|
|
(21), (22) Заявка: 2007115241/09, 23.04.2007
(24) Дата начала отсчета срока действия патента:
23.04.2007
(43) Дата публикации заявки: 27.10.2008
(46) Опубликовано: 10.08.2009
(56) Список документов, цитированных в отчете о поиске:
RU 2277258 C1, 27.05.2006. RU 2187426 C2, 20.08.2002. RU 2208242 C1, 10.07.2003. KR 100382749 B1, 21.04.2003.
Адрес для переписки:
690041, Приморский край, г.Владивосток, ул. Радио, 5, ИАПУ ДВО РАН
|
(72) Автор(ы):
Филаретов Владимир Федорович (RU)
(73) Патентообладатель(и):
Институт автоматики и процессов управления ДВО РАН (RU)
|
(54) САМОНАСТРАИВАЮЩИЙСЯ ЭЛЕКТРОПРИВОД РОБОТА
(57) Реферат:
Изобретение относится к робототехнике и может быть использовано для создания систем управления приводами робота. Технический результат заключается в обеспечении высокой динамической точности привода указанной степени подвижности робота с учетом электрической постоянной времени якорной цепи электродвигателя. Он достигается за счет введения соответствующих новых связей, причем обеспечивается полная инвариантность рассматриваемого привода робота к эффектам взаимовлияния между всеми его степенями подвижности и моментам трения. Это позволяет получить стабильно высокое качество управления в любых режимах работы этого привода. 2 ил.
Изобретение относится к робототехнике и может быть использовано при создании систем управления приводами роботов.
Известен самонастраивающийся электропривод робота, содержащий последовательно соединенные первый сумматор, первый блок умножения, второй сумматор, усилитель и двигатель, связанный с первым датчиком скорости непосредственно и через редуктор с шестерней, первый датчик положения, последовательно соединенные релейный блок и третий сумматор, второй вход которого подключен к выходу первого датчика скорости, входу релейного блока и к второму входу первого сумматора, последовательно соединенные первый задатчик сигнала и четвертый сумматор, последовательно соединенные второй задатчик сигнала, пятый сумматор и второй блок умножения, последовательно соединенные шестой сумматор и третий блок умножения, выход которого подключен к третьему входу третьего сумматора, последовательно соединенные второй датчик скорости и первый квадратор, а также датчик массы, причем вход устройства соединен с первым входом седьмого сумматора, подключенного вторым входом к выходу первого датчика положения, а выходом – к первому входу первого сумматора, выход третьего сумматора соединен со вторым входом второго сумматора, выход датчика массы соединен со вторым входом первого блока умножения, а выход первого сумматора соединен с третьим входом второго сумматора, последовательно соединенные второй датчик положения, первый функциональный преобразователь, четвертый блок умножения и восьмой сумматор, выход которого подключен ко второму входу второго блока умножения, последовательно соединенные третий датчик положения, девятый сумматор, второй функциональный преобразователь и пятый блок умножения, выход которого подключен к первому входу шестого сумматора, последовательно соединенные третий датчик скорости, десятый сумматор, второй вход которого подключен к выходу второго датчика скорости, второй квадратор и шестой блок умножения, выход которого подключен ко второму входу шестого сумматора, а его второй вход через третий функциональный преобразователь – к выходу девятого сумматора, последовательно соединенные четвертый функциональный преобразователь, вход которого подключен к выходу второго датчика положения и второму входу девятого сумматора, и седьмой блок умножения, второй вход которого подключен к выходу первого квадратора, а выход – ко второму входу восьмого сумматора, последовательно соединенные первый датчик ускорения и одиннадцатый сумматор, второй вход которого подключен к выходу второго датчика ускорения и к второму входу четвертого блока умножения, а его выход – ко второму входу пятого блока умножения, причем выход датчика массы подключен ко вторым входам четвертого и пятого сумматоров, выход второго блока умножения – к четвертому входу третьего сумматора, а выход четвертого сумматора – ко второму входу третьего блока умножения, отличающийся тем, что первый и второй функциональные преобразователи реализуют функцию cos, а третий и четвертый функциональные преобразователи – функцию sin (см. патент РФ 2272313, БИ 8, 2006).
Недостатком данного устройства является то, что в нем не учитывается электрическая постоянная времени электродвигателя. Это во многих случаях может привести к потере устойчивости и снижению динамической точности управления рассматриваемым приводом робота.
