Патент на изобретение №2164696
|
||||||||||||||||||||||||||
(54) СПОСОБ ОПРЕДЕЛЕНИЯ ДЛИНЫ ЗАМЕДЛЕНИЯ БЫСТРЫХ НЕЙТРОНОВ В ГОРНЫХ ПОРОДАХ, ПЕРЕСЕЧЕННЫХ СКВАЖИНОЙ
(57) Реферат: Сущность изобретения: способ заключается в облучении исследуемой среды стационарным потоком быстрых нейтронов и регистрации на фиксированном расстоянии от источника нейтронов потока надтепловых нейтронов Nнт и последующем расчете длины замедления L по экспериментально установленной зависимости с учетом диаметра скважины. Дополнительно проводят измерение потоков надтепловых нейтронов в скважинном флюиде с тем же прибором, а также измерение глинистости (Kгл) и плотности ( ) горных пород, по значениям которых выделяют водородосодержащие и неводородосодержащие пласты. Для расчета длины замедления быстрых нейтронов в горных породах используют математические модели для водородосодержащих и неводородосодержащих пластов. Перед исследованием неизвестных сред дополнительно проводят измерения потоков Nнт в эталонных средах с известными длинами замедлений и диаметром скважин, по результатам которых рассчитывают постоянные коэффициенты, которые используются в математических моделях. Техническим результатом изобретения является повышение точности определения длины замедления нейтронов. 3 з.п. ф-лы, 1 табл.
Изобретение относится к области промысловой геофизики, а более конкретно к группе ядерно-геофизических методов исследования природных сред, и может быть использовано для геологических разрезов рудных, угольных, нефтяных, газовых и др. скважин в геологии, нефтяной и газовой промышленности, гидрогеологии, строительстве и др. областях. Известен способ определения длины замедления быстрых нейтронов, основанный на отборе геологических проб исследуемой среды, выполнении полного химического анализа на элементы, слагающие горную породу, и последующем расчете длины замедления быстрых нейтронов при известных значениях макроскопических сечений рассеяния на ядрах i-го сорта и плотности горных пород (Давыдов Ю.Б., Кузин В.Ф. Теоретические предпосылки каротажа нейтронов деления. : ВО “Наука”, Новосибирск. – 1994. – С. 49-50. – 1-ый аналог). Способ обеспечивает высокую точность определения длины замедления быстрых нейтронов в любых средах. Основным его недостатком является невозможность недеструктивных определений (без отбора проб и их разрушения), что совершенно исключает его применение в условиях естественного залегания горных пород. Второй известный способ базируется на прямых измерениях потока надтепловых нейтронов (Nнт) в однородной среде на разных расстояниях r от стационарного источника быстрых нейтронов. При этом определение длины замедления быстрых нейтронов осуществляют по положению максимума зависимости r2Nнт = f(r) или аналитически по формуле; где полуширина кривой распределения, близкая по форме кривой ошибок Гаусса (Власов Н.А. Нейтроны.: Наука, гл. ред. физ. -мат. литературы, М. – 1971. – С. 428. – 2-ой аналог). Недостатком способа является высокая трудоемкость, так как для его реализации требуются многократные измерения на n разных расстояниях, минимум на 5-6. Наиболее близким по физической сущности, техническому решению и достигаемому результату является способ определения длины замедления быстрых нейтронов, заключающийся в облучении среды стационарным потоком быстрых нейтронов и измерении на некотором фиксированном расстоянии, равном 20-60 см от источника потока надтепловых нейтронов (Nнт). При этом длину замедления быстрых нейтронов или связанную с ней обратной зависимостью пористость горных пород определяют по экспериментально установленным градуировочным кривым с учетом диаметра скважины. В основу градуировочных зависимостей положены математические модели вида: или Nнт= Ae–![]() Kп, где A – постоянный коэффициент, равный скорости счета Nнт при r _ или Кп = 0, – постоянный коэффициент, характеризующий чувствительность способа при изменении длины замедления быстрых нейтронов (L) или пористости горных пород на единицу (Ядерная геофизика при исследовании нефтяных месторождений. / Ф.А. Алексеев, И.В. Головацкая, Ю.