|
|
(21), (22) Заявка: 2008111436/28, 24.03.2008
(24) Дата начала отсчета срока действия патента:
24.03.2008
(46) Опубликовано: 10.09.2009
(56) Список документов, цитированных в отчете о поиске:
SU 1296862 A1, 15.03.1987. SU 1675689 A1, 07.09.1991. RU 2125252 C1, 20.01.1999.
Адрес для переписки:
614990, г.Пермь, Комсомольский пр., 29, Пермский государственный технический университет, патентно-информационный отдел
|
(72) Автор(ы):
Колмогоров Герман Леонидович (RU), Кузнецова Елена Владимировна (RU)
(73) Патентообладатель(и):
Государственное образовательное учреждение высшего профессионального образования “Пермский государственный технический университет” (RU)
|
(54) СПОСОБ ОПРЕДЕЛЕНИЯ ОСТАТОЧНЫХ НАПРЯЖЕНИЙ
(57) Реферат:
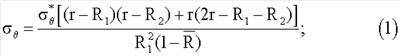
Изобретение относится к способам определения остаточных напряжений в осесимметричных трубных изделиях после пластического деформирования. Известным экспериментальным способом определяют тангенциальное остаточное напряжение в поверхностном слое трубного изделия, по значению которого определяют распределение остаточных напряжений по всему сечению трубного изделия по формулам:



где r,  , z – соответственно радиальные, тангенциальные и осевые остаточные напряжения; – значение тангенциального остаточного напряжения в поверхностном слое трубного изделия; R1 и R2 – соответственно внешний и внутренний радиусы трубы; – безразмерный параметр, характеризующий относительную толщину стенки трубы; r – радиальная координата; µ – коэффициент Пуассона материала трубы. Техническим результатом изобретения является повышение точности и расширение возможностей способа за счет определения всех компонентов тензора остаточных напряжений по всему сечению осесимметричных трубных изделий. 1 табл.
Изобретение относится к способам определения остаточных напряжений в осесимметричных трубных изделиях после пластического деформирования.
Известны экспериментальные способы исследования остаточных напряжений в трубах (см. Соколов И.А., Уральский В.И. Остаточные напряжения и качество металлопродукции М.: Металлургия, 1981 г. с.96), заключающиеся в замере деформаций образцов при их частичном или полном разрушении с дальнейшим переходом от измеренных деформаций к напряжениям на основе законов теории упругости. Например, способ Андерсена-Фальмана, по которому для определения продольных напряжений из трубы вырезается полоска, параллельная оси, и замеряется возникший прогиб. По замеренным прогибам с помощью специальных формул рассчитываются осевые продольные остаточные напряжения. Аналогично можно найти тангенциальные напряжения, разрезав по образующей отрезанное от трубы кольцо и измеряя изменения диаметра.
Недостатком известных способов определения остаточных напряжений является то, что они относятся к разрушающим способам, применение которых приводит к потере работоспособности детали.
Известны физические способы определения остаточных напряжений, основанные на измерении физических и механических характеристик материала под влиянием остаточных напряжений. Для материалов, имеющих кристаллическое строение, используется рентгеновская тензометрия (см. Биргер И.А. Остаточные напряжения М.: Машгиз, 1963, с.183). При использовании рентгеновского способа на исследуемое тело воздействуют рентгеновскими лучами, отраженные лучи фиксируются на рентгеновской пленке. Последующая расшифровка рентгенограммы позволяет рассчитать разность главных напряжений 1– 2 на поверхности детали или каждое из главных напряжений 1, 2 (см. там же, с.198). Данный способ принят за прототип. Несмотря на преимущества рентгеновского способа как неразрушающего, он имеет недостатки.
Недостатком известного способа, принятого за прототип, является его невысокая точность вследствие того, что напряжения определяются только на поверхности изделия, то есть невозможно получить полную картину распределения остаточных напряжений по всему объему изделия. Кроме того, известный способ не позволяет определить третье из главных напряжений, в частности радиальное напряжение, поскольку на поверхности это напряжение равняется нулю и оно не влияет на рентгенограмму. В то же время известно, что по мере удаления от поверхностных слоев оно может достигать значительных величин, а при оценке прочности радиальное напряжение r играет большую роль.
Признаки прототипа, являющиеся общими с заявляемым техническим решением, – определение тангенциальных остаточных напряжений в поверхностном слое трубного изделия.
Задача изобретения – повышение точности и расширение возможностей способа за счет определения всех компонентов тензора остаточных напряжений по всему сечению осесимметричных трубных изделий.
Задача изобретения была решена за счет того, что в известном способе, заключающемся в определении тангенциального остаточного напряжения в поверхностном слое трубного изделия, по найденному значению тангенциального остаточного напряжения определяют распределение остаточных напряжений по всему сечению трубного изделия по формулам



