|
|
(21), (22) Заявка: 2007135872/04, 24.02.2006
(24) Дата начала отсчета срока действия патента:
24.02.2006
(30) Конвенционный приоритет:
28.02.2005 JP 2005-052469 04.03.2005 US 60/658,885 19.01.2006 JP 2006-011751 27.01.2006 US 60/763,045
(46) Опубликовано: 10.08.2009
(56) Список документов, цитированных в отчете о поиске:
WO 2004/087698 А2, 14.10.2004. WO 2004/087699 A2, 14.10.2004. WO 2002/096905 A1, 05.12.2002. WO 2001/072745 A1, 04.10.2001. RU 2219176 C2, 18.09.2003.
(85) Дата перевода заявки PCT на национальную фазу:
28.09.2007
(86) Заявка PCT:
JP 2006/304034 20060224
(87) Публикация PCT:
WO 2006/093247 20060908
Адрес для переписки:
129090, Москва, ул. Б.Спасская, 25, стр.3, ООО “Юридическая фирма Городисский и Партнеры”, пат.пов. Е.Е.Назиной
|
(72) Автор(ы):
КОДАМА Еситоси (JP), НОДЗИ Сатору (JP), ИМАМУРА Кацуаки (JP), МИЗОДЗИРИ Рио (JP), АОКИ Кента (JP), ТАКАГИ Хидео (JP), НАКА Юити (JP), ИТО Горо (JP), СИНОДА Киетака (JP), ФУДЗИВАРА Акихито (JP), КУРИХАРА Казунори (JP), ТАНАКА Масару (JP)
(73) Патентообладатель(и):
ДЖАПАН ТОБАККО ИНК. (JP)
|
(54) НОВОЕ ПРОИЗВОДНОЕ АМИНОПИРИДИНА С ИНГИБИТОРНОЙ АКТИВНОСТЬЮ В ОТНОШЕНИИ SYK.
(57) Реферат:
Настоящее изобретение относится к аминопиридиновому соединению, представленному общей формулой (I) или его соли, где X1, X2, X3, Z, Y1, Y2 представляют собой атом углерода или атом азота, R, R1, R5,
R6 представляют собой атом водорода, алкильную группу и далее см. формулу изобретения, и R7 представляет собой атом водорода, атом галогена, нитрогруппу, цианогруппу, -CpH2(p-1)(Ra1)(Ra2)-O-Ra3,
-C(=O)-Rd1, 5- или 6-членную насыщенную гетероциклическую группу, ароматическую гетероциклическую группу, -N(Rh1)(Rh2) и далее см. формулу изобретения. А также к фармацевтической композиции на основе данных соединений, предназначенной для лечения или профилактики аллергических заболеваний, аутоиммунного заболевания или злокачественной опухоли, к Syk ингибитору, содержащему соединение формулы I и к терапевтическому и/или профилактическому агенту. Технический результат: получены и описаны соединения, которые обладают не только высокой Syk ингибиторной активностью, но также свойством селективного ингибитора Syk. 4 н. и 20 з.п. ф-лы, 2 табл.
Настоящее изобретение относится к новому производному аминопиридина, обладающему ингибирующим действием в отношении Syk (тирозинкиназы селезенки), и к терапевтическому агенту для лечения аллергических заболеваний, содержащему это соединение в качестве активного ингредиента.
1. Что из себя представляет аллергическое заболевание, такое как бронхиальная астма
Известно, что аллергическая реакция 1-го типа (немедленного типа), которая играет центральную роль в аллергических заболеваниях, таких как бронхиальная астма, аллергический ринит, атопический дерматит, запускается взаимодействием экзогенного антигена, такого как пыльца растений или домашняя пыль, и иммуноглобулина E (IgE), специфичного к нему. Аллерген, который проникает в организм, представляется хелперным Т-клеткам (Th клеткам) в виде молекул HLA II класса и пептидного фрагмента антигенпрезентирующими клетками, такими как макрофаги; Th-клетки активируются за счет антигенной стимуляции через Т-клеточные рецепторы и продуцируют цитокины, такие как интерлейкин-4. Таким образом, усиливается продукция специфического антитела IgE к аллергену B-клетками.
Существуют рецепторы, которые связываются с синтезированным антителом IgE с высоким сродством на поверхности таких клеток, как тучные клетки, базофилы, моноциты; они обозначаются как высокоаффинные IgE рецепторы (Fc RI). Когда IgE, связанный с Fc RI, перекрестно связывается с поливалентным антигеном, он активируется и высвобождаются различные виды медиаторов. Другими словами, предполагается, что передача сигнала от Fc RI в клетку запускает аллергическое заболевание, такое как бронхиальная астма.
Среди медиаторов, которые высвобождают тучные клетки, существуют пресинтезированные медиаторы, такие как гистамин, которые высвобождаются из клеток путем дегрануляции, и медиаторы, которые продуцируются и высвобождаются на ранней стадии активации, такие как метаболиты арахидоновой кислоты. Когда они воздействуют на бронхи, гладкая мускулатура бронхов сокращается и дыхательные пути сужаются за счет отека слизистой, секреции слизи и т.д., что приводит к астматическому приступу. Когда они воздействуют на кожу, появляются воспаление, отек и зуд, что приводит к развитию крапивницы. Когда они воздействуют на слизистую оболочку носа, повышается проницаемость сосудов, происходит ее наполнение кровью и слизистая оболочка носа отекает, что вызывает заложенность носа, что приводит к аллергическому риниту, при котором отмечается чихание и выделение большого количества слизи, вызванное нервной стимуляцией. Когда такая реакция возникает в пищеварительном тракте, сокращается гладкая мускулатура кишечника и кишечная моторика (перистальтика) патологически усиливается, что приводит к желудочно-кишечной аллергии, такой как абдоминальная боль, рвота и диарея.
Среди медиаторов, которые высвобождают тучные клетки, также существуют эозинофильный хемотаксический фактор и цитокины, которые сопровождаются транскрипцией и высвобождаются за счет белкового синтеза с некоторой задержкой. Предполагается, что это является причиной хронического воспаления (непатентный документ 1; Enshou-to-Men’eki (Inflammation and Immunity) vol.7, 2, 1999, рp.165-171). Активированный эозинофильным хемотаксическим фактором и цитокинами, выделенными тучными клетками, эозинофил, обладающий мощными токсическими химическими веществами, направляется в место аллергической реакции и высвобождает химические вещества, вызывая повреждение тканей. Если эта реакция происходит в бронхах, эпителий слизистой оболочки слущивается, облегчая проникновение антигена, и аллергическая реакция продолжается. В результате астма становится рефракторной, при этом повышается гиперреактивность дыхательных путей, дыхательные пути становятся уже за счет отека и слизи, дыхание затрудняется и т.п. Патологическое состояние варьирует от проявления в виде хронического кашля и мокроты до серьезного состояния с сильнейшими, фатальными приступами. Число таких пациентов неуклонно растет, вплоть до настоящего времени и ожидается, что будет расти и в будущем; весьма желательна разработка эффективных фармацевтических препаратов.
2. Существующие противоастматические лекарственные средства
В настоящее время широко применяются для лечения астмы ингаляционные стероидные препараты в качестве противовоспалительных средств, -стимуляторы, такие как прокатерол, и ксантиновые производные, такие как аминофиллин и теофиллин, в качестве бронходилятаторов. Ингаляционные стероиды обладают широким противовоспалительным действием, их использование в качестве терапевтического агента при астме широко распространено, но отмечается необходимость в обучении правильному способу ингаляции, а также существование больных астмой, устойчивых к стероидным препаратам (непатентный документ 2; ASTHMA 13-1, 69-73 (2000), непатентный документ 3; Naika (Internal medicine) 81, 485-490 (1998)). Бронходилятаторы активируют аденилатциклазу, фермент, который синтезирует внутриклеточный 3’5′-циклический аденозинмонофосфат (цАМФ) или ингибируют фосфодиэстеразу (ФДЭ), фермент, который расщепляет цАМФ, в гладких мышцах дыхательных путей, таким образом, повышая уровень цАМФ в клетках и ослабляя сокращение гладкой мускулатуры дыхательных путей (непатентный документ 4; Naika (Internal medicine) 69, 207-214 (1992)). Известно, что увеличение уровня внутриклеточного цАМФ вызывает сдерживание сокращения гладкой мускулатуры дыхательных путей (непатентный документ 5; Clin. Exp. Allergy, 22, 337-344 (1992), непатентный документ 6; Drugs of the Future, 17, 799-807 (1992)) и это эффективно для улучшения состояния при астме. Тем не менее, известно, что ксантиновые производные оказывают системное побочное действие, такое как снижение артериального давления и кардиотоническое действие (непатентный документ 7; J. Cyclic Nucleotide and Protein Phosphorylation Res., 10, 551-564 (1985), непатентный документ 8; J. Pharmacol. Exp. Ther., 257, 741-747 (1991)), а -стимуляторы легко вызывают десенситизацию, в то время как их возрастающие дозы вызывают побочные эффекты, такие как дрожание пальцев и сердцебиение. Таким образом, разработка эффективного терапевтического агента для лечения астмы, лишенного таких побочных эффектов, весьма желательна.
3. Определение Syk
Fc RI является базовой структурой, общей с другими иммуноглобулиновыми рецепторами (Т-клеточный рецептор, В-клеточный IgM рецептор), и принадлежит к надсемейству, которое обозначается многоцепочечными рецепторами иммунного распознавания. Fc RI имеет гетеротетрамерную структуру (  2), состоящую соответственно из одной -цепи, одной -цепи и двух -цепей, связанных нековалентно в трансмембранной области. -Цепь Fc RI имеет два домена, гомологичных иммуноглобулину (Ig), во внеклеточном домене, и домен, гомологичный иммуноглобулину (Ig) C-концевой области, связывает IgE с высоким сродством (непатентный документ 9; E.J. Biol. Chem. 266, 1991, рp.2639-2646). Его внутриклеточный домен, тем не менее, относительно короткий, и даже если внутриклеточный домен C-конца -цепи отщепить, это не вызовет изменений в передаче сигнала. С другой стороны, внеклеточный домен -цепи короткий, практически располагается в клетке, формируя гомодимер за счет S-S связей. Отщепление внутриклеточного домена -цепей приводит к прерыванию передачи сигнала, таким образом -цепи вовлечены во внутриклеточную передачу сигнала. -Цепь имеет 4-трансмембранную структуру, и обе концевые области, N-концевая и C-концевая, находятся в клетке. -Цепь обладает эффектом амплификации передачи сигнала, при этом внутриклеточная передача сигнала существенно ослабляется, если -цепь удалить. -Цепь и -цепь не обладают внутренней ферментативой активностью, соответственно, существует домен со специфической пептидной последовательностью (иммунорецепторный основанный на тирозине активирующий фрагмент – ITAM или антигенрецепторный активирующий фрагмент – ARAM), основанный на двух тирозиновых остатках во внутриклеточном домене. Когда они подвергаются тирозинфосфорилированию, они связывают SH домен (домен, гомологичный Srk) протеинтирозинкиназы нерецепторного типа (протеинтирозинкиназа – PTK) с высоким сродством.
Когда белки тирозинфосфорилируются путем агрегации Fc RI, PTK нерецепторного типа, такие как Lyn, Syk и Btk, адаптерная молекула, такая как Shc и Grb2, PI3K, и т.д. выявляются наряду с -цепью Fc RI и -цепью Fc RI.
Syk является молекулой, принадлежащей к подсемейству, обозначаемому как семейство Syk, наряду с ZAP-70, который является PTK, важной в сигнализации, осуществляемой через Т-клеточный рецептор. Он непостоянно связан с -цепью Fc RI, но крепко связывается с последовательностью ITAM -цепи, будучи тирозинфосфорилированным посредством Lyn после агрегации Fc RI через собственный SH2 домен. Известно, что Syk подвергается аутофосфорилированию и фосфорилированию ферментом Lyn при связывании с ним, затем Syk вызывает дальнейшие аллостерические структурные изменения, которые усиливают его активность (непатентный документ 10; J. Biol. Chem. Vol.270. рр.10498-10502, 1995). Активированный Syk индуцирует образование адаптерного молекулярного комплекса и активацию фермента и передает сигнал по обычному пути, такому как фосфолипаза С (PLC ), MAP-киназа (MAPK), который используется множеством рецепторов.
PLC тирозинфосфорилируется посредством Syk и фосфатидилинозитол-4,5-дифосфат (PI-4,5-P2) гидролизуется до диацилглицерина (DAG) и инозитол-1,4,5-трифосфата (IP3). DAG индуцирует активацию протеинкиназы C (PKC), а активация PKC индуцирует дегрануляцию в сочетании с увеличением уровня внутриклеточного кальция. Кроме того, Syk связан с различными адаптерными молекулами, не обладающими киназной активностью и содержащими только SH2 домен, и активирует надсемейство MAPK, а метаболизм арахидоновой кислоты вызывается фосфорилированием PLA2. Активация ERK, p38, JNK и т.д. участвует в продукции цитокинов тучными клетками через факторы транскрипции, такие как AP1 (непатентный документ 11; J. Biol. Chem. Vol.270, pр.16333-16338, 1995).
Сообщается, что тирозинфосфорилирование внутриклеточных белков и реакция фагоцитоза, которые вызываются стимуляцией рецептора к иммуноглобулину G (IgG) (Fc R), значительно ограничены в макрофагах, полученных из Syk-дефицитных мышей (непатентный документ 12; Crowley, M. T. et al., J. Exp. Med. 186: 1027-1039 (1997)). Таким образом, Syk играет исключительно важную роль в фагоцитозе макрофагов, опосредованном через Fc R, и при этом продемонстрировано его участие в повреждении тканей, вызванном антителозависимой клеточной цитотоксичностью (ADCC). Более того, Syk задействован в активации В-клеток (например, непатентный документ 13; J. Biol. Chem., 1992, Vol.267, рp.8613-8619 и непатентный документ 14; EMBO J., 1994, Vol.13, рp.1341-1349), в выживаемости эозинофилов, индуцированных GM-CSF/IL-5 (например, непатентный документ 15; J. Exp. Med., 1996, Vol.183, pр.1407-1414), в активации тромбоцитов, вызванных стимуляцией коллагена (например, непатентный документ 16; EMBO J., 1997, Vol.16, рp.2333-2341).
Соответственно, ингибитор Syk, как ожидается, будет полезен в качестве терапевтического препарата для лечения таких заболеваний, которые произошли от аллергических реакций немедленного типа и воспалительных реакций замедленного типа (например, бронхиальная астма, аллергический ринит, контактный дерматит, крапивница, пищевая аллергия, конъюнктивит и т.п.), и болезней, в которых участвует активация тромбоцитов. В особенности, предполагается, что он весьма полезен, если действует специфично в отношении Syk без ингибирования Zap-70, который принадлежит к тому же семейству и экспрессируется только в Т-клетках.
4. Существующие Syk-ингибиторы
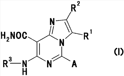
(1) Сообщается о новом соединении, используемом в качестве фармацевтического компонента, обладающего ингибиторной активностью в отношении протеинтирозинкиназы, в особенности тирозинкиназы семейства Syk, которое относится к производным имидазо[1,2-c]пиримидина и представлено следующей формулой (патентный документ 1; Japanese Patent Laid-Open 2004-203748).

где R1 и R2 представляют собой водород, низший алкил, фенил, который может быть замещенным, или гетероарил, R3 представляет собой водород, низший алкил, циклоалкил, фенил, который может быть замещенным, гетероарил или aралкил, и A представляет собой водород, низший алкил, циклоалкил, R4, гетероарил, OR5, SR5 или NR6R7.
(2) Abignente E. et al. раскрывает имидазо[1,2-c]пиримидиновые производные, обладающие противовоспалительным эффектом, представленные следующей общей формулой:

где RA представляет собой карбокси, этоксикарбонил, карбамоил или карбоксиметил; RB представляет собой метил или метокси; и RC представляет собой метокси и метил или хлор (например, непатентный документ 17; IL Farmaco, 1991, Vol.46, рp.1099-1110).
(3) Кроме того, Yura T. et al. раскрывает имидазо[1,2-c]пиримидиновые производные, полезные в качестве Syk ингибитора, представленные следующей общей формулой:

где RD представляет собой водород, алкил, карбокси, алкилкарбонил или карбамоил; RE представляет собой -XA-RG, гетероциклил, карбоциклил или конденсированное кольцо; XA представляет собой S, O или NH; RG представляет собой арил или гетероарил; и RF представляет собой арил или гетероарил (См., например, патентный документ 2; WO01/83485).
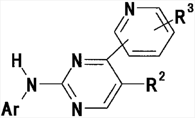
(4) В качестве соединения, имеющего Syk ингибиторный эффект, описаны 2-анилинопиримидиновые производные, представленные следующей формулой:

где Ar представляет собой группу ароматического кольца, которая может быть замещена, и R2 представляет собой H, галоген или группу, представленную -X1-R2a соответственно (См., например, патентный документ 3; WO98/18782).
Кроме того, было сообщено о Писиатаноле (Piceatannol), который представляет собой натуральный продукт, выделенный из растения (непатентный документ 18; J. Biol. Chem. 269: 29697-29703(1994)).
(5) В качестве соединения, имеющего Syk ингибиторный эффект, представлено соединение следующей формулы (см. патентный документ 4; WO02096905A1). Соединение, представленное в настоящем описании, тем не менее, демонстрирует ингибиторный эффект против многочисленных протеинкиназ и имеет ингибиторный эффект против GSK3 и Aurora2 на одном уровне как по отношению к Syk.

(6) Кроме того, также сообщено о соединении, представленном следующей формулой (патентный документ 5; WO2004016597A2).

(7) Кроме того, также сообщалось о тиазольных производных, представленных следующей формулой (патентный документ 6; WO2004087698A2).

(8) Кроме того, в качестве тиазольного производного также сообщено о соединении, представленном следующей формулой (патентный документ 7; WO2004087699A2).

Как заявлено выше, к настоящему времени сообщалось о многочисленных Syk ингибиторах, но эти соединения имеют в основном пиримидиновый скелет и, кроме того, демонстрируют ингибиторный эффект против многочисленных протеинкиназ и не обладают высокой в отношении Syk специфичностью.
Каждое из соединений, представленных выше, с (1) пo (8) ингибирует не только Syk, но также ZAP-70 экспрессирование в T-клетках на том же самом уровне, и имеет слабую селективность.
5. Относительно известных аминопиридиновых соединений
(1) Также сообщено о соединении, представленном следующей формулой (патентный документ 8; WO2004041810A1). Тем не менее, соединение, представленное в настоящем описании, демонстрирующее ингибиторную активность к многочисленным протеинкиназам, включая Jak и селективность для Syk, никогда не имеет удовлетворительный уровень.

(2) Кроме того, сообщено о диаминопиримидиновом производном в качестве PKC-тета ингибитора, представленном следующей формулой (патентный документ 9; WO2004067516A1).

(3) Кроме того, 2-замещенные-4-гетероарилпиримидиновые производные, как показано ниже, известны в качестве ингибиторов циклинзависимой киназы (CDK) (патентный документ 10; Japanese Patent Laid-Open 2003-528872).

В формуле X1 представляет собой CH, X2 представляет собой S; или один из X1 и X2 представляет собой S, другой X1 и X2 представляют собой N; Z представляет собой NH, NHCO, NHSO2, NHCH2, CH2, CH2CH2 или CH=CH; R1, R2 и R3 независимо представляют собой H, алкил, арил, aралкил, гетероцикл, галоген, NO2, CN, OH, алкокси, арилoкси, NH2, NH-R’, N-(R’)(R”), NH-COR’, NH-арил, N-(арил)2, COOH, COO-R’, COO-арил, CONH2, CONH-R’, CON-(R’)(R”), CONH-арил, CON-(арил)2, SO3H, SO2NH2, CF3, CO-R’ или CO-арил, где алкильная группа, арильная группа, aралкильная группа, гетероциклическая группа и NH-арильная группа может быть замещена одной или большим числом групп, выбранных из галогена, NO2, CN, OH, O-метила, NH2, COOH, CONH2 и CF3; по крайней мере, одна из групп R1 и R2 не является H, когда X1 или X2 представляют собой S; R4, R5, R6, R7 и R8 независимо друг от друга представляют собой H, замещенный или незамещенный низший алкил, галоген, NO2, CN, OH, замещенный или незамещенный алкокси, NH2, NH-R’, алкиларил, алкилгетероарил, NH(C=NH)NH2, N(R’)3 +, N-(R’)(R”), COOH, COO-R’, CONH2, CONH-R’, CON-(R’)(R”), SO3H, SO2NH2, CF3 или (CH2)nO(CH2)mNR’R”, (CH2)nCO2(CH2)mOR”’, где n имеет значение 0, 1, 2 или 3, m имеет значение 1, 2 или 3; и R’, R” и R”’ каждый независимо представляет собой алкильную группу, которая может быть одинаковой или различной.
[патентный документ 1] Japanese Patent Laid-Open 2004-203748
[патентный документ 2] WO01/83485
[патентный документ 3] WO98/18782
[патентный документ 4] WO02096905A1
[патентный документ 5] WO2004016597A2
[патентный документ 6] WO2004087698A2
[патентный документ 7] WO2004087699A2
[патентный документ 8] WO2004041810A1
[патентный документ 9] WO2004067516A1
[патентный документ 10] Japanese Patent Laid-Open 2003-528872
[непатентный документ 1] Enshou-to-Men’eki (Inflammation and Immunity) vol.7, 2, 1999, рp.165-171
[непатентный документ 2] ASTHMA 13-1, 69-73 (2000)
[непатентный документ 3] Naika (Internal medicine) 81, 485-490 (1998)
[непатентный документ 4] Naika (Internal medicine) 69, 207-214 (1992)
[непатентный документ 5] Clin. Exp. Allergy, 22, 337-344 (1992)
[непатентный документ 6] Drugs of Future, 17, 799-807 (1992)
[непатентный документ 7] J. Cyclic Nucleotide and Protein Phosphorylation Res., 10, 551-564 (1985)
[непатентный документ 8] J. Pharmacol. Exp. Ther., 257, 741-747 (1991)
[непатентный документ 9] E. J. Biol. Chem. 266, рp.2639-2646, 1991
[непатентный документ 10] J. Biol. Chem. Vol.270, рр.10498-10502, 1995
[непатентный документ 11] J. Biol. Chem. Vol.270, рp.16333-16338, 1995
[непатентный документ 12] Crowley, M.T. et al., J. Exp. Med. 186: 1027-1039 (1997)
[непатентный документ 13] J. Biol. Chem., 1992, Vol.267, pр.8613-8619
[непатентный документ 14] EMBO J., 1994, Vol.13, p.1341-1349
[непатентный документ 15] J. Exp. Med., 1996, Vol.183, pр.1407-1414
[непатентный документ 16] EMBO J., 1997, Vol.16, рp.2333-2341
[непатентный документ 17] IL Farmaco, 1991, Vol.46, рp.1099-1110
[непатентный документ 18] J. Biol. Chem. 269: 29697-29703 (1994)
Сущность изобретения
Задачи, которые решены с помощью изобретения
Syk ингибиторы, о которых сообщалось прежде, имеют низкую селективность и демонстрируют ингибирующий эффект против множественных протеинкиназ, и, следовательно, они способны вызывать иммунное подавление активности в дополнение к контролированию воспалительной реакции. В связи с этим необходима разработка фармацевтических препаратов, обладающих не только высоким ингибирующим эффектом против Syk, но также и высокой селективностью в отношении Syk.
Соответственно, объектом настоящего изобретения, который должен обеспечиваться, является новое соединение, которое имеет очень высокую ингибиторную активность по отношению к Syk.
Другим объектом настоящего изобретения, который должен обеспечиваться, является фармацевтическая композиция, содержащая такое соединение в качестве активного ингредиента, более определенно, Syk ингибитор, лекарственное средство против аллергических заболеваний, лекарственное средство против бронхиальной астмы, лекарственное средство против аллергического ринита, лекарственное средство против аллергического дерматита, лекарственное средство против аутоиммунных заболеваний, лекарственное средство против ревматоидного артрита, лекарственное средство против системной красной волчанки, лекарственное средство против рассеянного склероза, лекарственное средство против злокачественной опухоли, лекарственное средство против B-лимфомы, В-лимфоцитарного лейкоза и их фармацевтическая композиция, для использования в комбинации с другими антиаллергическими терапевтическими препаратами.
Средства для решения проблем
Были проведены интенсивные исследования соединений, которые селективно ингибируют Syk, и в результате найдено, что новое аминопиридиновое производное, представленное следующей общей формулой (I), имеет специфический и превосходный ингибирующий эффект против Syk и применимо в качестве терапевтического или профилактического агента для лечения заболеваний, таких как аллергия, в которых вовлечен Syk. Это заключение привело к завершению настоящего изобретения.
Конкретно, настоящее изобретение заключается в следующем.
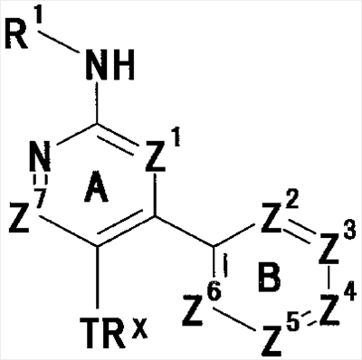
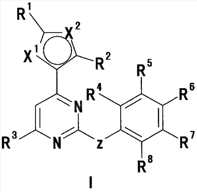
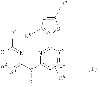
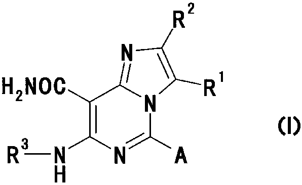
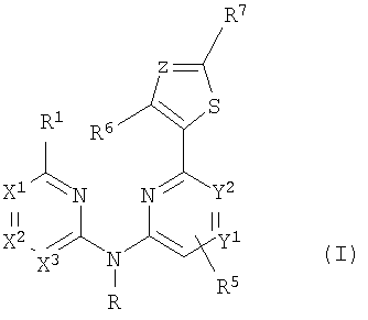
1. Аминопиридиновое соединение, представленное следующей общей формулой (I):

где X1 представляет собой
(1) -C(R2)= или
(2) атом азота;
X2 представляет собой
(1) -C(R2)= или
(2) атом азота;
X3 представляет собой
(1) -C(R4)= или
(2) атом азота;
Z представляет собой
(1) атом азота или
(2) -C(R6‘)=;
Y1 представляет собой
(1) -CH= или
(2) атом азота;
Y2 представляет собой
(1) -CH= или
(2) атом азота;
R представляет собой
(1) атом водорода,
(2) C1-6 алкильную группу или
(3) ацильную группу;
R1 представляет собой
(1) атом водорода,
(2) C1-6 алкильную группу или
(3) атом галогена;
R2 представляет собой
(1) атом водорода,
(2) C1-6 алкильную группу или
(3) атом галогена;
R3 представляет собой
(1) атом водорода,
(2) атом галогена,
(3) -N(R31)(R32),
где R31 и R32 представляют собой атом водорода или C1-6 алкильную группу,
(4) гидроксильную группу,
(5) C1-6 алкоксигруппу, где C1-6 алкильная группа в C1-6 алкоксигруппе, может быть замещена заместителем, выбранным из следующей группы Aa:
[Группа Aа]
а. гидроксильная группа,
b. C1-6 алкоксигруппа,
c. -N(R31)(R32),
где R31 и R32 имеют значения, указанные выше,
d. -COOR33,
где R33 представляет собой атом водорода или C1-6 алкильную группу,
e. -CO-N(R31)(R32),
где R31 и R32 имеют значения, указанные выше, и
f. атом галогена,
(6) aралкоксигруппу,
(7) ацильную группу,
(8) насыщенную гетероциклическую группу или ароматическую гетероциклическую группу, где гетероциклическая группа может быть замещена C1-6 алкильной группой, и насыщенная гетероциклическая группа может частично иметь двойную связь,
(9) C1-6 алкильную группу, где C1-6 алкильная группа может быть замещена заместителем, выбранным из следующей группы Ab:
[группа Ab]
а. гидроксильная группа,
b. -COOR33, где R33 имеет значение, указанное выше,
c. -CO-N(R31)(R32), где R31 и R32 имеют значения, указанные выше, и
d. атом галогена,
(10) -COOR33,
где R33 имеет значение, указанное выше,
(11) -CO-N(R31)(R32), где R31 и R32 имеют значения, указанные выше, или
(12) цианогруппу, или
R3 совместно с R2 могут образовать группу -C=C-C=C-;
R4 представляет собой
(1) атом водорода,
(2) C1-6 алкильную группу или
(3) нитрогруппу;
R5 представляет собой
(1) атом водорода,
(2) C1-6 алкильную группу, где C1-6 алкильная группа может быть замещена гидроксильной группой или C1-6 алкоксигруппой,
(3) -COOR51,
где R51 представляет собой атом водорода или C1-6 алкильную группу, или
(4) нитрогруппу;
R6 и R6′ могут быть одинаковыми или различными и каждый представляет собой
(1) атом водорода,
(2) C1-6 алкильную группу, где C1-6 алкильная группа может быть замещена гидроксильной группой или C1-6 алкоксигруппой,
(3) -COOR61,
где R61 представляет собой атом водорода или C1-6 алкильную группу,
(4) -N(R62)(R63),
где R62 и R63 могут быть одинаковыми или различными и каждый представляет собой атом водорода, C1-6 алкильную группу, C1-6 алкоксигруппу или ацильную группу,
(5) -CO-N(R62)(R63),
где R62 и R63 имеют значения, указанные выше, или
(6) ацильную группу;
R7 представляет собой атом водорода, атом галогена, нитрогруппу, цианогруппу или следующие Ra, Rb, Rc, Rd, Re, Rf, Rg или Rh;
Ra представляет собой -CpH2(p-1)(Ra1)(Ra2)-O-Ra3,
где
(1) p представляет собой целое число от 1 до 6,
(2) Ra1 представляет собой атом водорода или C1-6 алкильную группу,
(3) Ra2 представляет собой атом водорода, C1-6 алкильную группу, aралкильную группу или арильную группу, где C1-6 алкильная группа, aралкильная группа и арильная группа могут быть замещены заместителем, соответственно выбранным из следующей группы Ba:
[Группа Bа]
а. гидроксильная группа,
b. карбоксигруппа,
c. C1-6 алкоксикарбонильная группа,
d. аминогруппа,
e. C1-6 алкиламиногруппа,
f. ди-C1-6 алкиламиногруппа,
g. ацилoксигруппа и
h. атом галогена.
(4) Ra3 представляет собой атом водорода, ацильную группу, -CON(Ra31)(Ra32) или
C1-6 алкильную группу, где алкильная группа может быть замещена C1-6 алкоксикарбонильной группой или -CON(Ra31)(Ra32),
где Ra31 и Ra32 могут быть одинаковыми или различными и каждый представляет собой
· атом водорода,
· ацильную группу, где ацильная группа может быть замещена гидроксильной группой или карбоксигруппой,
· C1-6 алкильную группу (где C1-6 алкильная группа может быть замещена заместителем, выбранным из гидроксильной группы, карбоксигруппы, C1-6 алкоксикарбонильной группы, карбамоильной группы, C1-6 алкилкарбамоильной группы и ди-C1-6 алкилкарбамоильной группы,
· C1-6 алкоксикарбонильную группу или
· C1-6 алкилсульфонильную группу, или
Ra31 и Ra32 совместно со смежным атомом азота могут образовать 5- или 6-членную насыщенную гетероциклическую группу, которая имеет один или более атомов азота, где насыщенная гетероциклическая группа может быть замещена гидроксильной группой, oксогруппой, aралкиламиногруппой или ациламиногруппой;
Rb представляет собой -CpH2(p-1)(Rb1)(Rb2)-N-(Rb3)(Rb4),
где
(1) p представляет собой целое число от 1 до 6,
(2) Rb1 представляет собой атом водорода или C1-6 алкильную группу,
(3) Rb2 представляет собой
а. атом водорода,
b. aралкильную группу, где aралкильная группа может быть замещена гидроксильной группой, C1-6 алкоксигруппой, которая может быть замещена гидроксильной группой, aралкилoксигруппой или -N(Rb21)(Rb22),
где Rb21 и Rb22 могут быть одинаковыми или различными и каждый представляет собой атом водорода, C1-6 алкильную группу, ацильную группу, карбонильную группу, C1-6 алкоксикарбонильную группу или аралкоксикарбонильную группу,
c. арильную группу, где арильная группа может быть замещена гидроксильной группой, C1-6 алкоксигруппой или aралкоксигруппой, или
d. C1-6 алкильную группу, где C1-6 алкильная группа может быть замещена заместителем, выбранным из следующей группы Ca:
[Группа Cа]
· гидроксильная группа,
· aралкоксигруппа,
· -COORb23,
где Rb23 представляет собой атом водорода, C1-6 алкильную группу или aралкильную группу,
· -N(Rb21)(Rb22), где Rb21 и Rb22 имеют значения, указанные выше, и
· арильную группу, где арил может быть замещен заместителем, выбранным из гидроксильной группы, C1-6 алкоксигруппы, где C1-6 алкоксигруппа может быть замещена гидроксильной группой, aралкоксигруппой, -N(Rb21)(Rb22) и aралкоксикарбониламиногруппой,
где Rb21 и Rb22 имеют значения, указанные выше, и
(4) Rb3 и Rb4 могут быть одинаковыми или различными и каждый представляет собой
а. атом водорода,
b. C1-6 алкильную группу, где C1-6 алкильная группа может быть замещена заместителем, выбранным из гидроксильной группы, карбоксигруппы, C1-6 алкоксикарбонильной группы, карбамоильной группы, C1-6 алкилкарбамоильной группы и ди-C1-6 алкилкарбамоильной группы,
c. -COORb41,
где Rb41 представляет собой атом водорода, C1-6 алкильную группу или aралкильную группу,
d. -CORb42,
где Rb42 представляет собой
· C1-6 алкильную группу, где C1-6 алкильная группа может быть замещена заместителем, выбранным из
·· гидроксильной группы,
·· карбоксигруппы,
·· C1-6 алкоксикарбонильной группы,
·· ацильной группы,
·· ацилoксигруппы,
·· аминогруппы и
·· ациламиногруппы,
· C3-8 циклоалкильную группу, где C3-8 циклоалкильная группа может быть замещена гидроксильной группой,
· 5- или 6-членную ароматическую гетероциклическую группу, имеющую от 1 дo 4 гетероатомов, где гетероциклическая группа может быть замещена C1-6 алкильной группой, или
· арильную группу, где арильная группа может быть замещена гидроксильной группой,
e. -CO-N(Rb43)(Rb44), где Rb43 и Rb44 могут быть одинаковыми или различными и каждый представляет собой атом водорода, C1-6 алкильную группу или ацильную группу, или
f. -SO2-Rb45, где Rb45 представляет собой C1-6 алкильную группу;
Rc представляет собой -C(=N-Rc1)-Rc2,
где
(1) Rc1 представляет собой
а. гидроксильную группу,
b. C1-6 алкоксигруппу, где C1-6 алкильная группа в C1-6 алкоксигруппе, может быть замещена гидроксильной группой или C1-6 алкоксигруппой, или
c. ацилoксигруппу, и
(2) Rc2 представляет собой C1-6 алкильную группу или аминогруппу;
Rd представляет собой -C(=O)-Rd1,
где Rd1 представляет собой
(1) атом водорода,
(2) C1-6 алкильную группу, где C1-6 алкильная группа может быть замещена гидроксильной группой, карбоксигруппой или C1-6 алкоксикарбонильной группой,
(3) гидроксильную группу,
(4) C1-6 алкоксигруппу и
(5) -N(Rd11)(Rd12),
где Rd11 и Rd12 могут быть одинаковыми или различными и каждый представляет собой заместитель, выбранный из следующей группы Da:
[Группа Dа]
а. атом водорода,
b. C1-6 алкоксигруппа,
c. C3-8 циклоалкильная группа, где циклоалкильная группа может быть замещена гидроксильной группой, и
d. C1-6 алкильная группа, где C1-6 алкильная группа может быть замещена гидроксильной группой, карбоксигруппой, C1-6 алкоксикарбонильной группой или аминогруппой, или
Rd11 и Rd12 совместно со смежным атомом азота могут образовать 5- или 6-членную насыщенную гетероциклическую группу, которая имеет один или более атомов азота, где насыщенная гетероциклическая группа может быть замещена C1-6 алкильными группами, где алкильная группа может быть замещена карбоксигруппой, или карбоксигруппой;
Re представляет собой следующее кольцо A:

где кольцо A представляет собой
· 5- или 6-членную насыщенную гетероциклическую группу, имеющую 1 или 2 гетероатома,
· 5- или 6-членную ароматическую гетероциклическую группу, содержащую от 1 дo 4 гетероатомов,
· 9-12-членную конденсированную ароматическую гетероциклическую группу, имеющую 1 или 2 гетероатома, которая может быть частично насыщенной,
· C3-8 циклоалкильную группу или
· C7-11 спирогетероциклоалкильную группу, имеющую 1 или 2 гетероатома;
которая может быть замещена заместителем, соответственно выбранным из следующей группы Ea:
[Группа Eа]
а. -ORe1, где Re1 представляет собой
· атом водорода,
· C1-6 алкильную группу, где C1-6 алкильная группа может быть замещена карбоксигруппой или -CON(Re11)(Re12),
где Re11 и Re12 могут быть одинаковыми или различными и каждый представляет собой атом водорода или C1-6 алкильную группу,
· ацильную группу,
· карбамоильную группу или
· aралкильную группу,
b. -COORe2,
где Re2 представляет собой атом водорода или C1-6 алкильную группу,
c. -CO-N(Re41)(Re42),
где Re41 и Re42 могут быть одинаковыми или различными и каждый представляет собой
· атом водорода,
· C1-6 алкильную группу, где C1-6 алкильная группа может быть замещена заместителем, выбранным из гидроксильной группы, C1-6 алкоксигруппы, аминогруппы, C1-6 алкиламиногруппы, ди-C1-6 алкиламиногруппы, атома галогена, карбоксигруппы, карбамоильной группы, C1-6 алкилкарбамоильной группы, ди-C1-6 алкилкарбамоильной группы или 5- или 6-членной насыщенной гетероциклической группы или ароматической гетероциклической группы, имеющей 1 или 2 гетероатома,
· гидроксильную группу,
· C1-6 алкоксигруппу,
· C5-6 циклоалкильную группу, где C5-6 циклоалкильная группа может быть замещена гидроксильной группой или C1-6 алкильной группой, где C1-6 алкильная группа может быть замещена гидроксильной группой, или
· C1-6 алкилсульфонильную группу,
d. -CORe3,
где Re3 представляет собой
· атом водорода,
·C1-6 алкильную группу, где C1-6 алкильная группа может быть замещена заместителем, выбранным из гидроксильной группы, карбоксигруппы, C1-6 алкоксикарбонильной группы и C1-6 алкилсульфонильной группы,
· 5- или 6-членную насыщенную гетероциклическую группу или ароматическую гетероциклическую группу, имеющую 1 или 2 гетероатома, где насыщенная гетероциклическая группа или ароматическая гетероциклическая группа может быть замещена гидроксильной группой, oксогруппой, карбоксигруппой, C1-6 алкоксигруппой, где C1-6 алкоксигруппа может быть замещена карбамоильной группой, карбамоильной группой, где карбамоильная группа может быть замещена гидроксильной группой, ацильной группой, ацилoксигруппой, аминогруппой, ациламиногруппой, где ациламиногруппа может быть замещена гидроксильной группой или карбамоильной группой, C1-6 алкиламиногруппой, ди-C1-6 алкиламиногруппой, C1-6 алкилсульфониламиногруппой, 5- или 6-членной насыщенной гетероциклической группой или ароматической гетероциклической группой и C1-6 алкильной группой, где C1-6 алкильная группа может быть замещена заместителем, выбранным из гидроксильной группы, C1-6 алкоксигруппы, где C1-6 алкоксигруппа может быть замещена карбамоильной группой, ациламиногруппой и карбамоильной группой, или
· C5-6 циклоалкильную группу или арильную группу, где C5-6 циклоалкильная группа или арильная группа может быть замещена гидроксильной группой, oксогруппой, C1-6 алкоксигруппой, карбамоильной группой, ациламиногруппой, оксиминогруппой или ацилoксигруппой,
e. оксогруппа,
f. -N(Re51)(Re52),
где Re51 и Re52 могут быть одинаковыми или различными и каждый представляет собой
· атом водорода,
· C1-6 алкилсульфонильную группу,
· C1-6 алкильную группу, где C1-6 алкильная группа может быть замещена заместителем, выбранным из гидроксильной группы, C1-6 алкоксигруппы и карбамоильной группы,
· ацильную группу, где ацильная группа может быть замещена гидроксильной группой или C1-6 алкоксигруппой,
· -CON(Re11)(Re12), или где Re11 и Re12 имеют значения, указанные выше,
· -CORe511,
где Re511 представляет собой 5- или 6-членную насыщенную гетероциклическую группу, содержащую, по крайней мере, один атом азота, C1-6 алкильную группу, где C1-6 алкильная группа может быть замещена гидроксильной группой или C5-6 циклоалкильной группой, где циклоалкильная группа может быть замещена гидроксильной группой,
g. C1-6 алкильная группа, где C1-6 алкильная группа может быть замещена заместителем, выбранным из следующей группы Eb:
[Группа Eb]
· гидроксильная группа,
· C1-6 алкоксигруппа, где C1-6 алкильная группа в C1-6 алкоксигруппе, может быть замещена карбоксигруппой или -CO-N(Re11)(Re12), где Re11 и Re12 имеют значения, указанные выше,
· -COORe2,
где Re2 имеет значение, указанное выше,
· -N(Re51)(Re52),
где Re51 и Re52 имеют значения, указанные выше,
· -CO-N(Re51)(Re52),
где Re51 и Re52 имеют значения, указанные выше,
· атом галогена и
· 5- или 6-членная насыщенная гетероциклическая группа, имеющая 1 или 2 гетероатома, где насыщенная гетероциклическая группа может быть замещена гидроксильной группой или C1-6 алкильной группой,
h. -(CH2)n-N(Re61)-(CH2)m-CO(Re62),
где n и m представляют собой целое число, равное 0 или от 1 дo 4, и n+m имеют значение от 1 дo 6, Re61 представляет собой атом водорода или C1-6 алкильную группу и Re62 представляет собой C1-6 алкильную группу, где C1-6 алкильная группа может быть замещена гидроксильной группой, C1-6 алкоксигруппой, аминогруппой, C1-6 алкиламиногруппой или ди-C1-6 алкиламиногруппой,
i. гидроксииминогруппа,
j. C1-6 алкилсульфонильная группа,
k. цианогруппа,
l. 5- или 6-членная насыщенная гетероциклическая группа (которая может быть частично ненасыщенной), содержащая 1 или 2 гетероатома, выбранных из атома азота и из атома кислорода, или 5- или 6-членная ароматическая гетероциклическая группа, содержащая от 1 дo 4 гетероатомов, выбранных из атома азота и из атома кислорода, где насыщенная гетероциклическая группа и ароматическая гетероциклическая группа могут быть замещены оксогруппой или C1-6 алкильной группой,
m. аминосульфонильная группа и
n. C1-6 алкилиденовая группа, где C1-6 алкилиденовая группа может быть замещена атомом галогена или карбоксигруппой;
Rf представляет собой C1-6 алкильную группу или C2-6 алкенильную группу, где указанная C1-6 алкильная группа и C2-6 алкенильная группа могут быть замещены заместителем, выбранным из следующей группы Fa:
[Группа Fа]
а. C1-6 алкоксигруппа, где C1-6 алкильная группа в алкоксигруппе, может быть замещена карбоксигруппой, C1-6 алкоксикарбонильной группой или -CON(Rf21)(Rf22),
где Rf21 и Rf22 могут быть одинаковыми или различными и каждый представляет собой
· атом водорода,
· ацильную группу, где ацильная группа может быть замещена гидроксильной группой или карбоксигруппой,
· C1-6 алкоксикарбонильную группу,
· -O-COORf1,
где Rf1 представляет собой атом водорода или C1-6 алкильную группу,
· C1-6 алкильную группу,
где C1-6 алкильная группа может быть замещена гидроксильной группой, карбоксигруппой, C1-6 алкоксикарбонильной группой, карбамоильной группой,
· C1-6 алкилсульфонильную группу или
· карбамоильную группу,
b. -COORf1,
где Rf1 представляет собой атом водорода или C1-6 алкильную группу,
c. -N(Rf21)(Rf22),
где Rf21 и Rf22 имеют значения, указанные выше,
d. -CON(Rf21)(Rf22),
где Rf21 и Rf22 имеют значения, указанные выше,
e. -N(Rf23)CON(Rf21)(Rf22),
где Rf23 представляет собой атом водорода или C1-6 алкильную группу, и Rf21 и Rf22 имеют значения, указанные выше,
f. ацильная группа и
g. атом галогена;
Rg представляет собой заместитель, имеющий кольцо B, представленное следующей формулой (II):

где A представляет собой линкер, выбранный из следующей группы Ga:
[Группа Gа]
· -(CH2)k-,
· -(CH2)k-NRg1-(CH2)j-,
· -(CH2)k-O-(CO)NRg1-(CH2)j-,
· -(CH2)k– NRg1(CO)-(CH2)j-,
· -(CH2)k-(CO)-(CH2)j-,
· -(CO)-,
· -(CH2)k-O-(CH2)j-,
· -(CH2)k-S-(CH2)j-,
· -(CH2)k-O-(CO)-(CH2)j-,
· -(CO)NRg1– и
· -(CH2)k-O-(CH2)j(CO)-(CH2)g-,
где k, j и g могут быть одинаковыми или различными и представляют собой целое число от 0 дo 4, но k и j или k и g не могут быть равны 0 одновременно,
Rg1 представляет собой
·· атом водорода,
·· гидроксильную группу,
·· C1-6 алкоксигруппу,
·· ацильную группу, где ацильная группа может быть замещена гидроксильной группой или карбоксигруппой,
·· C3-8 циклоалкильную группу, где циклоалкильная группа может быть замещена
C1-6 алкильной группой, где алкильная группа может быть замещена карбоксигруппой,
·· aралкильную группу или
·· C1-6 алкильную группу, где алкильная группа может быть замещена гидроксильной группой, -N(Rg41)(Rg42) или -CON(Rg41)(Rg42),
где Rg41 и Rg42 могут быть одинаковыми или различными и представляют собой
··· атом водорода,
··· ацильную группу, где ацильная группа может быть замещена гидроксильной группой,
··· aралкильную группу,
··· C1-6 алкилсульфонильную группу или
··· C1-6 алкильную группу,
где C1-6 алкильная группа может быть замещена гидроксильной группой, карбоксигруппой, C1-6 алкоксикарбонильной группой, -N(Rg51)(Rg52) или -CO-N(Rg51)(Rg52),
где Rg51 и Rg52 могут быть одинаковыми или различными и представляют собой
···· атом водорода,
···· ацильную группу, где ацильная группа может быть замещена гидроксильной группой,
···· C1-6 алкильную группу,
где C1-6 алкильная группа может быть замещена гидроксильной группой, карбоксигруппой, ациламиногруппой, C1-6 алкоксикарбонильной группой или атомом галогена,
···· C1-6 алкоксикарбонильную группу,
···· C1-6 алкилсульфонильную группу или
···· C3-8 циклоалкильную группу, где циклоалкильная группа может быть замещена гидроксильной группой или C1-6 алкоксигруппой, или
Rg51 и Rg52 совместно со смежным атомом азота могут образовать 5- или 6-членную насыщенную гетероциклическую группу, которая имеет один или более атомов азота, где насыщенная гетероциклическая группа может быть замещена гидроксильной группой или C1-6 алкоксигруппой,
кольцо B представляет собой кольцо, выбранное из следующей группы Ha:
[Группа Hа]
· арильная группа,
· C3-8 циклоалкильная группа,
· 5-7-членная насыщенная гетероциклическая группа, имеющая один или более атомов азота,
· 5- или 6-членная ароматическая гетероциклическая группа, имеющая, по крайней мере, один гетероатом, и
· 8-11-членная конденсированная ароматическая гетероциклическая группа, имеющая, по крайней мере, один гетероатом, и
кольцо B может быть замещено заместителем, выбранным из следующей группы Ia:
[Группа Iа]
а. -ORg2,
где Rg2 представляет собой
· атом водорода,
· C1-6 алкильную группу или
· aралкильную группу,
b. -COORg3,
где Rg3 представляет собой
· атом водорода,
· C1-6 алкильную группу или
· aралкильную группу, где алкильная группа может быть замещена гидроксильной группой,
c. -N(Rg41)(Rg42),
где Rg41 и Rg42 имеют значения, указанные выше,
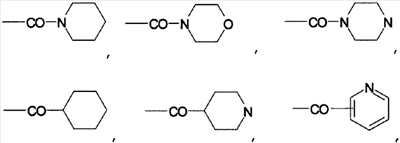
d. -CO-Rg53, где Rg53 представляет собой
· C1-6 алкильную группу, где алкильная группа может быть замещена гидроксильной группой, карбоксигруппой или ациламиногруппой,
· C3-8 циклоалкильную группу, где циклоалкильная группа может быть замещена гидроксильной группой, C1-6 алкоксигруппой или оксогруппой,
· 5- или 6-членной насыщенной гетероциклической группой, содержащей, по крайней мере, один гетероатом, где насыщенная гетероциклическая группа может быть замещена гидроксильной группой, C1-6 алкильной группой или оксогруппой,
· арильную группу, где арил может быть замещен гидроксильной группой,
· 5- или 6-членную ароматическую гетероциклическую группу, содержащую, по крайней мере, один гетероатом,
· aралкильную группу или
· 5- или 6-членную насыщенную гетероциклическую группу, содержащую 1 или 2 гетероатома,
e. C1-6 алкильная группа, где C1-6 алкильная группа, которая может быть замещена гидроксильной группой, C1-6 алкоксигруппой, aралкоксигруппой, карбоксигруппой, C1-6 алкоксикарбонильной группой, -CO-Rg53, где Rg53 имеют значения, указанные выше, -N(Rg51)(Rg52) или -CO-N(Rg51)(Rg52),
где Rg51 и Rg52 имеют значения, указанные выше,
f. -CO-N(Rg51)(Rg52),
где Rg51 и Rg52 имеют значения, указанные выше.
g. C1-6 алкилсульфонильная группа,
h. оксогруппа,
i. арильная группа, где арильная группа может быть замещена гидроксильной группой,
j. aралкильная группа и
k. атом галогена; и
Rh представляет собой -N(Rh1)(Rh2),
где Rh1 представляет собой
(1) атом водорода,
(2) C1-6 алкильную группу, где C1-6 алкильная группа может быть замещена гидроксильной группой, C1-6 алкоксигруппой, -N(Rg51)(Rg52), -CO-N(Rg51)(Rg52), где Rg51 и Rg52 имеют значения, указанные выше, C1-6 алкилсульфонильную группу или атом галогена,
(3) C2-6 алкенильную группу,
(4) C3-8 циклоалкильную группу, где циклоалкильная группа может быть замещена гидроксильной группой или C1-6 алкоксигруппой, или
(5) aралкильную группу,
Rh2 представляет собой
(1) C1-6 алкильную группу, где C1-6 алкильная группа может быть замещена заместителем, выбранным из следующей группы Ja:
[Группа Jа]
· гидроксильная группа,
· C1-6 алкоксигруппа,
· карбоксигруппа,
· ароматическая карбоциклическая группа, где ароматическая карбоциклическая группа может быть замещена гидроксильной группой, C1-6 алкильной группой, где алкильная группа может быть замещена карбоксигруппой, атомом галогена, C1-6 алкоксигруппой, карбоксигруппой, C1-6 алкоксикарбонильной группой, C2-6 алкенильной группой, где C2-6 алкенильная группа может быть замещена карбоксигруппой,
· C3-8 циклоалкильная группа, где циклоалкильная группа может быть замещена карбоксигруппой или aралкоксигруппой,
· 5- или 6-членная ароматическая гетероциклическая группа, содержащая 1 или 2 гетероатома, где ароматическая гетероциклическая группа может быть замещена карбоксигруппой,
· 5- или 6-членная насыщенная гетероциклическая группа, содержащая 1 или 2 гетероатома,
· -N(Rg51)(Rg52),
где Rg51 и Rg52 имеют значения, указанные выше,
· -CON(Rg51)(Rg52),
где Rg51 и Rg52 имеют значения, указанные выше,
· -CORg53, где Rg53 имеет значения, указанные выше, и
· -COORg3, где Rg3 имеет значение, указанное выше,
(2) ацильную группу, где ацильная группа может быть замещена гидроксильной группой,
(3) C1-6 алкоксикарбонильную группу,
(4) C2-6 алкенильную группу, где алкенильная группа может быть замещена карбоксигруппой или атомом галогена,
(5) C3-8 циклоалкильную группу, где циклоалкильная группа может быть замещена гидроксильной группой, -COORg3, где Rg3 имеет значение, указанное выше, -CORg53, где Rg53 имеет значение, указанное выше, -CONRg51Rg52, где Rg51 и Rg52, каждый, имеет значение, указанное выше, или C1-6 алкильную группу, где алкильная группа может быть замещена карбоксигруппой,
(6) 5- или 6-членную насыщенную гетероциклическую группу, содержащую 1 или 2 гетероатома, где насыщенная гетероциклическая группа может быть замещена -CORg53, где Rg53 имеет значение, указанное выше, -COORg3, где Rg3 имеет значение, указанное выше, -CONRg51Rg52, где Rg51 и Rg52, каждый, имеет значение, указанное выше, или C1-6 алкилсульфонильную группу, или
(7) ароматическую карбоциклическую группу, где ароматическая карбоциклическая группа может быть замещена карбоксигруппой, C1-6 алкильной группой, где алкильная группа может быть замещена карбоксигруппой или C2-6 алкенильной группой, где алкенильная группа может быть замещена карбоксигруппой,
или его фармацевтически приемлемая соль.
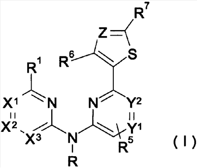
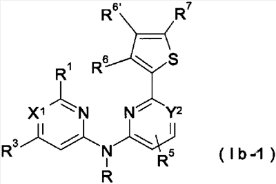
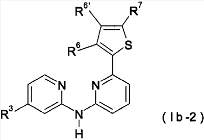
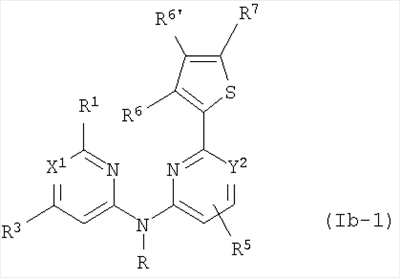
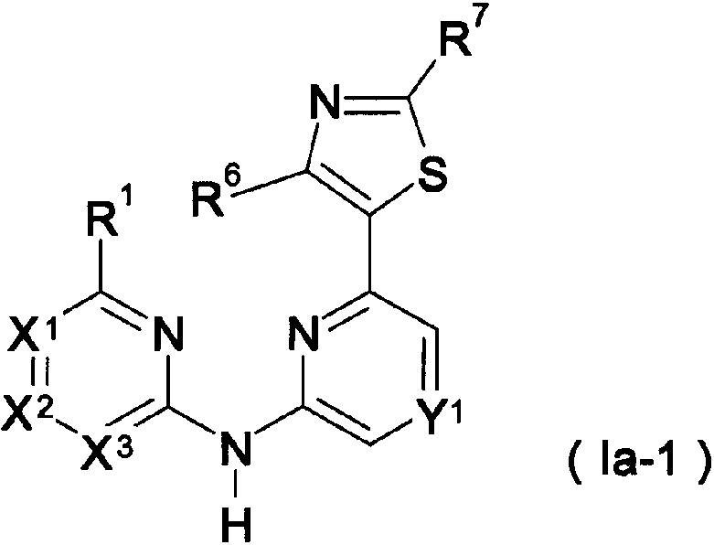
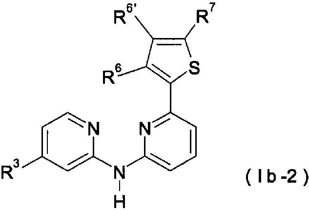
2. Аминопиридиновое соединение или его фармацевтически приемлемая соль по п.1, где Z представляет собой атом азота.
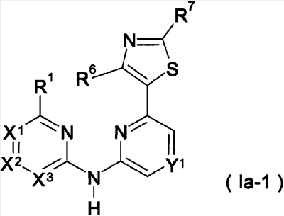
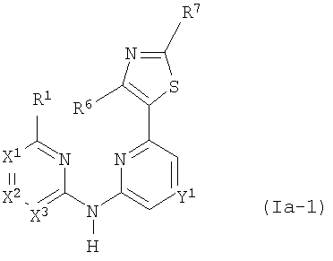
3. Аминопиридиновое соединение или его фармацевтически приемлемая соль по п.2, где аминопиридиновое соединение по п.1, представляет собой аминопиридиновое соединение, представленное следующей общей формулой (Ia-1):

где
X1 представляет собой
(1) -C(R2)=;
X2 представляет собой
(1) -C(R3)= или
(2) атом азота;
X3 представляет собой
(1) -C(R4)= или
(2) атом азота;
Y1 представляет собой
(1) -CH= или
(2) атом азота;
R1 представляет собой
(1) атом водорода или
(2) C1-6 алкильную группу;
R2 представляет собой
(1) атом водорода,
(2) атом галогена или
(3) C1-6 алкильную группу;
R3 представляет собой
(1) атом водорода,
(2) атом галогена,
(3) C1-6 алкоксигруппу, где C1-6 алкильная группа в C1-6 алкоксигруппе может быть замещена заместителем, выбранным из следующей группы Aa-1:
[Группа Aa-1]
а. гидроксильная группа,
b. C1-6 алкоксигруппа,
c. -N(R31)(R32),
где R31 и R32 представляют собой атом водорода или C1-6 алкильную группу,
d. атом галогена,
(4) aралкоксигруппу,
(5) ацильную группу,
(6) насыщенную гетероциклическую группу или ароматическую гетероциклическую группу, где гетероциклическая группа может быть замещена C1-6 алкильной группой, и насыщенная гетероциклическая группа может частично иметь двойную связь,
(7) C1-6 алкильную группу, где C1-6 алкильная группа может быть замещена заместителем, выбранным из следующей группы Ab-1:
[Группа Ab-1]
а. гидроксильная группа,
b. -COOR33, где R33 представляет собой атом водорода или C1-6 алкильную группу,
c. -CO-N(R31)(R32), где R31 и R32 имеют значения, указанные выше, и
d. атом галогена, или
(8) цианогруппу, или
R3 совместно с R2 могут образовать группу -C=C-C=C-;
R4 представляет собой
(1) атом водорода или
(2) C1-6 алкильную группу;
R6 представляет собой
(1) атом водорода,
(2) C1-6 алкильную группу, где C1-6 алкильная группа может быть замещена гидроксильной группой или C1-6 алкоксигруппой,
(3) -COOR61,
где R61 представляет собой атом водорода или C1-6 алкильную группу,
(4) -N(R62)(R63),
где R62 и R63 могут быть одинаковыми или различными и каждый представляет собой атом водорода, C1-6 алкильную группу, C1-6 алкоксигруппу или ацильную группу,
(5) -CO-N(R62)(R63), где R62 и R63 имеют значения, указанные выше, или
(6) ацильную группу; и
R7 имеет значение, как в описанном выше п.1.
4. Аминопиридиновое соединение или его фармацевтически приемлемая соль по пп.1-3, где аминопиридиновое соединение по пп.1-3, представляет собой аминопиридиновое соединение, представленное следующей общей формулой (Ia-2):