А. Гулин и др.: М., Недра. – 1978. – С. 209-210 – прототип). Связь между коэффициентом пористости и длиной замедления быстрых нейтронов в горных породах при полном насыщении пор пластовым флюидом хорошо известна, например, из работы Д. А. Кожевникова (Кожевников Д.А. Нейтронные характеристики горных пород и их использование в нефтепромысловой геофизике.: М., Недра. – 1982. – С. 221). Использование прототипа при известном диаметре скважины в принципе позволяет определить длину замедления быстрых нейтронов в горных породах. Основным недостатком прототипа является невозможность его использования для определения длин замедления быстрых нейтронов при низком водородосодержании или низких пористостях, когда длина замедления быстрых нейтронов становится более 12-15 см. Именно по этой причине в цитируемых выше работах зависимости L = f(Kп) или Nнт = f(Kп) приведены только для водородосодержащих сред при Кп 1-3%. Другим недостатком является необходимость построения градуировочных зависимостей для ряда фиксированных значений диаметров скважин, что сопряжено с большими трудозатратами. В частности, для построения зависимостей Nнт =f(Kп или L) в диапазоне L от 5,2 до 15 см при диаметре скважин от 200 до 300 мм (через 50 мм) требуется создание минимум девяти моделей (см. ссылку на прототип). В случае более широкого диапазона изменений L и диаметра скважин число моделей многократно увеличивается. Однако даже в этом случае прототип не обеспечивает необходимой точности определения длины замедления быстрых нейтронов из-за некорректного учета фактического диаметра скважины, геометрии измерительного прибора и влияния скважинного флюида, конструкция и замедляющие свойства которых могут быть существенно разными (вода и нефть, баритовый или гематитовый раствор, газированная жидкость и др.).
Предлагаемое изобретение ориентировано на создание принципиально нового способа определения длины замедления быстрых нейтронов в любых горных породах, пересеченных скважинами известного диаметра. Решение задачи достигается облучением исследуемой среды стационарным потоком быстрых нейтронов и регистрацией на фиксированном расстоянии от источника нейтронов, равном 20-60 см, потока надтепловых нейтронов Nнт и последующим расчетом длины замедления быстрых нейтронов L по экспериментально установленной зависимости с учетом диаметра скважины. В предлагаемом способе дополнительно проводят измерение потока надтепловых нейтронов в скважинном флюиде с тем же прибором, а также измерение глинистости (Кгл) и плотности ( ) горных пород по данным гамма-каротажа и плотностного гамма-гамма каротажа, по значениям которых выделяют водородосодержащие и неводородосодержащие пласты. Для расчета длины замедления быстрых нейтронов в горных породах используют математические модели для водородосодержащих пластов при L 18-20 см![]() для неводородосодержащих пластов при L 18-20 см![]() где A, D, m1 и m2 – постоянные коэффициенты; H – постоянный член уравнений; Lв – длина замедления быстрых нейтронов в скважинном флюиде; с – диаметр скважины; d – диаметр прибора, причем перед исследованием неизвестных сред дополнительно проводят измерения потоков надтепловых нейтронов в эталонных средах с известными длинами замедлений быстрых нейтронов L и Lв и диаметром скважин “с”, по результатам которых рассчитывают постоянные коэффициенты A, D, m1 и m2 и постоянный член H, для чего решают системы нелинейных уравнений раздельно для водородосодержащих (L 18-20 см) и неводородосодержащих (L 18-20 см) сред.
Для определения постоянных коэффициентов и постоянного члена каждой из расчетных моделей измерения потоков надтепловых нейтронов проводят минимум в пяти эталонных средах с разными значениями L и с, равномерно располагающимися в соответствующих диапазонах изменения длины замедления быстрых нейтронов.
Определение длины замедления быстрых нейтронов в скважинном флюиде перед исследованием неизвестных сред осуществляют по измеренному потоку надтепловых нейтронов, используя уравнение 1-го типа при L = Lв и с = d, с учетом которой рассчитывают длину замедления быстрых нейтронов в исследуемых горных породах.
