Патент на изобретение №2363678
|
|||||||||||||||||||||||||||||||||||||||||||||||||||||||||||||||||||||||||||||||||||||||||||||||||||||||||||||||||||||||||||||||||||||||||||||||||||||||||||||||||||||||||||||||
(54) КОМПОЗИЦИЯ ДЛЯ НЕЙТРАЛИЗАЦИИ ПРИМЕСЕЙ
(57) Реферат:
Объектом настоящего изобретения является композиция для нейтрализации глин в гидравлической композиции, содержащей в качестве активного вещества, по меньшей мере, 50 мас.% катионного полимера, который имеет плотность катионных зарядов, превышающую 0,5 мэкв/г, и характеристическую вязкость менее 1 дл/г, и способ нейтрализации глин в указанной гидравлической композиции. Изобретение развито в зависимых пунктах формулы изобретения. Технический результат – снижение вредного воздействия глин на свойства гидравлических композиций. 2 н. и 27 з.п. ф-лы, 4 табл.
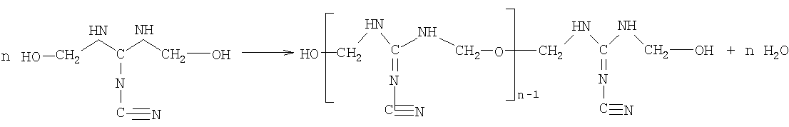
Настоящее изобретение относится к композиции для нейтрализации вредных примесей, таких как глины, в гидравлических композициях. Иногда бывает трудно постоянно контролировать свойства гидравлических композиций. Часто причиной колебаний их состава является качество сырья. В частности, отмечается, что пески или, в частности, примеси, содержащиеся в песках, такие как глины, могут быть причиной изменений свойств гидравлических композиций. В некоторых случаях эти изменения происходят из-за снижения эффективности пластификаторов типа полимеров с гребенчатой структурой, называемых также суперпластификаторами. Согласно документу WO 98/58887 причиной такого снижения эффективности является абсорбция этих полимеров вспучивающими глинами типа 2:1, присутствующими в песке. Известно удаление из песка глин и других примесей путем промывки водой. После этого соленую воду обрабатывают флокулянтом, который позволяет ускорить отделение жидкости от твердого вещества и получить таким образом чистую воду. Затем эту воду повторно используют для промывки песка. Однако такое решение является дорогим с точки зрения необходимого оборудования и требует большого количества воды. Кроме того, промытый песок, как правило, содержит остаточный флокулянт, наличие которого отрицательно сказывается на свойствах гидравлических композиций. В заявке JP 9-221346 предложено нейтрализовать отрицательный эффект остаточного флокулянта типа анионного полимера путем добавления катионного полимера. Другое решение состоит в том, чтобы не отделять глины от песков, а нейтрализовать глины в песках. В документе WO 98/58887 предлагается использовать реагенты, изменяющие активность глины, например, путем снижения ее абсорбционной способности или путем осуществления предабсорбции. В этом документе предлагается также использовать неорганические или органические катионы, в том числе четвертичные (поли)амины, в случае необходимости подвергнутые алкоксилированию. Вместе с тем описанные реагенты не обеспечивают необходимой эффективности. Так, требуется добавлять повышенное количество реагентов для обработки материалов с высоким содержанием примесей. Увеличение количества реагентов приводит к удорожанию способа, который по этой причине не представляет интереса для промышленного использования. Кроме того, в отличие от утверждений, приведенных в документе WO 98/58887, снижение качества гидравлических композиций может происходить также из-за присутствия других глин, например, типа 1:1. Поэтому задачей настоящего изобретения является создание композиции, позволяющей уменьшить нежелательный эффект присутствия вредных примесей, таких как глины. В частности, такая композиция должна быть стойкой, то есть эффективной для разных гидравлических композиций. Кроме того, такая композиция должна обладать стабильностью при хранении, быть недорогой, и ее применение не должно требовать наличия сложного оборудования. Этот технический результат достигается при помощи композиции, содержащей специальный катионный полимер. Предпочтительно специальный катионный полимер связан с анионным полимером. Таким образом, объектом настоящего изобретения главным образом является композиция для нейтрализации глин в гидравлических композициях, содержащая в качестве активного вещества, по меньшей мере, 50 мас.% катионного полимера, который имеет плотность катионных зарядов, превышающую 0,5 мэкв/г, и характеристическую вязкость менее 1 дл/г. В рамках настоящего описания под термином «полимер» следует понимать соединение, содержащее более двух мономерных единиц, одинаковых или разных, имеющее специальную упорядоченность или без нее. Под термином «катионность» следует понимать плотность положительных зарядов в соединении. Катионность можно измерять коллоидным титрованием. Под термином «характеристическая вязкость» следует понимать предельное значение приведенной вязкости Термином «гидравлическая композиция» обозначают любую композицию, способную к гидравлическому схватыванию, в частности строительные растворы и бетоны, предназначенные для строительных работ (строительство зданий, дорожное строительство или производство строительных материалов). Под термином «песок» следует понимать грануляты, имеющие средний гранулометрический размер от 0 до 6 мм, предпочтительно от 0 до 4 мм. Они могут иметь любое минеральное происхождение и могут быть известковыми, кварцевыми, кварц-известковыми т.