварительное кодирование в соответствии с другим примерным вариантом реализации настоящего изобретения.
Прежде чем дать описание фиг.8, следует отметить, что многопользовательская система MIMO, использующая метод пространственного предварительного кодирования по фиг.6, должна подавать по обратной связи CQI в каждом случае или подавать по обратной связи дополнительный CSI подобно РМI и PVI. Поэтому система MIMO по сравнению с системой PARC в большей степени выполняет обратную связь. Альтернативный метод пространственного предварительного кодирования с тем же самым служебным сигналом обратной связи, что и в методе PARC, может использовать различные методы пространственной обработки, например формирование диаграммы направленности, пространственное мультиплексирование и SDMA, что может быть осуществлено с использованием метода пространственного предварительного кодирования.
Заметное различие в структуре передатчика между методом альтернативного пространственного предварительного кодирования по фиг.9 и методом пространственного предварительного кодирования по фиг.6, заключается в том, что альтернативный контроллер 901 предварительного кодирования не управляется планировщиком. Таким образом, система, использующая метод пространственного предварительного кодирования по фиг.6, принимает CSI, используемую для определения способа пространственного предварительного кодирования, поданную по обратной связи от приемника, и исходя из информации CSI планировщик 600 определяет, какое пространственное предварительное кодирование будет использоваться в предварительно установленное время. Однако система, использующая метод альтернативного пространственного предварительного кодирования по фиг.9, определяет способ пространственного предварительного кодирования в зависимости от заданной диаграммы направленности вместо определения способа пространственного предварительного кодирования исходя из CSI поданной по обратной связи от приемника.
Контроллер 901 альтернативного предварительного кодирования определяет, какое пространственное предварительное кодирование будет применяться в заданном поддиапазоне и временном сегменте, каковы блок AMC и канальное планирование, и выдает альтернативную команду 905 предварительного кодирования на альтернативный кодер 910 пространственного предварительного кодирования. В остальном процесс идентичен соответствующему процессу пространственного предварительного кодирования, описанному в связи с фиг.6.
Контроллер 901 альтернативного предварительного кодирования определяет команду 905 альтернативного предварительного кодирования следующими двумя способами.
Первый способ определяет очередность способов пространственного предварительного кодирования и последовательно изменяет способ пространственного предварительного кодирования.
Второй способ генерирует случайные переменные и случайным образом определяет способ пространственного предварительного кодирования.
Даже при том, что используется любой из вышеупомянутых двух способов, приемник должен иметь возможность ожидать, какое пространственное предварительное кодирование будет применено в заданном поддиапазоне в текущее время и в последующее время планирования. Таким образом, когда используется первый способ, где способ пространственного предварительного кодирования последовательно изменяется, очередность способов пространственного предварительного кодирования должна быть известной и для передатчика, и для приемника. Напротив, если используется второй способ, где способ пространственного предварительного кодирования изменяется случайным образом, передатчик и приемник должны установить то же самое состояние их генераторов случайных сигналов так, чтобы могли генерироваться те же самые случайные переменные. Таким образом, для способа пространственного предварительного кодирования передатчик и приемник должны быть синхронизированы. При выполнении этого приемник может выбрать предварительно кодируемый канал MIMO в настоящее время и может оценить предварительно кодируемый канал MIMO в последующее время планирования. Причина отсутствия проблемы в работе даже при том, что способ пространственного предварительного кодирования изменяется во времени и по частоте, заключается в том, что ортогональные пилот-сигналы передаются от различных антенн так, что могут использоваться каналы MIMO, к которым не применяется пространственное предварительное кодирование. Кроме того, поскольку в приемнике имеется информация о том, какое пространственное предварительное кодирование было применено и будет применено, то он может выполнить операции приема и передачи по обратной связи CSI.
На фиг.10 показана блок-схема структуры альтернативного кодера пространственного предварительного кодирования по фиг.9, осуществленного с формирователем диаграммы направленности в соответствии с примерным вариантом реализации настоящего изобретения. Ниже, в связи с Фиг.10, приводится описание структуры и работы альтернативного кодера пространственного предварительного кодирования в соответствии с примерным вариантом реализации настоящего изобретения.