Известен также самонастраивающийся электропривод робота, содержащий последовательно соединенные первый сумматор, первый блок умножения, второй сумматор, усилитель и двигатель, связанный с первым датчиком скорости непосредственно и через редуктор с шестерней, первый датчик положения, последовательно соединенные релейный блок и третий сумматор, второй вход которого подключен к выходу первого датчика скорости, входу релейного блока и к второму входу первого сумматора, последовательно соединенные первый задатчик сигнала и четвертый сумматор, последовательно соединенные второй задатчик сигнала, пятый сумматор и второй блок умножения, последовательно соединенные шестой сумматор и третий блок умножения, выход которого подключен к третьему входу третьего сумматора, последовательно соединенные второй датчик скорости и первый квадратор, а также датчик массы, причем входом самонастраивающегося электропривода является первый вход седьмого сумматора, подключенный вторым входом к выходу первого датчика положения, а выходом – к первому входу первого сумматора, выход третьего сумматора соединен со вторым входом второго сумматора, выход датчика массы соединен со вторым входом первого блока умножения, а выход первого сумматора соединен с третьим входом второго сумматора, последовательно соединенные второй датчик положения, первый функциональный преобразователь, четвертый блок умножения и восьмой сумматор, выход которого подключен ко второму входу второго блока умножения, последовательно соединенные третий датчик положения, девятый сумматор, второй функциональный преобразователь и пятый блок умножения, выход которого подключен к первому входу шестого сумматора, последовательно соединенные третий датчик скорости, десятый сумматор, второй вход которого подключен к выходу второго датчика скорости, второй квадратор и шестой блок умножения, выход которого подключен ко второму входу шестого сумматора, а его второй вход через третий функциональный преобразователь – к выходу девятого сумматора, последовательно соединенные четвертый функциональный преобразователь, вход которого подключен к выходу второго датчика положения и второму входу девятого сумматора, и седьмой блок умножения, второй вход которого подключен к выходу первого квадратора, а выход – ко второму входу восьмого сумматора, последовательно соединенные первый датчик ускорения и одиннадцатый сумматор, второй вход которого подключен к выходу второго датчика ускорения и к второму входу четвертого блока умножения, а его выход – ко второму входу пятого блока умножения, причем выход датчика массы подключен ко вторым входам четвертого и пятого сумматоров, выход второго блока умножения – к четвертому входу третьего сумматора, а выход четвертого сумматора – ко второму входу третьего блока умножения, при этом первый и второй функциональные преобразователи реализуют функцию sin, а третий и четвертый функциональные преобразователи – функцию cos, третий датчик ускорения связан входом с выходным валом двигателя, а выходом – с четвертым входом второго сумматора, последовательно соединенные восьмой блок умножения, двенадцатый сумматор, девятый блок умножения, второй вход которого подключен к выходу первого функционального преобразователя, тринадцатый сумматор и десятый блок умножения, второй вход которого подключен к выходу пятого сумматора, а выход – к пятому входу второго сумматора, последовательно соединенные одиннадцатый блок умножения, первый вход которого подключен к выходу второго датчика скорости и первому входу восьмого блока умножения, второй вход которого соединен с выходом первого квадратора, а его второй вход – к выходу второго датчика ускорения и через первый дифференциатор – к второму входу двенадцатого сумматора и двенадцатый блок умножения, выход которого соединен со вторым входом тринадцатого сумматора, а второй вход – с выходом четвертого функционального преобразователя, последовательно соединенные тринадцатый блок умножения, первый вход которого подключен к выходу второго квадратора, четырнадцатый сумматор, второй вход которого через второй дифференциатор соединен с выходом одиннадцатого сумматора, четырнадцатый блок умножения, второй вход которого подключен к выходу второго функционального преобразователя, пятнадцатый сумматор и пятнадцатый блок умножения, второй вход которого соединен с выходом четвертого сумматора, а выход – с шестым входом второго сумматора, а также последовательно соединенные шестнадцатый блок умножения, первый вход которого подключен к выходу одиннадцатого сумматора, а его второй вход – ко второму входу тринадцатого блока умножения и выходу десятого сумматора, и семнадцатый блок умножения, второй вход которого соединен с выходом третьего функционального преобразователя, а выход – со вторым входом пятнадцатого сумматора (см. патент РФ 2277258, БИ 15, 2006).