д. Это определение охватывает также порошкообразные наполнители или другие сыпучие неорганические материалы, которые можно использовать в гидравлических композициях. Под термином «глины» следует понимать силикаты алюминия и/или магния, в частности филлосиликаты со структурой в виде листов, в которой листы разделены промежутками примерно от 7 до 14 Ангстрем. Вместе с тем этот термин относится и к другим типам глин, в частности к аморфным глинам. Среди глин, часто встречающихся в песках, можно упомянуть, в частности, монтмориллонит, иллит, каолинит, мусковит и хлорит. Глины могут быть типа 2:1, а также типа 1:1 (каолинит) или 2:1:1 (хлорит). Под термином «активное вещество» следует понимать компоненты композиции, воздействующие на свойства гидравлической композиции, кроме компонентов, являющихся носителем, в частности растворители или диспергаторы, эмульгаторы и другие добавки. Изобретение основано на том, что катионные полимеры, имеющие специфические плотность катионного заряда и молекулярную массу, предпочтительно в сочетании с анионными полимерами, являются особенно эффективными для нейтрализации примесей в гидравлических композициях. Согласно изобретению катионный полимер, используемый для оптимизации нейтрализующего эффекта, характеризуется катионностью, превышающей 0,5 мэкв/г, предпочтительно превышающей 1 мэкв/г и, в частности, превышающей 2 мэкв/г. Согласно изобретению катионный полимер имеет также молекулярную массу, выраженную характеристической вязкостью, меньшей 1 дл/г, предпочтительно меньшей 0,8 дл/г и, в частности, меньшей 0,6 дл/г. Предпочтительно композиция содержит, по меньшей мере, 50 мас.%, в частности, по меньшей мере, 70 мас.% и еще предпочтительнее от 70 до 80 мас.%, катионного полимера. Катионные полимеры могут иметь линейную, гребенчатую или разветвленную структуру. Предпочтительно они должны иметь линейную структуру. Катионные группы могут быть, в частности, фосфониевыми группами, пиридиниевыми группами, сульфониевыми группами и группами четвертичных аминов, причем последние являются предпочтительными. Известно большое число катионных полимеров. Такие полимеры можно получать непосредственно при помощи одного из известных способов полимеризации, таких как радикальная полимеризация, поликонденсация или полимеризация присоединением. Их можно также получать при помощи следующей за синтезом модификации полимера, например, путем прививания групп с одной или несколькими катионными функциями к полимерной цепи, содержащей соответствующие реактивные группы. Полимеризацию осуществляют на основе, по меньшей мере, одного мономера, содержащего катионную группу или соответствующий предшественник. Наиболее предпочтительны катионные полимеры, полученные из мономеров, содержащих аминные группы и иминные группы. После полимеризации азот можно кватернизировать известным способом, например, путем алкилирования при помощи алкильного соединения, например метилхлорида, или в кислой среде путем протонирования. Наиболее предпочтительными являются катионные полимеры, содержащие катионные группы четвертичного амина. Среди мономеров, уже содержащих катионную группу четвертичного амина, можно, в частности, указать соли диаллилдиалкиламмония, кватернизированные диалкиламиноалкил(мет)акрилаты и (мет)акриламиды N-замещенные квартернизированным диалкиламиноалкилом. Полимеризацию можно осуществлять с неионными мономерами, предпочтительно с короткой цепочкой, содержащей от 2 до 6 атомов углерода. Ионные мономеры тоже могут присутствовать, если только они не влияют на катионные группы. В рамках модификации полимеров путем прививания можно упомянуть природные привитые полимеры, такие как катионные крахмалы. Предпочтительно катионный полимер содержит группы, катионность которых проявляется только в кислой среде. Наиболее предпочтительными являются третичные аминогруппы, ставшие катионными при протонировании в кислой среде. Отсутствие ионного характера в гидравлических композициях типа бетона или строительного раствора со щелочным рН позволяет еще более повысить их стойкость по сравнению с другими ионными соединениями, в частности анионными. Например, можно упомянуть катионные полимеры из семейства поливиниламинов, которые можно получить путем полимеризации N-винилформамида с последующим гидролизом. Четвертичные поливиниламины можно получать согласно способу, описанному в патенте US 5292441. Можно также использовать полимеры типа полиэтиленимина. Эти полимеры кватернизируют путем протонирования. Особенно предпочтительными являются катионные полимеры, полученные поликонденсацией эпихлоргидрина с моно- или диалкиламином, в частности метиламином или диметиламином. Их получение описано, например, в патентах US 3738945 и US 3725312. Звено цепочки катионного полимера, полученного поликонденсацией диметиламина и эпихлоргидрина, может выглядеть следующим образом:
Можно также использовать полимеры типа полиакриламида, модифицированные реакцией Манниха, такие как полиакриламид, N-замещенный диметиламинометиловой группой. Можно также использовать катионные полимеры, полученные поликонденсацией дициандиамида и формальдегида. Эти полимеры и способы их получения описаны в патенте FR 1042084. Таким образом, объектом настоящего изобретения является также способ нейтрализации глин в песках, предназначенных для приготовления гидравлических композиций, отличающийся тем, что во время подготовки песка его соединяют с полимером, который можно получить конденсацией дициандиамида с формальдегидом, в случае необходимости, в присутствии других соединений. Согласно предпочтительному варианту выполнения полимер можно получать конденсацией дициандиамида с формальдегидом в присутствии A) полиалкиленгликоля; и/или B) полиалкоксилированного поликарбоксилата; и/или C) производного аммония. Точный химический состав полученного таким образом полимера не известен. Поэтому он будет в дальнейшем описан в основном в связи со способом его получения. Способ получения Полимер можно получить путем конденсации дициандиамида с формальдегидом, в случае необходимости, в присутствии других соединений, в частности полиалкиленгликоля (А), полиалкоксилированного поликарбоксилата (В) и/или агента кватернизации (С). Реакция конденсации между дициандиамидом и формальдегидом требует 2 молей формальдегида на 1 моль дициандиамида согласно следующей схеме (I) реакции: Таким образом, молярное соотношение между формальдегидом и дициандиамидом предпочтительно находится в диапазоне от 0,8:1 до 4:1, в частности от 1:1 до 3:1. Молярный избыток, превышающий 4, не дает дополнительных преимуществ, но зато может привести к нежелательному схватыванию. Предпочтительно проводить реакцию с небольшим стехиометрическим избытком формальдегида при молярном соотношении между формальдегидом и дициандиамидом, находящимся в диапазоне от 2,2:1 до 2,8:1. Предпочтительно полимер получают путем конденсации формальдегида с дициандиамидом в присутствии дополнительных соединений. Действительно, это позволяет модулировать свойства полимера, в частности его растворимость в воде и его сродство к глинам. Полиалкиленгликоль (соединение А) предпочтительно имеет формулу (I):
где R1 – алкильная группа с C1-C4, предпочтительно этиловая группа и/или пропиловая группа; R2 и R3 являются независимо друг от друга атомом водорода или алкильной группой с C1-C4, предпочтительно метиловой группой; и n – число от 25 до 1000. Например, речь может идти о полиэтиленгликоле, о полипропиленгликоле, о сополимере этиленоксида/пропиленоксида или о смеси этих различных соединений. Предпочтительно речь идет о полиэтиленгликоле. Молекулярная масса соединения А предпочтительно составляет от 1000 до 35000. Путем замеров вязкости было установлено, что присутствие соединения А изменяет структуру образованного полимера, а также его свойства. Количество соединения А, используемого в реакции в случае необходимости, в принципе меньше количества главных реагентов – дициандиамида и формальдегида. Так, реакционная смесь обычно содержит 0-10 мас.%, предпочтительно 0,5-3 мас.%, в частности 0,8-1 мас.%, соединения А. Полиалкоксилированный поликарбоксилат (соединение В) является гребенчатым полимером, содержащим главную водородно-углеродную цепочку, с которой связаны одновременно боковые карбоксильные группы и алкоксильные группы, в частности группы пропиленоксида (РО), группы этиленоксида (ЕО) и/или их комбинации. Боковые группы могут быть ионными или неионными. Предпочтительно речь идет о соединении, имеющем следующую формулу (II):
в которой R1 и R2 являются независимо друг от друга атомом водорода или метиловой группой; R3 и R4 являются независимо друг от друга алкиленовой группой с C1-C4, предпочтительно этиленовой группой, пропиленовой группой или одной из их комбинаций: R5 является атомом водорода или алкильной группой с C1-C4, предпочтительно метиловой группой; m – целое число от 2 до 100; р – целое число от 2 до 100; и q – целое число от 2 до 100. Содержание эфира в соединении В, выраженное соотношением р/(m+p), может составлять от 10 до 60%, в частности от 20 до 40%. Предпочтительно реакционная смесь содержит от 0,1 до 10 мас.%, предпочтительно от 0,5 до 5 мас.%, в частности от 0,5 до 2 мас.%, соединения В. Производное аммония (соединение С) главным образом предназначено для повышения степени ионности полимера путем добавления катионных групп. Ионность полимера во многом способствует его растворимости в воде и его сродству к глинам и, следовательно, представляет интерес в рассматриваемом варианте применения. Предпочтительно ион аммония аммониевого производного имеет следующую формулу (IV):
в которой группы R6 являются одинаковыми или разными и обозначают Н или алкильную группу с C1-С6. Среди предпочтительных аммониевых производных можно указать, в частности, галогениды аммония, такие как хлорид аммония, бромид аммония и иодид аммония, сульфат аммония и ацетат аммония, из которых предпочтение отдается хлориду аммония. Количество используемого соединения С может меняться в самых широких пределах. Вместе с тем молярное соотношение между соединением С и дициандиамидом предпочтительно составляет от 1 до 1,5, в частности от 1,1 до 1,3. Обычно реакционная среда содержит от 1 до 10 мас.%, предпочтительно от 3 до 8 мас.%, в частности от 6 до 8 мас.%, соединения С. Реакция конденсации происходит в соответствующем растворителе, при этом наиболее предпочтительным растворителем является вода. Количество растворителя в реакционной смеси выбирают таким образом, чтобы обеспечить растворение различных компонентов. Например, реакционная смесь может содержать от 10 до 80 мас.%, предпочтительно от 20 до 70 мас.