Альтернативная команда 905 предварительного кодирования, созданная альтернативным контроллером 901 предварительного кодирования, образована из шаблона 1001 перестановки луча и индекса 1003 матрицы предварительного кодирования. Индекс ‘g’ 1003 матрицы предварительного кодирования является входным сигналом для формирователей диаграммы направленности 1013-1-1013М. Шаблон 1001 перестановки луча вводится в блок 1010 перестановки луча. Входные символьные потоки также вводятся в блок 1010 перестановки луча. Затем блок 1010 перестановки луча определяет, на какой формирователь диаграммы направленности он выводит входные символьные потоки, основываясь на шаблоне перестановки луча, и затем выводит входные символьные потоки на соответствующие формирователи диаграммы направленности.
Формирователи диаграммы направленности 1013-1-1013М, принимая входные лучевые потоки и индекс ‘g’ 1003 матрицы предварительного кодирования, используют векторы-столбцы g-й матрицы пространственного предварительного кодирования как весовые коэффициенты формирования диаграммы направленности. Первый формирователь диаграммы направленности 1013-1 использует первый вектор-столбец g-й матрицы пространственного предварительного кодирования как весовой коэффициент формирования диаграммы направленности, и M-й формирователь диаграммы направленности 1013-М использует М-й вектор-столбец g-й матрицы пространственного предварительного кодирования как весовой коэффициент формирования диаграммы направленности.
Шаблон 1001 перестановки луча указывает способ отображения символьных потоков модуляции, выдаваемых на альтернативный кодер 910 пространственного предварительного кодирования для соответствующих формирователей диаграммы направленности. Поскольку блок 1010 перестановки луча определяет, на какой формирователь диаграммы направленности он вводит конкретный символьный поток модуляции исходя из шаблона 1001 перестановки луча, то даже если определен тот же самый индекс матрицы предварительного кодирования, способ выделения луча может измениться. Функция управления введением конкретного символьного потока модуляции на конкретный формирователь диаграммы направленности выполняется блоком 1010 перестановки луча.
На фиг.11 показана блок-схема примерной структуры альтернативного кодера пространственного предварительного кодирования по фиг.9, осуществленного с блоком FFT в соответствии с другим примерным вариантом реализации настоящего изобретения. Ниже, в связи с фиг.11, приводится описание структуры и работы альтернативного кодера пространственного предварительного кодирования, осуществленного с блоком FFT в соответствии с другим примерным вариантом реализации настоящего изобретения.
Фурье-преобразователь 801 и линейное фазосдвигающее средство 803 на фиг.11 по существу те же самые, что и показанные на фиг.8. Кроме того, операция управления линейным фазосдвигающим средством 803 с использованием индекса 1101 матрицы предварительного кодирования также, по существу, та же самая, что и соответствующая операция кодера пространственного предварительного кодирования по фиг.8, осуществленного с блоком FFT. Однако новый альтернативный кодер пространственного предварительного кодирования дополнительно включает в себя блок 1010 перестановки луча. Блок 1010 перестановки луча отличается тем, что принимает шаблон 1001 перестановки луча и выполняет процесс перестановки луча перед процессом IFFT или FFT. Процесс перестановки луча описан в связи с фиг.9 и 10.
На фиг.12 показана блок-схема примерной структуры приемника, соответствующего передатчику с пространственным предварительным кодированием по фиг.6 в соответствии с примерным вариантом реализации настоящего изобретения. Ниже, в связи с фиг.12, приводится описание структуры и работы приемника, соответствующего передатчику с пространственным предварительным кодированием в соответствии с примерным вариантом реализации настоящего изобретения.
