|
|
(21), (22) Заявка: 2005126984/04, 12.03.2004
(24) Дата начала отсчета срока действия патента:
12.03.2004
(30) Конвенционный приоритет:
13.03.2003 GB 0305704.9
(43) Дата публикации заявки: 27.06.2006
(46) Опубликовано: 10.08.2009
(56) Список документов, цитированных в отчете о поиске:
RU 2165266 C1, 20.04.2001. WO 99/11590 A1, 11.03.1999. HWANG D R ET AL, “Positron-labeled Angiotensin-Converting enzyme (АСЕ) Inhibitor: Fluorine-18-Fluorocaptopril. Probing the ACE activity in vivo by Positron Emission Tomography”, JOURNAL OF NUCLEAR MEDICINE, SOCIETY OF NUCLEAR MEDICINE, 1991, v.32, no 9, p.1730-1737.
(85) Дата перевода заявки PCT на национальную фазу:
13.10.2005
(86) Заявка PCT:
GB 2004/001052 20040312
(87) Публикация PCT:
WO 2004/080492 20040923
Адрес для переписки:
191036, Санкт-Петербург, а/я 24, “НЕВИНПАТ”, пат.пов. А.В.Поликарпову
|
(72) Автор(ы):
КАТБЕРТСОН Алан (NO), СОЛБАККЕН Магне (NO), АРУКВИ Джозеф Мэдуабучи (NO), КАРЛСЕН Хеге (NO), ГЛАЗЕР Маттиас Эберхард (GB)
(73) Патентообладатель(и):
Джи-И Хелткер АС (NO), Хаммерсмит Иманет Лимитед (GB)
|
(54) СПОСОБЫ РАДИОФТОРИРОВАНИЯ БИОЛОГИЧЕСКИ АКТИВНЫХ ВЕКТОРОВ
(57) Реферат:
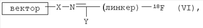
Изобретение относится к конъюгатам формулы (V) или (VI): где Х представляет собой -CO-NH- или -O-; их применению в качестве радиофармацевтических средств, к способам их получения и к синтетическим промежуточным соединениям, используемым в данных способах. 16 н. и 9 з.п. ф-лы.


Текст описания приведен в факсимильном виде.                                          
Формула изобретения
1. Способ радиофторирования, включающий взаимодействие соединения формулы (I) с соединением формулы (II):

 или соединения формулы (III) с соединением формулы (IV)

 где R1 представляет собой альдегидную группировку; R2 представляет собой гидразид; R3 представляет собой аминокси; R4 представляет собой альдегидную группировку, кетоновую группировку, защищенный альдегид, такой как ацеталь, защищенный кетон, такой как кеталь, или функциональную группу, такую как диол или N-концевой сериновый остаток, которая может быть быстро и эффективно окислена до альдегида или кетона с использованием окисляющего агента; с получением конъюгата формулы (V) или (VI) соответственно:

 где Х представляет собой -CO-NH- или -O-; Y представляет собой Н; и линкерная группа в соединениях формул (II), (IV), (V) и (VI) выбрана из


 где n представляет собой целое число от 0 до 20; m представляет собой целое число от 1 до 10; p представляет собой целое число 0 или 1; Z представляет собой О или S; и вектор представляет собой молекулу с аффинностью к биологической мишени, представляющую собой пептид.
2. Способ радиофторирования, включающий взаимодействие соединения формулы (VII):
 с соединением формулы (VIII), (X) или (XI):


, где n представляет собой целое число от 0 до 20; m представляет собой целое число от 1 до 10; Х представляет собой -O-; Y представляет собой Н, с получением соединений формулы (XII, XIV, XV) соответственно:


 где n представляет собой целое число от 0 до 20; m представляет собой целое число от 1 до 10; Х представляет собой -O-; Y представляет собой Н; и вектор представляет собой молекулу с аффинностью к биологической мишени, представляющую собой пептид.
3. Способ радиофторирования, включающий взаимодействие соединения формулы (XVI):
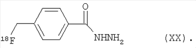
 где Y представляет собой Н, с соединением формулы (XX):
 с получением соединения формулы (XXIV):
 где Y представляет собой Н; и вектор представляет собой молекулу с аффинностью к биологической мишени, представляющую собой пептид.
4. Способ по любому из пп.1-3, где вектор представляет собой пептид Arg-Gly-Asp или его аналог.
5. Способ по п.4, где вектор содержит фрагмент

