Патент на изобретение №2164726
|
||||||||||||||||||||||||||
(54) ЛИНИЯ РАДИОСВЯЗИ С ПОВТОРНЫМ ИСПОЛЬЗОВАНИЕМ ЧАСТОТЫ
(57) Реферат: Линия радиосвязи с повторным использованием частоты относится к области радиосвязи и может быть использована в космических и наземных системах радиосвязи с повторным использованием частоты. Достигаемый технический результат – увеличение помехозащищенности по отношению к сосредоточенным помехам, влияющим на входные каскады. Указанная линия радиосвязи содержит на передающей стороне генератор сигналов основных сообщений, разветвитель мощности, два амплитудных модулятора, парафазный усилитель, передающую антенну и два ее облучателя, на приемной стороне – приемную антенну и два ее облучателя, два сумматора, вычитающее устройство, синхронный детектор, детектор, амплитудный ограничитель, узкополосный низкочастотный фильтр, фильтр предварительной селекции, фильтр, настроенный на частоту основного сигнала, фильтр гетеродина, демодулятор основных сообщений, устройство поворота поляризации, гетеродин, усилитель высокой частоты, регулируемый усилитель, смеситель, устройство управления, линию задержки. 3 ил. Предлагаемое устройство относится к области радиосвязи и может быть использовано в космических и наземных системах радиосвязи с повторным использованием частоты. Известны устройства с использованием поляризационной модуляции радиосигналов, в частности с эллиптической поляризацией волны путем изменения параметров эллипса поляризации (К.Г.Гусев, А.Д.Филатов, А.П.Сопалев “Поляризационная модуляция”. М., Сов. радио, 1974 г., стр. 63-161). Недостатком этих устройств является то, что они могут быть использованы в условиях, когда параметры распространения сигналов по трассе и взаимное положение передающей и приемной антенн постоянны, так как в противном случае возникает большой уровень взаимных помех между отдельными каналами радиолинии. Однако в большинстве практических случае изменяются как параметры распространения сигналов, так и взаимное расположение антенн. Известно также устройства по патенту США N 4087818, в котором повторное использование частоты в условиях изменения параметров среды распространения сигналов и взаимного положения антенн достигается за счет обеспечения ортогональности поляризации двух передаваемых одновременно сигналов с круговой или линейной поляризацией. Эта ортогональность поддерживается с помощью автоматической цепи в виде замкнутого контура регулирования с применением специальных пилот-сигналов. Оно содержит передающее устройство, формирующее два сигнала с одинаковой частотой со взаимно ортогональной поляризацией волны. Приемное устройство обеспечивает раздельный прием указанных сигналов за счет их ортогональной поляризации. Однако это устройство в силу высоких требований по поляризации передаваемых сигналов имеет сложную систему автоподстройки. Кроме того, реализация этого устройства требует специальной дополнительной линии связи. Наиболее близким по технической сущности к заявляемому объекту является “Система радиосвязи” по а.с. N 1385305, принятая за прототип. На фиг. 1 приведена функциональная схема устройства-прототипа, где введены обозначения: 1 – генератор основных сигналов; 2 – разветвитель мощности; 3 и 4 – первый и второй амплитудные модуляторы соответственно; 5 – противофазный усилитель; 6 и 7 – первый и второй облучатели передающей антенны соответственно; 8 – передающая антенна; 9 и 10 – первый и второй облучатели (возбудители) приемной антенны соответственно; 11 – приемная антенна; 12 – суммарно-разностный блок; 13 – сумматор; 14 – вычитающий блок; 15 – синхронный детектор; 16 – демодулятор основного сообщения; 17 – амплитудный ограничитель; 18 и 19 – первый и второй фильтры нижних частот соответственно; 20 – блок управления положением осей поляризации облучателей приемной антенны; 21 – ключ; 22 – фазовый детектор; 23 – фазовращатель; 24 и 25 – первая и вторая линии задержки соответственно; 