Приемник принимает сигналы множеством N приемных антенн 1200-1-1200-2. В данном описании во избежание дублирования описания, процесс приема рассматривается для первой приемной антенны 1200-1. Принятый сигнал преобразуется в сигнал базовой полосы RF блоком 1201. OFDM демодулятор 1203 восстанавливает сигнал базовой полосы, переданный на каждой из поднесущих. Средства 1205-1 – 1205-2 извлечения пилот-сигнала передающей антенны для извлечения ортогональных пилот-сигналов, переданных от соответствующих передающих антенн, извлекают пилот-сигналы для отдельных передающих антенн. Пилот-сигнал 1207-1, извлеченный первым средством 1205-1 извлечения пилот-сигнала передающей антенны, является пилот-сигналом, переданным от первой передающей антенны, и включает в себя канальный отклик, испытываемый сигналом, когда сигнал, переданный от первой передающей антенны, принимается первой приемной антенной. Пилот-сигнал 1207-2, извлеченный вторым средством 1205-2 выделения пилот-сигнала передающей антенны, является пилот-сигналом, переданным от второй передающей антенны, и включает в себя канальный отклик, испытываемый сигналом, когда сигнал, переданный от второй передающей антенны, принимается второй приемной антенной. Если пилот-сигнал 1207-N, принятый вплоть до N-й приемной антенны (не показано) извлечен, то все извлеченные пилотные символы вводятся в средство 1221 оценки канала MIMO. Средство 1221 оценки канала MIMO оценивает матрицу чистого канала MIMO, к которому не применяется пространственное предварительное кодирование, и выдает матрицу канала MIMO на средство 1230 оценки канала MIMO с предварительным кодированием.
Информация 1220 предварительного кодирования, используемая для данных, переданных на соответствующий приемник, вводится в контроллер 1223 предварительного кодирования. Контроллер 1223 предварительного кодирования формирует матрицу 1233 пространственного предварительного кодирования, применяемую к данным приема с использованием информации 1220 предварительного кодирования, и выдает сформированную матрицу 1233 пространственного предварительного кодирования на средство 1230 оценки канала MIMO с предварительным кодированием. Средство 1230 оценки канала MIMO с предварительным кодированием оценивает предварительно кодированный канал MIMO на наличие данных приема, также оценивает все предварительно кодированные каналы MIMO на возможное наличие данных приема при последующем планировании и затем выводит оцененные значения 1231 на средство 1232 оценки CSI. Средство 1232 оценки CSI формирует значение 1237 обратной связи CSI исходя из оцененных значений от средства 1230 оценки канала MIMO с предварительным кодированием канала MIMO и передает значение 1237 обратной связи CSI на передатчик. Кроме того, предварительно оцененное значение 1235 от средства 1230 оценки канала MIMO с предварительным кодированием поставляется на блок 1251 объединения и демультиплексирования так, чтобы оно могло быть использовано для демодуляции данных.
Средство 1210 извлечения данных извлекает символы модуляции, переданные в приемник, из сигнала, перенесенного на каждой несущей посредством OFDM модулятора 1203. Средство 1210 извлечения данных извлекает только тот сигнал, который приемник должен принять, и выводит извлеченный сигнал на блок 1251 объединения и демультиплексирования. Эта операция выполняется в каждом устройстве выделения данных, соответствующем каждой антенне. Поэтому после приема всех символов 1241-1 – 1241-N модуляции данных, извлеченных из приемных антенн, блок 1251 объединения и демультиплексирования объединяет принятые символы и восстанавливает символы 1253-1 – 1253-N модуляции множества потоков данных, переданных из передатчика в приемник. Поэтому блок 1251 объединения и демультиплексирования демультиплексирует символы 1253-1 – 1253-N модуляции потока данных и выводит результат на компенсатор 1260 помех. Компенсатор 1260 помех показан как пунктирный блок. Как описано выше, часть, показанная пунктирной линией, является факультативной для системы. Поэтому некоторые приемники могут не использовать компенсатор 1260 помех.
