|
(21), (22) Заявка: 2007127836/09, 22.12.2005
(24) Дата начала отсчета срока действия патента:
22.12.2005
(30) Конвенционный приоритет:
23.12.2004 US 60/638,666 29.07.2005 US 11/192,769
(43) Дата публикации заявки: 27.01.2009
(46) Опубликовано: 10.10.2009
(56) Список документов, цитированных в отчете о поиске:
(85) Дата перевода заявки PCT на национальную фазу:
23.07.2007
(86) Заявка PCT:
US 2005/047636 20051222
(87) Публикация PCT:
WO 2006/072086 20060706
Адрес для переписки:
129090, Москва, ул.Б.Спасская, 25, стр.3, ООО “Юридическая фирма Городисский и Партнеры”, пат.пов. А.В.Мицу, рег. 364
|
(72) Автор(ы):
ПФИСТЕР Генри Дэвид (US), ХОУ Цзилэй (US), СМИ Джон Эдвард (US), ТОМАЗИН Стефано (IT)
(73) Патентообладатель(и):
КВЭЛКОММ ИНКОРПОРЕЙТЕД (US)
|
(54) ПОДАВЛЕНИЕ ПОМЕХ В ТРАФИКЕ
(57) Реферат:
Изобретение относится к технике связи и может быть использовано для подавления помех в трафике в системах беспроводной связи. Подавление взаимных помех осуществляется во входной оперативной памяти базовой приемопередающей станции. Подавление взаимных помех в трафике представляет собой разностное подавление взаимных помех, при котором удаляется вклад данных пользователя во входную оперативную память после того, как данные этого пользователя были правильно декодированы. Процесс демодулирования пакета из входной оперативной памяти позволяет обеспечить хорошие входные данные для декодера. Технический результат – повышение пропускной способности системы беспроводной связи. 3 н. и 28 з.п. ф-лы, 37 ил.
Область техники, к которой относится изобретение
Настоящее изобретение, в общем, имеет отношение к системам беспроводной связи и, в частности, к подавлению помех в трафике в системах беспроводной связи.
Уровень техники
Система связи может обеспечивать связь между базовыми станциями и терминалами доступа. Прямой линией связи или нисходящей линией связи называется передача от базовой станции на терминал доступа. Обратной линией связи или восходящей линией связи называется передача от терминала доступа на базовую станцию. Каждый терминал доступа может взаимодействовать с одной или более базовыми станциями в прямой и обратной линиях связи в данный момент в зависимости от того, активен ли терминал доступа и находится ли терминал доступа в режиме мягкой эстафетной передачи (передачи обслуживания).
Краткое описание чертежей
Признаки, характер и преимущества настоящей заявки могут быть более понятны из изложенного ниже подробного описания с чертежами. Одинаковые номера и символы для ссылок могут обозначать одни и те же или аналогичные объекты.
Фиг.1 иллюстрирует систему беспроводной связи с терминалами доступа и базовыми станциями.
Фиг.2 иллюстрирует пример структуры и/или процесса передатчика, который может быть реализован в терминале доступа, показанном на фиг.1.
Фиг.3 иллюстрирует пример процесса и/или структуры приемника, который может быть реализован в базовой станции, показанной на фиг.1.
Фиг.4 иллюстрирует другой вариант воплощения процесса или структуры приемника базовой станции.
Фиг.5 иллюстрирует общий пример распределения мощности трех пользователей в системе, показанной на фиг.1.
Фиг.6 показывает пример равномерного распределения смещения по времени для подавления помех в трафике с асинхронными фреймами (кадрами) для пользователей с равной мощностью передачи.
Фиг.7 иллюстрирует структуру чередования, используемую для пакетов данных обратной линии связи и канала автоматического запроса на повторение передачи прямой линии связи.
Фиг.8 иллюстрирует память, которая охватывает полный пакет с 16 интервалами.
Фиг.9A иллюстрирует способ подавления помех в трафике для примера последовательного подавления помех без отсроченного декодирования.
Фиг.9B иллюстрирует устройство для выполнения способа, представленного на фиг.9A.
Фиг.10 иллюстрирует буфер выборок приемника после прибытия последовательных подпакетов чередования с подавлением помех декодированных подпакетов.
Фиг.11 иллюстрирует структуру служебных каналов.
Фиг.12A иллюстрирует способ выполнения сначала подавления помех в канале контрольного сигнала и затем выполнения подавления помех в каналах служебного сигнала и трафика вместе.
Фиг.12B иллюстрирует устройство для выполнения способа, показанного на фиг.12A.
Фиг.13A иллюстрирует измененный вариант способа, показанного на фиг.12A.
Фиг.13B иллюстрирует устройство для выполнения способа, показанного на фиг.13A.
Фиг.14A иллюстрирует способ выполнения совместного подавления помех в каналах контрольного сигнала, служебного сигнала и трафика.
Фиг.14B иллюстрирует устройство для выполнения способа, показанного на фиг.14A.
Фиг.15A иллюстрирует измененный вариант способа, показанного на фиг.14A.
Фиг.15B иллюстрирует устройство для выполнения способа, показанного на фиг.15A.
Фиг.16 иллюстрирует модель системы передачи.
Фиг.17 иллюстрирует иллюстративный отклик объединенной фильтрации передачи и приема.
Фиг.18A и 18B показывают пример оценки канала (действительной и мнимой компоненты) на основе оцененного канала с многолучевым распространением на каждом из трех отводов многоотводного приемника (рейк-приемника) (RAKE).
Фиг.19A-19B показывают примеры улучшенной оценки канала на основе отводов рейк-приемника и сжатия спектра с использованием элементарных сигналов данных.
Фиг.20A иллюстрирует способ сжатия спектра при задержках в отводах рейк-приемника с помощью повторно сформированных элементарных сигналов данных.
Фиг.20B иллюстрирует устройство для выполнения способа, показанного на фиг.20A.
Фиг.21A и 21B показывают пример оценки составного канала с использованием равномерно расположенных выборок при разрешении ×2.
Фиг.22A иллюстрирует способ оценки составного канала при равномерном разрешении с использованием повторно сформированных элементарных сигналов данных.
Фиг.22B иллюстрирует устройство для выполнения способа, показанного на фиг.22A.
Фиг.23 иллюстрирует регулировку мощности с обратной связью и управление усилением с фиксированным усилением служебного подканала.
Фиг.24 – измененный вариант регулировки мощности, показанной на фиг.23, управление усилением с фиксированным усилением служебного подканала.
Фиг.25 иллюстрирует пример регулировки мощности с фиксированным усилением служебного подканала.
Фиг.26 аналогична фиг.24 за исключением управления усилением служебного канала.
Фиг.27 иллюстрирует вариант изменения фиг.26 с управлением усилением только служебного канала DRC.
Подробное описание
Любой описанный здесь вариант воплощения не обязательно является предпочтительным или имеющим преимущества перед другими вариантами воплощения. Хотя различные аспекты настоящего раскрытия представлены на чертежах, чертежи не обязательно предназначены для масштабирования или являются полными.
Фиг.1 иллюстрирует систему 100 беспроводной связи, которая включает в себя системный контроллер 102, базовые станции 104a-104b и множество терминалов 106a-106h доступа. Система 100 может иметь любое количество контроллеров 102, базовых станций 104 и терминалов 106 доступа. Различные аспекты и варианты воплощения настоящего раскрытия, описанного ниже, могут быть осуществлены в системе 100.
Терминалы 106 доступа могут быть мобильными или стационарными и могут быть рассредоточены по всей системе 100 связи, показанной на фиг.1. Терминал 106 доступа может быть соединен с вычислительным устройством или реализован в вычислительном устройстве, таком как портативный персональный компьютер. Альтернативно терминал доступа может быть самостоятельным устройством обработки данных, таким как карманный компьютер (PDA). Терминалом 106 доступа могут называться устройства различного типа, такие как проводной телефон, беспроводной телефон, сотовый телефон, портативный компьютер, плата персонального компьютера (PC) для беспроводной связи, карманный компьютер (PDA), внешний или внутренний модем и т.д. Терминал доступа может быть любым устройством, которое обеспечивает возможность установления связи для передачи данных с пользователем посредством взаимодействия через беспроводной канал или через проводной канал, например, с использованием оптоволоконных или коаксиальных кабелей. Терминал доступа может иметь различные названия, такие как мобильная станция, модуль доступа, абонентский модуль, мобильное устройство, мобильный терминал, мобильный модуль, мобильный телефон, удаленная станция, удаленный терминал, удаленный модуль, пользовательское устройство, пользовательское оборудование, карманное устройство и т.д.
Система 100 обеспечивает связь для множества сот, где каждая сота обслуживается одной или более базовыми станциями 104. Базовая станция 104 также может называться системой приемопередатчика базовой станции (BTS), точкой доступа, частью сети доступа, приемопередатчиком группы модемов (MPT) или узлом B. Сетью доступа называется сетевое оборудование, обеспечивающее возможность установления связи для передачи данных между сетью передачи с коммутацией пакетов (например, Интернетом) и терминалами 106 доступа.
Прямой линией связи (FL) или нисходящей линией связи называется передача от базовой станции 104 на терминал 106 доступа. Обратной линией связи (RL) или восходящей линией связи называется передача от терминала 106 доступа на базовую станцию 104.
Базовая станция 104 может передавать данные на терминал 106 доступа с использованием скорости передачи данных, выбранной из ряда различных скоростей передачи данных. Терминал 106 доступа может измерить отношение сигнала к шуму и помехе (SINR) контрольного сигнала (пилот-сигнала), отправленного базовой станцией 104, и определить для базовой станции 104 желаемую скорость передачи данных на терминал 106 доступа. Терминал 106 доступа может отправлять базовой станции 104 сообщения канала запроса данных или управления скоростью передачи данных (DRC), чтобы сообщить базовой станции 104 желаемую скорость передачи данных.
Системный контроллер 102 (также называемый контроллером базовой станции (BSC)) может обеспечить координацию и управление для базовых станций 104 и также может управлять маршрутизацией вызовов на терминалы 106 доступа через базовые станции 104. Системный контроллер 102 также может быть соединен с телефонной коммутируемой сетью общего пользования (PSTN) через центр коммуникации мобильной связи (MSC) и с сетью передачи пакетных данных через узел обслуживания пакетных данных (PDSN).
Система связи 100 может использовать одну или более технологий связи, таких как многостанционный доступ с кодовым разделением каналов (CDMA), стандарт IS-95, высокоскоростная передача пакетных данных (HRPD), также называемая высокой скоростью передачи данных (HDR), определенная в “Спецификации беспроводного интерфейса высокоскоростная передача пакетных данных cdma2000”, стандарт TIA/EIA/IS-856, многостанционный доступ с кодовым разделением каналов эволюционного стандарта 1x для передачи данных (1xEV-DO) и эволюционного стандарта 1x для передачи данных и голоса (1xEV-DV), широкополосный многостанционный доступ с кодовым разделением каналов (WCDMA), универсальная система мобильной связи (UMTS), многостанционный доступ с кодовым разделением каналов с синхронным разделением по времени (TD-SCDMA), мультиплексирование с ортогональным частотным разделением сигналов (OFDM) и т.д. Описанные ниже примеры обеспечивают подробности для ясности понимания. Представленные здесь идеи также применимы к другим системам, и примеры не предназначены для ограничения настоящей заявки.
Фиг.2 иллюстрирует пример структуры и/или процесса передатчика, которая может быть осуществлена в терминале 106 доступа, показанном на фиг.1. Функции и компоненты, показанные на фиг.2, могут быть осуществлены посредством программного обеспечения, аппаратных средств или комбинации программного обеспечения и аппаратных средств. В дополнение или вместо функций, показанных на фиг.2, могут быть добавлены другие функции.
Источник 200 данных выдает данные на кодер 202, который кодирует биты данных с использованием одной или более схем кодирования для обеспечения закодированных элементарных сигналов данных. Каждая схема кодирования может включать в себя один или более типов кодирования, таких как контроль с помощью циклического избыточного кода (CRC), сверточное кодирование, турбокодирование, блочное кодирование, другие типы кодирования или никакого кодирования вообще. Другие схемы кодирования могут включать в себя автоматический запрос на повторение (ARQ), гибридный ARQ (H-ARQ) и возрастающие методики повторения избыточности. Разные типы данных могут быть закодированы с помощью разных схем кодирования. Перемежитель 204 перемежает (чередует) биты закодированных данных для борьбы с затуханием.
Модулятор 206 модулирует закодированные чередованные данные для формирования модулированных данных. Примеры методик модуляции включают в себя двоичную фазовую модуляцию (BPSK) и квадратурную фазовую модуляцию (QPSK). Модулятор 206 также может повторить последовательность модулированных данных, или блок перфорирования символов может перфорировать биты символа. Модулятор 206 также может расширить спектр модулированных данных с помощью покрытия Уолша (то есть кода Уолша) для формирования элементарных сигналов данных. Модулятор 206 также может осуществить мультиплексирование с разделением по времени элементарных сигналов данных с элементарными контрольными сигналами и элементарными сигналами управления доступом к среде (MAC), чтобы сформировать поток элементарных сигналов. Модулятор 206 также может использовать расширение спектра с помощью псевдослучайного шума (PN), чтобы расширить спектр потока элементарных сигналов с помощью одного или более PN-кодов (например, короткого кода, длинного кода).
Блок 208 преобразования основной полосы в радиочастоту может преобразовать сигналы основной полосы частот в радиосигналы для передачи через антенну 210 по линии беспроводной связи на одну или более базовых станций 104.
Фиг.3 иллюстрирует пример процесса и/или структуры приемника, которые могут быть осуществлены в базовой станции 104, показанной на фиг.1. Функции и компоненты, показанные на фиг.3, могут быть осуществлены посредством программного обеспечения, аппаратных средств или комбинации программного обеспечения и аппаратных средств. В дополнение или вместо функций, показанных на фиг.3, могут быть добавлены другие функции.
Одна или более антенн 300 принимают модулированные сигналы обратной линии связи от одного или более терминалов 106 доступа. Несколько антенн могут обеспечить пространственное разнесение против вредных эффектов на пути распространения, таких как затухание. Каждый принятый сигнал выдается на соответствующий приемник или блок 302 преобразования радиочастоты в основную полосу, который обрабатывает (например, фильтрует, усиливает, преобразует с понижением частоты) и оцифровывает принятый сигнал для формирования выборок данных для этого принятого сигнала.
Демодулятор 304 может демодулировать принятые сигналы, чтобы выдать восстановленные символы. Для стандарта CDMA2000 демодуляция пытается восстановить передачу данных посредством (1) разделения на каналы выборок со сжатым спектром, чтобы изолировать или разделить принятые данные и контрольный сигнал на их соответствующие кодовые каналы, и (2) когерентной демодуляции разделенных на каналы данных с помощью восстановленного контрольного сигнала, чтобы обеспечить демодулированные данные. Демодулятор 304 может включать в себя буфер 312 принятых выборок (также называемый общей входной оперативной памятью (FERAM) или оперативной памятью для выборок) для хранения выборок принятых сигналов для всех пользователей / терминалов доступа, рейк-приемник 314 для сжатия спектра и обработки нескольких экземпляров сигнала и буфер 316 демодулированных символов (также называемый выходной оперативной памятью (BERAM) или оперативной памятью для демодулированных символов). Может иметься множество буферов 316 демодулированных символов для соответствия множеству пользователей / терминалов доступа.
Обратный перемежитель 306 осуществляет обратное перемежение (чередование) данных от демодулятора 304.
Декодер 308 может декодировать демодулированные данные для восстановления битов декодированных данных, переданных терминалом 106 доступа. Декодированные данные могут быть выданы приемнику 310 данных.
Фиг.4 иллюстрирует другой вариант воплощения процесса и структуры приемника базовой станции. На фиг.4 биты данных успешно декодированного пользователя подают на вход блока 400 восстановления, который включает в себя кодер 402, перемежитель 404, модулятор 406 и фильтр 408. Кодер 402, перемежитель 404 и модулятор 406 могут быть аналогичны кодеру 202, перемежителю 204 и модулятору 206, показанным на фиг.2. Фильтр 408 формирует выборки декодированного пользователя с разрешающей способностью входной оперативной памяти (FERAM), например, изменяет скорость элементарных сигналов на удвоенную (2x) скорость элементарных сигналов. Вклад декодированных данных пользователя во входную оперативную память (FERAM) затем удаляется или аннулируется из входной оперативной памяти (FERAM) 312.
Хотя ниже описано подавление помех в базовой станции 104, изложенные здесь концепции могут быть применены к терминалу 106 доступа или любому другому компоненту системы связи.
Подавление помех в трафике
Пропускная способность обратной линии связи CDMA может быть ограничена взаимными помехами между пользователями, так как сигналы, переданные разными пользователями, не ортогональны в базовой приемопередающей станции (BTS) 104. Поэтому методики, которые уменьшают взаимные помехи между пользователями, улучшат производительность системы обратной линии связи CDMA. Здесь описаны методики для эффективного осуществления подавления взаимных помех для усовершенствованных систем CDMA, таких как система стандарта CDMA2000 1xEV-DO RevA.
Каждый пользователь системы стандарта DO RevA передает сигналы трафика, контрольные и служебные, все из которых могут вызвать взаимные помехи с другими пользователями. Как показано на фиг.4, сигналы могут быть восстановлены и вычтены из входной оперативной памяти 312 в базовой приемопередающей станции (BTS) 104. Переданный контрольный сигнал известен в базовой приемопередающей станции (BTS) 104 и может быть восстановлен на основе знания о канале. Однако служебные сигналы (такие как индикатор обратной скорости передачи (RRI), канал запроса данных или управления скоростью передачи данных (DRC), канал источника данных (DSC), подтверждение передачи (ACK)) сначала демодулируются и обнаруживаются, а переданные сигналы данных демодулируются, подвергаются обратному чередованию и декодируются в базовой приемопередающей станции (BTS) 104 для определения служебных элементарных сигналов и трафика. На основе определения переданных элементарных сигналов для данного сигнала блок 400 восстановления затем может восстановить долю воздействия на входную оперативную память (FERAM) 312 на основе знаний о канале.