26 – компаратор. Устройство-прототип имеет следующие функциональные связи. На передающей стороне выход генератора сигналов 1 соединен со входом разветвителя мощности 2, первый и второй выходы которого соединены с первыми входами первого 3 и второго 4 амплитудных модуляторов, вторые входы которых соединены соответственно с первым и вторым выходами противофазного усилителя 5, вход которого является входом для дополнительной информации Sд, выходы первого 3 и второго 4 амплитудных модуляторов соединены соответственно с первым 6 и вторым 7 облучателями передающей антенны 8; на приемной стороне: выходы первого 9 и второго 10 облучателей (возбудителей) приемной антенны 11 соединены соответственно со входами блока управления положением осей поляризации облучателей приемной антенны 20, два выхода которого присоединены соответственно к двум входам сумматора 13 и двум входам соответственно вычитающего блока 14; выход сумматора 13 через амплитудный ограничитель 17 соединен со входами фазового детектора 22 и первой линии задержки 24; второй выход фазового детектора 22 соединен с выходом фазовращателя 23 и одним из входов синхронного детектора 15, второй вход которого соединен с выходом второй линии задержки 25, вход которой присоединен к выходу вычитающего блока 14; выход синхронного детектора 15 через первый фильтр нижних частот 18 соединен с управляющим входом блока управления положением осей поляризации 20 облучателей приемной антенны. Выход первой линии задержки 24 соединен с одним из входов ключа 21, второй вход которого присоединен к выходу компаратора 26, вход которого соединен с выходом второго фильтра нижних частот 19, вход которого соединен с выходом фазового детектора 22. Вход фазовращателя 23 соединен с выходом демодулятора основных сообщений 16, вход которого соединен с выходом ключа 21, со второго выхода демодулятора 16 снимается основная информация So, а дополнительная информация Sд снимается с выхода синхронного детектора 15. Работает устройство-прототип следующим образом. Генератор 1 сигналов формирует сигнал основных сообщений, модулированный по частоте или фазе основными сообщениями. Этот сигнал имеет вид Uc(t) = U cos[ t+ (t)], (1)где U – постоянная амплитуда сигнала; (t) – функция изменения фазы сигнала, соответствующая частотной или фазовой модуляции основными сообщениями Sо; – угловая частота.
Сигнал (1) поступает на вход разветвителя мощности 2, с выхода которого сигнал разветвляется на два канала, в которых установлены амплитудные модуляторы 3 и 4, выполненные в виде высокочастотных усилителей. В них амплитуда проходящих сигналов изменяется противофазно по закону передаваемых дополнительных сообщений с помощью напряжений, снимаемых с противофазного усилителя 5. При этом сигналы на выходах амплитудных модуляторов 3 и 4 следующие:U3(t) = U1[1+f(t)] cos[ t+ (t)], (2)U4(t) = U1[1-f(t)] cos[ t+ (t)], (3)где U3(t) и U4(t) – сигналы на выходах модуляторов 3 и 4 соответственно; U1 – постоянная амплитуда; f(t) – функции изменения амплитуды сигналов, соответствующие дополнительным сообщениям Sд. Сигналы (2) и (3) поступают на входы облучателей 6 и 7 передающей антенны 8. Передающая антенна 8 может быть выполнена в виде зеркальной антенны с двумя облучателями 6 и 7 или в виде вибраторных антенн с соответствующими возбудителями. Облучатели 6 и 7 создают поля с ортогональной одна относительно другой линейной или круговой поляризацией. Сигналы, которые излучает передающая антенна 8, принимаются приемной антенной 11. Ее облучатели (возбудители) 9 и 10 имеют взаимно ортогональные линейную или круговую поляризации. Приемная антенна 11 с облучателями (возбудителями) 9 и 10 выполнена аналогично передающей. На выходах облучателей 9 и 10 приемной антенны 11 получаем сигнал ![]() где nx(t) – флуктуационная помеха в виде нормального гауссова шума составляющей оси х; nxu(t) – импульсная помеха составляющей оси х; – угол рассогласования по поляризации.