Вместе с тем, в данном случае предполагается, что компенсатор 1260 помех имеется. Компенсатор 1260 помех компенсирует помехи во входных сигналах, используя информацию, извлеченную из предыдущих значений, и выводит сигналы, скомпенсированные по помехам, на блоки 1270-1 – 1270-М адаптивной демодуляции и декодирования.
На фиг.13 показана блок-схема примерной структуры приемника, соответствующего передатчику на фиг.9 с альтернативным пространственным предварительным кодированием в соответствии с примерным вариантом реализации настоящего изобретения. Ниже, в связи с фиг.13, приводится описание структуры и работы приемника, соответствующего передатчику с альтернативным пространственным предварительным кодированием в соответствии с примерным вариантом реализации настоящего изобретения.
Заметное различие между приемником на фиг.13 с альтернативным пространственным предварительным кодированием и приемником на фиг.12 с пространственным предварительным кодированием заключается в том, что контроллер 1301 альтернативного предварительного кодирования самопроизвольно формирует матрицу 1303 пространственного предварительного кодирования без отдельного приема информации предварительного кодирования и непосредственно выдает матрицу 1303 пространственного предварительного кодирования в средство 1230 оценки канала MIMO с предварительным кодированием. В остальном процесс является, по существу, тем же самым, что и соответствующий процесс, описанный в связи с фиг.12.
На фиг.14 показана блок-схема последовательности операций процесса передачи потоков данных в передатчике в соответствии с примерным вариантом реализации настоящего изобретения. Ниже, в связи с фиг.14, приводится описание процесса передачи потоков данных в передатчике в соответствии с примерным вариантом реализации настоящего изобретения.
На этапе 1401 передатчик принимает поток данных каждого пользователя от верхнего уровня. На этапе 1402 передатчик собирает CSI информацию, поданную по обратной связи от приемника. На этапе 1403 передатчик подготавливает все возможные способы пространственного предварительного кодирования. Если передатчик использует пространственное предварительное кодирование, способ пространственного предварительного кодирования не определяется на этом этапе. На этапе 1404 передатчик выполняет планирование на всех возможных способах пространственного предварительного кодирования.
Однако, если передатчик использует альтернативное предварительное кодирование, способ пространственного предварительного кодирования определяется на этапе 1403. Затем на этапе 1404, передатчик определяет, какой пользовательский поток данных должен планироваться его планировщиком. В данном случае планирование выполняется исходя из способа пространственного предварительного кодирования, определенного на этапе 1403. Запланированный пользователем поток данных преобразуется в сигнал модуляции посредством процесса кодирования и модуляции на этапе 1405. Затем на этапе 1411 передатчик определяет, является ли используемый способ предварительного кодирования способом пространственного предварительного кодирования. Способ предварительного кодирования изменяется в соответствии с тем, является ли используемый способ предварительного кодирования способом пространственного предварительного кодирования или способом альтернативного предварительного кодирования.
Для выбора способа предварительного кодирования система или пользователь может выбрать способ пространственного предварительного кодирования или способ альтернативного предварительного кодирования. То есть, все пользователи в системе могут использовать один способ предварительного кодирования. В противном случае, некоторые пользователи могут использовать способ пространственного предварительного кодирования, и другие пользователи могут использовать альтернативный способ предварительного кодирования.
Если передатчик использует способ пространственного предварительного кодирования, он принимает команду предварительного кодирования от планировщика на этапе 1412 и выполняет пространственное предварительное кодирование на этапе 1413. Напротив, если передатчик использует способ альтернативного предварительного кодирования, то он формирует команду предварительного кодирования в соответствии с предопределенным шаблоном на этапе 1414 и в соответствии с командой выполняет пространственное предварительное кодирование на этапе 1415.
После этапа 1413 или 1415 передатчик присоединяет пилот-сигнал к предварительно кодированному сигналу на этапе 1431 и преобразует сигнал с присоединенным пилот-сигналом в OFDM символ посредством OFDM модуляции на этапе 1432. Передатчик преобразует OFDM символ базовой полосы в RF сигнал посредством RF обработки на этапе 1433 и затем передает RF сигнал через множество передающих антенн на этапе 1434.