Интервалы залегания водородосодержащих горных пород определяют в песчано-глинистом разрезе по Кгл 5% при любой плотности и 2,6 г/см3 при Кгл 0%, в карбонатном разрезе по Кгл 5% при любой плотности и 2,7 г/см3 при Кгл 0%, интервалы залегания неводородосодержащих пластов определяют в песчано-глинистом разрезе при Кгл 5% и 2,65 г/см3, в карбонатном разрезе при Кгл 5% и 2,75 г/см3.
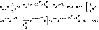
Сущность способа базируется на следующих физических закономерностях. В однородной водородосодержащей среде пространственное распределение надтепловых нейтронов описывается хорошо известным уравнением вида![]() в неводородосодержащей среде уравнением вида ![]() где A – постоянный коэффициент, пропорциональный активности стационарного нейтронного источника; L – длина замедления быстрых нейтронов в горных породах; r – длина зонда; m – постоянный коэффициент. Из (1) и (2) легко вычислить длину замедления быстрых нейтронов L, располагая измерениями потока надтепловых нейтронов (Nнт) в средах. Однако эти уравнения справедливы для однородных сред. Наличие скважины, заполненной, как правило, водородосодержащим флюидом, приводит к нарушению однородности среды и непредсказуемым погрешностям в определении длины замедления быстрых нейтронов L. Найдем приближенное уравнение пространственного распределения надтепловых нейтронов при измерениях прибором диаметром d в скважине произвольного диаметра с. Известно, что наличие скважин с водородосодержащим флюидом приводит к уменьшению регистрируемого потока надтепловых нейтронов. Это уменьшение обусловлено, с одной стороны, утечкой части нейтронов из горной породы в скважину, с другой, – интенсивным рассеянием быстрых нейтронов в аномальном водородосодержащем замедлителе. Тогда уравнение (1) может быть представлено в виде: ![]() где A’ и B – функции размера скважины и длины замедления быстрых нейтронов в скважинном флюиде (Lв). Представим “эффект скважины” линейной функцией от диаметра, A’ = A-D (c-d) и ![]() где F – постоянный коэффициент; Lв – длина замедления быстрых нейтронов в скважинном флюиде. Тогда уравнение (3) примет вид ![]() где H – постоянный член уравнения, введенный для учета передачи нейтронного излучения через корпус прибора, и не зависит от скважины. Уравнение (4) при с = d переходит к изотропному случаю (с добавлением Н). При L = LB влияние скважины исчезает, т.е. вновь изотропный случай. Из последнего следует, что при L = в тогда F = -D. С учетом последнего уравнение (4) принимает вид:![]() Это уравнение получено в предположении, что при облучении и измерении все нейтроны в среду и из среды попадают минуя рассеяние в самой скважине. Для учета рассеяния первичных нейтронов в скважине правую часть уравнения следует умножить на сомножитель характеризующий вероятность рассеяния нейтронов на расстоянии от источника быстрых нейтронов r < Lв. С учетом отмеченного математическая модель пространственного распределения быстрых нейтронов в водородосодержащей среде может быть окончательно представлена уравнением:![]() Аналогично можно сразу написать математическую модель для неводородосодержащей среды, имея в виду уравнение (2): ![]() В уравнениях (6) и (7) m2 соответствует m. Математические модели 6) и (7) получены на основе реальных физических представлений о природе переноса нейтронного излучения, они удовлетворяют граничным условиям при c = d и L = Lв и поэтому могут быть использованы для практических определений длины замедления быстрых нейтронов практически в любых горных породах, пересеченных скважинами. В уравнения входят четыре неизвестных постоянных коэффициента и один постоянный член, которые могут быть определены по измерениям в средах с известными значениями быстрых нейтронов L, флюида Lв, диаметра скважины “с” и диаметра прибора d. Для нахождения постоянных коэффициентов и постоянного члена H в каждом уравнении требуется минимум пять измерений при фиксированной (постоянной) длине зонда. Решение системы нелинейных уравнений достигается известными итерационными методами: методом Ньютона, методом наискорейшего спуска и т.