![]() где ny(t) – флуктуационная помеха в виде нормального гауссова шума составляющей оси y; nyu(t) – импульсная помеха составляющей оси y. С выход сумматора 13 получаем сигнал ![]() С выхода вычитающего блока получаем сигнал ![]() В качестве демодулятора 16 используется синхронно-фазовый демодулятор (СФД) с устройством отбраковки аномальных перекосов фазы, кратных 2 радиан, возникающих во входной смеси сигнала с помехой под действием как флуктуационных, так и импульсных помех, что позволяет повысить помехоустойчивость при воздействии комплекса помех на единицы и десятки децибел в зависимости от базы сигнала.
На выходе демодулятора 16, работающего в синхронном режиме, возникает напряжение, изменяющееся согласно закону изменения частоты или фазы входного сигнала, то есть демодулированное сообщение.
Для компенсации постоянного фазового сдвига использован фазовращатель 23 на 90o, с выхода которого поступает опорный сигнал, не содержащий информацию о помехе, на синхронный детектор 15.
При воздействии на вход системы флуктуационного шума и импульсной помехи (ИП) на первый вход фазового детектора 22 поступает суммарный сигнал с выхода амплитудного ограничителя 17, а на второй вход фазового детектора 22 – опорный сигнал с выхода фазовращателя 23. Возникающая разница между опорным и выходным сигналами вызывает появление на выходе ФНЧ 19 напряжение помехи.
В случае превышения порога чувствительности компаратора 26 на его выходе появляется сигнал запрета, который закрывает ключ 21 и сигнал “Пораженный ИП” не проходит на вход демодулятора 16 на время действия ИП. При этом, как правило, постоянная времени ФНЧ 18 больше, чем время действия ИП. Таким образом, демодулятор 16 не выходит из состояния синхронизма на время действия ИП.
В случае отсутствия на входе устройства ИП на выходе компаратора 26 сигнал запрета отсутствует и ключ 21 открыт.
На время анализа помеховой обстановки и выработки сигнала управления для ключа 21 необходимо задержать суммарный сигнал в канале обработки с угловой модуляцией. На это же время необходимо задержать и разностный сигнал в другом канале, для чего служат линии 24 и 25 задержки. Время задержки линий 24 и 25 задержки выбирается одинаковым. Это время, в основном, определяется полосой пропускания ФНЧ 19.
С выхода синхронного детектора 15 сигнал идет на узкополосный ФНЧ 18, с помощью которого выделяется постоянная составляющая, знак которой зависит от знака угла рассогласования. С выхода ФНЧ 18 эта составляющая поступает на блок управления положением осей поляризации облучателей (возбудителей), который поворачивает облучатели так, что угол становится равным нулю. При рассогласовании в другую сторону (угол – отрицательный) указанная составляющая положительная, облучатели повернуты в противоположную сторону.
ФНЧ 18 имеет полосу пропускания, значительно меньшую по сравнению с шириной спектра функции. Поэтому ФНЧ 18 может пропускать только медленно меняющиеся сигналы, обусловленные изменениями взаимного положения антенн.
Блок 20 с помощью напряжения, снимаемого с ФНЧ 18, устраняет рассогласование между поляризацией приходящих сигналов и поляризацией облучателей приемной антенны. При этом система регулирования работает по принимаемому сигналу, несущему информацию о передаваемых сообщениях.
Но данное устройство-прототип имеет низкую помехозащищенность по отношению к сосредоточенным по спектру помехам, так как при наличии на его входе достаточно мощных сосредоточенных по спектру помех (даже вне полосы), превышающих динамический диапазон, входные каскады переходят в нелинейный режим, образуя паразитную амплитудную и фазовую модуляцию, тем самым забивая основной сигнал.