На фиг.15 показана блок-схема процесса приема потоков данных в приемнике в соответствии с примерным вариантом реализации настоящего изобретения. Ниже, в связи с фиг.15, приводится описание процесса приема потоков данных в приемнике в соответствии с примерным вариантом реализации настоящего изобретения.
Приемник принимает RF сигналы от множества приемных антенн на этапе 1500 и преобразует RF сигналы в сигналы базовой полосы на этапе 1501. Поскольку преобразованные сигналы базовой полосы являются OFDM символами, приемник восстанавливает на этапе 1502 сигналы модуляции, переносимые каждой из поднесущих, с использованием OFDM демодулятора. Затем приемник извлекает пилот-сигнал и управляющий сигнал на этапе 1503 и оценивает канал MIMO, используя извлеченный пилот-сигнал, на этапе 1504.
Затем приемник выполняет процесс оценки канала MIMO с предварительным кодированием. Приемник формирует команду пространственного предварительного кодирования, использованную в передатчике, на этапе 1505, и оценивает канал MIMO с предварительным кодированием, используя сформированное значение, на этапе 1506. Как только канал MIMO с предварительным кодированием оценен, приемник использует оцененный канал MIMO с предварительным кодированием при создании значения CSI обратной связи. При использовании оцененного канала MIMO с предварительным кодированием приемник может восстановить сигнал модуляции, к которому применен способ пространственного предварительного кодирования. Поэтому приемник восстанавливает управляющий сигнал, необходимый для восстановления данных на этапе 1507, и извлекает данные исходя из управляющего сигнала на этапе 1508. Затем на этапе 1509 приемник объединяет извлеченные данные исходя из оцененного канала MIMO с предварительным кодированием. Затем на этапе 1510 приемник окончательно демодулирует и декодирует объединенный сигнал, тем самым восстанавливая переданный поток данных.
Как описано выше, кодер пространственного предварительного кодирования и альтернативный кодер предварительного кодирования, предложенные в настоящем изобретении, могут осуществить различные технологии MIMO, например формирование диаграммы направленности, пространственное мультиплексирование и SDMA в соответствии с решением планировщика.
Поскольку альтернативный кодер пространственного предварительного кодирования не требует приема обратной связи CSI, связанной с пространственным предварительным кодированием, от приемника для определения способа пространственного предварительного кодирования, то можно получить улучшенную пропускную способность системы с той же самой степенью обратной связи, что и для PARC. Кроме того, альтернативный кодер пространственного предварительного кодирования может иметь эффект намеренного изменения канала в соответствии с частотой и временем, когда он испытывает плохое состояние канала в канальной среде, где изменение в канале в соответствии с частотой и временем очень невелико. Этот эффект может быть получен посредством применения отличающегося способа пространственного предварительного кодирования для каждого поддиапазона и временного сегмента, который является блоком AMC и канальным планированием. В общем случае, при работе системы с учетом равнодоступности, когда пользователь в канальной среде, где изменение в канале в соответствии с частотой и временем незначительно, наблюдает плохое состояние канала, состояние канала не может улучшиться за короткий интервал времени, и тогда передатчик может только распределять ресурсы. В этом случае системная пропускная способность снижается. Эта проблема может быть решена с использованием альтернативного пространственного предварительного кодирования. Таким образом, настоящее изобретение вносит вклад в увеличение системной пропускной способности и в снижение нагрузки от служебных сигналов.
Хотя изобретение рассмотрено и описано в связи с определенным предпочтительным вариантом реализации, специалистам в данной области техники должно быть ясно, что различные изменения по форме и в деталях могут быть сделаны без отступления от сущности и объема изобретения, как определено приложенной формулой изобретения.