где
X2 представляет собой
(1) =C(R3)- или
(2) атом азота;
R2 представляет собой
(1) атом водорода или
(2) атом галогена;
R3 представляет собой
(1) атом водорода,
(2) атом галогена,
(3) C1-6 алкоксигруппу,
где C1-6 алкильная группа в C1-6 алкоксигруппе может быть замещена заместителем, выбранным из следующей группы Aa-2:
[Группа Aa-2]
а. гидроксильная группа и
b. атом галогена,
(4) ацильную группу,
(5) насыщенную гетероциклическую группу или ароматическую гетероциклическую группу, где гетероциклическая группа может быть замещена C1-6 алкильной группой и насыщенная гетероциклическая группа может частично иметь двойную связь,
(6) C1-6 алкильную группу, которая может быть замещена заместителем, выбранным из следующей группы Ab-2:
[Группа Ab-2]
а. гидроксильная группа и
b. атом галогена или
(7) цианогруппу, или
R3 совместно с R2 могут образовать группу -C=C-C=C-;
R6 представляет собой
(1) атом водорода или
(2) C1-6 алкильную группу, где C1-6 алкильная группа может быть замещена гидроксильной группой или C1-6 алкоксигруппой;
R7 представляет собой атом водорода или следующие Ra, Rb, Rc, Rd, Re, Rf, Rg или Rh;
Ra представляет собой -CpH2(p-1)(Ra1)(Ra2)-O-Ra3,
где
(1) p представляет собой целое число от 1 до 6,
(2) Ra1 представляет собой атом водорода,
(3) Ra2 представляет собой
· C1-6 алкильную группу, где C1-6 алкильная группа может быть замещена гидроксильной группой, карбоксигруппой, ацилoксигруппой, C1-6 алкиламиногруппой или ди-C1-6 алкиламиногруппой,
· aралкильную группу, где aралкильная группа может быть замещена гидроксильной группой, карбоксигруппой или ацилoксигруппой, или
· арильную группу,
(4) Ra3 представляет собой атом водорода, ацильную группу или -(CO)N(Ra31)(Ra32),
где Ra31 и Ra32 могут быть одинаковыми или различными и представляют собой атом водорода или C1-6 алкильную группу;
Rb представляет собой -CpH2(p-1)(Rb1)(Rb2)-N-(Rb3)(Rb4),
где
(1) p является целым числом от 1 до 6,
(2) Rb1 представляет собой атом водорода,
(3) Rb2 представляет собой
а. aралкильную группу, где aралкильная группа может быть замещена гидроксильной группой, C1-6 алкоксигруппой, которая может быть замещена гидроксильной группой, аралкоксигруппой или -N(Rb21)(Rb22),
где Rb21 и Rb22 представляют собой атом водорода, C1-6 алкильную группу, ацильную группу или аралкоксикарбонильную группу,
b. арильную группу, где арильная группа может быть замещена гидроксильной группой или аралкоксигруппой, или
c. C1-6 алкильную группу, где C1-6 алкильная группа может быть замещена гидроксильной группой, карбоксигруппой, аралкоксигруппой, аралкоксикарбонильной группой, аминогруппой, ацильной группой или aралкилкарбонильной группой,
(4) Rb3 представляет собой атом водорода или C1-6 алкильную группу,
(5) Rb4 представляет собой
а. атом водорода,
b. C1-6 алкильную группу, где C1-6 алкильная группа может быть замещена карбоксигруппой или C1-6 алкоксикарбонильной группой,
c. -CORb32,
где Rb32 представляет собой C1-6 алкильную группу, где C1-6 алкильная группа может быть замещена гидроксильной группой, ацильной группой, карбоксигруппой,
C1-6 алкоксикарбонильной группой или ацилoксигруппой, или
d. -CON(Rb321)(Rb322),
где Rb321 и Rb322 представляют собой атом водорода или C1-6 алкильную группу;
Rc представляет собой -C(=N-Rc1)-Rc2,
где
(1) Rc1 представляет собой
а. гидроксильную группу,
b. C1-6 алкоксигруппу, где C1-6 алкильная группа в C1-6 алкоксигруппе может быть замещена гидроксильной группой, или
c. ацилoксигруппу,
(2) Rc2 представляет собой C1-6 алкильную группу;
Rd представляет собой -C(=O)-Rd1,
где Rd1 представляет собой
(1) C1-6 алкильную группу, где C1-6 алкильная группа может быть замещена гидроксильной группой, карбоксигруппой или C1-6 алкоксикарбонильной группой,
(2) C1-6 алкоксигруппу,
(3) C3-8 циклоалкильную группу, где C3-8 циклоалкильная группа может быть замещена гидроксильной группой,
(4) -N(Rd11)(Rd12),
где Rd11 и Rd12 могут быть одинаковыми или различными и каждый представляет собой
· атом водорода,
· C1-6 алкоксигруппу или
· C1-6 алкильную группу, где C1-6 алкильная группа может быть замещена гидроксильной группой, карбоксигруппой или C1-6 алкоксикарбонильной группой;
Re представляет собой
· 5- или 6-членную насыщенную гетероциклическую группу, имеющую 1 или 2 гетероатома,
· 5- или 6-членную ароматическую гетероциклическую группу, имеющую от 1 дo 4 гетероатомов,
· 9-12-членную конденсированную ароматическую гетероциклическую группу, которая может быть частично насыщенной, имеющей 1 или 2 гетероатома,
· C3-8 циклоалкильную группу или
· C7-11 спирогетероциклоалкильную группу, имеющую 1 или 2 гетероатома, и
каждый может быть замещен заместителем, выбранным из следующей группы Ea-1:
[Группа Ea-1]
а. -ORe1, где Re1 представляет собой
· атом водорода,
· C1-6 алкильную группу, где C1-6 алкильная группа может быть замещена карбоксигруппой или -CON(Re11)(Re12),
где Re11 и Re12 могут быть одинаковыми или различными и каждый представляет собой атом водорода или C1-6 алкильную группу,
· ацильную группу,
· карбамоильную группу или
· aралкильную группу,
b. -COORe2,
где Re2 представляет собой атом водорода или C1-6 алкильную группу,
c. -CO-N(Re41)(Re42),
где Re41 и Re42 могут быть одинаковыми или различными и каждый представляет собой
· атом водорода,
· C1-6 алкильную группу, где C1-6 алкильная группа может быть замещена заместителем, выбранным из гидроксильной группы, C1-6 алкоксигруппы, ди-C1-6 алкиламиногруппы, карбоксигруппы, атома галогена, C1-6 алкилкарбамоильной группы и 5- или 6-членной насыщенной гетероциклической группы или ароматической гетероциклической группы, имеющей 1 или 2 гетероатома,
· гидроксильную группу,
· C1-6 алкоксигруппу,
· ацильную группу, где ацильная группа может быть замещена гидроксильной группой,
· C3-8 циклоалкильную группу, где C3-8 циклоалкильная группа может быть замещена гидроксильной группой, или
· C1-6 алкилсульфонильную группу,
d. -CORe3,
где Re3 представляет собой атом водорода, C1-6 алкильную группу, где C1-6 алкильная группа может быть замещена гидроксигруппой, карбоксигруппой или C1-6 алкилсульфонильной группой, 5- или 6-членную насыщенную гетероциклическую группу, имеющую 1 или 2 гетероатома, где насыщенная гетероциклическая группа может быть замещена гидроксильной группой, карбоксигруппой, C1-6 алкильной группой, ацильной группой, C1-6 алкоксигруппой, карбамоильной группой, -N(Re41)(Re42), где Re41 и Re42 имеют значения, указанные выше, ациламиногруппой или оксогруппой, C3-8 циклоалкильной группой, где C3-8 циклоалкильная группа может быть замещена гидроксильной группой, ароматической углеводородной группой, где ароматическая углеводородная группа может быть замещена гидроксильной группой или 5- или 6-членной ароматической гетероциклической группой, имеющей 1 или 2 гетероатома,
e. оксогруппа,
f. -N(Re51)(Re52),
где Re51 и Re52 могут быть одинаковыми или различными и каждый представляет собой
· атом водорода,
· C1-6 алкилсульфонильную группу,
· C1-6 алкильную группу, где C1-6 алкильная группа может быть замещена гидроксильной группой,
· ацильную группу, где ацильная группа может быть замещена гидроксильной группой, или
· -CORe511,
где Re511 представляет собой 5- или 6-членную насыщенную гетероциклическую группу, содержащую, по крайней мере, один атом азота, или C3-8 циклоалкильную группу, где C3-8 циклоалкильная группа может быть замещена гидроксильной группой,
g. C1-6 алкильная группа, где C1-6 алкильная группа может быть замещена заместителем, выбранным из следующей группы Eb-1:
[Группа Eb-1]
· гидроксильная группа,
· C1-6 алкоксигруппа, где C1-6 алкильная группа в C1-6 алкоксигруппе может быть замещена карбоксигруппой или -CO-N(Re11)(Re12), где Re11 и Re12 имеют значения, указанные выше,
· -COORe2,
где Re2 имеет значение, указанное выше,
· -N(Re51)(Re52),
где Re51 и Re52 имеют значения, указанные выше,
· -CO-N(Re51)(Re52),
где Re51 и Re52 имеют значения, указанные выше,
· атом галогена и
· 5- или 6-членная насыщенная гетероциклическая группа, имеющая 1 или 2 гетероатома,
h. гидроксииминогруппа,
i. C1-6 алкилсульфонильная группа,
j. цианогруппа,
k. 5- или 6-членная насыщенная гетероциклическая группа, содержащая 1 или 2 гетероатома, выбранных из атома азота и из атома кислорода (которая может быть частично ненасыщенной и может быть замещена оксогруппой или C1-6 алкильной группой), или ароматическая гетероциклическая группа, содержащая от 1 дo 4 гетероатомов, выбранных из атома азота и из атома кислорода,
l. аминосульфонильная группа и
m. C1-6 алкилиденовая группа, где C1-6 алкилиденовая группа может быть замещена атомом галогена или карбоксигруппой;
Rf представляет собой C1-6 алкильную группу, где C1-6 алкильная группа может быть замещена заместителем, выбранным из следующей группы Fa-1:
[Группа Fa-1]
а. C1-6 алкоксигруппа, где C1-6 алкильная группа в алкоксигруппе может быть замещена карбоксигруппой, C1-6 алкоксикарбонильной группой или -CON(Rf21)(Rf22),
где Rf21 и Rf22 могут быть одинаковыми или различными и каждый представляет собой
· атом водорода,
· ацильную группу, где ацильная группа может быть замещена гидроксильной группой или карбоксигруппой,
· C1-6 алкоксикарбонильную группу,
· -O-COORf1,
где Rf1 представляет собой атом водорода или C1-6 алкильную группу,
· C1-6 алкильную группу,
где C1-6 алкильная группа может быть замещена гидроксильной группой, карбоксигруппой, C1-6 алкоксикарбонильной группой или карбамоильной группой,
· C1-6 алкилсульфонильную группу или
· карбамоильную группу,
b. -COORf1,
где Rf1 имеет значение, указанное выше,
c. -N(Rf21)(Rf22),
где Rf21 и Rf22 имеют значения, указанные выше,
d. -CON(Rf21)(Rf22),
где Rf21 и Rf22 имеют значения, указанные выше,
e. ацильная группа и
f. атом галогена;
Rg представляет собой заместитель, имеющий кольцо B’, представленное следующей формулой (IIа):

где A’ представляет собой линкер, выбранный из следующей группы Ga-1:
[Группа Ga-1]
· -(CH2)k-,
· -(CH2)k-NRg1-(CH2)j-,
· -(CH2)k-O-(CO) NRg1-(CH2)j-,
· -(CH2)k-NRg1(CO)-(CH2)j-,
· -(CH2)k-NRg1-(CH2)j-,
· -(CH2)k-(CO)-(CH2)j-,
· -(CO)-,
· -(CH2)k-O-(CH2)j-,
· -(CH2)k-S-(CH2)j-,
· -(CH2)k-O-(CO)-(CH2)j– и
· -(CH2)k-O-(CH2)j(CO)-(CH2)g-,
где k, j и g могут быть одинаковыми или различными и представляют собой целое число от 0 дo 4, но k и j или k и g не могут быть равны 0 одновременно,
Rg1 представляет собой
·· атом водорода,
·· ацильную группу, где ацильная группа может быть замещена карбоксигруппой или гидроксильной группой, или
·· C1-6 алкильную группу,
где алкильная группа может быть замещена карбоксигруппой,
кольцо B’ представляет собой кольцо, выбранное из следующей группы Ha-1:
[Группа Ha-1]
· арильная группа,
· C3-8 циклоалкильная группа,
· 5-7-членная насыщенная гетероциклическая группа, имеющая, по крайней мере, один атом азота, где насыщенное гетероциклическое кольцо может формировать конденсированное кольцо с фенильной группой, и
· 5- или 6-членная ароматическая гетероциклическая группа, содержащая 1 или 2 гетероатома, и
кольцо B’ может быть замещено заместителем, выбранным из следующей группы Ia-1:
[Группа Ia-1]
а. -ORg2,
где Rg2 представляет собой
· атом водорода,
· C1-6 алкильную группу или
· aралкильную группу,
b. -COORg3,
где Rg3 представляет собой
· атом водорода или
· C1-6 алкильную группу, где алкильная группа может быть замещена гидроксильной группой,
c. -N(Rg41)(Rg42),
где Rg41 и Rg42 имеют значения, указанные выше,
d. -CO-Rg53, где Rg53 представляет собой
· C1-6 алкильную группу, где алкильная группа может быть замещена гидроксильной группой, карбоксигруппой или ациламиногруппой,
· C3-8 циклоалкильную группу, где циклоалкильная группа может быть замещена гидроксильной группой, C1-6 алкоксигруппой или оксогруппой,
· арильную группу, где арильная группа может быть замещена гидроксильной группой,
· 5- или 6-членную насыщенную гетероциклическую группу, содержащую 1 или 2 гетероатома, где насыщенная гетероциклическая группа может быть замещена гидроксильной группой, C1-6 алкильной группой или оксогруппой,
· aралкильную группу или
· 5- или 6-членную ароматическую гетероциклическую группу, содержащую 1 или 2 гетероатома,
e. C1-6 алкильная группа, где C1-6 алкильная группа может быть замещена гидроксильной группой, карбоксигруппой или -CO-Rg53, где Rg53 имеет значение, указанное выше,
f. -CO-N(Rg51)(Rg52),
где Rg51 и Rg52 могут быть одинаковыми или различными и представляют собой
· атом водорода,
· ацильную группу, где ацильная группа может быть замещена гидроксильной группой,
· C1-6 алкильную группу,
где C1-6 алкильная группа может быть замещена гидроксильной группой, карбоксигруппой, ациламиногруппой, C1-6 алкоксикарбонильной группой или атомом галогена,
· C1-6 алкилсульфонильную группу,
· C1-6 алкоксикарбонильную группу,
· карбамоильную группу или
· C3-8 циклоалкильную группу, где циклоалкильная группа может быть замещена гидроксильной группой или C1-6 алкоксигруппой,
g. C1-6 алкилсульфонильная группа,
h. оксогруппа и
i. атом галогена; и
Rh представляет собой -N(Rh1)(Rh2),
где Rh1 представляет собой
(1) атом водорода,
(2) C1-6 алкильную группу, где C1-6 алкильная группа может быть замещена гидроксильной группой, C1-6 алкоксигруппой, -N(Rg51)(Rg52), -CO-N(Rg51)(Rg52), C1-6 алкилсульфонилом или атомом галогена,
где Rg51 и Rg52 имеют значения, указанные выше,
(3) C2-6 алкенильную группу,
(4) C3-8 циклоалкильную группу, где циклоалкильная группа может быть замещена гидроксильной группой или C1-6 алкоксигруппой, или
(5) aралкильную группу,
Rh2 представляет собой
(1) C1-6 алкильную группу, где C1-6 алкильная группа может быть замещена заместителем, выбранным из следующей группы Ja-1:
[Группа Ja-1]
· гидроксильная группа,
· C1-6 алкоксигруппа,
· карбоксигруппа,
· ароматическая карбоциклическая группа, где ароматическая карбоциклическая группа может быть замещена гидроксильной группой, C1-6 алкильной группой, где алкильная группа может быть замещена карбоксигруппой, атомом галогена, C1-6 алкоксигруппой, карбоксигруппой, C1-6 алкоксикарбонильной группой, C2-6 алкенильной группой, где C2-6 алкенильная группа может быть замещена карбоксигруппой,
· C3-8 циклоалкильная группа, где циклоалкильная группа может быть замещена карбоксигруппой или aралкоксигруппой,
· 5- или 6-членная ароматическая гетероциклическая группа, содержащая 1 или 2 гетероатома, где ароматическая гетероциклическая группа может быть замещена карбоксигруппой,
· 5- или 6-членная насыщенная гетероциклическая группа, содержащая 1 или 2 гетероатома,
· -N(Rg51)(Rg52) и
· -CON(Rg51)(Rg52),
где Rg51 и Rg52 имеют значения, указанные выше,
(2) ацильную группу, где ацильная группа может быть замещена гидроксильной группой,
(3) C2-6 алкенильную группу, где алкенильная группа может быть замещена карбоксигруппой или атомом галогена,
(4) C3-8 циклоалкильную группу, где циклоалкильная группа может быть замещена гидроксильной группой, -COORg3, где Rg3 имеет значение, указанное выше, -CORg53, где Rg53 имеет значение, указанное выше, -CONRg51Rg52, где Rg51 и Rg52 каждый, имеет значение, указанное выше, или C1-6 алкильной группой, где алкильная группа может быть замещена карбоксигруппой,
(5) 5- или 6-членную насыщенную гетероциклическую группу, содержащую 1 или 2 гетероатома, где насыщенная гетероциклическая группа может быть замещена -CORg53, где Rg53 имеет значение, указанное выше, -COORg3, где Rg3 имеет значение, указанное выше, -CONRg51Rg52, где Rg51 и Rg52 каждый имеет значение, указанное выше, или C1-6 алкилсульфонильной группой, или
(6) ароматическую карбоциклическую группу, где ароматическая карбоциклическая группа может быть замещена карбоксигруппой, C1-6 алкильной группой, где алкильная группа может быть замещена карбоксигруппой или C2-6 алкенильной группой, где алкенильная группа может быть замещена карбоксигруппой.
5. Аминопиридиновое соединение или его фармацевтически приемлемая соль в соответствии с описанным выше п.4, где
R2 представляет собой атом водорода,
R3 представляет собой C1-6 алкильную группу, где C1-6 алкильная группа может быть замещена гидроксильной группой или атомом галогена,
R6 представляет собой атом водорода, и
R7 представляет собой Re, Rg или Rh.
6. Аминопиридиновое соединение или его фармацевтически приемлемая соль в соответствии с описанным выше п.5, где
R7 представляет собой Re, и
Re представляет собой
(1) 5- или 6-членную насыщенную гетероциклическую группу, содержащую 1 или 2 гетероатома, где насыщенная гетероциклическая группа может быть замещена C1-6 алкильной группой, где алкильная группа может быть замещена карбоксигруппой, -CORe3, где Re3 представляет собой 5- или 6-членную насыщенную гетероциклическую группу, имеющую 1 или 2 гетероатома, где 5- или 6-членная насыщенная гетероциклическая группа может быть замещена гидроксильной группой или -CO-N(Re41)(Re42), где Re41 и Re42 могут быть одинаковыми или различными и каждый представляет собой атом водорода или C1-6 алкильную группу, или
(2) C3-8 циклоалкильную группу, где циклоалкильная группа может быть замещена C1-6 алкильной группой, где алкильная группа может быть замещена карбоксигруппой, -CORe3, где Re3 представляет собой 5- или 6-членную насыщенную гетероциклическую группу, имеющую 1 или 2 гетероатома, где 5- или 6-членная насыщенная гетероциклическая группа может быть замещена гидроксильной группой или -CO-N(Re41)(Re42), где Re41 и Re42 могут быть одинаковыми или различными и каждый представляет собой атом водорода или C1-6 алкильную группу.
7. Аминопиридиновое соединение или его фармацевтически приемлемая соль в соответствии с описанным выше п.6, где
Re представляет собой
(1) 5- или 6-членную насыщенную гетероциклическую группу, имеющую 1 или 2 гетероатома, представленную следующим кольцом L, где насыщенная гетероциклическая группа может быть замещена 1 или 2 одинаковыми или различными заместителями, выбранными из C1-6 алкильной группы, где алкильная группа может быть замещена карбоксигруппой, -CORe3, где Re3 представляет собой 5- или 6-членную насыщенную гетероциклическую группу, имеющую 1 или 2 гетероатома, где 5- или 6-членная насыщенная гетероциклическая группа может быть замещена гидроксильной группой или -CO-N(Re41)(Re42), где Re41 и Re42 могут быть одинаковыми или различными и каждый представляет собой атом водорода или C1-6 алкильную группу,

где кольцо L представляет собой 5- или 6-членную насыщенную гетероциклическую группу, имеющую 1 или 2 гетероатома, или
(2) 5- или 6-членную циклоалкильную группу, где циклоалкильная группа может быть замещена 1 или 2 одинаковыми или различными заместителями, выбранными из C1-6 алкильной группы, где алкильная группа может быть замещена карбоксигруппой, -CORe3, где Re3 представляют собой 5- или 6-членную насыщенную гетероциклическую группу, имеющую 1 или 2 гетероатома, где 5- или 6-членная насыщенная гетероциклическая группа может быть замещена гидроксильной группой или -CO-N(Re41)(Re42), где Re41 и Re42 могут быть одинаковыми или различными и каждый представляет собой атом водорода или C1-6 алкильную группу.
8. Аминопиридиновое соединение или его фармацевтически приемлемая соль в соответствии с описанным выше п.5, где
Rh представляет собой -N(Rh1)(Rh2) и Rh1 представляет собой C1-6 алкильную группу, Rh2 представляет собой C3-8 циклоалкильную группу, где циклоалкильная группа представляет собой -COORg3, где Rg3 представляет собой атом водорода или C1-6 алкильную группу, где алкильная группа может быть замещена гидроксильной группой.
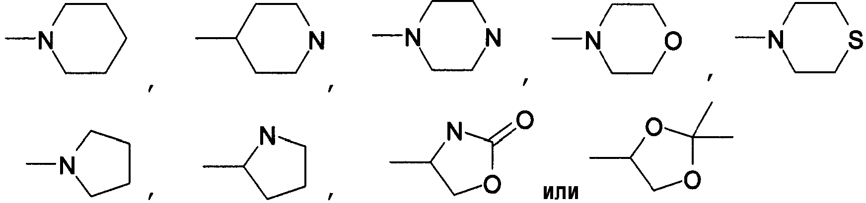
9. Аминопиридиновое соединение или его фармацевтически приемлемая соль в соответствии с описанным выше п.1, где аминопиридиновое соединение выбрано из следующей группы соединений.
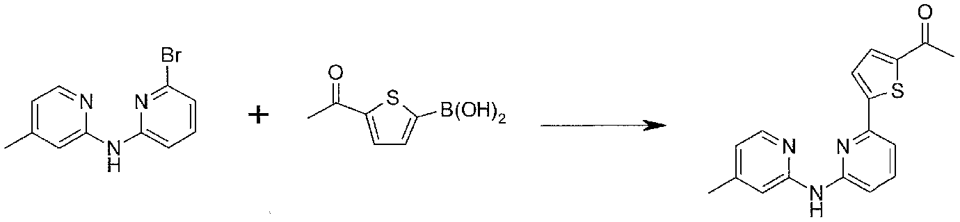
(001) 1-метил-4-{5-[6-(4-метилпиридин-2-иламино)пиридин-2-ил]тиазол-2-ил}пиперазин-2-он,
(002) 1-{5-[6-(4-метилпиридин-2-иламино)пиридин-2-ил]тиазол-2-ил}пиперидин-4-карбоновая кислота,
(003) 1-{5-[6-(4-метилпиридин-2-иламино)пиридин-2-ил]тиазол-2-ил}пиперидин-4-карбоксамид,
(004) N-метил-1-{5-[6-(4-метилпиридин-2-иламино)пиридин-2-ил]тиазол-2-ил}пиперидин-4-карбоксамид,
(005) N-(2-гидроксиэтил)-1-{5-[6-(4-метилпиридин-2-иламино)пиридин-2-ил]тиазол-2-ил}пиперидин-4-карбоксамид,
(006) метиловый эфир транс-4-{5-[6-(4-метилпиридин-2-иламино)пиридин-2-ил]тиазол-2-ил}циклогексанкарбоновой кислоты,
(007) транс-4-{5-[6-(4-метилпиридин-2-иламино)пиридин-2-ил]тиазол-2-ил}циклогексанкарбоновая кислота,
(008) (4-гидроксипиперидин-1-ил)-(транс-4-{5-[6-(4-метилпиридин-2-иламино)пиридин-2-ил]тиазол-2-ил}циклогексил)метанон,
(009) N-((S)-1-{5-[6-(4-метилпиридин-2-иламино)пиридин-2-ил]тиазол-2-ил}этил)амин,
(010) N-((S)-1-{5-[6-(4-метилпиридин-2-иламино)пиридин-2-ил]тиазол-2-ил}этил)ацетамид,
(011) (S)-3-метил-4-{5-[6-(4-метилпиридин-2-иламино)пиридин-2-ил]тиазол-2-ил}оксазолидин-2-он,
(012) трет-бутиловый эфир, (S)-2,2-диметил-4-{5-[6-(4-метилпиридин-2-иламино)пиридин-2-ил]тиазол-2-ил}оксазолидин-3-карбоновой кислоты,
(013) (S)-2-амино-2-{5-[6-(4-метилпиридин-2-иламино)пиридин-2-ил]тиазол-2-ил}этанол,
(014) (S)-4-{5-[6-(4-метилпиридин-2-иламино)пиридин-2-ил]тиазол-2-ил}оксазолидин-2-он,
(015) (1-{5-[6-(4-метилпиридин-2-иламино)пиридин-2-ил]тиазол-2-ил}пиперидин-4-ил)уксусная кислота,
(016) транс-4-[(N-метил-N-{5-[6-(4-метилпиридин-2-иламино)пиридин-2-ил]тиазол-2-ил}амино)метил]циклогексанкарбоновая кислота,
(017) 3-(1-{5-[6-(4-метилпиридин-2-иламино)пиридин-2-ил]тиазол-2-ил}пиперидин-4-ил)пропионовая кислота,
(018) 2-метил-2-(1-{5-[6-(4-метилпиридин-2-иламино)пиридин-2-ил]тиазол-2-ил}пиперидин-4-ил)пропионовая кислота,
(019) N-{4-метил-5-[6-(4-метилпиридин-2-иламино)пиридин-2-ил]тиазол-2-ил}пропионамид,
(020) N-{4-метил-5-[6-(4-метилпиридин-2-иламино)пиридин-2-ил]тиазол-2-ил}ацетамид,
(021) N-{4-метил-5-[6-(4-метилпиридин-2-иламино)пиразин-2-ил]тиазол-2-ил}ацетамид,
(022) этиловый эфир (S)-1-{5-[6-(4-метилпиридин-2-иламино)пиридин-2-ил]тиазол-2-ил}уксусной кислоты,
(023) (S)-1-{5-[6-(4-метилпиридин-2-иламино)пиридин-2-ил]тиазол-2-ил}этанол,
(024) 1-{5-[6-(4-метилпиридин-2-иламино)пиридин-2-ил]тиазол-2-ил}этанон,
(025) этиловый эфир 5-[6-(4-метилпиридин-2-иламино)пиридин-2-ил]тиазол-2-карбоновой кислоты,
(026) оксим 1-{5-[6-(4-метилпиридин-2-иламино)пиридин-2-ил]тиазол-2-ил}этанона,
(027) (S)-5-{5-[6-(4-метилпиридин-2-иламино)пиридин-2-ил]тиазол-2-ил}дигидрофуран-2-он,
(028) 1-{5-[6-(4-метилпиридин-2-иламино)пиридин-2-ил]тиазол-2-ил}этанон O-(2-гидроксиэтил)оксим,
(029) N-метокси-N-метил-5-[6-(4-метилпиридин-2-иламино)пиридин-2-ил]тиазол-2-карбоксамид,
(030) N-метил-5-[6-(4-метилпиридин-2-иламино)пиридин-2-ил]тиазол-2-карбоксамид,
(031) N-метил-N-((S)-1-{5-[6-(4-метилпиридин-2-иламино)пиридин-2-ил]тиазол-2-ил}этил)ацетамид,
(032) (S)-5-{5-[6-(4-метилпиридин-2-иламино)пиридин-2-ил]тиазол-2-ил}пирролидин-2-он,
(033) 5-{5-[6-(4-метилпиридин-2-иламино)пиридин-2-ил]тиазол-2-ил}пентановая кислота,
(034) 5-{5-[6-(4-метилпиридин-2-иламино)пиридин-2-ил]тиазол-2-ил}пентан-1-ол,
(035) 5-{5-[6-(4-метилпиридин-2-иламино)пиридин-2-ил]тиазол-2-ил}пентанамид,
(036) 4-{5-[6-(4-метилпиридин-2-иламино)пиридин-2-ил]тиазол-2-ил}циклогексанол,
(037) оксим 4-{5-[6-(4-метилпиридин-2-иламино)пиридин-2-ил]тиазол-2-ил}циклогексанона,
(038) N-{6-[2-((S)-1-аминоэтил)тиазол-5-ил]пиридин-2-ил}-N-([4,4′]бипиридинил-2-ил)амин,
(039) N-((S)-1-{5-[6-([4,4′]бипиридинил-2-иламино)пиридин-2-ил]тиазол-2-ил}этил)ацетамид,
(040) N-((S)-1-{5-[6-(4-хлорпиридин-2-иламино)пиридин-2-ил]тиазол-2-ил}этил)ацетамид,
(041) (S)-2-метил-1-{5-[6-(4-метилпиридин-2-иламино)пиридин-2-ил]тиазол-2-ил}пропан-1-ол,
(042) N-((S)-1-{5-[6-(изохинолин-3-иламино)пиридин-2-ил]тиазол-2-ил}этил)ацетамид,
(043) (4-метилпиридин-2-ил)-[6-(2-пиперидин-4-илтиазол-5-ил)пиридин-2-ил]амин,
(044) транс-4-{5-[6-(4-метилпиридин-2-иламино)пиридин-2-ил]тиазол-2-ил}циклогексанкарбоксамид,
(045) 5-{5-[6-(4-метилпиридин-2-иламино)пиридин-2-ил]тиазол-2-ил}пентиламин,
(046) 4-{5-[6-(4-метилпиридин-2-иламино)пиридин-2-ил]тиазол-2-ил}бутан-1-ол,
(047) 4-(2-{5-[6-(4-метилпиридин-2-иламино)пиридин-2-ил]тиазол-2-ил}этил)фенол,
(048) 2-гидрокси-N-((S)-1-{5-[6-(4-метилпиридин-2-иламино)пиридин-2-ил]тиазол-2-ил}этил)ацетамид,
(049) 3-({5-[6-(4-метилпиридин-2-иламино)пиридин-2-ил]тиазол-2-карбонил}амино)пропионовая кислота,
(050) 4-(2-{5-[6-(4-метилпиридин-2-иламино)пиридин-2-ил]тиазол-2-ил}этил)бензойная кислота,
(051) 1-{5-[6-(4-метилпиридин-2-иламино)пиридин-2-ил]тиазол-2-илметил}пиперидин-4-ол,
(052) 3,3-диметил-4-{5-[6-(4-метилпиридин-2-иламино)пиридин-2-ил]тиазол-2-ил}бутан-1-ол,
(053) [4-(2-{5-[6-(4-метилпиридин-2-иламино)пиридин-2-ил]тиазол-2-ил}этил)фенил]метанол,
(054) N-((R)-(4-гидроксифенил)-{5-[6-(4-метилпиридин-2-иламино)пиридин-2-ил]тиазол-2-ил}метил)ацетамид,
(055) N-(2-гидроксиэтил)-4-(2-{5-[6-(4-метилпиридин-2-иламино)пиридин-2-ил]тиазол-2-ил}этил)бензамид,
(056) 4-(2-{5-[6-(4-метилпиридин-2-иламино)пиридин-2-ил]тиазол-2-ил}этил)циклогексанон,
(057) 4-(2-{5-[6-(4-метилпиридин-2-иламино)пиридин-2-ил]тиазол-2-ил}этил)циклогексанол,
(058) ((3R,4S)-3,4-дигидроксипирролидин-1-ил)-(транс-4-{5-[6-(4-метилпиридин-2-иламино)пиридин-2-ил]тиазол-2-ил}циклогексил)метанон,
(059) (транс-4-{5-[6-(4-метилпиридин-2-иламино)пиридин-2-ил]тиазол-2-ил}циклогексил)-(пиперазин-1-ил)метанон,
(060) 4-{5-[6-(4-метилпиридин-2-иламино)пиридин-2-ил]тиазол-2-ил}пиперидин-1-карбоксамид,
(061) 2-гидрокси-1-(4-{5-[6-(4-метилпиридин-2-иламино)пиридин-2-ил]тиазол-2-ил}пиперидин-1-ил)этанон,
(062) транс-4-{5-[6-(4-метоксипиридин-2-иламино)пиридин-2-ил]тиазол-2-ил}циклогексанкарбоновая кислота,
(063) 3-(4-{5-[6-(4-метилпиридин-2-иламино)пиридин-2-ил]тиазол-2-ил}пиперидин-1-ил)-3-оксопропионовая кислота,
(064) N-(4-метилпиридин-2-ил)-N-{6-[2-(пиперазин-1-илметил)тиазол-5-ил]пиридин-2-ил}амин,
(065) 1-{5-[6-(4-метилпиридин-2-иламино)пиридин-2-ил]тиазол-2-илметил}пиперидин-4-иламин,
(066) N-{5-[6-(4-метилпиридин-2-иламино)пиридин-2-ил]тиазол-2-илметил}метансульфонамид,
(067) N-(транс-4-{5-[6-(4-метилпиридин-2-иламино)пиридин-2-ил]тиазол-2-ил}циклогексил)ацетамид,
(068) транс-4-{5-[6-(4-хлорпиридин-2-иламино)пиридин-2-ил]тиазол-2-ил}циклогексанкарбоновая кислота,
(069) 2-{5-[6-(4-метилпиридин-2-иламино)пиридин-2-ил]тиазол-2-ил}этанол,
(070) (транс-4-{5-[6-(4-метилпиридин-2-иламино)пиридин-2-ил]тиазол-2-ил}циклогексил)метанол,
(071) транс-4-{5-[6-(изохинолин-3-иламино)пиридин-2-ил]тиазол-2-ил}циклогексанкарбоновая кислота,
(072) транс-4-{5-[6-(4-метилпиридин-2-иламино)пиридин-2-ил]тиазол-2-ил}циклогексилметиламин,
(073) ((3R,4S)-3,4-дигидроксипирролидин-1-ил)-[4-(2-{5-[6-(4-метилпиридин-2-иламино)пиридин-2-ил]тиазол-2-ил}этил)фенил]метанон,
(074) N-(транс-4-{5-[6-(4-метилпиридин-2-иламино)пиридин-2-ил]тиазол-2-ил}циклогексилметил)ацетамид,
(075) N-(транс-4-{5-[6-(4-метилпиридин-2-иламино)пиридин-2-ил]тиазол-2-ил}циклогексилметил)метансульфонамид,
(076) 2-гидрокси-N-(транс-4-{5-[6-(4-метилпиридин-2-иламино)пиридин-2-ил]тиазол-2-ил}циклогексилметил)ацетамид,
(077) 2-гидрокси-N-[4-(2-{5-[6-(4-метилпиридин-2-иламино)пиридин-2-ил]тиазол-2-ил}этил)фенил]ацетамид,
(078) ((3R,4S)-3,4-дигидроксипиперидин-1-ил)-(транс-4-{5-[6-(4-метилпиридин-2-иламино)пиридин-2-ил]тиазол-2-ил}циклогексил)метанон,
(079) ((R)-3-гидроксипирролидин-1-ил)-(транс-4-{5-[6-(4-метилпиридин-2-иламино)пиридин-2-ил]тиазол-2-ил}циклогексил)метанон,
(080) (4-{5-[6-(4-метилпиридин-2-иламино)пиридин-2-ил]тиазол-2-илметил}фенил)метанол,
(081) N-(4-метилпиридин-2-ил)-N-[6-(2-пиридин-3-илметилтиазол-5-ил)пиридин-2-ил]амин,
(082) N-(4-метилпиридин-2-ил)-N-{6-[2-(2-пиперидин-4-илэтил)тиазол-5-ил]пиридин-2-ил}амин,
(083) N-(6-{2-[2-(1-метансульфонилпиперидин-4-ил)этил]тиазол-5-ил}пиридин-2-ил)-N-(4-метилпиридин-2-ил)амин,
(084) 2-гидрокси-1-[4-(2-{5-[6-(4-метилпиридин-2-иламино)пиридин-2-ил]тиазол-2-ил}этил)пиперидин-1-ил]этанон,
(085) N-(2-гидроксиэтил)-транс-4-{5-[6-(4-метилпиридин-2-иламино)пиридин-2-ил]тиазол-2-ил}циклогексанкарбоксамид,
(086) N-(2-морфолин-4-илэтил)-транс-4-{5-[6-(4-метилпиридин-2-иламино)пиридин-2-ил]тиазол-2-ил}циклогексанкарбоксамид,
(087) [3-(2-{5-[6-(4-метилпиридин-2-иламино)пиридин-2-ил]тиазол-2-ил}этил)фенил]метанол,
(088) (3-гидроксипирролидин-1-ил)-(транс-4-{5-[6-(4-метилпиридин-2-иламино)пиридин-2-ил]тиазол-2-ил}циклогексил)метанон,
(089) 4-(транс-4-{5-[6-(4-метилпиридин-2-иламино)пиридин-2-ил]тиазол-2-ил}циклогексанкарбонил)пиперазин-2-он,
(090) ((R)-2-гидроксиметилпирролидин-1-ил)-(транс-4-{5-[6-(4-метилпиридин-2-иламино)пиридин-2-ил]тиазол-2-ил}циклогексил)метанон,
(091) (4-аминопиперидин-1-ил)-(транс-4-{5-[6-(4-метилпиридин-2-иламино)пиридин-2-ил]тиазол-2-ил}циклогексил)метанон,
(092) [4-(2-{5-[6-(4-метилпиридин-2-иламино)пиридин-2-ил]тиазол-2-ил}этил)пиперидин-1-ил]-(пиперидин-4-ил)метанон,
(093) (транс-4-{5-[6-(4-хлорпиридин-2-иламино)пиридин-2-ил]тиазол-2-ил}циклогексил)-(4-гидроксипиперидин-1-ил)метанон,
(094) N-(4-гидроксипиперидин-1-ил)-(транс-4-{5-[6-(4-метилпиридин-2-иламино)пиридин-2-ил]тиазол-2-ил}циклогексанкарбоксамид,
(095) N-[(R)-2-гидрокси-1-(3H-имидазол-4-илметил)этил]-транс-4-{5-[6-(4-метилпиридин-2-иламино)пиридин-2-ил]тиазол-2-ил}циклогексанкарбоксамид,
(096) N-[(S)-2-гидрокси-1-(3H-имидазол-4-илметил)этил]-транс-4-{5-[6-(4-метилпиридин-2-иламино)пиридин-2-ил]тиазол-2-ил}циклогексанкарбоксамид,
(097) N-(2-диметиламиноэтил)-транс-4-{5-[6-(4-метилпиридин-2-иламино)пиридин-2-ил]тиазол-2-ил}циклогексанкарбоксамид,
(098) (3-аминопирролидин-1-ил)-(транс-4-{5-[6-(4-метилпиридин-2-иламино)пиридин-2-ил]тиазол-2-ил}циклогексил)метанон,
(099) N-[1-(транс-4-{5-[6-(4-метилпиридин-2-иламино)пиридин-2-ил]тиазол-2-ил}циклогексанкарбонил)пирролидин-3-ил]метансульфонамид,
(100) (3R,4S)-1-(транс-4-{5-[6-(4-метилпиридин-2-иламино)пиридин-2-ил]тиазол-2-ил}циклогексилметил)пирролидин-3,4-диол,
(101) транс-4-{5-[6-(4-метилпиридин-2-иламино)пиридин-2-ил]тиазол-2-ил}циклогексанкарбонитрил,
(102) цис-4-{5-[6-(4-метилпиридин-2-иламино)пиридин-2-ил]тиазол-2-ил}циклогексанкарбонитрил,
(103) (S)-5-{5-[6-(4-метоксипиридин-2-иламино)пиридин-2-ил]тиазол-2-ил}пирролидин-2-он,
(104) (S)-1-{5-[6-(4-метоксипиридин-2-иламино)пиридин-2-ил]тиазол-2-ил}этанол,
(105) (S)-1-(5-{6-[4-(2-гидроксиэтил)пиридин-2-иламино]пиридин-2-ил}тиазол-2-ил)этанол,
(106) (S)-1-{5-[6-(4-хлорпиридин-2-иламино)пиридин-2-ил]тиазол-2-ил}этанол,
(107) (S)-5-{5-[6-(4-хлорпиридин-2-иламино)пиридин-2-ил]тиазол-2-ил}пирролидин-2-он,
(108) 3-(транс-4-{5-[6-(4-метилпиридин-2-иламино)пиридин-2-ил]тиазол-2-ил}циклогексил)-4H-[1,2,4]оксазол-5-он,
(109) N-(4-метилпиридин-2-ил)-N-(6-{2-[4-(1H-тетразол-5-ил)циклогексил]тиазол-5-ил}пиридин-2-ил)амин,
(110) (S)-5-(5-{6-[4-(2-гидроксиэтил)пиридин-2-иламино]пиридин-2-ил}тиазол-2-ил)пирролидин-2-он,
(111) N-(1,1-диметил-2-{5-[6-(4-метилпиридин-2-иламино)пиридин-2-ил]тиазол-2-ил}этил)ацетамид,
(112) (S)-1-(5-{6-[4-(2-метил-[1,3]диоксалан-2-ил)пиридин-2-иламино]пиридин-2-ил}тиазол-2-ил)этанол,
(113) N-метил-транс-4-{5-[6-(4-метилпиридин-2-иламино)пиридин-2-ил]тиазол-2-ил}циклогексанкарбоксамид,
(114) N-(1,1-диметил-2-{5-[6-(4-метилпиридин-2-иламино)пиридин-2-ил]тиазол-2-ил}этил)метансульфонамид,
(115) транс-4-{5-[6-(4-хлорпиридин-2-иламино)пиридин-2-ил]тиазол-2-ил}циклогексанкарбоксамид,
(116) транс-4-{5-[6-(4-метоксипиридин-2-иламино)пиридин-2-ил]тиазол-2-ил}циклогексанкарбоксамид,
(117) 4-{5-[6-(4-метилпиридин-2-иламино)пиридин-2-ил]тиазол-2-илметил}циклогексанол,
(118) (S)-1-(5-{6-[4-(2-гидроксиэтокси)пиридин-2-иламино]пиридин-2-ил}тиазол-2-ил)этанол,
(119) этиловый эфир (S)-1-{5-[6-(4-метилпиридин-2-иламино)пиридин-2-ил]тиазол-2-ил}диметилкарбаминовой кислоты,
(120) 4-{5-[6-(4-метилпиридин-2-иламино)пиридин-2-ил]тиазол-2-илметил}пиперазин-2-он,
(121) 4-(2-гидрокси-2-{5-[6-(4-метилпиридин-2-иламино)пиридин-2-ил]тиазол-2-ил}этил)фенол,
(122) 4-(2-{5-[6-(4-метилпиридин-2-иламино)пиридин-2-ил]тиазол-2-илметокси}ацетил)пиперазин-2-он,
(123) N-((R)-(4-гидроксифенил)-{5-[6-(4-метилпиридин-2-иламино)пиридин-2-ил]тиазол-2-ил}метил)-N-метилацетамид,
(124) 4-{5-[6-(4-метилпиридин-2-иламино)пиридин-2-ил]тиазол-2-илметил}пиперазин-2,6-дион,
(125) (S)-5-{5-[6-(4-метилпиридин-2-иламино)пиридин-2-ил]тиазол-2-ил}оксазолидин-2-он,
(126) 4-{5-[6-(4-метилпиридин-2-иламино)пиридин-2-ил]тиазол-2-илметил}пиперазин-2-он,
(127) N-(4-метилпиридин-2-ил)-N-[6-(2-морфолин-4-илтиазол-5-ил)пиридин-2-ил]амин,
(128) 1-(4-{5-[6-(4-метилпиридин-2-иламино)пиридин-2-ил]тиазол-2-ил}пиперазин-1-ил)этанон,
(129) 4-{5-[6-(4-метилпиридин-2-иламино)пиридин-2-ил]тиазол-2-ил}пиперазин-1-сульфонамид,
(130) N-(4-метоксипиридин-2-ил)-N-{6-[2-(морфолин-4-ил)тиазол-5-ил]пиридин-2-ил}амин,
(131) (3R,4S)-1-{5-[6-(4-метилпиридин-2-иламино)пиридин-2-ил]тиазол-2-ил}пирролидин-3,4-диол,
(132) N-метил-N-{5-[6-(4-метилпиридин-2-иламино)пиридин-2-ил]тиазол-2-ил}ацетамид,
(133) N-[6-(4-метил-2-морфолин-4-илтиазол-5-ил)пиридин-2-ил]-N-(4-метилпиридин-2-ил)амин,
(134) N-метил-N-{5-[6-(4-метилпиридин-2-иламино)пиридин-2-ил]тиазол-2-ил}амин,
(135) N-метил-4-{5-[6-(4-метилпиридин-2-иламино)пиридин-2-ил]тиазол-2-ил}пиперазин-1-карбоксамид,
(136) 1-{4-метил-5-[6-(4-метилпиридин-2-иламино)пиридин-2-ил]тиазол-2-ил}пиперидин-4-карбоксамид,
(137) N-{6-[2-(4-метоксипиперидин-1-ил)тиазол-5-ил]пиридин-2-ил}-N-(4-метилпиридин-2-ил)амин,
(138) N-{6-[2-(4-метилпиперазин-1-ил)тиазол-5-ил]пиридин-2-ил}-N-(4-метилпиридин-2-ил)амин,
(139) 1-{5-[6-(4-метилпиридин-2-иламино)пиридин-2-ил]тиазол-2-ил}пиперидин-4-ол,
(140) N-метил-1-{5-[6-(4-метоксипиридин-2-иламино)пиридин-2-ил]тиазол-2-ил}пиперидин-4-карбоксамид,
(141) 4-{4-метил-5-[6-(4-метилпиридин-2-иламино)пиридин-2-ил]тиазол-2-ил}пиперазин-1-карбальдегид,
(142) метиловый эфир 4-{5-[6-(4-метилпиридин-2-иламино)пиридин-2-ил]тиазол-2-ил}пиперазин-4-карбоновой кислоты,
(143) 2-гидрокси-1-(4-{5-[6-(4-метилпиридин-2-иламино)пиридин-2-ил]тиазол-2-ил}пиперазин-1-ил)этанон,
(144) 1-(4-{5-[6-(4-метилпиридин-2-иламино)пиридин-2-ил]тиазол-2-ил}пиперазин-1-ил)пропан-1-он,
(145) N,N-диметил-4-{5-[6-(4-метилпиридин-2-иламино)пиридин-2-ил]тиазол-2-ил}пиперазин-1-карбоксамид,
(146) 1-(4-{5-[6-(4-метоксипиридин-2-иламино)пиридин-2-ил]тиазол-2-ил}пиперазин-1-ил)этанон,
(147) 1-(4-{5-[6-(4-хлорпиридин-2-иламино)пиридин-2-ил]тиазол-2-ил}пиперазин-1-ил)этанон,
(148) 4-(метил-{5-[6-(4-метилпиридин-2-иламино)пиридин-2-ил]тиазол-2-ил}амино)циклогексанкарбоновая кислота,
(149) 4-(N-метил-N-{5-[6-(4-метилпиридин-2-иламино)пиридин-2-ил]тиазол-2-ил}амино)
циклогексанкарбоксамид,
(150) 3-(1-{5-[6-(4-метилпиридин-2-иламино)пиридин-2-ил]тиазол-2-ил}пиперидин-4-ил)-4H-[1,2,4]оксадиазол-5-он,
(151) N-метил-N-{5-[6-(4-метилпиридин-2-иламино)пиридин-2-ил]тиазол-2-ил}-N-пиперидин-4-иламин,
(152) 4-(1-{5-[6-(4-метилпиридин-2-иламино)пиридин-2-ил]тиазол-2-ил}пиперидин-4-карбонил)пиперазин-2-он,
(153) N-(2,2-диметоксиэтил)-N-метил-N-{5-[6-(4-метилпиридин-2-иламино)пиридин-2-ил]тиазол-2-ил}амин,
(154) 1-[4-(N-метил-N-{5-[6-(4-метилпиридин-2-иламино)пиридин-2-ил]тиазол-2-ил}амино)пиперидин-1-ил]этанон,
(155) 2-гидрокси-1-[4-(N-метил-N-{5-[6-(4-метилпиридин-2-иламино)пиридин-2-ил]тиазол-2-ил}амино)пиперидин-1-ил]этанон,
(156) N-метил-4-(N’-метил-N’-{5-[6-(4-метилпиридин-2-иламино)пиридин-2-ил]тиазол-2-ил}амино)пиперидин-1-
карбоксамид,
(157) N-{2-[4-(N’-метил-N’-{5-[6-(4-метилпиридин-2-иламино)пиридин-2-ил]тиазол-2-ил}амино)пиперидин-1-ил]-2-оксоэтил}ацетамид,
(158) (4-{5-[6-(4-метилпиридин-2-иламино)пиридин-2-ил]тиазол-2-ил}-2-оксопиперазин-1-ил)уксусная кислота,
(159) 2-(4-{5-[6-(4-метилпиридин-2-иламино)пиридин-2-ил]тиазол-2-ил}-2-оксопиперазин-1-ил)ацетамид,
(160) N-метил-2-(4-{5-[6-(4-метилпиридин-2-иламино)пиридин-2-ил]тиазол-2-ил}-2-оксопиперазин-1-ил)ацетамид,
(161) N-(2-гидроксиэтил)-2-(4-{5-[6-(4-метилпиридин-2-иламино)пиридин-2-ил]тиазол-2-ил}-2-оксопиперазин-1-ил)ацетамид,
(162) N-метил-N-метилкарбамоилметил-1-{5-[6-(4-метилпиридин-2-иламино)пиридин-2-ил]тиазол-2-ил}пиперидин-4-карбоксамид,
(163) N-метил-N-{5-[6-(4-метилпиридин-2-иламино)пиридин-2-ил]тиазол-2-ил}-N-тетрагидропиран-4-иламин,
(164) 4-[(N-метил-N-{5-[6-(4-метилпиридин-2-иламино)пиридин-2-ил]тиазол-2-ил}амино)метил]фенол,
(165) N-((R)-1-{5-[6-(4-метилпиридин-2-иламино)пиридин-2-ил]тиазол-2-ил}пирролидин-3-ил)ацетамид,
(166) (R)-1-{5-[6-(4-метилпиридин-2-иламино)пиридин-2-ил]тиазол-2-ил}пирролидин-3-иламин,
(167) 1-{5-[6-(4-метилпиридин-2-иламино)пиридин-2-ил]тиазол-2-ил}пиперидин-3-карбоновая кислота,
(168) 2-гидрокси-N-((R)-1-{5-[6-(4-метилпиридин-2-иламино)пиридин-2-ил]тиазол-2-ил}пирролидин-3-ил)ацетамид,
(169) 1-{5-[6-(4-метилпиридин-2-иламино)пиридин-2-ил]тиазол-2-ил}пиперидин-3-карбоксамид,
(170) N-метил-1-{5-[6-(4-метилпиридин-2-иламино)пиридин-2-ил]тиазол-2-ил}пиперидин-3-карбоксамид,
(171) N-(2-гидроксиэтил)-1-{5-[6-(4-метилпиридин-2-иламино)пиридин-2-ил]тиазол-2-ил}пиперидин-3-карбоксамид,
(172) (R)-1-{5-[6-(4-метилпиридин-2-иламино)пиридин-2-ил]тиазол-2-ил}пирролидин-3-ол,
(173) транс-4-(N-метил-N-{5-[6-(4-метилпиридин-2-иламино)пиридин-2-ил]тиазол-2-ил}амино)циклогексанол,
(174) N-{6-[2-(3-метоксиметилпиперидин-1-ил)тиазол-5-ил]пиридин-2-ил}-N-(4-метилпиридин-2-ил)амин,
(175) 2-гидрокси-N-(1-{5-[6-(4-метилпиридин-2-иламино)пиридин-2-ил]тиазол-2-ил}пиперидин-4-ил)ацетамид,
(176) 2-гидрокси-N-метил-N-(1-{5-[6-(4-метилпиридин-2-иламино)пиридин-2-ил]тиазол-2-ил}пиперидин-4-ил)ацетамид,
(177) N-(1-{5-[6-(4-метилпиридин-2-иламино)пиридин-2-ил]тиазол-2-ил}пиперидин-4-ил)метансульфонамид,
(178) N-метил-N-(1-{5-[6-(4-метилпиридин-2-иламино)пиридин-2-ил]тиазол-2-ил}пиперидин-4-ил)метансульфонамид,
(179) 2-гидрокси-N-(1-{5-[6-(4-метилпиридин-2-иламино)пиридин-2-ил]тиазол-2-ил}пиперидин-4-илметил)ацетамид,
(180) N-(1-{5-[6-(4-метилпиридин-2-иламино)пиридин-2-ил]тиазол-2-ил}пиперидин-4-илметил)ацетамид,
(181) N-метил-(S)-1-{5-[6-(4-метилпиридин-2-иламино)пиридин-2-ил]тиазол-2-ил}пирролидин-2-карбоксамид,
(182) N-((R)-1-{5-[6-(4-метилпиридин-2-иламино)пиридин-2-ил]тиазол-2-ил}пирролидин-3-ил)метансульфонамид,
(183) N-{6-[2-((R)-3-метоксипирролидин-1-ил)тиазол-5-ил]пиридин-2-ил}-N-(4-метилпиридин-2-ил)амин,
(184) N-метил-4-(N’-метил-N’-{5-[6-(4-метилпиридин-2-иламино)пиридин-2-ил]тиазол-2-ил}амино)
циклогексанкарбоксамид,
(185) N-(2-гидроксиэтил)-4-(N’-метил-N’-{5-[6-(4-метилпиридин-2-иламино)пиридин-2-ил]тиазол-2-ил}амино)
циклогексанкарбоксамид,
(186) N-(2-ацетиламиноэтил)-4-(N’-метил-N’-{5-[6-(4-метилпиридин-2-иламино)пиридин-2-ил]тиазол-2-ил}амино)
циклогексанкарбоксамид,
(187) (1-{5-[6-(4-метилпиридин-2-иламино)пиридин-2-ил]тиазол-2-ил}пиперидин-3-илметокси)
уксусная кислота,
(188) (1-{5-[6-(4-метилпиридин-2-иламино)пиридин-2-ил]тиазол-2-ил}пиперидин-3-ил)метанол,
(189) 2-(1-{5-[6-(4-метилпиридин-2-иламино)пиридин-2-ил]тиазол-2-ил}пиперидин-3-илметокси)
ацетамид,
(190) 4-метил-1-{5-[6-(4-метилпиридин-2-иламино)пиридин-2-ил]тиазол-2-ил}пиперидин-4-карбоксамид,
(191) N-метил-4-метил-1-{5-[6-(4-метилпиридин-2-иламино)пиридин-2-ил]тиазол-2-ил}пиперидин-4-карбоксамид,
(192) N-метил-2-(1-{5-[6-(4-метилпиридин-2-иламино)пиридин-2-ил]тиазол-2-ил}пиперидин-3-илметокси)
ацетамид,
(193) N-(2-гидроксиэтил)-4-метил-1-{5-[6-(4-метилпиридин-2-иламино)пиридин-2-ил]тиазол-2-ил}пиперидин-4-карбоксамид,
(194) 2-(1-{5-[6-(4-метилпиридин-2-иламино)пиридин-2-ил]тиазол-2-ил}пиперидин-4-ил)ацетамид,
(195) N-метил-2-(1-{5-[6-(4-метилпиридин-2-иламино)пиридин-2-ил]тиазол-2-ил}пиперидин-4-ил)ацетамид,
(196) N-(2-гидроксиэтил)-2-(1-{5-[6-(4-метилпиридин-2-иламино)пиридин-2-ил]тиазол-2-ил}пиперидин-4-ил)ацетамид,
(197) N,N-диаллил-N-{5-[6-(4-метилпиридин-2-иламино)пиридин-2-ил]тиазол-2-ил}амин,
(198) N-[2-(N’-метил-N’-{5-[6-(4-метилпиридин-2-иламино)пиридин-2-ил]тиазол-2-ил}амино)этил]ацетамид,
(199) 2-гидрокси-N-[2-(N’-метил-{5-[6-(4-метилпиридин-2-иламино)пиридин-2-ил]тиазол-2-ил}амино)этил]ацетамид,
(200) N-(4-метансульфонилпиперидин-1-ил)-N-метил-N-{5-[6-(4-метилпиридин-2-иламино)пиридин-2-ил]тиазол-2-ил}амин,
(201) N,N-диметил-4-(N’-метил-N’-{5-[6-(4-метилпиридин-2-иламино)пиридин-2-ил]тиазол-2-ил}амино)пиперидин-1-
карбоксамид,
(202) (4-гидроксифенил)-[4-(N-метил-N-{5-[6-(4-метилпиридин-2-иламино)пиридин-2-ил]тиазол-2-ил}амино)пиперидин-1-ил]
метанон,
(203) 1-(4-{5-[6-(4-метилпиридин-2-иламино)пиридин-2-ил]тиазол-2-иламино}пиперидин-1-ил)этанон,
(204) 1-[4-(N-изопропил-N-{5-[6-(4-метилпиридин-2-иламино)пиридин-2-ил]тиазол-2-ил}амино)пиперидин-1-ил]этанон,
(205) N-метил-2-((R)-1-{5-[6-(4-метилпиридин-2-иламино)пиридин-2-ил]тиазол-2-ил}пирролидин-3-илокси)ацетамид,
(206) 1-{5-[6-(4-метоксипиридин-2-иламино)пиридин-2-ил]тиазол-2-ил}пиперидин-4-карбоксамид,
(207) 1-{5-[6-(4-хлорпиридин-2-иламино)пиридин-2-ил]тиазол-2-ил}пиперидин-4-карбоксамид,
(208) 2-(N-метил-N-{5-[6-(4-метилпиридин-2-иламино)пиридин-2-ил]тиазол-2-ил}амино)этанол,
(209) N-(2-метоксиэтил)-N-метил-N-{5-[6-(4-метилпиридин-2-иламино)пиридин-2-ил]тиазол-2-ил}амин,
(210) N-[2-(N’-(1-ацетилпиперидин-4-ил)-N’-{5-[6-(4-метилпиридин-2-иламино)пиридин-2-ил]тиазол-2-ил}амино)этил]метансульфонамид,
(211) 1-[4-(N-(2-гидроксиэтил)-N-{5-[6-(4-метилпиридин-2-иламино)пиридин-2-ил]тиазол-2-ил}амино)пиперидин-1-ил]этанон,
(212) 1-[4-(N-(2-метоксиэтил)-N-{5-[6-(4-метилпиридин-2-иламино)пиридин-2-ил]тиазол-2-ил}амино)пиперидин-1-ил]этанон,
(213) (S)-1-{5-[6-(4-метилпиридин-2-иламино)пиридин-2-ил]тиазол-2-ил}пирролидин-2-карбоксамид,
(214) N-метил-(S)-1-{5-[6-(4-метилпиридин-2-иламино)пиридин-2-ил]тиазол-2-ил}пирролидин-2-карбоксамид,
(215) N-(2,2,2-трифторэтил)-(S)-1-{5-[6-(4-метилпиридин-2-иламино)пиридин-2-ил]тиазол-2-ил}пирролидин-2-карбоксамид,
(216) (R)-1-{5-[6-(4-метилпиридин-2-иламино)пиридин-2-ил]тиазол-2-ил}пиперидин-3-карбоновая кислота,
(217) ((R)-1-{5-[6-(4-метилпиридин-2-иламино)пиридин-2-ил]тиазол-2-ил}пиперидин-3-ил)метанол,
(218) (R)-1-{5-[6-(4-метилпиридин-2-иламино)пиридин-2-ил]тиазол-2-ил}пиперидин-3-карбоксамид,
(219) 1-[4-(N-этил-N-{5-[6-(4-метилпиридин-2-иламино)
(220) пиридин-2-ил]тиазол-2-ил}амино)пиперидин-1-ил]этанон,
(221) 1-{4-[N-{5-[6-(4-метилпиридин-2-иламино)пиридин-2-ил]тиазол-2-ил}-N-(2,2,2-трифторэтил)амино]пиперидин-1-ил}этанон,
(222) 1-[4-(N-{5-[6-(4-хлорпиридин-2-иламино)пиридин-2-ил]тиазол-2-ил}-N-метиламино)пиперидин-1-ил]этанон,
(223) 1-[4-(N-{5-[6-(4-хлорпиридин-2-иламино)пиридин-2-ил]тиазол-2-ил}-N-метиламино)пиперидин-1-ил]-2-гидроксиэтанон,
(224) (R)-1-{5-[6-(4-метоксипиридин-2-иламино)пиридин-2-ил]тиазол-2-ил}пирролидин-3-ол,
(225) (R)-1-{5-[6-(4-хлорпиридин-2-иламино)пиридин-2-ил]тиазол-2-ил}пирролидин-3-ол,
(226) 4-метил-1-{5-[6-(4-метилпиридин-2-иламино)пиридин-2-ил]тиазол-2-ил}пиперидин-4-карбоновая кислота,
(227) (S)-1-{5-[6-(4-метоксипиридин-2-иламино)пиридин-2-ил]тиазол-2-ил}пирролидин-2-карбоксамид,
(228) (S)-1-{5-[6-(4-хлорпиридин-2-иламино)пиридин-2-ил]тиазол-2-ил}пирролидин-2-карбоксамид,
(229) 1-{5-[6-(4-ацетилпиридин-2-иламино)пиридин-2-ил]тиазол-2-ил}пиперидин-4-карбоксамид,
(230) 2-(N-(2-гидроксиэтил)-N-{5-[6-(4-метилпиридин-2-иламино)пиридин-2-ил]тиазол-2-ил}амино)этанол,
(231) 2-[N-{5-[6-(4-хлорпиридин-2-иламино)пиридин-2-ил]тиазол-2-ил}-N-(2-гидроксиэтил)амино]этанол,
(232) (R)-1-{5-[6-(4-хлорпиридин-2-иламино)пиридин-2-ил]тиазол-2-ил}пиперидин-3-карбоновая кислота,
(233) 1-(5-{6-[4-(1-гидроксиэтил)пиридин-2-иламино]пиридин-2-ил}тиазол-2-ил)пиперидин-4-
карбоксамид,
(234) (R)-1-(5-{6-[4-(2-метил-[1,3]диоксолан-2-ил)пиридин-2-иламино]пиридин-2-ил}тиазол-2-ил)пирролидин-3-ол,
(235) 1-(2-{6-[2-((R)-3-гидроксипирролидин-1-ил)тиазол-5-ил]пиридин-2-иламино}пиридин-4-ил)этанон,
(236) 4-(4-{5-[6-(4-метилпиридин-2-иламино)пиридин-2-ил]тиазол-2-ил}пиперазин-1-ил)-4-оксомасляная кислота,
(237) N-гидрокси-(R)-1-{5-[6-(4-хлорпиридин-2-иламино)пиридин-2-ил]тиазол-2-ил}пиперидин-3-карбоксамид,
(238) 4-[4-(N-метил-N-{5-[6-(4-метилпиридин-2-иламино)пиридин-2-ил]тиазол-2-ил}амино)пиперидин-1-ил]-4-оксомасляная кислота,
(239) (R)-1-(5-{6-[4-(1-гидроксиэтил)пиридин-2-иламино]пиридин-2-ил}тиазол-2-ил)пирролидин-3-ол,
(240) 2-(N-метил-N-{5-[6-(4-метилпиридин-2-иламино)пиридин-2-ил]тиазол-2-ил}амино)ацетамид,
(241) (R)-1-(5-{6-[4-(2-метил-[1,3]диоксолан-2-ил)пиридин-2-иламино]пиридин-2-ил}тиазол-2-ил)пиперидин-3-карбоновая кислота,
(242) (R)-1-{5-[6-(4-ацетилпиридин-2-иламино)пиридин-2-ил]тиазол-2-ил}пиперидин-3-карбоновая кислота,
(243) (S)-1-{5-[6-(4-ацетилпиридин-2-иламино)пиридин-2-ил]тиазол-2-ил}пирролидин-2-карбоксамид,
(244) (1-{5-[6-(4-хлорпиридин-2-иламино)пиридин-2-ил]тиазол-2-ил}пирролидин-3-ил)метанол,
(245) 1-[(R)-3-(N-метил-N-{5-[6-(4-метилпиридин-2-иламино)пиридин-2-ил]тиазол-2-ил}амино)пирролидин-1-ил]
этанон,
(246) (S)-1-{5-[6-(4-ацетилпиридин-2-иламино)пиридин-2-ил]тиазол-2-ил}пирролидин-2-карбоновая кислота,
(247) (R)-1-(5-{6-[4-(2-метил-[1,3]диоксолан-2-ил)пиридин-2-иламино]пиридин-2-ил}тиазол-2-ил)пиперидин-3-
карбоксамид,
(248) ((S)-1-{5-[6-(4-метилпиридин-2-иламино)пиридин-2-ил]тиазол-2-ил}пиперидин-3-ил)уксусная кислота,
(249) (S)-3-метил-2-[2-(N-метил-N-{5-[6-(4-метилпиридин-2-иламино)пиридин-2-ил]тиазол-2-ил}амино)ацетиламино]масляная кислота,
(250) 3-[2-(N-метил-N-{5-[6-(4-метилпиридин-2-иламино)пиридин-2-ил]тиазол-2-ил}амино)ацетиламино]
пропионовая кислота,
(251) [2-(N-метил-N-{5-[6-(4-метилпиридин-2-иламино)пиридин-2-ил]тиазол-2-ил}амино)ацетиламино]уксусная кислота,
(252) [1-(5-{6-[4-(2-метил-[1,3]диоксолан-2-ил)пиридин-2-иламино]пиридин-2-ил}тиазол-2-ил)пиперидин-4-ил]
уксусная кислота,
(253) (1-{5-[6-(пиридин-2-иламино)пиридин-2-ил]тиазол-2-ил}пиперидин-4-ил)уксусная кислота,
(254) 4-[(N-метил-N-{5-[6-(4-метилпиридин-2-иламино)пиридин-2-ил]тиазол-2-ил}амино)метил]бензойная кислота,
(255) ((R)-1-{5-[6-(4-метилпиридин-2-иламино)пиридин-2-ил]тиазол-2-ил}пирролидин-3-илокси)уксусная кислота,
(256) 1-{5-[6-(4-метилпиридин-2-иламино)пиридин-2-ил]тиазол-2-ил}пирролидин-3-карбоновая кислота,
(257) (R)-1-(5-{6-[4-(2-гидроксиэтил)пиридин-2-иламино]пиридин-2-ил}тиазол-2-ил)пирролидин-3-ол,
(258) 4-(N-метил-N-{5-[6-(4-метилпиридин-2-иламино)пиридин-2-ил]тиазол-2-ил}амино)бензойная кислота,
(259) (2S,4R)-4-(N-метил-N-{5-[6-(4-метилпиридин-2-иламино)пиридин-2-ил]тиазол-2-ил}амино)пирролидин-2-
карбоновая кислота,
(260) {N-метил-N-[2-(N’-метил-N’-{5-[6-(4-метилпиридин-2-иламино)пиридин-2-ил]тиазол-2-ил}амино)ацетил]амино}уксусная кислота,
(261) 2-{5-[6-(4-метилпиридин-2-иламино)пиридин-2-ил]тиазол-2-ил}-1,2,3,4-тетрагидроизохинолин-5-карбоновая кислота,
(262) 3-[(N-метил-N-{5-[6-(4-метилпиридин-2-иламино)пиридин-2-ил]тиазол-2-ил}амино)метил]бензойная кислота,
(263) {4-[(N-метил-N-{5-[6-(4-метилпиридин-2-иламино)пиридин-2-ил]тиазол-2-ил}амино)метил]фенил}уксусная кислота,
(264) (1-{5-[6-(4-метилпиридин-2-иламино)пиридин-2-ил]тиазол-2-ил}пирролидин-3-ил)уксусная кислота,
(265) (4-{5-[6-(4-метилпиридин-2-иламино)пиридин-2-ил]тиазол-2-ил}пиперазин-1-ил)уксусная кислота,
(266) N-(4-метилпиридин-2-ил)-N-(6-{2-[(R)-3-(1H-тетразол-5-ил)пиперидин-1-ил]тиазол-5-ил}пиридин-2-ил)амин,
(267) цис-4-(N-метил-N-{5-[6-(4-метилпиридин-2-иламино)пиридин-2-ил]тиазол-2-ил}амино)циклогексанкарбоновая кислота,
(268) транс-4-(N-метил-N-{5-[6-(4-метилпиридин-2-иламино)пиридин-2-ил]тиазол-2-ил}амино)циклогексанкарбоновая кислота,
(269) 4-[2-(N-метил-N-{5-[6-(4-метилпиридин-2-иламино)пиридин-2-ил]тиазол-2-ил}амино)этил]бензойная кислота,
(270) (1-{5-[6-(4-метилпиридин-2-иламино)пиридин-2-ил]тиазол-2-ил}пиперидин-4-илокси)уксусная кислота,
(271) (4-{5-[6-(4-метилпиридин-2-иламино)пиридин-2-ил]тиазол-2-ил}циклогексил)уксусная кислота,
(272) 4-{[N-метил-N-(5-{6-[4-(2-метил-[1,3]диоксалан-2-ил)пиридин-2-иламино]пиридин-2-ил}тиазол-2-ил)амино]метил}
бензойная кислота,
(273) 4-[(N-диметилкарбамоилметил-N-{5-[6-(4-метилпиридин-2-иламино)пиридин-2-ил]тиазол-2-ил}амино)метил]бензойная кислота,
(274) цис-4-(N-карбамоилметил-N-{5-[6-(4-метилпиридин-2-иламино)пиридин-2-ил]тиазол-2-ил}амино)циклогексанкарбоновая кислота,
(275) транс-4-[(N-карбамоилметил-N-{5-[6-(4-метилпиридин-2-иламино)пиридин-2-ил]тиазол-2-ил}амино)метил]
циклогексанкарбоновая кислота,
(276) 5-[(N-метил-N-{5-[6-(4-метилпиридин-2-иламино)пиридин-2-ил]тиазол-2-ил}амино)метил]тиофен-2-
карбоновая кислота,
(277) 3-хлор-4-[(N-метил-N-{5-[6-(4-метилпиридин-2-иламино)пиридин-2-ил]тиазол-2-ил}амино)метил]бензойная кислота,
(278) 4-{5-[6-(4-метилпиридин-2-иламино)пиридин-2-ил]тиазол-2-илметокси}бензойная кислота,
(279) 3-метокси-4-[(N-метил-N-{5-[6-(4-метилпиридин-2-иламино)пиридин-2-ил]тиазол-2-ил}амино)метил]бензойная кислота,
(280) 2-{5-[6-(4-метилпиридин-2-иламино)пиридин-2-ил]тиазол-2-ил}-1,2,3,4-тетрагидроизохинолин-6-карбоновая кислота,
(281) 2-[(N-метил-N-{5-[6-(4-метилпиридин-2-иламино)пиридин-2-ил]тиазол-2-ил}амино)метил]тиазол-4-
карбоновая кислота,
(282) [транс-4-(N-метил-N-{5-[6-(4-метилпиридин-2-иламино)пиридин-2-ил]тиазол-2-ил}амино)циклогексил]уксусная кислота,
(283) [цис-4-(N-метил-N-{5-[6-(4-метилпиридин-2-иламино)пиридин-2-ил]тиазол-2-ил}амино)циклогексил]уксусная кислота,
(284) 4-(2-{5-[6-(4-метилпиридин-2-иламино)пиридин-2-ил]тиазол-2-ил}этил)циклогексанкарбоновая кислота,
(285) (4-метил-1-{5-[6-(4-метилпиридин-2-иламино)пиридин-2-ил]тиазол-2-ил}пиперидин-4-ил)уксусная кислота,
(286) 4-{5-[6-(4-метилпиридин-2-иламино)пиридин-2-ил]тиазол-2-ил}-3,4-дигидро-2H-бензо[1,4]оксазин-8-карбоновая кислота,
(287) {5-[6-(4-метилпиридин-2-иламино)пиридин-2-ил]тиазол-2-илметокси}уксусная кислота,
(288) 4-[1-метил-1-(N-метил-N-{5-[6-(4-метилпиридин-2-иламино)пиридин-2-ил]тиазол-2-ил}амино)этил]бензойная кислота,
(289) [4-(N-метил-N-{5-[6-(4-метилпиридин-2-иламино)пиридин-2-ил]тиазол-2-ил}амино)фенил]уксусная кислота,
(290) (1-{5-[6-(4-хлорпиридин-2-иламино)пиридин-2-ил]тиазол-2-ил}пиперидин-4-ил)уксусная кислота,
(291) транс-4-[(N-бензил-N-{5-[6-(4-метилпиридин-2-иламино)пиридин-2-ил]тиазол-2-ил}амино)метил]
циклогексанкарбоновая кислота,
(292) [транс-4-(N-бензил-N-{5-[6-(4-метилпиридин-2-иламино)пиридин-2-ил]тиазол-2-ил}амино)циклогексил]уксусная кислота,
(293) транс-4-[(N-изопропил-N-{5-[6-(4-метилпиридин-2-иламино)пиридин-2-ил]тиазол-2-ил}амино)метил]
циклогексанкарбоновая кислота,
(294) 1-{5-[6-(4-метилпиридин-2-иламино)пиридин-2-ил]тиазол-2-ил}-1,2,3,4-тетрагидрохинолин-5-карбоновая кислота,
(295) фтор-(1-{5-[6-(4-метилпиридин-2-иламино)пиридин-2-ил]тиазол-2-ил}пиперидин-4-илиден)уксусная кислота,
(296) 5-(N-метил-N-{5-[6-(4-метилпиридин-2-иламино)пиридин-2-ил]тиазол-2-ил}амино)пентановая кислота,
(297) N-[2-(1-{5-[6-(4-метилпиридин-2-иламино)пиридин-2-ил]тиазол-2-ил}пиперидин-4-ил)ацетил]
метансульфонамид,
(298) 4-(N-метил-N-{5-[6-(4-метилпиридин-2-иламино)пиридин-2-ил]тиазол-2-ил}амино)масляная кислота,
(299) (1-{5-[6-(4-трифторметилпиридин-2-иламино)пиридин-2-ил]тиазол-2-ил}пиперидин-4-ил)
уксусная кислота,
(300) (1-{5-[6-(5-хлорпиридин-2-иламино)пиридин-2-ил]тиазол-2-ил}пиперидин-4-ил)уксусная кислота,
(301) (1-{5-[6-(4-метоксипиридин-2-иламино)пиридин-2-ил]тиазол-2-ил}пиперидин-4-ил)уксусная кислота,
(302) транс-4-(N-метил-N-{5-[6-(4-трифторметилпиридин-2-иламино)пиридин-2-ил]тиазол-2-ил}амино)
циклогексанкарбоновая кислота,
(303) 3-[4-(N-метил-N-{5-[6-(4-метилпиридин-2-иламино)пиридин-2-ил]тиазол-2-ил}амино)фенил]пропионовая кислота,
(304) (E)-6-(N-метил-N-{5-[6-(4-метилпиридин-2-иламино)пиридин-2-ил]тиазол-2-ил}амино)гекс-2-еновая кислота,
(305) (2-{5-[6-(4-метилпиридин-2-иламино)пиридин-2-ил]тиазол-2-ил}-1,2,3,4-тетрагидроизохинолин-6-ил)уксусная кислота,
(306) 3-(2-{5-[6-(4-метилпиридин-2-иламино)пиридин-2-ил]тиазол-2-ил}-1,2,3,4-тетрагидроизохинолин-5-ил)пропионовая кислота,
(307) 5-(N-изопропил-N-{5-[6-(4-метилпиридин-2-иламино)пиридин-2-ил]тиазол-2-ил}амино)пентановая кислота,
(308) 5-{5-[6-(4-метилпиридин-2-иламино)пиридин-2-ил]тиазол-2-иламино}пентановая кислота,
(309) 6-(N-метил-N-{5-[6-(4-метилпиридин-2-иламино)пиридин-2-ил]тиазол-2-ил}амино)гексановая кислота,
(310) (Z)-2-фтор-6-(N-метил-N-{5-[6-(4-метилпиридин-2-иламино)пиридин-2-ил]тиазол-2-ил}амино)гекс-2-еновая кислота,
(311) (8-{5-[6-(4-трифторметилпиридин-2-иламино)пиридин-2-ил]тиазол-2-ил}-8-азабицикло[3.2.1]окт-3-ил)уксусная кислота,
(312) (8-{5-[6-(4-метилпиридин-2-иламино)пиридин-2-ил]тиазол-2-ил}-8-азабицикло[3.2.1]окт-3-ил)уксусная кислота,
(313) (1-{5-[6-(4-цианопиридин-2-иламино)пиридин-2-ил]тиазол-2-ил}пиперидин-4-ил)уксусная кислота,
(314) {4-[(N-метил-N-{5-[6-(4-трифторметилпиридин-2-иламино)пиридин-2-ил]тиазол-2-ил}амино)метил]фенил}
уксусная кислота,
(315) 2-(1-{5-[6-(4-метилпиридин-2-иламино)пиридин-2-ил]тиазол-2-ил}пиперидин-4-ил)пропионовая кислота,
(316) (1-{5-[6-(4-метилпиридин-2-иламино)пиридин-2-ил]тиазол-2-ил}пиперидин-4-ил)уксусная кислота,
(317) 4-[1-метил-1-(N-метил-N-{5-[6-(4-трифторметилпиридин-2-иламино)пиридин-2-ил]тиазол-2-ил}амино)этил]бензойная кислота,
(318) 3-метил-6-(N-метил-N-{5-[6-(4-трифторметилпиридин-2-иламино)пиридин-2-ил]тиазол-2-ил}амино)гекс-2-еновая кислота,
(319) 3-метил-6-(N-метил-N-{5-[6-(4-метилпиридин-2-иламино)пиридин-2-ил]тиазол-2-ил}амино)гекс-2-еновая кислота,
(320) (E)-6-(N-метил-N-{5-[6-(4-трифторметилпиридин-2-иламино)пиридин-2-ил]тиазол-2-ил}амино)гекс-2-еновая кислота,
(321) N-(2-гидроксиэтил)-(S)-1-{5-[6-(4-метилпиридин-2-иламино)пиридин-2-ил]тиазол-2-ил}пирролидин-2-карбоксамид,
(322) 2-(N-изопропил-N-{5-[6-(4-метилпиридин-2-иламино)пиридин-2-ил]тиазол-2-ил}амино)ацетамид,
(323) 3-метил-2-(N-метил-N-{5-[6-(4-метилпиридин-2-иламино)пиридин-2-ил]тиазол-2-ил}амино)бутиламид,
(324) 2-(1-{5-[6-(4-метилпиридин-2-иламино)пиридин-2-ил]тиазол-2-ил}пиперидин-4-ил)этанол,
(325) 5-(N-изопропил-N-{5-[6-(4-метилпиридин-2-иламино)пиридин-2-ил]тиазол-2-ил}амино)пентан-1-ол,
(326) (1-{5-[6-(пиразин-2-иламино)пиридин-2-ил]тиазол-2-ил}пиперидин-4-ил)уксусная кислота,
(327) [1-(5-{6-[4-(2-гидроксиэтил)пиридин-2-иламино]пиридин-2-ил}тиазол-2-ил)пиперидин-4-ил]
уксусная кислота,
(328) фтор-(1-{5-[6-(4-метилпиридин-2-иламино)пиридин-2-ил]тиазол-2-ил}пиперидин-4-ил)уксусная кислота,
(329) 1-{5-[6-(4-метилпиридин-2-иламино)пиридин-2-ил]тиазол-2-илметил}пиперидин-4-
карбоксамид,
(330) (1-{5-[6-(4-этилпиридин-2-иламино)пиридин-2-ил]тиазол-2-ил}пиперидин-4-ил)уксусная кислота,
(331) N-изопропил-N-{5-[6-(4-метилпиридин-2-иламино)пиридин-2-ил]тиазол-2-ил}амин,
(332) N-{5-[6-(4-метилпиридин-2-иламино)пиридин-2-ил]тиазол-2-ил}-N-(2-морфолин-4-илэтил)амин,
(333) 2-(N-метил-N-{5-[6-(4-метилпиридин-2-иламино)пиридин-2-ил]тиазол-2-илметил}амино)ацетамид,
(334) 2-(1-{5-[6-(4-метилпиридин-2-иламино)пиридин-2-ил]тиазол-2-ил}пиперидин-4-ил)масляная кислота,
(335) транс-4-[(N-метил-N-{5-[6-(пиридин-2-иламино)пиридин-2-ил]тиазол-2-ил}амино)метил]
циклогексанкарбоновая кислота,
(336) [1-(5-{6-[4-(2,2,2-трифторэтокси)пиридин-2-иламино]пиридин-2-ил}тиазол-2-ил)пиперидин-4-ил]
уксусная кислота,
(337) 2-метил-1-(N-метил-N-{5-[6-(4-метилпиридин-2-иламино)пиридин-2-ил]тиазол-2-ил}амино)пропан-2-ол,
(338) 3-(1-{5-[6-(4-метилпиридин-2-иламино)пиридин-2-ил]тиазол-2-ил}пиперидин-3-ил)пропионовая кислота,
(339) N-(2-гидроксиэтил)-4-(N’-метил-N’-{5-[6-(4-метилпиридин-2-иламино)пиридин-2-ил]тиазол-2-ил}амино)пиперидин-1-
карбоксамид,
(340) 2-метил-2-(1-{5-[6-(пиразин-2-иламино)пиридин-2-ил]тиазол-2-ил}пиперидин-4-ил)пропионовая кислота,
(341) 4-[(N-ацетил-N-{5-[6-(4-метилпиридин-2-иламино)пиридин-2-ил]тиазол-2-илметил}амино)метил]бензойная кислота,
(342) (1-{5-[6-(4-трет-бутилпиридин-2-иламино)пиридин-2-ил]тиазол-2-ил}пиперидин-4-ил)уксусная кислота,
(343) (1-{5-[6-(4-изопропилпиридин-2-иламино)пиридин-2-ил]тиазол-2-ил}пиперидин-4-ил)уксусная кислота,
(344) 2-иламино)пиридин-2-ил]тиазол-2-ил}-6-азаспиро[2.5]октан-1-карбоновая кислота,
(345) 2-[1-(5-{6-[4-(2-гидроксиэтил)пиридин-2-иламино]пиридин-2-ил}тиазол-2-ил)пиперидин-4-ил]-2-метилпропионовая кислота,
(346) 2-метил-2-(1-{5-[6-(пиридин-2-иламино)пиридин-2-ил]тиазол-2-ил}пиперидин-4-ил)пропионовая кислота,
(347) фтор-(1-{5-[6-(пиразин-2-иламино)пиридин-2-ил]тиазол-2-ил}пиперидин-4-ил)уксусная кислота,
(348) фтор-(1-{5-[6-(пиридин-2-иламино)пиридин-2-ил]тиазол-2-ил}пиперидин-4-ил)уксусная кислота,
(349) [1-(5-{6-[4-(1-гидрокси-1-метилэтил)пиридин-2-иламино]пиридин-2-ил}тиазол-2-ил)пиперидин-4-ил]уксусная кислота,
(350) 2-метил-2-(1-{5-[6-(4-метилпиридин-2-иламино)пиридин-2-ил]тиазол-2-ил}пиперидин-4-ил)пропионовая кислота,
(351) 5-(1-{5-[6-(4-метилпиридин-2-иламино)пиридин-2-ил]тиазол-2-ил}пиперидин-3-ил)пентановая кислота и
(352) 2-метил-2-(N-метил-N-{5-[6-(4-метилпиридин-2-иламино)пиридин-2-ил]тиазол-2-илметил}амино)пропионамид.
10. Аминопиридиновое соединение или его фармацевтически приемлемая соль, в соответствии с описанным выше п.9, где аминопиридиновое соединение выбрано из следующей группы соединений:
(01) (S)-1-{5-[6-(4-метилпиридин-2-иламино)пиридин-2-ил]тиазол-2-ил}пирролидин-2-карбоксамид,
(02) цис-4-(N-метил-N-{5-[6-(4-метилпиридин-2-иламино)пиридин-2-ил)тиазол-2-ил}амино)циклогексанкарбоновая кислота,
(03) (1-{5-[6-(пиридин-2-иламино)пиридин-2-ил)тиазол-2-ил}пиперидин-4-ил)уксусная кислота и
(04) (4-метил-1-{5-[6-(4-метилпиридин-2-иламино)пиридин-2-ил]тиазол-2-ил}пиперидин-4-ил)уксусная кислота.
11. Аминопиридиновое соединение или его фармацевтически приемлемая соль, в соответствии с описанным выше п.10, где аминопиридиновое соединение представляет собой (S)-1-{5-[6-(4-метилпиридин-2-иламино)пиридин-2-ил]тиазол-2-ил}пирролидин-2-карбоксамид.
12. Аминопиридиновое соединение или его фармацевтически приемлемая соль в соответствии с описанным выше п.10, где аминопиридиновое соединение представляет собой (1-{5-[6-(пиридин-2-иламино)пиридин-2-ил]тиазол-2-ил}пиперидин-4-ил)уксусную кислоту.
13. Аминопиридиновое соединение или его фармацевтически приемлемая соль в соответствии с описанным выше п.10, где аминопиридиновое соединение представляет собой (1-{5-[6-(4-метилпиридин-2-иламино)пиридин-2-ил]тиазол-2-ил}пиперидин-4-ил)уксусную кислоту.
14. Аминопиридиновое соединение или его фармацевтически приемлемая соль в соответствии с описанным выше п.1, где аминопиридиновое соединение представляет собой цис-4-(N-метил-N-{5-[6-(4-метилпиридин-2-иламино)пиридин-2-ил)тиазол-2-ил}амино)циклогексанкарбоновую кислоту.
15. Аминопиридиновое соединение или его фармацевтически приемлемая соль в соответствии с описанным выше п.1, где Z представляет собой атом углерода.
16. Аминопиридиновое соединение или его фармацевтически приемлемая соль в соответствии с описанным выше п.15, где аминопиридиновое соединение в соответствии с описанным выше п.1 представляет собой аминопиридиновое соединение, представленное следующей общей формулой (Ib-1):