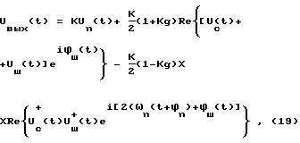
Для увеличения помехоустойчивости по отношению к сосредоточенным помехам, влияющим на входные каскады, и предлагается “Линия радиосвязи с повторным использованием частоты”, функциональная схема которого приведена на фиг. 2, где обозначено:1 – генератор основных сигналов; 2 – разветвитель мощности; 3 и 4 – первый и второй амплитудные модуляторы соответственно; 5 – парафазный усилитель; 6 и 7 – первый и второй облучатели передающей антенны соответственно; 8 – передающая антенна; 9 и 10 – первый и второй облучатели (возбудители) приемной антенны; 11 – приемная антенна; 12 – первый сумматор; 13 – вычитающий блок; 14 – синхронный детектор; 15 – амплитудный ограничитель; 16 – фильтр предварительной селекции; 17 – узкополосный низкочастотный фильтр; 18 – устройство поворота поляризации; 19 – гетеродин; 20 – второй сумматор; 21 – фильтр, настроенный на частоту основного сигнала; 22 – усилитель высокой частоты; 23 – смеситель; 24 – регулируемый усилитель; 25 – фильтр гетеродина; 26 – детектор; 27 – устройство управления; 28 – линия задержки. Функциональные связи на передающей стороне аналогичны функциональным связям устройства-прототипа. Предлагаемое устройство имеет следующие функциональные связи на приемной стороне: первый 9 и второй 10 возбудители приемной антенны 11 соединены соответственно с первым и вторым входами устройства поворота поляризации 18, два выхода которого соединены соответственно с двумя входами первого сумматора 12 и двумя входами вычитающего устройства 13, выход первого сумматора 12 через фильтр предварительной селекции 16 соединен с одним из входов второго сумматора 20, второй вход которого присоединен к выходу гетеродина 19, выход второго сумматора 20 через УВЧ 22 соединен со входами фильтра гетеродина 25 и фильтра основного сигнала 21, выход которого присоединен к одному из входов смесителя 23, второй вход которого соединен с выходом ограничителя 15, вход которого присоединен ко входу фильтра гетеродина 25 и входу детектора 26, выход которого через устройство управления 27 соединен с одним из входов регулируемого усилителя 24, второй вход которого соединен с выходом смесителя 23, выход регулируемого усилителя 24 соединен с одним из входов синхронного детектора, второй вход которого через линию задержки 28 соединен с выходом вычитающего устройства 13, а выход синхронного детектора 14 через узкополосный низкочастотный фильтр 17 присоединен к управляемому входу устройства поворота поляризации 18, выход регулируемого усилителя 24 является выходом для основной информации, а выход синхронного детектора 14 является выходом для дополнительной информации. Работает предлагаемое устройство следующим образом. Задача повышения эффективности работы радиолиний связи в условиях действия взаимных помех одновременно работающих радиосредств весьма актуальна (см. , например, Богданова Б.М. “Нелинейные искажения в приемо-усилительных устройствах”, М. , Связь, 1980 г. , Тихонов В.И., Кульман Н.К., “Нелинейная фильтрация и квазикогерентный прием сигналов”, М., Сов. радио, 1975 г.). Во многих практически важных случаях уровень взаимных помех может существенно превышать динамический диапазон усилительных блоков приемника, что вызывает их перегрузку, а это порождает паразитные амплитудную и частотную модуляции полезного сигнала. Работа передатчика в предлагаемом устройстве ничем не отличается от работы передатчика в устройстве-прототипе. Приемное устройство работает следующим образом. Сигналы, которые излучает передающая антенна 8, принимаются приемной антенной 11. Ее возбудители 9 и 10 имеют также ортогональную линейную или круговую поляризацию. Приемная антенна 11 с возбудителями 9 и 10 выполнена аналогично передающей. На выходах возбудителей 9 и 10 будет сигнал ![]() ![]() Эти сигналы поступают на входы первого сумматора 12 и вычитающего устройства 13. При этом на выходе сумматора 12 будет ![]() На входе усилителя высокой частоты УВЧ 22 действует аддитивная смесь полезного сигнала Uc(t), теплового шума Uш(t) и расстроенной по частоте относительно сигнала интенсивной помехи Uп(t), попадающей в полосу пропускания фильтра предварительной селекции 16 и УВЧ 22 приемника. Поэтому сигнал на входе УВЧ 22 (без учета сигнала гетеродина 19) можно записать как ![]() где Uр(t) и p(t) – огибающая и фаза результирующего колебания.