д. Для корректного решения уравнений желательно иметь набор эталонных сред с длиной замедления быстрых нейтронов, перекрывающих диапазоны реальных изменений L, диаметров скважины и Lв. В отсутствии эталонных сред (аттестованных образцов по длине замедлений быстрых нейтронов) с габаритными размерами по трем координатным осям х, у, z 2-3 L расчет постоянных коэффициентов и постоянного числа Н возможен по измерениям потоков надтепловых нейтронов в параметрических скважинах. В этом случае в разрезе выбираются 5-20 интервалов, отличающихся по длине замедления быстрых нейтронов (L) и диаметру скважины. Расчет длин замедления быстрых нейтронов для соответствующего стационарного источника быстрых нейтронов в интервалах параметрических скважин осуществляется по данным полных химанализов кернового материала с использованием, например, программы “НЕРПА” или по известным аналитическим формулам. Располагая значениями L, с, d и Lв, составляют систему уравнений вида: (8)Решая систему (8) методом итерации, легко найти значения постоянных коэффициентов и постоянного члена уравнений H. Аналогичным образом находятся постоянные коэффициенты и постоянный член уравнения Н для модели неводородосодержащей среды, но в исходную систему уравнений входят соотношения (7), число которых должно быть равным или более числа постоянных коэффициентов. Решение обратной задачи относительно длины замедления быстрых нейтронов в неизвестных средах осуществляется также итерационным методом или методом последовательных приближений по уравнениям (6) и (7). При этом значение диаметра скважины определяется аналогично прототипу по кавернограмме. При заполнении скважины буровым раствором на водной или нефтяной основе величина Lв принимается равной для пресной воды и в случае использования стационарного источника Cf – 252 составляет 5,34 см. В том случае, когда химический состав бурового раствора неизвестен, для определения Lв проводятся дополнительные измерения в зумпфе скважины, заполненном буровым раствором. Для этого случая при c=d и L = Lв уравнение (6) преобразуется к виду: ![]() Из уравнения (9) при известных A, m2, r и H определяют значение длины замедления быстрых нейтронов в буровом растворе, заполняющем скважину (скважинном флюиде). Принципиальным вопросом при реализации способа является предварительное разделение горных пород на водородосодержащие и неводородосодержащие, расчет длины замедления быстрых нейтронов в которых осуществляется по разным уравнениям. Статистический анализ расчетных данных о длине замедления быстрых нейтронов в различных горных породах показывает, что при L 20 см все горные породы имеют повышенные коэффициенты пористости (пониженная плотность) Кп 3% и глинистости (Кгл 5%). При этом плотность ( ) терригенных пород определяется соотношением п= м(1-Kп)+Kп и составляет меньше 2,6 г/см3, где м– минералогическая плотность скелета песчано-глинистых пород, в среднем равная 2,6-2,65 г/см3. При 2,6, Кгл 0% породы относятся к неводородосодержащим и характеризуются длиной замедления L > 20 см. Аналогичные закономерности отмечаются для комплекса карбонатных пород (доломита, известняка), однако граничное значение плотности для них составляет 2,7 г/см3. Таким образом, располагая диаграммами плотностного гамма-гамма-каротажа и гамма-каротажа нетрудно определить соответственно плотность пород и коэффициент глинистости, а по комплексу методов ГГК-П и ГК – пористость пластов. Конкретные методики расчета Кп, Кгл и хорошо известны и, в частности, описаны в ряде специальных монографий, например, в книге Ядерная геофизика при исследовании нефтяных месторождений. / Ф.А. Алексеев, И.В. Головацкая, Ю.А. Гулин и др.: М., Недра, 1978.
Возможности способа исследованы по результатам экспериментальных работ в государственных и отраслевых образцах пластов карбонатного и терригенного состава, аттестованных по пористости, водородосодержанию и нейтронным параметрам (длине замедления быстрых нейтронов, длине диффузии, времени жизни тепловых нейтронов и коэффициенту диффузии).
Измерения выполнены при трех фиксированных длинах зондов в тринадцати стандартных образцах с прибором 73 мм. Диаметр скважин изменялся от 0 (вода) до 19 см. В качестве источника нейтронов использовался изотопный источник Cf-252 с выходом 107 н/с, в качестве детектора – счетчик медленных нейтронов СНМ-56.