Недостатком данного устройства является то, что оно предназначено для конкретного привода робота с другой кинематической схемой. Для привода рассматриваемой степени подвижности рассматриваемого робота (с другой кинематической схемой) это устройство не будет обеспечивать требуемую динамическую точность работы.
Задачей, на решение которой направлено изобретение, является обеспечение полной инвариантности динамических свойств рассматриваемого электропривода к изменениям его динамических моментных нагрузочных характеристик при движении манипулятора робота по всем пяти степеням подвижности и, тем самым, повышение динамической точности управления при учете электрической постоянной времени электродвигателя.
Технический результат, который может быть получен при реализации изобретения, выражается в формировании нового сигнала управления, подаваемого на вход привода, который обеспечивает получение нового моментного воздействия, компенсирующего вредное моментное воздействие на качественные показатели работы рассматриваемого привода.
Поставленная задача решается тем, что в самонастраивающемся электроприводе робота, содержащем последовательно соединенные первый сумматор, первый блок умножения, второй сумматор, усилитель и двигатель, связанный с первым датчиком скорости непосредственно и через редуктор с шестерней, первый датчик положения, последовательно соединенные релейный блок и третий сумматор, второй вход которого подключен к выходу первого датчика скорости, входу релейного блока и к второму входу первого сумматора, а выход – ко второму входу второго сумматора, последовательно соединенные первый задатчик сигнала и четвертый сумматор, последовательно соединенные второй задатчик сигнала, пятый сумматор и второй блок умножения, последовательно соединенные шестой сумматор и третий блок умножения, выход которого подключен к третьему входу третьего сумматора, последовательно соединенные второй датчик скорости, установленный во второй степени подвижности робота, и первый квадратор, а также датчик массы, причем входом самонастраивающегося электропривода является первый вход седьмого сумматора, подключенного вторым входом к выходу первого датчика положения, а выходом – к первому входу первого сумматора, выход датчика массы соединен со вторым входом первого блока умножения, а выход первого сумматора соединен с третьим входом второго сумматора, последовательно соединенные второй датчик положения, установленный во второй степени подвижности робота, и первый функциональный преобразователь, последовательно соединенные четвертый блок умножения и восьмой сумматор, выход которого подключен ко второму входу второго блока умножения, последовательно соединенные третий датчик положения, установленный в третьей степени подвижности робота, девятый сумматор и второй функциональный преобразователь, пятый блок умножения, выход которого подключен к первому входу шестого сумматора, последовательно соединенные третий датчик скорости, установленный в третьей степени подвижности робота, десятый сумматор, второй вход которого подключен к выходу второго датчика скорости, второй квадратор и шестой блок умножения, выход которого подключен ко второму входу шестого сумматора, третий функциональный преобразователь, подключенный входом к выходу девятого сумматора, четвертый функциональный преобразователь, вход которого подключен к выходу второго датчика положения и второму входу девятого сумматора, и седьмой блок умножения, второй вход которого подключен к выходу первого квадратора, а выход – ко второму входу восьмого сумматора, последовательно соединенные первый датчик ускорения, установленный в третьей степени подвижности робота, и одиннадцатый сумматор, второй вход которого подключен к выходу второго датчика ускорения, установленного во второй степени подвижности робота, и к второму входу четвертого блока умножения, а выход – ко второму входу пятого блока умножения, причем выход датчика массы подключен ко вторым входам четвертого и пятого сумматоров, выход второго блока умножения – к четвертому входу третьего сумматора, а выход четвертого сумматора – ко второму входу третьего блока умножения, при этом первый и второй функциональные преобразователи реализуют функцию sin, а третий и четвертый функциональные преобразователи – функцию cos, третий датчик ускорения, связанный входом с выходным валом двигателя, а выходом – с четвертым входом второго сумматора, последовательно соединенные восьмой блок умножения, двенадцатый сумматор, девятый блок умножения, тринадцатый сумматор и десятый блок умножения, второй вход которого подключен к выходу пятого сумматора, а выход – к пятому входу второго сумматора, последовательно соединенные одиннадцатый блок умножения, первый вход которого подключен к выходу второго датчика скорости и первому входу восьмого блока умножения, второй вход которого соединен с выходом первого квадратора, а второй вход – к выходу второго датчика ускорения и через первый дифференциатор – к второму входу двенадцатого сумматора, и двенадцатый блок умножения, выход которого соединен со вторым входом тринадцатого сумматора, последовательно соединенные тринадцатый блок умножения, первый вход которого подключен к выходу второго квадратора, четырнадцатый сумматор, второй вход которого через второй дифференциатор соединен с выходом одиннадцатого сумматора, четырнадцатый блок умножения, пятнадцатый сумматор и пятнадцатый блок умножения, второй вход которого соединен с выходом четвертого сумматора, а выход – с шестым входом второго сумматора, а также последовательно соединенные шестнадцатый блок умножения, первый вход которого подключен к выходу одиннадцатого сумматора, а его второй вход – ко второму входу тринадцатого блока умножения и выходу десятого сумматора, и семнадцатый блок умножения, выход которого соединен со вторым входом пятнадцатого сумматора, выход первого функционального преобразователя подключен к первому входу седьмого и второму входу двенадцатого блока умножения, выход второго функционального преобразователя – ко вторым входам шестого и семнадцатого блоков умножения, выход третьего функционального преобразователя – к первому входу пятого и второму входу четырнадцатого блоков умножения, а выход четвертого функционального преобразователя – к вторым входам четвертого и девятого блоков умножения.