Для удобства примемe(t) = Uc(t)+Uш(t) = E(t)cos[ 0(t)+ (t)],где E(t) и (t) – огибающая и фаза колебания; 0 – средняя частота полезного сигнала.
Учитываем тот факт, что перегрузка УВЧ, то есть нелинейный режим работы, наступает, когда амплитуда помехи существенно превосходит амплитуду сигнала и теплового шума.
Введем обозначение = E(t)/Un(t).При 1 , что имеет место при перегрузке УВЧ, огибающую и фазу результирующего колебания можно представить в виде![]() ![]() где ![]() = ( n– o)t+ n(t)- (t).С учетом сказанного результирующее колебание на входе УВЧ (без учета сигнала гетеродина) можно записать ![]() Рассмотрим вариант, когда УВЧ может быть реализован на 1БВ. Амплитудная характеристика в этом случае будет иметь вид как приведено на фиг. 3. Примем, что амплитуда помехи постоянна и равна Uп – плоский участок характеристики 2Е, а фаза сигнала при действии перегружающей помехи не изменяется. При этом амплитуда колебания на выходе УВЧ будет постоянна. Известно, что в области частоты первой гармоники выходное колебание с выхода УВЧ может быть записано ![]() где ![]() (Гоноровский И. С. “Радиотехнические цепи и сигналы”, М., Сов. радио, 1977 г.). Последнее выражение можно представить как ![]() где Jkn – функция Бесселя. С учетом 1 после преобразования получим![]() где ![]() ![]() Или в развернутом виде ![]() В функциональной схеме на фиг. 2 используется опорный сигнал – сигнал гетеродина 19, предназначенный для определения функций паразитной модуляции (амплитудной и фазовой) полезного сигнала. Причем частота опорного сигнала лежит за пределами полосы пропускания фильтра предварительной селекции 16, а напряжение опорного гетеродина Uг < < Uп, в то же время амплитуда Uг выбирается значительно больше собственных шумов приемника Uг > > Uш. Опорный сигнал, проходя через перегруженный УВЧ, получает паразитную амплитудную и фазовую модуляции наравне с полезным сигналом и фильтруется фильтром гетеродина 25. Возможность использования опорного сигнала для определения функций паразитной модуляции как и полезного сигнала объясняется тем, что коэффициент передачи УВЧ слабо зависит от частотных расстроек в пределах полосы пропускания. Поэтому можно принять, что модуляция, полученная полезным сигналом, должна совпадать с модуляцией, полученной опорным сигналом. С учетом (18) и ограничений, указанных выше, сигнал на выходе УВЧ 22 без учета гетеродина будет иметь вид ![]() где ш определяется амплитудой воздействующей помехи и амплитудно-фазовой характеристикой УВЧ.
С учетом (19) колебание на выходе фильтров 21 и 25 будет![]() Проходя через УВЧ, опорный сигнал гетеродина с учетом (19) будет иметь вид ![]() где Uc1(t) = Uc(t)cos[ ot+ e(t)+ ш(t)],Uг1(t) = Uгcos[ г(t)+ г+ ш(t)],![]() ![]() где ш(t) – фазовая модуляция полезного сигнала и шума, возникающих в УВЧ при воздействии интенсивных помех.