где
X1 представляет собой
(1) -CH= или
(2) атом азота;
Y2 представляет собой
(1) -CH= или
(2) атом азота;
R представляет собой
(1) атом водорода,
(2) C1-6 алкильную группу или
(3) ацильную группу;
R1 представляет собой
(1) атом водорода или
(2) атом галогена;
R3 представляет собой
(1) атом водорода,
(2) атом галогена,
(3) -N(R31)(R32),
где R31 и R32 представляют собой атом водорода или C1-6 алкильную группу,
(4) C1-6 алкоксигруппу, где C1-6 алкильная группа в C1-6 алкоксигруппе может быть замещена заместителем, выбранным из следующей группы Aa-3:
[Группа Aa-3]
а. гидроксильная группа и
b. -N(R31)(R32),
где R31 и R32 имеют значения, указанные выше,
(5) ацильную группу,
(6) насыщенную гетероциклическую группу или ароматическую гетероциклическую группу, где гетероциклическая группа может быть замещена C1-6 алкильной группой и насыщенная гетероциклическая группа может частично иметь двойную связь,
(7) C1-6 алкильную группу, где C1-6 алкильная группа может быть замещена заместителем, выбранным из следующей группы Ab-3:
[группа Ab-3]
а. гидроксильная группа,
b. -COOR33, где R33 представляет собой атом водорода или C1-6 алкильную группу, и
c. -CO-N(R31)(R32), где R31 и R32 имеют значения, указанные выше, или
(8) -COOR33, где R33 имеет значения, указанные выше;
R5 представляет собой
(1) атом водорода,
(2) C1-6 алкильную группу или
(3) -COOR51,
где R51 представляет собой атом водорода или C1-6 алкильную группу;
R6 и R6′ могут быть одинаковыми или различными и каждый представляет собой
(1) атом водорода,
(2) C1-6 алкильную группу или
(3) ацильную группу; и
R7 имеет значение, как в описанном выше п.1.
17. Аминопиридиновое соединение или его фармацевтически приемлемая соль в соответствии с описанным выше п.16, где аминопиридиновое соединение представляет собой аминопиридиновое соединение, представленное следующей общей формулой (Ib-2):

где R3 представляет собой
(1) атом галогена,
(2) – N(R31)(R32),
где R31 и R32 представляют собой атом водорода или C1-6 алкильные группы,
(3) C1-6 алкоксигруппу,
где C1-6 алкильная группа в C1-6 алкоксигруппе может быть замещена заместителем, выбранным из следующей группы Aa-4:
[Группа Aa-4]
а. гидроксильная группа и
b. -N(R31)(R32),
где R31 и R32 имеют значения, указанные выше,
(4) ацильную группу,
(5) насыщенную гетероциклическую группу, где гетероциклическая группа частично имеет двойную связь и может быть замещена C1-6 алкильной группой,
(6) C1-6 алкильную группу, которая может быть замещена заместителем, выбранным из следующей группы Ab-4:
[Группа Ab-4]
а. гидроксильная группа,
b. -COOR33, где R33 представляет собой атом водорода или C1-6 алкильную группу, и
c. -CO-N(R31)(R32),
где R31 и R32 имеют значения, указанные выше, или
(7) -COOR33,
где R33 имеет значение, указанное выше;
R5 представляет собой
(1) атом водорода,
(2) C1-6 алкильную группу или
(3) -COOR51,
где R51 представляет собой атом водорода или C1-6 алкильную группу;
R6 и R6′ могут быть одинаковыми или различными и каждый представляет собой
(1) атом водорода,
(2) C1-6 алкильную группу, которая может быть замещена гидроксильной группой или C1-6 алкильной группой, которая может быть замещена C1-6 алкоксигруппой, или
(3) ацильную группу;
R7 представляет собой атом водорода, атом галогена, нитрогруппу, цианогруппу или следующие Ra, Rb, Rc, Rd, Re, Rf, Rg или Rh;
Ra представляет собой -CpH2(p-1)(Ra1)(Ra2)-O-Ra3,
где
(1) p является целым числом от 1 до 6,
(2) Ra1 представляет собой атом водорода,
(3) Ra2 представляет собой C1-6 алкильную группу, где C1-6 алкильная группа может быть замещена гидроксильной группой, атомом галогена, карбоксигруппой, и
(4) Ra3 представляет собой атом водорода или ацильную группу;
Rb представляет собой -CpH2(p-1)(Rb1)(Rb2)-N-(Rb3)(Rb4),
где
(1) p является целым числом от 1 до 6,
(2) Rb1 представляет собой атом водорода,
(3) Rb2 представляет собой C1-6 алкильную группу,
(4) Rb3 представляет собой атом водорода или C1-6 алкильную группу и
(5) Rb4 представляет собой
а. атом водорода или
b. -CO Rb42,
где Rb42 представляет собой C1-6 алкильную группу;
Rc представляет собой -C(=N-Rc1)-Rc2,
где
(1) Rc1 представляет собой
а. гидроксильную группу,
b. C1-6 алкоксигруппу, где C1-6 алкильная группа в C1-6 алкоксигруппе может быть замещена гидроксильной группой или C1-6 алкоксигруппой, или
c. ацилoксигруппу, и
(2) Rc2 представляет собой C1-6 алкильную группу или аминогруппу;
Rd представляет собой -C(=O)-Rd1,
где Rd1 представляет собой
(1) атом водорода,
(2) C1-6 алкильную группу, где C1-6 алкильная группа может быть замещена гидроксильной группой,
(3) гидроксильную группу,
(4) C1-6 алкоксигруппу,
(5) -N(Rd11)(Rd12),
где Rd11 и Rd12 могут быть одинаковыми или различными и представляют собой
· атом водорода или
· C1-6 алкильную группу, где C1-6 алкильная группа может быть замещена аминогруппой, карбоксигруппой или гидроксильной группой, или
Rd11 и Rd12 совместно со смежным атомом азота могут формировать 5- или 6-членное насыщенное гетероциклическое кольцо, или
(6) C1-6 алкоксигруппу;
Re представляет собой 5- или 6-членную ароматическую гетероциклическую группу, имеющую от 1 дo 4 гетероатомов, где ароматическая гетероциклическая группа может быть замещена C1-6 алкильной группой или оксогруппой;
Rf представляет собой C1-6 алкильную группу или C2-6 алкенильную группу, где указанная C1-6 алкильная группа и C2-6 алкенильная группа могут быть замещены заместителем, выбранным из следующей группы Fa-2:
[Группа Fa-2]
а. -COOH,
b. – N(Rf21)(Rf22),
где Rf21 и Rf22 могут быть одинаковыми или различными и представляют собой
· атом водорода,
· ацильную группу или
· C1-6 алкильную группу,
где C1-6 алкильная группа может быть замещена карбоксигруппой, и
c. атом галогена.
Rg представляет собой заместитель, имеющий кольцо B”, представленное следующей формулой (IIb);

где A” представляет собой линкер, выбранный из следующей группы Ga-2:
[Группа Ga-2]
· -(CH2)k-,
· -(CH2)k-NRg1(CO)-,
· -(CH2)k-NRg1-(CH2)j-,
· -(CH2)k-O-(CO)-,
· -(CH2)k-O-,
· -(CO)-NRg1-(CH2)j-,
· -(CO)- и
· -(CO)-NRg1-,
где k и j могут быть одинаковыми или различными и представляют собой целое число от 1 до 4,
Rg1 представляет собой
·· атом водорода,
·· ацильную группу, где ацильная группа может быть замещена гидроксильной группой или карбоксигруппой, или
·· C1-6 алкильную группу, где алкильная группа может быть замещена
-CON(Rg41)(Rg42).
Кольцо B” представляет собой кольцо, выбранное из следующей группы Ha-2:
[Группа Ha-2]
· ароматическая углеводородная группа,
· C3-8 циклоалкильная группа и
· 5-7-членная насыщенная гетероциклическая группа, содержащая, по крайней мере, один атом азота, где насыщенное гетероциклическое кольцо может формировать конденсированное кольцо с фенильной группой, и
кольцо B” может быть замещено заместителем, выбранным из следующей группы Ia-2:
[Группа Ia-2]
а. -ORg2,
(где Rg2 представляет собой
· атом водорода,
· C1-6 алкильную группу или
· aралкильную группу, и
b. -COOORg3,
где Rg3 представляет собой
· атом водорода или
· C1-6 алкильную группу, где алкильная группа может быть замещена гидроксильной группой; и
Rh представляет собой -N(Rh1)(Rh2),
где Rh1 представляет собой атом водорода, и Rh2 представляет собой ацильную группу, где ацильная группа может быть замещена гидроксильной группой или C1-6 алкоксикарбонильной группой.
18. Аминопиридиновое соединение или его фармацевтически приемлемая соль в соответствии с описанным выше п.1, где аминопиридиновое соединение выбрано из следующей группы соединений:
(01) 1-{5-[6-(4-метилпиридин-2-иламино)пиридин-2-ил]тиофен-2-ил}этанон,
(02) 5-[6-(4-метилпиридин-2-иламино)пиридин-2-ил]тиофен-2-карбальдегид,
(03) 1-{5-[6-(4-метилпиридин-2-иламино)пиридин-2-ил]тиофен-2-ил}этанол,
(04) этиловый эфир 1-{5-[6-(4-метилпиридин-2-иламино)пиридин-2-ил]тиофен-2-ил}уксусной кислоты,
(05) N-{5-[6-(4-метилпиридин-2-иламино)пиридин-2-ил]тиофен-2-ил}ацетамид,
(06) N-метил-5-[6-(4-метилпиридин-2-иламино)пиридин-2-ил]тиофен-2-карбоксамид,
(07) {5-[6-(4-метилпиридин-2-иламино)пиридин-2-ил]тиофен-2-ил}метанол,
(08) оксим 1-{5-[6-(4-метилпиридин-2-иламино)пиридин-2-ил]тиофен-2-ил}этанона,
(09) 1-{5-[6-(4-метоксипиридин-2-иламино)пиридин-2-ил]тиофен-2-ил}этанон,
(10) 5-[6-(4-метилпиридин-2-иламино)пиридин-2-ил]тиофен-2-карбоксамид,
(11) 1-{5-[6-(6-изопропоксипиримидин-4-иламино)пиридин-2-ил]тиофен-2-ил}этанон,
(12) N-{5-[6-(4-метилпиридин-2-иламино)пиридин-2-ил]тиофен-2-ил}ацетамид,
(13) 1-{5-[6-(4-метилпиридин-2-иламино)пиридин-2-ил]тиофен-2-ил}этанон O-(2-гидроксиэтил)оксим,
(14) N-(2-аминоэтил)-5-[6-(4-метилпиридин-2-иламино)пиридин-2-ил]тиофен-2-карбоксамид,
(15) оксим 1-{5-[6-(4-метилпиридин-2-иламино)пиридин-2-ил]тиофен-2-ил}пропан-1-она,
(16) этиловый эфир {2-[6-(5-ацетилтиофен-2-ил)пиридин-2-иламино]пиридин-4-ил}уксусной кислоты,
(17) метиловый эфир 2-[6-(5-ацетилтиофен-2-ил)пиридин-2-иламино]изоникотиновой кислоты,
(18) 1-(5-{6-[4-(2-гидроксиэтил)пиридин-2-иламино]пиридин-2-ил}тиофен-2-ил)этанол,
(19) N-гидрокси-5-[6-(4-метилпиридин-2-иламино)пиридин-2-ил]тиофен-2-карбоксиамидин,
(20) 1-(5-{6-[4-(2-гидроксиэтокси)пиридин-2-иламино]пиридин-2-ил}тиофен-2-ил)этанон,
(21) 1-{5-[6-(4-хлорпиридин-2-иламино)пиридин-2-ил]тиофен-2-ил}этанон,
(22) оксим 1-{5-[6-(4-хлорпиридин-2-иламино)пиридин-2-ил]тиофен-2-ил}этанона,
(23) {5-[6-(4-метилпиридин-2-иламино)пиридин-2-ил]тиофен-2-ил}пиперазин-1-илметанон,
(24) 1-(5-{6-[4-(4,4-диметил-4,5-дигидрооксазол-2-ил)пиридин-2-иламино]пиридин-2-ил}тиофен-2-ил)
этанон,
(25) 2,2-дифтор-3-гидрокси-3-{5-[6-(4-метилпиридин-2-иламино)пиридин-2-ил]тиофен-2-ил}пропионовая кислота,
(26) 4-[({5-[6-(4-метилпиридин-2-иламино)пиридин-2-ил]тиофен-2-илметил}амино)метил]бензойная кислота,
(27) 4-[(N-ацетил-N-{5-[6-(4-метилпиридин-2-иламино)пиридин-2-ил]тиофен-2-илметил}амино)метил]бензойная кислота,
(28) транс-4-[(N-ацетил-N-{5-[6-(4-метилпиридин-2-иламино)пиридин-2-ил]тиофен-2-илметил}амино)метил]
циклогексанкарбоновая кислота,
(29) 3-(N-ацетил-N-{5-[6-(4-метилпиридин-2-иламино)пиридин-2-ил]тиофен-2-илметил}амино)пропионовая кислота,
(30) 4-[(N-изобутирил-N-{5-[6-(4-метилпиридин-2-иламино)пиридин-2-ил]тиофен-2-илметил}амино)метил]бензойная кислота и
(31) 4-[(N-(2-гидроксиацетил)-N-{5-[6-(4-метилпиридин-2-иламино)пиридин-2-ил]тиофен-2-илметил}амино)метил]бензойная кислота.
19. Фармацевтическая композиция, содержащая аминопиридиновое соединение или его фармацевтически приемлемую соль, в соответствии с описанным выше п.1, в качестве активного ингредиента.
20. Syk ингибитор, содержащий аминопиридиновое соединение или его фармацевтически приемлемую соль, в соответствии с описанным выше п.1, в качестве активного ингредиента.
21. Терапевтический и/или профилактический агент для лечения аллергических заболеваний, содержащий аминопиридиновое соединение или его фармацевтически приемлемую соль, в соответствии с описанным выше п.1, в качестве активного ингредиента.
22. Терапевтический и/или профилактический агент для лечения бронхиальной астмы, содержащий аминопиридиновое соединение или его фармацевтически приемлемую соль, в соответствии с описанным выше п.1, в качестве активного ингредиента.
23. Терапевтический и/или профилактический агент для лечения аллергического ринита, содержащий аминопиридиновое соединение или его фармацевтически приемлемую соль, в соответствии с описанным выше п.1, в качестве активного ингредиента.
24. Терапевтический и/или профилактический агент для лечения аллергического дерматита, содержащий аминопиридиновое соединение или его фармацевтически приемлемую соль, в соответствии с описанным выше п.1, в качестве активного ингредиента.
25. Терапевтический и/или профилактический агент для лечения аллергического конъюнктивита, содержащий аминопиридиновое соединение или его фармацевтически приемлемую соль, в соответствии с описанным выше п.1, в качестве активного ингредиента.
26. Терапевтический и/или профилактический агент для лечения аутоиммунных заболеваний, содержащий аминопиридиновое соединение или его фармацевтически приемлемую соль, в соответствии с описанным выше п.1, в качестве активного ингредиента.
27. Терапевтический агент для лечения прогрессирующего деформирующего артрита, содержащий аминопиридиновое соединение или его фармацевтически приемлемую соль, в соответствии с описанным выше п.1, в качестве активного ингредиента.
28. Терапевтический агент для лечения системной красной волчанки, содержащий аминопиридиновое соединение или его фармацевтически приемлемую соль, в соответствии с описанным выше п.1, в качестве активного ингредиента.
29. Терапевтический агент для лечения рассеянного склероза, содержащий аминопиридиновое соединение или его фармацевтически приемлемую соль, в соответствии с описанным выше п.1, в качестве активного ингредиента.
30. Терапевтический агент для лечения злокачественной опухоли, содержащий аминопиридиновое соединение или его фармацевтически приемлемую соль, в соответствии с описанным выше п.1, в качестве активного ингредиента.
31. Терапевтический агент для лечения B-лимфомы и В-клеточного лейкоза, содержащий аминопиридиновое соединение или его фармацевтически приемлемую соль, в соответствии с описанным выше п.1, в качестве активного ингредиента.
32. Терапевтический и/или профилактический агент для лечения аллергических заболеваний, содержащий Syk ингибитор, в соответствии с описанным выше п.20, в комбинации с другим противоаллергическим агентом.
Преимущества изобретения
Настоящее изобретение относится к новому аминопиридиновому соединению, представленному указанной выше общей формулой (I), или его фармацевтически приемлемой соли и лекарственному средству, содержащему его в качестве активного ингредиента.
Указанные соединения по настоящему изобретению применимы в качестве активных ингредиентов фармацевтических препаратов. Поскольку указанные соединения по настоящему изобретению имеют превосходный ингибиторный эффект и селективность по отношению к Syk, они являются полезными в качестве терапевтического или профилактического агента для лечения заболеваний, которые связаны с аллергической или воспалительной реакцией и в которых вовлеченный Syk является основной этиологической причиной (астма, насморк, атопический дерматит, контактный дерматит, уртикарная сыпь, пищевая аллергия, конъюнктивит, эластичное катаральное воспаление и т.д.) заболеваний, в которые, в свою очередь, вовлечен ADCC (аутоиммунная гемолитическая анемия, астенический бульбарный паралич и т.д.), тромб, образованный за счет агрегации тромбоцитов и т.д.
Лучший способ осуществления изобретения
Определения, применяемые в настоящем описании, являются следующими. Значение термина, детально не определенного, следует за значением, обычно используемым в этой области.
Термин «атом галогена» относится к атому фтора, атому хлора, атому брома или атому йода, и предпочтительно это относится к атому фтора, атому хлора или атому брома.
Термин «C1-6 алкильная группа» относится к линейной или разветвленной алкильной группе, имеющей от 1 дo 6 атомов углерода и в особенности включает метильную группу, этильную группу, пропильную группу, изопропильную группу, бутильную группу, изoбутильную группу, втор-бутильную группу, трет-бутильную группу, пентильную группу, изопентильную группу, трет-пентильную группу, гексильную группу и т.д. Предпочтительно он относится к линейной или разветвленной алкильной группе, имеющей от 1 дo 4 атомов углерода и в особенности он относится к метильной группе, этильной группе, пропильной группе, изопропильной группе, бутильной группе, изобутильной группе, втор-бутильной группе, трет-бутильной группе и т.д.
Термин «алкилeновая группа» относится к алкилeновой группе, которая может быть разветвленной, имеющей от 2 дo 6 атомов углерода, и в особенности включает метилeновую группу, пропиленовую группу, изопропилeновую группу, бутилeновую группу, 2-метилпропиленовую группу, и т.д.
Термин «C1-6 алкоксигруппа» относится к алкилоксигруппе, в которой его алкильная часть представляет собой «C1-6 алкильную группу», как определено выше, и в особенности включает метоксигруппу, этоксигруппу, пропоксигруппу, изопропилоксигруппу, бутоксигруппу, изобутилоксигруппу, трет-бутилоксигруппу, пентилоксигруппу, гексилоксигруппу и т.д. Предпочтительно он относится к «C1-4 алкоксигруппе».
Термин «C1-6 алкоксикарбонильная группа» относится к алкоксикарбонильной группе, в которой его алкильная часть представляет собой «C1-6 алкоксигруппу», как определено выше, и в особенности включает метоксикарбонильную группу, этоксикарбонильную группу, пропоксикарбонильную группу, изопропоксикарбонильную группу, бутоксикарбонильную группу, изобутоксикарбонильную группу, втор-бутоксикарбонильную группу, трет-бутоксикарбонильную группу, пентилоксикарбонильную группу, изопентилоксикарбонильную группу, 2-метилбутоксикарбонильную группу, неопентилоксикарбонильную группу, 1-этилпропоксикарбонильную группу, гексилоксикарбонильную группу, 4-метилпентилоксикарбонильную группу, 3-метилпентилоксикарбонильную группу, 2-метилпентилоксикарбонильную группу, 1-метилпентилоксикарбонильную группу, 3,3-диметилбутоксикарбонильную группу, 2,2-диметилбутоксикарбонильную группу, 1,1-диметилбутоксикарбонильную группу, 1,2-диметилбутоксикарбонильную группу, 1,3-диметилбутоксикарбонильную группу, 2,3-диметилбутоксикарбонильную группу или 2-этилбутоксикарбонильную группу, и т.д. Предпочтительно он относится к (C1-4 алкокси)карбонильной группе, и более предпочтительно он относится к метоксикарбонильной группе или этоксикарбонильной группе.
Термин «C1-6 алкиламиногруппа» относится к «C1-6 алкильной группе», как указано выше, которая связана с аминогруппой и, например, включает метиламиногруппу, этиламиногруппу, пропиламиногруппу, изопропиламиногруппу, бутиламиногруппу, изобутиламиногруппу, втор-бутиламиногруппу, трет-бутиламиногруппу, пентиламиногруппу, изопентиламиногруппу, 2-метилбутиламиногруппу, неопентиламиногруппу, 1-этилпропиламиногруппу, гексиламиногруппу, изогексиламиногруппу, 4-метилпентиламиногруппу, 3-метилпентиламиногруппу, 2-метилпентиламиногруппу, 1-метилпентиламиногруппу, 3,3-диметилбутиламиногруппу, 2,2-диметилбутиламиногруппу, 1,1-диметилбутиламиногруппу, 1,2-диметилбутиламиногруппу, 1,3-диметилбутиламиногруппу, 2,3-диметилбутиламиногруппу или 2-этилбутиламиногруппу и т.д. Предпочтительно он относится к C1-4 алкиламиногруппам, таким как метиламиногруппа, этиламиногруппа и пропиламиногруппа.
Термин «ди-C1-6 алкиламиногруппа» относится к группе, в которой две «C1-6 алкильные группы», как указано выше, связаны с аминогруппой и, например, включает ди-C1-6 алкиламиногруппу, такую как диметиламиногруппа, диэтиламиногруппа, N-этил-N-метиламиногруппа, дипропиламиногруппа, дибутиламиногруппа, дипентиламиногруппа или дигексиламиногруппа и предпочтительно это относится к ди-C1-4 алкиламиногруппе.
Термин «C1-6 алкилсульфонильная группа» относится к группе, в которой «C1-6 алкильная группа», как указано выше, связана с сульфонильной группой и, например, включает метилсульфонильную группу, этилсульфонильную группу, пропилсульфонильную группу, изопропилсульфонильную группу, бутилсульфонильную группу, изобутилсульфонильную группу, втор-бутилсульфонильную группу, трет-бутилсульфонильную группу, пентилсульфонильную группу, изопентилсульфонильную группу, 2-метилбутилсульфонильную группу, неопентилсульфонильную группу, 1-этилпропилсульфонильную группу, гексилсульфонильную группу, изогексилсульфонильную группу, 4-метилпентилсульфонильную группу, 3-метилпентилсульфонильную группу, 2-метилпентилсульфонильную группу, 1-метилпентилсульфонильную группу, 3,3-диметилбутилсульфонильную группу, 2,2-диметилбутилсульфонильную группу, 1,1-диметилбутилсульфонильную группу, 1,2-диметилбутилсульфонильную группу, 1,3-диметилбутилсульфонильную группу, 2,3-диметилбутилсульфонильную группу или 2-этилбутилсульфонильную группу и т.д. Предпочтительно он относится к C1-4 алкилсульфонильной группе, такой как метилсульфонильная группа.
Термин «карбамоильная группа» относится к карбамоильной группе, C1-6 алкилкарбамоильной группе или ди-C1-6 алкилкарбамоильной группе.
Термин «C1-6 алкилкарбамоильная группа» относится к группе, в которой одна «C1-6 алкильная группа», как указано выше, связана с карбамоильной группой и, например, включает алкилкарбамоильную группу, такую как метилкарбамоильная группа, этилкарбамоильная группа, пропилкарбамоильная группа, изопропилкарбамоильная группа, бутилкарбамоильная группа, изобутилкарбамоильная группа, втор-бутилкарбамоильная группа, трет-бутилкарбамоильная группа, пентилкарбамоильная группа, изопентилкарбамоильная группа, 2-метилбутилкарбамоильная группа, неопентилкарбамоильная группа, 1-этилпропилкарбамоильная группа или гексилкарбамоильная группа, и предпочтительно это относится к C1-4 алкилкарбамоильной группе.
Термин «ди-C1-6 алкилкарбамоильная группа» относится к группе, в которой две
«C1-6 алкильных группы», как указано выше, связаны с карбамоильной группой и, например, включает диалкилкарбамоильную группу, такую как диметилкарбамоильная группа, диэтилкарбамоильная группа, N-этил-N-метилкарбамоильная группа, дипропилкарбамоильная группа, дибутилкарбамоильная группа, дипентилкарбамоильная группа или дигексилкарбамоильная группа, и предпочтительно это относится к ди-C1-4 алкилкарбамоильной группе.
Термин «циклоалифатический углеводород» относится к насыщенной или ненасыщенной C3-8 циклоалифатической углеводородной группе, например циклоалкильной группе, циклоалкенильной группе, циклоалкадиенильной группе и т.д.
Термин «C3-8 насыщенное углеводородное кольцо» и «C3-8 циклоалкильная группа» имеет идентичное значение и относится к насыщенной циклоалкильной группе, имеющей от 3 дo 8 атомов углерода, и, например, включает циклопропильную группу, циклобутильную группу, циклопентильную группу, циклогексильную группу, циклогептильную группу, циклооктильную группу, бицикло[2.2.1]гептильную группу, бицикло[2.2.2]октильную группу, бицикло[3.2.1]октильную группу и т.д. Предпочтительно он относится к 5-7 насыщенной циклоалкильной группе, и в особенности он относится к циклопентильной группе, циклогексильной группе и циклогептильной группе.
Упомянутый выше термин «насыщенное углеводородное кольцо» может включать двойную связь в его части, и «циклоалкенил» и т.д. также включается в термин «насыщенное углеводородное кольцо».
Термин «C3-8 циклоалкенильная группа» относится к циклоалкенильной группе, имеющей от 3 до 8 атомов углерода и циклоалкенильной группе, содержащей, по крайней мере, одну, предпочтительно 1 или 2 двойные связи. В особенности включенными являются циклопропенильная группа, циклобутенильная группа, циклопентенильная группа, циклопентадиенильная группа, циклогексенильная группа, 2,4-циклогексадиен-1-ильная группа, 2,5-циклогексадиен-1-ильная группа, циклогептенильная группа и циклооктенильная группа и т.д. Предпочтительно он относится к 5-7 циклоалкенильной группе.
Термин «циклоалкильная C1-6 алкильная группа» относится к C1-6 алкильной группе, замещенной «C3-8 циклоалкильной группой», как указано выше, и предпочтительные примеры включают циклоалкильную группу, имеющую от 4 дo 13 атомов углерода, например циклопропилметильную группу, циклопропилэтильную группу, циклопентилметильную группу, циклопентилэтильную группу, циклогексилметильную группу, циклогексилэтильную группу и т.д.
Термин «арильная группа» относится к ароматической углеводородной группе или ароматической гетероциклической группе, но представляет собой ароматическую углеводородную группу, когда она относится к указанной просто как «арильной группе». Ароматическое углеводородное кольцо может быть указано просто как ароматическое карбоциклическое кольцо. Термин «ароматическая углеводородная группа» относится к ароматической углеводородной группе, имеющей от 6 дo 14 атомов углерода, и в особенности она включает фенильную группу, нафтильную группу, бифенильную группу, антрильную группу, инденильную группу, азуленильную группу, флуоренильную группу, фенантрильную группу и т.д. Предпочтительно он относится к фенильной группе, нафтильной группе, бифенильной группе.
Термины «ароматическая алифатическая углеводородная группа» и «aралкильная группа» имеют идентичное значение и представляют собой алифатическую углеводородную группу, имеющую от 7 дo 14 атомов углерода, и в особенности представляет собой aралкильную группу, арилалкенильную группу, арилалкинильную группу и т.д.
Термин «aралкильная группа» относится к C1-6 алкильной группе, замещенной арильной группой, как упомянуто выше, и предпочтительные примеры включают
C7-10 фенилалкильную группу, такую как бензильная группа, фенетильная группа, 1-фенилэтильная группа, 1-фенилпропильная группа, 2-фенилпропильная группа, 3-фенилпропильная группа, фенилбутильная группа; бифенилметильную группу;
C11-13 нафтилалкильную группу, такую как -нафтилметильная группа, -нафтилэтильная группа, -нафтилметильная группа, -нафтилэтильная группа. Это может быть C8-10 фенилалкенильная группа, такая как стирильная группа; нафтилалкенильная группа, такая как 2-(2-нафтилвинильная) группа.
Термин «aралкоксигруппа» относится к aралкоксигруппе, в которой ее aралкильная часть представляет собой aралкильную группу, как упомянуто выше, и включает, например, C7-10 фенилалкоксигруппу, такую как бензилоксигруппа, фенетилoксигруппа, 1-фенилэтилoксигруппа, 1-фенилпропилоксигруппа, 2-фенилпропилоксигруппа, 3-фенилпропилоксигруппа, фенилбутилоксигруппа; бифенилметилoксигруппа; C11-13 нафтилалкоксигруппу, такую как -нафтилметилoксигруппа, -нафтилэтилoксигруппа, -нафтилметилoксигруппа, -нафтилэтилoксигруппа.
Термин «aралкоксикарбониламиногруппа» относится к аминогруппе, замещенной aралкоксикарбонильной группой, и aралкокси часть aралкоксикарбонильной группы представляет собой aралкоксигруппу, как упомянуто выше. Например, включенными являются бензилоксикарбониламиногруппа, фенетилoксикарбониламиногруппа и т.д.
Термин «C2-6 алкенильная группа» относится к алкенильной группе, имеющей от 2 до 6 атомов углерода, и включает, например, этеновую группу, 1-пропенильную группу, 2-пропенильную группу, 1-бутенильную группу, 2-бутенильную группу, 3-бутенильную группу, 2-метил-1-пропенильную группу, 1-пентенильную группу, 2-пентенильную группу, 3-пентенильную группу, 4-пентенильную группу, 3-метил-2-бутенильную группу, 1-гексенильную группу, 3-гексенильную группу, 2,4-гексадиенильную группу и 5-гексенильную группу. Среди указанных C2-6 алкенильных групп, например, винильная группа или пропенильная группа является особенно предпочтительной.
Термин «ацильная группа» относится к алифатической ацильной группе, ароматической ацильной группе или гетероциклической ацильной группе, в которой насыщенная или ненасыщенная углеводородная группа или гетероциклическая группа связана с карбонильной группой. В узком смысле он относится к ацильной группе, в которой углеводородная группа алифатически связана с карбонильной группой. В особенности C1-6 алкилкарбонильная группа (например, ацетильная группа, пропионильная группа, бутирильная группа, изобутирильная группа, валерильная группа, изовалерильная группа, пивалоильная группа, гексаноильная группа); C2-7 алкенилкарбонильная группа (например, кротонильная группа); C3-8 циклоалкилкарбонильная группа (например, циклобутанкарбонильная группа, циклопентанкарбонильная группа, циклогексанкарбонильная группа, циклогептанкарбонильная группа); C3-8 циклоалкенилкарбонильная группа (например, 2-циклогексенкарбонильная группа); C6-14 арилкарбонильная группа (например, арилкарбонильная группа, такая как бензоильная группа, -нафтоильная группа, -нафтоильная группа, галогенированная арилкарбонильная группа, такая как 2-бромбензоильная группа, 4-хлорбензоильная группа, алкилированная низшим алкилом арилкарбонильная группа, такая как 2,4,6-триметилбензоильная группа, 4-толуоильная группа, алкоксилированная низшей алкоксигруппой арилкарбонильная группа, такая как 4-анизоильная группа, нитрированная арилкарбонильная группа, такая как 4-нитробензоильная группа, 2-нитробензоильная группа, алкоксикарбонилированная арилкарбонильная группа, такая как 2-(метоксикарбонил)бензоильная группа, арилированная арилкарбонильная группа, такая как 4-фенилбензоильная группа); C7-14 aралкилкарбонильная группа (например, бензилкарбонильная группа, фенетилкарбонил фенилпропилкарбонильная группа, фенилбутилкарбонильная группа); C8-13 арилалкенилкарбонильная группа (например, стирилкарбонильная группа); C8-13 арилалкинилкарбонильная группа (например, фенилэтинилкарбонильная группа); ароматическая гетероциклическая карбонильная группа (например, никотиноильная группа, изоникотиноильная группа, фурилкарбонильная группа, тиенилкарбонильная группа, пиримидинилкарбонильная группа, бензофуранилкарбонильная группа, 1H-индазолилкарбонильная группа, хинолилкарбонильная группа); неароматические гетероциклические карбонильные группы (например, пирролидинилкарбонильная группа, пиперидинкарбонильная группа, морфолинoкарбонильная группа, тиоморфолинoкарбонильная группа, пиперазинoкарбонильная группа, тиазолиндинилкарбонильная группа, гексаметилeниминилкарбонильная группа, тетрагидроизохинолилкарбонильная группа) и т.д. могут служить примером.
Термин «ацилoксигруппа» относится к группе, в которой атом кислорода связан с «ацильной группой», как упомянуто выше, и, например, включает бензоилоксигруппу и т.д.
Термин «ациламиногруппа» относится к группе, в которой «ацильная группа», как упомянуто выше, связана с атомом аминогруппы, и, например, это относится к линейной или разветвленной низшей алифатической ациламиногруппе, имеющей от от 2 до 7 атомов углерода, такой как ацетиламиногруппа, пропиониламиногруппа, бутириламиногруппа, изобутириламиногруппа, валериламиногруппа, изовалериламиногруппа, пивалоиламиногруппа, гексаноиламиногруппа, акрилoиламиногруппа, метакрилoиламиногруппа, кротoноиламиногруппа.
Термин «гетероциклическая группа» или «гетероцикл» относится к насыщенному кольцу (которое может иметь двойную связь в ее части) или ароматическому кольцу, имеющему 1-4 гетероатома, выбранных из атома кислорода, атома азота и атома серы, иного, чем атом углерода как атом, образующий кольцо, где число атомов, образующих кольцо, составляет 3-14. «Гетероциклическая группа» может быть моноциклической или может образовывать конденсированное кольцо с циклоалкильным кольцом, таким как циклогексильное кольцо, ароматическим углеводородным кольцом, таким как бензольное кольцо или другим гетероциклическим кольцом.
Термин «5-7-членная насыщенная гетероциклическая группа» относится к «гетероциклической группе», содержащей 5-7-членное, предпочтительно 5- или 6-членное насыщенное кольцо.
Термин «гетероциклическая группа», который представляет собой моноцикл, включает, например, пиридильную группу, пиразинильную группу, пиримидинильную группу, пиридазинильную группу, 1,3,5-триазинильную группу, пирролильную группу, пиразолильную группу, имидазолильную группу, 1,2,4-триазолильную группу, тетразолильную группу, тиенильную группу, фурильную группу, оксазолильную группу, изоксазолильную группу, тиазолильную группу, изотиазолильную группу, тиадиазолильную группу, пирролинильную группу, пирролидинильную группу, имидазолидинильную группу, пиперидильную группу, пиперазинильную группу, морфолинильную группу, тиоморфолинильную группу, тетрагидропиранильную группу и т.д.
«Гетероциклическая группа, которая является моноциклом», упомянутая выше, может быть «ароматической гетероциклической группой» или может быть насыщенным кольцом (который может иметь двойную связь в его части). Термин «насыщенная гетероциклическая группа», как используют в настоящем описании, представляет собой так называемую гетероциклическую группу, не содержащую двойную связь, так же как гетероциклическую группу, имеющую двойную связь в его части. Примеры указанных «насыщенных гетероциклических групп» включают пирролидинильную группу (например, 2-пирролидинильная группа, 3-пирролидинильная группа), пирролинильную группу (например, 2-пирролидин-3-ил), имидазолильную группу (например, 2-имидазолин-4-ил), пиперидильную группу (например, 2-пиперидильная группа, 3-пиперидильная группа), пиперазинильную группу (например, 2-пиперазинильная группа), морфолинильную группу (например, 3-морфолинильная группа), тетрагидрофурильную группу, тетрагидротиенильную группу, пиразолидинильную группу, 1,3-диоксоланильную группу, 1,3-оксатиоланильную группу, оксазолидинильную группу, тиазолидинильную группу, тетрагидропиранильную группу, тетрагидротиопиранильную группу, диоксанильную группу, морфолинильную группу, тиоморфолинильную группу, 2-оксопирролидинильную группу, 2-оксопиперидинильную группу, 4-оксопиперидинильную группу, 2,6-диoксопиперидинильную группу и т.д.
Термин «ароматическая гетероциклическая группа (гетероарильная группа)» относится к 5-7-членной, предпочтительно 5- или 6-членной моноциклической ароматической гетероциклической группе или бициклической или трициклической ароматической гетероциклической группе, в которой такой моноцикл является конденсированным с другими кольцами, где гетероциклическая группа содержит, например, от 1 дo 5, предпочтительно от 1 дo 4 гетероатомов, выбранных из атома кислорода, атома азота и атома серы, отличных от атома углерода, который образует кольцо.
Предпочтительные примеры такой «ароматической гетероциклической группы» (гетероарильная группа) включают фурильную группу (например, 2-фурил, 3-фурил), тиенильную группу (например, 2-тиенил, 3-тиенил), пиридильную группу (например, 2-пиридил, 3-пиридил, 4-пиридил), пиримидинильную группу (например, 2-пиримидинил, 4-пиримидинил, 5-пиримидинил, 6-пиримидинил), пиридазинильную группу (например, 3-пиридазинил, 4-пиридазинил), пиразинильную группу (например, 2-пиразинил), пирролильную группу (например, 1-пирролил, 2-пирролил, 3-пирролил), имидазолильную группу (например, 1-имидазолил, 2-имидазолил, 4-имидазолил, 5-имидазолил), пиразолильную группу (например, 1-пиразолил, 3-пиразолил, 4-пиразолил), оксазолильную группу (например, 2-оксазолил, 4-оксазолил, 5-оксазолил), изоксазолильную группу, тиазолильную группу (например, 2-тиазолил, 4-тиазолил, 5-тиазолил), изотиазолильную группу, оксадиазолильную группу (например, 1,2,4-оксадиазол-5-ил, 1,3,4- оксадиазол-2-ил), тиадиазолильную группу (например, 1,3,4- тиадиазол-2-ил), триазолильную группу (например, 1,2,4-триазол-1-ил, 1,2,4-триазол-3-ил, 1,2,3-триазол-1-ил, 1,2,3-триазол-2-ил, 1,2,3-триазол-4-ил), тетразолильную группу (например, тетразол-1-ил, тетразол-5-ил), хинолильную группу (например, 2-хинолил, 3-хинолил, 4-хинолил), хиназолильную группу (например, 2-хиназолил, 4-хиназолил), хиноксалильную группу (например, 2-хиноксалил), бензофурил (например, 2-бензофурил, 3-бензофурил), бензотиенильную группу (например, 2-бензотиенил, 3-бензотиенил), бензоксазолильную группу (например, 2-бензоксазолил), бензотиазолильную группу (например, 2-бензотиазолил), бензимидазолильную группу (например, бензимидазол-1-ил, бензимидазол-2-ил), индолильную группу (например, индол-1-ил, индол-3-ил), 1H-индазолильную группу (например, 1H-индазол-3-ил), 1H-пирроло[2,3-b]пиразинильную группу (например, 1H-пирроло[2,3-b]пиразин-2-ил), 1H-пирролопиридинильную группу (например, 1H-пирроло[2,3-b]пиридин-6-ил), 1H-имидазопиридинильную группу (например, 1H-имидазо[4,5-b]пиридин-2-ил, 1H-имидазо[4,5-c]пиридин-2-ил), 1H-имидазопиразинильную группу (например, 1H-имидазо[4,5-b]пиразин-2-ил), триазинильную группу, изохинолильную группу, бензоксадиазолильную группу, бензотиадиазолильную группу, бензотриазолильную группу и т.д.
Термин «5- или 6-членная ароматическая гетероциклическая группа или насыщенная гетероциклическая группа» в особенности включает пиридильную группу, пиразинильную группу, пиримидинильную группу, пиридазинильную группу, 1,3,5-триазинильную группу, пирролильную группу, пиразолильную группу, имидазолильную группу, 1,2,4-триазолильную группу, тетразолильную группу, тиенильную группу, фурильную группу, оксазолильную группу, изоксазолильную группу, тиазолильную группу, изотиазолильную группу, тиадиазолильную группу, пирролидинильную группу, пиперидильную группу, пиперазинильную группу и т.д.
«Конденсированная гетероциклическая группа», упомянутая выше, может быть частично насыщенной, и примеры частично насыщенного конденсированного гетероцикла включают изохроманильную группу (например, 3-изохроманил, и т.д.), индолинильную группу (например, 2-индолинил и т.д.), изоиндолинильную группу (например, 1-изоиндолинил и т.д.), 1,2,3,4-тетрагидро-2-хинолильную группу, 1,2,3,4-тетрагидро-3-изохинолильную группу и т.д.
Предпочтительные примеры «конденсированной ароматической гетероциклической группы» или «конденсированной гетероциклической группы» включают бензофуранильную группу, изобензофуранильную группу, бензо[b]тиенильную группу, индолильную группу, изоиндолильную группу, 1H-индазолильную группу, бензимидазолильную группу, бензоксазолильную группу, бензотиазолильную группу, 1H-бензотриазолильную группу, хинолильную группу, изохинолильную группу, циннолильную группу, хиназолильную группу, хиноксалинильную группу, фталазильную группу, нафтиридинильную группу, пуринильную группу, птеридинильную группу, карбазолильную группу, -карбонилильную группу, -карбонилильную группу, акридинильную группу, феноксазинильную группу, фенoтиазинильную группу, фенaзинильную группу, феноксатиинильную группу, тиантренильную группу, индолизинильную группу, 5,6,7,8-тетрагидрохинолильную группу, пирроло[1,2-b]пиридазинильную группу, пиразолo[1,5-а]пиридильную группу, имидазо[1,2-а]пиридильную группу, имидазо[1,5-а]пиридильную группу, имидазо[1,2-b]пиридазинильную группу, имидазо[1,2-а]пиримидинильную группу, 1,2,4-триазолo[4,3-а]пиридильную группу, 1,2,4-триазолo[4,3-b]пиридазинильную группу и т.д.
Термин «гетероциклоалкильная группа» является тем же самым термином, что и термин «насыщенная гетероциклическая группа».
Термин «C7-11 спирогетероциклоалкильная группа» относится к группе, в которой гетероциклоалкильная группа, упомянутая выше, образует спиросвязь с C3-8 циклоалкильной группой, упомянутой выше, или гетероциклоалкильной группой, упомянутой выше, и, например, включает азаспиро[2.3]гексильную группу, азаспиро[2.4]гептильную группу, азаспиро[3.4]октильную группу, азаспиро[2.5]октильную группу, азаспиро[3.5]нонильную группу, азаспиро[4.4]нонильную группу, азаспиро[4.5]деканильную группу, азаспиро[5.5]ундеканильную группу и т.д.
Термин «C1-6 алкилиденовая группа» относится к группе, которая образована путем удаления двух атомов водорода от одного атома углерода алкана, и свободная валентность становится частью двойной связи, и включает, например, метилидин, этилиден, пропилиден, бутилиден, пентилиден, гексилиден и т.д.
Определение каждого термина является тем, как заявлено выше, и особенно предпочтительными являются нижеследующие. Кроме того, замещение может происходить как одинаковыми, так и различными двумя или более заместителями.
X1, X2 и X3 предпочтительно представляют собой -CH=, =C(R3)- и -CH= соответственно.
Для Y1 и Y2 либо один из Y1 и Y2R предпочтительно является атомом азота и более предпочтительно оба представляют собой атомы углерода (-CH=) одновременно.
Предпочтительно R представляет собой атом водорода.
R3 предпочтительно представляет собой атом галогена, гидроксильную группу или C1-6 алкильную группу (где алкильная группа может быть замещена алкоксикарбонильной группой или C1-6 алкоксигруппой), особенно предпочтительно это касается C1-6 алкильной группы (где алкильная группа может быть замещена алкоксикарбонильной группой или C1-6 алкоксигруппой), и еще более предпочтительно это касается метильной группы.
Предпочтительно R5 представляет собой атом водорода.
R6 и R6‘ предпочтительно представляют собой атомы водорода или C1-6 алкильные группы и особенно предпочтительно представляют собой атомы водорода.
R7 особенно предпочтительно представляют собой Re, Rg или Rh.
«p» в Ra и Rb является целым числом от 1 до 6 и предпочтительно целым числом от 1 до 4. Особенно, когда p равен 1 в Ra, Ra2 предпочтительно представляет собой заместитель, иной, чем атом водорода, и когда p равен 2 или более, заместитель -O-Ra3 предпочтительно присоединен в положении от 2-го дo 6-го группы -CpH2(p-1)(Rb1)(Rb2)-.
Аналогично, когда p равен 1 в Rb, Rb2 предпочтительно представляет собой заместитель, иной, чем атом водорода, и когда p равен 2 или более, заместитель -N-(Rb3)(Rb4)3 предпочтительно присоединен в положении от 2-го дo 6-го группы
-CpH2(p-1)(Rb1)(Rb2)-.
В Ra предпочтительно Ra1 представляет собой атом водорода и предпочтительно Ra2 представляет собой C1-6 алкильную группу, aралкильную группу или арильную группу (где указанная C1-6 алкильная группа, aралкильная группа и арильная группа могут быть замещены заместителем, выбранным из гидроксильной группы или карбоксигруппы), и предпочтительно Ra3 представляет собой атом водорода, ацильную группу, карбамоильную группу, представленную -CON(Ra31)(Ra32) или C1-6 алкильной группой (где алкильная группа может быть замещена C1-6 алкоксикарбонильной группой или -CON(Ra31)(Ra32)).
Что касается Ra31 и Ra32, в особенности 5- или 6-членная насыщенная гетероциклическая группа совместно со смежным атомом азота и имеющая один или более атомов азота может служить примером насыщенной гетероциклической группы, как показано ниже:

В Rb предпочтительно Rb1 представляет собой атом водорода, и предпочтительно
Rb2 представляет собой фенильную группу, которая может быть замещена C1-6 алкильной группой, которая может быть замещена заместителем, выбранным из группы Ca или гидроксильной группой, и предпочтительно Rb3 представляет собой атом водорода или C1-6 алкильную группу, и предпочтительно Rb4 представляет собой атом водорода, ацильную группу, которая может быть замещена гидроксильной группой или C1-6 алкилсульфонильной группой.
Rc1, который особенно предпочтителен в Rc, представляет собой гидроксильную группу или C1-6 алкоксигруппу (где C1-6 алкоксигруппа может быть замещена гидроксильной группой или C1-6 алкоксигруппой).
Rd1, который предпочтителен в Rd, представляет собой C1-6 алкильную группу, C1-6 алкоксигруппу или -N(Rd11)(Rd12). Кроме того, Rd11 и Rd12 предпочтительно в настоящем описании представляют собой атомы водорода, C1-6 алкоксигруппы или C1-6 алкильные группы (где C1-6 алкильная группа может быть замещена гидроксильной группой или карбоксигруппой).
Предпочтительно как кольцо A в Re является следующим.
Особенно предпочтительные примеры для «5-6-членной насыщенной гетероциклической группы, имеющей от одного до двух гетероатомов» в Re включают следующие насыщенные гетероциклические группы

Еще более конкретно включают следующие группы

Из указанных групп особенно предпочтительными являются следующие насыщенные гетероциклические группы, которые непосредственно связаны с тиазольным кольцом или тиофеновым кольцом соединения, указанной выше общей формулы (I) через атом азота, формирующий указанные насыщенные гетероциклические кольца

Предпочтительные примеры «5- или 6-членной насыщенной гетероциклической группы, имеющей от 1 дo 4 гетероатомов» в Re включают следующие ароматические гетероциклические группы

Предпочтительные примеры «9-12-членной конденсированной ароматической гетероциклической группы, имеющей 1 или 2 гетероатома, которая может быть частично насыщенной» в Re, включают следующие конденсированные ароматические гетероциклические группы

Следующее конденсированное кольцо является также включенным

Особенно предпочтительные примеры «C3-8 циклоалкильной группы» в Re включают следующую циклоалкильную группу.