Сопоставительный анализ существенных признаков предлагаемого изобретения с существенными признаками аналогов и прототипа свидетельствует о его соответствии критерию «новизна».
При этом отличительные признаки формулы изобретения обеспечивают высокую точность и устойчивость работы рассматриваемого привода робота в условиях существенного изменения параметров нагрузки.
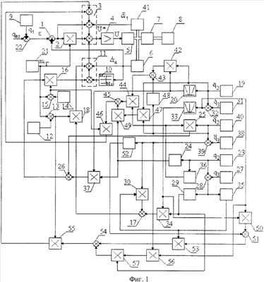
На фиг.1 представлена схема предлагаемого самонастраивающегося электропривода робота; на фиг.2 – кинематическая схема исполнительного органа робота.
Самонастраивающийся электропривод робота содержит последовательно соединенные первый сумматор 1, первый блок 2 умножения, второй сумматор 3, усилитель 4 и двигатель 5, связанный с первым датчиком 6 скорости непосредственно и через редуктор 7 с шестерней 8, первый датчик 9 положения, последовательно соединенные релейный блок 10 и третий сумматор 11, второй вход которого подключен к выходу первого датчика 6 скорости, входу релейного блока 10 и к второму входу первого сумматора 1, а выход – ко второму входу второго сумматора 3, последовательно соединенные первый задатчик 12 сигнала и четвертый сумматор 13, последовательно соединенные второй задатчик 14 сигнала, пятый сумматор 15 и второй блок 16 умножения, последовательно соединенные шестой сумматор 17 и третий блок 18 умножения, выход которого подключен к третьему входу третьего сумматора 11, последовательно соединенные второй датчик 19 скорости, установленный во второй степени подвижности робота, и первый квадратор 20, а также датчик 21 массы, причем входом самонастраивающегося электропривода является первый вход седьмого сумматора 22, подключенного вторым входом к выходу первого датчика 9 положения, а выходом – к первому входу первого сумматора 1, выход датчика 21 массы соединен со вторым входом первого блока 2 умножения, а выход первого сумматора 1 соединен с третьим входом второго сумматора 3, последовательно соединенные второй датчик 23 положения, установленный во второй степени подвижности робота, и первый функциональный преобразователь 24, последовательно соединенные четвертый блок 25 умножения и восьмой сумматор 26, выход которого подключен ко второму входу второго блока 16 умножения, последовательно соединенные третий датчик 27 положения, установленный в третьей степени подвижности робота, девятый сумматор 28 и второй функциональный преобразователь 29, пятый блок 30 умножения, выход которого подключен к первому входу шестого сумматора 17, последовательно соединенные третий датчик 31 скорости, установленный в третьей степени подвижности робота, десятый сумматор 32, второй вход которого подключен к выходу второго датчика 19 скорости, второй квадратор 33 и шестой блок 34 умножения, выход которого подключен ко второму входу шестого сумматора 17, третий функциональный преобразователь 35, подключенный входом к выходу девятого сумматора 28, четвертый функциональный преобразователь 36, вход которого подключен к выходу второго датчика 23 положения и второму входу девятого сумматора 28, и седьмой блок 37 умножения, второй вход которого подключен к выходу первого квадратора 20, а выход – ко второму входу восьмого сумматора 26, последовательно соединенные первый датчик 38 ускорения, установленный в третьей степени подвижности робота, и одиннадцатый сумматор 39, второй вход которого подключен к выходу второго датчика 40 ускорения, установленного во второй степени подвижности робота, и к второму входу четвертого блока 25 умножения, а выход – ко второму входу пятого блока 30 умножения, причем выход датчика 21 массы подключен ко вторым входам четвертого 13 и пятого 15 сумматоров, выход второго блока 16 умножения – к четвертому входу третьего сумматора 11, а выход четвертого сумматора 13 – ко второму входу третьего блока 18 умножения, при этом первый 24 и второй 29 функциональные преобразователи реализуют функцию sin, a третий 35 и четвертый 36 функциональные преобразователи – функцию cos, третий датчик 41 ускорения, связанный входом с выходным валом двигателя 5, а