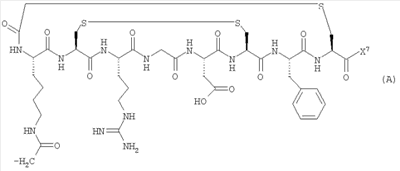
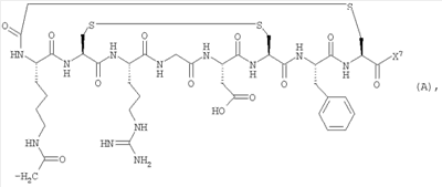
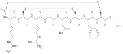
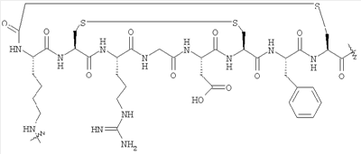
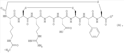
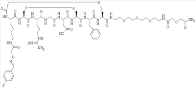
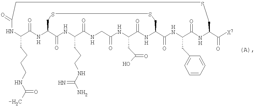
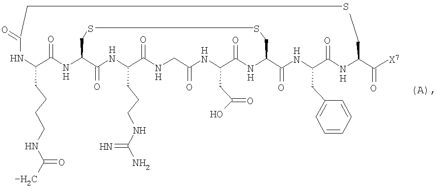
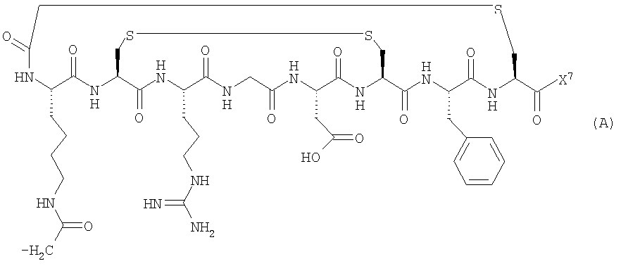
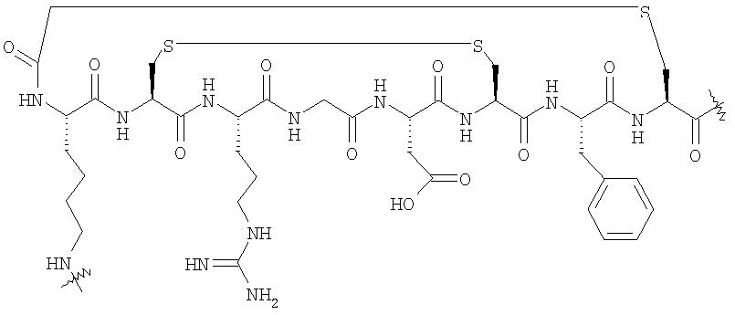
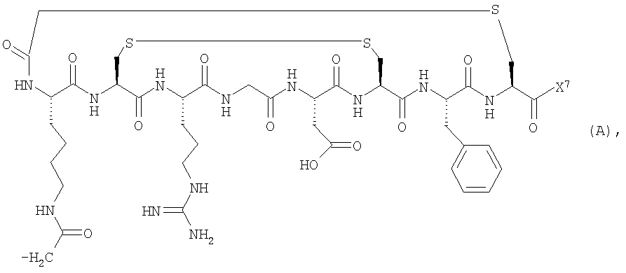
6. Способ по п.4, где вектор имеет формулу (А):
 где X7 представляет собой либо -NH2, либо
 где а представляет собой целое число от 1 до 10, предпочтительно а равно 1.
7. Соединение формулы (II):
 где R2 представляет собой гидразид; и линкерная группа представляет собой
 где n представляет собой целое число от 1 до 20.
8. Соединение формулы (XX):

9. Соединение формулы (IV),
 где R4 представляет собой альдегидную группировку, кетоновую группировку, защищенный альдегид, такой как ацеталь, защищенный кетон, такой как кеталь, линкерная группа в соединениях формул (IV) выбрана из


 где n представляет собой целое число от 0 до 20; m представляет собой целое число от 1 до 10; p представляет собой целое число 0 или 1; Z представляет собой О или S; при условии, что в соединениях формулы (IV) линкер не представляет собой фенил.
10. Соединение формулы (VIII), (X) или (XI):