%, растворителя. Как правило, количество воды в реакционной среде предпочитают ограничивать, чтобы сместить равновесие реакции конденсации к получаемому продукту. Если требуется разбавленный продукт, воду добавляют предпочтительно после реакции. Можно также добавлять другие классические добавки для полимеризации, такие как агенты обрыва цепи. Эти соединения позволяют контролировать размер синтезированных молекул и, следовательно, их молярную массу и снижать их показатель полидисперсности. Среди агентов обрыва цепи можно указать, в частности, сульфаминовую кислоту. Реакция конденсации проходит быстро, как правило, в пределах примерно от 30 мин до 4 ч. Скорость реакции зависит от температуры, которая может находиться в пределах от температуры окружающей среды до температуры кипения реакционной смеси. Предпочтительно она находится в пределах от 20 до 95°С, еще предпочтительнее от 60 до 70°С. При более низкой температуре реакция будет длиться дольше. Вместе с тем нежелательно поддерживать высокую температуру в течение длительного времени, так как это может привести к ухудшению качества продукта. Предпочтительно полимер применяют непосредственно в конце реакции без предварительной очистки. Следовательно, он может содержать другие вещества в отличие от полимера, который можно было бы ожидать согласно вышеуказанной реакционной схеме (I). Полученный полимер специально используют для нейтрализации отрицательных эффектов глин, содержащихся в некоторых песках. Кроме того, он имеет также следующие преимущества: – он позволяет уменьшить количество воды или разжижителя, необходимого для получения требуемой текучести; – он является эффективным для разных глин; – он не влияет на характеристики строительного раствора в случае передозировки; – он не ухудшает механическую прочность как в краткосрочном, так и в долгосрочном плане; – он не оказывает замедляющего действия на схватывание; и – он является устойчивым во времени и стойким к жаре и морозу. Предпочтительно, кроме специфического катионного полимера, композиция содержит также анионный полимер. Предпочтительно анионный полимер имеет молекулярную массу менее 200000 г/моль, предпочтительно менее 100000 г/моль и еще предпочтительнее менее 80000 г/моль. Анионный полимер может иметь линейную, разветвленную или гребенчатую структуру. Предпочтительно, по меньшей мере, один из катионных полимеров или анионных полимеров имеет гребенчатую структуру. Наиболее предпочтительным является анионный полимер с гребенчатой структурой. В этом случае, как правило, главная цепочка является углеводородной. Анионный полимер может содержать, в частности, карбоксильные группы или сульфогруппы. Предпочтительно анионные группы находятся в боковых цепочках. Кроме того, анионный полимер может содержать неионные боковые группы, в частности полиэфирные группы. Как правило, полиэфирные группы содержат звенья этиленоксида или пропиленоксида или их комбинацию. Известно большое количество описанных выше анионных полимеров. Их можно получать путем сополимеризации, что описано в патентах ЕР 0056627, JP 58074552, US 5393343. Их можно также получать путем следующей за синтезом модификации полимера, что описано, например, в патенте US 5614017. Наиболее предпочтительной является композиция, содержащая два ионных полимера с противоположным зарядом. Действительно, как неожиданно оказалось, она является устойчивой и не образует осадка. Было сделано предположение, что этот эффект связан со стерическим препятствием, создаваемым гребенчатым полимером, которое ограничивает доступность зарядов, переносимых полимером, и препятствует таким образом осаждению полимеров противоположного заряда. С другой стороны, было установлено, что сочетание обоих полимеров является особенно эффективным для нейтрализации примесей в гидравлических композициях. Предпочтительно композиция содержит не более 50 мас.%, в частности не более 30 мас.%, анионного полимера. Наиболее предпочтительной является композиция, содержащая от 20 до 30 мас.% анионного полимера. В зависимости от варианта применения композицию можно использовать в твердом виде (гранулы, шарики), в жидком виде или в виде эмульсии. Предпочтительно ее используют в виде водного раствора. Кроме активного вещества и одного или нескольких растворителей она может содержать, в частности, обычные добавки. Жидкие формы особенно легко дозировать. С другой стороны, учитывая относительно низкую молекулярную массу выбранных макромолекул, можно использовать водные растворы с повышенной концентрацией полимера, не опасаясь проблем, связанных с повышенной вязкостью. Повышенная концентрация полимера особенно интересна с точки зрения сокращения затрат (транспортировка, хранение). Концентрация катионного полимера в растворе может меняться, но, как правило, находится в пределах от 20 мас.% до 80 мас.%. Кроме того, композиция может содержать другие обычные добавки, такие как стабилизирующие добавки. Описанная композиция особенно предпочтительна для глин, присутствующих в некоторых композициях или их компонентах. Эти примеси глины могут ухудшать свойства гидравлических композиций, которые могут содержать или не содержать суперпластификаторы. Содержание примесей в компоненте или компонентах может быть неограниченным, если только не вступают в силу экономические соображения. Поэтому, как правило, обработке подвергают материалы с содержанием глины от 0,5 до 5 мас.