выходом – с четвертым входом второго сумматора 3, последовательно соединенные восьмой блок 42 умножения, двенадцатый сумматор 43, девятый блок 44 умножения, тринадцатый сумматор 45 и десятый блок 46 умножения, второй вход которого подключен к выходу пятого сумматора 15, а выход – к пятому входу второго сумматора 3, последовательно соединенные одиннадцатый блок 47 умножения, первый вход которого подключен к выходу второго датчика 19 скорости и первому входу восьмого блока 42 умножения, второй вход которого соединен с выходом первого квадратора 20, а второй вход – к выходу второго датчика 40 ускорения и через первый дифференциатор 48 – к второму входу двенадцатого сумматора 43, и двенадцатый блок 49 умножения, выход которого соединен со вторым входом тринадцатого сумматора 45, последовательно соединенные тринадцатый блок 50 умножения, первый вход которого подключен к выходу второго квадратора 33, четырнадцатый сумматор 51, второй вход которого через второй дифференциатор 52 соединен с выходом одиннадцатого сумматора 39, четырнадцатый блок 53 умножения, пятнадцатый сумматор 54 и пятнадцатый блок 55 умножения, второй вход которого соединен с выходом четвертого сумматора 13, а выход – с шестым входом второго сумматора 3, а также последовательно соединенные шестнадцатый блок 56 умножения, первый вход которого подключен к выходу одиннадцатого сумматора 39, а его второй вход – ко второму входу тринадцатого блока 50 умножения и выходу десятого сумматора 32, и семнадцатый блок 57 умножения, выход которого соединен со вторым входом пятнадцатого сумматора 54, выход первого функционального преобразователя 24 подключен к первому входу седьмого 37 и второму входу двенадцатого 49 блока умножения, выход второго функционального преобразователя 29 – ко вторым входам шестого 34 и семнадцатого 57 блоков умножения, выход третьего функционального преобразователя 35 – к первому входу пятого 30 и второму входу четырнадцатого 53 блоков умножения, а выход четвертого функционального преобразователя 36 – к вторым входам четвертого 25 и девятого 44 блоков умножения.
На чертежах введены следующие обозначения: qвх – сигнал желаемого положения; qi – соответствующие обобщенные координаты исполнительного органа робота ; qi – скорости изменения соответствующих обобщенных координат ; – ошибка привода (величина рассогласования); m1, m2, m3, mг – соответственно, массы первого, второго, третьего звеньев исполнительного органа и захваченного груза; (i=2,3) – расстояния от оси вращения соответствующего звена до его центра масс; (i=2,3) – длины соответствующих звеньев; , – соответственно скорость и ускорение вращения ротора двигателя первой степени подвижности; U*, U – соответственно усиливаемый сигнал и сигнал управления двигателем 5.
Рассматриваемый привод управляет обобщенной координатой q4. Конструкция робота (фиг.2) является наиболее типовой для отечественных и зарубежных промышленных роботов. Эта конструкция позволяет осуществлять вертикальное прямолинейное перемещение груза (координата q5), вращения в горизонтальной плоскости (координаты q2, q3), а также горизонтальные прямолинейные перемещения (координаты q1 и q4).
Устройство работает следующим образом. Сигнал ошибки после коррекции в блоках 1, 2, 3, усиливаясь, поступает на электродвигатель 5, приводя его вал во вращательное движение с направлением и скоростью (ускорением), зависящими от величины поступающего сигнала U, моментов трения и внешнего моментного воздействия МB. Электропривод при работе с различными грузами, а также за счет взаимовлияния степеней подвижности исполнительного органа обладает переменными моментными характеристиками, которые могут меняться в широких пределах. Это снижает качественные показатели работы электропривода и даже приводит к потере устойчивости его работы. В результате возникает задача, связанная с обеспечением инвариантности динамических свойств электропривода к непрерывным и быстрым изменениям его моментных нагрузочных характеристик, что позволяет обеспечить стабильность заданного качества системы управления.