Предпочтительные примеры «C7-11 спирогетероциклоалкильной группы, имеющей 1 или 2 гетероатома» в Re, включают следующую спирогетероциклоалкильную группу

Заместители для кольца A являются такими, как показано в группе Ea. Предпочтительно заместителями для кольца A являются следующие.
Предпочтительные примеры для -ORe1 включают
· гидроксильную группу,
· C1-6 алкильную группу, где C1-6 алкильная группа может быть замещена карбоксигруппой или -CON(Re11)(Re12) (где Re11 и Re12 могут быть одинаковыми или различными и каждый представляет собой атом водорода или C1-6 алкильную группу),
· ацилoксигруппу,
· аралкоксигруппу или
· карбамоилoксигруппу.
Предпочтительные примеры для -COORe2 включают
· карбоксигруппу или
· C1-6 алкоксикарбонильную группу.
Предпочтительные примеры для -CO-N(Re41)(Re42) включают
-CO-NO(Re41)(Re42), где Re41 и Re42 могут быть одинаковыми или различными и каждый представляет собой
· атом водорода,
· C1-6 алкильную группу, где C1-6 алкильная группа может быть замещена заместителем, выбранным из гидроксильной группы, C1-6 алкоксигруппы, аминогруппы, C1-6 алкиламиногруппы, ди-C1-6 алкиламиногруппы, атома галогена, карбоксигруппы, карбамоильной группы, C1-6 алкилкарбамоильной группы, ди-C1-6 алкилкарбамоильной группы или 5- или 6-членной насыщенной гетероциклической группы или ароматической гетероциклической группы, имеющей 1 или 2 гетероатома,
· гидроксильную группу,
· C1-6 алкоксигруппу,
· C5-6 циклоалкильную группу, где C5-6 циклоалкильная группа может быть замещена гидроксильной группой или C1-6 алкильной группой, где C1-6 алкильная группа может быть замещена гидроксильной группой; или
· C1-6 алкилсульфонильную группу.
Особенно предпочтительной является карбамоильная группа.
Предпочтительные примеры для -CORe3 включают
-CORe3, где Re3 представляет собой
· C1-6 алкильную группу, где C1-6 алкильная группа может быть замещена заместителем, выбранным из гидроксильной группы, карбоксигруппы, C1-6 алкоксикарбонильной группы и C1-6 алкилсульфонильной группы,
· 5- или 6-членную насыщенную гетероциклическую группу или ароматическую гетероциклическую группу, имеющую 1 или 2 гетероатома, где насыщенная гетероциклическая группа и ароматическая гетероциклическая группа могут быть замещены заместителем, выбранным из гидроксильной группы, оксогруппы, карбоксигруппы, C1-6 алкоксигруппы, где C1-6 алкоксигруппа может быть замещена карбамоильной группой, карбамоильной группой, где карбамоильная группа может быть замещена гидроксильной группой, ацильной группой, ацилoксигруппой, аминогруппой, ациламиногруппой, где ациламиногруппа может быть замещена гидроксильной группой или карбамоильной группой, C1-6 алкиламиногруппой, ди-C1-6 алкиламиногруппой, C1-6 алкилсульфониламиногруппой, 5- или 6-членной насыщенной гетероциклической группой или ароматической гетероциклической группой и C1-6 алкильной группой, где C1-6 алкильная группа может быть замещена гидроксильной группой, C1-6 алкоксигруппой, где C1-6 алкоксигруппа может быть замещена карбамоильной группой, ациламиногруппой и карбамоильной группой, или
· C5-6 циклоалкильную группу или арильную группу, где C5-6 циклоалкильная группа и арильная группа могут быть замещены гидроксильной группой, oксогруппой, C1-6 алкоксигруппой, карбамоильной группой, ациламиногруппой, оксиминогруппой или ацилoксигруппой.
Кроме того, предпочтительные примеры «5- или 6-членной насыщенной гетероциклической группы, имеющей 1 или 2 гетероатома» в указанном выше Re3, включают следующие гетероциклические группы

Кроме того, предпочтительные примеры «5- или 6-членной ароматической гетероциклической группы, имеющей 1 или 2 гетероатома» в указанном выше Re3, включают следующие гетероциклические ароматические группы

Кроме того, предпочтительные примеры для -CORe3 в указаннoм выше Re3 включают следующие


Предпочтительные примеры для -N(Re51)(Re52) включают
-N(Re51)(Re52), где Re51 и Re52 могут быть одинаковыми или различными и каждый представляет собой
· атом водорода,
· C1-6 алкилсульфонильную группу,
· C1-6 алкильнуюгруппу, где C1-6 алкильная группа может быть замещена заместителем, выбранным из гидроксильной группы, C1-6 алкоксигруппы и карбамоильной группы,
· -CON(Re11)(Re12),
где Re11 и Re12 имеют значения, указанные выше,
· -CORe511,
где Re511 представляет собой 5- или 6-членную насыщенную гетероциклическую группу, содержащую, по крайней мере, один атом азота, C1-6 алкильную группу (где
C1-6 алкильная группа может быть замещена гидроксильной группой) или C5-6 циклоалкильную группу, где циклоалкильная группа может быть замещена гидроксильной группой.
Предпочтительные примеры для C1-6 алкильной группы включают
C1-6 алкильные группы, которые могут быть замещены
· гидроксильной группой,
· C1-6 алкоксигруппой, C1-6 алкильная группа в C1-6 алкоксигруппе может быть замещена карбоксигруппой или -CO-N(Re11)(Re12), и Re11 и Re12 имеют значения, указанные выше;
· -COORe2,
где Re2 имеет значение, указанное выше,
· -N(Re51)(Re52),
где Re51 и Re52 имеют значения, указанные выше,
· -CO-N(Re51)(Re52),
где Re51 и Re52 имеют значения, указанные выше,
· атомом галогена или
· 5- или 6-членной насыщенной гетероциклической группой, имеющей 1 или 2 гетероатома, где насыщенная гетероциклическая группа может быть замещена гидроксильной группой или C1-6 алкильной группой.
Особенно предпочтительной является C1-6 алкильная группа, замещенная -COORe2, например карбоксиметильной группой или незамещенной метильной группой.
Предпочтительные примеры для 5-6-членной насыщенной гетероциклической группы (которая может быть частично насыщенной), содержащей 1 или 2 гетероатома, выбранных из атома азота и из атома кислорода, или ароматической гетероциклической группы, содержащей от 1 дo 4 гетероатомов, выбранных из атома азота и из атома кислорода, где насыщенная гетероциклическая группа и ароматическая гетероциклическая группа могут быть замещены оксогруппой или C1-6 алкильной группой, включают

Кроме того, предпочтительные заместители для кольца A представляют собой оксогруппу, C1-6 алкилсульфонильную группу и цианогруппу.
k и l в линкере «A» группы Rg предпочтительно имеют значение 1 или 2, и k+l имеет значение от 2 до 4.
Кроме того, предпочтительно кольцо B в Rg является следующим.
Предпочтительные примеры «арильной группы» в Rg включают фенильную группу.
Предпочтительные примеры «C3-8 циклоалкильной группы» в Rg включают следующие C3-8 циклоалкильные группы:

Предпочтительные примеры «5-7-членной насыщенной гетероциклической группы, имеющей один или более атомов азота» в Rg, включают следующие насыщенные гетероциклические группы:


Предпочтительные примеры «5-6-членной ароматической гетероциклической группы, имеющей, по крайней мере, один гетероатом» в Rg, включают следующие ароматические гетероциклические группы:

Предпочтительные примеры «8-11-членной конденсированной ароматической гетероциклической группы, имеющей, по крайней мере, один гетероатом» в Rg, включают следующие конденсированные ароматические гетероциклические группы:

Rh1 в Rh предпочтительно представляет собой атом водорода или C1-6 алкильную группу.
Кроме того, предпочтительными являются «ароматическая карбоциклическая кольцевая группа», «5-6-членная ароматическая гетероциклическая группа, имеющая 1 или 2 гетероатома», «C3-8 циклоалкильная группа» и «5-6-членная насыщенная гетероциклическая группа, имеющая 1 или 2 гетероатома» в группе Ja для Rh2. Особенно предпочтительной является «C3-8 циклоалкильная группа».
Предпочтительные примеры «ароматической карбоциклической группы» в группе Ja для Rh2 включают фенильные группы.
Предпочтительные примеры «5-6-членной ароматической гетероциклической группы, имеющей 1 или 2 гетероатома» в группе Ja для Rh2 включают следующие ароматические гетероциклические группы:

Предпочтительные примеры «5-6-членной насыщенной гетероциклической группы, имеющей 1 или 2 гетероатома» в группе Ja для Rh2, включают следующие насыщенные гетероциклические группы

Предпочтительные примеры «C3-8 циклоалкильной группы» в (5) для Rh2 включают циклогексильную группу. Особенно предпочтительной является циклогексильная группа, замещенная карбоксигруппой.
Предпочтительные примеры «5-6-членной насыщенной гетероциклической группы, имеющей 1 или 2 гетероатома» в (6) для Rh2, включают следующие насыщенные гетероциклические группы:

Определение каждого термина описано выше, но для каждого символа X1, X2, X3, Z, Y1, Y2, R, R1, R5, R6, R7 и различных заместителей определено его более узкое понятие в общей формуле (I), как «предпочтительно X1, X2, X3, Z, Y1, Y2, R, R1, R5, R6, R7 и различных заместителях», которое дано в конкретных нижеследующих примерах (например, «метильная группа, этильная группа», «фенильная группа, нафтильная группа»), и особенно предпочтительными являются значения X1, X2, X3, Z, Y1, Y2, R, R1, R5, R6, R7 и различных заместителей, производных от групп соединений, которые демонстрируют среди них особенно высокую ингибиторную активность
(более чем ++).
Предпочтительные примеры соединений по настоящему изобретению включают следующие соединения, где число в скобках представляет собой номер соединения, упомянутого в примерах:
1-метил-4-{5-[6-(4-метилпиридин-2-иламино)пиридин-2-ил]тиазол-2-ил}пиридин-2-он (соединение A-1),
1-{5-[6-(4-метилпиридин-2-иламино)пиридин-2-ил]тиазол-2-ил}пиперидин-4-карбоновая кислота (соединение A-2),
1-{5-[6-(4-метилпиридин-2-иламино)пиридин-2-ил]тиазол-2-ил}пиперидин-4-карбоксамид (соединение A-3),
N-метил-1-{5-[6-(4-метилпиридин-2-иламино)пиридин-2-ил]тиазол-2-ил}пиперидин-4-карбоксамид (соединение A-4),
N-(2-гидроксиэтил)-1-{5-[6-(4-метилпиридин-2-иламино)пиридин-2-ил]тиазол-2-ил}пиперидин-4-карбоксамид (соединение A-5),
метиловый эфир транс-4-{5-[6-(4-метилпиридин-2-иламино)пиридин-2-ил]тиазол-2-ил}циклогексанкарбоновой кислоты (соединение A-6),
транс-4-{5-[6-(4-метилпиридин-2-иламино)пиридин-2-ил]тиазол-2-ил}циклогексанкарбоновая кислота (соединение A-7),
(4-гидроксипиперидин-1-ил)-(транс-4-{5-[6-(4-метилпиридин-2-иламино)пиридин-2-ил]тиазол-2-ил}циклогексил)метанон (соединение A-8),
N-((S)-1-{5-[6-(4-метилпиридин-2-иламино)пиридин-2-ил]тиазол-2-ил}этил)амин (соединение A-9),
N-((S)-1-{5-[6-(4-метилпиридин-2-иламино)пиридин-2-ил]тиазол-2-ил}этил)ацетамид (соединение A-10),
(S)-3-метил-4-{5-[6-(4-метилпиридин-2-иламино)пиридин-2-ил]тиазол-2-ил}оксазолидин-2-он (соединение A-11),
трет-бутиловый эфир (S)-2,2-диметил-4-{5-[6-(4-метилпиридин-2-иламино)пиридин-2-ил]тиазол-2-ил}оксазолидин-3-карбоновой кислоты (соединение A-12),
(S)-2-амино-2-{5-[6-(4-метилпиридин-2-иламино)пиридин-2-ил]тиазол-2-ил}этанол (соединение A-13),
(S)-4-{5-[6-(4-метилпиридин-2-иламино)пиридин-2-ил]тиазол-2-ил}оксазолидин-2-он (соединение A-14),
дигидрохлорид (1-{5-[6-(4-метилпиридин-2-иламино)пиридин-2-ил]тиазол-2-ил}пиперидин-4-ил)уксусной кислоты (соединение A-15),
транс-4-[(N-метил-N-{5-[6-(4-метилпиридин-2-иламино)пиридин-2-ил]тиазол-2-ил}амино)метил]
циклогексанкарбоновая кислота (соединение A-16),
3-(1-{5-[6-(4-метилпиридин-2-иламино)пиридин-2-ил]тиазол-2-ил}пиперидин-4-ил)пропионовая кислота (соединение A-17),
2-метил-2-(1-{5-[6-(4-метилпиридин-2-иламино)пиридин-2-ил]тиазол-2-ил}пиперидин-4-ил)пропионовая кислота (соединение A-18),
N-{4-метил-5-[6-(4-метилпиридин-2-иламино)пиридин-2-ил]тиазол-2-ил}пропионамид (соединение A-19),
N-{4-метил-5-[6-(4-метилпиридин-2-иламино)пиридин-2-ил]тиазол-2-ил}ацетамид (соединение A-20),
N-{4-метил-5-[6-(4-метилпиридин-2-иламино)пиразин-2-ил]тиазол-2-ил}ацетамид (соединение A-21),
этиловый эфир (S)-1-{5-[6-(4-метилпиридин-2-иламино)пиридин-2-ил]тиазол-2-ил}уксусной кислоты (соединение A-25),
(S)-1-{5-[6-(4-метилпиридин-2-иламино)пиридин-2-ил]тиазол-2-ил}этанол (соединение A-26),
1-{5-[6-(4-метилпиридин-2-иламино)пиридин-2-ил]тиазол-2-ил}этанон (соединение A-27),
этиловый эфир 5-[6-(4-метилпиридин-2-иламино)пиридин-2-ил]тиазол-2-карбоновой кислоты (соединение A-28),
оксим 1-{5-[6-(4-метилпиридин-2-иламино)пиридин-2-ил]тиазол-2-ил}этанона (соединение A-30),
(S)-5-{5-[6-(4-метилпиридин-2-иламино)пиридин-2-ил]тиазол-2-ил}дигидрофуран-2-он (соединение A-33),
O-(2-гидроксиэтил)оксим 1-{5-[6-(4-метилпиридин-2-иламино)пиридин-2-ил]тиазол-2-ил}этанона (соединение A-35),
N-метокси-N-метил-5-[6-(4-метилпиридин-2-иламино)пиридин-2-ил]тиазол-2-карбоксамид (соединение A-46),
N-метил-5-[6-(4-метилпиридин-2-иламино)пиридин-2-ил]тиазол-2-карбоксамид (соединение A-47),
N-метил-((S)-1-{5-[6-(4-метилпиридин-2-иламино)пиридин-2-ил]тиазол-2-ил}этил)ацетамид (соединение A-52),
(S)-5-{5-[6-(4-метилпиридин-2-иламино)пиридин-2-ил]тиазол-2-ил}пирролидин-2-он (соединение A-55),
5-{5-[6-(4-метилпиридин-2-иламино)пиридин-2-ил]тиазол-2-ил}пентановая кислота (соединение A-69),
5-{5-[6-(4-метилпиридин-2-иламино)пиридин-2-ил]тиазол-2-ил}пентан-1-ол (соединение A-70),
5-{5-[6-(4-метилпиридин-2-иламино)пиридин-2-ил]тиазол-2-ил}пентанамид (соединение A-71),
4-{5-[6-(4-метилпиридин-2-иламино)пиридин-2-ил]тиазол-2-ил}циклогексанол (соединение A-73),
оксим 4-{5-[6-(4-метилпиридин-2-иламино)пиридин-2-ил]тиазол-2-ил}циклогексанона (соединение A-74),
N-{6-[2-((S)-1-аминоэтил)тиазол-5-ил]пиридин-2-ил}-N-([4,4′]бипиридинил-2-ил)амин (соединение A-75),
N-((S)-1-{5-[6-([4,4′]бипиридинил-2-иламино)пиридин-2-ил]тиазол-2-ил}этил)ацетамид (соединение A-79),
N-((S)-1-{5-[6-(4-хлорпиридин-2-иламино)пиридин-2-ил]тиазол-2-ил}этил)ацетамид (соединение A-81),
(S)-2-метил-1-{5-[6-(4-метилпиридин-2-иламино)пиридин-2-ил]тиазол-2-ил}пропан-1-ол (соединение A-82),
N-((S)-1-{5-[6-(изохинолин-3-иламино)пиридин-2-ил]тиазол-2-ил}этил)ацетамид (соединение A-91),
(4-метилпиридин-2-ил)-[6-(2-пиперидин-4-илтиазол-5-ил)пиридин-2-ил]амин (соединение A-92),
транс-4-{5-[6-(4-метилпиридин-2-иламино)пиридин-2-ил]тиазол-2-ил}циклогексанкарбоксамид (соединение A-111),
5-{5-[6-(4-метилпиридин-2-иламино)пиридин-2-ил]тиазол-2-ил}пентиламин (соединение A-128),
4-{5-[6-(4-метилпиридин-2-иламино)пиридин-2-ил]тиазол-2-ил}бутан-1-ол (соединение A-132),
4-(2-{5-[6-(4-метилпиридин-2-иламино)пиридин-2-ил]тиазол-2-ил}этил)фенол (соединение A-135),
2-гидрокси-N-((S)-1-{5-[6-(4-метилпиридин-2-иламино)пиридин-2-ил]тиазол-2-ил}этил)ацетамид (соединение A-147),
3-({5-[6-(4-метилпиридин-2-иламино)пиридин-2-ил]тиазол-2-карбонил}амино)пропионовая кислота (соединение A-148),
4-(2-{5-[6-(4-метилпиридин-2-иламино)пиридин-2-ил]тиазол-2-ил}этил)бензойная кислота (соединение A-151),
1-{5-[6-(4-метилпиридин-2-иламино)пиридин-2-ил]тиазол-2-илметил}пиперидин-4-ол (соединение A-152),
3,3-диметил-4-{5-[6-(4-метилпиридин-2-иламино)пиридин-2-ил]тиазол-2-ил}бутан-1-ол (соединение A-158),
[4-(2-{5-[6-(4-метилпиридин-2-иламино)пиридин-2-ил]тиазол-2-ил}этил)фенил]метанол (соединение A-159),
N-((R)-(4-гидроксифенил)-{5-[6-(4-метилпиридин-2-иламино)пиридин-2-ил]тиазол-2-ил}метил)ацетамид (соединение A-161),
N-(2-гидроксиэтил)-4-(2-{5-[6-(4-метилпиридин-2-иламино)пиридин-2-ил]тиазол-2-ил}этил)бензамид (соединение A-162),
4-(2-{5-[6-(4-метилпиридин-2-иламино)пиридин-2-ил]тиазол-2-ил}этил)циклогексанон (соединение A-172),
4-(2-{5-[6-(4-метилпиридин-2-иламино)пиридин-2-ил]тиазол-2-ил}этил)циклогексанол (соединение A-173),
((3R,4S)-3,4-дигидроксипирролидин-1-ил)-(транс-4-{5-[6-(4-метилпиридин-2-иламино)пиридин-2-ил]тиазол-2-ил}циклогексил)метанон (соединение A-174),
(транс-4-{5-[6-(4-метилпиридин-2-иламино)пиридин-2-ил]тиазол-2-ил}циклогексил)-(пиперазин-1-ил)
метанон (соединение A-176),
4-{5-[6-(4-метилпиридин-2-иламино)пиридин-2-ил]тиазол-2-ил}пиперидин-1-карбоксамид (соединение A-182),
2-гидрокси-1-(4-{5-[6-(4-метилпиридин-2-иламино)пиридин-2-ил]тиазол-2-ил}пиперидин-1-ил)этанон (соединение A-187),
транс-4-{5-[6-(4-метоксипиридин-2-иламино)пиридин-2-ил]тиазол-2-ил}циклогексанкарбоновая кислота (соединение A-188),
гидрохлорид 3-(4-{5-[6-(4-метилпиридин-2-иламино)пиридин-2-ил]тиазол-2-ил}пиперидин-1-ил)-3-оксопропионовой кислоты (соединение A-192),
N-(4-метилпиридин-2-ил)-N-{6-[2-(пиперазин-1-илметил)тиазол-5-ил]пиридин-2-ил}амин (соединение A-194),
1-{5-[6-(4-метилпиридин-2-иламино)пиридин-2-ил]тиазол-2-илметил}пиперидин-4-иламин (соединение A-197),
N-{5-[6-(4-метилпиридин-2-иламино)пиридин-2-ил]тиазол-2-илметил}метансульфонамид (соединение A-200),
N-(транс-4-{5-[6-(4-метилпиридин-2-иламино)пиридин-2-ил]тиазол-2-ил}циклогексил)ацетамид (соединение A-202),
транс-4-{5-[6-(4-хлорпиридин-2-иламино)пиридин-2-ил]тиазол-2-ил}циклогексанкарбоновая кислота (соединение A-204),
2-{5-[6-(4-метилпиридин-2-иламино)пиридин-2-ил]тиазол-2-ил}этанол (соединение A-205),
(транс-4-{5-[6-(4-метилпиридин-2-иламино)пиридин-2-ил]тиазол-2-ил}циклогексил)метанол (соединение A-211),
транс-4-{5-[6-(изохинолин-3-иламино)пиридин-2-ил]тиазол-2-ил}циклогексанкарбоновая кислота (соединение A-215),
транс-4-{5-[6-(4-метилпиридин-2-иламино)пиридин-2-ил]тиазол-2-ил}циклогексилметиламин (соединение A-219),
((3R,4S)-3,4-дигидроксипирролидин-1-ил)-[4-(2-{5-[6-(4-метилпиридин-2-иламино)пиридин-2-ил]тиазол-2-ил}этил)фенил]метанон (соединение A-223),
N-(транс-4-{5-[6-(4-метилпиридин-2-иламино)пиридин-2-ил]тиазол-2-ил}циклогексилметил)ацетамид (соединение A-228),
N-(транс-4-{5-[6-(4-метилпиридин-2-иламино)пиридин-2-ил]тиазол-2-ил}циклогексилметил)
метансульфонамид (соединение A-229),
2-гидрокси-N-(транс-4-{5-[6-(4-метилпиридин-2-иламино)пиридин-2-ил]тиазол-2-ил}циклогексилметил)ацетамид (соединение A-235),
2-гидрокси-N-[4-(2-{5-[6-(4-метилпиридин-2-иламино)пиридин-2-ил]тиазол-2-ил}этил)фенил]ацетамид (соединение A-237),
((3R,4S)-3,4-дигидроксипиперидин-1-ил)-(транс-4-{5-[6-(4-метилпиридин-2-иламино)пиридин-2-ил]тиазол-2-ил}циклогексил)метанон (соединение A-239),
((R)-3-гидроксипирролидин-1-ил)-(транс-4-{5-[6-(4-метилпиридин-2-иламино)пиридин-2-ил]тиазол-2-ил}циклогексил)метанон (соединение A-241),
(4-{5-[6-(4-метилпиридин-2-иламино)пиридин-2-ил]тиазол-2-илметил}фенил)метанол (соединение A-243),
N-(4-метилпиридин-2-ил)-N-[6-(2-пиридин-3-илметилтиазол-5-ил)пиридин-2-ил]амин (соединение A-248),
N-(4-метилпиридин-2-ил)-N-{6-[2-(2-пиперидин-4-илэтил)тиазол-5-ил]пиридин-2-ил}амин (соединение A-258),
N-(6-{2-[2-(1-метансульфонилпиперидин-4-ил)этил]тиазол-5-ил}пиридин-2-ил)-N-(4-метилпиридин-2-ил)амин (соединение A-260),
2-гидрокси-1-[4-(2-{5-[6-(4-метилпиридин-2-иламино)пиридин-2-ил]тиазол-2-ил}этил)пиперидин-1-ил]этанон (соединение A-263),
N-(2-гидроксиэтил)-транс-4-{5-[6-(4-метилпиридин-2-иламино)пиридин-2-ил]тиазол-2-ил}циклогексанкарбоксамид (соединение A-267),
N-(2-морфолин-4-илэтил)-транс-4-{5-[6-(4-метилпиридин-2-иламино)пиридин-2-ил]тиазол-2-ил}циклогексанкарбоксамид (соединение A-268),
[3-(2-{5-[6-(4-метилпиридин-2-иламино)пиридин-2-ил]тиазол-2-ил}этил)фенил]метанол (соединение A-277),
(3-гидроксипирролидин-1-ил)-(транс-4-{5-[6-(4-метилпиридин-2-иламино)пиридин-2-ил]тиазол-2-ил}циклогексил)метанон (соединение A-282),
4-(транс-4-{5-[6-(4-метилпиридин-2-иламино)пиридин-2-ил]тиазол-2-ил}циклогексанкарбонил)
пиперазин-2-он (соединение A-283),
((R)-2-гидроксиметилпирролидин-1-ил)-(транс-4-{5-[6-(4-метилпиридин-2-иламино)пиридин-2-ил]тиазол-2-ил}циклогексил)метанон (соединение A-286),
(4-аминопиперидин-1-ил)-(транс-4-{5-[6-(4-метилпиридин-2-иламино)пиридин-2-ил]тиазол-2-ил}циклогексил)метанон (соединение A-290),
[4-(2-{5-[6-(4-метилпиридин-2-иламино)пиридин-2-ил]тиазол-2-ил}этил)пиперидин-1-ил]-
(пиперидин-4-ил)метанон (соединение A-295),
(транс-4-{5-[6-(4-хлорпиридин-2-иламино)пиридин-2-ил]тиазол-2-ил}циклогексил)-(4-гидроксипиперидин-1-ил)метанон (соединение A-297),
N-(4-гидроксипиперидин-1-ил)-транс-4-{5-[6-(4-метилпиридин-2-иламино)пиридин-2-ил]тиазол-2-ил}циклогексанкарбоксамид (соединение A-298),
N-[(R)-2-гидрокси-1-(3H-имидазол-4-илметил)этил]-транс-4-{5-[6-(4-метилпиридин-2-иламино)пиридин-2-ил]тиазол-2-ил}циклогексанкарбоксамид (соединение A-303),
N-[(S)-2-гидрокси-1-(3H-имидазол-4-илметил)этил]-транс-4-{5-[6-(4-метилпиридин-2-иламино)пиридин-2-ил]тиазол-2-ил}циклогексанкарбоксамид (соединение A-304),
N-(2-диметиламиноэтил)-транс-4-{5-[6-(4-метилпиридин-2-иламино)пиридин-2-ил]тиазол-2-ил}циклогексанкарбоксамид (соединение A-309),
тригидрохлорид (3-аминопирролидин-1-ил)-(транс-4-{5-[6-(4-метилпиридин-2-иламино)пиридин-2-ил]тиазол-2-ил}циклогексил)метанона (соединение A-311),
N-[1-(транс-4-{5-[6-(4-метилпиридин-2-иламино)пиридин-2-ил]тиазол-2-ил}циклогексанкарбонил)
пирролидин-3-ил]метансульфонамид (соединение A-312),
(3R,4S)-1-(транс-4-{5-[6-(4-метилпиридин-2-иламино)пиридин-2-ил]тиазол-2-ил}циклогексилметил)пирролидин-3,4-диол (соединение A-314),
транс-4-{5-[6-(4-метилпиридин-2-иламино)пиридин-2-ил]тиазол-2-ил}циклогексанкарбонитрил (соединение A-316),
цис-4-{5-[6-(4-метилпиридин-2-иламино)пиридин-2-ил]тиазол-2-ил}циклогексанкарбонитрил (соединение A-317),
(S)-5-{5-[6-(4-метоксипиридин-2-иламино)пиридин-2-ил]тиазол-2-ил}пирролидин-2-он (соединение A-319),
(S)-1-{5-[6-(4-метоксипиридин-2-иламино)пиридин-2-ил]тиазол-2-ил}этанол (соединение A-320),
(S)-1-(5-{6-[4-(2-гидроксиэтил)пиридин-2-иламино]пиридин-2-ил}тиазол-2-ил)этанол (соединение A-321),
(S)-1-{5-[6-(4-хлорпиридин-2-иламино)пиридин-2-ил]тиазол-2-ил}этанол (соединение A-322),
(S)-5-{5-[6-(4-хлорпиридин-2-иламино)пиридин-2-ил]тиазол-2-ил}пирролидин-2-он (соединение A-323),
3-(транс-4-{5-[6-(4-метилпиридин-2-иламино)пиридин-2-ил]тиазол-2-ил}циклогексил)-4H-[1,2,4]оксазол-5-он (соединение A-325),
N-(4-метилпиридин-2-ил)-N-(6-{2-[4-(1H-тетразол-5-ил)циклогексил]тиазол-5-ил}пиридин-2-ил)амин (соединение A-326),
(S)-5-(5-{6-[4-(2-гидроксиэтил)пиридин-2-иламино]пиридин-2-ил}тиазол-2-ил)пирролидин-2-он (соединение A-330),
N-(1,1-диметил-2-{5-[6-(4-метилпиридин-2-иламино)пиридин-2-ил]тиазол-2-ил}этил)ацетамид (соединение A-334),
(S)-1-(5-{6-[4-(2-метил-[1,3]диоксолан-2-ил)пиридин-2-иламино]пиридин-2-ил}тиазол-2-ил)этанол (соединение A-335),
N-метил-транс-4-{5-[6-(4-метилпиридин-2-иламино)пиридин-2-ил]тиазол-2-ил}циклогексанкарбоксамид (соединение A-336),
N-(1,1-диметил-2-{5-[6-(4-метилпиридин-2-иламино)пиридин-2-ил]тиазол-2-ил}этил)метансульфонамид (соединение A-337),
транс-4-{5-[6-(4-хлорпиридин-2-иламино)пиридин-2-ил]тиазол-2-ил}циклогексанкарбоксамид (соединение A-338),
транс-4-{5-[6-(4-метоксипиридин-2-иламино)пиридин-2-ил]тиазол-2-ил}циклогексанкарбоксамид (соединение A-339),
4-{5-[6-(4-метилпиридин-2-иламино)пиридин-2-ил]тиазол-2-илметил}циклогексанол (соединение A-341),
(S)-1-(5-{6-[4-(2-гидроксиэтокси)пиридин-2-иламино]пиридин-2-ил}тиазол-2-ил)этанол (соединение A-344),
этиловый эфир (S)-1-{5-[6-(4-метилпиридин-2-иламино)пиридин-2-ил]тиазол-2-ил}диметилкарбаминовой кислоты (соединение A-345),
карбонат калия 4-{5-[6-(4-метилпиридин-2-иламино)пиридин-2-ил]тиазол-2-илметил}пиперазин-2-она (соединение A-351),
4-(2-гидрокси-2-{5-[6-(4-метилпиридин-2-иламино)пиридин-2-ил]тиазол-2-ил}этил)фенол (соединение A-362),
4-(2-{5-[6-(4-метилпиридин-2-иламино)пиридин-2-ил]тиазол-2-илметокси}ацетил)пиперазин-2-он (соединение A-370),
N-((R)-(4-гидроксифенил)-{5-[6-(4-метилпиридин-2-иламино)пиридин-2-ил]тиазол-2-ил}метил)-N-метилацетамид (соединение A-372),
4-{5-[6-(4-метилпиридин-2-иламино)пиридин-2-ил]тиазол-2-илметил}пиперазин-2,6-дион (соединение A-383),
(S)-5-{5-[6-(4-метилпиридин-2-иламино)пиридин-2-ил]тиазол-2-ил}оксазолидин-2-он (соединение A-409),
4-{5-[6-(4-метилпиридин-2-иламино)пиридин-2-ил]тиазол-2-илметил}пиперазин-2-он (соединение A-416),
N-(4-метилпиридин-2-ил)-N-[6-(2-морфолин-4-илтиазол-5-ил)пиридин-2-ил]амин (соединение A-417),
1-(4-{5-[6-(4-метилпиридин-2-иламино)пиридин-2-ил]тиазол-2-ил}пиперазин-1-ил)этанон (соединение A-419),
4-{5-[6-(4-метилпиридин-2-иламино)пиридин-2-ил]тиазол-2-ил}пиперазин-1-сульфонамид (соединение A-421),
N-(4-метоксипиридин-2-ил)-N-{6-[2-(морфолин-4-ил)тиазол-5-ил]пиридин-2-ил}амин (соединение A-422),
(3R,4S)-1-{5-[6-(4-метилпиридин-2-иламино)пиридин-2-ил]тиазол-2-ил}пирролидин-3,4-диол (соединение A-423),
N-метил-N-{5-[6-(4-метилпиридин-2-иламино)пиридин-2-ил]тиазол-2-ил}ацетамид (соединение A-424),
N-[6-(4-метил-2-морфолин-4-илтиазол-5-ил)пиридин-2-ил]-N-(4-метилпиридин-2-ил)амин (соединение A-425),
N-метил-N-{5-[6-(4-метилпиридин-2-иламино)пиридин-2-ил]тиазол-2-ил}амин (соединение A-426),
N-метил-4-{5-[6-(4-метилпиридин-2-иламино)пиридин-2-ил]тиазол-2-ил}пиперазин-1-карбоксамид (соединение A-427),
1-{4-метил-5-[6-(4-метилпиридин-2-иламино)пиридин-2-ил]тиазол-2-ил}пиперидин-4-карбоксамид (соединение A-429),
N-{6-[2-(4-метоксипиперидин-1-ил)тиазол-5-ил]пиридин-2-ил}-N-(4-метилпиридин-2-ил)амин (соединение A-431),
N-{6-[2-(4-метилпиперазин-1-ил)тиазол-5-ил]пиридин-2-ил}-N-(4-метилпиридин-2-ил)амин (соединение A-432),
1-{5-[6-(4-метилпиридин-2-иламино)пиридин-2-ил]тиазол-2-ил}пиперидин-4-ол (соединение A-433),
N-метил-1-{5-[6-(4-метоксипиридин-2-иламино)пиридин-2-ил]тиазол-2-ил}пиперидин-4-карбоксамид (соединение A-436),
4-{4-метил-5-[6-(4-метилпиридин-2-иламино)пиридин-2-ил]тиазол-2-ил}пиперазин-1-карбальдегид (соединение A-437),
метиловый эфир 4-{5-[6-(4-метилпиридин-2-иламино)пиридин-2-ил]тиазол-2-ил}пиперазин-1-карбоновой кислоты (соединение A-438),
2-гидрокси-1-(4-{5-[6-(4-метилпиридин-2-иламино)пиридин-2-ил]тиазол-2-ил}пиперазин-1-ил)этанон (соединение A-439),
1-(4-{5-[6-(4-метилпиридин-2-иламино)пиридин-2-ил]тиазол-2-ил}пиперазин-1-ил)пропан-1-он (соединение A-440),
N,N-диметил-4-{5-[6-(4-метилпиридин-2-иламино)пиридин-2-ил]тиазол-2-ил}пиперазин-1-карбоксамид (соединение A-441),
1-(4-{5-[6-(4-метоксипиридин-2-иламино)пиридин-2-ил]тиазол-2-ил}пиперазин-1-ил)этанон (соединение A-442),
1-(4-{5-[6-(4-хлорпиридин-2-иламино)пиридин-2-ил]тиазол-2-ил}пиперазин-1-ил)этанон (соединение A-443),
4-(метил-{5-[6-(4-метилпиридин-2-иламино)пиридин-2-ил]тиазол-2-ил}амино)циклогексанкарбоновая кислота (соединение A-444),
4-(N-метил-N-{5-[6-(4-метилпиридин-2-иламино)пиридин-2-ил]тиазол-2-ил}амино)
циклогексанкарбоксамид (соединение A-446),
3-(1-{5-[6-(4-метилпиридин-2-иламино)пиридин-2-ил]тиазол-2-ил}пиперидин-4-ил)-4H-[1,2,4]оксадиазол-5-он (соединение A-450),
N-метил-N-{5-[6-(4-метилпиридин-2-иламино)пиридин-2-ил]тиазол-2-ил}-N-пиперидин-4-иламин (соединение A-452),
4-(1-{5-[6-(4-метилпиридин-2-иламино)пиридин-2-ил]тиазол-2-ил}пиперидин-4-карбонил)
пиперазин-2-он (соединение A-453),
N-(2,2-диметоксиэтил)-N-метил-N-{5-[6-(4-метилпиридин-2-иламино)пиридин-2-ил]тиазол-2-ил}амин (соединение A-457),
1-[4-(N-метил-N-{5-[6-(4-метилпиридин-2-иламино)пиридин-2-ил]тиазол-2-ил}амино)пиперидин-1-ил]этанон (соединение A-458),
2-гидрокси-1-[4-(N-метил-N-{5-[6-(4-метилпиридин-2-иламино)пиридин-2-ил]тиазол-2-ил}амино)пиперидин-1-ил]этанон (соединение A-459),
N-метил-4-(N’-метил-N’-{5-[6-(4-метилпиридин-2-иламино)пиридин-2-ил]тиазол-2-ил}амино)пиперидин-1-
карбоксамид (соединение A-460),
N-{2-[4-(N’-метил-N’-{5-[6-(4-метилпиридин-2-иламино)пиридин-2-ил]тиазол-2-ил}амино)пиперидин-1-ил]-2-оксоэтил}ацетамид (соединение A-461),
дигидрохлорид (4-{5-[6-(4-метилпиридин-2-иламино)пиридин-2-ил]тиазол-2-ил}-2-оксопиперазин-1-ил)уксусной кислоты (соединение A-464),
2-(4-{5-[6-(4-метилпиридин-2-иламино)пиридин-2-ил]тиазол-2-ил}-2-оксопиперазин-1-ил)ацетамид (соединение A-465),
N-метил-2-(4-{5-[6-(4-метилпиридин-2-иламино)пиридин-2-ил]тиазол-2-ил}-2-оксопиперазин-1-ил)ацетамид (соединение A-466),
N-(2-гидроксиэтил)-2-(4-{5-[6-(4-метилпиридин-2-иламино)пиридин-2-ил]тиазол-2-ил}-2-оксопиперазин-1-ил)ацетамид (соединение A-468),
N-метил-N-метилкарбамоилметил-1-{5-[6-(4-метилпиридин-2-иламино)пиридин-2-ил]тиазол-2-ил}пиперидин-4-карбоксамид (соединение A-469),
N-метил-N-{5-[6-(4-метилпиридин-2-иламино)пиридин-2-ил]тиазол-2-ил}-N-тетрагидропиран-4-иламин (соединение A-470),
4-[(N-метил-N-{5-[6-(4-метилпиридин-2-иламино)пиридин-2-ил]тиазол-2-ил}амино)метил]фенол (соединение A-471),
N-((R)-1-{5-[6-(4-метилпиридин-2-иламино)пиридин-2-ил]тиазол-2-ил}пирролидин-3-ил)ацетамид (соединение A-472),
(R)-1-{5-[6-(4-метилпиридин-2-иламино)пиридин-2-ил]тиазол-2-ил}пирролидин-3-иламин (соединение A-473),
1-{5-[6-(4-метилпиридин-2-иламино)пиридин-2-ил]тиазол-2-ил}пиперидин-3-карбоновая кислота (соединение A-474),
2-гидрокси-N-((R)-1-{5-[6-(4-метилпиридин-2-иламино)пиридин-2-ил]тиазол-2-ил}пирролидин-3-ил)ацетамид (соединение A-475),
1-{5-[6-(4-метилпиридин-2-иламино)пиридин-2-ил]тиазол-2-ил}пиперидин-3-карбоксамид (соединение A-476),
N-метил-1-{5-[6-(4-метилпиридин-2-иламино)пиридин-2-ил]тиазол-2-ил}пиперидин-3-карбоксамид (соединение A-477),
N-(2-гидроксиэтил)-1-{5-[6-(4-метилпиридин-2-иламино)пиридин-2-ил]тиазол-2-ил}пиперидин-3-карбоксамид (соединение A-478),
(R)-1-{5-[6-(4-метилпиридин-2-иламино)пиридин-2-ил]тиазол-2-ил}пирролидин-3-ол (соединение A-479),
транс-4-(N-метил-N-{5-[6-(4-метилпиридин-2-иламино)пиридин-2-ил]тиазол-2-ил}амино)циклогексанол (соединение A-480),
N-{6-[2-(3-метоксиметилпиперидин-1-ил)тиазол-5-ил]пиридин-2-ил}-N-(4-метилпиридин-2-ил)амин (соединение A-481),
2-гидрокси-N-(1-{5-[6-(4-метилпиридин-2-иламино)пиридин-2-ил]тиазол-2-ил}пиперидин-4-ил)ацетамид (соединение A-482),
2-гидрокси-N-метил-N-(1-{5-[6-(4-метилпиридин-2-иламино)пиридин-2-ил]тиазол-2-ил}пиперидин-4-ил)ацетамид (соединение A-483),
N-(1-{5-[6-(4-метилпиридин-2-иламино)пиридин-2-ил]тиазол-2-ил}пиперидин-4-ил)
метансульфонамид (соединение A-484),
N-метил-N-(1-{5-[6-(4-метилпиридин-2-иламино)пиридин-2-ил]тиазол-2-ил}пиперидин-4-ил)
метансульфонамид (соединение A-485),
2-гидрокси-N-(1-{5-[6-(4-метилпиридин-2-иламино)пиридин-2-ил]тиазол-2-ил}пиперидин-4-илметил)ацетамид (соединение A-486),
N-(1-{5-[6-(4-метилпиридин-2-иламино)пиридин-2-ил]тиазол-2-ил}пиперидин-4-илметил)ацетамид (соединение A-487),
дигидрохлорид N-метил-(S)-1-{5-[6-(4-метилпиридин-2-иламино)пиридин-2-ил]тиазол-2-ил}пирролидин-2-карбоксамида (соединение A-488),
N-((R)-1-{5-[6-(4-метилпиридин-2-иламино)пиридин-2-ил]тиазол-2-ил}пирролидин-3-ил)
метансульфонамид (соединение A-489),
N-{6-[2-((R)-3-метоксипирролидин-1-ил)тиазол-5-ил]пиридин-2-ил}-N-(4-метилпиридин-2-ил)амин (соединение A-490),
N-метил-4-(N’-метил-N’-{5-[6-(4-метилпиридин-2-иламино)пиридин-2-ил]тиазол-2-ил}амино)
циклогексанкарбоксамид (соединение A-492),
N-(2-гидроксиэтил)-4-(N’-метил-N’-{5-[6-(4-метилпиридин-2-иламино)пиридин-2-ил]тиазол-2-ил}амино)
циклогексанкарбоксамид (соединение A-493),
N-(2-ацетиламиноэтил)-4-(N’-метил-N’-{5-[6-(4-метилпиридин-2-иламино)пиридин-2-ил]тиазол-2-ил}амино)
циклогексанкарбоксамид (соединение A-494),
дигидрохлорид (1-{5-[6-(4-метилпиридин-2-иламино)пиридин-2-ил]тиазол-2-ил}пиперидин-3-илметокси)
уксусной кислоты (соединение A-497),
(1-{5-[6-(4-метилпиридин-2-иламино)пиридин-2-ил]тиазол-2-ил}пиперидин-3-ил)метанол (соединение A-498),
2-(1-{5-[6-(4-метилпиридин-2-иламино)пиридин-2-ил]тиазол-2-ил}пиперидин-3-илметокси)
ацетамид (соединение A-499),
4-метил-1-{5-[6-(4-метилпиридин-2-иламино)пиридин-2-ил]тиазол-2-ил}пиперидин-4-карбоксамид (соединение A-500),
N-метил-4-метил-1-{5-[6-(4-метилпиридин-2-иламино)пиридин-2-ил]тиазол-2-ил}пиперидин-4-карбоксамид (соединение A-501),
N-метил-2-(1-{5-[6-(4-метилпиридин-2-иламино)пиридин-2-ил]тиазол-2-ил}пиперидин-3-илметокси)
ацетамид (соединение A-502),
N-(2-гидроксиэтил)-4-метил-1-{5-[6-(4-метилпиридин-2-иламино)пиридин-2-ил]тиазол-2-ил}пиперидин-4-карбоксамид (соединение A-503),
2-(1-{5-[6-(4-метилпиридин-2-иламино)пиридин-2-ил]тиазол-2-ил}пиперидин-4-ил)ацетамид (соединение A-504),
N-метил-2-(1-{5-[6-(4-метилпиридин-2-иламино)пиридин-2-ил]тиазол-2-ил}пиперидин-4-ил)ацетамид (соединение A-505),
N-(2-гидроксиэтил)-2-(1-{5-[6-(4-метилпиридин-2-иламино)пиридин-2-ил]тиазол-2-ил}пиперидин-4-ил)ацетамид (соединение A-506),
N,N-диаллил-N-{5-[6-(4-метилпиридин-2-иламино)пиридин-2-ил]тиазол-2-ил}амин (соединение A-507),
N-[2-(N’-метил-N’-{5-[6-(4-метилпиридин-2-иламино)пиридин-2-ил]тиазол-2-ил}амино)этил]ацетамид (соединение A-508),
2-гидрокси-N-[2-(N’-метил-{5-[6-(4-метилпиридин-2-иламино)пиридин-2-ил]тиазол-2-ил}амино)этил]ацетамид (соединение A-509),
N-(4-метансульфонилпиперидин-1-ил)-N-метил-N-{5-[6-(4-метилпиридин-2-иламино)пиридин-2-ил]тиазол-2-ил}амин (соединение A-510),
N,N-диметил-4-(N’-метил-N’-{5-[6-(4-метилпиридин-2-иламино)пиридин-2-ил]тиазол-2-ил}амино)пиперидин-1-
карбоксамид (соединение A-511),
(4-гидроксифенил)-[4-(N-метил-N-{5-[6-(4-метилпиридин-2-иламино)пиридин-2-ил]тиазол-2-ил}амино)пиперидин-1-ил]метанон (соединение A-513),
1-(4-{5-[6-(4-метилпиридин-2-иламино)пиридин-2-ил]тиазол-2-иламино}пиперидин-1-ил)этанон (соединение A-514),
1-[4-(N-изопропил-N-{5-[6-(4-метилпиридин-2-иламино)пиридин-2-ил]тиазол-2-ил}амино)пиперидин-1-ил]этанон (соединение A-515),
N-метил-2-((R)-1-{5-[6-(4-метилпиридин-2-иламино)пиридин-2-ил]тиазол-2-ил}пирролидин-3-илокси)ацетамид (соединение A-516),
1-{5-[6-(4-метоксипиридин-2-иламино)пиридин-2-ил]тиазол-2-ил}пиперидин-4-карбоксамид (соединение A-517),
1-{5-[6-(4-хлорпиридин-2-иламино)пиридин-2-ил]тиазол-2-ил}пиперидин-4-карбоксамид (соединение A-518),
2-(N-метил-N-{5-[6-(4-метилпиридин-2-иламино)пиридин-2-ил]тиазол-2-ил}амино)этанол (соединение A-519),
N-(2-метоксиэтил)-N-метил-N-{5-[6-(4-метилпиридин-2-иламино)пиридин-2-ил]тиазол-2-ил}амин (соединение A-520),
N-[2-(N’-(1-ацетилпиперидин-4-ил)-N’-{5-[6-(4-метилпиридин-2-иламино)пиридин-2-ил]тиазол-2-ил}амино)этил]метансульфонамид (соединение A-524),
1-[4-(N-(2-гидроксиэтил)-N-{5-[6-(4-метилпиридин-2-иламино)пиридин-2-ил]тиазол-2-ил}амино)пиперидин-1-ил]этанон (соединение A-525),
1-[4-(N-(2-метоксиэтил)-N-{5-[6-(4-метилпиридин-2-иламино)пиридин-2-ил]тиазол-2-ил}амино)пиперидин-1-ил]этанон (соединение A-526),
(S)-1-{5-[6-(4-метилпиридин-2-иламино)пиридин-2-ил]тиазол-2-ил}пирролидин-2-карбоксамид (соединение A-528),
N-метил-(S)-1-{5-[6-(4-метилпиридин-2-иламино)пиридин-2-ил]тиазол-2-ил}пирролидин-2-карбоксамид (соединение A-529),
N-(2,2,2-трифторэтил)-(S)-1-{5-[6-(4-метилпиридин-2-иламино)пиридин-2-ил]тиазол-2-ил}пирролидин-2-карбоксамид (соединение A-530),
(R)-1-{5-[6-(4-метилпиридин-2-иламино)пиридин-2-ил]тиазол-2-ил}пиперидин-3-карбоновая кислота (соединение A-531),
((R)-1-{5-[6-(4-метилпиридин-2-иламино)пиридин-2-ил]тиазол-2-ил}пиперидин-3-ил)метанол (соединение A-532),
(R)-1-{5-[6-(4-метилпиридин-2-иламино)пиридин-2-ил]тиазол-2-ил}пиперидин-3-карбоксамид (соединение A-533),
1-[4-(N-этил-N-{5-[6-(4-метилпиридин-2-иламино)пиридин-2-ил]тиазол-2-ил}амино)пиперидин-1-ил]этанон (соединение A-534),
1-{4-[N-{5-[6-(4-метилпиридин-2-иламино)пиридин-2-ил]тиазол-2-ил}-N-(2,2,2-трифторэтил)амино]пиперидин-1-ил}этанон (соединение A-535),
1-[4-(N-{5-[6-(4-хлорпиридин-2-иламино)пиридин-2-ил]тиазол-2-ил}-N-метиламино)пиперидин-1-ил]этанон (соединение A-536),
1-[4-(N-{5-[6-(4-хлорпиридин-2-иламино)пиридин-2-ил]тиазол-2-ил}-N-метиламино)пиперидин-1-ил]-2-гидроксиэтанон (соединение A-537),
(R)-1-{5-[6-(4-метоксипиридин-2-иламино)пиридин-2-ил]тиазол-2-ил}пирролидин-3-ол (соединение A-538),
(R)-1-{5-[6-(4-хлорпиридин-2-иламино)пиридин-2-ил]тиазол-2-ил}пирролидин-3-ол (соединение A-539),
4-метил-1-{5-[6-(4-метилпиридин-2-иламино)пиридин-2-ил]тиазол-2-ил}пиперидин-4-карбоновая кислота (соединение A-540),
(S)-1-{5-[6-(4-метоксипиридин-2-иламино)пиридин-2-ил]тиазол-2-ил}пирролидин-2-карбоксамид (соединение A-541),
(S)-1-{5-[6-(4-хлорпиридин-2-иламино)пиридин-2-ил]тиазол-2-ил}пирролидин-2-карбоксамид (соединение A-542),
1-{5-[6-(4-ацетилпиридин-2-иламино)пиридин-2-ил]тиазол-2-ил}пиперидин-4-карбоксамид (соединение A-543),
2-(N-(2-гидроксиэтил)-N-{5-[6-(4-метилпиридин-2-иламино)пиридин-2-ил]тиазол-2-ил}амино)этанол (соединение A-544),
2-[N-{5-[6-(4-хлорпиридин-2-иламино)пиридин-2-ил]тиазол-2-ил}-N-(2-гидроксиэтил)амино]этанол (соединение A-545),
(R)-1-{5-[6-(4-хлорпиридин-2-иламино)пиридин-2-ил]тиазол-2-ил}пиперидин-3-карбоновая кислота (соединение A-546),
1-(5-{6-[4-(1-гидроксиэтил)пиридин-2-иламино]пиридин-2-ил}тиазол-2-ил)пиперидин-4-
карбоксамид (соединение A-547),
(R)-1-(5-{6-[4-(2-метил-[1,3]диоксалан-2-ил)пиридин-2-иламино]пиридин-2-ил}тиазол-2-ил)пирролидин-3-ол (соединение A-548),
1-(2-{6-[2-((R)-3-гидроксипирролидин-1-ил)тиазол-5-ил]пиридин-2-иламино}пиридин-4-ил)этанон (соединение A-549),
4-(4-{5-[6-(4-метилпиридин-2-иламино)пиридин-2-ил]тиазол-2-ил}пиперазин-1-ил)-4-оксомасляная кислота (соединение A-551),
N-гидрокси-(R)-1-{5-[6-(4-хлорпиридин-2-иламино)пиридин-2-ил]тиазол-2-ил}пиперидин-3-карбоксамид (соединение A-552),
4-[4-(N-метил-N-{5-[6-(4-метилпиридин-2-иламино)пиридин-2-ил]тиазол-2-ил}амино)пиперидин-1-ил]-4-оксомасляная кислота (соединение A-553),
(R)-1-(5-{6-[4-(1-гидроксиэтил)пиридин-2-иламино]пиридин-2-ил}тиазол-2-ил)пирролидин-3-ол (соединение A-554),
2-(N-метил-N-{5-[6-(4-метилпиридин-2-иламино)пиридин-2-ил]тиазол-2-ил}амино)ацетамид (соединение A-556),
(R)-1-(5-{6-[4-(2-метил-[1,3]диоксалан-2-ил)пиридин-2-иламино]пиридин-2-ил}тиазол-2-ил)пиперидин-3-
карбоновая кислота (соединение A-558),
(R)-1-{5-[6-(4-ацетилпиридин-2-иламино)пиридин-2-ил]тиазол-2-ил}пиперидин-3-карбоновая кислота (соединение A-560),
(S)-1-{5-[6-(4-ацетилпиридин-2-иламино)пиридин-2-ил]тиазол-2-ил}пирролидин-2-карбоксамид (соединение A-561),
(1-{5-[6-(4-хлорпиридин-2-иламино)пиридин-2-ил]тиазол-2-ил}пирролидин-3-ил)метанол (соединение A-562),
1-[(R)-3-(N-метил-N-{5-[6-(4-метилпиридин-2-иламино)пиридин-2-ил]тиазол-2-ил}амино)пирролидин-1-ил]этанон (соединение A-563),
дигидрохлорид (S)-1-{5-[6-(4-ацетилпиридин-2-иламино)пиридин-2-ил]тиазол-2-ил}пирролидин-2-карбоновой кислоты (соединение A-564),
(R)-1-(5-{6-[4-(2-метил-[1,3]диоксалан-2-ил)пиридин-2-иламино]пиридин-2-ил}тиазол-2-ил)пиперидин-3-
карбоксамид (соединение A-565),
((S)-1-{5-[6-(4-метилпиридин-2-иламино)пиридин-2-ил]тиазол-2-ил}пиперидин-3-ил)уксусная кислота (соединение A-567),
дигидрохлорид (S)-3-метил-2-[2-(N-метил-N-{5-[6-(4-метилпиридин-2-иламино)пиридин-2-ил]тиазол-2-ил}амино)ацетиламино]масляной кислоты (соединение A-568),
дигидрохлорид 3-[2-(N-метил-N-{5-[6-(4-метилпиридин-2-иламино)пиридин-2-ил]тиазол-2-ил}амино)ацетиламино]
пропионовой кислоты (соединение A-570),
дигидрохлорид [2-(N-метил-N-{5-[6-(4-метилпиридин-2-иламино)пиридин-2-ил]тиазол-2-ил}амино)ацетиламино]уксусной кислоты (соединение A-571),
дигидрохлорид [1-(5-{6-[4-(2-метил-[1,3]диоксалан-2-ил)пиридин-2-иламино]пиридин-2-ил}тиазол-2-ил)пиперидин-4-ил]
уксусной кислоты (соединение A-572),
дигидрохлорид (1-{5-[6-(пиридин-2-иламино)пиридин-2-ил]тиазол-2-ил}пиперидин-4-ил)уксусной кислоты (соединение A-573),
дигидрохлорид 4-[(N-метил-N-{5-[6-(4-метилпиридин-2-иламино)пиридин-2-ил]тиазол-2-ил}амино)метил]бензойной кислоты (соединение A-574),
дигидрохлорид ((R)-1-{5-[6-(4-метилпиридин-2-иламино)пиридин-2-ил]тиазол-2-ил}пирролидин-3-илокси)уксусной кислоты (соединение A-575),
дигидрохлорид 1-{5-[6-(4-метилпиридин-2-иламино)пиридин-2-ил]тиазол-2-ил}пирролидин-3-карбоновой кислоты (соединение A-576),
дигидрохлорид (R)-1-(5-{6-[4-(2-гидроксиэтил)пиридин-2-иламино]пиридин-2-ил}тиазол-2-ил)пирролидин-3-ола (соединение A-577),
4-(N-метил-N-{5-[6-(4-метилпиридин-2-иламино)пиридин-2-ил]тиазол-2-ил}амино)бензойная кислота (соединение A-578),
(2S,4R)-4-(N-метил-N-{5-[6-(4-метилпиридин-2-иламино)пиридин-2-ил]тиазол-2-ил}амино)пирролидин-2-
карбоновая кислота (соединение A-579),
дигидрохлорид {N-метил-N-[2-(N’-метил-N’-{5-[6-(4-метилпиридин-2-иламино)пиридин-2-ил]тиазол-2-ил}амино)ацетил]амино}уксусной кислоты (соединение A-580),
2-{5-[6-(4-метилпиридин-2-иламино)пиридин-2-ил]тиазол-2-ил}-1,2,3,4-тетрагидроизохинолин-5-карбоновая кислота (соединение A-582),
дигидрохлорид 3-[(N-метил-N-{5-[6-(4-метилпиридин-2-иламино)пиридин-2-ил]тиазол-2-ил}амино)метил]бензойной кислоты (соединение A-586),
дигидрохлорид {4-[(N-метил-N-{5-[6-(4-метилпиридин-2-иламино)пиридин-2-ил]тиазол-2-ил}амино)метил]фенил}уксусной кислоты (соединение A-587),
(1-{5-[6-(4-метилпиридин-2-иламино)пиридин-2-ил]тиазол-2-ил}пирролидин-3-ил)уксусная кислота (соединение A-588),
дигидрохлорид (4-{5-[6-(4-метилпиридин-2-иламино)пиридин-2-ил]тиазол-2-ил}пиперазин-1-ил)уксусной кислоты (соединение A-589),
N-(4-метилпиридин-2-ил)-N-(6-{2-[(R)-3-(1H-тетразол-5-ил)пиперидин-1-ил]тиазол-5-ил}пиридин-2-ил)амин (соединение A-590),
цис-4-(N-метил-N-{5-[6-(4-метилпиридин-2-иламино)пиридин-2-ил]тиазол-2-ил}амино)циклогексанкарбоновая кислота (соединение A-591),
транс-4-(N-метил-N-{5-[6-(4-метилпиридин-2-иламино)пиридин-2-ил]тиазол-2-ил}амино)циклогексанкарбоновая кислота (соединение A-592),
дигидрохлорид 4-[2-(N-метил-N-{5-[6-(4-метилпиридин-2-иламино)пиридин-2-ил]тиазол-2-ил}амино)этил]бензойной кислоты (соединение A-593),
дигидрохлорид (1-{5-[6-(4-метилпиридин-2-иламино)пиридин-2-ил]тиазол-2-ил}пиперидин-4-илокси)уксусной кислоты (соединение A-594),
гидрохлорид (4-{5-[6-(4-метилпиридин-2-иламино)пиридин-2-ил]тиазол-2-ил}циклогексил)уксусной кислоты (соединение A-595),
4-{[N-метил-N-(5-{6-[4-(2-метил-[1,3]диоксалан-2-ил)пиридин-2-иламино]пиридин-2-ил}тиазол-2-ил)амино]метил}
бензойная кислота (соединение A-596),
дигидрохлорид 4-[(N-диметилкарбамоилметил-N-{5-[6-(4-метилпиридин-2-иламино)пиридин-2-ил]тиазол-2-ил}амино)метил]бензойной кислоты (соединение A-597),
цис-4-(N-карбамоилметил-N-{5-[6-(4-метилпиридин-2-иламино)пиридин-2-ил]тиазол-2-ил}амино)циклогексанкарбоновая кислота (соединение A-598),
транс-4-[(N-карбамоилметил-N-{5-[6-(4-метилпиридин-2-иламино)пиридин-2-ил]тиазол-2-ил}амино)метил]
циклогексанкарбоновая кислота (соединение A-599),
5-[(N-метил-N-{5-[6-(4-метилпиридин-2-иламино)пиридин-2-ил]тиазол-2-ил}амино)метил]тиофен-2-
карбоновая кислота (соединение A-603),
дигидрохлорид 3-хлор-4-[(N-метил-N-{5-[6-(4-метилпиридин-2-иламино)пиридин-2-ил]тиазол-2-ил}амино)метил]бензойной кислоты (соединение A-604),
4-{5-[6-(4-метилпиридин-2-иламино)пиридин-2-ил]тиазол-2-илметокси}бензойная кислота (соединение A-605),
дигидрохлорид 3-метокси-4-[(N-метил-N-{5-[6-(4-метилпиридин-2-иламино)пиридин-2-ил]тиазол-2-ил}амино)метил]бензойной кислоты (соединение A-606),
2-{5-[6-(4-метилпиридин-2-иламино)пиридин-2-ил]тиазол-2-ил}-1,2,3,4-тетрагидроизохинолин-6-карбоновая кислота (соединение A-607),
2-[(N-метил-N-{5-[6-(4-метилпиридин-2-иламино)пиридин-2-ил]тиазол-2-ил}амино)метил]тиазол-4-
карбоновая кислота (соединение A-609),
[транс-4-(N-метил-N-{5-[6-(4-метилпиридин-2-иламино)пиридин-2-ил]тиазол-2-ил}амино)циклогексил]уксусная кислота (соединение A-610),
[цис-4-(N-метил-N-{5-[6-(4-метилпиридин-2-иламино)пиридин-2-ил]тиазол-2-ил}амино)циклогексил]уксусная кислота (соединение A-611),
4-(2-{5-[6-(4-метилпиридин-2-иламино)пиридин-2-ил]тиазол-2-ил}этил)циклогексанкарбоновая кислота (соединение A-612),
дигидрохлорид (4-метил-1-{5-[6-(4-метилпиридин-2-иламино)пиридин-2-ил]тиазол-2-ил}пиперидин-4-ил)уксусной кислоты (соединение A-613),
4-{5-[6-(4-метилпиридин-2-иламино)пиридин-2-ил]тиазол-2-ил}-3,4-дигидро-2H-бензо[1,4]оксазин-8-карбоновая кислота (соединение A-614),
гидрохлорид {5-[6-(4-метилпиридин-2-иламино)пиридин-2-ил]тиазол-2-илметокси}уксусной кислоты (соединение A-615),
дигидрохлорид 4-[1-метил-1-(N-метил-N-{5-[6-(4-метилпиридин-2-иламино)пиридин-2-ил]тиазол-2-ил}амино)этил]бензойной кислоты (соединение A-616),
дигидрохлорид [4-(N-метил-N-{5-[6-(4-метилпиридин-2-иламино)пиридин-2-ил]тиазол-2-ил}амино)фенил]уксусной кислоты (соединение A-617),
дигидрохлорид (1-{5-[6-(4-хлорпиридин-2-иламино)пиридин-2-ил]тиазол-2-ил}пиперидин-4-ил)уксусной кислоты (соединение A-620),
транс-4-[(N-бензил-N-{5-[6-(4-метилпиридин-2-иламино)пиридин-2-ил]тиазол-2-ил}амино)метил]
циклогексанкарбоновая кислота (соединение A-622),
[транс-4-(N-бензил-N-{5-[6-(4-метилпиридин-2-иламино)пиридин-2-ил]тиазол-2-ил}амино)циклогексил]уксусная кислота (соединение A-624),
транс-4-[(N-изопропил-N-{5-[6-(4-метилпиридин-2-иламино)пиридин-2-ил]тиазол-2-ил}амино)метил]
циклогексанкарбоновая кислота (соединение A-626),
1-{5-[6-(4-метилпиридин-2-иламино)пиридин-2-ил]тиазол-2-ил}-1,2,3,4-тетрагидрохинолин-5-карбоновая кислота (соединение A-627),
фтор-(1-{5-[6-(4-метилпиридин-2-иламино)пиридин-2-ил]тиазол-2-ил}пиперидин-4-илиден)уксусная кислота (соединение A-631),
5-(N-метил-N-{5-[6-(4-метилпиридин-2-иламино)пиридин-2-ил]тиазол-2-ил}амино)пентановая кислота (соединение A-632),
N-[2-(1-{5-[6-(4-метилпиридин-2-иламино)пиридин-2-ил]тиазол-2-ил}пиперидин-4-ил)ацетил]
метансульфонамид (соединение A-633),
дигидрохлорид 4-(N-метил-N-{5-[6-(4-метилпиридин-2-иламино)пиридин-2-ил]тиазол-2-ил}амино)масляной кислоты (соединение A-634),
дигидрохлорид (1-{5-[6-(4-трифторметилпиридин-2-иламино)пиридин-2-ил]тиазол-2-ил}пиперидин-4-ил)
уксусной кислоты (соединение A-635),
дигидрохлорид (1-{5-[6-(5-хлорпиридин-2-иламино)пиридин-2-ил]тиазол-2-ил}пиперидин-4-ил)уксусной кислоты (соединение A-636),
дигидрохлорид (1-{5-[6-(4-метоксипиридин-2-иламино)пиридин-2-ил]тиазол-2-ил}пиперидин-4-ил)уксусной кислоты (соединение A-637),
транс-4-(N-метил-N-{5-[6-(4-трифторметилпиридин-2-иламино)пиридин-2-ил]тиазол-2-ил}амино)
циклогексанкарбоновая кислота (соединение A-638),
3-[4-(N-метил-N-{5-[6-(4-метилпиридин-2-иламино)пиридин-2-ил]тиазол-2-ил}амино)фенил]пропионовая кислота (соединение A-639),
дигидрохлорид (E)-6-(N-метил-N-{5-[6-(4-метилпиридин-2-иламино)пиридин-2-ил]тиазол-2-ил}амино)гекс-2-еновой кислоты (соединение A-640),
(2-{5-[6-(4-метилпиридин-2-иламино)пиридин-2-ил]тиазол-2-ил}-1,2,3,4-тетрагидроизохинолин-6-ил)уксусная кислота (соединение A-641),
3-(2-{5-[6-(4-метилпиридин-2-иламино)пиридин-2-ил]тиазол-2-ил}-1,2,3,4-тетрагидроизохинолин-5-ил)пропионовая кислота (соединение A-642),
5-(N-изопропил-N-{5-[6-(4-метилпиридин-2-иламино)пиридин-2-ил]тиазол-2-ил}амино)пентановая кислота (соединение A-643),
5-{5-[6-(4-метилпиридин-2-иламино)пиридин-2-ил]тиазол-2-иламино}пентановая кислота (соединение A-644),
дигидрохлорид 6-(N-метил-N-{5-[6-(4-метилпиридин-2-иламино)пиридин-2-ил]тиазол-2-ил}амино)гексановой кислоты (соединение A-645),
дигидрохлорид (Z)-2-фтор-6-(N-метил-N-{5-[6-(4-метилпиридин-2-иламино)пиридин-2-ил]тиазол-2-ил}амино)гекс-2-еновой кислоты (соединение A-647),
(8-{5-[6-(4-трифторметилпиридин-2-иламино)пиридин-2-ил]тиазол-2-ил}-8-азабицикло[3.2.1]окт-3-ил)уксусная кислота (соединение A-648),
(8-{5-[6-(4-метилпиридин-2-иламино)пиридин-2-ил]тиазол-2-ил}-8-азабицикло[3.2.1]окт-3-ил)уксусная кислота (соединение A-649),
дигидрохлорид (1-{5-[6-(4-цианопиридин-2-иламино)пиридин-2-ил]тиазол-2-ил}пиперидин-4-ил)уксусной кислоты (соединение A-650),
{4-[(N-метил-N-{5-[6-(4-трифторметилпиридин-2-иламино)пиридин-2-ил]тиазол-2-ил}амино)метил]фенил}
уксусная кислота (соединение A-651),
2-(1-{5-[6-(4-метилпиридин-2-иламино)пиридин-2-ил]тиазол-2-ил}пиперидин-4-ил)пропионовая кислота (соединение A-652),
(1-{5-[6-(4-метилпиридин-2-иламино)пиридин-2-ил]тиазол-2-ил}пиперидин-4-ил)уксусная кислота (соединение A-653),
4-[1-метил-1-(N-метил-N-{5-[6-(4-трифторметилпиридин-2-иламино)пиридин-2-ил]тиазол-2-ил}амино)этил]бензойная кислота (соединение A-654),
дигидрохлорид 3-метил-6-(N-метил-N-{5-[6-(4-трифторметилпиридин-2-иламино)пиридин-2-ил]тиазол-2-ил}амино)гекс-2-еновой кислоты (соединение A-655),
дигидрохлорид 3-метил-6-(N-метил-N-{5-[6-(4-метилпиридин-2-иламино)пиридин-2-ил]тиазол-2-ил}амино)гекс-2-еновой кислоты (соединение A-656),
дигидрохлорид (E)-6-(N-метил-N-{5-[6-(4-трифторметилпиридин-2-иламино)пиридин-2-ил]тиазол-2-ил}амино)гекс-2-еновой кислоты (соединение A-657),
N-(2-гидроксиэтил)-(S)-1-{5-[6-(4-метилпиридин-2-иламино)пиридин-2-ил]тиазол-2-ил}пирролидин-2-карбоксамид (соединение A-658),
2-(N-изопропил-N-{5-[6-(4-метилпиридин-2-иламино)пиридин-2-ил]тиазол-2-ил}амино)ацетамид (соединение A-663),
3-метил-2-(N-метил-N-{5-[6-(4-метилпиридин-2-иламино)пиридин-2-ил]тиазол-2-ил}амино)бутиламид (соединение A-668),
2-(1-{5-[6-(4-метилпиридин-2-иламино)пиридин-2-ил]тиазол-2-ил}пиперидин-4-ил)этанол (соединение A-677),
5-(N-изопропил-N-{5-[6-(4-метилпиридин-2-иламино)пиридин-2-ил]тиазол-2-ил}амино)пентан-1-ол (соединение A-678),
(1-{5-[6-(пиразин-2-иламино)пиридин-2-ил]тиазол-2-ил}пиперидин-4-ил)уксусная кислота (соединение A-680),
дигидрохлорид [1-(5-{6-[4-(2-гидроксиэтил)пиридин-2-иламино]пиридин-2-ил}тиазол-2-ил)пиперидин-4-ил]
уксусной кислоты (соединение A-681),
фтор-(1-{5-[6-(4-метилпиридин-2-иламино)пиридин-2-ил]тиазол-2-ил}пиперидин-4-ил)уксусная кислота (соединение A-684),
1-{5-[6-(4-метилпиридин-2-иламино)пиридин-2-ил]тиазол-2-илметил}пиперидин-4-карбоксамид (соединение A-685),
дигидрохлорид (1-{5-[6-(4-этилпиридин-2-иламино)пиридин-2-ил]тиазол-2-ил}пиперидин-4-ил)уксусной кислоты (соединение A-692),
N-изопропил-N-{5-[6-(4-метилпиридин-2-иламино)пиридин-2-ил]тиазол-2-ил}амин (соединение A-693),
N-{5-[6-(4-метилпиридин-2-иламино)пиридин-2-ил]тиазол-2-ил}-N-(2-морфолин-4-илэтил)амин (соединение A-695),
2-(N-метил-N-{5-[6-(4-метилпиридин-2-иламино)пиридин-2-ил]тиазол-2-илметил}амино)ацетамид (соединение A-697),
2-(1-{5-[6-(4-метилпиридин-2-иламино)пиридин-2-ил]тиазол-2-ил}пиперидин-4-ил)масляная кислота (соединение A-698),
дигидрохлорид транс-4-[(N-метил-N-{5-[6-(пиридин-2-иламино)пиридин-2-ил]тиазол-2-ил}амино)метил]
циклогексанкарбоновой кислоты (соединение A-699),
дигидрохлорид [1-(5-{6-[4-(2,2,2-трифторэтокси)пиридин-2-иламино]пиридин-2-ил}тиазол-2-ил)пиперидин-4-ил]
уксусной кислоты (соединение A-700),
2-метил-1-(N-метил-N-{5-[6-(4-метилпиридин-2-иламино)пиридин-2-ил]тиазол-2-ил}амино)пропан-2-ол (соединение A-702),
3-(1-{5-[6-(4-метилпиридин-2-иламино)пиридин-2-ил]тиазол-2-ил}пиперидин-3-ил)пропионовая кислота (соединение A-704),
N-(2-гидроксиэтил)-4-(N’-метил-N’-{5-[6-(4-метилпиридин-2-иламино)пиридин-2-ил]тиазол-2-ил}амино)пиперидин-1-
карбоксамид (соединение A-705),
дигидрохлорид 2-метил-2-(1-{5-[6-(пиразин-2-иламино)пиридин-2-ил]тиазол-2-ил}пиперидин-4-ил)пропионовой кислоты (соединение A-707),
4-[(N-ацетил-N-{5-[6-(4-метилпиридин-2-иламино)пиридин-2-ил]тиазол-2-илметил}амино)метил]бензойная кислота (соединение A-709),
дигидрохлорид (1-{5-[6-(4-трет-бутилпиридин-2-иламино)пиридин-2-ил]тиазол-2-ил}пиперидин-4-ил)уксусной кислоты (соединение A-710),
дигидрохлорид (1-{5-[6-(4-изопропилпиридин-2-иламино)пиридин-2-ил]тиазол-2-ил}пиперидин-4-ил)уксусной кислоты (соединение A-711),
6-{5-[6-(4-метилпиридин-2-иламино)пиридин-2-ил]тиазол-2-ил}-6-азаспиро[2.5]октан-1-карбоновая кислота (соединение A-712),
2-[1-(5-{6-[4-(2-гидроксиэтил)пиридин-2-иламино]пиридин-2-ил}тиазол-2-ил)пиперидин-4-ил]-2-метилпропионовая кислота (соединение A-713),
2-метил-2-(1-{5-[6-(пиридин-2-иламино)пиридин-2-ил]тиазол-2-ил}пиперидин-4-ил)пропионовая кислота (соединение A-714),
дигидрохлорид фтор-(1-{5-[6-(пиразин-2-иламино)пиридин-2-ил]тиазол-2-ил}пиперидин-4-ил)уксусной кислоты (соединение A-715),
дигидрохлорид фтор-(1-{5-[6-(пиридин-2-иламино)пиридин-2-ил]тиазол-2-ил}пиперидин-4-ил)уксусной кислоты (соединение A-716),
дигидрохлорид [1-(5-{6-[4-(1-гидрокси-1-метилэтил)пиридин-2-иламино]пиридин-2-ил}тиазол-2-ил)пиперидин-4-
ил]уксусной кислоты (соединение A-717),
дигидрохлорид 2-метил-2-(1-{5-[6-(4-метилпиридин-2-иламино)пиридин-2-ил]тиазол-2-ил}пиперидин-4-ил)пропионовой кислоты (соединение A-718),
дигидрохлорид 5-(1-{5-[6-(4-метилпиридин-2-иламино)пиридин-2-ил]тиазол-2-ил}пиперидин-3-ил)пентановой кислоты (соединение A-719),
2-метил-2-(N-метил-N-{5-[6-(4-метилпиридин-2-иламино)пиридин-2-ил]тиазол-2-илметил}амино)пропионамид (соединение A-720),
1-{5-[6-(4-метилпиридин-2-иламино)пиридин-2-ил]тиофен-2-ил}этанон (соединение B-1),
5-[6-(4-метилпиридин-2-иламино)пиридин-2-ил]тиофен-2-карбальдегид (соединение B-2),
1-{5-[6-(4-метилпиридин-2-иламино)пиридин-2-ил]тиофен-2-ил}этанол (соединение B-3),
этиловый эфир 1-{5-[6-(4-метилпиридин-2-иламино)пиридин-2-ил]тиофен-2-ил}уксусной кислоты (соединение B-4),
N-{5-[6-(4-метилпиридин-2-иламино)пиридин-2-ил]тиофен-2-ил}ацетамид (соединение B-10),
N-метил-5-[6-(4-метилпиридин-2-иламино)пиридин-2-ил]тиофен-2-карбоксамид (соединение B-11),
{5-[6-(4-метилпиридин-2-иламино)пиридин-2-ил]тиофен-2-ил}метанол (соединение B-12),
оксим 1-{5-[6-(4-метилпиридин-2-иламино)пиридин-2-ил]тиофен-2-ил}этанона (соединение B-15),
1-{5-[6-(4-метоксипиридин-2-иламино)пиридин-2-ил]тиофен-2-ил}этанон (соединение B-17),
5-[6-(4-метилпиридин-2-иламино)пиридин-2-ил]тиофен-2-карбоксамид (соединение B-23),
1-{5-[6-(6-изопропоксипиримидин-4-иламино)пиридин-2-ил]тиофен-2-ил}этанон (соединение B-30),
N-{5-[6-(4-метилпиридин-2-иламино)пиридин-2-ил]тиофен-2-ил}ацетамид (соединение B-31),
O-(2-гидроксиэтил)оксим 1-{5-[6-(4-метилпиридин-2-иламино)пиридин-2-ил]тиофен-2-ил}этанона (соединение B-38),
N-(2-аминоэтил)-5-[6-(4-метилпиридин-2-иламино)пиридин-2-ил]тиофен-2-карбоксамид (соединение B-43),
оксим 1-{5-[6-(4-метилпиридин-2-иламино)пиридин-2-ил]тиофен-2-ил}пропан-1-она (соединение B-51),
этиловый эфир {2-[6-(5-ацетилтиофен-2-ил)пиридин-2-иламино]пиридин-4-ил}уксусной кислоты (соединение B-52),
метиловый эфир 2-[6-(5-ацетилтиофен-2-ил)пиридин-2-иламино]изоникотиновой кислоты (соединение B-53),
1-(5-{6-[4-(2-гидроксиэтил)пиридин-2-иламино]пиридин-2-ил}тиофен-2-ил)этанол (соединение B-55),
N-гидрокси-5-[6-(4-метилпиридин-2-иламино)пиридин-2-ил]тиофен-2-карбоксиамидин (соединение B-60),
1-(5-{6-[4-(2-гидроксиэтокси)пиридин-2-иламино]пиридин-2-ил}тиофен-2-ил)этанон (соединение B-73),
1-{5-[6-(4-хлорпиридин-2-иламино)пиридин-2-ил]тиофен-2-ил}этанон (соединение B-74),
оксим 1-{5-[6-(4-хлорпиридин-2-иламино)пиридин-2-ил]тиофен-2-ил}этанона (соединение B-75),
{5-[6-(4-метилпиридин-2-иламино)пиридин-2-ил]тиофен-2-ил}пиперазин-1-илметанон (соединение B-84),
1-(5-{6-[4-(4,4-диметил-4,5-дигидрооксазол-2-ил)пиридин-2-иламино]пиридин-2-ил}тиофен-2-ил)
этанон (соединение B-87),
2,2-дифтор-3-гидрокси-3-{5-[6-(4-метилпиридин-2-иламино)пиридин-2-ил]тиофен-2-ил}пропионовая кислота (соединение B-109),
4-[({5-[6-(4-метилпиридин-2-иламино)пиридин-2-ил]тиофен-2-илметил}амино)метил]бензойная кислота (соединение B-116),
4-[(N-ацетил-N-{5-[6-(4-метилпиридин-2-иламино)пиридин-2-ил]тиофен-2-илметил}амино)метил]бензойная кислота (соединение B-119),
транс-4-[(N-ацетил-N-{5-[6-(4-метилпиридин-2-иламино)пиридин-2-ил]тиофен-2-илметил}амино)метил]
циклогексанкарбоновая кислота (соединение B-120),
гидрохлорид 3-(N-ацетил-N-{5-[6-(4-метилпиридин-2-иламино)пиридин-2-ил]тиофен-2-илметил}амино)пропионной кислоты (соединение B-124),
4-[(N-изобутирил-N-{5-[6-(4-метилпиридин-2-иламино)пиридин-2-ил]тиофен-2-илметил}амино)метил]бензойная кислота (соединение B-127) и
4-[(N-(2-гидроксиацетил)-N-{5-[6-(4-метилпиридин-2-иламино)пиридин-2-ил]тиофен-2-илметил}амино)метил]бензойная кислота (соединение B-128).
Что касается соли соединения, представленного формулой (I), то предпочтительными являются фармакологически приемлемые соли, и их примеры включают соль с неорганическим основанием, соль с органическим основанием, соль с неорганической кислотой, соль с органической кислотой, соль с основной или кислотной аминокислотой и т.д.
Предпочтительные примеры соли с неорганическим основанием включают, например, соль с щелочным металлом, таким как натрий, калий, соль с щелочноземельным металлом, таким как кальций, магний, так же, как соли с алюминием, аммонием и т.д.
Предпочтительные примеры соли с органическим основанием включают, например, соли с триметиламином, триэтиламином, пиридином, пиколином, этаноламином, диэтаноламином, триэтаноламином, дициклогексиламином, N,N-дибензилэтилендиамином и т.д.
Предпочтительные примеры соли с неорганической кислотой включают, например, соли с соляной кислотой, бромистоводородной кислотой, азотной кислотой, серной кислотой, фосфорной кислотой и т.д.
Предпочтительные примеры соли с органической кислотой включают, например, соли с муравьиной кислотой, уксусной кислотой, трифторуксусной кислотой, фумаровой кислотой, щавелевой кислотой, винной кислотой, малеиновой кислотой, лимонной кислотой, янтарной кислотой, яблочной кислотой, метансульфоновой кислотой, бензолсульфоновой кислотой, п-толуолсульфоновой кислотой и т.д.
Предпочтительные примеры соли с основной аминокислотой включают, например, соли с аргинином, лизином, орнитином, и предпочтительные примеры соли с кислотной аминокислотой включают, например, соли с аспарагиновой кислотой, глутаминовой кислотой и т.д.
Соединение по настоящему изобретению имеет превосходный Syk ингибиторный эффект и является полезным в качестве терапевтического агента для лечения аллергических заболеваний или терапевтического агента для аутоиммунных заболеваний.
Когда соединение по настоящему изобретению используется в качестве лекарственного средства для лечения аллергических заболеваний, особенно лекарственного средства для лечения бронхиальной астмы, лекарственного средства для лечения аллергического ринита, лекарственного средства для лечения аллергического дерматита и лекарственного средства для лечения аллергического конъюнктивита или лекарственного средства для лечения аутоиммунных заболеваний, лекарственного средства для лечения прогрессирующего деформирующего артрита, лекарственного средства для лечения системной красной волчанки, лекарственного средства для лечения рассеянного склероза, лекарственного средства для лечения злокачественной опухоли, лекарственного средства для лечения B-лимфомы, В-клеточного лейкоза; как правило, оно вводится системно или локально, перорально или парентерально.
Более предпочтительно соединение (I) по настоящему изобретению или его соль может быть объединено с фармацевтически приемлемым носителем и введено перорально или парентерально в виде твердого препарата, такого как таблетка, капсула, гранула и порошок; или жидкого препарата, такого как сироп и инъекция.
Введение может быть осуществлено в любой форме для перорального введения в виде таблетки, пилюли, капсулы, гранулы, порошка, жидкости и т.д. или с помощью парентерального введения путем инъекции, такой как внутривенная инфузия, внутримышечная инъекция, в виде суппозитория или чрескожного препарата. Парентеральное введение включает внутривенное, внутримышечное, подкожное введение, введение в ткань, интраназальное, внутрикожную инъекцию, капельное вливание, интрацеребральное, ректальное, вагинальное, интраабдоминальное, интраперитонеальное и т.д.
В виде твердой композиции для перорального введения в соответствии с настоящим изобретением используют таблетку, порошок, гранулу и т.д. В такой твердой композиции смешивают одну или более активных субстанций, по крайней мере, с одним инертным растворителем, например лактозой, маннитом, глюкозой, гидроксипропилцеллюлозой, микрокристаллической целлюлозой, крахмалом, поливинилпирролидоном, алюминометасиликатом магния и т.д. Композиция может включать добавки в дополнение к инертному растворителю, например смазку, такую как стеарат магния, дезинтегрирующий агент, такой как кальций-карбоксиметилцеллюлоза, стабилизатор, такой как лактоза, солюбилизирующий агент, такой как глутаминовая кислота или аспарагиновая кислота в соответствии с традиционным способом. Таблетка или пилюля может быть покрыта, как требуется, оболочкой из сахарозы, желатина, гидроксипропилцеллюлозы, гидроксипропилметилцеллюлозы, фталата гидроксипропилметилцеллюлозы, макросолью, диоксидом титана, тальком или желудочнорастворимой или кишечнорастворимой пленкой.
Жидкая композиция для перорального введения включает фармацевтически приемлемую эмульсию, жидкий препарат, суспензию, сироп и эликсир и может включать традиционно используемый инертный растворитель, например очищенную воду и этанол. Эти композиции могут включать вспомогательные агенты, такие как солюбилизирующий агент, увлажнитель, суспендирующий агент, подсластитель, нейтрализатор, ароматизатор и консервант в дополнение к инертному растворителю.
Инъекция для парентерального введения может быть получена путем растворения, суспендирования или эмульгидрования заранее установленного количества активного агента в водном растворе (например, дистиллированная вода для инъекции, физиологический раствор, раствор Рингера и т.д.) или масляный растворитель (например, растительное масло, такое как оливковое масло, кунжутное масло, хлопковое масло, кукурузное масло, пропиленгликоль и т.д.) совместно с диспергирующим агентом (например, полисорбат 80, полиоксиэтилен гидрогенированное касторовое масло 60, полиэтиленгликоль, карбоксиметилцеллюлоза, альгинат натрия и т.д.), консервант (например, метилпарабен, пропилпарабен, бензиловый спирт, хлорбутанол, фенол и т.д.), изотонизирующий агент (например, хлорид натрия, глицерин, D-маннит, D-сорбит, глюкоза и т.д.) и т.д.
При этом могут быть при необходимости использованы добавки, такие как солюбилизатор (например, салицилат натрия, ацетат натрия и т.д.), стабилизатор (например, альбумин человеческой сыворотки и т.д.) и смягчающее средство (например, бензиловый спирт и т.д.).
Кроме того, при необходимости может быть включен консервант, антиоксидант, краситель, ароматизатор, подсластитель, абсорбент, гидратирующий агент и другие добавки.
В качестве фармацевтически приемлемого носителя могут быть упомянуты различные органические или неорганические вспомогательные вещества, обычно используемые в качестве фармацевтических продуктов. При необходимости в соответствии с традиционным способом могут быть использованы наполнитель, смазка, связующее вещество, дезинтегрирующий агент, который соответственно добавляют к твердому препарату и растворителю, солюбилизатор, суспендирующий агент, изотонизирующий агент, буфер, смягчающее средство, которое соответственно добавляют к жидкому препарату. Кроме того, могут быть использованы фармацевтические добавки, такие как консервант, антиоксидант, краситель, подсластитель, абсорбент, гидратирующий агент и т.д.
Предпочтительные примеры наполнителя включают лактозу, кукурузный крахмал, сахарозу, D-маннит, D-сорбит, крахмал, декстрин, кристаллическую целлюлозу, низкозамещенную гидроксипропилцеллюлозу, натрий-карбоксиметилцеллюлозу, гуммиарабик, глюкозу, диоксид кремния и т.д.
Предпочтительные примеры антиоксиданта включают, например, сульфитную соль, аскорбиновую кислоту и т.д.
Предпочтительные примеры дезинтегрирующего агента включают, например, карбоксиметилцеллюлозу, кальций-карбоксиметилцеллюлозу, карбоксиметил-крахмал натрия, кроскармелозу натрия, кросповидон, низкозамещенную гидроксипропилцеллюлозу, гидроксипропилкрахмал и т.д.
Предпочтительные примеры связующего вещества включают, например, гидроксипропилцеллюлозу, гидроксипропилметилцеллюлозу, поливинилпирролидон, кристаллическую целлюлозу, сахарозу, порошкообразный гуммиарабик и т.д. Предпочтительным связующим веществом является гидроксипропилцеллюлоза или поливинилпирролидон. Поливинилпирролидон является предпочтительным, в частности, когда активный ингредиент, используемый в настоящем изобретении, является гидрохлоридом метформина.
Предпочтительные примеры смазки включают, например, стеарат магния, стеарат кальция, тальк, коллоидный кремнезем и т.д.
Предпочтительные примеры изотонизирующего агента включают, например, глюкозу, D-сорбит, хлорид натрия, глицерин, D-маннит и т.д.
Предпочтительные примеры pH регулирующего агента включают, например, цитрат, фосфат, карбонат, тартрат, фумарат, ацетат, соль аминокислоты и т.д.
Предпочтительные примеры солюбилизатора включают, например, полиэтиленгликоль, пропиленгликоль, D-маннит, бензилбензоaт, этанол, трис-аминометан, холестерин, триэтаноламин, карбонат натрия, цитрат натрия и т.д.
В качестве предпочтительного примера растворителя, например, может быть использован растворитель для инъекций, спирт, пропиленгликоль, макроголь, кунжутное масло, кукурузное масло, оливковое масло и т.д.
В качестве предпочтительного примера суспендирующего агента, например сурфактанта, такого как стеарил триэтаноламин, лаурилсульфат натрия, лауриламинопропионовая кислота, коммерческий лецитин, хлорид бензалкония, хлорид бензэтония, глицерилмоностеарат; гидрофильная макромолекула, такая как поливиниловый спирт, поливинилпирролидон, натрий-карбоксиметилцеллюлоза, метилцеллюлоза, гидроксиметилцеллюлоза, гидроксиэтилцеллюлоза, гидроксипропилцеллюлоза, например, может служить примером.
Предпочтительные примеры смягчающего средства включают, например, бензиловый спирт и т.д.
Предпочтительные примеры буфера включают, например, буферы, такие как фосфат, ацетат, карбонат, цитрат и т.д.
Предпочтительные примеры консерванта включают, например, эфиры п-оксибензойной кислоты, хлорбутанол, бензиловый спирт, фенетиловый спирт, дегидроуксусную кислоту, сорбиновую кислоту и т.д.
Доза соединения по настоящему изобретению изменяется в зависимости от субъекта введения, пути введения, заболевания, общего состояния и т.д., но когда, например, указанная доза относится к пероральному введению взрослому больному аллергией (около 60 кг веса), однократная доза составляет, как правило, от приблизительно 0,005 дo 50 мг/кг массы тела, предпочтительно от 0,01 дo 5 мг/кг массы тела на дозу и более предпочтительно доза составляет от 0,025 дo 2 мг/кг массы тела; предпочтительно, чтобы это количество вводилось однократно или несколько раз в день.
В случае перорального введения обычная подходящая ежедневная доза составляет от приблизительно 0,01 мг/кг дo 10 г/кг массы тела, предпочтительно от 0,1 мг/кг дo 1 г/кг и дозу вводят однократно или раздельно 2-4 раза в день. Когда дозу вводят внутривенно, ежедневная доза соответственно составляет от приблизительно 0,01 мг/кг дo 1 г/кг массы тела, и ее вводят однократно или раздельно несколько раз в день. Дозу соответственно определяют в каждом случае с учетом состояния, возраста, пола и т.д.
Фармацевтическая композиция, Syk ингибитор, лекарственное средство для лечения аллергических заболеваний, лекарственное средство для лечения бронхиальной астмы, лекарственное средство для лечения аллергического ринита, лекарственное средство для лечения аллергического дерматита, лекарственное средство для лечения аллергического конъюнктивита, лекарственное средство для лечения аутоиммунных заболеваний, лекарственное средство для лечения ревматоидного артрита, лекарственное средство для лечения системной красной волчанки, лекарственное средство для лечения рассеянного склероза, лекарственное средство для лечения злокачественной опухоли, лекарственное средство для лечения B-лимфомы, В-клеточного лейкоза, содержащее соединение, представленное общей формулой (I) по настоящему изобретению, может быть использовано совместно с другим противоаллергическим терапевтическим и/или профилактическим агентом.
В этом случае лекарственное средство по настоящему изобретению и другое противоаллергическое лекарственное средство может быть произведено в виде комбинированного препарата или отдельных фармацевтических препаратов, соответственно, содержащих подходящее количество каждой дозы или при необходимости может быть набором. Когда они произведены в виде отдельных фармацевтических препаратов, каждый препарат может быть введен в одно и то же время или введен с интервалом по времени.
В качестве противоаллергического лекарственного средства известны ингибитор высвобождения химических медиаторов, антагонист гистамина, ингибитор синтеза тромбоксана, ингибитор цитокина TH2, антагонист лейкотриена и т.д., но противоаллергическое лекарственное средство, которое может быть использовано в комбинации с лекарственным средством по настоящему изобретению, не ограничено конкретными вариантами и может быть использовано в подходящей комбинации. Например, в качестве ингибитора высвобождения химических медиаторов может быть использован кромогликат натрия, фумарат эмедастина, суплатаст тозилат, гидрохлорид эпинастина и т.д., в качестве антагониста гистамина может быть использован фумарат клемастина, d-хлорфенираминмалеат, гидрохлорид ципрогептадина, гидрохлорид прометазина, гидрохлорид гомохлорциклизина, меквитазин, гидрохлорид дифенгидрамина, эбастин, гидрохлорид цетиризина, гидрохлорид олопатадина, гидрохлорид фексофенадина и т.д., в качестве ингибитора синтеза тромбоксана может быть использован гидрохлорид озагрела и т.д., в качестве антагониста лейкотриена может быть использован гидрат пранлукаста, зафирлукаст и т.д.
Далее, в особенности описан способ получения соединения, представленного общей формулой (I) по настоящему изобретению. Тем не менее, настоящее изобретение не может быть ограничено указанным способом. Получение соединения по настоящему изобретению может быть соответствующим образом выполнено в части, которую легко осуществить. Кроме того, когда имеется реакционоспособная функциональная группа, установка защиты или снятие защиты может быть соответственно осуществлено на каждой стадии, и соответственно может использоваться реагент, отличный от иллюстрируемых реагентов, чтобы способствовать развитию реакции.
Любое соединение, полученное на каждой стадии, может быть выделено и очищено традиционным способом, но соединение может необязательно быть введено в реакцию на следующей стадии без выделения и очистки.
В качестве способа выделения и очистки, когда они проводятся, традиционный способ, такой как перегонка, кристаллизация, перекристаллизация, хроматография на колонке с силикагелем, тонкослойная хроматография, препаративная HPLC, может быть выбран или осуществлен в комбинации.
В случае, когда является желательным соединение, в котором R7 представляет собой нуклеофильный заместитель, оно может быть получено с помощью следующего способа получения.
Получение соединения по примеру 1 (способ представлен на схеме 1)