%. Обработка материалов, содержащих глины, является исключительно простой и быстрой. Действительно, полимерная композиция обладает значительным сродством к глинам, независимо от того, являются ли они вспучивающими или нет. Так, в принципе достаточно ввести композицию в контакт с материалом, чтобы обеспечить нейтрализацию содержащихся в нем глин. Как правило, достаточно контакта в течение нескольких секунд. Предпочтительно композицию добавляют к гидравлической композиции или к одному из ее компонентов путем распыления. В случае какого-либо особого материала во время или после обработки производят перемешивание для лучшего распределения композиции и получения однородно обработанного материала. Глины часто присутствуют в виде примесей в песках. Поэтому в соответствии с вариантом выполнения настоящего изобретения песок подвергают обработке композицией. Предпочтительно песок вводят в контакт с полимером путем распыления водного раствора продукта на песок. Предпочтительно обрабатывают сухой песок. Так, предпочтительно песок должен иметь влажность ниже 10 мас.%. Действительно, установлено, что эффективность полимера снижается при повышении содержания воды в песке. Поэтому предпочтительно обработку песка производят в карьере. Чтобы обеспечить хорошее распределение полимера и получить однородно обработанный песок, песок предпочтительно перемешивают. Распыление можно производить в емкости, например в ящике со щелями на выходе транспортерной ленты. Такой вариант выполнения к тому же снижает потери продукта. Как вариант, раствор полимера можно распылять в мешалке, установленной на выходе ленты. Можно также предварительно приготовить смесь небольшого количества песка с продуктом и затем добавить эту смесь в песок. Предпочтительно полимер наносят на песок в количестве, достаточном, чтобы обеспечить полную нейтрализацию присутствующих в песке глин и, следовательно, избежать передозировки суперпластификатора. Вместе с тем можно также предусмотреть частичную обработку, причем нанесение большего количества не ухудшает требуемых свойств гидравлической композиции. Таким образом, нет необходимости предварительно определять количество глины, содержащееся в песке, чтобы определить необходимое количество полимера. Действительно, количество полимера, необходимое для нейтрализации, в основном зависит от содержания глин в песке. Оно может меняться в зависимости от природы присутствующих глин. Например, обработка является удовлетворительной при дозировке полимера от 2 до 20 мас.%, предпочтительно от 5 до 10 мас.%, по отношению к массе сухой глины в песке. Композицию можно добавлять в один или несколько компонентов, содержащих вредные примеси. Ее можно также добавлять во время приготовления гидравлической композиции, например в воду затворения. Таким образом, композицию можно применять как в карьере, так и на бетонном заводе. Однако непосредственная обработка компонентов, например, в песчаном карьере, как правило, является более эффективной и, следовательно, более предпочтительной. Обработанные таким образом компоненты можно использовать обычным путем, в частности, для приготовления композиций гидравлического схватывания. Их можно использовать для приготовления гидравлических композиций, имеющих постоянные свойства. В частности, обработанные таким образом пески используют для приготовления гидравлических композиций, в которых глины могут снижать эффективность суперпластификаторов. Их можно применять обычным путем для приготовления композиций гидравлического схватывания. Следует отметить, что этот способ обработки является очень гибким. Действительно, он дает весьма удовлетворительные результаты для самых разных цементов. Кроме того, его эффективность не ограничивается одним отдельным видом глины. Гидравлические композиции, содержащие пески с глиной, обработанные полимером, имеют реологические свойства, сравнимые со свойствами при использовании песков, не содержащих глин, не требуют большого количества суперпластификатора и соответственно являются более дешевыми. Этот способ позволяет уменьшить количество воды или разжижителя, необходимого для получения требуемой текучести. Кроме того, описанная композиция не влияет на характеристики гидравлических композиций даже в случае передозировки. В частности, не отмечают эффектов захватывания воздуха или замедления схватывания. Кроме того, она не ухудшает другие характеристики гидравлических композиций, такие как удобоукладываемость смеси и ее долговечность, краткосрочная и долгосрочная механическая прочность или время схватывания. Таким образом, вторым объектом настоящего изобретения является способ получения гидравлических композиций, содержащий этап, на котором в гидравлическую композицию или в один из ее компонентов добавляют описанную выше композицию, содержащую катионный полимер, предпочтительно в сочетании с анионным полимером. Этот способ позволяет обрабатывать даже сильно загрязненные компоненты. Действительно, описанная полимерная композиция является эффективной в небольших количествах и поэтому обеспечивает экономически выгодную промышленную нейтрализацию глин. Кроме того, она характеризуется долговечностью и жаро- и морозоустойчивостью. Наконец, использование композиции не требует применения специального оборудования. Таким образом, описанная композиция остается эффективной в самых разных условиях, для разных типов гидравлических композиций и глин. Далее изобретение будет более подробно описано при помощи следующих неограничительных примеров. ПРИМЕРЫ Получение полимеров: а) Анионный полимер Анионные полимеры синтезируют согласно следующей методике: Сополимер Применяемая методика идентична методике, используемой для сополимера Синтез приводит к получению сополимера полиэтиленоксидметакрилата 1100 и метакриловой кислоты с молярным соотношением 40/60 и молекулярной массой 40000 г/моль. Сополимер В реактор емкостью 1 л, оборудованный механической мешалкой, системой нагрева и нейтрализации азотом, загружают, г:
Готовят раствор инициатора, добавив 0,63 г 2,2 Реакционную среду нагревают до 60°С при перемешивании и с обеспечением дегазации в атмосфере N2. В реакционную среду добавляют раствор катализатора, реакция в растворе длится 5 ч 30 мин при температуре 60°С. Для стабилизации ТГФ добавляют небольшое количество воды. После этого производят вакуумную дистилляцию для удаления растворителя. Полученный продукт является вязкой жидкостью, которую разбавляют водой для получения раствора с концентрацией, близкой к 30 мас.%. Синтез приводит к получению сополимера полиэтиленоксид метакрилата 1100 и метакриловой кислоты при молярном соотношении 20/80 и с молекулярной массой 40000 г/моль. б) Катионный полимер Катионные полимеры характеризуются степенью катионности и молекулярной массой. б1) Катионность Катионность или плотность катионных зарядов (в мэкв/г) характеризует количество зарядов (в ммоль), переносимых 1 г полимера. Это свойство определяют путем коллоидного титрования при помощи анионного полимера в присутствии цветного индикатора, чувствительного к избыточной ионности полимера. В нижеследующих примерах катионность определяли следующим образом. В соответствующий сосуд залили 60 мл буферного раствора фосфата натрия с 0,001 М – рН 6 и 1 мл Толуидинового Синего О с 4,1·10-4 М, затем 0,5 мл раствора катионного полимера, предназначенного для использования. Титрование этого раствора осуществляли при помощи раствора поливинилсульфата калия до изменения окраски индикатора. Катионность определяли при помощи следующего отношения: Катионность (мэкв/г)=(Vepvsk*Npvsk)(Vpc*Срс), в котором Vpc – объем раствора катионного полимера; Срс – концентрация катионного полимера в растворе; Vepvsk – объем раствора поливинилсульфата калия; Npvsk – нормальность раствора поливинилсульфата калия. б2) Характеристическая вязкость Измерение характеристической вязкости катионных полимеров производили в растворе NaCl 3M при помощи капиллярного вискозиметра типа Ubbelhode при температуре 25°С. Измеряли время протекания в капиллярной трубке между двумя метками для растворителя и растворов полимера с разными значениями концентрации. Приведенную вязкость вычисляли путем деления удельной вязкости на концентрацию раствора полимера. Удельную вязкость определяли для каждого значения концентрации путем деления разности времени протекания раствора полимера и растворителя на время протекания растворителя. Построив график приведенной вязкости в зависимости от концентрации раствора полимера, получают прямую. Пересечение этой прямой с осью ординат соответствует характеристической вязкости для концентрации, равной нулю. в) Приготовление строительного раствора В емкости смесителя Perrier готовили строительный раствор, имеющий состав, указанный в табл.1. Загружали песок, затем воду для предварительного смачивания, вращая смеситель с небольшой скоростью (140 об/мин). Смесь оставляли на 4 мин, затем добавляли связующие (цемент и порошкообразный наполнитель). Используемые пески указаны в табл.1. Перемешивали в течение 1 мин на малой скорости, затем постепенно добавляли воду затворения, содержащую суперпластификатор, в течение 30 с. Наконец, опять перемешивали в течение 2 мин на скорости 280 об/мин. Эффективность нейтрализации определяли, измеряя расплыв приготовленного строительного раствора. В песок добавляли нейтрализатор. В воду затворения добавляли пластификатор. Для разных серий испытаний водоцементное отношение В/Ц сохраняли постоянным.
г) Измерение удобоукладываемости строительного раствора Подвижность строительного раствора измеряли следующим образом. Форму без дна в виде усеченного конуса, воспроизводящую в масштабе 0,5 конус Абрамса (см. стандарт NF 18-451, 1981) и имеющую следующие размеры, мм:
заполняли свежим строительным раствором в три слоя одинакового объема, затем каждый слой раствора уплотняли 15 раз при помощи стального стержня диаметром 6 мм с круглым концом. Верхнюю поверхность конуса сглаживали, затем конус поднимали вертикально. Расплыв измеряли через определенные промежутки времени (5 и 60 мин) по четырем диаметрам через 45° при помощи штангенциркуля. Результатом измерения расплыва является среднее из четырех значений ±1 мм. ПРИМЕРЫ А, В и В Для оценки отрицательного воздействия глин в гидравлических композициях (типа строительного раствора Результаты приведены в табл.3 ниже. Отмечается отрицательное влияние глин на расплыв. ПРИМЕР С (сравнительный пример) Готовили строительный раствор, как указано в разделе в), но с песком, в который добавляли 1 мас.% монтмориллонита и после воды предварительного смачивания сополимер Речь идет о полимерном диспергаторе гребенчатого типа (диспергатор 1). Расплыв измеряли через 5 мин после приготовления строительного раствора, как указано в разделе г). Расчетное количество 6 мас.% сухого полимера по отношению к массе глины позволяет добиться расплыва строительного раствора, такого как расплыв без глины. Результаты приведены в табл.3 ниже. ПРИМЕР D (сравнительный пример) Готовили строительный раствор, как указано в разделе в), но с песком, который содержит 1 мас.% монтмориллонита и в который после воды предварительного смачивания добавляли сополимер Речь идет о полимерном диспергаторе гребенчатого типа (диспергатор 2). Расплыв измеряли через 5 мин после приготовления строительного раствора, как указано в разделе г). Расчетное количество 6 мас.