Биты пакета данных из источника 200 данных могут быть повторены и преобразованы кодером 202, перемежителем 204 и/или модулятором 206 во множество соответствующих “подпакетов” для передачи на базовую станцию 104. Если базовая станция 104 принимает сигнал с высоким значением отношения сигнала к шуму, первый подпакет может содержать достаточную информацию для базовой станции 104, чтобы декодировать и получить первоначальный пакет данных. Например, пакет данных из источника 200 данных может быть повторен и преобразован в четыре подпакета. Пользовательский терминал 106 отправляет первый подпакет базовой станции 104. Базовая станция 104 может иметь относительно низкую вероятность правильного декодирования и получения первоначального пакета данных из первого принятого подпакета. Но поскольку базовая станция 104 принимает второй, третий и четвертый подпакеты и объединяет информацию, полученную из каждого принятого подпакета, вероятность декодирования и получения первоначального пакета данных увеличивается. Как только базовая станция 104 правильно декодирует первоначальный пакет (например, с использованием контроля с помощью циклического избыточного кода (CRC) или других методик обнаружения ошибок), базовая станция 104 отправляет сигнал подтверждения приема пользовательскому терминалу 106, чтобы он прекратил отправлять подпакеты. Затем пользовательский терминал 106 может отправить первый подпакет нового пакета.
Обратная линия связи системы стандарта DO-RevA использует гибридный автоматический запрос на повторение (H-ARQ) (фиг.7), где каждый пакет с 16 интервалами разбивается на 4 подпакета и передается в чередованной структуре с 8 интервалами между подпакетами одного и того же чередования. Кроме того, разные пользователи/терминалы 106 доступа могут начать свои передачи на разных границах интервала, и поэтому подпакеты с 4 интервалами разных пользователей достигают базовой приемопередающей станции (BTS) асинхронно. Эффекты асинхронизма и эффективная конструкция приемников с подавлением взаимных помех для гибридного автоматического запроса на повторение (H-ARQ) и CDMA описаны ниже.
Выигрыш от подавления взаимных помех зависит от порядка, в котором сигналы удаляют из входной оперативной памяти (FERAM) 312. Здесь раскрыты методики, имеющие отношение к декодированию (и вычитанию, если успешно проходит контроль с помощью циклического избыточного кода) сигналов пользователей на основе отношения уровня сигнала трафика к уровню контрольного сигнала (T2P), эффективного отношения сигнала к шуму и помехе (SINR) или вероятность декодирования. Здесь раскрыты различные подходы для повторной попытки демодуляции и декодирования сигналов пользователей после того, как другие были удалены из входной оперативной памяти (FERAM) 312. Подавление взаимных помех во входной оперативной памяти (FERAM) 312 базовой приемопередающей станции (BTS) может быть эффективно осуществлено для принятия во внимание асинхронных систем CDMA, таких как система стандарта EV-DO RevA, в которой пользователи передают контрольные сигналы, управляющие сигналы и сигналы трафика с использованием гибридного автоматического запроса на повторение (H-ARQ). Это раскрытие также может быть применено к системам стандартов EV-DV Rel D, W-CDMA EUL и cdma2000.
Подавление взаимных помех в трафике может быть определено как разностное подавление взаимных помех, которое удаляет вклад данных пользователя во входную оперативную память (FERAM) 312 после того, как данные этого пользователя были правильно декодированы (фиг.4). Этот документ направлен на некоторые практические проблемы, связанные с подавлением взаимных помех в трафике в системах CDMA, таких как системы стандартов CDMA2000, EV-DO, EV-DV и WCDMA. Многие из этих проблем вызваны тем, что реальные системы имеют асинхронность пользовательских данных и гибридный автоматический запрос на повторение (H-ARQ). Например, система стандарта CDMA2000 преднамеренно расширяет спектр фреймов с пользовательскими данными равномерно во времени, чтобы предотвратить излишнюю задержку в сети с обратной передачей. Системы стандартов EV-DO RevA, EV-DV Rel D и WCDMA EUL также используют гибридный автоматический запрос на повторение (H-ARQ), который привносит более чем одну возможную длину данных.
Многопользовательское обнаружение является главной категорией алгоритмов, под которые попадает подавление взаимных помех в трафике, и относится к любому алгоритму, который пытается улучшить производительность, позволяя обнаруживать двух разных взаимодействующих пользователей. Способ подавления взаимных помех в трафике может включать в себя комбинированную схему последовательного подавления взаимных помех и параллельного подавления взаимных помех. “Последовательным подавлением взаимных помех” называется любой алгоритм, который декодирует данные пользователей последовательно и использует данные предварительно декодированных пользователей для улучшения производительности. “Параллельным подавлением взаимных помех” вообще называется одновременное декодирование данных пользователей и одновременное вычитание всех декодированных данных пользователей.
Подавление взаимных помех в трафике может отличаться от подавление взаимных помех в контрольных сигналах. Одно различие между подавлением взаимных помех в трафике и подавлением взаимных помех в контрольных сигналах заключается в том, что переданный контрольный сигнал заранее хорошо известен приемнику. Поэтому подавление взаимных помех в контрольных сигналах может вычесть вклад контрольных сигналов в принятый сигнал с использованием только оценки канала. Второе значительное различие заключается в том, что передатчик и приемник тесно взаимодействуют на трафике через механизм гибридного автоматического запроса на повторение (H-ARQ). Приемник не знает переданную последовательность данных, пока данные пользователя не будут успешно декодированы.
Аналогично желательно удалять служебные каналы из входной оперативной памяти по методике, называемой подавлением помех в служебных сигналах. Служебные каналы не могут быть удалены, пока базовая приемопередающая станция (BTS) 104 не знает переданные служебные данные, и это определяется посредством декодирования и затем преобразования служебных сообщений.
Последовательное подавление взаимных помех определяет класс способов. Цепное правило взаимной информации показывает, что при идеальных условиях последовательное подавление взаимных помех может достигнуть пропускной способности канала многостанционного доступа. Главные условия для этого состоят в том, что все данные пользователей являются синхронными по фреймам и канал каждого пользователя может быть оценен с незначительной ошибкой.
Фиг.5 иллюстрирует общий пример распределения мощности трех пользователей (пользователя 1, пользователя 2, пользователя 3), где пользователи передают фреймы синхронно (фреймы от всех пользователей принимают в одно и то же время), и каждый пользователь передает с одной и той же скоростью передачи данных. Каждому пользователю предписывается использовать конкретную мощность передачи, например, пользователь 3 передает на мощности, существенно равной мощности шума; пользователь 2 передает на мощности, существенно равной мощности пользователя 3 плюс мощность шума; и пользователь 1 передает на мощности, существенно равной мощности пользователя 2 плюс мощность пользователя 3 плюс мощность шума.
Приемник обрабатывает сигналы от пользователей в порядке убывания мощности передачи. Начиная с k=1 (пользователь 1 с самой высокой мощностью), приемник пытается декодировать данные пользователя 1. Если декодирование успешно, то вклад данных пользователя 1 в принятый сигнал формируется и вычитается на основе оценки его канала. Это можно назвать последовательным подавлением взаимных помех с синхронными фреймами. Приемник продолжает обработку, пока декодирование не будет предпринято для всех пользователей. Каждый пользователь имеет одно и то же отношение сигнала к шуму и помехе (SINR) после подавления взаимных помех последовательного подавления взаимных помех ранее декодированных данных пользователей.
К сожалению, этот подход может быть очень чувствительным к ошибкам декодирования. Если данные одного пользователя с большой мощностью, такого как пользователь 1, не декодированы правильно, отношение сигнала к шуму и помехе (SINR) всех последующих пользователей может быть сильно ухудшено. Это может воспрепятствовать декодированию данных всех пользователей после этого момента. Другой недостаток этого подхода состоит в том, что он требует, чтобы пользователи имели конкретные относительные мощности на приемнике, что трудно гарантировать в затухающих каналах.
Асинхронизм фреймов и подавление взаимных помех, например, в стандарте cdma2000
Предположим, что смещения фреймов пользователей преднамеренно расположены со сдвигом друг относительно друга. Эта операция с асинхронными фреймами имеет множество выгод для системы в целом. Например, обработка мощности и сетевой пропускной способности в приемнике тогда имеет более равномерный во времени профиль использования. Напротив, синхронизм фреймов среди пользователей требует всплесков мощности обработки и использования сетевых ресурсов в конце границы каждого фрейма, так как все пользователи завершают пакет в одно и то же время. При асинхронизме фреймов базовая приемопередающая станция (BTS) 104 может сначала декодировать данные пользователя с самым ранним временем прибытия, а не с наибольшей мощностью.
Фиг.6 показывает пример равномерного распределения смещений во времени для подавления взаимных помех в трафике с асинхронными фреймами для пользователей с равной мощностью передачи. Фиг.6 изображает снимок момента времени непосредственно перед тем, как фрейм 1 пользователя 1 должен быть декодирован. Так как фрейм 0 уже был декодирован и аннулирован для всех пользователей, его вклад во взаимные помехи показан заштрихованным (пользователи 2 и 3). Вообще, этот подход уменьшает взаимные помехи в 2 раза. Половина взаимных помех была удалена подавлением взаимных помех в трафике перед декодированием фрейма 1 пользователя 1.
В другом варианте воплощения пользователи на фиг.6 могут обозначать группы пользователей, например, группу 1 пользователей, группу 2 пользователей, группу 3 пользователей.
Выгодой от асинхронизма и подавления взаимных помех является относительная симметричность между пользователями с точки зрения уровней мощности и статистики ошибок, если они желают одинаковые скорости передачи данных. В общем, при последовательном подавлении взаимных помех с равными скоростями передачи данных у пользователей данные последнего пользователя принимаются с очень малой мощностью, и они также весьма зависят от успешного декодирования данных всех предшествующих пользователей.
Асинхронизм гибридного автоматического запроса на повторение (H-ARQ) и чередование, например, в стандарте EV-DO RevA
Фиг.7 иллюстрирует структуру чередования (например, в системе стандарта 1xEV-DO RevA), используемую для пакетов данных обратной линии связи (RL) и канала автоматического запроса на повторение прямой линии связи. Каждое чередование (чередование 1, чередование 2, чередование 3) содержит ряд сегментов, смещенных во времени. В этом примере каждый сегмент имеет длительность в четыре интервала времени. В течение каждого сегмента пользовательский терминал может передать подпакет на базовую станцию. Имеется три чередования, и каждый сегмент имеет длительность в четыре интервала времени. Таким образом, имеется восемь интервалов времени между концом подпакета данного чередования и начала следующего подпакета того же самого чередования. Это дает приемнику достаточно времени для декодирования подпакета и передачи подтверждения приема (ACK) или неподтверждения приема (NAK) на передатчик.
Гибридный автоматического запроса на повторение (H-ARQ) использует переменный во времени характер затухающих каналов. Если состояние канала является хорошим для первых 1, 2 или 3 подпакетов, то фрейм данных может быть декодирован с использованием только этих подпакетов, и приемник отправляет на передатчик подтверждение приема (ACK). Подтверждение приема (ACK) инструктирует передатчик не посылать оставшиеся подпакет(ы), а начать передачу нового пакета, если это желательно.
Архитектура приемника для подавления взаимных помех
При подавлении взаимных помех в трафике декодированные данные пользователей восстанавливаются и вычитаются (рис. 4), таким образом, базовая приемопередающая станция (BTS) 104 может удалить взаимные помехи, которые декодированные данные пользователей причиняют другим пользователям. Приемник с подавлением взаимных помех в трафике может быть оборудован двумя циклическими блоками памяти: входной оперативной памятью (FERAM) 312 и выходной оперативной памятью (BERAM) 316.
Входная оперативная память (FERAM) 312 хранит принятые выборки (например, на удвоенной (2x) скорости передачи элементарных сигналов) и является общей для всех пользователей. Приемник без подавления взаимных помех в трафике использует входную оперативную память (FERAM) только приблизительно на 1-2 интервала (чтобы приспособиться к задержкам процесса демодуляции), поскольку не происходит вычитания взаимных помех в трафике или служебных данных. В приемнике с подавлением взаимных помех в трафике для системы с гибридным автоматическим запросом на повторение (H-ARQ) входная оперативная память (FERAM) может охватывать много интервалов, например 40 интервалов, и обновляется подавлением взаимных помех в трафике через вычитание взаимных помех данных декодированных пользователей. В другой конфигурации входная оперативная память (FERAM) 312 может иметь длину, которая охватывает менее полного пакета, например, длину, которая охватывает период времени с начала подпакета пакета до конца последующего подпакета пакета.
Выходная оперативная память (BERAM) 316 хранит демодулированные символы принятых битов, сформированные рейк-приемником 314 демодулятора. Каждый пользователь может иметь отдельную выходную оперативную память (BERAM), так как демодулированные символы получают посредством сжатия спектра с заданной для пользователя PN-последовательностью и объединения отводов рейк-приемника. Как приемник с подавлением взаимных помех в трафике, так и приемник без него могут использовать выходную оперативную память (BERAM) 316. Выходная оперативная память (BERAM) 316 в подавлении взаимных помех в трафике используется для хранения демодулированных символов предыдущих подпакетов, которые больше не хранятся во входной оперативной памяти (FERAM) 312, когда входная оперативная память (FERAM) 312 не охватывает все подпакеты. Выходная оперативная память (BERAM) 316 может обновляться либо всякий раз, когда происходит попытка декодирования, либо всякий раз, когда существует интервал из входной оперативной памяти (FERAM) 312.
Способы выбора длины входной оперативной памяти (FERAM)
Размер выходной оперативной память (BERAM) 316 и входной оперативной памяти (FERAM) 312 может быть выбран в соответствии с различными компромиссами между необходимой мощностью обработки, пропускной способности передачи из блоков памяти на процессоры, задержек и производительности системы. Вообще, при использовании более короткой входной оперативной памяти (FERAM) 312 польза от подавления взаимных помех в трафике будет ограничена, так как самый старый подпакет не будет обновляться. С другой стороны, более короткая входная оперативная память (FERAM) 312 дает уменьшенное количество демодуляций, вычитаний и более низкую пропускную способность передачи.
При чередовании стандарта RevA пакет с 16 интервалами (четыре подпакета, каждый подпакет передается в 4 интервалах) охватит 40 интервалов. Поэтому может использоваться входная оперативная память (FERAM) с 40 интервалами, чтобы гарантировать удаление данных пользователя из всех затронутых интервалов.
Фиг.8 иллюстрирует входную оперативную память (FERAM) 312 с 40 интервалами, которая охватывает весь пакет с 16 интервалами для стандарта EV-DO RevA. Всякий раз, когда принят новый подпакет, для этого пакета предпринимается попытка декодирования с использованием всех доступных подпакетов, сохраненных во входной оперативной памяти (FERAM) 312. Если декодирование успешно, то вклад этого пакета аннулируется из входной оперативной памяти (FERAM) 312 посредством восстановления и вычитания вклада всех составляющих подпакетов (1, 2, 3 или 4). Для стандарта DO-RevA длина входной оперативной памяти (FERAM) в 4, 16, 28 или 40 интервалов охватит соответственно 1, 2, 3 или 4 подпакета. Длина входной оперативной памяти (FERAM), реализованной в приемнике, может зависеть от соображений сложности, необходимости поддерживать различное время прибытия данных пользователей и возможности повторного выполнения демодуляции и декодирования данных пользователей на предыдущих смещениях фрейма.
Фиг.9A иллюстрирует общий способ подавления взаимных помех в трафике для примера последовательного подавления взаимных помех без задержанного декодирования. Другие улучшения будут описаны ниже. Процесс начинается на этапе 900 и переходит на этап 902 выбора задержки. При последовательном подавлении взаимных помех блок 902 выбора задержки может быть опущен. На этапе 903 базовая приемопередающая станция (BTS) 104 выбирает одного пользователя (или группу пользователей) среди тех пользователей, которые завершили передачу подпакета в текущем интервале.
На этапе 904 демодулятор 304 демодулирует выборки подпакетов выбранного пользователя для некоторых или всех сегментов времени, сохраненных во входной оперативной памяти (FERAM) 312, в соответствии с расширением спектра и последовательностью шифрования данных пользователя, так же с размерами их совокупности. На этапе 906 декодер 308 пытается декодировать пользовательский пакет с использованием предварительно демодулированных символов, сохраненных в выходной оперативной памяти (BERAM) 316 и демодулированных выборках входной оперативной памяти (FERAM).
На этапе 910 декодер 308 или другой блок может определить, был ли пользовательский пакет успешно декодирован, то есть проходит проверку на ошибки, например, с использованием контроля с помощью циклического избыточного кода (CRC).