где r, , z – соответственно радиальные, тангенциальные и осевые остаточные напряжения;
– экспериментально найденное значение тангенциального остаточного напряжения в поверхностном слое трубного изделия;
R1 и R2 – соответственно внешний и внутренний радиусы трубы;
– безразмерный параметр, характеризующий относительную толщину стенки трубы;
r – радиальная координата;
– коэффициент Пуассона материала трубы.
Признаки предлагаемого способа, отличительные от признаков способа по прототипу, по найденному значению тангенциального остаточного напряжения в поверхностном слое определяют распределение остаточных напряжений по всему сечению трубного изделия по формулам (1).
Соотношения (1) получены из решения осесимметричной задачи теории упругости для остаточных напряжений. Для трубных изделий получены формулы для расчета радиальных ( r), тангенциальных ( ) и осевых ( z) остаточных напряжений



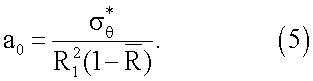
Здесь параметр a0 зависит от технологических условий изготовления трубных изделий и может быть определен из формулы (4) для экспериментально найденного осевого остаточного напряжения на внешней поверхности трубы (r=R1)

После подстановки выражения (5) в формулы (2-4) получим выражения, определяющие распределение радиальных, тангенциальных и осевых напряжений по всему сечению изделия



Пример конкретной реализации
Предложенный способ использован для определения технологических остаточных напряжений в тонкостенных циркониевых холоднодеформированных трубах, которые применяются для каналов водо-водяных и кипящих атомных реакторов. В лаборатории ОАО «Чепецкий механический завод» с применением автоматического дифрактометрического комплекса определены экспериментальные значения тангенциальных остаточных макронапряжений на поверхности холоднокатаной трубы из сплава Э125 с внешним и внутренним диаметрами трубы 88 и 79,5 мм, что соответствует , которые составляют +(68÷116) МПа. Коэффициент Пуассона для данного сплава принят равным =0,34. Ниже в таблице приведены результаты расчета остаточных напряжений в трубе с внешним и внутренним радиусами 44 и 39,75 мм соответственно для экспериментально определенного =116 МПа.
| Таблица |
| r (мм) |
r, МПа |
z, МПа |
 , МПа |
| 39,75 |
0 |
-35,6305 |
-104,79545 |
| 40,5 |
-1,62834 |
-24,5973 |
-70,716578 |
| 41,25 |
-2,55882 |
-12,615 |
-34,544118 |
| 42 |
-2,79144 |
0,316364 |
3,7219251 |
| 42,75 |
-2,3262 |
14,19682 |
44,081551 |
| 43.5 |
-1,1631 |
29,02636 |
86,534759 |
| 44 |
0 |
39,44 |
116 |
Определенные значения напряжений свидетельствуют о том, что остаточные напряжения в объеме трубы меняются в широком диапазоне значений. Следует отметить, что положительные напряжения являются растягивающими, а отрицательные – сжимающими.
Таким образом, зная только остаточные тангенциальные напряжения на поверхности, определили напряжения r,  , z по всему объему трубы.
Предлагаемый способ прост в осуществлении, позволяет определять остаточные напряжения в любой точке сечения трубного изделия, получить точную и достоверную информацию о распределении и уровне остаточных напряжений, прогнозировать возможное последеформационное разрушение изделий от действия остаточных напряжений. Способ позволяет оценить влияние технологии производства на уровень остаточных напряжений, прогнозировать усталостную и хрупкую прочность, коррозионную стойкость изделий.
Формула изобретения
Способ определения остаточных напряжений, включающий определение тангенциальных остаточных напряжений в поверхностном слое трубного изделия, отличающийся тем, что по найденному значению тангенциального остаточного напряжения в поверхностном слое определяют распределение остаточных напряжений по всему сечению трубного изделия по формулам


 где r,  , z – соответственно радиальные, тангенциальные и осевые остаточные напряжения;
– значение тангенциального остаточного напряжения в поверхностном слое трубного изделия; R1 и R2 – соответственно внешний и внутренний радиусы трубы;
– безразмерный параметр, характеризующий относительную толщину стенки трубы; r – радиальная координата; µ – коэффициент Пуассона материала трубы.
|
|