Опорный сигнал с выхода фильтра 25 поступает на ограничитель 15 по амплитуде и амплитудный детектор 26 с блоком управления 27, где формируется напряжение, предназначенное для регулирования коэффициента усиления регулируемого усилителя 24 в соответствии с функцией времени![]() где Kо – средний коэффициент усиления. Таким образом устраняется паразитная амплитудная модуляция полезного сигнала. Опорный сигнал после ограничения по амплитуде в ограничителе 15 поступает на смеситель 23, где происходит преобразование полезного сигнала по члену = o– г и устранение его паразитной фазовой модуляции. Полезный сигнал на выходе смесителя 23 будет![]() Отношение сигнал/шум на выходе регулируемого усилителя будет ![]() где qо – отношение сигнал/шум на входе УВЧ. Таким образом, в предлагаемом устройстве устраняются паразитная амплитудная и фазовая модуляции. Формула изобретения
РИСУНКИ
MM4A Досрочное прекращение действия патента Российской Федерации на изобретение из-за неуплаты в установленный срок пошлины за поддержание патента в силе
Дата прекращения действия патента: 24.02.2002
Номер и год публикации бюллетеня: 11-2003
Извещение опубликовано: 20.04.2003
|
||||||||||||||||||||||||||

cos[
t+
(t)], (1)
– угол рассогласования по поляризации.



радиан, возникающих во входной смеси сигнала с помехой под действием как флуктуационных, так и импульсных помех, что позволяет повысить помехоустойчивость при воздействии комплекса помех на единицы и десятки децибел в зависимости от базы сигнала.
На выходе демодулятора 16, работающего в синхронном режиме, возникает напряжение, изменяющееся согласно закону изменения частоты или фазы входного сигнала, то есть демодулированное сообщение.
Для компенсации постоянного фазового сдвига использован фазовращатель 23 на 90o, с выхода которого поступает опорный сигнал, не содержащий информацию о помехе, на синхронный детектор 15.
При воздействии на вход системы флуктуационного шума и импульсной помехи (ИП) на первый вход фазового детектора 22 поступает суммарный сигнал с выхода амплитудного ограничителя 17, а на второй вход фазового детектора 22 – опорный сигнал с выхода фазовращателя 23. Возникающая разница между опорным и выходным сигналами вызывает появление на выходе ФНЧ 19 напряжение помехи.
В случае превышения порога чувствительности компаратора 26 на его выходе появляется сигнал запрета, который закрывает ключ 21 и сигнал “Пораженный ИП” не проходит на вход демодулятора 16 на время действия ИП. При этом, как правило, постоянная времени ФНЧ 18 больше, чем время действия ИП. Таким образом, демодулятор 16 не выходит из состояния синхронизма на время действия ИП.
В случае отсутствия на входе устройства ИП на выходе компаратора 26 сигнал запрета отсутствует и ключ 21 открыт.
На время анализа помеховой обстановки и выработки сигнала управления для ключа 21 необходимо задержать суммарный сигнал в канале обработки с угловой модуляцией. На это же время необходимо задержать и разностный сигнал в другом канале, для чего служат линии 24 и 25 задержки. Время задержки линий 24 и 25 задержки выбирается одинаковым. Это время, в основном, определяется полосой пропускания ФНЧ 19.
С выхода синхронного детектора 15 сигнал идет на узкополосный ФНЧ 18, с помощью которого выделяется постоянная составляющая, знак которой зависит от знака угла рассогласования. С выхода ФНЧ 18 эта составляющая поступает на блок управления положением осей поляризации облучателей (возбудителей), который поворачивает облучатели так, что угол 



(t)],
= E(t)/Un(t).
1 , что имеет место при перегрузке УВЧ, огибающую и фазу результирующего колебания можно представить в виде
















= 