Если пользовательский пакет не удалось декодировать, на этапе 918 терминалу 106 доступа отправляют неподтверждение приема (NAK). Если пользовательский пакет правильно декодирован, на этапе 908 терминалу 106 доступа отправляют подтверждение приема (ACK) и на этапах 912-914 выполняют подавление взаимных помех. Этап 912 восстанавливает пользовательский сигнал в соответствии с декодированным сигналом, импульсной характеристикой канала и фильтрами передачи/приема. Этап 914 вычитает вклад данных пользователя из входной оперативной памяти (FERAM) 312, тем самым сокращая его помехи для пользователей, которые еще не были декодированы.
И после неудачи, и после успеха в декодировании в блоке 916 приемник переходит к следующему пользователю, который будет декодирован. Когда попытка декодирования была выполнена для всех пользователей, новый интервал вставляется во входную оперативную память (FERAM) 312 и весь процесс повторяется на следующем интервале. Образцы могут быть записаны во входную оперативную память (FERAM) 312 в реальном времени, то есть выборки с двойной (2x) скоростью передачи элементарного сигнала могут быть записаны в каждую половину элементарного сигнала.
Фиг.9B иллюстрирует устройство, содержащее средства 930-946 выполнения способа, показанного на фиг.9A. Средства 930-946 на фиг.9B могут быть реализованы в аппаратных средствах, программном обеспечении или комбинации аппаратных средств и программного обеспечения.
Способы выбора порядка декодирования
Этап 903 указывает, что подавление взаимных помех в трафике может быть применено либо последовательно к каждому пользователю, либо параллельно к группе пользователей. По мере того как группы становятся большими, сложность выполнения может уменьшиться, но польза от подавления взаимных помех в трафике может уменьшиться, если подавление взаимных помех в трафике не выполняется с помощью итераций, как описано ниже.
Критерии, согласно которым пользователи группируются и/или упорядочиваются, могут изменяться в соответствии со скоростью изменения канала, типом трафика и доступной мощности обработки. Хорошим порядком декодирования может являться декодирование данных сначала тех пользователей, которые являются самыми полезными для удаления и для которых наиболее вероятно произвести декодирование. Критерии для достижения наибольшей выгоды от подавления взаимных помех в трафике могут включать в себя:
A. Размер полезной информации и отношение уровня сигнала трафика к уровню контрольного сигнала (T2P): базовая приемопередающая станция (BTS) 104 может группировать или упорядочивать пользователей согласно размеру полезной информации и декодировать, начиная с тех, у кого наибольшая мощность передачи, то есть наибольшее отношение уровня сигнала трафика к уровню контрольного сигнала (T2P). Декодирование и удаление данных пользователей с большим отношением уровня сигнала трафика к уровню контрольного сигнала (T2P) из входной оперативной памяти (FERAM) 312 имеют наибольшую выгоду, поскольку они причиняют большинство взаимных помех другим пользователям.
В. Отношение сигнала к шуму и помехе (SINR): базовая приемопередающая станция (BTS) 104 может декодировать данные пользователей с более высоким отношением сигнала к шуму и помехе (SINR) перед пользователями с более низким отношением сигнала к шуму и помехе (SINR), так как пользователи с более высоким отношением сигнала к шуму и помехе (SINR) имеют более высокую вероятность декодирования. Кроме того, пользователи со сходным отношением сигнала к шуму и помехе (SINR) могут быть сгруппированы. В случае затухающих каналов отношение сигнала к шуму и помехе (SINR) является переменным во времени по пакету и, таким образом, может быть вычислено эквивалентное отношение сигнала к шуму и помехе (SINR), чтобы определить соответствующее упорядочение.
C. Время: базовая приемопередающая станция (BTS) 104 может декодировать “более старые” пакеты (то есть те, для которых в базовой приемопередающей станции (BTS) 104 было принято больше подпакетов) перед “более новыми” пакетами. Этот выбор отражает предположение, что для данного отношения уровня сигнала трафика к уровню контрольного сигнала (T2P) и цели завершения автоматического запроса на повторение (ARQ) вероятность декодирования пакетов возрастает с каждым дополнительным подпакетом.
Способы повторной попытки декодирования
Всякий раз, когда данные пользователя правильно декодированы, его вклад в помехи вычитается из входной оперативной памяти (FERAM) 312, тем самым увеличивая потенциальную возможность правильного декодирования всех пользователей, которые совместно используют некоторые интервалы. Полезно повторять попытку декодировать данные пользователей, которые ранее терпели неудачу, поскольку помехи, с которыми они столкнулись, возможно, значительно снизились. Этап 902 выбора задержки выбирает интервал (текущий или прошедший), используемый для декодирования и подавления помех. Этап 903 выбора пользователей выберет пользователей, которые завершают подпакет в интервале выбранной задержки. Выбор задержки может быть основанным на следующих вариантах:
A. Текущее декодирование указывает выбор перемещения к следующему (будущему) интервалу, когда для всех пользователей были предприняты попытки декодирования и следующий интервал доступен во входной оперативной памяти (FERAM) 312. В этом случае для каждого пользователя попытка декодирования предпринимается один раз на обработанный интервал, и это соответствует последовательному подавлению взаимных помех.
B. Итеративное декодирование пытается декодировать данные пользователей более чем один раз на обработанный интервал. Вторая и последующие итерации декодирования извлекут выгоду из подавления помех от пользователей, декодированных на предыдущих итерациях. Итерационное декодирование приносит пользу, когда несколько пользователей декодируются параллельно, без промежуточного подавления помех. При чистом итерационном декодировании на текущем интервале этап 902 выбора задержки просто выбирает тот же самый интервал (то есть задержку) несколько раз.
С. Обратное декодирование: приемник демодулирует подпакеты и пытается декодировать пакет на основе демодулирования всех доступных подпакетов во входной оперативной памяти (FERAM), соответствующих этому пакету. После попытки декодировать пакеты с подпакетом, который завершается в текущем интервале времени (то есть данные пользователей на текущем смещении фрейма), приемник может попытаться декодировать пакеты, которые не удалось декодировать в предыдущем интервале (то есть данные пользователей на предыдущем смещении фрейма). Из-за частичного перекрытия среди асинхронных пользователей удаленные взаимные помехи подпакетов, которые завершаются в текущем интервале, улучшат возможности декодирования прошлых подпакетов. Процесс может быть выполнен итеративно с возвратом на большее количество интервалов. Максимальная задержка передачи подтверждения (ACK)/неподтверждения (NAK) по прямой линии связи может ограничивать обратное декодирование.
D. Прямое декодирование: после попытки декодировать все пакеты с подпакетами, которые завершаются в текущем интервале, приемник также может попытаться декодировать данные самых последних пользователей до того, как их полный подпакет записан во входную оперативную память (FERAM). Например, приемник может попытаться декодировать данные пользователей после того, как были приняты 3 из 4 их интервалов самого последнего подпакета.
Способы обновления выходной оперативной памяти (BERAM)
В приемнике базовой приемопередающей станции (BTS) без подавления взаимных помех в трафике пакеты декодируются исключительно на основе демодулируемых символов, сохраненных в выходной оперативной памяти (BERAM), и входная оперативная память (FERAM) используется только для демодулирования данных пользователей из самых новых временных сегментов. При подавлении взаимных помех в трафике к входной оперативной памяти (FERAM) 312 по-прежнему обращаются всякий раз, когда приемник пытается демодулировать данные нового пользователя. Однако при подавлении взаимных помех в трафике входная оперативная память (FERAM) 312 обновляется после того, как данные пользователя правильно декодированы на основе восстановления и вычитания вклада этого пользователя. Из соображений сложности желательно выбрать длину буфера входной оперативной памяти (FERAM) меньше, чем промежуток пакета (например, требуется 40 интервалов, чтобы вместить пакет с 16 интервалами в стандарте EV-DO RevA). По мере того как новые интервалы записываются во входную оперативную память (FERAM) 312, они переписываются поверх самых старых выборок в циклическом буфере. Поэтому, когда новые интервалы приняты, самые старые интервалы перезаписаны, и декодер 308 будет использовать выходную оперативную память (BERAM) 316 для этих старых интервалов. Следует отметить, что даже если данный подпакет расположен во входной оперативной памяти (FERAM) 312, выходная оперативная память (BERAM) 316 может использоваться для хранения самых последних демодулированных символов демодулятора (определенный из входной оперативной памяти (FERAM) 312) для этого подпакета как промежуточный этап в процессе чередования и декодирования. Имеется два основных варианта для обновления выходной оперативной памяти (BERAM) 316:
A. Обновление на основе пользователя: выходная оперативная память (BERAM) 316 для пользователя обновляется только вместе с декодированием, предпринятым для этого пользователя. В этом случае обновление более старых интервалов входной оперативной памяти (FERAM) может не принести результата для выходной оперативной памяти (BERAM) 316 для данного пользователя, если этот пользователь своевременно не декодирован (то есть обновленные интервалы входной оперативной памяти (FERAM) могут быть вытеснены из входной оперативной памяти (FERAM) 312 прежде, чем будет предпринята попытка декодирования его данных).
B. Обновление на основе интервала: чтобы полностью использовать выгоды подавления взаимных помех в трафике, выходная оперативная память (BERAM) 316 для всех затронутых пользователей может обновляться всякий раз, когда интервал выходит из входной оперативной памяти (FERAM) 312. В этом случае содержимое выходной оперативной памяти (BERAM) 316 включает в себя все сделанные для входной оперативной памяти (FERAM) 312 вычитания взаимных помех.
Способы подавления взаимных помех в подпакетах, которые прибывают вследствие пропущенного предельного срока подтверждения (ACK)
В общем, дополнительная обработка, используемая подавлением взаимных помех в трафике, вносит задержку в процесс декодирования, особенно когда используются либо итерационные, либо обратные схемы. Эта задержка может превысить максимальную задержку, при которой передатчику можно отправить подтверждение (ACK), чтобы остановить передачу подпакетов, относящихся к тому же самому пакету. В этом случае приемник по-прежнему может использовать в своих интересах успешное декодирование, используя декодированные данные, чтобы вычесть не только прошлые подпакеты, но также и те, которые будут приняты в ближайшем будущем вследствие пропущенного подтверждения (ACK).
При подавлении взаимных помех в трафике декодированные данные пользователей восстанавливаются и вычитаются так, чтобы базовая станция 104 могла устранить помехи, которые они причиняют подпакетам других пользователей. При гибридном автоматическом запросе на повторение (H-ARQ) всякий раз, когда принят новый подпакет, предпринимается попытка декодирования первоначального пакета. Если декодирование успешно, то для гибридного автоматического запроса на повторение (H-ARQ) с подавлением взаимных помех в трафике вклад этого пакета может быть аннулирован из принятых выборок посредством восстановления и вычитания составляющих подпакетов. В зависимости от соображений сложности возможно аннулировать помехи из 1, 2, 3 или 4 подпакетов посредством сохранения более длинной хронологии выборок. Вообще подавление взаимных помех может быть применено либо последовательно к каждому пользователю, либо к группам пользователей.
Фиг.10 иллюстрирует буфер 312 выборок в три момента времени: время интервала n, через n+12 интервалов и через n+24 интервала. В иллюстративных целях фиг.10 показывает одно чередование с подпакетами от трех пользователей, которые находятся на одном и том же смещении фрейма, чтобы подчеркнуть операцию подавления взаимных помех с гибридным автоматическим запросом на повторение (H-ARQ). Буфер 312 выборок приемника на фиг.10 охватывает все 4 подпакета (что может быть достигнуто для стандарта EV-DO RevA с помощью буфера с 40 интервалами, поскольку имеется 8 интервалов между каждым подпакетом с 4 интервалами). Недекодированные подпакеты показаны затененными. Декодированные подпакеты показаны как незатененные в буфере с 40 интервалами и аннулируются. Каждый момент времени соответствует прибытию другого подпакета в чередовании. Во время интервала n четыре сохраненных подпакета пользователя 1 правильно декодированы, в то время как самые последние подпакеты от пользователей 2 и 3 декодировать не удалось.
В момент времени n+12 интервалов прибывают последовательные подпакеты чередования с подавлением взаимных помех декодированных подпакетов 2, 3 и 4 пользователя 1. В течение момента времени n+12 интервалов пакеты от пользователей 2 и 3 успешно декодируются. Фиг.10 применяет подавление взаимных помех к группам пользователей, которые находятся на том же самом смещении фрейма, но не выполняет последовательное подавление взаимных помех в пределах группы. В классическом групповом подавлении взаимных помех пользователи в одной группе не наблюдают подавления взаимных помех. Поэтому, по мере того как количество пользователей в группе растет, уменьшается сложность реализации, но имеется потеря вследствие отсутствия подавления между пользователями одной группы для одной и той же попытки декодирования. Однако при гибридном автоматическом запросе на повторение (H-ARQ) приемник пытается декодировать данные всех пользователей в группе после того, как прибывает каждый новый подпакет, разрешая пользователям в одной группе достигнуть подавления взаимных помех. Например, когда пакет пользователя 1 декодируется в момент времени n, это помогает пакетам пользователей 2 и 3 декодироваться в момент времени n+12, что затем помогает пользователю 1 декодироваться в момент времени n+24. Все подпакеты ранее декодированного пакета могут быть аннулированы перед повторной попыткой декодирования для других пользователей, когда прибывают их следующие подпакеты. Ключевой момент состоит в том, что хотя конкретные пользователи могут всегда быть в одной и той же группе, их подпакеты получают пользу от подавления взаимных помех, когда декодируются другие члены группы.
Совместное подавление взаимных помех в каналах контрольного сигнала, служебного сигнала и трафика
Проблема, к которой обращается этот раздел, имеет отношение к улучшению пропускной способности обратной линии связи системы CDMA посредством эффективной оценки и подавления помех между несколькими пользователями в приемнике базовой станции. Вообще, сигнал пользователя в обратной линии связи состоит из каналов контрольного сигнала, служебного сигнала и трафика. Этот раздел описывает схему совместного подавления взаимных помех каналов контрольного сигнала, служебного сигнала и трафика для всех пользователей.
Описано два аспекта. Во-первых, вводится подавление взаимных помех, внесенных служебным сигналом. В обратной линии связи служебный сигнал от каждого пользователя действует как помехи для сигналов всех других пользователей. Для каждого пользователя совокупные помехи вследствие служебных сигналов всех других пользователей могут составлять большой процент от всех помех, испытываемых этим пользователем. Удаление этих совокупных помех служебного сигнала может еще более улучшить производительность системы (например, для системы стандарта CDMA2000 1xEV-DO RevA) и увеличить пропускную способность обратной линии связи вдобавок к производительности и пропускной способности, достигнутых подавлением взаимных помех контрольного сигнала и подавлением взаимных помех в трафике.
Во-вторых, демонстрируются важные взаимодействия между подавлением взаимных помех контрольного сигнала, подавлением взаимных помех служебного сигнала и подавлением взаимных помех трафика через системную производительность и компромиссы в конструкции аппаратных средств. Описаны несколько схем того, как лучше всего объединить все три процедуры подавления. Некоторые из них могут иметь больше отдачи в производительности, и некоторые могут иметь больше преимуществ в сложности. Например, одна из описанных схем удаляет все контрольные сигналы перед декодированием всех каналов служебного сигнала и трафика, затем декодирует и аннулирует последовательным образом каналы служебного сигнала и трафика пользователей.
Этот раздел основан на системе стандарта CDMA2000 1x EV-DO RevA и вообще применим к другим системам CDMA, таким как W-CDMA, CDMA2000 1x и CDMA2000 1x EV-DV.
Способы подавления каналов служебного сигнала
Фиг.11 иллюстрирует структуру каналов служебного сигнала обратной линии связи, например, для стандарта EV-DO RevA. Имеется два типа каналов служебного сигнала: один тип предназначен для помощи в демодуляции/декодировании обратной линии связи и включает в себя канал индикатора обратной скорости передачи (RRI) и вспомогательный канал контрольного сигнала (используемый, когда размер полезной информации составляет 3072 бита или выше); другой тип предназначен способствовать функционированию прямой линии связи и включает в себя канал управления скоростью передачи данных (DRC), канал управления источником данных (DSC) и канал подтверждения приема (ACK). Как показано на фиг.11, каналы ACK и DSC мультиплексированы по времени на основе интервала. Канал ACK передается только тогда, когда подтверждается прием пакета, переданного этому же самому пользователю по прямой линии связи.
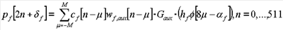
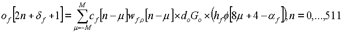
Среди служебных каналов данные вспомогательного канала контрольного сигнала априорно известны в приемнике. Поэтому аналогично первичному каналу контрольного сигнала для этого канала не требуются демодуляция и декодирование, и вспомогательный канал контрольного сигнала может быть восстановлен на основе знаний о канале. Восстановленный вспомогательный контрольный сигнал может быть с разрешением двойной (2x) скорости передачи элементарных сигналов и может быть представлен как (по одному сегменту)