Основные физико-геометрические характеристики исследованных стандартных образцов пластов, в т.ч. данные об истинной длине замедления быстрых нейтронов, представлены в таблице. Там же приведены расчетные значения длин замедления быстрых нейтронов для зондов r = 32, 41 и 47 см, выполненные по уравнениям (6) и (7). Постоянные коэффициенты и постоянные члены H уравнений рассчитаны по измерениям в тех же образцах пластов по описанной выше методике.
Анализ табличных данных и сопоставление расчетных и истинных значений длин замедления быстрых нейтронов свидетельствуют о хорошей их сходимости. Среднеквадратические относительные расхождения между длинами замедления быстрых нейтронов не превышают 2-3% при весьма широком диапазоне изменения диаметра скважин (от 0 до 19 см). По прототипу расхождения достигают 20-30%, что обусловлено невозможностью корректного учета диаметра скважин и ее заполнения в средах разного состава. Для достижения той же точности по прототипу потребовалось бы построение нескольких десятков физических моделей пластов, что совершенно нереально. Однако даже при этом его применение не может обеспечить расчет длины замедления быстрых нейтронов в неводородосодержащих горных породах.
Таким образом, предложенный способ позволяет существенно повысить точность расчета длины замедления быстрых нейтронов в реальных условиях скважин. Благодаря этому впервые представляется возможным в практике промысловой геофизики реализовать параметрический нейтрон- нейтронный каротаж по надтепловым нейтронам с количественной оценкой длины замедления быстрых нейтронов, являющейся физической характеристикой метода, определяющей пространственное распределение надтепловых нейтронов в окружающих скважину горных породах.
Далее, используя известную петрофизическую связь длины замедления быстрых нейтронов с объемным или весовым водородосодержанием (или пористостью), возможно определение нефтеводонасыщенности пород или емкостных свойств природных коллекторов (нефти, воды).
В настоящее время способ опробирован в скважинах, пройденных в осадочных породах. Получена удовлетворительная сходимость по длине замедления быстрых нейтронов для пород различного состава. Расхождения в отношении длины замедления быстрых нейтронов по нейтрон-нейтронному каротажу и результатам расчета L по данным химического состава горных пород не превышают в среднем 5%.
Высокая точность расчетов длины замедления быстрых нейтронов, достигаемая предложенным способом, повышает надежность решения геологических задач, что предполагает значительный экономический эффект.
Формула изобретения
) горных пород по данным гамма-каротажа и плотностного гамма-гамма каротажа, по значениям которых выделяют водородосодержащие и неводородосодержащие пласты, для расчета длины замедления быстрых нейтронов в горных породах используют математические модели для водородосодержащих пластов при L 18 – 20 см![]() для неводородосодержащих пластов при L 18 – 20 см![]() где А, D, m1 и m2 – постоянные коэффициенты; Н – постоянный член уравнений; Lв – длина замедления быстрых нейтронов в скважинном флюиде; с – диаметр скважины; d – диаметр скважинного прибора, причем перед исследованием неизвестных сред в скважинах дополнительно проводят измерения потоков надтепловых нейтронов в эталонных средах с неизвестными длинами замедления быстрых нейтронов L, Lв и диаметром скважин, по результатам которых рассчитывают постоянные коэффициенты А, D, m1, m2 и постоянный член уравнений Н, для чего решают системы нелинейных уравнений раздельно для водородосодержащих (L 18 – 20 см) и неводородосодержащих (L 18 – 20 см) сред.
2. Способ по п.1, отличающийся тем, что для определения постоянных коэффициентов и постоянного члена каждой расчетной математической модели измерения потоков надтепловых нейтронов проводят минимум в пяти эталонных средах с разными значениями L, c и Lв, равномерно располагающимися в соответствующих диапазонах изменения длин замедления быстрых нейтронов и диаметров скважин.
3. Способ п. 1, отличающийся тем, что определение длины замедления быстрых нейтронов в скважинном флюиде перед исследованием неизвестных сред осуществляют по уравнению первого типа при L = Lв и с = d, с учетом которой определяют длину замедления быстрых нейтронов в исследуемых горных породах.
4. Способ по п.1, отличающийся тем, что интервалы залегания водородосодержащих горных пород определяют в песчано-глинистом разрезе по Кгл 5% при любой плотности и 2,6 г/см3 при Кгл 0%, карбонатном разрезе по Кгл 5% при любой плотности и 2,7 г/см3 при Кгл 0%, все прочие интервалы относят к неводородосодержащим пластам.