 где n представляет собой целое число от 0 до 20; m представляет собой целое число от 1 до 10; Х представляет собой -O-; Y представляет собой Н; при условии, что в соединениях формулы (X) n не равно 0.
11. Соединение формулы (I):
 где R1 представляет собой альдегидную группировку; или формулы (III);
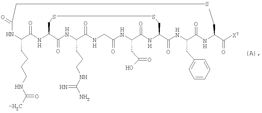
 где R3 представляет собой аминокси; в котором вектор имеет формулу (А):
 где X7 представляет собой либо -NH2, либо
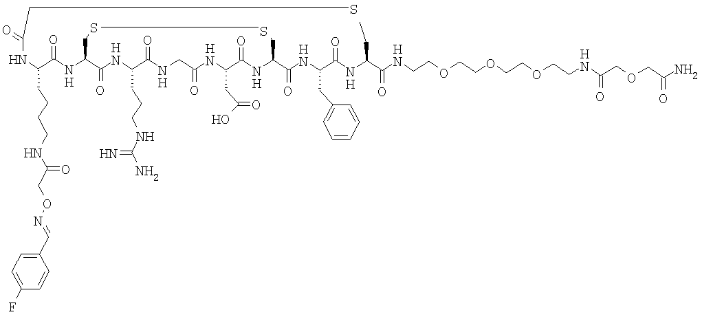
 где а представляет собой целое число от 1 до 10, или вектор представляет собой (дисульфид Cys1-6): -CH2CONH(CH2)5CO-Cys-Tyr-Ile-Gln-Asn-Cys-Pro-Leu-Gly-NH2.
12. Соединение по п.11, где вектор представляет собой пептид Arg-Gly-Asp.
13. Соединение по п.11 или 12, где вектор имеет формулу (А):
 где X7 представляет собой либо -NH2, либо
 где а представляет собой целое число от 1 до 10, предпочтительно а равно 1.
14. Соединение формулы (V):
 или формулы (VI):
 где Х представляет собой -CO-NH- или -O-; Y представляет собой Н; линкерная группа в соединениях формул (V) и (VI) выбрана из


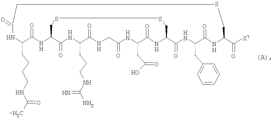
 где n представляет собой целое число от 0 до 20; m представляет собой целое число от 1 до 10; p представляет собой целое число 0 или 1; Z представляет собой О или S; и вектор имеет формулу (А):
 где X7 представляет собой либо -NH2, либо
 где а представляет собой целое число от 1 до 10, или вектор представляет собой (дисульфид Cys1-6): -CH2CONH(CH2)5CO-Cys-Tyr-Ile-Gln-Asn-Cys-Pro-Leu-Gly-NH2.
15. Соединение формулы (XII), (XIV) и (XV)


 где n представляет собой целое число от 0 до 20; m представляет собой целое число от 1 до 10; Х представляет собой -O-; Y представляет собой Н; и вектор имеет формулу (А):
 где Х7 представляет собой либо -NH2, либо
 где а представляет собой целое число от 1 до 10, или вектор представляет собой (дисульфид Cys1-6): -CH2CONH(CH2)5CO-Cys-Tyr-Ile-Gln-Asn-Cys-Pro-Leu-Gly-NH2.
16. Соединение формулы (XXIV):
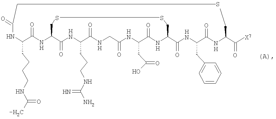
 где Y представляет собой Н; и вектор имеет формулу (А):
 где X7 представляет собой либо -NH2, либо
 где а представляет собой целое число от 1 до 10.
17. Соединение по любому из пп.14-16, где вектор представляет собой пептид Arg-Gly-Asp.
18. Соединение по п.17, где вектор содержит фрагмент:

19. Соединение по п.17, где вектор имеет формулу (А):
 где X7 представляет собой либо -NH2, либо
 где а представляет собой целое число от 1 до 10, предпочтительно а равно 1.
20. Соединение формулы:

21. Радиофармацевтическая композиция для применения в способе визуализации in vivo, содержащая эффективное количество соединения по любому из пп.14-20 вместе с одним или более чем одним фармацевтически приемлемым адъювантом, эксципиентом или разбавителем.
22. Соединение по любому из пп.14-20 для диагностической визуализации.
23. Применение соединения по любому из пп.14-20 для изготовления радиофармацевтического средства для использования в способе визуализации in vivo.
24. Способ получения изображения организма человека или животного, включающий введение в указанный организм соединения по любому из пп.14-20 и получение изображения по меньшей мере части указанного организма, в которой указанное соединение было распределено, с использованием ПЭТ (позитронная эмиссионная томография).
25. Способ мониторинга эффекта лечения организма человека или животного лекарством для борьбы с состоянием, ассоциированным с раком, предпочтительно ангиогенезом, включающий введение в указанный организм соединения по любому из пп.17-20 и детектирование захвата указанного конъюгата клеточными рецепторами, причем указанное введение и детектирование возможно, но предпочтительно осуществляют до, во время и после лечения указанным лекарством.
РИСУНКИ
|
|