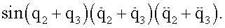
Моментные характеристики привода, управляющего координатой q4, существенно зависят от изменения координат q2, q3, , , , и груза mг. В связи с этим для качественного управления координатой q4 необходимо точно компенсировать отрицательное влияние изменения этих координат, а также переменной массы груза mг на динамические свойства рассматриваемого привода (координата q4).
Манипулятор в горизонтальной плоскости перемещается с помощью электроприводов посредством передач шестерня – рейка (координаты q1 и q4). Причем рейки установлены в горизонтальной плоскости на основании робота, а шестерни – на выходных валах редукторов и имеют радиус r.
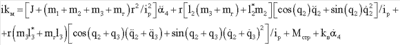
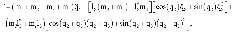
Несложно показать, что в процессе движения рассматриваемого робота на координату q4 действует сила

которая в процессе движения робота создает на выходном валу редуктора 7 момент, равный

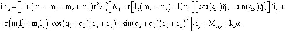
С учетом соотношения (1), а также уравнения электрической и механической

цепей электродвигателя постоянного тока с постоянными магнитами или независимого возбуждения рассматриваемый привод, управляющий координатой q4, можно описать следующим дифференциальным уравнением


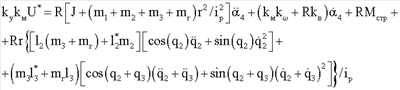
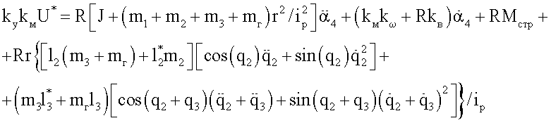
где R и L – соответственно, активное и индуктивное сопротивления якорной цепи двигателя 5; J – момент инерции якоря двигателя и вращающихся частей редуктора, приведенный к валу двигателя; kм – коэффициент крутящего момента; k – коэффициент противо-ЭДС; kB – коэффициент вязкого трения; ip – передаточное отношение редуктора; Мстр – момент сухого трения; ky – коэффициент усиления усилителя 4; i – ток якоря двигателя 5.
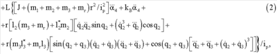
Из (2) видно, что параметры этого уравнения, а следовательно, параметры и динамические свойства привода, управляющего координатой q1, являются существенно переменными, зависящими от q2, q3, , , , , , и mг. В результате для реализации поставленной выше задачи необходимо сформировать такое корректирующее устройство, которое стабилизировало бы параметры привода таким образом, чтобы он описывался дифференциальным уравнением с постоянными желаемыми параметрами.
Первый положительный вход сумматора 1 имеет единичный коэффициент усиления, а его второй отрицательный вход имеет коэффициент усиления k /ky. Следовательно, на выходе сумматора 1 формируется сигнал .
Датчики положения 23 и 27 соответственно установлены во второй и третьей степенях подвижности робота и измеряют обобщенные координаты q2 и q3 соответственно. Сумматор 28 имеет положительные входы с единичными коэффициентами усиления. Следовательно, на его выходе формируется сигнал, равный q2+q3. Датчики скорости 19 и 31 соответственно установлены во второй и третьей степенях подвижности робота и измеряют скорости и соответственно. Сумматор 32 имеет положительные входы с единичными коэффициентами усиления. Следовательно, на его выходе формируется сигнал, равный .
Датчики ускорения 38 и 40 соответственно установлены в третьей и второй степенях подвижности робота и измеряют ускорения и соответственно.
Функциональные преобразователи 24 и 29 реализуют функцию sin, a функциональные преобразователи 35 и 36 – функцию cos. В результате на выходе блока 25 умножения будет формироваться сигнал , на выходе блока 37 умножения – сигнал , на выходе блока 30 умножения – сигнал , а на выходе блока 34 умножения – сигнал .
Сумматоры 17 и 26 имеют положительные входы с коэффициентами усиления r/ip. В результате на их выходах формируются сигналы и соответственно.
На выходе задатчиков сигналов 12 и 14 формируются сигналы и соответственно.
Первый (со стороны задатчика 12) положительный вход сумматора 13 имеет единичный коэффициент усиления, а его второй положительный вход – коэффициент усиления, равный l3. В результате на его выходе формируется сигнал .