Формула изобретения
1. Способ передачи данных в базовой станции системы беспроводной связи, которая передает данные в зависимости от информации состояния канала, подаваемой по обратной связи от терминалов, и использует множество антенн в схеме с множеством входов и множеством выходов (MIMO), причем способ содержит этапы: определение терминала, на который базовая станция будет передавать данные, определение антенн, через которые базовая станция будет передавать данные, из множества антенн, и определение способа пространственного предварительного кодирования, исходя из информации состояния канала; мультиплексирование данных передачи во множество потоков данных в соответствии с числом определенных антенн, и выполнение кодирования и модуляции на каждом из потоков данных; вывод сигнала выбора матрицы для выбора одной из множества матриц пространственного предварительного кодирования в соответствии со способом пространственного предварительного кодирования, и пространственное кодирование каждого из кодируемых потоков матрицей, выбранной исходя из сигнала выбора матрицы; и выполнение модуляции мультиплексирования с ортогональным частотным разделением (OFDM) на каждом из пространственно-кодированных потоков, и передачи каждого из OFDM-модулированных потоков через соответствующую антенну.
2. Способ по п.1, дополнительно содержащий этап определения схемы кодирования и модуляции с использованием информации состояния канала; причем каждый из потоков адаптивно кодируется и модулируется в соответствии с определенной схемой кодирования и модуляции.
3. Способ по п.1, в котором пространственное предварительное кодирование содержит этапы: формирование диаграммы направленности каждого из модулированных потоков, используя выбранную матрицу среди заданных матриц; и суммирование потоков со сформированной диаграммой направленности для каждого отдельного тракта, соответствующего антенне, через которую будет передаваться поток.
4. Способ по п.1, в котором пространственное предварительное кодирование содержит: прием модулированных потоков и выполнение быстрого обратного Фурье-преобразования (IFFT) принятых потоков; и сдвиг фазы каждого из IFFT-обработанных потоков, используя выбранную матрицу из заданных матриц.
5. Способ по п.1, дополнительно содержащий этап ввода пилот-сигнала, подлежащего передаче через соответствующую антенну, в каждый из пространственно предварительно кодированных потоков.
6. Устройство для передачи данных в базовой станции системы беспроводной связи, которая передает данные в зависимости от информации состояния канала, переданной по обратной связи от терминалов и использует множество антенн в схеме с множеством входов и множеством выходов (MIMO), причем устройство содержит: планировщик для определения терминала, на который базовая станция будет передавать данные, определения антенны, через которую базовая станция будет передавать данные, из множества антенн, и определения способа пространственного предварительного кодирования, исходя из информации состояния канала; мультиплексор для мультиплексирования данных передачи во множество потоков данных в соответствии с числом определенных антенн; блок модуляции и кодирования для выполнения модуляции и кодирования на каждом из потоков данных; контроллер предварительного кодирования для выведения сигнала выбора матрицы для выбора одной из множества матриц пространственного предварительного кодирования в соответствии со способом пространственного предварительного кодирования; кодер пространственного предварительного кодирования для пространственного кодирования каждого из кодируемых потоков матрицей, выбранной исходя из сигнала выбора матрицы; модулятор мультиплексирования с ортогональным частотным разделением (OFDM) для выполнения OFDM модуляции на каждом из пространственно-кодируемых потоков; и радиочастотный (RF) блок для передачи каждого из OFDM-модулированных потоков через соответствующую антенну.
7. Устройство по п.6, дополнительно содержащее контроллер адаптивной модуляции и кодирования (АМС) для определения схемы кодирования и модуляции, используя информацию состояния канала; причем блок кодирования и модуляции канала адаптивно кодирует и модулирует каждый из передаваемых потоков при управлении АМС контроллером.
8. Устройство по п.6, в котором кодер пространственного предварительного кодирования содержит: формирователь диаграммы направленности для выбора одной из заданных матриц, исходя из сигнала выбора матрицы, приема модулированных потоков, формирования диаграммы направленности каждого из модулированных потоков, используя выбранную матрицу; и сумматор для суммирования потоков со сформированной диаграммой направленности для каждого отдельного тракта, соответствующего антенне, через которую будут передаваться потоки.