РИСУНКИ
MM4A Досрочное прекращение действия патента Российской Федерации на изобретение из-за неуплаты в установленный срок пошлины за поддержание патента в силе
Дата прекращения действия патента: 27.03.2002
Номер и год публикации бюллетеня: 11-2003
Извещение опубликовано: 20.04.2003
|
||||||||||||||||||||||||||

) горных пород, по значениям которых выделяют водородосодержащие и неводородосодержащие пласты. Для расчета длины замедления быстрых нейтронов в горных породах используют математические модели для водородосодержащих и неводородосодержащих пластов. Перед исследованием неизвестных сред дополнительно проводят измерения потоков Nнт в эталонных средах с известными длинами замедлений и диаметром скважин, по результатам которых рассчитывают постоянные коэффициенты, которые используются в математических моделях. Техническим результатом изобретения является повышение точности определения длины замедления нейтронов. 3 з.п. ф-лы, 1 табл.
где
полуширина кривой распределения, близкая по форме кривой ошибок Гаусса (Власов Н.А. Нейтроны.: Наука, гл. ред. физ. -мат. литературы, М. – 1971. – С. 428. – 2-ой аналог). Недостатком способа является высокая трудоемкость, так как для его реализации требуются многократные измерения на n разных расстояниях, минимум на 5-6. Наиболее близким по физической сущности, техническому решению и достигаемому результату является способ определения длины замедления быстрых нейтронов, заключающийся в облучении среды стационарным потоком быстрых нейтронов и измерении на некотором фиксированном расстоянии, равном 20-60 см от источника потока надтепловых нейтронов (Nнт). При этом длину замедления быстрых нейтронов или связанную с ней обратной зависимостью пористость горных пород определяют по экспериментально установленным градуировочным кривым с учетом диаметра скважины. В основу градуировочных зависимостей положены математические модели вида:
или Nнт= Ae–
Kп, где A – постоянный коэффициент, равный скорости счета Nнт при r _
или Кп = 0,
1-3%. Другим недостатком является необходимость построения градуировочных зависимостей для ряда фиксированных значений диаметров скважин, что сопряжено с большими трудозатратами. В частности, для построения зависимостей Nнт =f(Kп или L) в диапазоне L от 5,2 до 15 см при диаметре скважин от 200 до 300 мм (через 50 мм) требуется создание минимум девяти моделей (см. ссылку на прототип). В случае более широкого диапазона изменений L и диаметра скважин число моделей многократно увеличивается. Однако даже в этом случае прототип не обеспечивает необходимой точности определения длины замедления быстрых нейтронов из-за некорректного учета фактического диаметра скважины, геометрии измерительного прибора и влияния скважинного флюида, конструкция и замедляющие свойства которых могут быть существенно разными (вода и нефть, баритовый или гематитовый раствор, газированная жидкость и др.).
Предлагаемое изобретение ориентировано на создание принципиально нового способа определения длины замедления быстрых нейтронов в любых горных породах, пересеченных скважинами известного диаметра. Решение задачи достигается облучением исследуемой среды стационарным потоком быстрых нейтронов и регистрацией на фиксированном расстоянии от источника нейтронов, равном 20-60 см, потока надтепловых нейтронов Nнт и последующим расчетом длины замедления быстрых нейтронов L по экспериментально установленной зависимости с учетом диаметра скважины. В предлагаемом способе дополнительно проводят измерение потока надтепловых нейтронов в скважинном флюиде с тем же прибором, а также измерение глинистости (Кгл) и плотности (
18-20 см






тогда
F = -D. С учетом последнего уравнение (4) принимает вид:
характеризующий вероятность рассеяния нейтронов на расстоянии от источника быстрых нейтронов r < Lв. С учетом отмеченного математическая модель пространственного распределения быстрых нейтронов в водородосодержащей среде может быть окончательно представлена уравнением:

(8)
5%.
Высокая точность расчетов длины замедления быстрых нейтронов, достигаемая предложенным способом, повышает надежность решения геологических задач, что предполагает значительный экономический эффект.