Первый (со стороны задатчика 14) положительный вход сумматора 15 имеет единичный коэффициент усиления, а его второй положительный вход – коэффициент усиления, равный l3. В результате на его выходе формируется сигнал .
Выходной сигнал релейного элемента 10 с нулевой нейтральной точкой имеет вид

где |Мт| – величина момента сухого трения при движении.
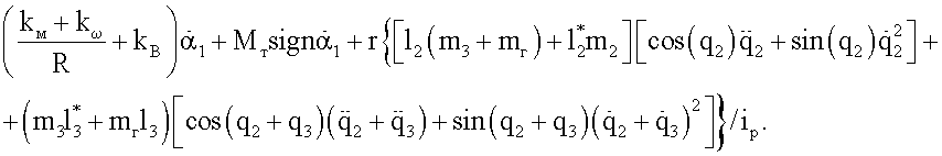
Первый, третий и четвертый положительные входы сумматора 11 имеют единичные коэффициенты усиления, а его второй положительный вход (со стороны датчика 6) – коэффициент усиления В результате на выходе этого сумматора формируется сигнал

Первый и второй положительные входы сумматора 43 имеют коэффициенты усиления, равные единице. В результате на его выходе формируется сигнал , а на выходе блока 44 умножения – сигнал . На выходе блока 49 умножения формируется сигнал . Первый и второй положительные входы сумматора 45 имеют коэффициенты усиления, равные r. В результате на выходе этого сумматора формируется сигнал а на выходе блока 46 – сигнал 
Первый и второй положительные входы сумматора 51 имеют единичные коэффициенты усиления. В результате на его выходе формируется сигнал на выходе блока 53 – сигнал а на выходе блока 57 – сигнал 
Первый и второй положительные входы сумматора 54 имеют коэффициенты усиления, равные r. В результате на выходе блока умножения 55 формируется сигнал

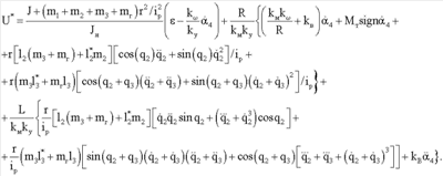
Первый положительный вход сумматора 3 (со стороны блока 2) имеет коэффициент усиления , его второй положительный вход (со стороны сумматора 11) – коэффициент усиления , а третий положительный вход (со стороны сумматора 1) – коэффициент усиления .
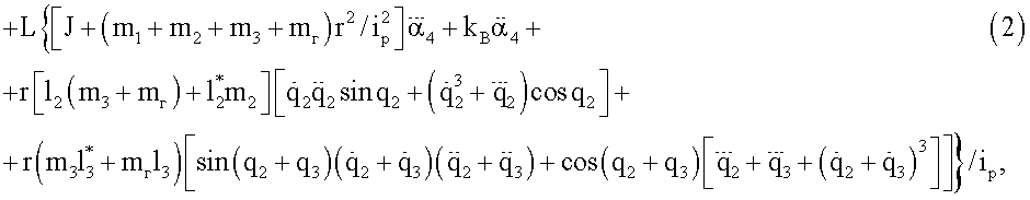
Четвертый положительный вход сумматора 3 (со стороны датчика 41) имеет коэффициент усиления LkB/(kмky), а его пятый и шестой положительные входы – коэффициенты усиления L/(kмk ip). В результате на выходе сумматора 3 формируется сигнал

Несложно показать, что поскольку при движении привода
достаточно точно соответствует Мстр, то подставив полученное значение U* в соотношение (2), получим уравнение , которое имеет постоянные желаемые параметры. То есть предложенный самонастраивающийся электропривод, управляющий координатой q4, будет обладать постоянными желаемыми динамическими свойствами и качественными показателями.
Таким образом, за счет введения новых связей удалось обеспечить полную инвариантность рассматриваемого электропривода ко всем силовым и моментным воздействиям. Это позволяет получить стабильно высокое качество управления в любых режимах работы рассматриваемого электропривода.