(где X представляет собой уходящую группу, такую как атом галогена, и R7‘ представляет собой нуклеофильный заместитель из числа R7, и каждый иной символ представляет собой значение, указанное выше).
Стадия 1
Соединение (3) получают путем того, что соединение (2) подвергают галогенированию, используя агент галогенирования, такой как тионилхлорид, оксалилхлорид в растворителе, таком как дихлорметан, 1,2-дихлорэтан, хлороформ, четыреххлористый углерод, ацетонитрил, толуол или подвергают реакции, используя отщепление уходящей группы реагентом, таким как метансульфонилхлорид, п-толуолсульфонилхлорид, трифторметановый ангидрид сульфоновой кислоты в присутствии основания, такого как триэтиламин, N,N-диизопропилэтиламин и пиридин.
Стадия 2
Соединение (5) получают путем превращения соединения (4) в тиомочевину, используя 9-флуоренилметоксикарбонилизотиоцианат, пиперидин в растворителе, таком как этанол, изопропанол, этилацетат, тетрагидрофуран, N,N-диметилформамид, диметилсульфоксид, хлороформ, ацетонитрил, диметиловый эфир этиленгликоля, 1,4-диoксан, с последующим взаимодействием с соединением (3).
Стадия 3
Соединение (6) получают, подвергая реакции соединение (5) в уксусном ангидриде как растворителе, в присутствии муравьиной кислоты или реакции, используя диметилацеталь N,N-диметилформамида, диэтилацеталь N,N-диметилформамида и т.д., в растворителе, таком как метанол, этанол, изопропанол, тетрагидрофуран, ацетонитрил, толуол в присутствии основания, такого как триэтиламин, N,N-диизопропилэтиламин, пиридин.
Стадия 4
Соединение, представленное общей формулой [I-2], получают путем взаимодействия соединения (6), полученного на стадии 3, с соединением (8) в растворителе, таком как толуол, бензол, 1,4-диoксан, тетрагидрофуран, дихлорметан, 1,2-дихлорэтан, хлороформ, четыреххлористый углерод, диметиловый эфир этиленгликоля, 1-метил-2-пирролидинoн, N,N-диметилформамид, N,N-диметилацетамид в присутствии основания, такого как 2,2′-бис(дифенилфосфино)-1,1-бинафтил, ацетат палладия и карбонат цезия, карбонат калия, фосфат калия.
Получение соединения по примеру 2 (способ представлен на схеме 2)
(Каждый символ на схеме представляет собой соответственно значение, указанное выше)

Стадия 5
Соединение (10) получают путем взаимодействия хлорангидрида никотиновой кислоты (8) и производного малоновой кислоты (9) в растворителе, таком как ацетонитрил, тетрагидрофуран, 1,4-диоксан, N,N-диметилформамид в присутствии хлорида магния и основания, такого как триэтиламин, N,N-диизопропилэтиламин, следуя методике, описанной в Оrganic Letters, 5 (18), 3233-3236, (2003), и затем осуществляя декарбоксилирование и снятие защиты трет-бутоксикарбонильной группой, используя одновременно концентрированную соляную кислоту.
Стадия 6
Соединение (12) получают путем взаимодействия соединения (10) с соединением (11) в растворителе, таком как ацетонитрил, тетрагидрофуран, 1,4-диoксан, N,N-диметилформамид, дихлорметан, 1,2-дихлорэтан, хлороформ, четыреххлористый углерод. В этой реакции могут быть использованы основания, такие как пиридин, триэтиламин, N,N-диизопропилэтиламин в зависимости от методики. Когда соединение (11) представляет собой соединение карбоновой кислоты, соединение (12) может быть получено путем проведения реакции, используя агент конденсирования, такой как дициклогексилкарбодиимид, 1-этил-3-(3-диметиламинопропил)карбодиимид, диизопропилкарбодиимид, дифенилфосфорилазид, 2-этокси-1-этоксикарбонил-1,2-дигидрохинолин (EEDQ).
Стадия 7
Соединение (13) получают путем взаимодействия соединения (12), используя реагент Лавессона (Lawesson) в растворителе, таком как тетрагидрофуран, 1,4-диoксан, дихлорметан, 1,2-дихлорэтан, хлороформ, четыреххлористый углерод. Соединение, представленное общей формулой [I], получают путем выполнения затем процесса по методике, приведенной выше стадии 4.
Получение соединения по примеру 3 (способ представлен на схеме 3)

Стадия 8
Соединение (15) может быть получено путем взаимодействия соединения (7) и соединения (14) в соответствии со способом, представленным на стадии 4.
Стадия 9
Соединение [I] может быть получено путем взаимодействия соединения (15) с соединением (16) в растворителе, таком как диметоксиэтан, диэтиловый эфир, ацетон, бутанон, диoксан, тетрагидрофуран в присутствии тетракис(трифенилфосфин)палладия и основания, такого как гидрокарбонат натрия, гидрокарбонат калия, карбонат натрия, карбонат калия.
Когда соединение [I], имеющее «-CONH-связь» в заместителе R7, является желательным, требуемое соединение [I], имеющее «-CONH-связь», может быть получено путем введения соединения, имеющего «-COOH группу» и соединения, имеющего «-NH2 группу» в реакцию амидирования.
Кроме того, когда соединение [I], имеющее «-N(-(замещенный)C1-6 алкил)-» в заместителе R7, является желательным, может быть осуществлена известная реакция алкилирования, используя соединение, имеющее группу «-NH-».
Когда соединение [I], имеющее группу «-CH(OH)-» в заместителе R7 является желательным, может быть осуществлена известная реакция Гриньяра с содержащим группу «-CHO» соединением.
Когда кислотно-аддитивная соль или основно-аддитивная соль соединения, представленного общей формулой [I], является желательной, может быть использован хорошо известный способ. Например, соединение, представленное общей формулой [I], растворяют в воде, метаноле, этаноле, н-пропаноле, изопропаноле, диэтиловом эфире, тетрагидрофуране, 1,4-диoксане, этилацетате, дихлорметане, 1,2-дихлорэтане или хлороформе или в смешанном растворителе, и затем добавляют растворитель, упомянутый выше, в котором растворяется желаемая кислота или основание, и выпавший в осадок кристалл может быть тут же отделен фильтрованием или концентрированием при пониженном давлении.
Когда соединение, представленное общей формулой [I], или промежуточное соединение представляет собой рацемат и требуется оптически активная субстанция, он может быть разделен хорошо известным способом. Что касается способа разделения, то указанный способ может быть соответственно выбран или осуществлен в комбинации с традиционным способом, таким как отделение кристаллизацией соли, используя оптически активный 1-фенетиламин, оптически активный алкалоид, оптически активную камфаросульфоновую кислоту, оптически активную винную кислоту и их производные, перекристаллизацией, хиральной хроматографией на колонке, хиральной препаративной HPLC.
Полученное соединение по изобретению может быть отделено и очищено, при необходимости, с помощью традиционного способа, например перекристаллизацией, повторным высаживанием или традиционным способом, как правило, использованным для отделения и очистки органического соединения, например способом, используя синтетический адсорбирующий агент, такой как адсорбционная хроматография на колонке, распределительная хроматография на колонке, способом с использованием ионообменной хроматографии, способом, в котором соответственно объединяют способы хроматографии на колонке с использованием нормальной фазы/обращенной фазы на силикагеле или алкилированном силикагеле и элюирование осуществляют с помощью подходящего элюента.
Соединение, представленное общей формулой [I] по настоящему изобретению, и способ его получения более детально описаны с помощью следующих примеров. Однако подразумевается, что настоящее изобретение не ограничено указанными примерами.
Пример 1
Получение 1-метил-4-{5-[6-(4-метилпиридин-2-иламино)пиридин-2-ил]тиазол-2-ил}пиперазин-2-она (соединение A-1):
Стадия 1. Получение 2-бром-6-хлорметилпиридина

2-Бром-6-гидроксиметилпиридин (5,00 г, 25,5 ммоль) растворяют в хлороформе (30 мл) и добавляют тионилхлорид (2,8 мл, 38,3 ммоль), затем смесь перемешивают при комнатной температуре в течение 3 часов. После этого реакционный раствор концентрируют, к осадку добавляют насыщенный водный раствор гидрокарбоната натрия и осадок отделяют фильтрованием. После этого промывают водой, осуществляют сушку в вакууме и получают указанное в заголовке соединение (5,20 г, 99%).
Стадия 2. Получение амида 3-оксопиперазин-1-карботионовой кислоты

Пиперазин-2-он (1,43 г, 14,3 ммоль) растворяют в хлороформе (30 мл) и добавляют изотиоцианат 9-флуоренилметоксикарбонила (4,02 г, 14,3 ммоль), а затем смесь перемешивают при комнатной температуре в течение 2 часов. После этого реакционный раствор концентрируют, к остатку добавляют диэтиловый эфир и осадок отделяют фильтрованием. Полученный осадок растворяют в N,N-диметилформамиде (10 мл), добавляют пиперидин (10 мл) и смесь перемешивают при комнатной температуре в течение 6 часов. После этого реакционный раствор концентрируют повторно, к остатку добавляют диэтиловый эфир и осадок отделяют фильтрованием и после сушки в вакууме получают указанное в заголовке соединение (2,22 г, 98%).
Стадия 3. Получение 6-бромпиридин-2-илметилового эфира 3-оксопиперазин-1-карбоксиимидотионовой кислоты

2-Бром-6-хлорметилпиридин (1,50 г, 7,26 ммоль), полученный на cтадии 1, растворяют в этаноле (15 мл) и добавляют амид 3-оксопиперазин-1-карботионовой кислоты (1,16 г, 7,29 ммоль), полученный на cтадии 2, и смесь нагревают до температуры кипения в течение 2 часов. После этого реакционный раствор охлаждают до комнатной температуры, раствор, полученный концентрацией в вакууме, нейтрализуют насыщенным водным раствором гидрокарбоната натрия и выпавшее в осадок твердое вещество отделяют фильтрованием, промывают водой и получают указанное в заголовке соединение (1,67 г, 70%).
Стадия 4. Получение 4-[5-(6-бромпиридин-2-ил)тиазол-2-ил]пиперазин-2-она

Муравьиную кислоту (5 мл) и ангидрид уксусной кислоты (10 мл) добавляют к 6-бромпиридин-2-илметиловому эфиру 3-оксопиперазин-1-карбоксиимидотионовой кислоты, полученному на cтадии 3 (1,67 г, 5,08 ммоль), смесь перемешивают при комнатной температуре в течение 12 часов. Кристаллы, выпавшие в осадок при концентрации в вакууме реакционного раствора, отделяют фильтрованием, промывают водой и получают указанное в заголовке соединение (1,37 г, 80%).
1H-ЯМР (400 MГц, ДМСО-d6) : 8,22 (1H, ушир.), 8,01 (1H, с), 7,83 (1H, д, J=7,8 Гц), 7,69 (1H, т, J=7,8 Гц), 7,38 (1H, д, J=7,8 Гц), 4,04 (2H, с), 3,73-3,68 (2H, м), 3,38-3,34 (2H, м).
Стадия 5. Получение 4-[5-(6-бромпиридин-2-ил)тиазол-2-ил]-1-метилпиперазин-2-она

4-[5-(6-Бромпиридин-2-ил)тиазол-2-ил]пиперазин-2-он, полученный на стадии 4 (200 мг, 0,59 ммоль) растворяют в тетрагидрофуране (2 мл) и N,N-диметилформамиде (2 мл) и затем добавляют гидрид натрия (60% в масле, 26 мг, 0,65 ммоль), добавляют метилиодид (39 мкл, 0,62 ммоль) и смесь перемешивают в течение ночи при комнатной температуре. К реакционному раствору добавляют воду и остаток, полученный концентрацией в вакууме, экстрагируют этилацетатом и промывают насыщенным солевым раствором. Органический слой сушат над сульфатом натрия и концентрируют в вакууме, получают указанное в заголовке соединение (188 мг, 90%).
Стадия 6. Получение 1-метил-4-{5-[6-(4-метилпиридин-2-иламино)пиридин-2-ил]тиазол-2-ил}пиперазин-2-она

4-[5-(6-Бромпиридин-2-ил)тиазол-2-ил]-1-метилпиперазин-2-он, полученный на стадии 5 (188 мг, 0,53 ммоль), растворяют в толуоле (5 мл) и затем добавляют 2-амино-4-метилпиридин (58 мг, 0,53 ммоль), 2,2′-бис(дифенилфосфино)-1,1′-бинафтил (66 мг, 0,11 ммоль), ацетат палладия (18 мг, 0,08 ммоль) и карбонат цезия (260 мг, 0,80 ммоль) и смесь перемешивают в течение ночи при температуре 100°C. К реакционному раствору добавляют воду и экстрагируют этилацетатом и органический слой промывают насыщенным солевым раствором. Органический слой сушат над сульфатом натрия и после концентрации в вакууме остаток промывают метанолом, получают указанное в заголовке соединение (77 мг, 38%).
1H-ЯМР (400 MГц, ДМСO-d6) : 8,09 (1H, д, J=4,8 Гц), 7,92 (1H, ушир.), 7,89 (1H, с), 7,60 (1H, дд, J=8,4, 7,6 Гц), 7,26 (1H, д, J=8,4 Гц), 7,26 (1H, д, J=7,6 Гц), 6,75 (1H, ушир.д, J=4,8 Гц), 4,07 (2H, с), 3,80-3,77 (2H, м), 3,52-3,50 (2H, м), 2,92 (3H, с), 2,34 (3H, с).
Пример 2
Получение 1-{5-[6-(4-метилпиридин-2-иламино)пиридин-2-ил]тиазол-2-ил}пиперидин-4-карбоновой кислоты (соединение A-2):
(1) Получение этилового эфира 1-{5-[6-(4-метилпиридин-2-иламино)пиридин-2-ил]тиазол-2-ил}пиперидин-4-карбоновой кислоты:
Стадия 1. Получение этилового эфира 1-тиокарбамоилпиперидин-4-карбоновой кислоты

9-Флуоренилметоксикарбонилизотиоцианат (5,90 г, 21,0 ммоль) растворяют в хлороформе (20 мл), после чего добавляют раствор этилового эфира пиперидин-4-карбоновой кислоты (3,30 г, 21,0 ммоль) в хлороформе (10 мл) и смесь перемешивают при комнатной температуре в течение 1 часа. Реакционный раствор концентрируют в вакууме и осадок, полученный путем добавления диэтилового эфира, отделяют фильтрованием. Полученное вещество растворяют в N,N-диметилформамиде (20 мл) и добавляют пиперидин (20 мл) и смесь перемешивают при комнатной температуре в течение 1 часа. После этого реакционный раствор промывают этилацетатом и органический слой промывают насыщенным солевым раствором и сушат над сульфатом натрия, остаток, полученный концентрацией в вакууме, очищают хроматографией на силикагеле (смесь н-гексан:этилацетат) и получают указанное в заголовке соединение (4,34 г, 100%).
Стадия 2. Получение этилового эфира 1-[5-(6-бромпиридин-2-ил)тиазол-2-ил]пиперидин-4-карбоновой кислоты

2-Бром-6-хлорметилпиридин, полученный на стадии 1 примера 1 (2,90 г, 14,0 ммоль), растворяют в этаноле (30 мл) и добавляют этиловый эфир 1-тиокарбамоилпиперидин-4-карбоновой кислоты (3,00 г, 13,9 ммоль), полученный на стадии 1, смесь нагревают до температуры кипения в течение 2 часов. Реакционный раствор охлаждают до комнатной температуры, добавляют диметилацеталь диметилформамида (2,8 мл, 21,1 ммоль) и триэтиламин (5,9 мл, 42,3 ммоль) и смесь вновь нагревают до температуры кипения в течение 1 часа. После концентрации добавляют воду и реакционный раствор экстрагируют этилацетатом и промывают насыщенным солевым раствором. Органический слой сушат над сульфатом магния и остаток, полученный концентрацией в вакууме, очищают хроматографией на силикагеле (смесь н-гексан:этилацетат = от 50:50 дo 0:100) и получают указанное в заголовке соединение (3,60 г, 65%).
1H-ЯМР (400 MГц, ДМСO-d6) : 7,92 (1H, с), 7,77 (1H, д, J=7,8 Гц), 7,64 (1H, т, J=7,8 Гц), 7,32 (1H, д, J=7,8 Гц), 4,05 (2H, кв, J=7,2 Гц), 3,94-3,85 (2H, м), 3,22-3,12 (2H, м), 2,67-2,57 (2H, м), 1,94-1,86 (1H, м), 1,65-1,53 (2H, м), 1,16 (3H, т, J=7,2 Гц).
Стадия 3. Получение этил 1-{5-[6-(4-метилпиридин-2-иламино)пиридин-2-ил]тиазол-2-ил}пиперидин-4-карбоксилата

rac-2,2′-Бис(дифенилфосфино)-1,1′-бинафтил (434 мг, 0,70 ммоль) и ацетат палладия (117 мг, 0,52 ммоль) растворяют в толуоле (15 мл), после этого последовательно добавляют 2-амино-4-пиколин (395 мг, 3,65 ммоль) и раствор этил 1-[5-(6-бромпиридин-2-ил)тиазол-2-ил]пиперидин-4-карбоксилата в толуоле (15 мл), полученный на стадии 2 (1,38 г, 3,48 ммоль), затем добавляют карбонат цезия (1,70 г, 5,22 ммоль) и смесь перемешивают при температуре 100°C в течение ночи. К реакционному раствору добавляют воду, экстрагируют этилацетатом и промывают насыщенным солевым раствором. Органический слой сушат над безводным сульфатом натрия и остаток, полученный концентрацией в вакууме, очищают хроматографией на силикагеле (смесь н-гексан:этилацетат = от 1:1 дo 1:10) и получают указанное в заголовке соединение (817 мг, 55%).
1H-ЯМР (400 MГц, ДМСO-d6) : 9,53 (1H, с), 8,08 (1H, д, J=5,2 Гц), 7,92 (1H, с), 7,83 (1H, с), 7,58 (1H, дд, J=8,0, 7,6 Гц), 7,23 (2H, дд, J=9,6, 7,6 Гц), 6,75-6,74 (1H, м), 4,09 (2H, кв, J=6,9 Гц), 3,94-3,87 (2H, м), 3,24-3,164 (2H, м), 2,69-2,61 (1H, м), 2,33 (3H, с), 1,99-1,93 (2H, м), 1,71-1,60 (2H, м), 1,20 (3H, т, J=7,2 Гц).
(2) Получение 1-{5-[6-(4-метилпиридин-2-иламино)пиридин-2-ил]тиазол-2-ил}пиперидин-4-карбоновой кислоты (cоединение A-2):

Этил 1-{5-[6-(4-метилпиридин-2-иламино)пиридин-2-ил]тиазол-2-ил}пиперидин-4-карбоксилат, полученный в указанном выше примере (1) (817 мг, 1,93 ммоль), растворяют в смешанном растворителе из тетрагидрофурана (4 мл), метанола (4 мл) и воды (2 мл), добавляют моногидрат гидроксида лития (202 мг, 4,81 ммоль) и затем смесь перемешивают при температуре 50°C в течение 5 часов. Концентрат, полученный концентрацией в вакууме, нейтрализуют с помощью 0,1н. раствора соляной кислоты, выпавшее в осадок твердое вещество отделяют фильтрованием, промывают водой и получают указанное в заголовке соединение (721 мг).
1H-ЯМР (400 MГц, ДМСO-d6) : 12,34 (1H, ушир.с), 9,53 (1H, с), 8,08 (1H, д, J=5,2 Гц), 7,92 (1H, с), 7,83 (1H, с), 7,58 (1H, дд, J=4,0, 8,0 Гц), 7,23 (2H, дд, J=11,6, 8,0 Гц), 6,75-6,73 (1H, м), 3,92-3,86 (2H, м), 3,23-3,15 (2H, м), 2,58-2,52 (1H, м), 2,33 (3H, с), 1,99-1,90 (2H, м), 1,69-1,58 (2H, м).
MC: 396,2 (M++1).
Пример 3
Получение 1-{5-[6-(4-метилпиридин-2-иламино)пиридин-2-ил]тиазол-2-ил}пиперидин-4-карбоксамида (cоединение A-3):

1-{5-[6-(4-Метилпиридин-2-иламино)пиридин-2-ил]тиазол-2-ил}пиперидин-4-карбоновую кислоту (100 мг, 0,25 ммоль), полученную в примере 2, растворяют в N,N-диметилформамиде (2 мл) и добавляют гексафторфосфат бензотриазолилoкситрипирролидинoфосфония (263 мг, 0,50 ммоль), диизопропилэтиламин (0,18 мл, 1,03 ммоль) и хлорид аммония (41 мг, 0,77 ммоль), после чего смесь перемешивают при комнатной температуре в течение 1 часа. К реакционному раствору добавляют насыщенный водный раствор гидрокарбоната натрия и выпавшее в осадок твердое вещество отделяют фильтрованием, промывают водой и получают указанное в заголовке соединение (89 мг, 89%).
1H-ЯМР (400 MГц, ДМСO-d6) : 9,53 (1H, с), 8,08 (1H, д, J=5,2 гц), 7,93 (1H, с), 7,83 (1H, с), 7,58 (1H, т, J=8,0 Гц), 7,32 (1H, ушир.с), 7,23 (2H, т, J=8,0 Гц), 6,83 (1H, ушир.с), 6,74 (1H, д, J=5,2 Гц), 3,99-3,92 (2H, м), 3,17-3,08 (2H, м), 2,43-2,34 (1H, м), 2,33 (3H, с), 1,86-1,78 (2H, м), 1,67-1,57 (2H, м).
MC: 395,2 (M++1).
Пример 4
Получение N-метил-1-{5-[6-(4-метилпиридин-2-иламино)метил-1-пиридин-2-ил]тиазол-2-ил}пиперидин-4-
карбоксамида (cоединение A-4):

1-{5-[6-(4-Метилпиридин-2-иламино)пиридин-2-ил]тиазол-2-ил}пиперидин-4-карбоновую кислоту (200 мг, 0,51 ммоль), полученную в примере 2, растворяют в N,N-диметилформамиде (5 мл), добавляют гидрохлорид метиламина (68 мг, 1,00 ммоль), гексафторфосфат бензотриазолилoкситрипирролидинoфосфония (520 мг, 1,00 ммоль) и триэтиламин (0,28 мл, 2,01 ммоль) и смесь перемешивают в течение ночи при комнатной температуре. К реакционному раствору добавляют воду и выпавшее в осадок твердое вещество отделяют фильтрованием, его промывают водой и получают указанное в заголовке соединение (160 мг, 78%).
1H-ЯМР (400 MГц, ДМСO-d6) : 9,53 (1H, с), 8,08 (1H, д, J=5,1 Гц), 7,93 (1H, с), 7,82 (1H, с), 7,79 (1H, кв, J=4,5 Гц), 7,58 (1H, т, J=8,0 Гц), 7,23 (2H, т, J=8,0 Гц), 6,74 (1H, д, J=5,1 Гц), 4,01-3,92 (2H, м), 3,18-3,07 (2H, м), 2,57 (3H, д, J=4,5 Гц), 2,44-2,35 (1H, м), 2,32 (3H, с), 1,83-1,75 (2H, м), 1,70-1,57 (2H, м).
MC: 409,2 (M++1).
Пример 5
Получение N-(2-гидроксиэтил)-1-{5-[6-(4-метилпиридин-2-иламино)пиридин-2-ил]тиазол-2-ил}пиперидин-4-карбоксамида (соединение A-5):

Получают в соответствии с методикой, аналогичной методике получения соединения по примеру 4, используя 2-гидроксиэтиламин (61 мг, 1,00 ммоль) вместо гидрохлорида метиламина, указанное в заголовке соединение (70 мг, 32%) получают из 1-{5-[6-(4-метилпиридин-2-иламино)пиридин-2-ил]тиазол-2-ил}пиперидин-4-карбоновой кислоты (200 мг, 0,50 ммоль), полученной в примере 2.
1H-ЯМР (400 MГц, ДМСO-d6) : 9,53 (1H, с), 8,08 (1H, д, J=5,1 Гц), 7,93 (1H, с), 7,82-7,86 (2H, м), 7,58 (1H, т, J=8,0 Гц), 7,23 (2H, т, J=8,0 Гц), 6,74 (1H, д, J=5,1 Гц), 4,64 (1H, т, J=5,7 Гц), 4,01-3,92 (2H, м), 3,43-3,35 (2H, м), 3,16-3,06 (4H, м), 2,47-2,38 (1H, м), 2,33 (3H, с), 1,83-1,58 (4H, м).
MC: 439,2 (M++1).
Пример 6
Получение метилового эфира транс-4-{5-[6-(4-метилпиридин-2-иламино)пиридин-2-ил]тиазол-2-ил}циклогексанкарбоновой кислоты (соединение A-6):
Стадия 1. Получение гидрохлорида 2-амино-1-(6-бромпиридин-2-ил)этанона

Хлорид магния (21,30 г, 224 ммоль) и триэтиламин (62 мл, 446 ммоль) последовательно добавляют к суспензии в ацетонитриле (300 мл) моноэтилового эфира 2-трет-бутоксикарбониламидомалоновой кислоты (50,30 г, 203 ммоль) в атмосфере Аr при охлаждении льдом и смесь перемешивают в течение 1 часа. Затем добавляют по каплям раствор 6-бромпиридин-2-карбонилхлорида (37,40 г, 170 ммоль) в ацетонитриле (150 мл) при той же температуре в течение 3 часов и смесь перемешивают в течение 1 часа. После этого реакционный раствор концентрируют, добавляют этилацетат (300 мл) и нерастворимые примеси отфильтровывают. Фильтрат промывают 10% водным раствором лимонной кислоты, насыщенным солевым раствором и сушат над сульфатом магния и после концентрации в вакууме получают маслянистую субстанцию. Концентрированную соляную кислоту (200 мл) добавляют к раствору полученной маслянистой субстанции в этаноле (200 мл) и нагревают до температуры кипения в течение 6 часов. После этого концентрируют досуха при пониженном давлении, реакционный раствор промывают смешанным растворителем этанол-изопропиловый эфир (1:3), отделяют фильтрованием, сушат в вакууме и получают указанное в заголовке соединение (25,40 г, 50%).
1H-ЯМР (400 MГц, ДМСO-d6) : 8,42-8,31 (3H, м), 8,16 (1H, т, J=7,8 Гц), 8,07 (1H, дд, J=7,8, 1,2 Гц), 7,92 (1H, дд, J=7,8, 1,2 Гц), 4,58 (2H, ушир.с).
Стадия 2. Получение метилового эфира транс-4-[2-(6-бромпиридин-2-ил)-2-оксоэтилкарбамоил]циклогексанкарбоновой кислоты

К суспензии гидрохлорида 2-амино-1-(6-бромпиридин-2-ил)этанона (10,00 г, 39,8 ммоль) в ацетонитриле (200 мл), полученного на стадии 1, добавляют по каплям при охлаждении льдом метиловый эфир транс-4-хлоркарбонилциклогексанкарбоновой кислоты (9,00 г, 44,0 ммоль), раствор триэтиламина (13,9 мл, 100 ммоль) в ацетонитриле (60 мл) в течение 2 часов. После этого реакционный раствор концентрируют, добавляют воду и экстрагируют этилацетатом. Органический слой последовательно промывают 10% раствором лимонной кислоты, насыщенным водным раствором гидрокарбоната натрия, насыщенным солевым раствором и сушат над сульфатом магния. После концентрации остаток очищают флэш-хроматографией на силикагеле (смесь н-гексан:этилацетат = 1:2) и получают указанное в заголовке соединение (7,38 г, 48%).
Стадия 3. Получение метилового эфира транс-4-[5-(6-бромпиридин-2-ил)тиазол-2-ил]циклогексанкарбоновой кислоты

Раствор метилового эфира транс-4-[2-(6-бромпиридин-2-ил)-2-оксоэтилкарбамоил]циклогексанкарбоновой кислоты (7,38 г, 19,3 ммоль) в тетрагидрофуране (120 мл), полученный на стадии 2, и реагент Лавессона (Lаwson) (8,20 г, 20,3 ммоль) нагревают до температуры кипения в течение 2 часов в токе Ar. После этого реакционный раствор концентрируют добавляют насыщенный водный раствор гидрокарбоната натрия и экстрагируют этилацетатом. Органический слой промывают насыщенным водным раствором гидрокарбоната натрия и сушат над сульфатом магния и после концентрации остаток очищают флэш-хроматографией на силикагеле (смесь н-гексан:этилацетат = 1:1) и получают указанное в заголовке соединение (6,1 г).
1H-ЯМР (400 MГц, ДМСO-d6) : 8,41 (1H, с), 7,96 (1H, дд, J=7,6, 1,2 Гц), 7,92 (1H, т, J=7,6 Гц), 7,43 (1H, дд, J=7,6, 1,2 Гц), 3,62 (3H, с), 2,97-3,05 (1H, м), 2,45-2,37 (1H, м), 2,19-2,12 (2H, м), 2,05-1,98 (2H, м), 1,63-1,46 (4H, м).
Стадия 4. Получение метилового эфира транс-4-{5-[6-(4-метилпиридин-2-иламино)пиридин-2-ил]тиазол-2-ил}циклогексанкарбоновой кислоты