9. Устройство по п.6, в котором кодер пространственного предварительного кодирования содержит: блок быстрого обратного преобразования Фурье (IFFT) для приема модулированных потоков и выполнения IFFT принятых потоков; и фазосдвигающее средство для выбора одной из заданных матриц, исходя из сигнала выбора матрицы, и фазового сдвига каждого из IFFT-обработанных потоков, используя выбранную матрицу.
10. Устройство по п.6, дополнительно содержащее средство ввода пилот-сигнала для ввода пилот-сигнала, подлежащего передаче через соответствующую антенну в каждом из пространственно предварительно кодируемых потоков.
11. Устройство для передачи данных в базовой станции системы беспроводной связи, которая передает данные в зависимости от информации состояния канала, передаваемой по обратной связи от терминалов, и использует множество антенн в схеме с множеством входов и множеством выходов (MIMO), причем устройство содержит: планировщик для определения терминала, на который базовая станция будет передавать данные, и определения антенн, через которые базовая станция будет передавать данные, из множества антенн, исходя из информации состояния канала; мультиплексор для мультиплексирования передаваемых данных во множество потоков данных в соответствии с числом определенных антенн; блок модуляции и кодирования для выполнения модуляции и кодирования на каждом из потоков данных; контроллер предварительного кодирования для выведения команды пространственного предварительного кодирования, применяемой к потокам данных, подлежащим передаче на выбранный терминал; кодер пространственного предварительного кодирования для пространственного кодирования каждого из кодируемых потоков, выбранных исходя из команды пространственного предварительного кодирования; модулятор мультиплексирования с ортогональным частотным разделением (OFDM) для выполнения OFDM модуляции на каждом из пространственно-кодируемых потоков; и радиочастотный (RF) блок для передачи каждого из OFDM-модулированных потоков через соответствующую антенну.
12. Устройство по п.11, дополнительно содержащее контроллер адаптивной модуляции и кодирования (АМС) для определения схемы модуляции и кодирования, используя информацию состояния канала; причем блок кодирования и модуляции канала адаптивно кодирует и модулирует каждый из передаваемых потоков под управлением АМС контроллера.
13. Устройство по п.11, в котором кодер пространственного предварительного кодирования содержит: блок перестановки луча для перестановки входных потоков исходя из команды пространственного предварительного кодирования; формирователь диаграммы направленности для выбора одного из множества шаблонов формирования диаграммы направленности, исходя из команды пространственного предварительного кодирования, и формирования диаграммы направленности переставленных потоков, исходя из выбранного шаблона формирования диаграммы направленности; и сумматор для суммирования потоков со сформированной диаграммой направленности для каждого отдельного тракта, соответствующего антенне, через которую будут передаваться потоки.
14. Устройство по п.11, в котором кодер пространственного предварительного кодирования содержит: формирователь диаграммы направленности для выбора одного из множества шаблонов формирования диаграммы направленности, исходя из команды пространственного предварительного кодирования, и формирования диаграммы направленности переставленных потоков, исходя из выбранного шаблона формирования диаграммы направленности; блок быстрого обратного преобразования Фурье (IFFT) для приема потоков со сформированной диаграммой направленности, и выполнения IFFT принятых потоков; и фазосдвигающее средство для выбора одной из заданных матриц, исходя из команды пространственного предварительного кодирования, и выполнения фазового сдвига каждого из IFFT-обработанных потоков, используя выбранную матрицу.
15. Устройство по п.11, дополнительно содержащее средство ввода пилот-сигнала для ввода пилот-сигнала, передаваемого через соответствующую антенну, в каждый из пространственно преварительно кодированных потоков.