Формула изобретения
Самонастраивающийся электропривод робота, содержащий последовательно соединенные первый сумматор, первый блок умножения, второй сумматор, усилитель и двигатель, связанный с первым датчиком скорости непосредственно и через редуктор с шестерней, первый датчик положения, последовательно соединенные релейный блок и третий сумматор, второй вход которого подключен к выходу первого датчика скорости, входу релейного блока и к второму входу первого сумматора, а выход – ко второму входу второго сумматора, последовательно соединенные первый задатчик сигнала и четвертый сумматор, последовательно соединенные второй задатчик сигнала, пятый сумматор и второй блок умножения, последовательно соединенные шестой сумматор и третий блок умножения, выход которого подключен к третьему входу третьего сумматора, последовательно соединенные второй датчик скорости, установленный во второй степени подвижности робота, и первый квадратор, а также датчик массы, причем входом самонастраивающегося электропривода является первый вход седьмого сумматора, подключенного вторым входом к выходу первого датчика положения, а выходом – к первому входу первого сумматора, выход датчика массы соединен со вторым входом первого блока умножения, а выход первого сумматора соединен с третьим входом второго сумматора, последовательно соединенные второй датчик положения, установленный во второй степени подвижности робота, и первый функциональный преобразователь, последовательно соединенные четвертый блок умножения и восьмой сумматор, выход которого подключен ко второму входу второго блока умножения, последовательно соединенные третий датчик положения, установленный в третьей степени подвижности робота, девятый сумматор и второй функциональный преобразователь, пятый блок умножения, выход которого подключен к первому входу шестого сумматора, последовательно соединенные третий датчик скорости, установленный в третьей степени подвижности робота, десятый сумматор, второй вход которого подключен к выходу второго датчика скорости, второй квадратор и шестой блок умножения, выход которого подключен ко второму входу шестого сумматора, третий функциональный преобразователь, подключенный входом к выходу девятого сумматора, четвертый функциональный преобразователь, вход которого подключен к выходу второго датчика положения и второму входу девятого сумматора, и седьмой блок умножения, второй вход которого подключен к выходу первого квадратора, а выход – ко второму входу восьмого сумматора, последовательно соединенные первый датчик ускорения, установленный в третьей степени подвижности робота, и одиннадцатый сумматор, второй вход которого подключен к выходу второго датчика ускорения, установленного во второй степени подвижности робота, и к второму входу четвертого блока умножения, а выход – ко второму входу пятого блока умножения, причем выход датчика массы подключен ко вторым входам четвертого и пятого сумматоров, выход второго блока умножения – к четвертому входу третьего сумматора, а выход четвертого сумматора – ко второму входу третьего блока умножения, при этом первый и второй функциональные преобразователи реализуют функцию sin, а третий и четвертый функциональные преобразователи – функцию cos, третий датчик ускорения, связанный входом с выходным валом двигателя, а выходом – с четвертым входом второго сумматора, последовательно соединенные восьмой блок умножения, двенадцатый сумматор, девятый блок умножения, тринадцатый сумматор и десятый блок умножения, второй вход которого подключен к выходу пятого сумматора, а выход – к пятому входу второго сумматора, последовательно соединенные одиннадцатый блок умножения, первый вход которого подключен к выходу второго датчика скорости и первому входу восьмого блока умножения, второй вход которого соединен с выходом первого квадратора, а второй вход – к выходу второго датчика ускорения и через первый дифференциатор – к второму входу двенадцатого сумматора, и двенадцатый блок умножения, выход которого соединен со вторым входом тринадцатого сумматора, последовательно соединенные тринадцатый блок умножения, первый вход которого подключен к выходу второго квадратора, четырнадцатый сумматор, второй вход которого через второй дифференциатор соединен с выходом одиннадцатого сумматора, четырнадцатый блок умножения, пятнадцатый сумматор и пятнадцатый блок умножения, второй вход которого соединен с выходом четвертого сумматора, а выход – с шестым входом второго сумматора, а также последовательно соединенные шестнадцатый блок умножения, первый вход которого подключен к выходу одиннадцатого сумматора, а его второй вход – ко второму входу тринадцатого блока умножения и выходу десятого сумматора, и семнадцатый блок умножения, выход которого соединен со вторым входом пятнадцатого сумматора, отличающийся тем, что выход первого функционального преобразователя подключен к первому входу седьмого и второму входу двенадцатого блока умножения, выход второго функционального преобразователя – ко вторым входам шестого и семнадцатого блоков умножения, выход третьего функционального преобразователя – к первому входу пятого и второму входу четырнадцатого блоков умножения, а выход четвертого функционального преобразователя – к вторым входам четвертого и девятого блоков умножения.
РИСУНКИ
|
|