Суспензию метилового эфира транс-4-[5-(6-бромпиридин-2-ил)тиазол-2-ил]циклогексанкарбоновой кислоты (1,80 г, 4,72 ммоль) в толуоле (100 мл), полученную на стадии 3, 2-амино-4-пиколин (613 мг, 5,66 ммоль), ацетат палладия (159 мг, 0,71 ммоль), rac-2,2′-бис(дифенилфосфино)-1,1′-бинафтил (529 мг, 0,85 ммоль), карбонат цезия (2,00 г, 6,14 ммоль) нагревают и перемешивают при температуре 90°C в токе Ar в течение 7 часов. К реакционному раствору добавляют воду и экстрагируют смешанным растворителем: этилацетат-тетрагидрофуран. Органический слой промывают насыщенным солевым раствором и сушат над сульфатом магния; остаток, полученный концентрацией в вакууме, очищают флэш-хроматографией на силикагеле (смесь н-гексан:этилацетат = 1:2) и затем промывают смешанным растворителем н-гексан-этилацетат и получают указанное в заголовке соединение (1,60 г, 83%).
1H-ЯМР (400 MГц, ДМСО-d6) : 9,67 (1H, ушир.с), 8,30 (1H, с), 8,10 (1H, дд, J=5,2, 0,8 Гц), 7,92 (1H, ушир.), 7,68 (1H, дд, J=8,0, 7,6 Гц), 7,40 (1H, ушир.д, J=8,0 Гц), 7,40 (1H, ушир.д, J=7,6 Гц), 6,78-6,76 (1H, м), 3,62 (3H, с), 3,05-2,97 (1H, м), 2,45-2,38 (1H, м), 2,35 (3H, с), 2,21-2,15 (2H, м), 2,05-1,99 (2H, м), 1,64-1,48 (4H, м).
Пример 7
Получение транс-4-{5-[6-(4-метилпиридин-2-иламино)пиридин-2-ил]тиазол-2-ил}циклогексанкарбоновой кислоты (соединение A-7):

Раствор метилового эфира транс-4-{5-[6-(4-метилпиридин-2-иламино)пиридин-2-ил]тиазол-2-ил}циклогексанкарбоновой кислоты (1,50 г, 3,67 ммоль), полученный в указанном выше примере 6, моногидрат гидроксида лития (770 мг, 18,4 ммоль) в смеси метанола (40 мл), тетрагидрофурана (40 мл) и воды (20 мл) перемешивают при комнатной температуре в течение 15 часов. После этого реакционный раствор концентрируют, затем его нейтрализуют с помощью 2н. раствора соляной кислоты (9,2 мл, 18,4 ммоль) и осадок отфильтровывают и промывают водой и этилацетатом. После этого его подвергают сушке в вакууме и получают указанное в заголовке соединение (1,41 г, 97%).
1H-ЯМР (400 MГц, ДМСO-d6) : 12,14 (1H, ушир.), 9,67 (1H, ушир.с), 8,30 (1H, с), 8,10 (1H, д, J=4,8 Гц), 7,93 (1H, ушир.), 7,68 (1H, т, J=8,0 Гц), 7,41 (1H, д, J=8,0 Гц), 7,39 (1H, д, J=8,0 Гц), 6,77 (1H, ушир.д, J=4,8 Гц), 3,04-1,95 (1H, м), 2,35 (3H, с), 2,33-2,25 (1H, м), 2,21-2,15 (2H, м), 2,05-1,99 (2H, м), 1,62-1,45 (4H, м).
Пример 8
Получение (гидроксипиперидин-1-ил)-(транс-4-{5-[6-(4-метилпиридин-2-иламино)пиридин-2-ил)тиазол-2-ил}циклогексил)метанона (соединение A-8):

К суспензии в диметилформамиде (4 мл) транс-4-{5-[6-(4-метилпиридин-2-иламино)пиридин-2-ил]тиазол-2-ил}циклогексанкарбоновой кислоты (504 мг, 1,28 ммоль), полученной в примере 7, и 4-гидроксипиперидина (130 мг, 1,29 ммоль) последовательно добавляют при комнатной температуре триэтиламин (4 мл, 2,88 ммоль), гексафторфосфат бензотриазолилoкситрипирролидинoфосфония (731 мг, 1,40 ммоль) и смесь перемешивают в течение 1 часа. После этого реакционный раствор концентрируют, добавляют насыщенный раствор гидрокарбоната натрия и воду, осадок отфильтровывают и промывают водой, его подвергают сушке в вакууме и получают указанное в заголовке соединение (585 мг, 96%).
1H-ЯМР (400 MГц, ДМСO-d6) : 9,67 (1H, ушир.с), 8,30 (1H, с), 8,10 (1H, д, J=5,2 Гц), 7,92 (1H, ушир.), 7,69 (1H, дд, J=8,4, 7,6 Гц), 7,41 (1H, д, J=8,4 Гц), 7,39 (1H, д, J=7,6 Гц), 6,77 (1H, ушир.д, J=5,2 Гц), 4,73 (1H, д, J=4,4 Гц), 3,98-3,90 (1H, м), 3,82-3,74 (1H, м), 3,73-3,66 (1H, м), 3,25-3,16 (1H, м), 3,04-1,94 (2H, м), 2,746-2,66 (1H, м), 2,35 (3H, с), 2,20-2,13 (2H, м), 1,81-1,49 (8H, м), 1,39-1,16 (2H, м).
MC: 478,2 (M++1).
Пример 9
Получение N-((S)-1-{5-[6-(4-метилпиридин-2-иламино)пиридин-2-ил)тиазол-2-ил}этил)амина (соединение A-9):
Стадия 1. Получение трет-бутилового эфира {(S)-1-[2-(6-бромпиридин-2-ил)-2-оксоэтилкарбамоил]этил}карбаминовой кислоты

К суспензии гидрохлорида 2-амино-1-(6-бромпиридин-2-ил)этанона (500 мг, 1,99 ммоль) в ацетонитриле (11 мл), полученной на cтадии 1 примера 6, добавляют по каплям при охлаждении льдом в течение 15 минут (S)-N-трет-бутилкарбонилаланин (376 мг, 1,99 ммоль), гидрохлорид 1-(3-диметиламинопропил)-3-этилкарбодиимида (379 мг, 1,99 ммоль), моногидрат 1-гидроксибензотриазола (305 мг, 1,99 ммоль), раствор триэтиламина (0,7 мл) в ацетонитриле (4 мл). Затем смесь перемешивают при той же температуре в течение 1 часа, добавляют воду и экстрагируют этилацетатом. Органический слой промывают водой, насыщенным солевым раствором, сушат над сульфатом магния, остаток, полученный концентрацией в вакууме, очищают флэш-хроматографией на силикагеле (смесь н-гексан:этилацетат = 2:1) и получают указанное в заголовке соединение (456 мг, 59%).
Стадия 2. Получение трет-бутилового эфира {(S)-1-[5-(6-бромпиридин-2-ил)тиазол-2-ил]этил}карбаминовой кислоты

Указанное в заголовке соединение (282 мг, 71%) получают в соответствии с методикой, аналогичной методике получения соединения, описанной на стадии 3 примера 6, используя трет-бутиловый эфир {(S)-1-[2-(6-бромпиридин-2-ил)-2-оксоэтилкарбамоил]этил}карбаминовой кислоты (400 мг, 1,04 ммоль) и реагент Лавессона (419 мг, 1,04 ммоль).
Стадия 3. Получение трет-бутилового эфира ((S)-1-{5-[6-(4-метилпиридин-2-иламино)пиридин-2-ил)тиазол-2-ил}этил)карбаминовой кислоты

Указанное в заголовке соединение (234 мг, 87%) получают в соответствии с методикой, аналогичной методике получения соединения, описанной на стадии 4 примера 7, используя трет-бутиловый эфир {(S)-1-[5-(6-бромпиридин-2-ил)тиазол-2-ил]этил}карбаминовой кислоты (250 мг, 0,65 ммоль), полученный на стадии 2, 2-амино-4-пиколин (92 мг, 0,85 ммоль), ацетат палладия (15 мг, 0,07 ммоль), rac-2,2′-бис(дифенилфосфино)-1,1′-бинафтил (49 мг, 0,08 ммоль) и карбонат цезия (276 мг, 0,85 ммоль).
Стадия 4. Получение амина N-((S)-1-{5-[6-(4-метилпиридин-2-иламино)пиридин-2-ил)тиазол-2-ил}этил)

К раствору трет-бутилового эфира (S)-1-({5-[6-(4-метилпиридин-2-иламино)пиридин-2-ил)тиазол-2-ил}этил)карбаминовой кислоты (200 мг, 0,49 ммоль) в хлороформе (5 мл), полученному на стадии 3, добавляют трифторуксусную кислоту (5 мл) и смесь перемешивают при комнатной температуре в течение 2 часов. Реакционный раствор концентрируют и добавляют насыщенный раствор гидрокарбоната натрия и экстрагируют смешанным раствором этилацетат-тетрагидрофуран. Органический слой промывают насыщенным солевым раствором и сушат над сульфатом магния. Полученный остаток промывают диизопропиловым эфиром, сушат в вакууме и получают указанное в заголовке соединение (102 мг, 67%).
Пример 10
Получение N-((S)-1-{5-[6-(4-метилпиридин-2-иламино)пиридин-2-ил]тиазол-2-ил}этил)ацетамида (соединение A-10):

Ангидрид уксусной кислоты (0,02 мл, 0,24 ммоль) добавляют к раствору N-((S)-1-{5-[6-(4-метилпиридин-2-иламино)пиридин-2-ил]тиазол-2-ил}этил)амина (50 мг, 0,16 ммоль) в пиридине (3 мл), полученному в примере 9, и смесь перемешивают при комнатной температуре в течение 2 часов. Реакционный раствор концентрируют и экстрагируют смешанным раствором этилацетат-тетрагидрофуран. Органический слой промывают насыщенным солевым раствором и сушат над сульфатом магния. Полученный остаток промывают диизопропиловым эфиром, сушат в вакууме и получают указанное в заголовке соединение (43 мг, 76%).
1H-ЯМР (400 MГц, ДМСO-d6) : 9,68 (1H, с), 8,71 (1H, д, J=7,6 Гц), 8,30 (1H, с), 8,09 (1H, д, J=4,8 Гц), 7,97 (1H, ушир.с), 7,67 (1H, дд, J=8,4, 7,6 Гц), 7,40 (1H, д, J=7,2 Гц), 7,34 (1H, д, J=8,4 Гц), 6,77 (1H, д, J=5,2 Гц), 5,19-5,12 (1H, м), 2,35 (3H, с), 1,92 (3H, с), 1,51 (3H, д, J=7,2 Гц).
MC: 354,1 (M++1).
Пример 11
Получение (S)-3-метил-4-{5-[6-(4-метилпиридин-2-иламино)пиридин-2-ил]тиазол-2-ил}оксазолидин-2-она (соединение A-11):
Стадия 1. Получение трет-бутилового эфира (S)-4-[2-(6-бромпиридин-2-ил)]-2-оксоэтилкарбамоил-2,2-диметилоксазолидин-3-карбоновой кислоты

К суспензии 3-трет-бутилового эфира-4-соли лития (S)-2,2-диметилоксазолидин-3,4-дикарбоновой кислоты (12,00 г, 47,7 ммоль) в ацетонитриле (150 мл) добавляют при охлаждении льдом моногидрат 1-гидроксибензотриазола (7,30 г, 47,7 ммоль), гидрохлорид 1-(3-диметиламинопропил)-3-этилкарбодиимида (9,20 г, 47,7 ммоль), гидрохлорид 2-амино-1-(6-бромпиридин-2-ил)этанона (10,00 г, 39,7 ммоль), полученный на стадии 1 примера 6, и смесь перемешивают в течение 3 часов. После этого реакционный раствор концентрируют, добавляют воду и экстрагируют этилацетатом. Органический слой последовательно промывают 10% водным раствором лимонной кислоты, насыщенным водным раствором гидрокарбоната натрия, насыщенным солевым раствором и сушат над сульфатом магния и затем концентрируют, сушат в вакууме и получают указанное в заголовке соединение (13,70 г, 78%).
Стадия 2. Получение трет-бутилового эфира (S)-4-[5-(6-бромпиридин-2-ил)-5-тиазол-2-ил]-2,2-диметилоксазолидин-3-карбоновой кислоты

Указанное в заголовке соединение (10,50 г, 77%) получают в соответствии с методикой, аналогичной методике получения соединения, описанной на стадии 3 примера 6, используя трет-бутиловый эфир (S)-4-[2-(6-бромпиридин-2-ил)-2-оксоэтилкарбамоил-2,2-диметилоксазолидин-3-карбоновой кислоты (13,70 г, 31,0 ммоль), полученный на стадии 1, реагент Лавессона (12,50 г, 31,0 ммоль).
Стадия 3. Получение дигидрохлорида (S)-2-амино-2-[5-(6-бромпиридин-2-ил)тиазол-2-ил]этанола

К раствору трет-бутилового эфира (S)-4-[5-(6-бромпиридин-2-ил)тиазол-2-ил]-2,2-диметилоксазолидин-3-карбоновой кислоты (5,00 г, 11,4 ммоль) в тетрагидрофуране (30 мл), полученного на стадии 2, добавляют 4н. раствор хлористый водород-этилацетат (30 мл) и нагревают до температуры кипения при температуре 90°C в течение 2 часов. После этого реакционный раствор охлаждают, затем его концентрируют и промывают этиловым эфиром, сушат и получают указанное в заголовке соединение (3,57 г).
1H-ЯМР (400 MГц, ДМСO-d6) : 8,91-8,77 (2H, м), 8,62 (1H, с), 8,07 (1H, д, J=8,0 Гц), 7,98 (1H, т, J=8,0 Гц), 7,50 (1H, д, J=8,0 Гц), 6,12-5,85 (3H, м), 4,82-4,74 (1H, м), 3,90 (2H, д, J=5,6 Гц).
Стадия 4. Получение (S)-4-[5-(6-бромпиридин-2-ил)тиазол-2-ил]оксазолидин-2-она

К раствору дигидрохлорида (S)-2-амино-2-[5-(6-бромпиридин-2-ил)тиазол-2-ил]этанола (1,00 г, 2,68 ммоль) в хлороформе (15 мл), полученному на стадии 3, добавляют по каплям при охлаждении до температуры -78°C триэтиламин (3,7 мл, 2,68 ммоль), раствор трифосгена (278 мг, 0,94 ммоль) в хлороформе (5 мл) и смесь перемешивают при той же температуре в течение 2 часов. Реакционный раствор нагревают до комнатной температуры и добавляют воду и затем его экстрагируют этилацетатом. После промывания насыщенным солевым раствором органический слой сушат над сульфатом магния. После концентрации остаток очищают флэш-хроматографией на силикагеле (смесь хлороформ:метанол:этилацетат = 15:1:1) и получают указанное в заголовке соединение (712 мг, 82%).
1H-ЯМР (400 MГц, ДМСO-d6) : 8,66 (1H, ушир.с), 8,54 (1H, с), 8,03 (1H, дд, J=8,0, 0,8 Гц), 7,96 (1H, т, J=7,8 Гц), 7,48 (1H, дд, J=8,0, 0,8 Гц), 5,31 (1H, ддд, J=8,6, 4,8, 1,2 Гц), 4,74 (1H, т, J=8,6 Гц), 4,36 (1H, дд, J=8,6, 4,8 Гц).
Стадия 5. Получение (S)-4-[5-(6-бромпиридин-2-ил)тиазол-2-ил]-3-метилоксазолидин-2-она

(S)-4-[5-(6-Бромпиридин-2-ил)тиазол-2-ил]оксазолидин-2-он (488 мг, 1,50 ммоль), полученный на стадии 4, и гидрид натрия (60% в масле, 72 мг, 1,80 ммоль) суспендируют в тетрагидрофуране (5 мл) и добавляют диметилформамид (5 мл) в токе Ar и метилиодид (0,1 мл, 1,65 ммоль) при охлаждении льдом и полученный раствор перемешивают при комнатной температуре в течение 12 часов. После этого реакционный раствор концентрируют, добавляют воду и затем экстрагируют этилацетатом. Затем органический слой промывают насыщенным солевым раствором и сушат над сульфатом магния, его концентрируют и остаток очищают флэш-хроматографией на силикагеле (смесь хлороформ:метанол = 20:1) и получают указанное в заголовке соединение (205 мг, 40%).
1H-ЯМР (400 MГц, ДМСО-d6) : 8,59 (1H, с), 8,05 (1H, д, J=7,8 Гц), 7,97 (1H, т, J=7,8 Гц), 7,49 (1H, д, J=7,8 Гц), 5,29 (1H, дд, J=9,0, 5,6 Гц), 4,68 (1H, т, J=9,0 Гц), 4,32 (1H, дд, J=9,0, 5,6 Гц), 2,76 (3H, с).
Стадия 6. Получение (S)-3-метил-4-{5-[6-(4-метилпиридин-2-иламино)пиридин-2-ил]тиазол-2-ил}оксазолидин-2-она (соединение A-11)

Указанное в заголовке соединение (132 мг, 60%) получают в соответствии с методикой, аналогичной методике получения соединения, описанной на стадии 4 пример 7, используя (S)-4-[5-(6-бромпиридин-2-ил)тиазол-2-ил]-3-метилоксазолидин-2-он (205 мг, 0,60 ммоль), полученный на cтадии 5, 2-амино-4-пиколин (72 мг, 0,66 ммоль), ацетат палладия (20 мг, 0,09 ммоль), rac-2,2′-бис(дифенилфосфино)-1,1′-бинафтил (75 мг, 0,12 ммоль) и карбонат цезия (295 мг, 0,90 ммоль).
1H-ЯМР (400 MГц, ДМСO-d6) : 9,71 (1H, ушир.с), 8,47 (1H, с), 8,11 (1H, д, J=4,8 Гц), 7,90 (1H, ушир.с), 7,73 (1H, т, J=8,0 Гц), 7,48 (1H, д, J=8,0 Гц), 7,44 (1H, д, J=8,0 Гц), 6,78 (1H, д, J=4,8 Гц), 5,28 (1H, дд, J=8,8, 4,8 Гц), 4,69 (1H, т, J=8,8 Гц), 4,33 (1H, дд, J=8,8, 4,8 Гц), 2,79 (3H, с), 2,34 (3H, с).
MC: 368,1 (M++1).
Пример 12
Получение трет-бутилового эфира (S)-2,2-диметил-4-{5-[6-(4-метилпиридин-2-иламино)пиридин-2-ил]тиазол-2-ил}оксазолидин-3-карбоновой кислоты (соединение A-12):

Указанное в заголовке соединение (1,91 г, 90%) получают в соответствии с методикой, аналогичной методике получения соединения, описанной на стадии 4 примера 6, используя трет-бутиловый эфир (S)-4-[5-(6-бромпиридин-2-ил)-5-тиазол-2-ил]-2,2-диметилоксазолидин-3-карбоновой кислоты (2,00 г, 4,54 ммоль), полученный на cтадии 2 примера 11, 2-амино-4-пиколин (540 мг, 5,00 ммоль), ацетат палладия (153 мг, 0,68 ммоль), rac-2,2′-бис(дифенилфосфино)-1,1′-бинафтил (565 мг, 0,91 ммоль) и карбонат цезия (2,22 г, 6,80 ммоль).
Пример 13
Получение (S)-2-амино-2-{5-[6-(4-метилпиридин-2-иламино)пиридин-2-ил]тиазол-2-ил}этанола (соединение A-13):

К раствору трет-бутилового эфира (S)-2,2-диметил-4-{5-[6-(4-метилпиридин-2-иламино)пиридин-2-ил]тиазол-2-ил}оксазолидин-3-карбоновой кислоты (1,90 г, 4,06 ммоль) в тетрагидрофуране (10 мл), полученному в примере 12, добавляют 4н. раствор хлористый водород-этилацетат (10 мл) и перемешивают при температуре 60°C в течение 5 часов при нагревании. После этого реакционный раствор концентрируют, его нейтрализуют насыщенным водным раствором гидрокарбоната натрия и экстрагируют этилацетатом. Органический слой промывают насыщенным солевым раствором и сушат над сульфатом магния, его концентрируют и остаток очищают флэш-хроматографией на силикагеле (смесь хлороформ:метанол = 20:1) и получают указанное в заголовке соединение (588 мг, 44%).
1H-ЯМР (400 MГц, ДМСO-d6) : 9,65 (1H, ушир.с), 8,30 (1H, с), 8,10 (1H, д, J=4,8 Гц), 7,98 (1H, ушир.с), 7,67 (1H, т, J=7,8 Гц), 7,39-7,37 (2H, м), 6,77 (1H, д, J=4,8 Гц), 5,01 (1H, т, J=5,8 Гц), 4,16 (1H, дд, J=6,8, 4,4 Гц), 3,77-3,72 (1H, м), 3,56-3,50 (1H, м), 2,35 (3H, с).
MC: 328,1 (M++1).
Пример 14
Получение (S)-4-{5-[6-(4-метилпиридин-2-иламино)пиридин-2-ил]тиазол-2-ил}оксазолидин-2-она (соединение A-14):

К раствору (S)-2-амино-2-{5-[6-(4-метилпиридин-2-иламино)пиридин-2-ил]тиазол-2-ил}этанола (220 мг, 0,67 ммоль) в хлороформе (5 мл), полученному в примере 13, добавляют при охлаждении до температуры -78°C триэтиламин (0,93 мл, 0,67 ммоль), трифосген (70 мг, 0,24 ммоль) и смесь перемешивают при той же температуре в течение 3 часов. Реакционный раствор нагревают до комнатной температуры и добавляют воду и затем его экстрагируют этилацетатом. После промывания насыщенным солевым раствором органический слой сушат над сульфатом магния. После концентрации остаток промывают этанолом и получают указанное в заголовке соединение (41 мг, 17%).
1H-ЯМР (400 MГц, ДМСO-d6) : 9,70 (1H, ушир.с), 8,66 (1H, ушир.), 8,43 (1H, с), 8,11 (1H, д, J=5,2 Гц), 7,89 (1H, ушир.с), 7,72 (1H, т, J=8,0 Гц), 7,46 (1H, д, J=8,0 Гц), 7,44 (1H, д, J=8,0 Гц), 6,78 (1H, ушир.д, J=5,2 Гц), 5,28 (1H, ддд, J=8,8, 4,4, 1,2 Гц), 4,73 (1H, т, J=8,8 Гц), 4,35 (1H, дд, J=8,8, 4,4 Гц), 2,34 (3H, с.)
MC: 354,1 (M++1).
Пример 15
Получение дигидрохлорида (1-{5-[6-(4-метилпиридин-2-иламино)пиридин-2-ил]тиазол-2-ил}пиперидин-4-ил)уксусной кислоты (соединение A-15):
Стадия 1. Получение трет-бутилового эфира (1-тиокарбамоилпиперидин-4-ил)уксусной кислоты:

К раствору трет-бутилового эфира пиперидин-4-илуксусной кислоты (10,72 г, 50,0 ммоль) в хлороформе (100 мл) добавляют раствор 9-флуоренилметоксикарбонилизотиоцианата (14,07 г, 50,0 ммоль) в хлороформе (100 мл) и смесь перемешивают при комнатной температуре в течение 1 часа. Затем добавляют пиперидин (80 мл) и смесь вновь перемешивают при комнатной температуре в течение 30 минут. Затем реакционный раствор концентрируют, добавляют воду, экстрагируют этилацетатом и промывают насыщенным солевым раствором. Органический слой сушат над сульфатом магния и остаток, полученный концентрацией в вакууме, промывают изопропиловым эфиром и получают указанное в заголовке соединение (11,35 г, 98%).
Стадия 2. Получение трет-бутилового эфира 1-[5-(6-бромпиридин-2-ил)тиазол-2-ил]пиперидин-4-ил}уксусной кислоты:

трет-Бутиловый эфир (1-тиокарбамоилпиперидин-4-ил)уксусной кислоты (11,95 г, 46,3 ммоль), полученный на cтадии 1, добавляют к раствору 2-бром-6-хлорметилпиридина (9,55 г, 6,3 ммоль) в этаноле (100 мл), полученному на cтадии 1 примера 1, и смесь нагревают до температуры кипения в течение ночи. Температуру реакционного раствора доводят до комнатной; добавляют диметилацеталь диметилформамида (добавляют 9,3 мл, 69,4 ммоль) и триэтиламин (19 мл, 139 ммоль) и нагревают до температуры кипения в течение 2 часов. После этого реакционный раствор концентрируют, добавляют воду и затем его экстрагируют этилацетатом и промывают насыщенным солевым раствором. Органический слой сушат над сульфатом магния и остаток, полученный концентрацией в вакууме, очищают хроматографией на силикагеле (смесь н-гексан:этилацетат = от 50:50 дo 0:100) и получают указанное в заголовке соединение (13,09 г, 65%).
1H-ЯМР (400 MГц, ДМСO-d6) : 7,95 (1H, с), 7,80 (1H, д, J=7,8 Гц), 7,67 (1H, т, J=7,8 Гц), 7,36 (1H, д, J=7,8 Гц), 4,02-3,95 (2H, м), 3,14-3,08 (2H, м), 2,20 (2H, д, J=7,2 Гц), 2,00-1,89 (1H, м), 1,79-1,72 (2H, м), 1,42 (9H, с), 1,34-1,21 (2H, м).
Стадия 3. Получение трет-бутилового эфира (1-{5-[6-(4-метилпиридин-2-иламино)пиридин-2-ил]тиазол-2-ил}пиперидин-4-ил)уксусной кислоты:

rac-2,2′-Бис(дифенилфосфино)-1,1′-бинафтил (1,85 г, 2,97 ммоль) и ацетат палладия (500 мг, 2,22 ммоль) суспендируют в толуоле (30 мл), после этого последовательно добавляют 2-амино-4-пиколин (1,60 г, 14,8 ммоль) и трет-бутиловый эфир {1-[5-(6-бромпиридин-2-ил)тиазол-2-ил]пиперидин-4-ил}уксусной кислоты (6,50 г, 14,8 ммоль), полученный на cтадии 2, а затем добавляют карбонат цезия (7,25 г, 22,2 ммоль) и смесь перемешивают в течение ночи при температуре 100°C. К реакционному раствору добавляют воду, экстрагируют этилацетатом и промывают насыщенным солевым раствором. Органический слой сушат над безводным сульфатом натрия и остаток, полученный концентрацией в вакууме, очищают хроматографией на силикагеле (смесь н-гексан:этилацетат = от 1:1 дo 1:10) и получают указанное в заголовке соединение (4,30 г, 62%).
Стадия 4. Получение дигидрохлорида (1-{5-[6-(4-метилпиридин-2-иламино)пиридин-2-ил)тиазол-2-ил}пиперидин-4-ил)уксусной кислоты:

Трифторуксусную кислоту (20 мл) добавляют к раствору трет-бутилового эфира (1-{5-[6-(4-метилпиридин-2-иламино)пиридин-2-ил)тиазол-2-ил}пиперидин-4-ил)уксусной кислоты (4,30 г, 9,23 ммоль) в хлороформе (20 мл), полученному на cтадии 3, и перемешивают в течение ночи при комнатной температуре. Затем 4н. раствор соляной кислоты-этилацетат (20 мл) добавляют к концентрату, полученному путем концентрации реакционного раствора в вакууме, и выпавшее в осадок твердое вещество отделяют фильтрованием, промывают этилацетатом (20 мл) и получают указанное в заголовке соединение (4,46 г, 100%).
1H-ЯМР (400 MГц, ДМСO-d6) : 12,23 (1H, ушир.с), 8,45 (1H, д, J=6,4 Гц), 8,07 (1H, с), 7,88 (1H, т, J=7,9 Гц), 7,56 (1H, д, J=7,7 Гц), 7,50 (1H, ушир.с), 7,21 (1H, д, J=6,4 Гц), 7,10 (1H, д, J=8,2 Гц), 4,07-4,04 (2H, м), 3,25-3,15 (2H, м), 2,50 (3H, с), 2,23 (2H, д, J=7,1 Гц), 2,05-1,92 (1H, м), 1,86-1,78 (2H, м), 1,37-1,24 (2H, м).
MC: 410,3(M++1).
Пример 16
Получение транс-4-[(N-метил-N-{5-[6-(4-метилпиридин-2-иламино)пиридин-2-ил]тиазол-2-ил}амино)метил]
циклогексанкарбоновой кислоты (соединение A-16):
Стадия 1. Получение метилового эфира гидрохлорида транс-4-аминометилциклогексанкарбоновой кислоты:

Тионилхлорид (7 мл, 96 ммоль) добавляют к раствору транс-4-аминометилциклогексанкарбоновой кислоты (5,00 г, 31,8 ммоль) в метаноле (50 мл) и смесь перемешивают при комнатной температуре в течение 16 часов. Реакционный раствор концентрируют и полученное твердое вещество промывают диэтиловым эфиром (50 мл). Гидрохлорид метилового эфира транс-4-аминометилциклогексанкарбоновой кислоты (6,49 г, 98%) получают путем отделения с помощью фильтрования и сушки в вакууме.
1H-ЯМР (400 MГц, ДМСO-d6) : 8,11-7,78 (3H, м), 3,59 (3H, с), 2,69-2,59 (2H, м), 2,31-2,19 (1H, м), 1,96-1,88 (2H, м), 1,85-1,75 (2H, м), 1,59-1,47 (1H, м), 1,36-1,21 (2H, м), 1,05-0,90 (2H, м).
Стадия 2. Получение метилового эфира транс-4-тиоуредидметилциклогексанкарбоновой кислоты:

Гидрокарбонат натрия (1,68 г, 20,0 ммоль) добавляют к раствору гидрохлорида метилового эфира транс-4-аминометилциклогексанкарбоновой кислоты (2,07 г, 10,0 ммоль) в хлороформе (40 мл), полученному на cтадии 1, 9-флуоренилметоксикарбонил изотиоцианату (2,81 г, 10,0 ммоль) при охлаждении льдом. Реакционный раствор перемешивают при комнатной температуре в течение 16 часов, затем добавляют пиперидин (5 мл, 50 ммоль) и смесь перемешивают при комнатной температуре в течение еще 6 часов. Метиловый эфир транс-4-тиоуредидметилциклогексанкарбоновой кислоты (1,55 г, 67%) получают концентрацией в вакууме реакционного раствора и очищают полученное твердое вещество хроматографией на колонке на силикагеле (этилацетат).
1H-ЯМР (400 MГц, ДМСO-d6) : 7,64-7,52 (1H, м), 6,96-6,76 (2H, м), 3,58 (1H, с), 3,26-3,16 (2H, м), 2,29-2,16 (1H, м), 1,95-1,84 (2H, м), 1,78-1,68 (2H, м), 1,51-1,38 (1H, м), 1,34-1,19 (2H, м), 1,01-0,83 (2H, м).
Стадия 3. Получение метилового эфира транс-4-{[5-(6-бромпиридин-2-ил)тиазол-2-иламино]метил}циклогексанкарбоновой кислоты:

Раствор в этаноле (15 мл) метилового эфира транс-4-тиоуредидметилциклогексанкарбоновой кислоты (1,55 г, 6,73 ммоль), полученного на стадии 2, 2-бром-6-хлорметилпиридин (1,38 г, 6,73 ммоль), полученный на стадии 1 примера 1, перемешивают при нагревании до температуры кипения в течение 4 часов. После этого реакционный раствор охлаждают до комнатной температуры, добавляют N,N-диметилацеталь диметилформамида (0,9 мл, 10 ммоль), триэтиламин (1,8 мл, 20 ммоль) и смесь перемешивают при нагревании до температуры кипения с обратным холодильником в течение 1 часа. Реакционный раствор охлаждают до комнатной температуры и твердое вещество, полученное концентрацией в вакууме, отделяют фильтрованием.
Метиловый эфир транс-4-{[5-(6-бромпиридин-2-ил)тиазол-2-иламино]метил}циклогексанкарбоновой кислоты (2,02 г, 73%) получают путем последовательного промывания водой (10 мл), диэтиловым эфиром (10 мл) и сушки в вакууме.
1H-ЯМР (400 MГц, ДМСO-d6) : 8,15 (1H, т, J=5,7 Гц), 7,83 (1H, с), 7,74 (1H, д, J=7,9 Гц), 7,63 (1H, т, J=7,9 Гц), 7,31 (1H, д, J=7,9 Гц), 3,15-3,06 (2H, м), 2,32-2,19 (1H, м), 1,97-1,87 (2H, м), 1,85-1,76 (2H, м), 1,63-1,49 (1H, м), 1,37-1,23 (2H, м), 1,06-0,93 (2H, м).
Стадия 4. Получение метилового эфира транс-4-({[5-(6-бромпиридин-2-ил]тиазол-2-ил)метиламино}метил)циклогексанкарбоновой кислоты:

Гидрид натрия (53,6 мг, 60% в масле, 1,34 ммоль) добавляют к раствору метилового эфира транс-4-{[5-(6-бромпиридин-2-ил)тиазол-2-иламино]метил}циклогексанкарбоновой кислоты (500 мг, 1,22 ммоль) в N,N-диметилформамиде (5 мл), полученному на стадии 3, и смесь перемешивают при комнатной температуре в течение 15 минут. К реакционному раствору добавляют метилиодид (84 мкл, 1,34 ммоль), смесь перемешивают при комнатной температуре в течение 2 часов и экстрагируют путем добавления этилацетата (40 мл) и насыщенного водного раствора аммония (20 мл). Органический слой промывают насыщенным солевым раствором (20 мл × 2) и сушат над сульфатом магния. Метиловый эфир транс-4-({[5-(6-бромпиридин-2-ил)тиазол-2-ил]метиламино}метил)циклогексанкарбоновой кислоты получают в виде сырой субстанции фильтрованием и концентрации в вакууме.
1H-ЯМР (400 MГц, ДМСO-d6) : 7,92 (1H, с), 7,77 (1H, д, J=7,9 Гц), 7,65 (1H, т, J=7,9 Гц), 7,32 (1H, д, J=7,9 Гц), 3,58 (3H, с), 3,39-3,33 (2H, м), 3,10 (3H, с), 2,33-2,21 (1H, м), 1,97-1,86 (2H, м), 1,74-1,65 (2H, м), 1,57-1,47 (1H, м), 1,39-1,22 (2H, м), 1,11-0,97 (2H, м).
Стадия 5. Получение метилового эфира транс-4-[(N-метил-N-{5-[6-(4-метилпиридин-2-иламино)пиридин-2-ил]тиазол-2-ил}амино)метил]
циклогексанкарбоновой кислоты:

К раствору метилового эфира транс-4-({[5-(6-бромпиридин-2-ил)тиазол-2-ил]метиламино}метил)циклогексанкарбоновой кислоты в толуоле (10 мл), полученному на cтадии 4, добавляют в атмосфере Аr 2-амино-4-пиколин (132 мг, 1,22 ммоль), ацетат палладия (27 мг, 0,12 ммоль), 2,2′-бис(дифенилфосфино)-1,1′-бинафталин (75 мг, 0,12 ммоль), карбонат цезия (596 мг, 1,83 ммоль) и смесь перемешивают при температуре 100°C в течение 16 часов. После этого реакционный раствор охлаждают до комнатной температуры, его отфильтровывают, концентрируют и метиловый эфир транс-4-[(метил-{5-[6-(4-метилпиридин-2-иламино)пиридин-2-ил]тиазол-2-ил}амино]метил]
циклогексанкарбоновой кислоты (217 мг, 39%) получают путем очистки остатка хроматографией на силикагеле (смесь н-гексан:этилацетат = 1:1).
Стадия 6. Получение транс-4-[(N-метил-N-{5-[6-(4-метилпиридин-2-иламино)пиридин-2-ил]тиазол-2-ил}амино]метил]
циклогексанкарбоновой кислоты:

Раствор метилового эфира транс-4-[(N-метил-N-{5-[6-(4-метилпиридин-2-иламино)пиридин-2-ил]тиазол-2-ил}амино)метил]
циклогексанкарбоновой кислоты (217 мг, 0,48 ммоль), полученный на cтадии 5, 1н. водный раствор гидроксида натрия (2 мл, 2 ммоль) в метаноле (2 мл) и тетрагидрофуране (2 мл) перемешивают при комнатной температуре в течение 16 часов. Его нейтрализуют с помощью 1н. раствора соляной кислоты и экстрагируют хлороформом (50 мл × 2). Органический слой промывают насыщенным солевым раствором (20 мл) и сушат над сульфатом магния, фильтруют и концентрируют в вакууме. Твердое вещество, полученное путем добавления смеси хлороформ-диэтиловый эфир (1:1) (10 мл) к остатку, отделяют фильтрованием, сушат в вакууме и таким образом получают транс-4-[(N-метил-N-{5-[6-(4-метилпиридин-2-иламино)пиридин-2-ил]тиазол-2-ил}амино)метил]
циклогексанкарбоновую кислоту (190 мг, 90%).
1H-ЯМР (400 MГц, ДМСO-d6) : 12,04 (1H, с), 9,54 (1H, с), 8,08 (1H, д, J=5,1 Гц), 8,03 (1H, с), 7,79 (1H, с), 7,56 (1H, т, J=7,9 Гц), 7,20 (1H, д, J=7,9 Гц), 7,15 (1H, д, J=7,9 Гц), 6,75 (1H, д, J=5,1 Гц), 3,38-3,29 (2H, м), 3,11 (1H, с), 2,34 (1H, с), 2,19-2,08 (1H, м), 1,97-1,87 (2H, м), 1,77-1,66 (2H, м), 1,57-1,43 (1H, м), 1,36-1,20 (2H, м), 1,10-0,97 (2H, м).
MC: 438,2 (M+1).
Пример 17
Получение 3-(1-{5-[6-(4-метилпиридин-2-иламино)пиридин-2-ил]тиазол-2-ил}пиперидин-4-ил)пропионовой кислоты (соединение A-17):
Стадия 1. Получение метилового эфира 3-(1-тиокарбамоилпиперидин-4-ил)пропионовой кислоты:

К раствору 9-флуоренилметоксикарбонилизотиоцианата (4,26 г, 15,2 ммоль) в хлороформе (40 мл) добавляют раствор гидрохлорида метилового эфира (3-пиперидин-4-ил)метилпропионовой кислоты (2,62 г, 12,6 моль) в хлороформе (10 мл) и гидрокарбонат натрия (6,40 г, 75,8 ммоль) и смесь перемешивают в течение ночи при комнатной температуре. После этого реакционный раствор фильтруют, чтобы удалить нерастворимые примеси, добавляют хлороформ (20 мл) и пиперидин (20 мл) и смесь перемешивают при комнатной температуре в течение 1 часа. К реакционному раствору добавляют воду и экстрагируют этилацетатом. Органический слой промывают насыщенным солевым раствором и сушат над сульфатом натрия, остаток, полученный концентрацией в вакууме, очищают хроматографией на силикагеле (смесь н-гексан:этилацетат) и получают указанное в заголовке соединение (2,10 г, 63%).
Стадия 2. Получение метилового эфира 3-{1-[5-(6-бромпиридин-2-ил)тиазол-2-ил]пиперидин-4-ил}пропионовой кислоты:

К раствору 2-бром-6-хлорметилпиридина (1,88 г, 12 ммоль) в этаноле (20 мл), полученному на cтадии 1 примера 1, добавляют метиловый эфир 3-(1-тиокарбамоилпиперидин-4-ил)пропионовой кислоты (2,10 г, 9,12 ммоль), полученный на cтадии 1, и смесь нагревают до температуры кипения с обратным холодильником в течение ночи. Температуру реакционного раствора доводят до комнатной, добавляют диметилацеталь диметилформамида (1,8 мл, 14 ммоль) и триэтиламин (3,8 мл, 27 ммоль) и полученный раствор нагревают до температуры кипения с обратным холодильником в течение 1 часа. После этого реакционный раствор концентрируют, добавляют воду и затем его экстрагируют этилацетатом и промывают насыщенным солевым раствором. Органический слой сушат над сульфатом магния и остаток, полученный концентрацией в вакууме, очищают хроматографией на силикагеле (смесь н-гексан:этилацетат = от 50:50 дo 0:100) и получают указанное в заголовке соединение (748 мг, 20%).
1H-ЯМР (400 MГц, ДМСO-d6) : 7,95 (1H, с), 7,80 (1H, дд, J=7,9, 0,7 Гц), 7,67 (1H, т, J=7,8 Гц), 7,36 (1H, дд, J=7,7, 0,7 Гц), 4,00-3,97 (2H, м), 3,61 (3H, с), 3,11-3,02 (2H, м), 2,37 (2H, т, J=7,4 Гц), 1,79-1,72 (2H, м), 1,57-1,49 (3H, м), 1,26-1,13 (2H, м).
Стадия 3. Получение метилового эфира 3-(1-{5-[6-(4-метилпиридин-2-иламино)пиридин-2-ил]тиазол-2-ил}пиперидин-4-ил)пропионовой кислоты:

rac-2,2′-Бис(дифенилфосфино)-1,1′-бинафтил (91 мг, 0,15 ммоль) и ацетат палладия (25 мг, 0,11 ммоль) суспендируют в толуоле (7 мл), после этого последовательно добавляют 2-амино-4-пиколин (79 мг, 0,73 ммоль) и метиловый эфир 3-{1-[5-(6-бромпиридин-2-ил)тиазол-2-ил]пиперидин-4-ил}пропионовой кислоты (300 мг, 0,73 ммоль), полученный на cтадии 2, затем добавляют карбонат цезия (357 мг, 1,1 ммоль) и смесь перемешивают в течение ночи при температуре 100°C. К реакционному раствору добавляют воду, экстрагируют этилацетатом и промывают насыщенным солевым раствором. Органический слой сушат над безводным сульфатом натрия и остаток, полученный концентрацией в вакууме, очищают хроматографией на силикагеле (смесь н-гексан:этилацетат = от 1:1 дo 1:10) и получают указанное в заголовке соединение (250 мг, 55%).
1H-ЯМР (400 MГц, ДМСO-d6) : 9,55 (1H, ушир.с), 8,09 (1H, д, J=5,1 Гц), 7,96-7,93 (1H, м), 7,83 (1H, с), 7,58 (1H, т, J=8,0 Гц), 7,23 (2H, т, J=7,3 Гц), 6,77-6,74 (1H, м), 3,99-3,92 (2H, м), 3,61 (3H, с), 3,11-3,02 (2H, м), 2,38 (2H, т, J=7,3 Гц), 2,34 (3H, с), 1,81-1,74 (2H, м), 1,57-1,49 (3H, м), 1,29-1,15 (2H, м).
Стадия 4. Получение 3-(1-{5-[6-(4-метилпиридин-2-иламино)пиридин-2-ил]тиазол-2-ил}пиперидин-4-ил)пропионовой кислоты:

К смешанному раствору метилового эфира 3-(1-{5-[6-(4-метилпиридин-2-иламино)пиридин-2-ил]тиазол-2-ил}пиперидин-4-)пропионовой кислоты (250 мг, 0,57 ммоль), полученному на cтадии 3, в тетрагидрофуране (5 мл) и метаноле (5 мл) добавляют 4н. раствор гидроксида натрия (1,5 мл, 6,0 ммоль) и смесь перемешивают при комнатной температуре в течение 12 часов. Концентрат, полученный концентрацией в вакууме реакционного раствора, нейтрализуют 0,1н. раствором соляной кислоты и выпавшее в осадок твердое вещество отделяют фильтрованием, промывают водой и получают указанное в заголовке соединение (142 мг, 59%).
1H-ЯМР (400 MГц, ДМСO-d6) : 12,07 (1H, ушир.с), 8,24 (1H, д, J=4,6 Гц), 7,91 (1H, с), 7,76-7,66 (2H, м), 7,35 (1H, д, J=7,7 Гц), 7,16 (1H, д, J=8,1 Гц), 6,96-6,90 (1H, м), 4,00 (2H, д, J=13,0 Гц), 3,13-3,03 (2H, м), 2,41 (3H, с), 2,28 (2H, т, J=7,3 Гц), 1,82-1,75 (2H, м), 1,55-1,47 (3H, м), 1,29-1,16 (2H, м).
MC: 424,1 (M++1).
Пример 18
Получение 2-метил-2-(1-{5-[6-(4-метилпиридин-2-иламино)пиридин-2-ил]тиазол-2-ил}пиперидин-4-ил)пропионовой кислоты (соединение A-18):
Стадия 1. Получение этилового эфира 2-метил-2-(1-тиокарбамоилпиперидин-4-ил)пропионовой кислоты:

К раствору 9-флуоренилметоксикарбонил изотиоцианата (2,62 г, 9,32 ммоль) в хлороформе (20 мл) добавляют раствор гидрохлорида этилового эфира 2-метил-2-пиперидин-4-илпропионовой кислоты (2,27 г, 9,61 ммоль) в хлороформе (10 мл) и гидрокарбонат натрия (4,03 г, 48,0 ммоль) и смесь перемешивают при комнатной температуре. Затем добавляют пиперидин (30 мл) и смесь перемешивают при комнатной температуре в течение еще 2 часов. Реакционный раствор концентрируют в вакууме и твердое вещество, полученное путем добавления диэтилового эфира, отделяют фильтрованием. Его растворяют в N,N-диметилформамиде (20 мл) и добавляют пиперидин (20 мл) и смесь перемешивают при комнатной температуре в течение 1 часа. К реакционному раствору добавляют воду и экстрагируют этилацетатом. Органический слой промывают насыщенным солевым раствором и сушат над сульфатом натрия и остаток, полученный концентрацией в вакууме, очищают хроматографией на силикагеле (смесь н-гексан:этилацетат) и получают указанное в заголовке соединение (2,4 г, 98%).
1H-ЯМР (400 MГц, ДМСO-d6) : 7,30 (2H, ушир.с), 4,72-4,57 (2H, м), 4,08 (2H, кв, J=7,1 Гц), 2,88-2,77 (2H, м), 1,83-1,72 (1H, м), 1,55-1,46 (2H, м), 1,20-1,09 (2H, м), 1,19 (3H, т, J=7,1 Гц), 1,06 (6H, с).
Стадия 2. Получение этилового эфира 2-{1-[5-(6-бромпиридин-2-ил)тиазол-2-ил]пиперидин-4-ил}-2-метилпропионовой кислоты:

К раствору 2-бром-6-хлорметилпиридина (2,14 г, 10,4 ммоль) в этаноле (30 мл), полученному на cтадии 1 примера 1, добавляют этиловый эфир 2-метил-2-(1-тиокарбамоилпиперидин-4-ил)пропионовой кислоты (2,44 г, 9,43 ммоль), полученный на cтадии 1, и смесь нагревают до температуры кипения в течение 5 часов. Реакционный раствор охлаждают до комнатной температуры, добавляют диметилацеталь диметилформамида (1,9 мл, 14 ммоль) и триэтиламин (3,9 мл, 28 ммоль) и нагревают до температуры кипения с обратным холодильником в течение 1 часа. После этого реакционный раствор концентрируют, добавляют воду и затем его экстрагируют этилацетатом и промывают насыщенным солевым раствором. Органический слой сушат над сульфатом магния и остаток, полученный концентрацией в вакууме, очищают хроматографией на силикагеле (смесь н-гексан:этилацетат = от 2:1 дo 1:1) и получают указанное в заголовке соединение (2,48 г, 60%).
1H-ЯМР (400 MГц, ДМСO-d6) : 7,93 (1H, с), 7,78 (1H, д, J=7,8 Гц), 7,66 (1H, т, J=7,8 Гц), 7,34 (1H, д, J=7,8 Гц), 4,08-4,02 (2H, м), 4,08 (2H, кв, J=7,1 Гц), 3,08-2,98 (2H, м), 1,86-1,75 (1H, м), 1,66-1,58 (2H, м), 1,37-1,24 (2H, м), 1,18 (3H, т, J=7,1 Гц), 1,08 (6H, с).
Стадия 3. Получение этилового эфира 2-метил-2-(1-{5-[6-(4-метилпиридин-2-иламино)пиридин-2-ил]тиазол-2-ил}пиперидин-4-ил)пропионовой кислоты:

rac-2,2′-Бис(дифенилфосфино)-1,1′-бинафтил (213 мг, 0,34 ммоль) и ацетат палладия (58 мг, 0,26 ммоль) суспендируют в толуоле (10 мл), после этого последовательно добавляют 2-амино-4-пиколин (203 мг, 1,88 ммоль) и этиловый эфир 2-{1-[5-(6-бромпиридин-2-ил)тиазол-2-ил]пиперидин-4-ил}-2-метилпропионовой кислоты (748 мг, 1,71 ммоль), полученный на cтадии 2, а затем добавляют карбонат цезия (1,11 г, 3,41 ммоль) и смесь перемешивают в течение ночи при температуре 100°C. К реакционному раствору добавляют воду, экстрагируют этилацетатом и промывают насыщенным солевым раствором. Органический слой сушат над безводным сульфатом натрия и остаток, полученный концентрацией в вакууме, очищают хроматографией на силикагеле (смесь н-гексан:этилацетат = от 1:1 дo 1:3) и получают указанное в заголовке соединение (697 мг, 88%).
1H-ЯМР (400 MГц, ДМСO-d6) : 9,53 (1H, ушир.с), 8,09 (1H, д, J=5,1 Гц), 7,95-7,92 (1H, м), 7,82 (1H, с), 7,58 (1H, т, J=8,0 Гц), 7,25 (1H, д, J=8,3 Гц), 7,22 (1H, д, J=7,4 Гц), 6,75 (1H, д, J=5,1 Гц), 4,09 (2H, кв, J=7,0 Гц), 4,06-4,01 (2H, м), 3,09-2,99 (2H, м), 2,34 (3H, с), 1,86-1,77 (1H, м), 1,68-1,60 (2H, м), 1,41-1,28 (2H, м), 1,19 (3H, т, J=7,0 Гц), 1,10 (6H, с).
Стадия 4. Получение 2-метил-2-(1-{5-[6-(4-метилпиридин-2-иламино)пиридин-2-ил]тиазол-2-ил}пиперидин-4-ил)пропионовой кислоты:

К смешанному раствору этилового эфира 2-метил-2-(1-{5-[6-(4-метилпиридин-2-иламино)пиридин-2-ил]тиазол-2-ил}пиперидин-4-ил)пропионовой кислоты (697 мг, 1,50 ммоль), полученному на cтадии 3, в метаноле (5 мл) и тетрагидрофуране (10 мл), добавляют 4н. гидроксид натрия (3,7 мл, 15 ммоль) и смесь перемешивают в течение 15 часов при нагревании до температуры кипения с обратным холодильником. После концентрации реакционный раствор нейтрализуют 1н. раствором соляной кислоты (15 мл, 15 ммоль) и выпавшее в осадок твердое вещество отделяют фильтрованием, промывают водой, этилацетатом, тетрагидрофураном. Затем сушат в вакууме и получают указанное в заголовке соединение (438 мг, 67%).
1H-ЯМР (400 MГц, ДМСO-d6) : 9,53 (1H, ушир.с), 8,09 (1H, д, J=5,1 Гц), 7,95-7,92 (1H, м), 7,82 (1H, с), 7,58 (1H, т, J=8,0 Гц), 7,25 (1H, д, J=8,0 Гц), 7,22 (1H, д, J=8,0 Гц), 6,75 (1H, д, J=5,1 Гц), 4,07-4,00 (2H, м), 3,09-2,99 (2H, м), 2,34 (3H, с), 1,85-1,75 (1H, м), 1,71-1,64 (2H, м), 1,42-1,28 (2H, м), 1,06 (6H, с).
MC: 438,2 (M++1).
Представленные ниже другие аминопиридиновые соединения, имеющие тиазольное кольцо, получают в соответствии с методикой, аналогичной упомянутым выше общим методикам и/или указанным выше в примерах. Структуры указанных соединений определяют с помощью ЯМР анализа.
Указанные соединения представлены в следующих таблицах со значением их ингибиторной активности.
В настоящем описании, символ «+++» IC50(·M) означает менее чем 0,1 ·M, и символ «++» означает не менее чем 0,1·M и менее чем 1,0 M, и символ «+» означает не менее чем 1,0 ·M.











































































































Кроме того, предпочтительные соединения настоящего изобретения также включают следующие соединения:




Кроме того, получение соединений по настоящему изобретению, содержащих тиофен, будет детально описано в виде примеров.
Пример 19
Получение 1-{5-[6-(4-метилпиридин-2-иламино)пиридин-2-ил]тиофен-2-ил}этанона (соединение B-1)
Стадия 1. Получение (6-бромпиридин-2-ил)-(4-метилпиридин-2-ил)амина

Суспензию в толуоле (200 мл) 2,6-дибромпиридина (12,5 г), 2-амино-4-пиколина (32,8 г, 139 ммоль), ацетата палладия (2,59 г, 11,6 ммоль), rac-2,2′-бис(дифенилфосфино)-1,1′-бинафтила (8,64 г, 13,9 ммоль), трет-бутоксида натрия (13,3 г, 139 ммоль) нагревают и перемешивают в токе Ar при температуре 80°C в течение 12 часов. К реакционному раствору добавляют воду и экстрагируют этилацетатом. Органический слой промывают насыщенным солевым раствором и сушат над безводным сульфатом магния, остаток, полученный концентрацией в вакууме, очищают флэш-хроматографией на силикагеле (смесь н-гексан:этилацетат = 3:1) и затем промывают изопропиловым эфиром и получают указанное в заголовке соединение (15,4 г, 51%).
Стадия 2. Получение 1-{5-[6-(4-метилпиридин-2-иламино)пиридин-2-ил]тиофен-2-ил}этанона

Суспензию в смеси растворителей диметоксиэтан-вода (12 мл) (6-бромпиридин-2-ил)-(4-метилпиридин-2-ил)амина (1,00 г, 3,79 ммоль), 5-ацетилтиофен-2-бороновой кислоты (644 мг, 3,79 ммоль), тетракис трифенилфосфинпалладия (440 мг, 0,38 ммоль), гидрокарбонат натрия (480 мг, 5,68 ммоль) нагревают и перемешивают в токе Ar при температуре 130°C в течение 12 часов. К реакционному раствору добавляют воду и экстрагируют этилацетатом. Затем органический слой промывают насыщенным солевым раствором и сушат над безводным сульфатом магния, остаток, полученный концентрацией в вакууме, промывают в смеси тетрагидрофуран-этилацетат (1:1) и получают указанное в заголовке соединение (426 мг, 36%).
1H-ЯМР (300 MГц, ДМСO-d6): 9,76 (ушир.с, 1H, ушир.с), 8,12 (1H, д, J=4,8 Гц), 8,07 (1H, ушир.), 7,96 (1H, д, J=4,2 Гц), 7,86 (1H, д, J=4,2 Гц), 7,73 (1H, дд, J=8,1, 7,5 Гц), 7,52 (1H, д, J=7,5 Гц), 7,43 (1H, д, J=8,1 Гц), 6,80 (1H, ушир.д, J=4,8 Гц), 2,56 (3H, с), 2,36 (3H, с).
Пример 20
Получение 5-[6-(4-метилпиридин-2-иламино)пиридин-2-ил]тиофен-2-карбоксальдегида (Соединение B-2):

Указанное в заголовке соединение (293 мг, 26%) получают в соответствии с методикой, аналогичной методике получения соединения, описанной для cтадии 2 примера 14, используя (6-бромпиридин-2-ил)-(4-метилпиридин-2-ил)амин (1,00 г, 3,79 ммоль), 5-формилтиофен-2-бороновую кислоту (1,30 г, 8,33 ммоль), тетракистрифенилфосфин палладия (875 мг, 0,76 ммоль), гидрокарбонат натрия (954 мг, 11,4 ммоль).
1H-ЯМР (300 MГц, ДМСO-d6): 9,95 (1H, с), 9,80 (1H, с), 8,13 (1H, д, J=5,2 Гц), 8,02-8,10 (2H, м), 7,96 (1H, д, J=3,8 Гц), 7,76 (1H, т, J=7,9 Гц), 7,57 (1H, д, J=7,2 Гц), 7,46 (1H, д, J=8,3 Гц), 6,80 (1H, дд, J=5,2, 0,9 Гц), 2,37 (3H, с).
Пример 21
Получение 1-{5-[6-(4-метилпиридин-2-иламино)пиридин-2-ил]тиофен-2-ил}этанола (соединение B-3):

Эфирный раствор 3M-метилмагнийбромида (0,19 мл, 0,57 ммоль) добавляют к охлажденному льдом раствору 5-[6-(4-метилпиридин-2-иламино)пиридин-2-ил]тиофен-2-карбальдегида (70 мг, 0,24 ммоль) в тетрагидрофуране (4 мл), после этого смесь перемешивают при комнатной температуре в течение 3 часов в токе Ar. К реакционному раствору добавляют воду и экстрагируют этилацетатом, органический слой промывают насыщенным солевым раствором и сушат над безводным сульфатом магния. Затем остаток, полученный концентрацией в вакууме, промывают изопропиловым эфиром и получают указанное в заголовке соединение (46 мг, 62%).
1H-ЯМР (300 MГц, CDCl3): 8,11 (1H, д, J=7,2 Гц), 7,89 (1H, с), 7,57 (1H, т, J=10,6 Гц), 7,42 (1H, д, J=4,8 Гц), 7,33 (1H, ушир.), 7,19 (1H, д, J=9,2 Гц), 7,12 (1H, д, J=11,2 Гц), 6,9 (1H, дд, J=0,8, 1,2 Гц), 6,73 (1H, д, J=7,2 Гц), 5,15 (1H, кв, J=8,5 Гц), 2,41 (3H, с), 1,65 (3H, д, J=8,8 Гц).
Пример 22
Получение этилацетатного эфира 1-{5-[6-(4-метилпиридин-2-иламино)пиридин-2-ил]тиофен-2-ил} уксусной кислоты (соединение B-4)

Ангидрид уксусной кислоты (0,02 мл, 0,19 ммоль) добавляют к раствору 1-{5-[6-(4-метилпиридин-2-иламино)пиридин-2-ил]тиофен-2-ил}этанола (40 мг, 0,13 ммоль) в пиридине (2 мл) и его повторно нагревают и перемешивают при температуре 60°C в течение 9 часов. К реакционному раствору добавляют воду и экстрагируют уксусной кислотой. Органический слой промывают насыщенным солевым раствором и сушат над безводным сульфатом магния, остаток, полученный концентрацией в вакууме, очищают флэш-хроматографией на силикагеле (смесь н-гексан:этилацетат = 2:1) и получают указанное в заголовке соединение (10 мг, 22%).
1H-ЯМР (400 MГц, ДМСO-d6): 9,64 (1H, с), 7,61-8,11 (2H, м), 7,36 (1H, д, J=10,0 Гц), 7,29 (1H, д, J=11,6 Гц), 7,14 (1H, д, J=4,8 Гц), 6,77 (1H, д, J=7,2 Гц), 6,05-6,11 (1H, м), 2,36 (3H, с), 2,05 (3H, с), 1,61 (3H, д, J=8,4 Гц).
В описании, представленном ниже, другие аминопиридиновые соединения, имеющие тиофеновое кольцо, получают в соответствии с общими методиками и/или примерами, указанными выше. Структуры указанных соединений определяют с помощью ЯМР анализа.
Указанные соединения представлены в следующих таблицах со значением их ингибиторной активности.
В настоящем описании, символ «+++» IC50(·M) означает менее чем 0,1 ·M, и символ «++» означает не менее чем 0,1 ·M и менее чем 1,0 ·M, и символ «+» означает не менее чем 1,0 ·M.