16. Способ для передачи данных в базовой станции системы беспроводной связи, которая передает данные в зависимости от информации состояния канала, подаваемой обратно от терминалов, и использует множество антенн в схеме MIMO, причем способ, содержит этапы: определение терминала, на который базовая станция будет передавать данные, и определение антенн, через которые базовая станция будет передавать данные, из множества антенн, исходя из информации о состоянии канала; мультиплексирование передаваемых данных во множество потоков данных в соответствии с числом определенных антенн; выполнение модуляции и кодирования на каждом из потоков данных; определение способа пространственного предварительного кодирования, применяемого к передаваемым на выбранный терминал потокам данных, и пространственное кодирование каждого из потоков данных, используя определенный способ пространственного предварительного кодирования; выполнение модуляции мультиплексирования (OFDM) на каждом из пространственно-кодируемых потоков; и передача каждого из OFDM-модулированных потоков через соответствующую антенну.
17. Способ по п.16, дополнительно содержащий этап адаптивного определения схемы кодирования и модуляции, используя информацию состояния канала, и кодирования и модуляции каждого из передаваемых потоков с определенной схемой кодирования и модуляции.
18. Способ по п.16, в котором пространственное предварительное кодирование содержит этапы: перестановку входных потоков, исходя из команды пространственного предварительного кодирования; выбор одного из множества шаблонов формирования диаграммы направленности, исходя из команды пространственного предварительного кодирования, и формирование диаграммы направленности переставленных потоков, исходя из выбранного шаблона формирования диаграммы направленности; и суммирование потоков со сформированной диаграммой направленности для каждого отдельного тракта, соответствующего антенне, через которую будут передавать потоки.
19. Способ по п.16, в котором пространственное предварительное кодирование содержит: выбор одного из множества шаблонов формирования диаграммы направленности, исходя из команды пространственного предварительного кодирования, и формирование диаграммы направленности переставленных потоков, исходя из выбранного шаблона формирования диаграммы направленности; прием потоков со сформированной диаграммой направленности, и выполнение быстрого обратного преобразования Фурье (IFFT) принятых потоков; и выбор одной из заданных матриц, исходя из команды пространственного предварительного кодирования, и выполнение фазового сдвига каждого из IFFT-обработанных потоков, используя выбранную матрицу.
20. Способ по п.16, дополнительно содержащий этап ввода пилот-сигнала, подлежащего передаче через соответствующую антенну, в каждый из пространственно предварительно кодированных потоков.
21. Устройство для приема данных терминалом в системе беспроводной связи, которая передает данные в зависимости от информации состояния канала, передаваемой по обратной связи от терминалов, и использует множество антенн в схеме MIMO, причем устройство содержит: средство извлечения пилот-сигнала передающей антенны для извлечения пилот-сигнала, переданного через каждую передающую антенну, из сигнала, принятого от каждой антенны; средство оценки канала MIMO для оценки канала MIMO, используя информацию, принятую от средства извлечения передающей антенны; средство оценки предварительно кодированного канала MIMO для оценки предварительно кодированного канала MIMO, используя оцененный канал MIMO и информацию предварительного кодирования; средство извлечения данных для извлечения данных из принятого сигнала; блок объединения и демультиплексирования для объединения и демультиплексирования данных, извлеченных средством извлечения данных, используя выходной сигнал от средства оценки предварительного кодирования канала MIMO; и блок демодуляции и декодирования для демодуляции и декодирования демультиплексированного сигнала.
22. Устройство по п.21, дополнительно содержащее компенсатор помех для подавления сигнала помехи в демультиплексированном сигнале.
23. Способ для приема данных терминалом в системе беспроводной связи, которая передает данные в зависимости от информации состояния канала, переданной по обратной связи от терминалов, и использует множество антенн в схеме MIMO, причем способ содержит этапы: извлечение пилот-сигнала, переданного через каждую передающую антенну, из сигнала, принятого от каждой антенны; оценка канала MIMO, используя извлеченный пилот-сигнал; оценка предварительно кодированного канала MIMO, используя оцененный канал MIMO и информацию о предварительном кодировании; извлечение данных из принятого сигнала; комбинирование и демультиплексирование извлеченных данных, используя оцененный предварительно кодированный канал MIMO; и демодуляция и декодирование демультиплексированного сигнала.
24. Способ по п.23, дополнительно содержащий этап подавления сигнала помехи в демультиплексированном сигнале.
РИСУНКИ
|
|