% сухого полимера по отношению к массе глины позволяет добиться расплыва строительного раствора как расплыв без глины. Результаты приведены в табл.3 ниже. ПРИМЕР 1 Готовили водную композицию, содержащую эпихлоргидрин полиамин – диметиламин (EPI-DMA) (FL-2250 фирмы SNF) и диспергатор 1 при массовом соотношении 75/25. Раствор содержит 20% активного вещества. Используемый эпихлоргидрин полиамин – диметиламин (EPI-DMA) имеет катионность 7,3 мэкв/г и характеристическую вязкость 0,04 дл/г. После этого готовили строительный раствор, как указано в разделе в), но с песком, в который добавляли 1 мас.% монтмориллонита и после воды предварительного смачивания композицию. Расплыв измеряли через 5-60 мин после приготовления строительного раствора, как указано в разделе г). Расчетное количество 5 мас.% сухого полимера по отношению к массе глины позволяет добиться расплыва строительного раствора как расплыв без глины. Результаты приведены в табл.3 ниже. ПРИМЕР 2 Готовили водную композицию, содержащую эпихлоргидрин полиамин – диметиламин (EPI-DMA) (FL-2250 фирмы SNF) и диспергатор 1 при массовом соотношении 95/5. Раствор содержит 20% активного вещества. После этого готовили строительный раствор, как указано в разделе в), но с песком, в который добавляли 1 мас.% монтмориллонита и после воды предварительного смачивания композицию. Расплыв измеряли через 5-60 мин после приготовления строительного раствора, как указано в разделе г). Расчетное количество 5 мас.% сухого полимера по отношению к массе глины позволяет добиться расплыва строительного раствора как расплыв без глины. Результаты приведены в табл.3 ниже. ПРИМЕР 3 Готовили водную композицию, содержащую эпихлоргидрин полиамин – диметиламин (EPI-DMA) (FL-2250 фирмы SNF) и диспергатор 2 при массовом соотношении 75/25. Раствор содержит 20% активного вещества. После этого готовили строительный раствор, как указано в разделе в), но с песком, в который добавляли 1 мас.% монтмориллонита и после воды предварительного смачивания композицию. Расплыв измеряли через 5 мин после приготовления строительного раствора, как указано в разделе г). Расчетное количество 4,5 мас.% сухого полимера по отношению к массе глины позволяет добиться расплыва строительного раствора как расплыв без глины. Результаты приведены в табл.3 ниже. ПРИМЕР 4 Готовили водную композицию, содержащую эпихлоргидрин полиамин – диметиламин (EPI-DMA) (FL-2250 фирмы SNF) и диспергатор 1 при массовом соотношении 50/50. Раствор содержит 20% активного вещества. После этого готовили строительный раствор, как указано в разделе в), но с песком, в который добавляли 1 мас.% монтмориллонита и после воды предварительного смачивания композицию. Расплыв измеряли через 5-60 мин после приготовления строительного раствора, как указано в разделе г). Расчетное количество 5,5 мас.% сухого полимера по отношению к массе глины позволяет добиться расплыва строительного раствора как расплыв без глины. Результаты приведены в табл.3 ниже. ПРИМЕР 5 Путем конденсации дициандиамида (DCDA) и формальдегида готовили катионный полимер следующим образом. В эмалированный реактор, оборудованный термостатом и мешалкой, вводят 20,3 массовых частей воды, 11,7 массовых частей хлорида аммония, 18,2 массовых частей дициандиамида, затем 48,8 массовых частей формальдегида (водный раствор 37 мас.%) при температуре окружающей среды. Смесь нагревали до 95°С, перемешивая ее в течение двух часов. Полученный продукт содержит сухой экстракт в количестве примерно 48%. Перед складированием продукт разбавляют до содержания 20% сухого экстракта. Полученный полимер имеет катионность 2,5 мэкв/г и характеристическую вязкость 0,06 дл/г. После этого готовили строительный раствор, как указано в разделе (в), но с песком, содержащим 1 мас.% монтмориллонита по отношению к общей массе песка, добавляя полученный полимер после воды для смачивания. После приготовления строительного раствора производили измерения за 5 и за 60 мин, как указано в разделе (г). Количество катионного полимера в 8 мас.% из расчета сухого полимера по отношению к массе глины позволяет получить расплыв строительного раствора как расплыв без глины. Результаты приведены в табл.3. ПРИМЕР 6 Повторяли пример 5, только вместо монтмориллонита в песок добавляют каолинит. Результаты приведены в табл.3. Следует отметить, что расплыв строительного раствора как расплыв без глины получают при добавлении катионного полимера из расчета 8 мас.% сухого полимера по отношению к массе глины. ПРИМЕР 7 Повторяли пример 1, только смесь катионного и анионного полимеров заменяли на полиамин эпихлоргидрин – диметиламин (EPI-DMA) (FL-2250 фирмы SNF). Результаты приведены в табл.3. Следует отметить, что расплыв строительного раствора как расплыв без глины получали при количестве 5,5 мас.% сухого полимера по отношению к массе глины. Кроме того, эффективность полимера, описанного в примере 5, является более низкой, чем эффективность полиамина эпихлоргидрина – диметиламина (EPI-DMA) (FL-2250 фирмы SNF). ПРИМЕР 8 Повторяли пример 1, только вместо сополимера использовали тетрабутиламмоний бромид (ТТБ). Результаты приведены в табл.3 ниже. Даже дозировка в 15 мас.% по отношению к весу глины не позволяет достичь расплыва, который имеет раствор из песка без глины. ПРИМЕР 9 Повторяли пример 8, только вместо монтмориллонита использовали каолинит. Результаты приведены в табл.3 ниже. Даже дозировка в 15 мас.% по отношению к весу глины не позволяет достичь расплыва, который имеет песок без глины.