Изучена ингибиторная активность в отношении Syk-киназы соединений вышеприведенного примера. Способ тестирования был таким же, как нижеописанный, ингибиторная активность и т.д. представлены в вышеприведенных таблицах.
Пример 23
Тест ингибирования Syk-киназы (способ HTRF):
После того как соединения последовательно разводят диметилсульфоксидом (ДМСО), 10 мкл их 10-кратно разбавленные киназным буфером (20 мМ HEPES pH 7,0, 10 мМ MgCl2, 50 мМ NaCl, 1 мМ 2-ME, 0,05% BSA) добавляют в опти-планшет HTRF-96 (Packard) (с конечной концентрацией ДМСО 2%). Добавляют 20 мкл раствора субстрата (киназный буфер, упомянутый выше, содержащий Syk Specific-Peptide Substrate Biot-EDPDYEWPSA-NH2 (Peptide Laboratory) 625 нМ, 250 мкМ АТФ (SIGMA)) (конечная концентрация субстрата 250 нМ, 100 мкМ АТФ), затем добавляют 20 мкл раствора фермента (упомянутый выше киназный буфер, содержащий GST-Syk Full Protein (человека) 16 нМ) (конечная концентрация 6,4 нМ); смесь незамедлительно встряхивают на планшетном шейкере для запуска ферментативной реакции. После достижения комнатной температуры (20-25°С) в течение 30 мин ферментативную реакцию останавливают путем добавления 100 мкл/лунка буфера для остановки и выявления реакции (30 мМ HEPES pH 7,0, 150 мМ KF, 0,15% BSA, 0,075% Tween-20, 75 мМ EDTA), содержащего реагент HTRF (5 мкг/мл XL665-Streptavidin (CIS bio), 170 нг/мл Eu(K)-anti-PhosphoTyrosin, PT-66 (CIS bio)) (в конечной концентрации 20 мМ HEPES pH 7,0, 100 мМ KF, 0,1% BSA, 0,05% Tween-20, 50 мМ EDTA). После выдерживания реакционной смеси в течение 1 часа при комнатной температуре ингибиторный эффект соединения в отношении Syk-киназной ферментативной активности оценивают путем измерения отношения флуоресценции 665/620 к световому возбуждению при 337 нм с помощью ARVO (Wallac).
Пример 24
Тест на ингибирование дегрануляции с использованием культуры тучных клеток человека
(1) Выделение гематопоэтических стволовых клеток
После того как 10-60 мл пупочной крови, взятой с добавлением гепарина, разбавляют эквивалентным количеством буфера (0,5% BSA, 2 мМ EDTA/PBS-), их совмещают на фиколл-пак (Amersham Pharmacia Biotech) (фиколл/кровь (1:2)) и фракцию мононуклеарных лейкоцитов отбирают путем центрифугидрования при 400×g (1350 rpm), 4°C в течение 30 мин. После центробежной промывки (1500 rpm, 5 мин, 4°C × 3) буфером количество клеток подсчитывают и 0,1 мл CD34 Progenitor Cell Isolation Kit (Miltenyi Biotec), реагент A1 (Fc-блокирующий) добавляют на каждые 1×108 клеток. После помешивания добавляют 0,1 мл реагента А2 (CD34 антитело-гаптен) (конечный объем 0,5 мл/1×108 клеток) и инкубируют при 9°C в течение дополнительных 15 минут после помешивания. После центробежной промывки (1500 rpm, 5 мин, 4°C × 3) реакцию ресуспендируют в буфере (0,4 мл) и добавляют 0,1 мл реактива В (антигаптен антитело-микрошарики), помешивают (конечный объем 0,5 мл/1×108 клеток) и инкубируют при 9°C в течение еще 15 минут. После центробежной промывки (1500 rpm, 5 мин, 4°C × 2) реакцию ресуспендируют в буфере (0,5 мл) и загружают в колонку CS (Miltenyi Biotec), установленную в MACS (MAgnetic Cell Sorting system; Miltenyi Biotec, Daiichi Pure Chemicals), затем отмывают 30 мл буфера, чтобы удалить CD34– клетки. Колонку отделяют от MACS и элюируют 30 мл буфера, связавшиеся с колонкой CD34+ клетки собирают и используют в качестве популяции гепатопоэтических стволовых клеток.
(2) Получение тучных клеток человека путем длительного культивирования гематопоэтических стволовых клеток:
CD34+ клетки, выделенные, как это описано в (1), ресуспендируют в среде Дульбекко, модифицированной Iscove (IMDM, Gibco), содержащей человеческий (rh)SCF (1 мкг/мл, Peprotech), rhIL-6 (0,5 мкг/мл, Peprotech), rhIL-3 (10 нг/мл, Peprotech), 1% Insulin-Transferrin (Gibco), 5×10-5M 2-ME (Gibco), 0,1% BSA (Sigma) с плотностью 1×106 клеток/мл, и распределяют на 24-луночном клеточном планшете в количестве 0,1 мл/лунка, добавляют 0,9 мл IMDM (Methocult SFBIT StemCell technology), содержащего 0,9% метилцеллюлозы, и начинают культивирование. Описанную культуральную среду (за исключением метилцеллюлозы) добавляют через неделю и после этого 100 мкл/лунка указанной культуральной среды (также исключая IL-3) добавляют с интервалом в неделю, так что эти клетки разбавляются для поддержания состояния 105 клеток/мл/лунка и культивируют более чем 8 недель и таким образом получают культуру тучных клеток человека.
(3) Усиление экспрессии Fc RI и тест на ингибирование перекрестного связывания IgE, стимулирующего дегрануляцию
rhIL-4 (в конечной концентрации 1 нг/мл, R & D) и Homo sapiens(h) IgE (в конечной концентрации 0,5 мкг/мл, CHEMICON) добавляют для получения культуры тучных клеток человека и собирают в течение 5 дней для усиления экспрессии Fc RI. После инкубации клетки собирают и после центробежной промывки (IMDM) распределяют на 96-луночном культуральном планшете в 5 × 104 клеток/80 мкл/лунка.
Добавляют 10 мкл соединения, 10-кратно разбавленного IMDM, после разбавления в ДМСО (конечная концентрация ДМСО 0,1%) и проводят реакцию в течение 10 минут при 37°C. Затем добавляют 10 мкл анти-hIgE Ab (CHEMICON), доведенного до 100 мкг/мл (конечная концентрация 10 мкг/мл), и вызывают дегрануляцию путем стимуляции при 37°C в течение 30 минут. После центрифугидрования собирают супернатант 50 мкл/лунка и хранят при -40°С до того, как будет измерен объем дегрануляции. Измерение объема дегрануляции выполняют, используя в качестве показателя ферментативную активность -гексозаминидазы, содержащейся в гранулятах. То есть эквивалентное количество п-нитрофенил-N-ацетил- -D-глюкозаминида (1 мМ) (содержащее 0,1% Triton X-100), который является субстратом -гексозаминидазы, добавляют к 50 мкл фильтрата культуры и затем инкубируют при 37°С в течение 2 часов, реакцию останавливают путем применения 100 мкл карбонатного буфера (0,1 M, pH 10). Измеряют поглощение при длине волны 405 нм и количество (отношение) дегрануляции подсчитывают относительно уровня (Total), когда клетки разрушаются водой. Действие тестируемого соединения на реакцию дегрануляции изучают с использованием этой ферментативной активности в качестве показателя (IC50 значение (мкМ)).
Пример 25
Тест на ингибирование киназы Zap-70 (способ HTRF)
После того как соединения последовательно разводят ДМСО, 10 мкл из них, 10-кратно разведенные киназным буфером (20 мМ HEPES pH 7,0, 10 мМ MgCl2, 50 мМ NaCl, 1 мМ 2-ME, 0,05% BSA), добавляют к опти-планшету HTRF-96 (Packard) (конечная концентрация ДМСО 2%).
Добавляют 20 мкл раствора субстрата (киназный буфер, упомянутый выше, содержащий Zap-70 специфичный пептидный субстрат Biot-EELQQDDYEMMEENLKKK-NH2 (Peptide Laboratory) 625 нМ, АТФ (SIGMA) 25 мкМ) (конечная концентрация субстрата 250 нМ, АТФ 10 мкМ) и затем добавляют 20 мкл раствора фермента (вышеуказанный киназный буфер, содержащий активный Zap-70, UBI) 16 нМ) (конечная концентрация 6,4 нМ), смесь незамедлительно встряхивают на планшетном шейкере, чтобы запустить ферментативную реакцию. После инкубирования при комнатной температуре в течение 90 минут ферментативную реакцию останавливают путем добавления 100 мкл/лунка буфера для остановки и определения реакции (30 мМ HEPES pH 7,0, 150 мМ KF, 0,15% BSA, 0,075% Tween-20, 75 мМ EDTA), содержащего реактив HTRF (5 мкг/мл XL665-Streptavidin (CIS bio), 170 нг/мл Eu(K)-anti-PhosphoTyrosin, PT-66 (CIS bio)) (с конечной концентраций 20 мМ HEPES pH 7,0, 100 мМ KF, 0,1% BSA, 0,05% Tween-20, 50 мМ EDTA). После выдерживания реакционной смеси при комнатной температуре в течение 1 часа ингибиторный эффект соединения в отношении Zap-70 киназной ферментативной активности оценивают путем измерения отношения флуоресценции 665/620 к световому возбуждению при 337 нм с помощью ARVO (Wallac).
Промышленная применимость
Соединение настоящего изобретения применимо в качестве активного ингредиента фармацевтического препарата. Поскольку оно обладает ингибиторным эффектом в отношении Syk, соединение особенно применимо в качестве профилактического/терапевтического агента при заболеваниях, в которых аллергия или воспалительная реакция, опосредованная Syk, является главной этиологической причиной (астма, катаральный ринит, атопический дерматит, контактный дерматит, крапивница, пищевая аллергия, конъюнктивит, весенний катар и т.д.), при заболеваниях, в которых участвует ADCC (аутоиммунная гемолитическая анемия, злокачественная миастения и т.д.), и при тромбозах, в которых задействована агрегация тромбоцитов, и т.д.
Формула изобретения
1. Аминопиридиновое соединение, представленное следующей общей формулой (I)
 где X1 представляет собой (1) -С(R2)= или (2) атом азота; X2 представляет собой (1) -С(R3)= или (2) атом азота; X3 представляет собой (1) -С(R4)= или (2) атом азота; Z представляет собой (1) атом азота или (2) -C(R6‘)=; Y1 представляет собой (1) -СН= или Y2 представляет собой (1) -СН= или (2) атом азота; R представляет собой (1) атом водорода, (2) С1-6алкильную группу или (3) ацильную группу; R1 представляет собой (1) атом водорода, (2) С1-6алкильную группу или (3) атом галогена; R2 представляет собой (1) атом водорода, (2) C1-6алкильную группу или (3) атом галогена; R3 представляет собой (1) атом водорода, (2) атом галогена, (3) -N(R31)(R32), где R31 и R32 представляют собой атом водорода или C1-6алкильную группу, (4) гидроксильную группу, (5) C1-6алкоксигруппу, где C1-6алкильная группа в С1-6алкоксигруппе, может быть замещена заместителем, выбранным из следующей группы Аа: [Группа Аа] а. гидроксильная группа, с. -N(R31)(R32), где R31 и R32 имеют значения, указанные выше, е. -CO-N(R31)(R32), где R31 и R32 имеют значения, указанные выше, и f. атом галогена, (6) аралкоксигруппу, (7) ацильную группу, (8) насыщенную гетероциклическую группу, где гетероциклическая группа может быть замещена C1-6алкильной группой, и насыщенная гетероциклическая группа может частично иметь двойную связь, (9) С1-6алкильную группу, где С1-6алкильная группа может быть замещена заместителем, выбранным из следующей группы Аb: [группа Аb] а. гидроксильная группа, b. -COOR33, где R33 имеет значение, указанное выше, с. -CO-N(R31)(R32), где R31 и R32 имеют значения, указанные выше, и d. атом галогена, (10) -COOR33, где R33 имеет значение, указанное выше, (11) -CO-N(R31)(R32), где R31 и R32 имеют значения, указанные выше, или (12) цианогруппу, R3 совместно с R2 могут образовать группу -С=С-С=С-; R4 представляет собой (1) атом водорода, (2) С1-6алкильную группу или (3) нитрогруппу; R5 представляет собой (1) атом водорода, (2) С1-6алкильную группу, или (3) -COOR51, где R51 представляет собой С1-6алкильную группу, R6 и R6′ могут быть одинаковыми или различными, и каждый представляет собой (1) атом водорода, (2) С1-6алкильную группу, где C1-6алкильная группа может быть замещена гидроксильной группой или С1-6алкоксигруппой, (3) -COOR61, где R61 представляет собой атом водорода или С1-6алкильную группу, (4) -N(R62)(R63), где R62 и R63 могут быть одинаковыми или различными и каждый представляет собой атом водорода, С1-6алкильную группу, С1-6алкоксигруппу или ацильную группу, (5) -CO-N(R62)(R63), где R62 и R63 имеют значения, указанные выше, или (6) ацильную группу; R7 представляет собой атом водорода, атом галогена, нитрогруппу, цианогруппу или следующие Ra, Rb, Rc, Rd, Re, Rf, Rg или Rh; Ra представляет собой -CpH2(p-1)(Ra1)(Ra2)-O-Ra3, где (1) p представляет собой целое число от 1 до 6, (2) Ra1 представляет собой атом водорода или С1-6алкильную группу, (3) Ra2 представляет собой атом водорода, C1-6алкильную группу, аралкильную группу или арильную группу, где С1-6алкильная группа, аралкильная группа и арильная группа могут быть замещены заместителем, соответственно выбранным из следующей группы Ва: [Группа Ва] а. гидроксильная группа, b. карбоксигруппа, с. С1-6алкоксикарбонильная группа, d. аминогруппа, f. ди-С1-6алкиламиногруппа, g. ацилоксигруппа, (4) Ra3 представляет собой атом водорода, ацильную группу, -CON(Ra31)(Ra32) или С1-6алкильную группу, где алкильная группа может быть замещена C1-6алкоксикарбонильной группой или -CON(Ra31)(Ra32), где Ra31 и Ra32 могут быть одинаковыми или различными и каждый представляет собой атом водорода, С1-6алкильную группу, Ra31 и Ra32 совместно со смежным атомом азота могут образовать 5- или 6-членную насыщенную гетероциклическую группу, которая имеет один или более атомов азота, где насыщенная гетероциклическая группа может быть замещена гидроксильной группой, оксогруппой, аралкиламиногруппой или ациламиногруппой; Rb представляет собой -СрН2(p-1)(Rb1)(Rb2)-N-(Rb3)(Rb4), где (1) р представляет собой целое число от 1 до 6, (2) Rb1 представляет собой атом водорода или C1-6алкильную группу, (3) Rb2 представляет собой а. атом водорода, b. аралкильную группу, где аралкильная группа может быть замещена гидроксильной группой, С1-6алкоксигруппой, которая может быть замещена гидроксильной группой, аралкилоксигруппой или -N(Rb21)(Rb22), где Rb21 и Rb22 могут быть одинаковыми или различными, и каждый представляет собой атом водорода, C1-6алкильную группу, ацильную группу, карбонильную группу, С1-6алкоксикарбонильную группу или аралкоксикарбонильную группу, с. арильную группу, где арильная группа может быть замещена гидроксильной группой, С1-6алкоксигруппой или аралкоксигруппой, или d. C1-6алкильную группу, где C1-6алкильная группа может быть замещена заместителем, выбранным из следующей группы Са: [Группа Са] гидроксильная группа, аралкоксигруппа, -COORb23, где Rb23 представляет собой атом водорода, С1-6алкильную группу или аралкильную группу, -N(Rb21)(Rb22), где Rb21 и Rb22 имеют значения, указанные выше, и (4) Rb3 и Rb4 могут быть одинаковыми или различными и каждый представляет собой а. атом водорода, b. C1-6алкильную группу, где С1-6алкильная группа может быть замещена заместителем, выбранным из гидроксильной группы, карбоксигруппы, C1-6алкоксикарбонильной группы, карбамоильной группы, C1-6алкилкарбамоильной группы и ди-С1-6алкилкарбамоильной группы, с. -COORb41, где Rb41 представляет собой атом водорода, C1-6алкильную группу или аралкильную группу, d. -CORb42, где Rb42 представляет собой С1-6алкильную группу, где С1-6алкильная группа может быть замещена заместителем, выбранным из гидроксильной группы, карбоксигруппы, С1-6алкоксикарбонильной группы, ацильной группы, ацилоксигруппы, аминогруппы и ациламиногруппы, С3-8циклоалкильную группу, где С3-8циклоалкильная группа может быть замещена гидроксильной группой, 5- или 6-членную ароматическую гетероциклическую группу, имеющую от 1 до 4 гетероатома, где гетероциклическая группа может быть замещена C1-6алкильной группой, или арильную группу, где арильная группа может быть замещена гидроксильной группой, е. -CO-N(Rb43)(Rb44), где Rb43 и Rb44 могут быть одинаковыми или различными и каждый представляет собой атом водорода, С1-6алкильную группу или ацильную группу, или f. -SO2-Rb45, где Rb45 представляет собой С1-6алкильную группу; Rc представляет собой -C(=N-Rc1)-Rc2, где (1) Rc1 представляет собой а. гидроксильную группу, b. С1-6алкоксигруппу, где С1-6алкильная группа в С1-6алкоксигруппе, может быть замещена гидроксильной группой или С1-6алкоксигруппой, или с. ацилоксигруппу, и (2) Rc2 представляет собой С1-6алкильную группу или аминогруппу; Rd представляет собой -C(=O)-Rd1, где Rd1 представляет собой (1) атом водорода, (2) С1-6алкильную группу, где С1-6алкильная группа может быть замещена гидроксильной группой, карбоксигруппой или С1-6алкоксикарбонильной группой, (3) гидроксильную группу, (4) C1-6алкоксигруппу и (5) -N(Rd11)(Rd12), где Rd11 и Rd12 могут быть одинаковыми или различными и каждый представляет собой заместитель, выбранный из следующей группы Da: [Группа Da] а. атом водорода, b. С1-6алкоксигруппа, с. С3-8циклоалкильная группа, где циклоалкильная группа может быть замещена гидроксильной группой, и d. С1-6алкильная группа, где С1-6алкильная группа может быть замещена гидроксильной группой, карбоксигруппой, С1-6алкоксикарбонильной группой или аминогруппой, или Rd11 и Rd12 совместно со смежным атомом азота могут образовать 5- или 6-членную насыщенную гетероциклическую группу, которая имеет один или более атомов азота, где насыщенная гетероциклическая группа может быть замещена С1-6алкильными группами, где алкильная группа может быть замещена карбоксигруппой, или карбоксигруппой; Re представляет собой следующее кольцо А:
 где кольцо А представляет собой 5- или 6-членную насыщенную гетероциклическую группу, имеющую 1 или 2 гетероатома, 5- или 6-членную ароматическую гетероциклическую группу, имеющую от 1 до 4 гетероатомов, 9-12-членную конденсированную ароматическую гетероциклическую группу, имеющую 1 или 2 гетероатома, которая может быть частично насыщенной, С3-8циклоалкильную группу или С7-11спирогетероциклоалкильную группу, имеющую 1 или 2 гетероатома; которая может быть замещена заместителем, соответственно выбранным из следующей группы Еа: [Группа Еа] a. -ORe1, где Re1 представляет собой атом водорода, С1-6алкильную группу, С1-6алкильная группа может быть замещена карбоксигруппой или -CON(Re11)(Re12), где Re11 и Re12 могут быть одинаковыми или различными и каждый представляет собой атом водорода или С1-6алкильную группу, ацильную группу, карбамоильную группу или аралкильную группу, b. -COORе2, где Re2 представляет собой атом водорода или С1-6алкильную группу, с. -CO-N(Re41)(Re42), где Re41 и Re42 могут быть одинаковыми или различными и каждый представляет собой атом водорода, С1-6алкильную группу, где С1-6алкильная группа может быть замещена заместителем, выбранным из гидроксильной группы, С1-6алкоксигруппы, аминогруппы, С1-6алкиламиногруппы, ди-С1-6алкиламиногруппы, атома галогена, карбоксигруппы, карбамоильной группы, С1-6алкилкарбамоильной группы, ди-С1-6алкилкарбамоильной группы или 5- или 6-членной насыщенной гетероциклической группы или ароматической гетероциклической группы, имеющей 1 или 2 гетероатома, гидроксильную группу, С1-6алкоксигруппу, С5-6циклоалкильную группу, где С5-6циклоалкильная группа может быть замещена гидроксильной группой или С1-6алкильной группой, где С1-6алкильная группа может быть замещена гидроксильной группой, или С1-6алкилсульфонильную группу, d. -CORe3, где Re3 представляет собой атом водорода, С1-6алкильную группу, где С1-6алкильная группа может быть замещена заместителем, выбранным из гидроксильной группы, карбоксигруппы, и С1-6алкилсульфонильной группы, 5- или 6-членную насыщенную гетероциклическую группу или ароматическую гетероциклическую группу, имеющую 1 или 2 гетероатома, где насыщенная гетероциклическая группа или ароматическая гетероциклическая группа может быть замещена гидроксильной группой, оксогруппой, карбоксигруппой, С1-6алкоксигруппой, ацильной группой, аминогруппой, ациламиногруппой, ди-С1-6алкиламиногруппой, и С1-6алкильной группой, где С1-6алкильная группа может быть замещена гидроксильной группой, или С5-6циклоалкильную группу или арильную группу, где C5-6циклоалкильная группа или арильная группа может быть замещена гидроксильной группой, е. оксогруппа, f. -N(Re51)(Re52), где Re51 и Re52 могут быть одинаковыми или различными, и каждый представляет собой атом водорода, С1-6алкилсульфонильную группу, С1-6алкильную группу, где С1-6алкильная группа может быть замещена заместителем, выбранным из гидроксильной группы, С1-6алкоксигруппы и карбамоильной группы, ацильную группу, где ацильная группа может быть замещена гидроксильной группой или С1-6алкоксигруппой, -CORe511, где Re511 представляет собой С1-6алкильную группу, где С1-6алкильная группа может быть замещена гидроксильной группой или С5-6циклоалкильной группой, где циклоалкильная группа может быть замещена гидроксильной группой, g. С1-6алкильная группа, где С1-6алкильная группа может быть замещена заместителем, выбранным из следующей группы Еb: [Группа Еb] гидроксильная группа, С1-6алкоксигруппа, где С1-6алкильная группа в С1-6алкоксигруппе, может быть замещена карбоксигруппой или -CO-N(Re11)(Re12), где Re11 и Re12 имеют значения, указанные выше, -COORe2, где Re2 имеет значение, указанное выше, -N(Re51)(Re52), где Re51 и Re52 имеют значения, указанные выше, -CO-N(Re51)(Re52), где Re51 и Re52 имеют значения, указанные выше, атом галогена и 5- или 6-членная насыщенная гетероциклическая группа, имеющая 1 или 2 гетероатома, где насыщенная гетероциклическая группа может быть замещена гидроксильной группой, h. -(CH2)n-N(Re61)-(CH2)m-CO(Re62), где n и m представляют собой целое число, равное 0 или от 1 до 4, и n+m имеют значение от 1 до 6, Re61 представляет собой атом водорода или С1-6алкильную группу и Re62 представляет собой С1-6алкильную группу, где С1-6алкильная группа может быть замещена гидроксильной группой, С1-6алкоксигруппой, аминогруппой, С1-6алкиламиногруппой или ди-С1-6алкиламиногруппой, i. гидроксииминогруппа, j. С1-6алкилсульфонильная группа, k. цианогруппа, l. 5- или 6-членная насыщенная гетероциклическая группа (которая может быть частично ненасыщенной), содержащей 1 или 2 гетероатома, выбранных из атома азота и из атома кислорода, или 5- или 6-членной ароматической гетероциклической группы, содержащей от 1 до 4 гетероатома, выбранных из атома азота и из атома кислорода, где насыщенная гетероциклическая группа и ароматическая гетероциклическая группа могут быть замещены оксогруппой или С1-6алкильной группой, m. аминосульфонильная группа и n. С1-6алкилиденовая группа, где С1-6алкилиденовая группа может быть замещена атомом галогена или карбоксигруппой; Rf представляет собой С1-6алкильную группу или C2-6алкенильную группу, где указанная С1-6алкильная группа и С2-6алкенильная группа могут быть замещены заместителем, выбранным из следующей группы Fa: [Группа Fa] а. С1-6алкоксигруппа, где С1-6алкильная группа в алкоксигруппе, может быть замещена карбоксигруппой, С1-6алкоксикарбонильной группой или -CON(Rf21)(Rf22), где Rf21 и Rf22 могут быть одинаковыми или различными и каждый представляет собой атом водорода, ацильную группу, где ацильная группа может быть замещена гидроксильной группой или карбоксигруппой, С1-6алкоксикарбонильную группу, -O-COORf1, где Rf1 представляет собой атом водорода или С1-6алкильную группу, С1-6алкильную группу, где С1-6алкильная группа может быть замещена гидроксильной группой, карбоксигруппой, С1-6алкоксикарбонильной группой, карбамоильной группой, С1-6алкилсульфонильную группу или карбамоильную группу, b. -COORf1, где Rf1 представляет собой атом водорода или С1-6алкильную группу, с. -N(Rf21)(Rf22), где Rf21 и Rf22 имеют значения, указанные выше, d. -CON(Rf21)(Rf22), где Rf21 и Rf22 имеют значения, указанные выше, е. -N(Rf23)CON(Rf21)(Rf22), где Rf23 представляет собой атом водорода или С1-6алкильную группу, и Rf21 и Rf22 имеют значения, указанные выше, f. ацильная группа и g. атом галогена; Rg представляет собой заместитель, имеющий кольцо В, представленное следующей формулой (II):
 где А представляет собой линкер, выбранный из следующей группы Ga: [Группа Ga] -(CH2)k-, -(CH2)k-NRg1-(CH2)j-, -(CH2)k-O-(CO)NRg1-(CH2)j-, -(CH2)k-NRg1(CO)-(CH2)j-, -(CH2)k-(CO)-(CH2)j-, -(CO)-, -(CH2)k-O-(CH2)j-, -(CH2)k-S-(CH2)j-, -(CH2)k-O-(CO)-(CH2)j-, -(CO)NRg1– и -(CH2)k-O-(CH2)j(CO)-(CH2)g-, где k, j и g могут быть одинаковыми или различными и представляют собой целое число от 0 до 4, но k и j, или k и g не могут быть равны 0 одновременно, Rg1 представляет собой атом водорода, гидроксильную группу, С1-6алкоксигруппу, ацильную группу, где ацильная группа может быть замещена гидроксильной группой или карбоксигруппой, С3-8циклоалкильную группу, где циклоалкильная группа может быть замещена С1-6алкильной группой, где алкильная группа может быть замещена карбоксигруппой, аралкильную группу или С1-6алкильную группу, где алкильная группа может быть замещена гидроксильной группой, -N(Rg41)(Rg42) или -CON(Rg41)(Rg42), где Rg41 и Rg42 могут быть одинаковыми или различными и представляют собой атом водорода, ацильную группу, где ацильная группа может быть замещена гидроксильной группой, аралкильную группу, С1-6алкилсульфонильную группу или С1-6алкильную группу, где С1-6алкильная группа может быть замещена гидроксильной группой, карбоксигруппой, С1-6алкоксикарбонильной группой, -N(Rg51)(Rg52) или -СО-N(Rg51)(Rg52), где Rg51 и Rg52 могут быть одинаковыми или различными и представляют собой атом водорода, ацильную группу, где ацильная группа может быть замещена гидроксильной группой, С1-6алкильную группу, где С1-6алкильная группа может быть замещена гидроксильной группой, карбоксигруппой, ациламиногруппой, С1-6алкоксикарбонильной группой или атомом галогена, С1-6алкоксикарбонильную группу, С1-6алкилсульфонильную группу или С3-8циклоалкильную группу, где циклоалкильная группа может быть замещена гидроксильной группой или С1-6алкоксигруппой, или Rg51 и Rg52 совместно со смежным атомом азота могут образовать 5- или 6-членную насыщенную гетероциклическую группу, которая имеет один или более атомов азота, где насыщенная гетероциклическая группа может быть замещена гидроксильной группой или С1-6алкоксигруппой, кольцо В представляет собой кольцо, выбранное из следующей группы На: [Группа На] арильная группа, С3-8циклоалкильная группа, 5-7-членная насыщенная гетероциклическая группа, содержащая один или более атомов азота, 5-6-членная ароматическая гетероциклическая группа, содержащая, по крайней мере, один гетероатом, и кольцо В может быть замещено заместителем, выбранным из следующей группы Iа: [Группа Iа] a. -ORg2, где Rg2 представляет собой атом водорода, С1-6алкильную группу или аралкильную группу, b. -COORg3, где Rg3 представляет собой атом водорода, С1-6алкильную группу или аралкильную группу, где алкильная группа может быть замещена гидроксильной группой, с. -N(Rg41)(Rg42), где Rg41 и Rg42 имеют значения, указанные выше, d. -CO-Rg53, где Rg53 представляет собой С1-6алкильную группу, где алкильная группа может быть замещена гидроксильной группой, карбоксигруппой или ациламиногруппой, С3-8циклоалкильную группу, где циклоалкильная группа может быть замещена гидроксильной группой, С1-6алкоксигруппой или оксогруппой, 5- или 6-членную насыщенную гетероциклическую группу, содержащую, по крайней мере, один гетероатом, где насыщенная гетероциклическая группа может быть замещена гидроксильной группой, С1-6алкильной группой или оксогруппой, арильную группу, где арил может быть замещен гидроксильной группой, 5- или 6-членную ароматическую гетероциклическую группу, содержащую, по крайней мере, один гетероатом, или аралкильную группу; е. С1-6алкильная группа, где С1-6алкильная группа, которая может быть замещена гидроксильной группой, С1-6алкоксигруппой, аралкоксигруппой, карбоксигруппой, С1-6алкоксикарбонильной группой, -CO-Rg53, где Rg53 имеет значение, указанное выше, -N(Rg51)(Rg52) или -CO-N(Rg51)(Rg52), где Rg51 и Rg52 имеют значения, указанные выше, f. -CO-N(Rg51)(Rg52), где Rg51 и Rg52 имеют значения, указанные выше, g. С1-6алкилсульфонильная группа, h. оксогруппа, i. арильная группа, где арильная группа может быть замещена гидроксильной группой, j. аралкильная группа и k. атом галогена; и Rh представляет собой -N(Rh1)(Rh2), где Rhl представляет собой (1) атом водорода, (2) С1-6алкильную группу, где С1-6алкильная группа может быть замещена гидроксильной группой, С1-6алкоксигруппой, -N(Rg51)(Rg52), -CO-N(Rg51)(Rg52), где Rg51 и Rg52 имеют значения, указанные выше, С1-6алкилсульфонильной группой или атомом галогена, (3) С2-6алкенильную группу, (4) С3-8циклоалкильную группу, где циклоалкильная группа может быть замещена гидроксильной группой или С1-6алкоксигруппой, или (5) аралкильную группу, Rh2 представляет собой (1) С1-6алкильную группу, где С1-6алкильная группа может быть замещена заместителем, выбранным из следующей группы Ja: [Группа Ja] гидроксильная группа, С1-6алкоксигруппа, карбоксигруппа, ароматическая карбоциклическая группа, где ароматическая карбоциклическая группа может быть замещена гидроксильной группой, С1-6алкильной группой, где алкильная группа может быть замещена карбоксигруппой, атомом галогена, С1-6алкоксигруппой, карбоксигруппой, С1-6алкоксикарбонильной группой, С2-6алкенильной группой, где С2-6алкенильная группа может быть замещена карбоксигруппой, С3-8циклоалкильная группа, где циклоалкильная группа может быть замещена карбоксигруппой или аралкоксигруппой, 5- или 6-членная ароматическая гетероциклическая группа, содержащая 1 или 2 гетероатома, где ароматическая гетероциклическая группа может быть замещена карбоксигруппой, 5- или 6-членная насыщенная гетероциклическая группа, содержащая 1 или 2 гетероатома, -N(Rg51)(Rg52), где Rg51 и Rg52 имеют значения, указанные выше, -CON(Rg51)(Rg52), где Rg51 и Rg52 имеют значения, указанные выше, -CORg53, где Rg53 имеет значение, указанное выше, и -COORg3, где Rg3 имеет значение, указанное выше, (2) ацильную группу, где ацильная группа может быть замещена гидроксильной группой, (3) С1-6алкоксикарбонильную группу, (4) С2-6алкенильную группу, где алкенильная группа может быть замещена карбоксигруппой или атомом галогена, (5) С3-8циклоалкильную группу, где циклоалкильная группа может быть замещена гидроксильной группой, -COORg3, где Rg3 имеет значение, указанное выше, -CORg53, где Rg53 имеет значение, указанное выше, -CONRg51Rg52, где Rg51 и Rg52, каждый, имеет значение, указанное выше, или С1-6алкильную группу, где алкильная группа может быть замещена карбоксигруппой, (6) 5- или 6-членную насыщенную гетероциклическую группу, содержащую 1 или 2 гетероатома, где насыщенная гетероциклическая группа может быть замещена -CORg53, где Rg53 имеет значение, указанное выше, -COORg3, где Rg3 имеет значение, указанное выше, -CONRg51Rg52, где Rg51 и Rg52, каждый, имеет значение, указанное выше, или С1-6алкилсульфонильной группой, или (7) ароматическую карбоциклическую группу, где ароматическая карбоциклическая группа может быть замещена карбоксигруппой, С1-6алкильной группой, где алкильная группа может быть замещена карбоксигруппой или С2-6алкенильной группой, где алкенильная группа может быть замещена карбоксигруппой, или его фармацевтически приемлемая соль.
2. Аминопиридиновое соединение или его фармацевтически приемлемая соль по п.1, где Z представляет собой атом азота.
3. Аминопиридиновое соединение или его фармацевтически приемлемая соль по п.2, где аминопиридиновое соединение согласно п.1 представляет собой аминопиридиновое соединение, представленное следующей общей формулой (Iа-1):
 где X1 представляет собой (1) -C(R2)=; X2 представляет собой (1) -С(R3)= или (2) атом азота; X3 представляет собой (1) -C(R4)= или (2) атом азота; Y1 представляет собой (1) -СН=; R1 представляет собой (1) атом водорода или (2) С1-6алкильную группу; R2 представляет собой (1) атом водорода, (2) атом галогена или (3) С1-6алкильную группу; R3 представляет собой (1) атом водорода, (2) атом галогена, (3) С1-6алкоксигруппу, где С1-6алкильная группа в С1-6алкоксигруппе может быть замещена заместителем, выбранным из следующей группы Аа-1: [Группа Аа-1] а. гидроксильная группа, с. -N(R31)(R32), где R31 и R32 представляют собой атом водорода или С1-6алкильную группу, d. атом галогена, (4) аралкоксигруппу, (5) ацильную группу, (6) насыщенную гетероциклическую группу, где гетероциклическая группа может быть замещена С1-6алкильной группой, и насыщенная гетероциклическая группа может частично иметь двойную связь, (7) С1-6алкильную группу, где С1-6алкильная группа может быть замещена заместителем, выбранным из следующей группы Аb-1: [Группа Аb-1] а. гидроксильная группа, b. -COOR33, где R33 представляет собой атом водорода или С1-6алкильную группу, с. -CO-N(R31)(R32), где R31 и R32 имеют значения, указанные выше, и d. атом галогена, или (8) цианогруппу, или R3 совместно с R2 могут образовать группу -С=С-С=С-; R4 представляет собой (1) атом водорода или (2) С1-6алкильную группу; R6 представляет собой (1) атом водорода, (2) С1-6алкильную группу, где С1-6алкильная группа может быть замещена гидроксильной группой или С1-6алкоксигруппой, (3) -COOR61, где R61 представляет собой атом водорода или С1-6алкильную группу, (4) -N(R62)(R63), где R62 и R63 могут быть одинаковыми или различными и каждый представляет собой атом водорода, С1-6алкильную группу, С1-6алкоксигруппу или ацильную группу, (5) -CO-N(R62)(R63), где R62 и R63 имеют значения, указанные выше, или (6) ацильную группу; и R7 является тем же самым, как указано в п.1.
4. Аминопиридиновое соединение или его фармацевтически приемлемая соль по пп.1-3, где аминопиридиновое соединение по пп.1-3 представляет собой аминопиридиновое соединение, представленное следующей общей формулой (Iа-2):
 где X2 представляет собой (1) =С(R3)- или (2) атом азота; R2 представляет собой (1) атом водорода или (2) атом галогена; R3 представляет собой (1) атом водорода, (2) атом галогена, (3) С1-6алкоксигруппу, где С1-6алкильная группа в С1-6алкоксигруппе может быть замещена заместителем, выбранным из следующей группы Аа-2: [Группа Аа-2] а. гидроксильная группа и b. атом галогена, (4) ацильную группу, (5) насыщенную гетероциклическую группу, где гетероциклическая группа может быть замещена С1-6алкильной группой, и насыщенная гетероциклическая группа может частично иметь двойную связь, (6) С1-6алкильную группу, которая может быть замещена заместителем, выбранным из следующей группы Аb-2: [Группа Аb-2] а. гидроксильная группа и b. атом галогена или (7) цианогруппу, или R3 совместно с R2 могут образовать группу -С=С-С=С-; R6 представляет собой (1) атом водорода или (2) С1-6алкильную группу, где С1-6алкильная группа может быть замещена гидроксильной группой или С1-6алкоксигруппой; R7 представляет собой атом водорода или следующие Ra, Rb, Rc, Rd, Re, Rf, Rg или Rh; Ra представляет собой -CpH2(p-1)(Ral)(Ra2)-O-Ra3, где (1) р представляет собой целое число от 1 до 6, (2) Ra1 представляет собой атом водорода, (3) Ra2 представляет собой С1-6алкильную группу, где С1-6алкильная группа может быть замещена гидроксильной группой, карбоксигруппой, ацилоксигруппой, или ди-С1-6алкиламиногруппой, аралкильную группу, где аралкильная группа может быть замещена гидроксильной группой, карбоксигруппой или ацилоксигруппой, или арильную группу, (4) Ra3 представляет собой атом водорода, ацильную группу или -(CO)N(Ra31)(Ra32), где Ra31 и Ra32 могут быть одинаковыми или различными и представляют собой атом водорода или С1-6алкильную группу; Rb представляет собой -CpH2(p-1)(Rbl)(Rb2)-N-(Rb3)(Rb4), где (1) р является целым числом от 1 до 6, (2) Rb1 представляет собой атом водорода, (3) Rb2 представляет собой а. аралкильную группу, где аралкильная группа может быть замещена гидроксильной группой, С1-6алкоксигруппой, которая может быть замещена гидроксильной группой, аралкилоксигруппой или -N(Rb21)(Rb22), где Rb21 и Rb22 представляют собой атом водорода, С1-6алкильную группу, ацильную группу или аралкоксикарбонильную группу, b. арильную группу, где арильная группа может быть замещена гидроксильной группой или аралкоксигруппой, или с. С1-6алкильную группу, где С1-6алкильная группа может быть замещена гидроксильной группой, карбоксигруппой, аралкоксигруппой, аралкоксикарбонильной группой, аминогруппой, (4) Rb3 представляет собой атом водорода или С1-6алкильную группу, (5) Rb4 представляет собой а. атом водорода, b. C1-6алкильную группу, где С1-6алкильная группа может быть замещена карбоксигруппой или С1-6алкоксикарбонильной группой, с. -CORb32, где Rb32 представляет собой С1-6алкильную группу, где С1-6алкильная группа может быть замещена гидроксильной группой, ацильной группой, карбоксигруппой, С1-6алкоксикарбонильной группой или ацилоксигруппой, или d. -CON(Rb321)(Rb322), где Rb321 и Rb322 представляют собой атом водорода или С1-6алкильную группу; Rc представляет собой -C(=N-Rc1)-Rc2, где (1) Rc1 представляет собой а. гидроксильную группу, b. С1-6алкоксигруппу, где С1-6алкильная группа в С1-6алкоксигруппе может быть замещена гидроксильной группой, или с. ацилоксигруппу, (2) Rc2 представляет собой С1-6алкильную группу Rd представляет собой -С(=O)-Rd1, где Rd1 представляет собой (1) С1-6алкильную группу, где С1-6алкильная группа может быть замещена гидроксильной группой, карбоксигруппой или С1-6алкоксикарбонильной группой, (2) С1-6алкоксигруппу, (4) -N(Rd11)(Rd12), где Rd11 и Rd12 могут быть одинаковыми или различными и каждый представляет собой атом водорода, С1-6алкоксигруппу или С1-6алкильную группу, где С1-6алкильная группа может быть замещена гидроксильной группой, карбоксигруппой или С1-6алкоксикарбонильной группой; Re представляет собой 5- или 6-членную насыщенную гетероциклическую группу, имеющую 1 или 2 гетероатома, 5- или 6-членную ароматическую гетероциклическую группу, имеющую от 1 до 4 гетероатома, 9-12-членную конденсированную ароматическую гетероциклическую группу, которая может быть частично насыщенной, имеющей 1 или 2 гетероатома, С3-8циклоалкильную группу или С7-11спирогетероциклоалкильную группу, имеющую 1 или 2 гетероатома, и каждый может быть замещен заместителем, выбранным из следующей группы Еа-1: [Группа Еа-1] a. -ORe1, где Re1 представляет собой атом водорода, С1-6алкильную группу, где С1-6алкильная группа может быть замещена карбоксигруппой или -СОN(Re11)(Re12), где Re11 и Re12 могут быть одинаковыми или различными и каждый представляет собой атом водорода или С1-6алкильную группу, ацильную группу, карбамоильную группу или аралкильную группу, b. -COORе2, где Rе2 представляет собой атом водорода или С1-6алкильную группу, с. -CO-N(Re41)(Re42), где Re41 и Re42 могут быть одинаковыми или различными и каждый представляет собой атом водорода, С1-6алкильную группу, где С1-6алкильная группа может быть замещена заместителем, выбранным из гидроксильной группы, С1-6алкоксигруппы, ди-C1-6алкиламиногруппы, карбоксигруппы, атома галогена, С1-6алкилкарбамоильной группы и 5- или 6-членной насыщенной гетероциклической группы или ароматической гетероциклической группы, имеющей 1 или 2 гетероатома, гидроксильную группу, С1-6алкоксигруппу, С5-6циклоалкильную группу, где C5-6циклоалкильная группа может быть замещена гидроксильной группой, или, С1-6алкилсульфонильную группу, d. -CORe3, где Re3 представляет собой атом водорода, С1-6алкильную группу, где С1-6алкильная группа может быть замещена гидроксигруппой, карбоксигруппой или С1-6алкилсульфонильной группой, 5- или 6-членную насыщенную гетероциклическую группу, имеющую 1 или 2 гетероатома, где насыщенная гетероциклическая группа может быть замещена гидроксильной группой, карбоксигруппой, С1-6алкильной группой, ацильной группой, С1-6алкоксигруппой, аминогруппой, алкиламиногруппой, диС1-6алкиламиногруппой, алкилсульфониламиногруппой, ациламиногруппой или оксогруппой, C5-6циклоалкильной группой, где C5-6циклоалкильная группа может быть замещена гидроксильной группой, арильную группу, где арильная группа может быть замещена гидроксильной группой, е. оксогруппа, f. -N(Re51)(Re52), где Re51 и Re52 могут быть одинаковыми или различными и каждый представляет собой атом водорода, С1-6алкилсульфонильную группу, С1-6алкильную группу, где С1-6алкильная группа может быть замещена гидроксильной группой, ацильную группу, где ацильная группа может быть замещена гидроксильной группой, или -CORe511, где Re511 представляет собой C5-6циклоалкильную группу, где C5-6циклоалкильная группа может быть замещена гидроксильной группой, g. C1-6алкильная группа, где С1-6алкильная группа может быть замещена заместителем, выбранным из следующей группы Еb-1: [Группа Еb-1] гидроксильная группа, С1-6алкоксигруппа, где С1-6алкильная группа в С1-6алкоксигруппе может быть замещена карбоксигруппой или -CO-N(Re11)(Re12), где Re11 и Re12 имеют значения, указанные выше, -COORe2, где Re2 имеет значение, указанное выше, -N(Re51)(Re52), где Re51 и Re52 имеют значения, указанные выше, -CO-N(Re51)(Re52), где Re51 и Re52 имеют значения, указанные выше, атом галогена и 5- или 6-членная насыщенная гетероциклическая группа, имеющая 1 или 2 гетероатома, h. гидроксииминогруппа, i. С1-6алкилсульфонильная группа, j. цианогруппа, k. 5- или 6-членная насыщенная гетероциклическая группа, содержащая 1 или 2 гетероатома, выбранных из атома азота и из атома кислорода (которая может быть частично ненасыщенной и может быть замещена оксогруппой или C1-6алкильной группой) или ароматической гетероциклической группой, содержащей от 1 по 4 гетероатома, выбранных из атома азота и из атома кислорода, l. аминосульфонильная группа и m. С1-6алкилиденовая группа, где С1-6алкилиденовая группа может быть замещена атомом галогена или карбоксигруппой; Rf представляет собой С1-6алкильную группу, где С1-6алкильная группа может быть замещена заместителем, выбранным из следующей группы Fa-1: [Группа Fa-1] а. C1-6алкоксигруппа, где С1-6алкильная группа в алкоксигруппе может быть замещена карбоксигруппой, С1-6алкоксикарбонильной группой или -CON(Rf21)(Rf22), где Rf21 и Rf22 могут быть одинаковыми или различными и каждый представляет собой атом водорода, ацильную группу, где ацильная группа может быть замещена гидроксильной группой или карбоксигруппой, С1-6алкоксикарбонильную группу, -O-COORf1, где Rf1 представляет собой атом водорода или С1-6алкильную группу, С1-6алкильную группу, где С1-6алкильная группа может быть замещена гидроксильной группой, карбоксигруппой, С1-6алкоксикарбонильной группой или карбамоильной группой, С1-6алкилсульфонильную группу или карбамоильную группу, b. -COORf1, где Rf1 имеет значение, указанное выше, с. -N(Rf21)(Rf22), где Rf21 и Rf22 имеют значения, указанные выше, d. -CON(Rf21)(Rf22), где Rf21 и Rf22 имеют значения, указанные выше, е. ацильная группа и f. атом галогена; Rg представляет собой заместитель, имеющий кольцо В’, представленное следующей формулой (IIа):
 где А’ представляет собой линкер, выбранный из следующей группы Ga-1: [Группа Ga-1] -(СН2)k, -(CH2)k-NRg1-(CH2)j-, -(CH2)k-O-(CO)NRg1-(CH2)j-, -(CH2)k-NRg1(CO)-(CH2)j-, -(CH2)k-(CO)-(CH2)j-, -(CO)-, -(CH2)k-O-(CH2)j-, -(CH2)k-S-(CH2)j-, -(CH2)k-O-(CO)-(CH2)j– и -(CH2)k-O-(CH2)j(CO)-(CH2)g-, где k, j и g могут быть одинаковыми или различными и представляют собой целое число от 0 до 4, но k и j, или k и g не могут быть равны 0 одновременно, Rg1 представляет собой атом водорода, ацильную группу, где ацильная группа может быть замещена карбоксигруппой или гидроксильной группой, или С1-6алкильную группу, кольцо В’ представляет собой кольцо, выбранное из следующей группы На-1: [Группа На-1] арильная группа, С3-8циклоалкильная группа, 5-7-членная насыщенная гетероциклическая группа, имеющая, по крайней мере, один атом азота, и 5- или 6-членная ароматическая гетероциклическая группа, содержащая 1 или 2 гетероатома, и кольцо В’ может быть замещено заместителем, выбранным из следующей группы Iа-1: [Группа Ia-1] a. -ORg2, где Rg2 представляет собой атом водорода, C1-6алкильную группу или aралкильную группу, b. -COORg3, где Rg3 представляет собой атом водорода или C1-6алкильную группу, где алкильная группа может быть замещена гидроксильной группой, c. -N(Rg41)(Rg42), где Rg41 и Rg42 имеют значения, указанные выше, d. -CO-Rg53, где Rg53 представляет собой C1-6алкильную группу, где алкильная группа может быть замещена гидроксильной группой, карбоксигруппой или ациламиногруппой, C3-8циклоалкильную группу, где циклоалкильная группа может быть замещена гидроксильной группой, C1-6алкоксигруппой или оксогруппой, арильную группу, где арильная группа может быть замещена гидроксильной группой, 5- или 6-членную насыщенную гетероциклическую группу, содержащую 1 или 2 гетероатома, где насыщенная гетероциклическая группа может быть замещена гидроксильной группой, C1-6алкильной группой или оксогруппой, aралкильную группу или 5- или 6-членную ароматическую гетероциклическую группу, содержащую 1 или 2 гетероатома, e. C1-6алкильная группа, где C1-6алкильная группа может быть замещена гидроксильной группой, карбоксигруппой или -CO-Rg53, где Rg53 имеют значения, указанные выше, f. -CO-N(Rg51)(Rg52), где Rg51 и Rg52 могут быть одинаковыми или различными и представляют собой атом водорода, ацильную группу, где ацильная группа может быть замещена гидроксильной группой, C1-6алкильную группу, где C1-6алкильная группа может быть замещена гидроксильной группой, карбоксигруппой, ациламиногруппой, C1-6алкоксикарбонильной группой или атомом галогена, C1-6алкилсульфонильную группу, C1-6алкоксикарбонильную группу, или C3-8циклоалкильную группу, где циклоалкильная группа может быть замещена гидроксильной группой или C1-6алкоксигруппой, g. C1-6алкилсульфонильная группа, h. оксогруппа и i. атом галогена; и Rh представляет собой -N(Rh1)(Rh2), где Rh1 представляет собой (1) атом водорода, (2) C1-6алкильную группу, где C1-6алкильная группа может быть замещена гидроксильной группой, C1-6алкоксигруппой, -N(Rg51)(Rg52), -CO-N(Rg51)(Rg52), C1-6алкилсульфонилом или атомом галогена, где Rg51 и Rg52 имеют значения, указанные выше, (3) C2-6алкенильную группу, (4) C3-8циклоалкильную группу, где циклоалкильная группа может быть замещена гидроксильной группой или C1-6алкоксигруппой, или (5) aралкильную группу, Rh2 представляет собой (1) C1-6алкильную группу, где C1-6алкильная группа может быть замещена заместителем, выбранным из следующей группы Ja-1: [Группа Ja-1] гидроксильная группа, C1-6алкоксигруппа, карбоксигруппа, ароматическая карбоциклическая группа, где ароматическая карбоциклическая группа может быть замещена гидроксильной группой, С1-6алкильной группой, где алкильная группа может быть замещена карбоксигруппой, атомом галогена, С1-6алкоксигруппой, карбоксигруппой, С1-6алкоксикарбонильной группой, С2-6алкенильной группой, где С2-6алкенильная группа может быть замещена карбоксигруппой, С3-8циклоалкильная группа, где циклоалкильная группа может быть замещена карбоксигруппой или аралкоксигруппой, 5- или 6-членная ароматическая гетероциклическая группа, содержащая 1 или 2 гетероатома, где ароматическая гетероциклическая группа может быть замещена карбоксигруппой, 5- или 6-членная насыщенная гетероциклическая группа, содержащая 1 или 2 гетероатома, -N(Rg51)(Rg52) и -CON(Rg51)(Rg52), где Rg51 и Rg52 имеют значения, указанные выше, (2) ацильную группу, где ацильная группа может быть замещена гидроксильной группой, (3) C2-6алкенильную группу, где алкенильная группа может быть замещена карбоксигруппой или атомом галогена, (4) C3-8циклоалкильную группу, где циклоалкильная группа может быть замещена гидроксильной группой, -COORg3, где Rg3 имеет значение, указанное выше, -CORg53, где Rg53 имеет значение, указанное выше, -CONRg51Rg52, где Rg51 и Rg52, каждый, имеет значение, указанное выше, или C1-6алкильную группу, где алкильная группа может быть замещена карбоксигруппой, (5) 5- или 6-членную насыщенную гетероциклическую группу, содержащую 1 или 2 гетероатома, где насыщенная гетероциклическая группа может быть замещена -CORg53, где Rg53 имеет значение, указанное выше, -COORg3, где Rg3 имеет значение, указанное выше, -CONRg51Rg52, где Rg51 и Rg52, каждый, имеет значение, указанное выше, или C1-6алкилсульфонильной группой, или (6) ароматическую карбоциклическую группу, где ароматическая карбоциклическая группа может быть замещена карбоксигруппой, C1-6алкильной группой, где алкильная группа может быть замещена карбоксигруппой или C2-6алкенильной группой, где алкенильная группа может быть замещена карбоксигруппой.
5. Аминопиридиновое соединение или его фармацевтически приемлемая соль по п.4, где R2 представляет собой атом водорода, R3 представляет собой C1-6алкильную группу, где C1-6алкильная группа может быть замещена гидроксильной группой или атомом галогена, R6 представляет собой атом водорода, и R7 представляет собой Re, Rg или Rh.
6. Аминопиридиновое соединение или его фармацевтически приемлемая соль по п.5, где R7 представляет собой Re, и Re представляет собой (1) 5- или 6-членную насыщенную гетероциклическую группу, содержащую 1 или 2 гетероатома, где насыщенная гетероциклическая группа может быть замещена C1-6алкильной группой, где алкильная группа может быть замещена карбоксигруппой, -CORe3, где Re3 представляет собой 5- или 6-членную насыщенную гетероциклическую группу, имеющую 1 или 2 гетероатома, где 5- или 6-членная насыщенная гетероциклическая группа может быть замещена гидроксильной группой или -CO-N(Re41)(Re42), где Re41 и Re42 могут быть одинаковыми или различными и каждый представляет собой атом водорода, или C1-6 алкильной группой, или (2) C3-8циклоалкильную группу, где циклоалкильная группа может быть замещена C1-6алкильной группой, где алкильная группа может быть замещена карбоксигруппой, -CORe3, где Re3 представляет собой 5- или 6-членную насыщенную гетероциклическую группу, имеющую 1 или 2 гетероатома, где 5- или 6-членная насыщенная гетероциклическая группа может быть замещена гидроксильной группой или -CO-N(Re41)(Re42), где Re41 и Re42 могут быть одинаковыми или различными и каждый представляет собой атом водорода или C1-6алкильную группу.
7. Аминопиридиновое соединение или его фармацевтически приемлемая соль по п.6, где Re представляет собой (1) 5- или 6-членную насыщенную гетероциклическую группу, имеющую 1 или 2 гетероатома, представленную следующим кольцом L, где насыщенная гетероциклическая группа может быть замещена 1 или 2 одинаковыми или различными заместителями, выбранными из C1-6алкильной группы, где алкильная группа может быть замещена карбоксигруппой, -CORe3, где Re3 представляет собой 5- или 6-членную насыщенную гетероциклическую группу, имеющую 1 или 2 гетероатома, где 5- или 6-членная насыщенная гетероциклическая группа может быть замещена гидроксильной группой, или -CO-N(Re41)(Re42), где Re41 и Re42 могут быть одинаковыми или различными и каждый представляет собой атом водорода или C1-6алкильную группу,
 где кольцо L представляет собой 5- или 6-членную насыщенную гетероциклическую группу, имеющую 1 или 2 гетероатома, или (2) 5- или 6-членную циклоалкильную группу, где циклоалкильная группа может быть замещена 1 или 2 одинаковыми или различными заместителями, выбранными из С1-6алкильной группы, где алкильная группа может быть замещена карбоксигруппой, -CORe3, где Re3 представляет собой 5- или 6-членную насыщенную гетероциклическую группу, имеющую 1 или 2 гетероатома, где 5- или 6-членная насыщенная гетероциклическая группа может быть замещена гидроксильной группой, или -CO-N(Re41)(Re42), где Re41 и Re42 могут быть одинаковыми или различными и каждый представляет собой атом водорода или С1-6алкильную группу.