Уравнение 1. Восстановленные вспомогательные контрольные сигналы, где n соответствует частоте дискретизации x1, f – номер отвода рейк-приемника, cf – PN-последовательность, wf,aux – код Уолша, назначенный вспомогательному каналу контрольного сигнала, Gaux – относительный коэффициент усиления этого канала к первичному контрольному сигналу, hf – оцененный коэффициент канала (или отклик канала), который предполагается постоянным на одном сегменте, – функция фильтра или свертка переданного импульса и фильтр нижних частот приемника разрешения элементарный сигнал x8 (предполагается, что нельзя пренебречь на интервале [-MTc, MTc]), f – временное смещение этого отвода при разрешении элементарный сигнал x8, и f= f mod 4 и .
Вторая группа служебных каналов, которая включает в себя каналы DRC, DSC и RRI, кодируется либо биортогональными кодами, либо симплексными кодами. На стороне приемника для каждого канала демодулированный выходной сигнал сначала сравнивается с пороговым значением. Если выходной сигнал ниже порогового значения, объявляется стирание и не предпринимается попыток восстановления для этого сигнала. В ином случае они декодируются посредством детектора с применением максимального правдоподобия на основе символов, который может находиться в декодере 308, показанном на фиг.4. Декодированные выходные биты используются для восстановления соответствующего канала, как показано на фиг.4. Восстановленные сигналы для этих каналов заданы как:


Уравнение 2. Восстановленные служебные сигналы (DRC, DSC и RRI)
По сравнению с уравнением 1 имеется один новый элемент do, который представляет собой данные служебного канала, wf,o – покрытие Уолша и Gaux представляет коэффициент усиления служебного канала относительно первичного контрольного сигнала.
Оставшийся служебный канал – 1-битный канал ACK. Он может быть модулирован с помощью двоичной фазовой модуляции (BPSK), незакодированным и повторяемым через половину интервала. Приемник может демодулировать сигнал и делать четкое решение на основе данных канала ACK. Модель восстановленного сигнала может быть такой же, как уравнение 2.
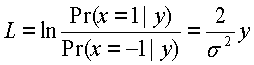
Другой подход к восстановлению сигнала канала ACK предполагает, что демодулированный и накопленный сигнал ACK после нормализации может быть представлен как
,
где – переданный сигнал и z – масштабируемая шумовая составляющая с дисперсией 2. Тогда логарифмический коэффициент правдоподобия (LLR) для у задается как

Тогда в целях восстановления нечеткой оценкой переданного бита может быть:

где функция tanh может быть сведена в таблицу. Восстановленный сигнал ACK очень сходен с уравнением 2, но за исключением замены d0 на . Вообще, подход с нечеткой оценкой и аннулированием должен дать более хорошую производительность подавления помех, так как приемник не знает данные наверняка, и этот способ затрагивает доверительный уровень. Этот подход вообще может быть распространен на упомянутые выше служебные каналы. Однако сложность детектора максимальной эмпирической вероятности для получения логарифмического коэффициента правдоподобия (LLR) для каждого бита экспоненциально растет с количеством информационных битов в одном символе кода.
Один эффективный способ осуществления восстановления служебного канала заключается в том, что один отвод рейк-приемника может масштабировать каждый декодированный служебный сигнал с помощью своего относительного коэффициента усиления, покрыть его кодом Уолша и просуммировать их вместе, затем расширить спектр с помощью одной PN-последовательности и профильтровать через фильтр h все вместе. Этот способ может сэкономить как сложность вычислений, так и пропускную способность памяти для целей вычитания.
становится 
Совместное подавление взаимных помех в контрольном сигнале, служебном сигнале и трафике
Совместное подавление взаимных помех в контрольном сигнале, служебном сигнале и трафике может быть выполнено для достижения высокой эффективности и увеличения системной пропускной способности. Разные последовательности декодирования и подавления для совместного подавления взаимных помех в контрольном сигнале, служебном сигнале и трафике могут привести к разной системной производительности и различным воздействиям на сложность конструкции аппаратных средств.
Сначала подавление взаимных помех в контрольном сигнале, затем подавление взаимных помех в служебном сигнале и трафике вместе (первая схема)
Фиг.12A иллюстрирует способ подавления взаимных помех сначала в контрольном сигнале и затем способ подавления взаимных помех в служебном сигнале и трафике вместе. После стартового этапа 1200 приемник получает оценку канала для всех пользователей и выполняет управление мощностью на этапе 1202. Так как данные контрольного сигнала для всех пользователей известны в базовой приемопередающей станции (BTS), они могут быть вычтены, как только их каналы оценены на этапе 1204 подавления взаимных помех в контрольном сигнале. Таким образом, каналы трафика всех пользователей и некоторые каналы служебного сигнала испытывают меньше помех и могут извлечь выгоду из предварительного подавления в контрольном сигнале.
На этапе 1206 выбирают группу G недекодированных пользователей, например, тех, чьи пакеты или подпакеты завершаются на границе текущего интервала. На этапах 1208-1210 выполняют демодуляцию и декодирование канала служебного сигнала/трафика. На этапе 1212 только успешно декодированные данные канала будут восстановлены и вычтены из входной оперативной памяти (FERAM) 312, разделяемой всеми пользователями. На этапе 1214 проверяют, имеются ли еще пользователи для декодирования. На этапе 1216 процесс завершается.
Декодирование/восстановление/подавление могут производиться последовательным образом от одного пользователя в группе к следующему пользователю в группе, что можно назвать последовательным подавлением взаимных помех. При таком подходе пользователи с более поздней очередью декодирования в одной группе извлекают выгоду из подавления пользователей с более ранней очередью декодирования. Упрощенный подход состоит в том, чтобы сначала декодировать всех пользователей в одной группе и затем вычесть их вклады помех все вместе. Второй подход или схема (описанная ниже) дают и более низкую пропускную способность памяти, и более эффективную конвейерную архитектуру. В обоих случаях пакеты пользователей, которые не завершаются на одной и той же границе интервала, но накладываются на эту группу пакетов, получают пользу от этого подавления. Это подавление может составлять большую часть выигрыша от подавления помех в асинхронной системе CDMA.
Фиг.12B иллюстрирует устройство, содержащее средства 1230-1244 для выполнения способа, показанного на фиг.12A. Средства 1230-1244 на фиг.12B могут быть реализованы в аппаратных средствах, программном обеспечении или комбинации аппаратных средств и программного обеспечения.
Фиг.13A иллюстрирует вариант способа, показанного на фиг.12A. На этапах 1204-1210 удаляют сигнал на основе начальной оценки канала на этапе 1202. На этапе 1300 получают оценку канала на основе данных или уточненную оценку канала. Оценка канала на основе данных может обеспечить более хорошую оценку канала, как описано ниже. На этапе 1302 выполняют остаточное подавление взаимных помех в канале контрольного сигнала, то есть удаляют пересмотренную оценку сигнала на основе уточнения оценки канала на этапе 1300.
Например, предположим, что этапы 1204-1210 привели к удалению начальной оценки сигнала (например, контрольного сигнала) P1[n] из принятых выборок. Тогда на основе более хорошей оценки канала, полученной на этапе 1300, способ формирует пересмотренную оценку сигнала P2[n]. Способ затем может удалить разность P2[n]-P1[n] из местоположений выборок в оперативной памяти 312.
Фиг.13B иллюстрирует устройство, содержащее средства 1230-1244, 1310, 1312 для выполнения способа, показанного на фиг.13A. Средства 1230-1244, 1310, 1312 на фиг.13B могут быть реализованы в аппаратных средствах, программном обеспечении или комбинации аппаратных средств и программного обеспечения.
Сначала подавление взаимных помех в контрольном сигнале, затем подавление взаимных помех в служебном сигнале и затем подавление взаимных помех в трафике (вторая схема)
Эта вторая схема аналогична схеме на фиг.12A, описанной выше, за исключением того, что каналы служебного сигнала одной группы пользователей демодулируются и декодируются прежде, чем демодулируются и декодируются все каналы трафика. Эта схема является подходящей для системы без чередований, так как не накладывается строгий предельный срок подтверждения (ACK). Для системы с чередованием, например, стандарта DO RevA, поскольку сигналы ACK/NAK отвечают на подпакеты трафика, допустимая задержка декодирования подпакетов канала трафика обычно ограничена в пределах пары интервалов (1 интервал=1,67 мс). Таким образом, если некоторые каналы служебного сигнала растянут больше, чем этот масштаб времени, такая схема может стать невыполнимой. В частности, в стандарте DO RevA вспомогательный канал контрольного сигнала и канал ACK находятся в формате с короткой продолжительностью и могут быть вычтены перед подавлением взаимных помех в трафике.
Совместное подавление в канале контрольного сигнала /служебного сигнала/трафика (третья схема)
Фиг.14A иллюстрирует способ выполнения совместного подавления взаимных помех в контрольном сигнале, служебном сигнале и трафике. После стартового этапа 1400 приемник получает оценку канала для всех пользователей и выполняет управление мощностью на этапе 1402. На этапе 1404 выбирают группу G недекодированных пользователей. На этапе 1406 выполняют повторную оценку канала из контрольных сигналов. На этапах 1408-1410 пытаются выполнять демодуляцию и декодирование канала служебного сигнала/трафика. На этапе 1412 выполняют подавление взаимных помех в канале контрольного сигнала для всех пользователей и подавление взаимных помех в канале служебного сигнала и подавление взаимных помех в трафике только для пользователей с успешно декодированными данными канала.
В отличие от первой схемы (фиг.12A), описанной выше, после оценки канала для всех пользователей (этап 1402) контрольные сигналы не вычитаются из входной оперативной памяти (FERAM) 312 сразу же, и оценка канала используется для управления мощностью, как в схеме без подавления помех. Затем для группы пользователей, которые завершились на одной границе пакета/подпакета, способ выполняет последовательное декодирование (этапы 1408 и 1410) в заданном порядке.
Для пользователя с предпринятой попыткой декодирования способ сначала повторно оценивает канал из контрольного сигнала (этап 1402). Контрольный сигнал испытывает меньше помех по сравнению с временем (этап 1402), когда он был демодулирован для управления мощностью благодаря подавлению взаимных помех ранее декодированных пакетов, которые перекрываются с пакетом трафика, который должен быть декодирован. Поэтому качество оценки канала улучшено, что приносит пользу и для декодирования трафика, и для производительности подавления. Эта новая оценка канала используется для декодирования трафика (этап 1410), а также декодирования некоторых каналов служебного сигнала (этап 1408) (например, канала RRI в стандарте EV-DO). Как только процесс декодирования закончен для одного пользователя на этапе 1412, способ вычтет вклад помехи этого пользователя из входной оперативной памяти (FERAM) 312, которая включает в себя его контрольный канал и все декодированные каналы служебного сигнала/трафика.
На этапе 1414 проверяют, имеются ли еще пользователи для декодирования. На этапе 1416 процесс завершается.
Фиг.14B иллюстрирует устройство, содержащее средства 1420-1436 для выполнения способа, показанного на фиг.14A. Средства 1420-1436 на фиг.14B могут быть реализованы в аппаратных средствах, программном обеспечении или комбинации аппаратных средств и программного обеспечения.
Фиг.15A иллюстрирует вариант способа, показанного на фиг.14A. На этапе 1500 получают оценку канала на основе данных. На этапе 1502 выполняют необязательное дополнительное остаточное подавление взаимных помех для канала контрольного сигнала, как на фиг.13A.
Фиг.15B иллюстрирует устройство, содержащее средства 1420-1436, 1510, 1512 для выполнения способа, показанного на фиг.15A. Средства 1420-1436, 1510, 1512 на фиг.15B могут быть реализованы в аппаратных средствах, программном обеспечении или комбинации аппаратных средств и программного обеспечения.
Компромиссы между первой и третьей схемами
Может показаться, что первая схема должна иметь превосходящую производительность по сравнению с третьей схемой, так как контрольные сигналы известны в базовой приемопередающей станции (BTS) и имеет смысл аннулировать их сначала. Если предположить, что обе схемы имеют одно и то же качество подавления, первая схема может превзойти по быстродействию третью схему на всех скоростях передачи данных. Однако для первой схемы, поскольку оценка канала контрольного сигнала встречает больше помех, чем демодуляция данных трафика, предполагаемые коэффициенты канала, используемые для цели восстановления (как для канала контрольного сигнала, так и для канала служебного сигнала/трафика), могут содержать больше шума. Однако для третьей схемы, поскольку оценка канала контрольного сигнала повторно сделана прямо перед демодуляцией/декодированием данных трафика, уровень помех, встречаемых по этой уточненной оценке канала, является тем же, как для демодуляции данных трафика. Тогда в среднем качество подавления третьей схемы может быть лучше, чем у первой схемы.
С точки зрения конструкции аппаратных средств третья схема может иметь небольшой перевес: способ может суммировать данные контрольного и декодированных каналов служебного сигнала и трафика и аннулировать их вместе, поэтому такой подход экономит пропускную способность памяти. С другой стороны, повторная оценка контрольного сигнала может быть выполнена вместе либо с демодуляцией служебного канала, либо с демодуляцией трафика (с точки зрения считывания выборок из памяти), и, таким образом, нет увеличения требований к пропускной способности памяти.
Если предположить, что качество подавления первой схемы составляет 80% или 90% от качества подавления третьей схемы, имеются компромиссы между скоростью передачи данных на пользователя и выигрышем по количеству пользователей. Вообще, для первой схемы благоприятно, если все пользователи находятся в области с низкой скоростью передачи данных и, напротив, если все пользователи имеют высокую скорость передачи данных. Способ также может повторно оценивать канал на основе трафика, как только декодирован один пакет данных. Качество подавления должно улучшиться, поскольку трафик работает при (намного) более высоком отношении сигнала к шуму (SNR) по сравнению с каналом контрольного сигнала.
Каналы служебных сигналов могут быть удалены (подавлены), как только они успешно демодулированы, и трафики могут быть удалены, как только они были успешно демодулированы и декодированы. Возможно, что базовая станция может успешно демодулировать/декодировать служебные каналы и трафики всех терминалов доступа в некоторый момент времени. Если это (подавление взаимных помех в каналах контрольного сигнала, служебного сигнала, трафика) происходит, то входная оперативная память (FERAM) будет содержать только остаточные помехи и шум. Данные каналов контрольного сигнала, служебного сигнала и трафика могут быть аннулированы в различных порядках и аннулированы для подмножеств терминалов доступа.
Один подход состоит в том, чтобы выполнять подавление взаимных помех (в любой комбинации подавления взаимных помех в каналах контрольного сигнала, служебного сигнала и трафика) для одного пользователя в момент времени в оперативной памяти 312. Другой подход состоит в том, чтобы (a) накапливать восстановленные сигналы (в любой комбинации подавления взаимных помех в каналах контрольного сигнала, служебного сигнала и трафика) для группы пользователей и (b) затем выполнять подавление взаимных помех для группы одновременно. Эти два подхода могут быть применены к любому из способов, схем и процессов, раскрытых здесь.
Улучшение оценки канала для подавления взаимных помех
Способность точно восстанавливать принятые выборки может значительно затронуть системную производительность приемника CDMA, который реализует подавление взаимных помех, восстанавливая и удаляя различные компоненты переданных данных. В рейк-приемнике канал с многолучевым распространением оценивается посредством PN сжатия спектра относительно контрольной последовательности и затем фильтрации контрольного сигнала (то есть накопления) за подходящий промежуток времени. Длина фильтрации контрольного сигнала обычно выбирается как компромисс между увеличением отношения сигнала к шуму (SNR) оценки, накапливая больше выборок, хотя не накапливая так долго, чтобы отношение сигнала к шуму (SNR) оценки ухудшилось посредством изменения канала во времени. Оценка канала на основе выхода фильтра контрольных сигналов затем используется для выполнения демодуляции данных.
Как описано выше для фиг.4, один практический способ реализации подавления взаимных помех в приемнике CDMA должен восстановить вклад различных переданных потоков с разрешением элементарный сигнал x1 в выборках входной оперативной памяти (FERAM) (например, с разрешением элементарный сигнал x2). Это включает в себя определение переданных потоков элементарных сигналов и оценку полного канала между элементарными сигналами передатчика и выборками приемника. Поскольку оценки канала на основе отводов рейк-приемника представляют собой непосредственно канал с многолучевым распространением, полная оценка канала также должна учитывать наличие фильтрации передатчика и приемника.
Этот раздел раскрывает несколько методик для улучшения этой полной оценки канала для подавления взаимных помех в приемнике CDMA. Эти методики могут быть применимы к системам стандартов CDMA2000, 1xEV-DO, 1xEV-DV, WCDMA.
Чтобы выполнять подавление взаимных помех в трафике для пакета, который правильно декодирован, приемник на фиг.4 может взять информационные биты с выхода декодера и восстановить переданный поток элементарных сигналов посредством повторного кодирования, повторного чередования, повторной модуляции, повторного применения коэффициента усиления канала передачи данных и повторного расширения спектра. Чтобы оценить принятые выборки для подавления взаимных помех в трафике с оценкой канала контрольного сигнала, переданный поток элементарных сигналов будет свернут с помощью модели фильтров передатчика и приемника и оценки канала рейк-приемника на основе сжатия спектра с помощью контрольной PN-последовательности.
Вместо того чтобы использовать оценку канала контрольного сигнала, может быть получена улучшенная оценка канала (при задержке каждого отвода рейк-приемника) посредством сжатия спектра с восстановленными элементарными сигналами данных непосредственно. Эта улучшенная оценка канала не является полезной для демодуляции данных пакета, так как пакет уже правильно декодирован, но используется исключительно для восстановления вклада этого пакета в выборки входной оперативной памяти. С помощью этой методики для каждой из задержек отводов рейк-приемника (например, при разрешении элементарный сигнал x8) способ может “сжать спектр” принятых выборок (например, интерполированных к разрешению элементарный сигнал x8) с помощью потока элементарных сигналов восстановленных данных и накапливать их за подходящий промежуток времени. Это приведет к улучшенной оценке канала, поскольку трафик передается с более высокой мощностью, чем канал контрольного сигнала (это отношение интенсивности сигнала трафика к интенсивности контрольного сигнала (T2P) является функцией скорости передачи данных). Использование элементарных сигналов данных для оценки канала для подавления взаимных помех в трафике может привести к более точной оценке канала для пользователей с более высокой мощностью, которых наиболее важно подавлять с высокой точностью.