Отрицательное воздействие каолинита менее выражено, чем у монтмориллонита, но при этом используют аналогичное количество нейтрализатора для нейтрализации этих двух типов глины, что видно из примеров 5 и 6. ПРИМЕРЫ Е и F (сравнительные примеры) Повторяли примеры А и В соответственно, но без суперпластификатора (тип строительного раствора Результаты приведены в табл.4 ниже. Прежде всего отмечают, что глины отрицательно влияют на расплыв даже в отсутствие суперпластификатора. ПРИМЕРЫ 10-12 Повторяли примеры 1, 2 и 3, но без суперпластификатора. Результаты приведены в табл.4 ниже. Полимерная композиция позволяет получить соответствующие значения подвижности строительного раствора без глины. Кроме того, необходимая дозировка меньше чем только для одного диспергатора и меньше или равна дозировке только одного катионного полимера. Оптимальную дозировку получают при массовом соотношении между катионным полимером и диспергатором, составляющим 75/25.
Испытания показывают со всей очевидностью, что описанная композиция позволяет эффективно нейтрализовать глины, присутствующие в гидравлических композициях. Композиция, содержащая сочетание из двух ионных полимеров, является устойчивой. Наконец, из результатов можно сделать вывод, что между двумя полимерами присутствует синергический эффект, учитывая, что их индивидуальная эффективность в плане дозировки ниже эффективности композиции.
Формула изобретения
1. Композиция для нейтрализации глин в гидравлических композициях, содержащая, по меньшей мере, 50 мас.% катионного полимера, который имеет плотность катионных зарядов, превышающую 0,5 мэкв/г, и характеристическую вязкость менее 1 дл/г. 2. Композиция по п.1, в которой полимер имеет плотность катионных зарядов, превышающую 2 мэкв/г. 3. Композиция по п.1, в которой полимер имеет характеристическую вязкость менее 0,6 дл/г. 4. Композиция по п.1, дополнительно содержащая анионный полимер. 5. Композиция по п.4, содержащая не более 50 мас.% анионного полимера в качестве активного вещества. 6. Композиция по п.1, в которой, по меньшей мере, один из катионного и анионного полимеров имеет гребенчатую структуру. 7. Композиция по п.1, в которой катионный полимер является линейным. 8. Композиция по п.1, в которой катионный полимер содержит катионные группы четвертичного амина. 9. Композиция по п.1, в которой катионный полимер получают путем конденсации эпихлоргидрина с диалкиламином. 10. Композиция по п.9, в которой диалкиламин является диметиламином. 11. Композиция по п.1, в которой катионный полимер получают путем конденсации дициандиамида с формальдегидом. 12. Композиция по п.11, в которой молярное соотношение между формальдегидом и дициандиамидом находится в диапазоне от 0,8:1 до 4:1. 13. Композиция по п.11, в которой катионный полимер можно получить путем конденсации дициандиамида с формальдегидом в присутствии: 14. Композиция по п.13, в которой полиалкиленгликоль имеет следующую формулу (I): 15. Композиция по п.13, в которой полиалкиленгликоль является полиэтиленгликолем. 16. Композиция по п.11, в которой катионный полимер можно получить путем конденсации дициандиамида с формальдегидом в присутствии: 17. Композиция по п.16, в которой полиалкоксилированный поликарбоксилат имеет следующую формулу (II): 18. Композиция по п.16, в которой полиалкоксилированный поликарбоксилат имеет содержание эфира от 10 до 60%. 19. Композиция по п.11, в которой катионный полимер можно получить путем конденсации дициандиамида с формальдегидом в присутствии: 20. Композиция по п.19, в которой ион аммония аммониевого производного имеет следующую формулу (IV): 21. Композиция по п.19, в которой аммониевое производное является хлоридом аммония, сульфатом аммония, иодидом аммония, бромидом аммония, ацетатом аммония. 22. Композиция по п.19, в которой молярное соотношение между соединением С) и дициандиамидом составляет от 1 до 1,5. 23. Композиция по п.1, отличающаяся тем, что она находится в форме водного раствора. 24. Способ нейтрализации глин в песках, предназначенных для приготовления гидравлических композиций, содержащий этап, на котором к гидравлической композиции или к одному из ее компонентов добавляют композицию по п.1. 25. Способ по п.24, в котором гидравлическая композиция является бетоном или строительным раствором. 26. Способ по п.24, в котором гидравлическая композиция не содержит суперпластификатора. 27. Способ по п.24, в котором композицию добавляют в гидравлическую композицию или в один из ее компонентов путем распыления. 28. Способ по п.24, в котором композицию используют в карьере. 29. Способ по п.24, в котором композицию используют на бетонном заводе. 28.06.2005 по пп.1-29.
|
|||||||||||||||||||||||||||||||||||||||||||||||||||||||||||||||||||||||||||||||||||||||||||||||||||||||||||||||||||||||||||||||||||||||||||||||||||||||||||||||||||||||||||||||

1101
i/c с бесконечным разбавлением полимера. Это значение привязывают к средней молекулярной массе полимера.





-азо-бис-(2,4-диметилвалеронитрила) (Vazo 52 фирмы Dupont) в 10,0 г тетрагидрофурана (ТГФ).

.