8. Аминопиридиновое соединение или его фармацевтически приемлемая соль по п.5, где Rh представляет собой -N(Rh1)(Rh2) и Rh1 представляет собой С1-6алкильную группу, Rh2 представляет собой С3-8циклоалкильную группу, где циклоалкильная группа может быть замещена -COORg3, где Rg3 представляет собой атом водорода или С1-6алкильную группу, где алкильная группа может быть замещена гидроксильной группой.
9. Аминопиридиновое соединение или его фармацевтически приемлемая соль по п.1, где аминопиридиновое соединение выбрано из следующей группы соединений: (001) 1-метил-4-{5-[6-(4-метилпиридин-2-иламино)пиридин-2-ил]тиазол-2-ил}пиперазин-2-он, (002) 1-{5-[6-(4-метилпиридин-2-иламино)пиридин-2-ил]тиазол-2-ил}пиперидин-4-карбоновая кислота, (003) 1-{5-[6-(4-метилпиридин-2-иламино)пиридин-2-ил]тиазол-2-ил}пиперидин-4-карбоксамид, (004) N-метил-1-{5-[6-(4-метилпиридин-2-иламино)пиридин-2-ил]тиазол-2-ил}пиперидин-4-карбоксамид, (005) N-(2-гидроксиэтил)-1-{5-[6-(4-метилпиридин-2-иламино)пиридин-2-ил]тиазол-2-ил}пиперидин-4-карбоксамид, (006) метиловый эфир транс-4-{5-[6-(4-метилпиридин-2-иламино)пиридин-2-ил]тиазол-2-ил}циклогексанкарбоновой кислоты, (007) транс-4-{5-[6-(4-метилпиридин-2-иламино)пиридин-2-ил]тиазол-2-ил}циклогексанкарбоновая кислота, (008) (4-гидроксипиперидин-1-ил)-(транс-4-{5-[6-(4-метилпиридин-2-иламино)пиридин-2-ил]тиазол-2-ил}циклогексил)метанон, (009) N-((S)-1-{5-[6-(4-метилпиридин-2-иламино)пиридин-2-ил]тиазол-2-ил}этил)амин, (010) N-((S)-1-{5-[6-(4-метилпиридин-2-иламино)пиридин-2-ил]тиазол-2-ил}этил)ацетамид, (011) (S)-3-метил-4-{5-[6-(4-метилпиридин-2-иламино)пиридин-2-ил]тиазол-2-ил}оксазолидин-2-он, (012) трет-бутиловый эфир (S)-2,2-диметил-4-{5-[6-(4-метилпиридин-2-иламино)пиридин-2-ил]тиазол-2-ил}оксазолидин-3-карбоновой кислоты, (013) (S)-2-амино-2-{5-[6-(4-метилпиридин-2-иламино)пиридин-2-ил]тиазол-2-ил}этанол, (014) (S)-4-{5-[6-(4-метилпиридин-2-иламино)пиридин-2-ил]тиазол-2-ил}оксазолидин-2-он, (015) (1-{5-[6-(4-метилпиридин-2-иламино)пиридин-2-ил]тиазол-2-ил}пиперидин-4-ил)уксусная кислота, (016) транс-4-[(N-метил-N-{5-[6-(4-метилпиридин-2-иламино)пиридин-2-ил] тиазол-2-ил}амино)метил]циклогексанкарбоновая кислота, (017) 3-(1-{5-[6-(4-метилпиридин-2-иламино)пиридин-2-ил]тиазол-2-ил}пиперидин-4-ил)пропионовая кислота, (018) 2-метил-2-(1-{5-[6-(4-метилпиридин-2-иламино)пиридин-2-ил]тиазол-2-ил}пиперидин-4-ил)пропионовая кислота, (019) N-{4-метил-5-[6-(4-метилпиридин-2-иламино)пиридин-2-ил]тиазол-2-ил}пропионамид, (020) N-{4-метил-5-[6-(4-метилпиридин-2-иламино)пиридин-2-ил]тиазол-2-ил}ацетамид, (021) N-{4-метил-5-[6-(4-метилпиридин-2-иламино)пиразин-2-ил]тиазол-2-ил}ацетамид, (022) этиловый эфир (S)-1-{5-[6-(4-метилпиридин-2-иламино)пиридин-2-ил]тиазол-2-ил}уксусной кислоты, (023) (S)-1-{5-[6-(4-метилпиридин-2-иламино)пиридин-2-ил]тиазол-2-ил}этанол, (024) 1-{5-[6-(4-метилпиридин-2-иламино)пиридин-2-ил]тиазол-2-ил}этанон, (025) этиловый эфир 5-[6-(4-метилпиридин-2-иламино)пиридин-2-ил]тиазол-2-карбоновой кислоты, (026) оксим 1-{5-[6-(4-метилпиридин-2-иламино)пиридин-2-ил]тиазол-2-ил}этанона, (027) (S)-5-{5-[6-(4-метилпиридин-2-иламино)пиридин-2-ил]тиазол-2-ил}дигидрофуран-2-он, (028) O-(2-гидроксиэтил)оксим 1-{5-[6-(4-метилпиридин-2-иламино)пиридин-2-ил]тиазол-2-ил}этанона, (029) N-метокси-N-метил-5-[6-(4-метилпиридин-2-иламино)пиридин-2-ил]тиазол-2-карбоксамид, (030) N-метил-5-[6-(4-метилпиридин-2-иламино)пиридин-2-ил]тиазол-2-карбоксамид, (031) N-метил-N-((S)-1-{5-[6-(4-метилпиридин-2-иламино)пиридин-2-ил]тиазол-2-ил}этил)ацетамид, (032) (S)-5-{5-[6-(4-метилпиридин-2-иламино)пиридин-2-ил]тиазол-2-ил}пирролидин-2-он, (033) 5-{5-[6-(4-метилпиридин-2-иламино)пиридин-2-ил]тиазол-2-ил}пентановая кислота, (034) 5-{5-[6-(4-метилпиридин-2-иламино)пиридин-2-ил]тиазол-2-ил}пентан-1-ол, (035) 5-{5-[6-(4-метилпиридин-2-иламино)пиридин-2-ил]тиазол-2-ил}пентанамид, (036) 4-{5-[6-(4-метилпиридин-2-иламино)пиридин-2-ил]тиазол-2-ил}циклогексанол, (037) оксим 4-{5-[6-(4-метилпиридин-2-иламино)пиридин-2-ил]тиазол-2-ил}циклогексанона, (038) N-{6-[2-((S)-1-аминоэтил)тиазол-5-ил]пиридин-2-ил}-N-([4,4′]бипиридинил-2-ил)амин, (039) N-((S)-1-{5-[6-([4,4′]бипиридинил-2-иламино)пиридин-2-ил]тиазол-2-ил}этил)ацетамид, (040) N-((S)-1-{5-[6-(4-хлорпиридин-2-иламино)пиридин-2-ил]тиазол-2-ил}этил)ацетамид, (041) (S)-2-метил-1-{5-[6-(4-метилпиридин-2-иламино)пиридин-2-ил]тиазол-2-ил}пропан-1-ол, (042) N-((S)-1-{5-[6-(изохинолин-3-иламино)пиридин-2-ил]тиазол-2-ил}этил)ацетамид, (043) (4-метилпиридин-2-ил)-[6-(2-пиперидин-4-илтиазол-5-ил)пиридин-2-ил]амин, (044) транс-4-{5-[6-(4-метилпиридин-2-иламино)пиридин-2-ил]тиазол-2-ил}циклогексанкарбоксамид, (045) 5-{5-[6-(4-метилпиридин-2-иламино)пиридин-2-ил]тиазол-2-ил}пентиламин, (046) 4-{5-[6-(4-метилпиридин-2-иламино)пиридин-2-ил]тиазол-2-ил}бутан-1-ол, (047) 4-(2-{5-[6-(4-метилпиридин-2-иламино)пиридин-2-ил]тиазол-2-ил}этил)фенол, (048) 2-гидрокси-N-((S)-1-{5-[6-(4-метилпиридин-2-иламино)пиридин-2-ил]тиазол-2-ил}этил)ацетамид, (049) 3-({5-[6-(4-метилпиридин-2-иламино)пиридин-2-ил]тиазол-2-карбонил}амино)пропионовая кислота, (050) 4-(2-{5-[6-(4-метилпиридин-2-иламино)пиридин-2-ил]тиазол-2-ил}этил)бензойная кислота, (051) 1-{5-[6-(4-метилпиридин-2-иламино)пиридин-2-ил]тиазол-2-илметил}пиперидин-4-ол, (052) 3,3-диметил-4-{5-[6-(4-метилпиридин-2-иламино)пиридин-2-ил]тиазол-2-ил}бутан-1-ол, (053) [4-(2-{5-[6-(4-метилпиридин-2-иламино)пиридин-2-ил]тиазол-2-ил}этил)фенил]метанол, (054) N-((R)-(4-гидроксифенил)-{5-[6-(4-метилпиридин-2-иламино)пиридин-2-ил]тиазол-2-ил}метил)ацетамид, (055) N-(2-гидроксиэтил)-4-(2-{5-[6-(4-метилпиридин-2-иламино)пиридин-2-ил]тиазол-2-ил}этил)бензамид, (056) 4-(2-{5-[6-(4-метилпиридин-2-иламино)пиридин-2-ил]тиазол-2-ил}этил)циклогексанон, (057) 4-(2-{5-[6-(4-метилпиридин-2-иламино)пиридин-2-ил]тиазол-2-ил}этил)циклогексанол, (058) ((3R,4S)-3,4-дигидроксипирролидин-1-ил)-(транс-4-{5-[6-(4-метилпиридин-2-иламино)пиридин-2-ил]тиазол-2-ил}циклогексил)метанон, (059) (транс-4-{5-[6-(4-метилпиридин-2-иламино)пиридин-2-ил]тиазол-2-ил}циклогексил)-(пиперазин-1-ил)метанон, (060) 4-{5-[6-(4-метилпиридин-2-иламино)пиридин-2-ил]тиазол-2-ил}пиперидин-1-карбоксамид, (061) 2-гидрокси-1-(4-{5-[6-(4-метилпиридин-2-иламино)пиридин-2-ил]тиазол-2-ил}пиперидин-1-ил)этанон, (062) транс-4-{5-[6-(4-метоксипиридин-2-иламино)пиридин-2-ил]тиазол-2-ил}циклогексанкарбоновая кислота, (063) 3-(4-{5-[6-(4-метилпиридин-2-иламино)пиридин-2-ил]тиазол-2-ил}пиперидин-1-ил)-3-оксопропионовая кислота, (064) N-(4-метилпиридин-2-ил)-N-{6-[2-(пиперазин-1-илметил)тиазол-5-ил] пиридин-2-ил}амин, (065) 1-{5-[6-(4-метилпиридин-2-иламино)пиридин-2-ил]тиазол-2-илметил}пиперидин-4-иламин, (066) N-{5-[6-(4-метилпиридин-2-иламино)пиридин-2-ил]тиазол-2-илметил}метансульфонамид, (067) N-(транс-4-{5-[6-(4-метилпиридин-2-иламино)пиридин-2-ил]тиазол-2-ил}циклогексил)ацетамид, (068) транс-4-{5-[6-(4-хлорпиридин-2-иламино)пиридин-2-ил]тиазол-2-ил}циклогексанкарбоновая кислота, (069) 2-{5-[6-(4-метилпиридин-2-иламино)пиридин-2-ил]тиазол-2-ил}этанол, (070) (транс-4-{5-[6-(4-метилпиридин-2-иламино)пиридин-2-ил]тиазол-2-ил}циклогексил)метанол, (071) транс-4-{5-[6-(изохинолин-3-иламино)пиридин-2-ил]тиазол-2-ил}циклогексанкарбоновая кислота, (072) транс-4-{5-[6-(4-метилпиридин-2-иламино)пиридин-2-ил]тиазол-2-ил}циклогексилметиламин, (073) ((3R,4S)-3,4-дигидроксипирролидин-1-ил)-[4-(2-{5-[6-(4-метилпиридин-2-иламино)пиридин-2-ил]тиазол-2-ил}этил)фенил]метанон, (074) N-(транс-4-{5-[6-(4-метилпиридин-2-иламино)пиридин-2-ил]тиазол-2-ил}циклогексилметил)ацетамид, (075) N-(транс-4-{5-[6-(4-метилпиридин-2-иламино)пиридин-2-ил]тиазол-2-ил}циклогексилметил)метансульфонамид, (076) 2-гидрокси-N-(транс-4-{5-[6-(4-метилпиридин-2-иламино)пиридин-2-ил]тиазол-2-ил}циклогексилметил)ацетамид, (077) 2-гидрокси-N-[4-(2-{5-[6-(4-метилпиридин-2-иламино)пиридин-2-ил]тиазол-2-ил}этил)фенил]ацетамид, (078) ((3R,4S)-3,4-дигидроксипиперидин-1-ил)-(транс-4-{5-[6-(4-метилпиридин-2-иламино)пиридин-2-ил]тиазол-2-ил}циклогексил)метанон, (079) ((R)-3-гидроксипирролидин-1-ил)-(транс-4-{5-[6-(4-метилпиридин-2-иламино)пиридин-2-ил]тиазол-2-ил}циклогексил)метанон, (080) (4-{5-[6-(4-метилпиридин-2-иламино)пиридин-2-ил]тиазол-2-илметил}фенил)метанол, (081) N-(4-метилпиридин-2-ил)-N-[6-(2-пиридин-3-илметилтиазол-5-ил)пиридин-2-ил]амин, (082) N-(4-метилпиридин-2-ил)-N-{6-[2-(2-пиперидин-4-илэтил)тиазол-5-ил]пиридин-2-ил}амин, (083) N-(6-{2-[2-(1-метансульфонилпиперидин-4-ил)этил]тиазол-5-ил}пиридин-2-ил)-N-(4-мeтилпиpидин-2-ил)aмин, (084) 2-гидрокси-1-[4-(2-{5-[6-(4-метилпиридин-2-иламино)пиридин-2-ил]тиазол-2-ил}этил)пиперидин-1-ил]этанон, (085) N-(2-гидpoкcиэтил)-тpaнc-4-{5-[6-(4-метилпиридин-2-иламино)пиридин-2-ил]тиазол-2-ил}циклогексанкарбоксамид, (086) N-(2-морфолин-4-илэтил)-транс-4-{5-[6-(4-метилпиридин-2-иламино)пиридин-2-ил]тиазол-2-ил}циклогексанкарбоксамид, (087) [3-(2-{5-[6-(4-метилпиридин-2-иламино)пиридин-2-ил]тиазол-2-ил}этил)фенил]метанол, (088) (3-гидроксипирролидин-1-ил)-(транс-4-{5-[6-(4-метилпиридин-2-иламино)пиридин-2-ил]тиазол-2-ил}циклогексил)метанон, (089) 4-(транс-4-{5-[6-(4-метилпиридин-2-иламино)пиридин-2-ил]тиазол-2-ил}циклогексанкарбонил)пиперазин-2-он, (090) ((R)-2-гидроксиметилпирролидин-1-ил)-(транс-4-{5-[6-(4-метилпиридин-2-иламино)пиридин-2-ил]тиазол-2-ил}циклогексил)метанон, (091) (4-аминопиперидин-1-ил)-(транс-4-{5-[6-(4-метилпиридин-2-иламино)пиридин-2-ил]тиазол-2-ил}циклогексил)метанон, (092) [4-(2-{5-[6-(4-метилпиридин-2-иламино)пиридин-2-ил]тиазол-2-ил}этил)пиперидин-1-ил]-(пиперидин-4-ил)метанон, (093) (транс-4-{5-[6-(4-хлорпиридин-2-иламино)пиридин-2-ил]тиазол-2-ил}циклогексил)-(4-гидроксипиперидин-1-ил)метанон, (094) N-(4-гидроксипиперидин-1-ил)-(транс-4-{5-[6-(4-метилпиридин-2-иламино)пиридин-2-ил]тиазол-2-ил}циклогексанкарбоксамид, (095) N-[(R)-2-гидрокси-1-(3Н-имидазол-4-илметил)этил]-транс-4-{5-[6-(4-метилпиридин-2-иламино)пиридин-2-ил]тиазол-2-ил}циклогексанкарбоксамид, (096) N-[(S)-2-гидрокси-1-(3Н-имидазол-4-илметил)этил]-транс-4-{5-[6-(4-метилпиридин-2-иламино)пиридин-2-ил]тиазол-2-ил}циклогексанкарбоксамид, (097) N-(2-диметиламиноэтил)-транс-4-{5-[6-(4-метилпиридин-2-иламино)пиридин-2-ил]тиазол-2-ил}циклогексанкарбоксамид, (098) (3-аминопирролидин-1-ил)-(транс-4-{5-[6-(4-метилпиридин-2-иламино)пиридин-2-ил]тиазол-2-ил}циклогексил)метанон, (099) N-[1-(транс-4-{5-[6-(4-метилпиридин-2-иламино)пиридин-2-ил]тиазол-2-ил}циклогексанкарбонил)пирролидин-3-ил]метансульфонамид, (100) (3R,4S)-1-(транс-4-{5-[6-(4-метилпиридин-2-иламино)пиридин-2-ил]тиазол-2-ил}циклогексилметил)пирролидин-3,4-диол, (101) транс-4-{5-[6-(4-метилпиридин-2-иламино)пиридин-2-ил]тиазол-2-ил}циклогексанкарбонитрил, (102) цис-4-{5-[6-(4-метилпиридин-2-иламино)пиридин-2-ил]тиазол-2-ил}циклогексанкарбонитрил, (103) (S)-5-{5-[6-(4-метоксипиридин-2-иламино)пиридин-2-ил]тиазол-2-ил}пирролидин-2-он, (104) (S)-1-{5-[6-(4-метоксипиридин-2-иламино)пиридин-2-ил]тиазол-2-ил}этанол, (105) (S)-1-(5-{6-[4-(2-гидроксиэтил)пиридин-2-иламино]пиридин-2-ил}тиазол-2-ил)этанол, (106) (S)-1-{5-[6-(4-хлорпиридин-2-иламино)пиридин-2-ил]тиазол-2-ил}этанол, (107) (S)-5-{5-[6-(4-хлорпиридин-2-иламино)пиридин-2-ил]тиазол-2-ил}пирролидин-2-он, (108) 3-(транс-4-{5-[6-(4-метилпиридин-2-иламино)пиридин-2-ил]тиазол-2-ил}циклогексил)-4Н-[1,2,4]оксазол-5-он, (109) N-(4-метилпиридин-2-ил)-N-(6-{2-[4-(1Н-тетразол-5-ил)циклогексил]тиазол-5-ил}пиридин-2-ил)амин, (110) (S)-5-(5-{6-[4-(2-гидроксиэтил)пиридин-2-иламино]пиридин-2-ил}тиазол-2-ил)пирролидин-2-он, (111) N-(1,1-диметил-2-{5-[6-(4-метилпиридин-2-иламино)пиридин-2-ил]тиазол-2-ил}этил)ацетамид, (112) (S)-1-(5-{6-[4-(2-метил-[1,3]диоксалан-2-ил)пиридин-2-иламино]пиридин-2-ил}тиазол-2-ил)этанол, (113) N-метил-транс-4-{5-[6-(4-метилпиридин-2-иламино)пиридин-2-ил]тиазол-2-ил}циклогексанкарбоксамид, (114) N-(1,1-диметил-2-{5-[6-(4-метилпиридин-2-иламино)пиридин-2-ил]тиазол-2-ил}этил)метансульфонамид, (115) транс-4-{5-[6-(4-хлорпиридин-2-иламино)пиридин-2-ил]тиазол-2-ил}циклогексанкарбоксамид, (116) транс-4-{5-[6-(4-метоксипиридин-2-иламино)пиридин-2-ил]тиазол-2-ил}циклогексанкарбоксамид, (117) 4-{5-[6-(4-метилпиридин-2-иламино)пиридин-2-ил]тиазол-2-илметил}циклогексанол, (118) (S)-1-(5-{6-[4-(2-гидроксиэтокси)пиридин-2-иламино]пиридин-2-ил}тиазол-2-ил)этанол, (119) диметилкарбаминовой кислоты (S)-1-{5-[6-(4-метилпиридин-2-иламино)пиридин-2-ил]тиазол-2-ил}этиловый эфир, (120) 4-{5-[6-(4-метилпиридин-2-иламино)пиридин-2-ил]тиазол-2-илметил}пиперазин-2-он, (121) 4-(2-гидрокси-2-{5-[6-(4-метилпиридин-2-иламино)пиридин-2-ил]тиазол-2-ил}этил)фенол, (122) 4-(2-{5-[6-(4-метилпиридин-2-иламино)пиридин-2-ил]тиазол-2-илметокси}ацетил)пиперазин-2-он, (123) N-((R)-(4-гидроксифенил)-{5-[6-(4-метилпиридин-2-иламино)пиридин-2-ил]тиазол-2-ил}метил)-N-метилацетамид, (124) 4-{5-[6-(4-метилпиридин-2-иламино)пиридин-2-ил]тиазол-2-илметил}пиперазин-2,6-дион, (125) (S)-5-{5-[6-(4-метилпиридин-2-иламино)пиридин-2-ил]тиазол-2-ил}оксазолидин-2-он, (126) 4-{5-[6-(4-метилпиридин-2-иламино)пиридин-2-ил]тиазол-2-илметил}пиперазин-2-он, (127) N-(4-метилпиридин-2-ил)-N-[6-(2-морфолин-4-илтиазол-5-ил)пиридин-2-ил]амин, (128) 1-(4-{5-[6-(4-метилпиридин-2-иламино)пиридин-2-ил]тиазол-2-ил}пиперазин-1-ил)этанон, (129) 4-{5-[6-(4-метилпиридин-2-иламино)пиридин-2-ил]тиазол-2-ил}пиперазин-1-сульфонамид, (130) N-(4-метоксипиридин-2-ил)-N-{6-[2-(морфолин-4-ил)тиазол-5-ил]пиридин-2-ил}амин, (131) (3R,4S)-1-{5-[6-(4-метилпиридин-2-иламино)пиридин-2-ил]тиазол-2-ил}пирролидин-3,4-диол, (132) N-метил-N-{5-[6-(4-метилпиридин-2-иламино)пиридин-2-ил]тиазол-2-ил}ацетамид, (133) N-[6-(4-метил-2-морфолин-4-илтиазол-5-ил)пиридин-2-ил]-N-(4-метилпиридин-2-ил)амин, (134) N-метил-N-{5-[6-(4-метилпиридин-2-иламино)пиридин-2-ил]тиазол-2-ил}амин, (135) N-метил-4-{5-[6-(4-метилпиридин-2-иламино)пиридин-2-ил]тиазол-2-ил}пиперазин-1-карбоксамид, (136) 1-{4-метил-5-[6-(4-метилпиридин-2-иламино)пиридин-2-ил]тиазол-2-ил}пиперидин-4-карбоксамид, (137) N-{6-[2-(4-метоксипиперидин-1-ил)тиазол-5-ил]пиридин-2-ил}-N-(4-метилпиридин-2-ил)амин, (138) N-{6-[2-(4-метилпиперазин-1-ил)тиазол-5-ил]пиридин-2-ил}-N-(4-метилпиридин-2-ил)амин, (139) 1-{5-[6-(4-метилпиридин-2-иламино)пиридин-2-ил]тиазол-2-ил}пиперидин-4-ол, (140) N-метил-1-{5-[6-(4-метоксипиридин-2-иламино)пиридин-2-ил]тиазол-2-ил}пиперидин-4-карбоксамид, (141) 4-{4-метил-5-[6-(4-метилпиридин-2-иламино)пиридин-2-ил]тиазол-2-ил}пиперазин-1-карбальдегид, (142) метиловый эфир 4-{5-[6-(4-метилпиридин-2-иламино)пиридин-2-ил]тиазол-2-ил}пиперазин-4-карбоновой кислоты, (143) 2-гидрокси-1-(4-{5-[6-(4-метилпиридин-2-иламино)пиридин-2-ил]тиазол-2-ил}пиперазин-1-ил)этанон, (144) 1-(4-{5-[6-(4-метилпиридин-2-иламино)пиридин-2-ил]тиазол-2-ил}пиперазин-1-ил)пропан-1-он, (145) N,N-диметил-4-{5-[6-(4-метилпиридин-2-иламино)пиридин-2-ил]тиазол-2-ил}пиперазин-1-карбоксамид, (146) 1-(4-{5-[6-(4-метоксипиридин-2-иламино)пиридин-2-ил]тиазол-2-ил}пиперазин-1-ил)этанон, (147) 1-(4-{5-[6-(4-хлорпиридин-2-иламино)пиридин-2-ил]тиазол-2-ил}пиперазин-1-ил)этанон, (148) 4-(метил-{5-[6-(4-метилпиридин-2-иламино)пиридин-2-ил]тиазол-2-ил}амино)циклогексанкарбоновая кислота, (149) 4-(N-метил-N-{5-[6-(4-метилпиридин-2-иламино)пиридин-2-ил]тиазол-2-ил}амино)циклогексанкарбоксамид, (150) 3-(1-{5-[6-(4-метилпиридин-2-иламино)пиридин-2-ил]тиазол-2-ил}пиперидин-4-ил)-4Н-[1,2,4]оксадиазол-5-он, (151) N-метил-N-{5-[6-(4-метилпиридин-2-иламино)пиридин-2-ил]тиазол-2-ил}-N-пиперидин-4-иламин, (152) 4-(1-{5-[6-(4-метилпиридин-2-иламино)пиридин-2-ил]тиазол-2-ил}пиперидин-4-карбонил)пиперазин-2-он, (153) N-(2,2-диметоксиэтил)-N-метил-N-{5-[6-(4-метилпиридин-2-иламино)пиридин-2-ил]тиазол-2-ил}амин, (154) 1-[4-(N-метил-N-{5-[6-(4-метилпиридин-2-иламино)пиридин-2-ил]тиазол-2-ил}амино)пиперидин-1-ил]этанон, (155) 2-гидрокси-1-[4-(N-метил-N-{5-[6-(4-метилпиридин-2-иламино)пиридин-2-ил]тиазол-2-ил}амино)пиперидин-1-ил]этанон, (156) N-метил-4-(N’-метил-N’-{5-[6-(4-метилпиридин-2-иламино)пиридин-2-ил]тиазол-2-ил}амино)пиперидин-1-карбоксамид, (157) N-{2-[4-(N’-метил-N’-{5-[6-(4-метилпиридин-2-иламино)пиридин-2-ил]тиазол-2-ил}амино)пиперидин-1-ил]-2-оксоэтил}ацетамид, (158) (4-{5-[6-(4-метилпиридин-2-иламино)пиридин-2-ил]тиазол-2-ил}-2-оксопиперазин-1-ил)уксусная кислота, (159) 2-(4-{5-[6-(4-метилпиридин-2-иламино)пиридин-2-ил]тиазол-2-ил}-2-оксопиперазин-1-ил)ацетамид, (160) N-метил-2-(4-{5-[6-(4-метилпиридин-2-иламино)пиридин-2-ил]тиазол-2-ил}-2-оксопиперазин-1-ил)ацетамид, (161) N-(2-гидроксиэтил)-2-(4-{5-[6-(4-метилпиридин-2-иламино)пиридин-2-ил]тиазол-2-ил}-2-оксопиперазин-1-ил)ацетамид, (162) N-метил-N-метилкарбамоилметил-1-{5-[6-(4-метилпиридин-2-иламино)пиридин-2-ил]тиазол-2-ил}пиперидин-4-карбоксамид, (163) N-метил-N-{5-[6-(4-метилпиридин-2-иламино)пиридин-2-ил]тиазол-2-ил}-N-тетрагидропиран-4-иламин, (164) 4-[(N-метил-N-{5-[6-(4-метилпиридин-2-иламино)пиридин-2-ил]тиазол-2-ил}амино)метил]фенол, (165) N-((R)-1-{5-[6-(4-метилпиридин-2-иламино)пиридин-2-ил]тиазол-2-ил}пирролидин-3-ил)ацетамид, (166) (R)-1-{5-[6-(4-метилпиридин-2-иламино)пиридин-2-ил]тиазол-2-ил}пирролидин-3-иламин, (167) 1-{5-[6-(4-метилпиридин-2-иламино)пиридин-2-ил]тиазол-2-ил}пиперидин-3-карбоновая кислота, (168) 2-гидрокси-N-((R)-1-{5-[6-(4-метилпиридин-2-иламино)пиридин-2-ил]тиазол-2-ил}пирролидин-3-ил)ацетамид, (169) 1-{5-[6-(4-метилпиридин-2-иламино)пиридин-2-ил]тиазол-2-ил}пиперидин-3-карбоксамид, (170) N-метил-1-{5-[6-(4-метилпиридин-2-иламино)пиридин-2-ил]тиазол-2-ил}пиперидин-3-карбоксамид, (171) N-(2-гидроксиэтил)-1-{5-[6-(4-метилпиридин-2-иламино)пиридин-2-ил]тиазол-2-ил}пиперидин-3-карбоксамид, (172) (R)-1-{5-[6-(4-метилпиридин-2-иламино)пиридин-2-ил]тиазол-2-ил}пирролидин-3-ол, (173) транс-4-(N-метил-N-{5-[6-(4-метилпиридин-2-иламино)пиридин-2-ил]тиазол-2-ил}амино)циклогексанол, (174) N-{6-[2-(3-метоксиметилпиперидин-1-ил)тиазол-5-ил]пиридин-2-ил}-N-(4-метилпиридин-2-ил)амин, (175) 2-гидрокси-N-(1-{5-[6-(4-метилпиридин-2-иламино)пиридин-2-ил]тиазол-2-ил}пиперидин-4-ил)ацетамид, (176) 2-гидрокси-N-метил-N-(1-{5-[6-(4-метилпиридин-2-иламино)пиридин-2-ил]тиазол-2-ил}пиперидин-4-ил)ацетамид, (177) N-(1-{5-[6-(4-метилпиридин-2-иламино)пиридин-2-ил]тиазол-2-ил}пиперидин-4-ил)метансульфонамид, (178) N-метил-N-(1-{5-[6-(4-метилпиридин-2-иламино)пиридин-2-ил]тиазол-2-ил}пиперидин-4-ил)метансульфонамид, (179) 2-гидрокси-N-(1-{5-[6-(4-метилпиридин-2-иламино)пиридин-2-ил]тиазол-2-ил}пиперидин-4-илметил)ацетамид, (180) N-(1-{5-[6-(4-метилпиридин-2-иламино)пиридин-2-ил]тиазол-2-ил}пиперидин-4-илметил)ацетамид, (181) N-метил-(S)-1-{5-[6-(4-метилпиридин-2-иламино)пиридин-2-ил]тиазол-2-ил}пирролидин-2-карбоксамид, (182) N-((R)-1-{5-[6-(4-метилпиридин-2-иламино)пиридин-2-ил]тиазол-2-ил}пирролидин-3-ил)метансульфонамид, (183) N-{6-[2-((R)-3-метоксипирролидин-1-ил)тиазол-5-ил]пиридин-2-ил}-N-(4-метилпиридин-2-ил)амин, (184) N-метил-4-(N’-метил-N’-{5-[6-(4-метилпиридин-2-иламино)пиридин-2-ил]тиазол-2-ил}амино)циклогексанкарбоксамид, (185) N-(2-гидроксиэтил)-4-(N’-метил-N’-{5-[6-(4-метилпиридин-2-иламино)пиридин-2-ил]тиазол-2-ил}амино)циклогексанкарбоксамид, (186) N-(2-ацетиламиноэтил)-4-(N’-метил-N’-{5-[6-(4-метилпиридин-2-иламино)пиридин-2-ил]тиазол-2-ил}амино)циклогексанкарбоксамид, (187) (1-{5-[6-(4-метилпиридин-2-иламино)пиридин-2-ил]тиазол-2-ил}пиперидин-3-илметокси)уксусная кислота, (188) (1-{5-[6-(4-метилпиридин-2-иламино)пиридин-2-ил]тиазол-2-ил}пиперидин-3-ил)метанол, (189) 2-(1-{5-[6-(4-метилпиридин-2-иламино)пиридин-2-ил]тиазол-2-ил}пиперидин-3-илметокси)ацетамид, (190) 4-метил-1-{5-[6-(4-метилпиридин-2-иламино)пиридин-2-ил]тиазол-2-ил}пиперидин-4-карбоксамид, (191) N-метил-4-метил-1-{5-[6-(4-метилпиридин-2-иламино)пиридин-2-ил]тиазол-2-ил}пиперидин-4-карбоксамид, (192) N-метил-2-(1-{5-[6-(4-метилпиридин-2-иламино)пиридин-2-ил]тиазол-2-ил}пиперидин-3-илметокси)ацетамид, (193) N-(2-гидроксиэтил)-4-метил-1-{5-[6-(4-метилпиридин-2-иламино)пиридин-2-ил]тиазол-2-ил}пиперидин-4-карбоксамид, (194) 2-(1-{5-[6-(4-метилпиридин-2-иламино)пиридин-2-ил]тиазол-2-ил}пиперидин-4-ил)ацетамид, (195) N-метил-2-(1-{5-[6-(4-метилпиридин-2-иламино)пиридин-2-ил]тиазол-2-ил}пиперидин-4-ил)ацетамид, (196) N-(2-гидроксиэтил)-2-(1-{5-[6-(4-метилпиридин-2-иламино)пиридин-2-ил]тиазол-2-ил}пиперидин-4-ил)ацетамид, (197) N,N-диаллил-N-{5-[6-(4-метилпиридин-2-иламино)пиридин-2-ил]тиазол-2-ил}амин, (198) N,N-[2-(N’-метил-N’-{5-[6-(4-метилпиридин-2-иламино)пиридин-2-ил]тиазол-2-ил}амино)этил]ацетамид, (199) 2-гидрокси-N-[2-(N’-метил-{5-[6-(4-метилпиридин-2-иламино)пиридин-2-ил]тиазол-2-ил}амино)этил]ацетамид, (200) N-(4-метансульфонилпиперидин-1-ил)-N-метил-N-{5-[6-(4-метилпиридин-2-иламино)пиридин-2-ил]тиазол-2-ил}амин, (201) N,N-димeтил-4-(N’-мeтил-N’-{5-[6-(4-мeтилпиpидин-2-илaминo)пиpидин-2-ил]тиазол-2-ил}амино)пиперидин-1-карбоксамид, (202) (4-гидроксифенил)-[4-(N-метил-N-{5-[6-(4-метилпиридин-2-иламино)пиридин-2-ил]тиазол-2-ил}амино)пиперидин-1-ил]метанон, (203) 1-(4-{5-[6-(4-метилпиридин-2-иламино)пиридин-2-ил]тиазол-2-иламино}пиперидин-1-ил)этанон, (204) 1-[4-(N-изопропил-N-{5-[6-(4-метилпиридин-2-иламино)пиридин-2-ил]тиазол-2-ил}амино)пиперидин-1-ил]этанон, (205) N-метил-2-((R)-1-{5-[6-(4-метилпиридин-2-иламино)пиридин-2-ил]тиазол-2-ил}пирролидин-3-илокси)ацетамид, (206) 1-{5-[6-(4-метоксипиридин-2-иламино)пиридин-2-ил]тиазол-2-ил}пиперидин-4-карбоксамид, (207) 1-{5-[6-(4-хлорпиридин-2-иламино)пиридин-2-ил]тиазол-2-ил}пиперидин-4-карбоксамид, (208) 2-(N-метил-N-{5-[6-(4-метилпиридин-2-иламино)пиридин-2-ил]тиазол-2-ил}амино)этанол, (209) N-(2-метоксиэтил)-N-метил-N-{5-[6-(4-метилпиридин-2-иламино)пиридин-2-ил]тиазол-2-ил}амин, (210) N-[2-(N’-(1-ацетилпиперидин-4-ил)-N’-{5-[6-(4-метилпиридин-2-иламино)пиридин-2-ил]тиазол-2-ил}амино)этил]метансульфонамид, (211) 1-[4-(N-(2-гидроксиэтил)-N-{5-[6-(4-метилпиридин-2-иламино)пиридин-2-ил]тиазол-2-ил}амино)пиперидин-1-ил]этанон, (212) 1-[4-(N-(2-метоксиэтил)-N-{5-[6-(4-метилпиридин-2-иламино)пиридин-2-ил]тиазол-2-ил}амино)пиперидин-1-ил]этанон, (213) (S)-1-{5-[6-(4-метилпиридин-2-иламино)пиридин-2-ил]тиазол-2-ил}пирролидин-2-карбоксамид, (214) N-метил-(S)-1-{5-[6-(4-метилпиридин-2-иламино)пиридин-2-ил]тиазол-2-ил}пирролидин-2-карбоксамид, (215) N-(2,2,2-трифторэтил)-(S)-1-{5-[6-(4-метилпиридин-2-иламино)пиридин-2-ил]тиазол-2-ил}пирролидин-2-карбоксамид, (216) (R)-1-{5-[6-(4-метилпиридин-2-иламино)пиридин-2-ил]тиазол-2-ил}пиперидин-3-карбоновая кислота, (217) ((R)-1-{5-[6-(4-метилпиридин-2-иламино)пиридин-2-ил]тиазол-2-ил}пиперидин-3-ил)метанол, (218) (R)-1-{5-[6-(4-метилпиридин-2-иламино)пиридин-2-ил]тиазол-2-ил}пиперидин-3-карбоксамид, (219) 1-[4-(N-этил-N-{5-[6-(4-метилпиридин-2-иламино), (220) пиридин-2-ил]тиазол-2-ил}амино)пиперидин-1-ил]этанон, (221) 1-{4-[N-{5-[6-(4-метилпиридин-2-иламино)пиридин-2-ил]тиазол-2-ил}-N-(2,2,2-трифторэтил)амино]пиперидин-1-ил}этанон, (222) 1-[4-(N-{5-[6-(4-хлорпиридин-2-иламино)пиридин-2-ил]тиазол-2-ил}-N-метиламино)пиперидин-1-ил]этанон, (223) 1-[4-(N-{5-[6-(4-хлорпиридин-2-иламино)пиридин-2-ил]тиазол-2-ил}-N-метиламино)пиперидин-1-ил]-2-гидроксиэтанон, (224) (R)-1-{5-[6-(4-метоксипиридин-2-иламино)пиридин-2-ил]тиазол-2-ил}пирролидин-3-ол, (225) (R)-1-{5-[6-(4-хлорпиридин-2-иламино)пиридин-2-ил]тиазол-2-ил}пирролидин-3-ол, (226) 4-метил-1-{5-[6-(4-метилпиридин-2-иламино)пиридин-2-ил]тиазол-2-ил}пиперидин-4-карбоновая кислота, (227) (S)-1-{5-[6-(4-метоксипиридин-2-иламино)пиридин-2-ил]тиазол-2-ил}пирролидин-2-карбоксамид, (228) (S)-1-{5-[6-(4-хлорпиридин-2-иламино)пиридин-2-ил]тиазол-2-ил}пирролидин-2-карбоксамид, (229) 1-{5-[6-(4-ацетилпиридин-2-иламино)пиридин-2-ил]тиазол-2-ил}пиперидин-4-карбоксамид, (230) 2-(N-(2-гидроксиэтил)-N-{5-[6-(4-метилпиридин-2-иламино)пиридин-2-ил]тиазол-2-ил}амино)этанол, (231) 2-[N-{5-[6-(4-хлорпиридин-2-иламино)пиридин-2-ил]тиазол-2-ил}-N-(2-гидроксиэтил)амино]этанол, (232) (R)-1-{5-[6-(4-хлорпиридин-2-иламино)пиридин-2-ил]тиазол-2-ил}пиперидин-3-карбоновая кислота, (233) 1-(5-{6-[4-(1-гидроксиэтил)пиридин-2-иламино]пиридин-2-ил}тиазол-2-ил)пиперидин-4-карбоксамид, (234) (R)-1-(5-{6-[4-(2-метил-[1,3]диоксолан-2-ил)пиридин-2-иламино]пиридин-2-ил}тиазол-2-ил)пирролидин-3-ол, (235) 1-(2-{6-[2-((R)-3-гидроксипирролидин-1-ил)тиазол-5-ил]пиридин-2-иламино}пиридин-4-ил)этанон, (236) 4-(4-{5-[6-(4-метилпиридин-2-иламино)пиридин-2-ил]тиазол-2-ил}пиперазин-1-ил)-4-оксомасляная кислота, (237) N-гидрокси-(R)-1-{5-[6-(4-хлорпиридин-2-иламино)пиридин-2-ил]тиазол-2-ил}пиперидин-3-карбоксамид, (238) 4-[4-(N-метил-N-{5-[6-(4-метилпиридин-2-иламино)пиридин-2-ил]тиазол-2-ил}амино)пиперидин-1-ил]-4-оксомасляная кислота, (239) (R)-1-(5-{6-[4-(1-гидроксиэтил)пиридин-2-иламино]пиридин-2-ил}тиазол-2-ил)пирролидин-3-ол, (240) 2-(N-метил-N-{5-[6-(4-метилпиридин-2-иламино)пиридин-2-ил]тиазол-2-ил}амино)ацетамид, (241) (R)-1-(5-{6-[4-(2-метил-[1,3]диоксолан-2-ил)пиридин-2-иламино]пиридин-2-ил}тиазол-2-ил)пиперидин-3-карбоновая кислота, (242) (R)-1-{5-[6-(4-ацетилпиридин-2-иламино)пиридин-2-ил]тиазол-2-ил}пиперидин-3-карбоновая кислота, (243) (S)-1-{5-[6-(4-ацетилпиридин-2-иламино)пиридин-2-ил]тиазол-2-ил}пирролидин-2-карбоксамид, (244) (1-{5-[6-(4-хлорпиридин-2-иламино)пиридин-2-ил]тиазол-2-ил}пирролидин-3-ил)метанол, (245) 1-[(R)-3-(N-метил-N-{5-[6-(4-метилпиридин-2-иламино)пиридин-2-ил]тиазол-2-ил}амино)пирролидин-1-ил]этанон, (246) (S)-1-{5-[6-(4-ацетилпиридин-2-иламино)пиридин-2-ил]тиазол-2-ил}пирролидин-2-карбоновая кислота, (247) (R)-1-(5-{6-[4-(2-метил-[1,3]диоксолан-2-ил)пиридин-2-иламино]пиридин-2-ил}тиазол-2-ил)пиперидин-3-карбоксамид, (248) ((S)-1-{5-[6-(4-метилпиридин-2-иламино)пиридин-2-ил]тиазол-2-ил}пиперидин-3-ил)уксусная кислота, (249) (S)-3-метил-2-[2-(N-метил-N-{5-[6-(4-метилпиридин-2-иламино)пиридин-2-ил]тиазол-2-ил}амино)ацетиламино]масляная кислота, (250) 3-[2-(N-метил-N-{5-[6-(4-метилпиридин-2-иламино)пиридин-2-ил]тиазол-2-ил}амино)ацетиламино]пропионовая кислота, (251) [2-(N-метил-N-{5-[6-(4-метилпиридин-2-иламино)пиридин-2-ил]тиазол-2-ил}амино)ацетиламино]уксусная кислота, (252) [1-(5-{6-[4-(2-метил-[1,3]диоксолан-2-ил)пиридин-2-иламино]пиридин-2-ил}тиазол-2-ил)пиперидин-4-ил]уксусная кислота, (253) (1-{5-[6-(пиридин-2-иламино)пиридин-2-ил]тиазол-2-ил}пиперидин-4-ил)уксусная кислота, (254) 4-[(N-метил-N-{5-[6-(4-метилпиридин-2-иламино)пиридин-2-ил]тиазол-2-ил}амино)метил]бензойная кислота, (255) ((R)-1-{5-[6-(4-метилпиридин-2-иламино)пиридин-2-ил]тиазол-2-ил}пирролидин-3-илокси)уксусная кислота, (256) 1-{5-[6-(4-метилпиридин-2-иламино)пиридин-2-ил]тиазол-2-ил}пирролидин-3-карбоновая кислота, (257) (R)-1-(5-{6-[4-(2-гидроксиэтил)пиридин-2-иламино]пиридин-2-ил}тиазол-2-ил)пирролидин-3-ол, (258) 4-(N-метил-N-{5-[6-(4-метилпиридин-2-иламино)пиридин-2-ил]тиазол-2-ил}амино)бензойная кислота, (259) (2S,4R)-4-(N-метил-N-{5-[6-(4-метилпиридин-2-иламино)пиридин-2-ил]тиазол-2-ил}амино)пирролидин-2-карбоновая кислота, (260) {N-метил-N-[2-(N’-метил-N’-{5-[6-(4-метилпиридин-2-иламино)пиридин-2-ил]тиазол-2-ил}амино)ацетил]амино}уксусная кислота, (261) 2-{5-[6-(4-метилпиридин-2-иламино)пиридин-2-ил]тиазол-2-ил}-1,2,3,4-тетрагидроизохинолин-5-карбоновая кислота, (262) 3-[(N-метил-N-{5-[6-(4-метилпиридин-2-иламино)пиридин-2-ил]тиазол-2-ил}амино)метил]бензойная кислота, (263) {4-[(N-метил-N-{5-[6-(4-метилпиридин-2-иламино)пиридин-2-ил]тиазол-2-ил}амино)метил]фенил}уксусная кислота, (264) (1-{5-[6-(4-метилпиридин-2-иламино)пиридин-2-ил]тиазол-2-ил}пирролидин-3-ил)уксусная кислота, (265) (4-{5-[6-(4-метилпиридин-2-иламино)пиридин-2-ил]тиазол-2-ил}пиперазин-1-ил)уксусная кислота, (266) N-(4-метилпиридин-2-ил)-N-(6-{2-[(R)-3-(1Н-тетразол-5-ил)пиперидин-1-ил]тиазол-5-ил}пиридин-2-ил)амин, (267) цис-4-(N-метил-N-{5-[6-(4-метилпиридин-2-иламино)пиридин-2-ил]тиазол-2-ил}амино)циклогексанкарбоновая кислота, (268) транс-4-(N-метил-N-{5-[6-(4-метилпиридин-2-иламино)пиридин-2-ил]тиазол-2-ил}амино)циклогексанкарбоновая кислота, (269) 4-[2-(N-метил-N-{5-[6-(4-метилпиридин-2-иламино)пиридин-2-ил]тиазол-2-ил}амино)этил]бензойная кислота, (270) (1-{5-[6-(4-метилпиридин-2-иламино)пиридин-2-ил]тиазол-2-ил}пиперидин-4-илокси)уксусная кислота, (271) (4-{5-[6-(4-метилпиридин-2-иламино)пиридин-2-ил]тиазол-2-ил}циклогексил)уксусная кислота, (272) 4-{[N-метил-N-(5-{6-[4-(2-метил-[1,3]диоксалан-2-ил)пиридин-2-иламино]пиридин-2-ил}тиазол-2-ил)амино]метил}бензойная кислота, (273) 4-[(N-диметилкарбамоилметил-N-{5-[6-(4-метилпиридин-2-иламино)пиридин-2-ил]тиазол-2-ил}амино)метил]бензойная кислота, (274) цис-4-(N-карбамоилметил-N-{5-[6-(4-метилпиридин-2-иламино)пиридин-2-ил]тиазол-2-ил}амино)циклогексанкарбоновая кислота, (275) транс-4-[(N-карбамоилметил-N-{5-[6-(4-метилпиридин-2-иламино)пиридин-2-ил]тиазол-2-ил}амино)метил]циклогексанкарбоновая кислота, (276) 5-[(N-метил-N-{5-[6-(4-метилпиридин-2-иламино)пиридин-2-ил]тиазол-2-ил}амино)метил]тиофен-2-карбоновая кислота, (277) 3-хлор-4-[(N-метил-N-{5-[6-(4-метилпиридин-2-иламино)пиридин-2-ил]тиазол-2-ил}амино)метил]бензойная кислота, (278) 4-{5-[6-(4-метилпиридин-2-иламино)пиридин-2-ил]тиазол-2-илметокси}бензойная кислота, (279) 3-метокси-4-[(N-метил-N-{5-[6-(4-метилпиридин-2-иламино)пиридин-2-ил]тиазол-2-ил}амино)метил]бензойная кислота, (280) 2-{5-[6-(4-метилпиридин-2-иламино)пиридин-2-ил]тиазол-2-ил}-1,2,3,4-тетрагидроизохинолин-6-карбоновая кислота, (281) 2-[(N-метил-N-{5-[6-(4-метилпиридин-2-иламино)пиридин-2-ил]тиазол-2-ил}амино)метил]тиазол-4-карбоновая кислота, (282) [транс-4-(N-метил-N-{5-[6-(4-метилпиридин-2-иламино)пиридин-2-ил]тиазол-2-ил}амино)циклогексил]уксусная кислота, (283) [цис-4-(N-метил-N-{5-[6-(4-метилпиридин-2-иламино)пиридин-2-ил]тиазол-2-ил}амино)циклогексил]уксусная кислота, (284) 4-(2-{5-[6-(4-метилпиридин-2-иламино)пиридин-2-ил]тиазол-2-ил}этил)циклогексанкарбоновая кислота, (285) (4-метил-1-{5-[6-(4-метилпиридин-2-иламино)пиридин-2-ил]тиазол-2-ил}пиперидин-4-ил)уксусная кислота, (286) 4-{5-[6-(4-метилпиридин-2-иламино)пиридин-2-ил]тиазол-2-ил}-3,4-дигидро-2Н-бензо[1,4]оксазин-8-карбоновая кислота, (287) {5-[6-(4-метилпиридин-2-иламино)пиридин-2-ил]тиазол-2-илметокси}уксусная кислота, (288) 4-[1-метил-1-(N-метил-N-{5-[6-(4-метилпиридин-2-иламино)пиридин-2-ил]тиазол-2-ил}амино)этил]бензойная кислота, (289) [4-(N-метил-N-{5-[6-(4-метилпиридин-2-иламино)пиридин-2-ил]тиазол-2-ил}амино)фенил]уксусная кислота, (290) (1-{5-[6-(4-хлорпиридин-2-иламино)пиридин-2-ил]тиазол-2-ил}пиперидин-4-ил)уксусная кислота, (291) транс-4-[(N-бензил-N-{5-[6-(4-метилпиридин-2-иламино)пиридин-2-ил]тиазол-2-ил}амино)метил]циклогексанкарбоновая кислота, (292) [транс-4-(N-бензил-N-{5-[6-(4-метилпиридин-2-иламино)пиридин-2-ил]тиазол-2-ил}амино)циклогексил]уксусная кислота, (293) транс-4-[(N-изопропил-N-{5-[6-(4-метилпиридин-2-иламино)пиридин-2-ил]тиазол-2-ил}амино)метил]циклогексанкарбоновая кислота, (294) 1-{5-[6-(4-метилпиридин-2-иламино)пиридин-2-ил]тиазол-2-ил}-1,2,3,4-тетрагидрохинолин-5-карбоновая кислота, (295) фтор-(1-{5-[6-(4-метилпиридин-2-иламино)пиридин-2-ил]тиазол-2-ил}пиперидин-4-илиден)уксусная кислота, (296) 5-(N-метил-N-{5-[6-(4-метилпиридин-2-иламино)пиридин-2-ил]тиазол-2-ил}амино)пентановая кислота, (297) N-[2-(1-{5-[6-(4-метилпиридин-2-иламино)пиридин-2-ил]тиазол-2-ил}пиперидин-4-ил)ацетил]метансульфонамид, (298) 4-(N-метил-N-{5-[6-(4-метилпиридин-2-иламино)пиридин-2-ил]тиазол-2-ил}амино)масляная кислота, (299) (1-{5-[6-(4-трифторметилпиридин-2-иламино)пиридин-2-ил]тиазол-2-ил}пиперидин-4-ил)уксусная кислота, (300) (1-{5-[6-(5-хлорпиридин-2-иламино)пиридин-2-ил]тиазол-2-ил}пиперидин-4-ил)уксусная кислота, (301) (1-{5-[6-(4-метоксипиридин-2-иламино)пиридин-2-ил]тиазол-2-ил}пиперидин-4-ил)уксусная кислота, (302) транс-4-(N-метил-N-{5-[6-(4-трифторметилпиридин-2-иламино)пиридин-2-ил]тиазол-2-ил}амино)циклогексанкарбоновая кислота, (303) 3-[4-(N-метил-N-{5-[6-(4-метилпиридин-2-иламино)пиридин-2-ил]тиазол-2-ил}амино)фенил]пропионовая кислота, (304) (Е)-6-(N-метил-N-{5-[6-(4-метилпиридин-2-иламино)пиридин-2-ил]тиазол-2-ил}амино)гекс-2-еновая кислота, (305) (2-{5-[6-(4-метилпиридин-2-иламино)пиридин-2-ил]тиазол-2-ил}-1,2,3,4-тетрагидроизохинолин-6-ил)уксусная кислота, (306) 3-(2-{5-[6-(4-метилпиридин-2-иламино)пиридин-2-ил]тиазол-2-ил}-1,2,3,4-тетрагидроизохинолин-5-ил)пропионовая кислота, (307) 5-(N-изопропил-N-{5-[6-(4-метилпиридин-2-иламино)пиридин-2-ил]тиазол-2-ил}амино)пентановая кислота, (308) 5-{5-[6-(4-метилпиридин-2-иламино)пиридин-2-ил]тиазол-2- иламино}пентановая кислота, (309) 6-(N-метил-N-{5-[6-(4-метилпиридин-2-иламино)пиридин-2-ил]тиазол-2-ил}амино)гексановая кислота, (310) (Z)-2-фтор-6-(N-метил-N-{5-[6-(4-метилпиридин-2-иламино)пиридин-2-ил]тиазол-2-ил}амино)гекс-2-еновая кислота, (311) (8-{5-[6-(4-трифторметилпиридин-2-иламино)пиридин-2-ил]тиазол-2-ил}-8-азабицикло[3.2.1]окт-3-ил)уксусная кислота, (312) (8-{5-[6-(4-метилпиридин-2-иламино)пиридин-2-ил]тиазол-2-ил}-8-азабицикло[3.2.1]окт-3-ил)уксусная кислота, (313) (1-{5-[6-(4-цианопиридин-2-иламино)пиридин-2-ил]тиазол-2-ил}пиперидин-4-ил)уксусная кислота, (314) {4-[(N-метил-N-{5-[6-(4-трифторметилпиридин-2-иламино)пиридин-2-ил]тиазол-2-ил}амино)метил]фенил}уксусная кислота, (315) 2-(1-{5-[6-(4-метилпиридин-2-иламино)пиридин-2-ил]тиазол-2-ил}пиперидин-4-ил)пропионовая кислота, (316) (1-{5-[6-(4-метилпиридин-2-иламино)пиридин-2-ил]тиазол-2-ил}пиперидин-4-ил)уксусная кислота, (317) 4-[1-метил-1-(N-метил-N-{5-[6-(4-трифторметилпиридин-2-иламино)пиридин-2-ил]тиазол-2-ил}амино)этил]бензойная кислота, (318) 3-метил-6-(N-метил-N-{5-[6-(4-трифторметилпиридин-2-иламино)пиридин-2-ил]тиазол-2-ил}амино)гекс-2-еновая кислота, (319) 3-метил-6-(N-метил-N-{5-[6-(4-метилпиридин-2-иламино)пиридин-2-ил]тиазол-2-ил}амино)гекс-2-еновая кислота, (320) (Е)-6-(N-метил-N-{5-[6-(4-трифторметилпиридин-2-иламино)пиридин-2-ил]тиазол-2-ил}амино)гекс-2-еновая кислота, (321) N-(2-гидроксиэтил)-(S)-1-{5-[6-(4-метилпиридин-2-иламино)пиридин-2-ил]тиазол-2-ил}пирролидин-2-карбоксамид, (322) 2-(N-изопропил-N-{5-[6-(4-метилпиридин-2-иламино)пиридин-2-ил]тиазол-2-ил}амино)ацетамид, (323) 3-метил-2-(N-метил-N-{5-[6-(4-метилпиридин-2-иламино)пиридин-2-ил]тиазол-2-ил}амино)бутиламид, (324) 2-(1-{5-[6-(4-метилпиридин-2-иламино)пиридин-2-ил]тиазол-2-ил}пиперидин-4-ил)этанол, (325) 5-(N-изопропил-N-{5-[6-(4-метилпиридин-2-иламино)пиридин-2-ил]тиазол-2-ил}амино)пентан-1-ол, (326) (1-{5-[6-(пиразин-2-иламино)пиридин-2-ил]тиазол-2-ил}пиперидин-4-ил)уксусная кислота, (327) [1-(5-{6-[4-(2-гидроксиэтил)пиридин-2-иламино]пиридин-2-ил}тиазол-2-ил)пиперидин-4-ил]уксусная кислота, (328) фтор-(1-{5-[6-(4-метилпиридин-2-иламино)пиридин-2-ил]тиазол-2-ил}пиперидин-4-ил)уксусная кислота, (329) 1-{5-[6-(4-метилпиридин-2-иламино)пиридин-2-ил]тиазол-2-илметил}пиперидин-4-карбоксамид, (330) (1-{5-[6-(4-этилпиридин-2-иламино)пиридин-2-ил]тиазол-2-ил}пиперидин-4-ил)уксусная кислота, (331) N-изопропил-N-{5-[6-(4-метилпиридин-2-иламино)пиридин-2-ил]тиазол-2-ил}амин, (332) N-{5-[6-(4-метилпиридин-2-иламино)пиридин-2-ил]тиазол-2-ил}-N-(2-морфолин-4-илэтил)амин, (333) 2-(N-метил-N-{5-[6-(4-метилпиридин-2-иламино)пиридин-2-ил]тиазол-2-илметил}амино)ацетамид, (334) 2-(1-{5-[6-(4-метилпиридин-2-иламино)пиридин-2-ил]тиазол-2-ил}пиперидин-4-ил)масляная кислота, (335) транс-4-[(N-метил-N-{5-[6-(пиридин-2-иламино)пиридин-2-ил]тиазол-2-ил}амино)метил] циклогексанкарбоновая кислота, (336) [1-(5-{6-[4-(2,2,2-трифторэтокси)пиридин-2-иламино]пиридин-2-ил}тиазол-2-ил)пиперидин-4-ил]уксусная кислота, (337) 2-метил-1-(N-метил-N-{5-[6-(4-метилпиридин-2-иламино)пиридин-2-ил]тиазол-2-ил}амино)пропан-2-ол, (338) 3-(1-{5-[6-(4-метилпиридин-2-иламино)пиридин-2-ил]тиазол-2-ил}пиперидин-3-ил)пропионовая кислота, (339) N-(2-гидроксиэтил)-4-(N’-метил-N’-{5-[6-(4-метилпиридин-2-иламино)пиридин-2-ил]тиазол-2-ил}амино)пиперидин-1-карбоксамид, (340) 2-метил-2-(1-{5-[6-(пиразин-2-иламино)пиридин-2-ил]тиазол-2-ил}пиперидин-4-ил)пропионовая кислота, (341) 4-[(N-ацетил-N-{5-[6-(4-метилпиридин-2-иламино)пиридин-2-ил]тиазол-2-илметил}амино)метил]бензойная кислота, (342) (1-{5-[6-(4-трет-бутилпиридин-2-иламино)пиридин-2-ил]тиазол-2-ил}пиперидин-4-ил)уксусная кислота, (343) (1-{5-[6-(4-изопропилпиридин-2-иламино)пиридин-2-ил]тиазол-2-ил}пиперидин-4-ил)уксусная кислота, (344) 2-иламино)пиридин-2-ил]тиазол-2-ил}-6-азаспиро[2.5]октан-1-карбоновая кислота, (345) 2-[1-(5-{6-[4-(2-гидроксиэтил)пиридин-2-иламино]пиридин-2-ил}тиазол-2-ил)пиперидин-4-ил]-2-метилпропионовая кислота, (346) 2-метил-2-(1-{5-[6-(пиридин-2-иламино)пиридин-2-ил]тиазол-2-ил}пиперидин-4-ил)пропионовая кислота, (347) фтор-(1-{5-[6-(пиразин-2-иламино)пиридин-2-ил]тиазол-2-ил}пиперидин-4-ил)уксусная кислота, (348) фтор-(1-{5-[6-(пиридин-2-иламино)пиридин-2-ил]тиазол-2-ил}пиперидин-4-ил)уксусная кислота, (349) [1-(5-{6-[4-(1-гидрокси-1-метилэтил)пиридин-2-иламино]пиридин-2-ил}тиазол-2-ил)пиперидин-4-ил]уксусная кислота, (350) 2-метил-2-(1-{5-[6-(4-метилпиридин-2-иламино)пиридин-2-ил]тиазол-2-ил}пиперидин-4-ил)пропионовая кислота, (351) 5-(1-{5-[6-(4-метилпиридин-2-иламино)пиридин-2-ил]тиазол-2-ил}пиперидин-3-ил)пентановая кислота и (352) 2-метил-2-(N-метил-N-{5-[6-(4-метилпиридин-2-иламино)пиридин-2-ил]тиазол-2-илметил}амино)пропионамид.
10. Аминопиридиновое соединение или его фармацевтически приемлемая соль по п.9, где аминопиридиновое соединение выбрано из следующей группы соединений: (01) (S)-1-{5-[6-(4-метилпиридин-2-иламино)пиридин-2-ил]тиазол-2-ил}пирролидин-2-карбоксамид, (02) цис-4-(N-метил-N-{5-[6-(4-метилпиридин-2-иламино)пиридин-2-ил)тиазол-2-ил}амино)циклогексанкарбоновая кислота, (03) (1-{5-[6-(пиридин-2-иламино)пиридин-2-ил)тиазол-2-ил}пиперидин-4-ил)уксусная кислота и (04) (4-метил-1-{5-[6-(4-метилпиридин-2-иламино)пиридин-2-ил]тиазол-2-ил}пиперидин-4-ил)уксусная кислота.
11. Аминопиридиновое соединение или его фармацевтически приемлемая соль по п.10, где аминопиридиновое соединение представляет собой (S)-1-{5-[6-(4-метилпиридин-2-иламино)пиридин-2-ил]тиазол-2-ил}пирролидин-2-карбоксамид.
12. Аминопиридиновое соединение или его фармацевтически приемлемая соль по п.10, где аминопиридиновое соединение представляет собой (1-{5-[6-(пиридин-2-иламино)пиридин-2-ил]тиазол-2-ил}пиперидин-4-ил)уксусную кислоту.
13. Аминопиридиновое соединение или его фармацевтически приемлемая соль по п.10, где аминопиридиновое соединение представляет собой (1-{5-[6-(4-метилпиридин-2-иламино)пиридин-2-ил]тиазол-2-ил}пиперидин-4-ил)уксусную кислоту.
14. Аминопиридиновое соединение или его фармацевтически приемлемая соль по п.1, где аминопиридиновое соединение представляет собой цис-4-(N-метил-N-{5-[6-(4-метилпиридин-2-иламино)пиридин-2-ил)тиазол-2-ил}амино)циклогексанкарбоновую кислоту.
15. Аминопиридиновое соединение или его фармацевтически приемлемая соль по п.1, где Z представляет собой атом углерода.
16. Аминопиридиновое соединение или его фармацевтически приемлемая соль по п.15, где аминопиридиновое соединение по п.1 представляет собой аминопиридиновое соединение, представленное следующей общей формулой (Ib-1):
 где X1 представляет собой (1) -СН= или (2) атом азота; Y2 представляет собой (1) -СН= или (2) атом азота; R представляет собой (1) атом водорода, (2) С1-6алкильную группу или (3) ацильную группу; R1 представляет собой (1) атом водорода или (2) атом галогена; R3 представляет собой (1) атом водорода, (2) атом галогена, (3) -N(R31)(R32), где R31 и R32 представляют собой атом водорода или С1-6алкильную группу, (4) С1-6алкоксигруппу, где С1-6алкильная группа в С1-6алкоксигруппе может быть замещена заместителем, выбранным из следующей группы Аа-3: [Группа Аа-3] а. гидроксильная группа и b. -N(R31)(R32), где R31 и R32 имеют значения, указанные выше, (5) ацильную группу, (6) насыщенную гетероциклическую группу, где гетероциклическая группа может быть замещена С1-6алкильной группой, и насыщенная гетероциклическая группа может частично иметь двойную связь, (7) С1-6алкильную группу, где С1-6алкильная группа может быть замещена заместителем, выбранным из следующей группы Аb-3: [Группа Аb-3] а. гидроксильная группа, b. -COOR33, где R33 представляет собой атом водорода или С1-6алкильную группу, и с. -CO-N(R31)(R32), где R31 и R32 имеют значения, указанные выше, или (8) -COOR33, где R33 имеет значения, указанные выше; R5 представляет собой (1) атом водорода, (2) С1-6алкильную группу или (3) -COOR51, где R51 представляет собой С1-6алкильную группу; R6 и R6‘ могут быть одинаковыми или различными и каждый представляет собой (1) атом водорода, (2) С1-6алкильную группу или (3) ацильную группу; и R7 имеет значения, указанные в п.1.
17. Аминопиридиновое соединение или его фармацевтически приемлемая соль по п.16, где аминопиридиновое соединение представляет собой аминопиридиновое соединение, представленное следующей общей формулой (Ib-2):
 где R3 представляет собой (1) атом галогена, (2) -N(R31)(R32), где R31 и R32 представляют собой атом водорода или С1-6алкильные группы, (3) С1-6алкоксигруппу, где С1-6алкильная группа в С1-6алкоксигруппе, может быть замещена заместителем, выбранным из следующей группы Аа-4: [Группа Аа-4] а. гидроксильная группа и b. -N(R31)(R32), где R31 и R32 имеют значения, указанные выше, (4) ацильную группу, (5) насыщенную гетероциклическую группу, где гетероциклическая группа частично имеет двойную связь и может быть замещена С1-6алкильной группой, (6) С1-6алкильную группу, которая может быть замещена заместителем, выбранным из следующей группы Аb-4: [Группа Аb-4] а. гидроксильная группа, b. -COOR33, где R33 представляет собой атом водорода или С1-6алкильную группу, и с. -CO-N(R31)(R32), где R31 и R32 имеют значения, указанные выше, или (7) -COOR33, где R33 имеет значение, указанное выше; R5 представляет собой (1) атом водорода, (2) С1-6алкильную группу или (3) -COOR51, где R51 представляет собой С1-6алкильную группу; R6 и R6′ могут быть одинаковыми или различными и каждый представляет собой (1) атом водорода, (2) С1-6алкильную группу, или (3) ацильную группу; R7 представляет собой атом водорода, атом галогена, нитрогруппу, цианогруппу или следующие Ra, Rb, Rc, Rd, Re, Rf, Rg или Rh; Ra представляет собой -CpH2(p-1)(Ral)(Ra2)-O-Ra3, где (1) p является целым числом от 1 до 6, (2) Rа1 представляет собой атом водорода, (3) Rа2 представляет собой С1-6алкильную группу, где С1-6алкильная группа может быть замещена гидроксильной группой, атомом галогена, карбоксигруппой, и (4) Ra3 представляет собой атом водорода или ацильную группу; Rb представляет собой -CpH2(p-1)(Rb1)(Rb2)-N-(Rb3)(Rb4), где (1) р является целым числом от 1 до 6, (2) Rb1 представляет собой атом водорода, (3) Rb2 представляет собой С1-6алкильную группу, (4) Rb3 представляет собой атом водорода или С1-6алкильную группу и (5) Rb4 представляет собой а. атом водорода или b. -СОRb42, где Rb42 представляет собой С1-6алкильную группу; Rc представляет собой -C(=N-Rc1)-Rc2, где (1) Rc1 представляет собой а. гидроксильную группу, b. С1-6алкоксигруппу, где С1-6алкильная группа в С1-6алкоксигруппе может быть замещена гидроксильной группой или С1-6алкоксигруппой, или с. ацилоксигруппу, и (2) Rc2 представляет собой С1-6алкильную группу или аминогруппу; Rd представляет собой -С(=O)-Rd1, где Rd1 представляет собой (1) атом водорода, (2) С1-6алкильную группу, где С1-6алкильная группа может быть замещена гидроксильной группой, (3) гидроксильную группу, (4) С1-6алкоксигруппу, (5) -N(Rd11)(Rd12), где Rd11 и Rd12 могут быть одинаковыми или различными и представляют собой атом водорода или С1-6алкильную группу, где С1-6алкильная группа может быть замещена аминогруппой, карбоксигруппой или гидроксильной группой, или Rd11 и Rd12 совместно со смежным атомом азота могут образовать 5- или 6-членное насыщенное гетероциклическое кольцо, или (6) С1-6алкоксигруппу; Rе представляет собой 5- или 6-членную ароматическую гетероциклическую группу, имеющую 1-4 гетероатома, где ароматическая гетероциклическая группа может быть замещена С1-6алкильной группой или оксогруппой; Rf представляет собой С1-6алкильную группу или C2-6алкенильную группу, где указанная С1-6алкильная группа и С2-6алкенильная группа могут быть замещены заместителем, выбранным из следующей группы Fa-2: [Группа Fa-2] а. -СООН, b. -N(Rf21)(Rf22), где Rf21 и Rf22 могут быть одинаковыми или различными и представляют собой атом водорода, ацильную группу или С1-6алкильную группу, где С1-6алкильная группа может быть замещена карбоксигруппой, и с. атом галогена, Rg представляет собой заместитель, имеющий кольцо В”, представленное следующей формулой (IIb);
 где А” относится к линкеру, выбранному из следующей группы Ga-2: [Группа Ga-2] -(CH2)k-, -(CH2)k-NRg1(CO)-, -(CH2)k-NRg1-(CH2)j-, -(CH2)k-O-(CO)-, -(CH2)k-O-, -(CO)- и -(CO)-NRg1-, где k и j могут быть одинаковыми или различными и представляют собой целое число от 1 до 4, Rg1 представляет собой атом водорода, ацильную группу, где ацильная группа может быть замещена гидроксильной группой или карбоксигруппой, или – С1-6алкильную группу, где алкильная группа может быть замещена -CON(Rg41)(Rg42), кольцо В” представляет собой кольцо, выбранное из следующей группы На-2: [Группа На-2] арильная группа, С3-8циклоалкильная группа и 5-7-членная насыщенная гетероциклическая группа, содержащая, по крайней мере, один атом азота, и кольцо В” может быть замещено заместителем, выбранным из следующей группы Iа-2: [Группа Iа-2] a. -ORg2, где Rg2 представляет собой атом водорода, С1-6алкильную группу или аралкильную группу, и b. -COORg3, где Rg3 представляет собой атом водорода или С1-6алкильную группу, где алкильная группа может быть замещена гидроксильной группой; и Rh представляет собой -N(Rh1)(Rh2), где Rh1 представляет собой атом водорода и Rh2 представляет собой ацильную группу, где ацильная группа может быть замещена гидроксильной группой или С1-6алкоксикарбонильной группой.
18. Аминопиридиновое соединение или его фармацевтически приемлемая соль по п.1, где аминопиридиновое соединение выбрано из следующей группы соединений: (01) 1-{5-[6-(4-метилпиридин-2-иламино)пиридин-2-ил]тиофен-2-ил}этанон, (02) 5-[6-(4-метилпиридин-2-иламино)пиридин-2-ил]тиофен-2-карбальдегид, (03) 1-{5-[6-(4-метилпиридин-2-иламино)пиридин-2-ил]тиофен-2-ил}этанол, (04) этиловый эфир 1-{5-[6-(4-метилпиридин-2-иламино)пиридин-2-ил]тиофен-2-ил}уксусной кислоты, (05) N-{5-[6-(4-метилпиридин-2-иламино)пиридин-2-ил]тиофен-2-ил}ацетамид, (06) N-метил-5-[6-(4-метилпиридин-2-иламино)пиридин-2-ил]тиофен-2-карбоксамид, (07) {5-[6-(4-метилпиридин-2-иламино)пиридин-2-ил]тиофен-2-ил}метанол, (08) оксим 1-{5-[6-(4-метилпиридин-2-иламино)пиридин-2-ил]тиофен-2-ил}этанона, (09) 1-{5-[6-(4-метоксипиридин-2-иламино)пиридин-2-ил]тиофен-2-ил}этанон, (10) 5-[6-(4-метилпиридин-2-иламино)пиридин-2-ил]тиофен-2-карбоксамид, (11) 1-{5-[6-(6-изопропоксипиримидин-4-иламино)пиридин-2-ил]тиофен-2-ил}этанон, (12) N-{5-[6-(4-метилпиридин-2-иламино)пиридин-2-ил]тиофен-2-ил}ацетамид, (13) O-(2-гидроксиэтил)оксим 1-{5-[6-(4-метилпиридин-2-иламино)пиридин-2-ил]тиофен-2-ил}этанона, (14) N-(2-аминоэтил)-5-[6-(4-метилпиридин-2-иламино)пиридин-2-ил]тиофен-2-карбоксамид, (15) оксим 1-{5-[6-(4-метилпиридин-2-иламино)пиридин-2-ил]тиофен-2-ил}пропан-1-она, (16) этиловый эфир {2-[6-(5-ацетилтиофен-2-ил)пиридин-2-иламино]пиридин-4-ил}уксусной кислоты, (17) метиловый эфир 2-[6-(5-ацетилтиофен-2-ил)пиридин-2-иламино]изоникотиновой кислоты, (18) 1-(5-{6-[4-(2-гидроксиэтил)пиридин-2-иламино]пиридин-2-ил}тиофен-2-ил)этанол, (19) N-гидрокси-5-[6-(4-метилпиридин-2-иламино)пиридин-2-ил]тиофен-2-карбоксиамидин, (20) 1-(5-{6-[4-(2-гидроксиэтокси)пиридин-2-иламино]пиридин-2-ил}тиофен-2-ил)этанон, (21) 1-{5-[6-(4-хлорпиридин-2-иламино)пиридин-2-ил]тиофен-2-ил}этанон, (22) оксим 1-{5-[6-(4-хлорпиридин-2-иламино)пиридин-2-ил]тиофен-2-ил}этанона, (23) {5-[6-(4-метилпиридин-2-иламино)пиридин-2-ил]тиофен-2-ил}пиперазин-1-илметанон, (24) 1-(5-{6-[4-(4,4-диметил-4,5-дигидрооксазол-2-ил)пиридин-2-иламино]пиридин-2-ил}тиофен-2-ил)этанон, (25) 2,2-дифтор-3-гидрокси-3-{5-[6-(4-метилпиридин-2-иламино)пиридин-2-ил]тиофен-2-ил}пропионовая кислота, (26) 4-[({5-[6-(4-метилпиридин-2-иламино)пиридин-2-ил]тиофен-2-илметил}амино)метил]бензойная кислота, (27) 4-[(N-ацетил-N-{5-[6-(4-метилпиридин-2-иламино)пиридин-2-ил]тиофен-2-илметил}амино)метил]бензойная кислота, (28) транс-4-[(N-ацетил-N-{5-[6-(4-метилпиридин-2-иламино)пиридин-2-ил]тиофен-2-илметил}амино)метил]циклогексанкарбоновая кислота, (29) 3-(N-ацетил-N-{5-[6-(4-метилпиридин-2-иламино)пиридин-2-ил]тиофен-2-илметил}амино)пропионовая кислота, (30) 4-[(N-изобутирил-N-{5-[6-(4-метилпиридин-2-иламино)пиридин-2-ил]тиофен-2-илметил}амино)метил]бензойная кислота и (31) 4-[(N-(2-гидроксиацетил)-N-{5-[6-(4-метилпиридин-2-иламино)пиридин-2-ил]тиофен-2-илметил}амино)метил]бензойная кислота.
19. Фармацевтическая композиция, предназначенная для лечения или профилактики аллергических заболеваний, аутоиммунного заболевания или злокачественной опухоли, содержащая в качестве активного ингредиента аминопиридиновое соединение или его фармацевтически приемлемую соль по п.1.
20. Syk ингибитор, содержащий в качестве активного ингредиента аминопиридиновое соединение или его фармацевтически приемлемую соль по п.1.
21. Терапевтический и/или профилактический агент для лечения аллергических заболеваний, аутоиммунных заболеваний или злокачественной опухоли, содержащий в качестве активного ингредиента аминопиридиновое соединение или его фармацевтически приемлемую соль по п.1.
22. Терапевтический и/или профилактический агент по п.21, где аллергическим заболеванием является бронхиальная астма, аллергический ринит, аллергический дерматит или аллергический конъюнктивит.
23. Терапевтический и/или профилактический агент по п.21, где аутоиммунным заболеванием являются ревматоидный артрит, системная красная волчанка, рассеянный склероз.
24. Терапевтический или профилактический агент по п.21, где злокачественная опухоль является В-лимфомой или В-клеточным лейкозом.
ФАКСИМИЛЬНОЕ ИЗОБРАЖЕНИЕ
|
|