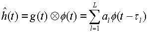
Вместо того, чтобы оценивать канал с многолучевым распространением при каждой из задержек отводов рейк-приемника, этот раздел также описывает процедуру оценки канала, которая явно оценивает объединенный эффект фильтра передатчика, канала с многолучевым распространением и фильтра приемника. Эта оценка может быть с той же самой разрешающей способностью, как у дискретизированных с более высокой частотой входных выборок (например, разрешение x2 входной оперативной памяти (FERAM)). Оценка канала может быть достигнута посредством сжатия спектра входных выборок с помощью элементарных сигналов восстановленных данных передачи, чтобы достичь коэффициента отношения интенсивности сигнала трафика к интенсивности контрольного сигнала (T2P) в точности оценки канала. Отрезок времени равномерно разнесенных оценок канала может быть выбран на основе информации о задержках отводов рейк-приемника и априорной оценки объединенного отклика фильтров передатчика и приемника. Кроме того, информация от отводов рейк-приемника может использоваться для уточнения равномерно разнесенных оценок канала.
Фиг.16 иллюстрирует модель системы передачи с фильтром p(t) передатчика, общим/составным каналом h(t) (в отличие от канала g(t) с многолучевым распространением, описанного ниже), и фильтром q(t) приемника. Цифровое представление полосы частот канала беспроводной связи может быть смоделировано L дискретными компонентами многолучевого распространения
 |
Уравнение 3 |
где комплексные амплитуды путей – al с соответствующими задержками l. Объединенный эффект фильтров передатчика и приемника может быть определен как (t), где
 |
Уравнение 4 |
где – обозначает свертку. Часто выбирают, чтобы объединенное (t) было подобно отклику по закону приподнятого косинуса. Например, в стандарте CDMA2000 и его производных отклик подобен примеру (t), показанному на фиг.17. Полной оценка задается как
 |
Уравнение 5 |
Фиг.18A и 18B показывают пример оценки канала (действительные и мнимые компоненты) на основе оцененного канала с многолучевым распространением на каждом из трех отводов рейк-приемника. В этом примере фактический канал показан как сплошная линия и al даны звездочками. Восстановление (пунктирная линия) основано на использовании al в уравнении 3 выше. Оценки канала на основе отводов рейк-приемника на фиг.18A и 18B основаны на сжатии спектра с помощью элементарных контрольных сигналов (причем общее отношение сигнала к шуму контрольного сигнала составляет -24 дБ).
Сжатие спектра при задержках отводов рейк-приемника с помощью восстановленных элементарных сигналов данных вместо элементарных контрольных сигналов
Качество оценки канала имеет прямое воздействие на точность восстановления вклада пользователя в принятый сигнал. Чтобы улучшить производительность систем CDMA, которые реализуют подавление взаимных помех, возможно использовать восстановленные элементарные сигналы данных пользователя, чтобы определить улучшенную оценку канала. Это улучшит точность вычитания помехи. Одна методика для систем CDMA может быть описана как “сжатие спектра относительно переданных элементарных сигналов данных пользователя” в противоположность классическому “сжатию спектра относительно переданных элементарных контрольных сигналов пользователя”.
Вспомним, что оценки канала на основе отводов рейк-приемника на фиг.18A-18B основаны на сжатии спектра с помощью элементарных контрольных сигналов (причем общее отношение сигнала к шуму контрольного канала составляет -24 дБ). Фиг.19A-19B показывают примеры улучшенной оценки канала на основе отводов рейк-приемника и сжатия спектра с помощью элементарных сигналов данных, причем элементарные сигналы данных переданы с мощностью, которая на 10 дБ больше мощности элементарных контрольных сигналов.
Фиг.20A иллюстрирует способ сжатия спектра при задержках в отводах рейк-приемника с помощью восстановленных элементарных сигналов данных. На этапе 2000 рейк-приемник 314 (фиг.4) сжимает спектр входных выборок с помощью элементарных контрольных сигналов, чтобы получить значения отводов рейк-приемника. На этапе 2002 демодулятор 304 выполняет демодуляцию данных. На этапе 2004 декодер 308 выполняет декодирование данных и осуществляет контроль с помощью циклического избыточного кода. На этапе 2006, если контроль с помощью циклического избыточного кода проходит, блок 400 определяет переданные элементарные сигналы данных посредством повторного кодирования, повторного чередования, повторной модуляции и повторного расширения спектра. На этапе 2008 блок 400 сжимает спектр входных выборок с помощью переданных элементарных сигналов данных, чтобы получить улучшенную оценку канала при каждой задержке отвода рейк-приемника. На этапе 2010 блок 400 восстанавливает вклад каналов трафика и служебного сигнала пользователя во входные выборки с помощью улучшенной оценки канала.
Фиг.20B иллюстрирует устройство, содержащее средства 2020-2030 выполнения способа, показанного на фиг.20A. Средства 2020-2030 на фиг. 20B могут быть реализованы в аппаратных средствах, программном обеспечении или комбинации аппаратных средств и программного обеспечения.
Оценка составного канала с разрешением входной оперативной памяти (FERAM) с помощью восстановленных элементарных сигналов данных
Классические CDMA приемники могут оценивать комплексное значение канала с многолучевым распространением при каждой из задержек отводов рейк-приемника. Входной каскад приемника до рейк-приемника может включать в себя фильтр нижних частот приемника (то есть q(t)), которому соответствует фильтр передатчика (то есть p(t)). Таким образом, чтобы приемник реализовал фильтр, которому соответствует выход канала, сам рейк-приемник пытается соответствовать только каналу с многолучевым распространением (то есть g(t)). Задержки отводов рейк-приемника обычно управляются от независимых отслеживающих время контуров в пределах минимальных требований разделения (например, отводы рейк-приемника разнесены, по меньшей мере, на один элементарный сигнал друг от друга). Однако сам физический канал с многолучевым распространением может часто иметь энергию в континууме задержек. Таким образом, один способ оценивает составной канал (то есть h(t)) на разрешении входных выборок (например, x2 для входной оперативной памяти (FERAM)).
При управлении мощностью передачи на обратной линии связи CDMA обычно задают, чтобы отношение сигнала к шуму (SNR) объединенных отводов рейк-приемника от всех многолучевых антенн приемника лежало в конкретном диапазоне. Этот диапазон отношения сигнала к шуму (SNR) может привести к оценке составного канала, полученной из элементарных контрольных сигналов со сжатым спектром, которые имеют относительно большую дисперсию оценки. Именно поэтому рейк-приемник пытается только поместить отводы рейк-приемника в “пиках” профиля задержки энергии. Но с преимуществом отношения уровня сигнала трафика к уровню контрольного сигнала (T2P) сжатия спектра с помощью восстановленных элементарных сигналов данных оценка составного канала может привести к более хорошей оценке канала h(t), чем прямая оценка канала g(t), объединенного с моделью (t).
Описанная здесь процедура оценки канала явно оценивает объединенный эффект фильтра передатчика, канала с многолучевым распространением и фильтра приемника. Эта оценка может быть в том же разрешении, как входные выборки с увеличенной частотой дискретизации (например, разрешение x2 для входной оперативной памяти (FERAM)). Оценка канала может быть достигнута посредством сжатия спектра входных выборок с помощью восстановленных элементарных сигналов данных передачи, чтобы достичь коэффициента усиления отношения уровня сигнала трафика к уровню контрольного сигнала (T2P) в точности оценки канала. Отрезок времени равномерно разделенных оценок канала может быть выбран на основе информации о задержках отводов рейк-приемника и априорной оценке объединенного отклика фильтров передатчика и приемника. Кроме того, информация от отводов рейк-приемника может использоваться для уточнения равномерно разделенных оценок канала. Следует отметить, что методика оценки составного канала самого по себе также полезна, поскольку она не требует, чтобы конструкция использовала априорную оценку (t).
Фиг.21A, 21B показывают пример оценки сложного канала с использованием равномерно расположенных выборок на разрешении x2. На фиг.21A, 21B отношение сигнала к шуму (SNR) элементарных сигналов данных составляет -4 дБ, что соответствует отношению сигнала к шуму (SNR) контрольного сигнала -24 дБ и отношению уровня сигнала трафика к уровню контрольного сигнала (T2P) -20 дБ. Равномерная оценка канала дает более хорошее качество по сравнению со сжатием спектра с помощью элементарных сигналов данных только в местоположениях отводов рейк-приемника. При высоком отношении сигнала к шуму (SNR) эффекты “fatpath” ограничивают способность точно восстановить канал с использованием местоположения отвода рейк-приемника. Подход равномерного осуществления выборки особенно полезен, когда отношение сигнала к шуму (SNR) оценки является высоким, соответствуя случаю сжатия спектра с помощью элементарных сигналов данных для высокого отношения уровня сигнала трафика к уровню контрольного сигнала (T2P). Когда отношение уровня трафика сигнала к уровню контрольного сигнала (T2P) является высоким для конкретного пользователя, точность восстановления канала является важной.
Фиг.22A иллюстрирует способ оценки составного канала при равномерном разрешении с использованием повторно сформированных элементарных сигналов данных. Этапы 2000-2006 и 2010 аналогичны фиг.20A, описанной выше. На этапе 2200 рейк-приемник 314 (фиг. 4) или другой компонент определяет промежуток времени для равномерного восстановления на основе задержек отводов рейк-приемника. На этапе 2202 демодулятор 304 или другой компонент определяет улучшенную оценку канала посредством сжатия спектра входных выборок с помощью переданных элементарных сигналов данных при равномерных задержках для соответствующих промежутков времени.
Фиг.22B иллюстрирует устройство, содержащее средства 2020-2030, 2220, 2222 для выполнения способа, показанного на фиг.22A. Средства 2020-2030 на фиг.22B могут быть реализованы в аппаратных средствах, программном обеспечении или комбинации аппаратных средств и программного обеспечения.
В описании выше g(t) является непосредственно беспроводным каналом с многолучевым распространением, в то время как h(t) включает в себя беспроводной канал с многолучевым распространением, а также фильтрацию передатчика и приемника: h(t)=g(t) в свертке с phi(t).
Описанные выше “выборки” могут быть с любой произвольной частотой дискретизации (например, дважды на элементарный сигнал), но “элементарные сигналы данных” – один на элементарный сигнал.
“Повторно сформированные элементарные сигналы данных” сформированы повторным кодированием, повторным чередованием, повторной модуляцией и повторным расширением спектра, как показано на этапе 2006 на фиг.20A и описано выше. В принципе, “повторное формирование” подражает процессу, который информационные биты прошли в мобильном передатчике (терминале доступа).
“Восстановленные выборки” представляют собой выборки, сохраненные во входной оперативной памяти (FERAM) 312 или в отдельной памяти от входной оперативной памяти (FERAM) 312 в приемнике (например, дважды на элементарный сигнал). Эти восстановленные выборки сформированы посредством свертки (повторно сформированных) переданных элементарных сигналов данных с помощью оценки канала.
Слова “восстановленный” и “повторно сформированный” могут использоваться взаимозаменяемо, если дается контекст либо к преобразованию переданных элементарных сигналов данных, либо к преобразованию принятых выборок. Выборки или элементарные сигналы могут быть преобразованы, так как “элементарные сигналы” преобразуются посредством повторного кодирования и т.д., тогда как “выборки” преобразуются на основе использования преобразованных элементарных сигналов и включения эффектов беспроводного канала (оценка канала) и фильтрации передатчика и приемника. Оба слова “восстановить” и “повторно формировать” существенно обозначают восстановить или преобразовать. Не имеется никакого технического различия. Один вариант воплощения исключительно использует “повторно формировать” для элементарных сигналов данных и “восстанавливать” для выборок. Тогда приемник может иметь блок повторного формирования элементарных сигналов данных и блок восстановления выборок.
Адаптация усиления подканалов передачи на линии обратной связи систем CDMA с подавлением взаимных помех
Взаимные помехи нескольких пользователей являются ограничивающим фактором в системе передачи CDMA, и любая методика приемника, которая смягчает эти помехи, может позволить существенные улучшения достижимой пропускной способности. Этот раздел описывает методики адаптации усиления подканалов передачи системы с подавлением взаимных помех.
При передаче по обратной линии связи каждый пользователь передает контрольные, служебные и сигналы трафика. Контрольные сигналы обеспечивают синхронизацию и оценку канала передачи. Служебные подканалы (такие как каналы RRI, DRC, DSC и ACK) необходимы для управления доступом к среде (MAC) и настройки декодирования трафика. Подканалы контрольных сигналов, служебных сигналов и трафика имеют различные требования к отношению сигнала к помехе и шуму (SINR). В системе CDMA отдельное управление мощностью может адаптировать мощность передачи контрольных сигналов, в то время как мощность подканалов служебных сигналов и трафика имеет фиксированное усиление относительно контрольных сигналов. Когда базовая приемопередающая станция (BTS) оборудована подавлением взаимных помех в каналах контрольного сигнала, служебного и трафика, разные подканалы испытывают разные уровни помех в зависимости от порядка подавления взаимных помех и возможностей подавления. В этом случае фиксированное отношение между усилениями подканалов может повредить системной производительности.
Этот раздел описывает новые стратегии управления усилением для различных логических подканалов в системе, которая реализует подавление взаимных помех. Методики основаны на системах CDMA, таких как стандарт EV-DO RevA, и могут быть применены к стандартам EV-DV Rel D,W-CDMA EUL и cdma2000.
Описанные методики реализуют управление мощностью и усилением на различных подканалах посредством адаптивного изменения усиления каждого подканала согласно измеренной производительности с точки зрения частоты появления ошибок пакетов, отношения сигнала к помехе и шуму (SINR) или мощности помех. Цель состоит в том, чтобы обеспечить надежный механизм управления мощностью и усилением, который позволяет полностью использовать потенциальные возможности подавления взаимных помех, обеспечивая надежность для передачи на переменном во времени рассеивающем подканале.
Подавление взаимных помех имеет отношение к удалению вклада логических подканалов во входные выборки после того, как эти подканалы были декодированы, чтобы уменьшить взаимные помехи в других сигналах, которые будут декодированы позже. При подавлении взаимных помех в канале контрольного сигнала переданный контрольный сигнал известен в базовой приемопередающей станции (BTS), и принятый контрольный сигнал восстанавливается с использованием оценки канала. При подавлении взаимных помех в канале трафика или служебного сигнала помехи удаляются посредством восстановления принятого подканала через его декодированную версию в базовой приемопередающей станции (BTS).
Текущая базовая приемопередающая станция (BTS) (без подавления взаимных помех) управляет мощностью подканала контрольного сигнала Ecp, чтобы отвечать требованиям частоты появления ошибок в трафике. Мощность подканала сигнала трафика связана с контрольными сигналами фиксированным множителем T2P (отношением уровня сигнала трафика к уровню контрольного сигнала), который зависит от типа полезной информации и задач завершения целей. Адаптация мощности контрольного сигнала выполняется механизмом управления мощности с обратной связью, включающим в себя внутренний и внешний контуры. Внутренний контур стремится сохранять отношение сигнала к шуму и помехе (SINR) контрольных сигналов (Ecp/Nt) на пороговом уровне T, в то время как управление мощностью во внешнем контуре изменяет пороговый уровень T, например, на основе частоты появления ошибок в пакетах (PER).
Когда подавление взаимных помех выполняется в приемнике (фиг.4), адаптация усилений подканала может быть полезной для системы. Фактически, поскольку каждый подканал испытывает разный уровень помех, их усиление относительно контрольных сигналов должно быть соответствующим образом адаптировано, чтобы обеспечить желаемую производительность. Этот раздел может решить проблему управления усилением для подканалов служебных и контрольных сигналов, и описаны методики для адаптации отношения уровня сигнала трафика к уровню контрольного сигнала (T2P), которые увеличивают пропускную способность системы посредством полного использования подавления взаимных помех.
Важные параметры в системе с подавлением взаимных помех
Два параметра, которые могут быть откорректированы, представляют собой усиления подканала служебного сигнала и отношение уровня сигнала трафика к уровню контрольного сигнала (T2P). Когда выполняется подавление взаимных помех в трафике, усиления подканалов служебных сигналов могут быть увеличены (по отношению к отсутствию подавления взаимных помех в трафике), чтобы позволить более гибкий компромисс между производительностью контрольного сигнала и служебного сигнала. Обозначив как G базовое значение G, используемое в текущей системе, новое значение усиления служебного канала будет:

В схемах без подавления взаимных помех подканалы служебного/контрольного сигнала испытывают тот же самый уровень помех, как каналы трафика, и некоторое отношение T2P/G может дать удовлетворительную производительность и для каналов служебного сигнала, и для трафика, а также для оценки канала контрольного сигнала. Когда используется подавление взаимных помех, уровень помех отличается для служебных/контрольных сигналов и сигналов трафика, и T2P может быть уменьшено, чтобы позволить согласованную работу двух типов подканалов. Для данного уровня полезной информации способ может позволить уменьшить T2P с множителем T2P относительно табулированного значения, чтобы удовлетворять требованиям. Обозначив как T2P базовое значение отношения уровня сигнала трафика к уровню контрольного сигнала (T2P), используемое для конкретного уровня полезной информации в текущей системе, новое значение T2P будет:

Параметр T2P может быть квантован в ряд конечных или дискретных значений (например, от – 0,1 дБ до -1,0 дБ) и отправлен терминалу 106 доступа.
Некоторые величины, которые могут находиться под управлением, представляют собой частоту появления ошибок в информационных пакетах (PER), отношение сигнала к шуму и помехе (SINR) контрольного сигнала и превышение теплового шума. Отношение сигнала к шуму и помехе (SINR) контрольного сигнала не должно опускаться ниже минимального уровня, желательного для хорошей оценки канала. Превышение теплового шума (ROT) важно для гарантии стабильности и энергетического потенциала обратной линии связи CDMA с управлением мощностью. В приемниках без подавления взаимных помех в трафике ROT определяется на принятом сигнале. Вообще, ROT должен оставаться в пределах предопределенного диапазона, чтобы предусмотреть хороший компромисс пропускной способности/охвата.
Управление превышением теплового шума
I0 обозначает мощность сигнала на входе приемника. Подавление взаимных помех в принятом сигнале приводит к сокращению мощности. I0 обозначает среднюю мощность сигнала на входе демодулятора 304 после подавления взаимных помех:

Значение I0 может быть измерено исходя из входных выборок после того, как они были обновлены посредством подавления помех. Когда выполняется подавление взаимных помех, ROT по-прежнему важен для служебного подканала, и ROT нужно управлять относительно порога, то есть гарантировать, что

где N0 является мощностью шума.
Однако подканалы трафика и некоторых служебных сигналов также извлекают выгоду из подавления взаимных помех. Производительность декодирования этих подканалов связана с превышением теплового шума, измеренным после подавления взаимных помех. Эффективный ROT – это отношение между мощностью сигнала после подавления взаимных помех и мощностью шума. Эффективный ROT можно управляться порогом, то есть

Ограничение на ROTeff может быть эквивалентно изложено как ограничение на I0 в предположении, что уровень шума не изменяется:

где – порог мощности сигнала, соответствующий .
Методика фиксированного усиления служебного сигнала
Когда превышение теплового шума (ROT) увеличивается, отношение сигнала к шуму и помехе (SINR) каналов контрольных и служебных сигналов (которые не извлекают выгоду из подавления взаимных помех) уменьшается, приводя к потенциальному увеличению скорости стирания. Чтобы компенсировать этот эффект, усиление служебного канала может быть увеличено либо посредством фиксированного значения, либо посредством адаптации к конкретным системным условиям.
Описана методика, в которой усиление служебного подканала фиксировано относительно контрольных сигналов. Предложенная методика адаптирует и уровень подканала контрольного сигнала, и значение T2P для каждого пользователя.
Управление c обратной связью отношением T2P при фиксированном значении G=0дВ
Фиг.23 иллюстрирует управление мощностью с обратной связью для Ecp и T2P и фиксированного значения G=0дБ (этап 2308). Это первое решение для адаптации T2P и Ecp содержит:
A. Внутренний и внешний контуры 2300, 2302 могут выполнять управление мощностью традиционным способом для адаптации Ecp. Внешний контур 2300 принимает целевое значение PER и PER трафика. Внутренний контур 2304 принимает порог T 2302 и измеренное значение SINR канала контрольного сигнала и выдает Ecp.
B. Управление 2306 усилением с обратной связью адаптирует T2P на основе измерения удаленной помехи. Управление 2306 усилением принимает измеренное значение ROT и измеренное значение ROTeff и выдает T2P. Приемник измеряет помеху, удаленную схемой подавления взаимных помех, и адаптирует T2P.
С. T2P можно периодически отправлять в сообщении всем терминалам 106 доступа в секторе.
Для адаптации T2P, если помеха после подавления уменьшена с I0 до I0 , отношение T2P может быть, следовательно, уменьшено на значение:

Ecp увеличится (через контур 2304 управления мощностью):

Отношение между общим количеством мощности передачи для системы с подавлением взаимных помех и без него будет:

где G – усиление служебного канала. Для больших значений отношения T2P (относительно G) отношение С может быть приближенно задано как:

Для оценки эффективного ROT эффективный ROT изменяется быстро вследствие как управления мощностью, так и изменений состояния канала. Вместо этого T2P отражает медленные изменения ROTeff. Следовательно, для выбора T2P эффективный ROT измеряется посредством длинного окна усреднения сигнала после подавления взаимных помех. Окно усреднения может иметь длину, по меньшей мере, в два раза больше, чем период обновления управления мощностью.
Управление с обратной связью отношением T2P при фиксированном значении G>0 дБ
Фиг.24 аналогична фиг.23, за исключением того, что управление 2306 усилением принимает пороговое значение эффективного ROT и значение G>0 дБ (этап 2400). Этот альтернативный способ адаптации T2P основан на требовании наличия одинакового покрытия соты и для системы с подавлением взаимных помех, и для системы без него. Распределение Ecp одинаково в обоих случаях. Эффект подавления взаимных помех является двукратным на полностью загруженной системе: i) мощность I0 сигнала до подавления помех увеличится относительно мощности сигнала системы без подавления помех; ii) вследствие управления мощностью с обратной связью посредством управления значением PER значение I0‘ будет иметь тенденцию быть аналогичным мощности сигнала системы без подавления помех. T2P адаптируется следующим образом:

Управление T2P на основе ACK
Фиг.25 иллюстрирует управление мощностью для Ecp и T2P на основе подканала ACK с фиксированным усилением подканала служебного сигнала (этап 2506).
Управление усилением с обратной связью значением T2P требует сигнала обратной связи от базовой приемопередающей станции (BTS) к терминалу доступа (AT), где все терминалы доступа (AT) принимают одно и то же широковещательное значение T2P от базовой приемопередающей станции (BTS). Альтернативное решение основано на управлении 2510 усилением без обратной связи значением T2P и управлении 2500, 2504 мощностью с обратной связью для контрольных сигналов. Управление мощностью контрольных сигналов с обратной связью включает в себя внутренний контур 2504, который корректирует Ecp согласно пороговому значению T0 на этапе 2502. Управление 2500 во внешнем контуре направляется посредством скорости стирания служебных подканалов, например, вероятностью ошибок подканала управления скоростью передачи данных (DRC) или скоростью стирания канала DRC. Порог T0 увеличивается всякий раз, когда скорость стирания канала DRC превышает порог, но постепенно уменьшается, когда скорость стирания канала DRC находится ниже порога.
Значение T2P адаптируется через прямой подканал ACK. В частности, измеряя статистику ACK и NACK, терминал доступа (AT) может оценить значение PER трафика (этап 2508) в базовой приемопередающей станции (BTS). Управление 2510 усилением сравнивает целевое значение PER трафика и измеренное значение PER. Всякий раз, когда PER выше порога, T2P увеличивается, пока отношение T2P’ не достигнет базового значения отношения T2P системы без подавления взаимных помех. С другой стороны, для более низких значений PER значение T2P уменьшается, чтобы полностью использовать процесс подавления взаимных помех.
Методика переменного усиления служебного сигнала
Дальнейшая оптимизация приемопередатчика может быть получена посредством адаптации не только T2P, но также усиления подканала служебного сигнала к процессу подавления взаимных помех. В этом случае необходим дополнительный сигнал обратной связи. Значения G могут быть квантованы от 0 дБ до 0,5 дБ.
Управление усилением служебного сигнала на основе мощности помех
Фиг.26 аналогична фиг.24, за исключением управления усилением 2600 каналом служебного сигнала. Способ для управления усилением 2600 подканала служебного сигнала основан на измеренной мощности сигнала после подавления взаимных помех. В этом случае Ecp предполагается, чтобы обеспечить такое же покрытие соты, как у системы без подавления взаимных помех. Сигнал до подавления взаимных помех имеет увеличенную мощность I0, и усиление служебного канала компенсирует увеличенную помеху. Эта реализация адаптирует усиление служебного канала посредством установки:

Можно не допускать, чтобы значение G становилось меньше 0 дБ, поскольку это соответствует уменьшению мощности служебного подканала, что вряд ли будет полезным.
Схема управления усилением и мощностью может включать в себя внутренний и внешний контуры 2304, 2300 для Ecp, как на фиг.23, контур 2600 управления усилением для G, как описано выше, контур 2306 управления усилением без обратной связи для T2P, где T2P увеличивается всякий раз, когда PER выше целевого значения, и уменьшается, когда PER ниже целевого значения. Максимальный уровень значения T2P разрешен и соответствует уровню приемника без подавления взаимных помех.
Управление усилением только служебного сигнала DRC
Фиг.27 иллюстрирует вариант фиг.26 с управлением 2702 усилением только канала служебного сигнала DRC.
Даже когда адаптируется усиление подканала служебного сигнала, управление 2700 усилением для значения T2P может быть выполнено с обратной связью, как описано выше. В этом случае значениями Ecp и T2P управляют в схеме на фиг.23, в то время как адаптация 2702 усиления подканала служебного сигнала выполняется через скорость стирания канала DRC. В частности, если стирание канала DRC выше порога, усиление 2702 подканала служебного сигнала увеличивается. Когда скорость стирания канала DRC ниже порога, усиление 2702 канала служебного сигнала постепенно уменьшается.
Управление отношением T2P в сети с несколькими сотами и несколькими секторами
Поскольку управление усилением для значения T2P выполняется на уровне соты и терминал доступа (AT) 106 может находиться в процессе мягкой эстафетной передачи, различные сектора могут формировать различные запросы адаптации. В этом случае могут быть предусмотрены различные варианты для выбора запроса T2P, которые должны быть отправлены терминалу доступа (AT). На уровне соты способ может выбрать минимальное сокращение отношения T2P среди тех, которые запрашиваются полностью загруженными секторами, то есть

