Патент на изобретение №2367273
|
||||||||||||||||||||||||||
(54) СПОСОБ ПРОИЗВОДСТВА КОНСЕРВОВ “ПЕРЕЦ СЛАДКИЙ НАТУРАЛЬНЫЙ”
(57) Реферат:
Изобретение относится к консервной промышленности. Способ характеризуется тем, что перец после предварительной подготовки и расфасовки в банки на 2-3 минуты заливают горячей водой. Затем воду заменяют на раствор с температурой не ниже 97°С, герметизируют и стерилизуют в автоклаве по новому режиму, предусматривающему охлаждение в два этапа. Изобретение позволяет уменьшить продолжительность стерилизации и экономит тепловую энергию и воду.
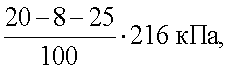
Предлагаемый способ на изобретение относится к консервной промышленности, а именно к способам консервирования перца сладкого натурального в банках СКО 1-82-500. Источники, по которым был проведен поиск по данному способу, показали, что прототипом его является способ [1], сущность которого заключается в том, что подготовленные банки с продуктом после расфасовки, заливки и закатки подвергают тепловой стерилизации в автоклаве по режиму (для тары СКО 1-82500):
где 20 – продолжительность нагрева воды в автоклаве до 100°С, мин; 8 – продолжительность собственной стерилизации, мин; 25 – продолжительность охлаждения, мин; 100 – температура стерилизации, °С; 216 – противодавление в автоклаве, кПа. Основными недостатками этого способа являются: – большая продолжительность процесса тепловой обработки продукта; – неравномерность тепловой обработки продукта в банках; – относительно большой расход тепловой энергии и воды. Целью предлагаемого способа является: сокращение продолжительности процесса тепловой обработки; снижение неравномерности тепловой обработки, повышение качества готовой продукции и экономия тепловой энергии и воды. Поставленная цель достигается за счет того, что по предлагаемому способу банки с расфасованными плодами перед заливкой раствора на 2-3 минуты заливают горячей водой с температурой не ниже 90°С, после чего воду заменяют раствором с температурой не ниже 97°С, закатывают и стерилизуют в автоклавах по новому режиму, предусматривающему охлаждение консервов в два этапа. Пример осуществления способа: В банки расфасовывают подготовленные плоды и их на 2-3 мин заливают горячей водой с температурой не ниже 90°С, далее воду заменяют на раствор с температурой не ниже 97°С и банки закатывают. После выдержки в течение 30 мин (допускаемое время выдержки до стерилизации) температура продукта в центре банки составляет 64°С (а по действующей технологической инструкции – 54°С). Таким образом, начальная температура продукта в банке перед началом стерилизации на 10°С больше по сравнению со способом консервирования по действующей технологической инструкции. При производстве консервов перец сладкий натуральный температура заливки должна быть не ниже 90°С. Так как ее кипятят при 100°С, а температура при заливке не ниже 90°С, таким образом, имеют место неэффективные потери тепловой энергии на охлаждение заливки от 100°С до 90°С; кроме того, по действующей технологической инструкции предусмотрено охлаждение консервов до температуры воды в автоклаве, равной 40°С, что также связано с большими потерями и тепловой энергии, и воды. Увеличение начальной температуры продукта в банках перед стерилизацией за счет предварительной заливки их на 2-3 минуты горячей водой позволяет, во-первых, увеличить начальную температуру воды в автоклаве перед загрузкой банок для стерилизации на величину до 10°С, так как температура банок, поступающих на стерилизацию, на 10°С больше, чем при стерилизации по режиму действующей технологической инструкции и, во-вторых, позволяет охлаждение консервов до конечной температуры проводить в два этапа, не вызывая срыва крышек с банок, так как давление, возникающее в банках при стерилизации по предлагаемому способу, из-за сравнительно высокой температуры продукта при герметизации ниже, чем при стерилизации по режиму действующей технологической инструкции. В связи с отмеченным выше, мы предлагаем охлаждать консервы при стерилизации по предлагаемому способу в два этапа: в первом автоклаве, где осуществляется процесс нагрева до температуры стерилизации и выдержка, охлаждать консервы до температуры воды в автоклаве, равной 50°С, т.е. на 10°С больше, чем по режиму действующей технологической инструкции, с последующим продолжением охлаждения в другом автоклаве или емкости без противодавления и температуре воды, равной 40°С. Такой способ охлаждения позволяет, во-первых, значительно экономить тепловую энергию на нагрев воды в автоклаве перед загрузкой очередной партии консервов, так как в данном случае нагрев воды будет осуществляться не от 40°С, как принято по режиму действующей технологической инструкции, а от 50°С, и, кроме того, имеет место экономия охлаждающей воды. Режим стерилизации консервов в автоклаве по предлагаемому способу можно выразить в следующем виде:
где 10 – продолжительность подогрева воды в автоклаве от 80° до 100°С, мин; 8 – продолжительность периода собственной стерилизации при 100°С воды, мин; 20 – продолжительность периода охлаждения воды в автоклаве от 100°С до 50°С, мин; 5 – продолжительность охлаждения во втором автоклаве или емкости при 40°С, мин; 80 – начальная температура воды в автоклаве перед загрузкой консервов, °С; 100 – температура стерилизации, °С; 50 – конечная температура воды в первом автоклаве, °С.; 40 – температура воды во втором автоклаве или емкости °С; 216 – противодавление в первом автоклаве, кПа. Существенными отличительными признаками предлагаемого способа являются: предварительный подогрев плодов перца в банках перед заливкой раствором горячей водой с температурой не ниже 90°С в течение 2-3 минут с заменой ее на раствор с температурой не ниже 97°С и охлаждение консервов предусматривается в два этапа. Режим обеспечивает промышленную стерильность консервов, уменьшает продолжительность процесса тепловой стерилизации, обеспечивает экономию тепловой энергии и охлаждающей воды. Литература 1. Сборник технологических инструкций по производству консервов, т.1. – М.: Пищевая промышленность, 1990.
Формула изобретения
Способ консервирования перца сладкого натурального, характеризующийся тем, что плоды, расфасованные в банки, на 2-3 мин заливают горячей водой с температурой не ниже 90°С, которую заменяют на раствор, нагретый до температуры не ниже 97°С, закатывают и стерилизуют в автоклаве по режиму
|
||||||||||||||||||||||||||




,