где – T2P, требуемое сектором s. Терминал доступа (AT) может принимать разные запросы от разных сот, и в этом случае также могут быть приняты различные критерии. Способ может выбрать значение T2P, соответствующее обслуживающему сектору, чтобы гарантировать самую надежную связь с ним.
Для выбора T2P как в соте, так и в терминале доступа (AT) могут быть предусмотрены другие выборы, в том числе минимальное, максимальное и среднее значения среди требуемых значений.
Один важный аспект состоит в том, чтобы мобильные телефоны использовали отношение T2P =T2P × T2P, где T2P вычисляется в базовой приемопередающей станции (BTS) на основе измерения значений I0 и I0 (и, возможно, также знания ), и G =G × G, где G также вычисляется на базовой приемопередающей станции (BTS). Эти коэффициенты, вычисленные в базовой приемопередающей станции (BTS), передаются в широковещательной передаче каждой базовой приемопередающей станцией (BTS) на все терминалы доступа, которые реагирует соответствующим образом.
Раскрытые здесь концепции могут быть применены к системе WCDMA, которая использует такие служебные каналы, как специализированный физический канал управления (DPCCH), усовершенствованный специализированный физический канал управления (E-DPCCH) или высокоскоростной специализированный физический канал управления (HS-DPCCH). Система WCDMA может использовать формат специализированного физического канала передачи данных (DPDCH) и/или усовершенствованного специализированного физического канала передачи данных (EDPDCH).
Раскрытые здесь концепции могут быть применены к системам WCDMA с двумя разными структурами чередования, например, с интервалом времени передачи 2 мс и интервалом времени передачи 10 мс, таким образом, входная память, демодулятор и вычитающее устройство могут быть выполнены с возможностью охватывать один или более подпакетов пакетов, которые имеют разные интервалы времени передачи.
Для подавления взаимных помех в трафике данные трафика могут быть отправлены одним или более пользователями, по меньшей мере, в одном формате из множества, состоящего из формата EV-DO Release 0 и формата EV-DO Revision A.
Заданные порядки декодирования, описанные здесь, могут соответствовать порядку для демодулирования и декодирования. Повторное декодирование пакета должно быть из повторной демодуляции, поскольку процесс демодулирования пакета из входной оперативной памяти (FERAM) 312 переводит подавление взаимных помех в более хорошие входные данные для декодера.
Специалисты в области техники поймут, что информация и сигналы могут быть представлены с использованием любой из разнообразных технологий и методик. Например, данные, команды, информация, сигналы, биты, символы и элементарные сигналы, которые упоминаются всюду в изложенном выше описании, могут быть представлены напряжениями, токами, электромагнитными волнами, магнитными полями или частицами, оптическими полями или частицами или любой их комбинацией.
Специалисты в области техники также поймут, что различные иллюстративные логические блоки, модули, схемы и этапы алгоритма, описанные в связи с раскрытыми здесь вариантами воплощения, могут быть реализованы как электронные аппаратные средства, программное обеспечение или их комбинации. Чтобы ясно проиллюстрировать эту взаимозаменяемость аппаратных средств и программного обеспечения, различные иллюстративные компоненты, блоки, модули, схемы и этапы были описаны выше вообще в терминах их функциональных возможностей. Реализованы ли такие функциональные возможности как аппаратные средства или программное обеспечение, зависит от конкретного применения и конструктивных ограничений, наложенных на всю систему. Специалисты могут реализовать описанные функциональные возможности различным образом для каждого конкретного применения, но такие решения не должны интерпретироваться как вызывающие отход от объема настоящего изобретения.
Различные иллюстративные логические блоки, модули и схемы, описанные в связи с раскрытыми здесь вариантами воплощения, могут быть реализованы или выполнены с помощью процессора общего назначения, процессор цифровых сигналов (DSP), специализированной интегральной схемы (ASIC), программируемой вентильной матрицы (FPGA) или другого программируемого логического устройства, логического элемента на дискретных компонентах или транзисторной логики, дискретных компонентов аппаратных средств или любой их комбинации, выполненной с возможностью выполнять описанные здесь функции. Универсальный процессор может быть микропроцессором, но альтернативно процессор может быть любым традиционным процессором, контроллером, микроконтроллером или конечным автоматом. Процессор также может быть реализован как комбинация вычислительных устройств, например, комбинация процессора цифровых сигналов (DSP) и микропроцессора, множество микропроцессоров, один или более микропроцессоров вместе с ядром на процессоре цифровых сигналов (DSP) или любая другая такая конфигурация.
Этапы способа или алгоритма, описанные в связи с раскрытыми здесь вариантами воплощения, могут быть воплощены непосредственно в аппаратных средствах, в программном модуле, выполняемом процессором, или в их комбинации. Программный модуль может постоянно находиться в оперативном запоминающем устройстве (ОЗУ), флэш-памяти, постоянном запоминающем устройстве (ПЗУ), стираемом программируемом постоянном запоминающем устройстве (СППЗУ), электрически стираемом программируемом постоянном запоминающем устройстве (ЭСППЗУ), регистрах, жестком диске, съемном диске, компакт-диске, предназначенный только для чтения (CD-ROM) или любой другой форме носителя данных. Носитель данных соединен с процессором таким образом, что процессор может считывать информацию с носителя данных и записывать информацию на носитель данных. Альтернативно носитель данных может являться неотъемлемой частью процессора. Процессор и носитель данных могут находиться в специализированной интегральной схеме (ASIC). Специализированная интегральная схема (ASIC) может постоянно находиться в пользовательском терминале. Альтернативно процессор и носитель данных могут постоянно находиться как отдельные компоненты в пользовательском терминале.
Заголовки включены сюда для ссылок и чтобы помочь в расположении определенных разделов. Эти заголовки не предназначены для ограничения объема концепций, описанных под ними, и эти концепции могут быть применимы в других разделах во всей спецификации.
Предшествующее описание раскрытых вариантов воплощения предоставлено, чтобы дать возможность любому специалисту в области техники осуществить или использовать настоящее изобретение. Различные модификации к этим вариантам воплощения будут легко очевидны специалистам в области техники, и определенные здесь общие принципы могут быть применены к другим вариантам воплощения без отступления от сущности или объема изобретения. Таким образом, не подразумевается, что настоящее изобретение ограничено показанными здесь вариантами воплощения, но оно должно получить самое широкое толкование, совместимое с принципами и новыми признаками, раскрытыми здесь.
Формула изобретения
1. Способ уменьшения помех, содержащий этапы, на которых сохраняют выборки фреймов данных, переданных асинхронно от множества терминалов доступа в общей входной памяти; демодулируют первый фрейм данных из сохраненных выборок фреймов данных в первый демодулированный фрейм данных и демодулируют второй фрейм данных из сохраненных выборок фреймов данных во второй демодулированный фрейм данных; сохраняют первый и второй демодулированные фреймы данных в заданной для пользователя выходной памяти, причем заданная для пользователя выходная память отделена от общей входной памяти; пытаются декодировать первый демодулированный фрейм данных; если первый демодулированный фрейм данных правильно декодирован, вычитают декодированный первый фрейм из сохраненных выборок; пытаются декодировать второй демодулированный фрейм данных; если второй демодулированный фрейм данных правильно декодирован, вычитают декодированный второй фрейм из сохраненных выборок; и пытаются декодировать демодулированный фрейм данных, который не удалось ранее декодировать.
2. Способ по п.1, дополнительно содержащий этап, на котором выбирают один или несколько терминалов доступа, имеющих характеристику связи, отличающуюся от других терминалов доступа.
3. Способ уменьшения помех, содержащий этапы, на которых сохраняют чередованные по времени подпакеты, принятые от множества терминалов доступа в общей входной памяти, причем каждый подпакет соответствует закодированному пакету; демодулируют один или несколько сохраненных чередованных по времени подпакетов, соответствующих первому пакету, с помощью первой кодовой последовательности, соответствующей первому терминалу доступа; сохраняют один или несколько демодулированных подпакетов, соответствующих первому пакету, в заданной для первого пользователя выходной памяти, причем заданная для первого пользователя выходная память отделена от общей входной памяти; пытаются декодировать первый пакет с использованием одного или нескольких сохраненных демодулированных подпакетов; если попытка декодировать первый пакет успешна, восстанавливают один или несколько подпакетов, соответствующих первому пакету; вычитают восстановленные подпакеты из сохраненных чередованных по времени подпакетов; и демодулируют один или несколько сохраненных чередованных по времени подпакетов, соответствующих второму пакету, с помощью второй кодовой последовательности, соответствующей второму терминалу доступа; сохраняют один или несколько демодулированных подпакетов, соответствующих второму пакету, в заданной для второго пользователя выходной памяти, причем заданная для второго пользователя выходная память отделена от общей входной памяти; и пытаются декодировать второй пакет с использованием одного или нескольких сохраненных демодулированных подпакетов.
4. Способ по п.3, в котором восстановление одного или нескольких подпакетов содержит этапы, на которых кодируют первый пакет; и модулируют закодированный первый пакет.
5. Способ по п.3, дополнительно содержащий этап, на котором одновременно пытаются декодировать множество пакетов.
6. Способ по п.4, дополнительно содержащий этап, на котором последовательно демодулируют сохраненные чередованные по времени подпакеты и пытаются декодировать множество пакетов.
7. Способ по п.3, дополнительно содержащий этап, на котором выбирают терминал доступа, имеющий более высокую мощность передачи трафика, чем другие терминалы доступа, в качестве первого терминала доступа для демодулирования сохраненных чередованных по времени подпакетов и попытки декодирования пакета.
8. Способ по п.3, дополнительно содержащий этап, на котором выбирают терминал доступа, имеющий больший размер полезной информации, чем другие терминалы доступа, в качестве первого терминала доступа для демодулирования сохраненных чередованных по времени подпакетов и попытки декодирования пакета.
9. Способ по п.3, дополнительно содержащий этап, на котором выбирают терминал доступа, имеющий более высокое отношение сигнала к шуму и помехе (SINR), чем другие терминалы доступа, в качестве первого терминала доступа для демодулирования сохраненных чередованных по времени подпакетов и попытки декодирования пакета.
10. Способ по п.3, дополнительно содержащий этап, на котором выбирают терминал доступа, имеющий более старый не декодированный пакет по сравнению с пакетами других терминалов доступа, в качестве первого терминала доступа для демодулирования сохраненных чередованных по времени подпакетов и попытки декодирования пакета.
11. Способ по п.3, дополнительно содержащий этап, на котором после вычитания восстановленных подпакетов из сохраненных чередованных по времени подпакетов демодулируют сохраненные чередованные по времени подпакеты и пытаются декодировать третий пакет с использованием одного или нескольких подпакетов из сохраненных чередованных по времени подпакетов, причем третий пакет является ранее неудачно декодированным.
12. Способ по п.3, дополнительно содержащий этап, на котором итерационно демодулируют сохраненные чередованные по времени подпакеты и пытаются декодировать ранее неудачно декодированные пакеты.
13. Способ по п.3, дополнительно содержащий этапы, на которых пытаются декодировать все подпакеты, которые завершаются в текущем интервале времени; восстанавливают все успешно декодированные подпакеты, которые завершаются в текущем интервале времени; вычитают восстановленные подпакеты из сохраненных чередованных по времени подпакетов; и демодулируют сохраненные чередованные по времени подпакеты и пытаются декодировать подпакет, который не удалось декодировать в предыдущем интервале времени.
14. Способ по п.3, дополнительно содержащий этапы, на которых пытаются декодировать все подпакеты, которые завершаются в текущем интервале времени; восстанавливают все успешно декодированные подпакеты, которые завершаются в текущем интервале времени; вычитают восстановленные подпакеты из сохраненных чередованных по времени подпакетов; и демодулируют сохраненные чередованные по времени подпакеты и пытаются декодировать третий пакет прежде, чем были сохранены все подпакеты, соответствующие этому третьему пакету.
15. Способ по п.3, дополнительно содержащий этап, на котором обеспечивают гибридный автоматический запрос на повторение (H-ARQ) в терминалы доступа.
16. Способ по п.3, дополнительно содержащий этап, на котором принимают подпакеты, которые были переданы асинхронно от множества терминалов доступа.
17. Базовая станция, содержащая общую входную память, выполненную с возможностью сохранения выборок чередованных по времени сигналов, принятых от множества терминалов доступа; демодулятор, выполненный с возможностью демодулирования сохраненных выборок с использованием первой кодовой последовательности, соответствующей первому терминалу доступа; заданную для пользователя выходную память для сохранения демодулированных выборок, причем заданная для пользователя выходная память отделена от общей входной памяти; декодер, выполненный с возможностью декодирования данных из демодулированных выборок; блок восстановления, выполненный с возможностью использования декодированных данных для восстановления закодированных и модулированных выборок; и вычитающее устройство, выполненное с возможностью вычитания восстановленных выборок, сохраненных в общей входной памяти, для уменьшения взаимных помех для декодера, чтобы впоследствии декодировать данные из демодулированных выборок.
18. Базовая станция по п.17, дополнительно содержащая блок обнаружения ошибок для обнаружения, правильно ли декодер декодировал данные из демодулированных выборок.
19. Базовая станция по п.17, в которой заданная для пользователя выходная память хранит демодулированные символы подпакетов, которые больше не хранятся в общей входной памяти, когда общая входная память не охватывает все подпакеты.
20. Базовая станция по п.17, в которой общая входная память выполнена с возможностью сохранения множества интервалов выборок сигналов, принятых от множества терминалов доступа, работающих с гибридным автоматическим запросом на повторение (H-ARQ).
21. Базовая станция по п.17, в которой демодулятор выполнен с возможностью демодулирования сохраненных выборок, а декодер выполнен с возможностью итерационного декодирования неудачно декодированных пакетов.
22. Базовая станция по п.17, в которой общая входная память имеет длину, которая охватывает период времени с начала первого подпакета пакета до конца последнего подпакета пакета.
23. Базовая станция по п.17, в которой общая входная память имеет длину, которая охватывает меньше, чем полный пакет.
24. Базовая станция по п.17, в которой общая входная память имеет длину, которая охватывает период времени с начала подпакета пакета до конца последующего подпакета пакета.
25. Базовая станция по п.22, в которой общая входная память имеет длину приблизительно 40 интервалов.
26. Базовая станция по п.17, причем базовая станция выполнена с возможностью приема и обработки сигналов стандарта CDMA2000 от терминалов доступа.
27. Базовая станция по п.17, причем базовая станция выполнена с возможностью приема и обработки сигналов издания А эволюционного стандарта для передачи данных (CDMA EV-DO Revision А) от терминалов доступа.
28. Базовая станция по п.17, причем базовая станция выполнена с возможностью приема и обработки сигналов стандарта широкополосного CDMA (WCDMA) от терминалов доступа.
29. Базовая станция по п.17, в которой общая входная память, демодулятор и вычитающее устройство выполнены с возможностью охвата одного или нескольких подпакетов пакетов, которые имеют разные интервалы времени передачи.
30. Базовая станция по п.17, в которой общая входная память, демодулятор и вычитающее устройство выполнены с возможностью охвата больше подпакетов пакетов с интервалами времени передачи, равными 2 мс, чем подпакетов пакетов с интервалами времени передачи, равными 10 мс.
31. Базовая станция по п.17, причем базовая станция выполнена с возможностью приема и обработки сигналов стандарта CDMA EV-DV от терминалов доступа.
РИСУНКИ
|