Патент на изобретение №2361866
|
||||||||||||||||||||||||||
(54) СПОСОБ ПОЛУЧЕНИЯ 2,4-ДИАРИЛОКСИ-6-ТРИНИТРОМЕТИЛ-1,3,5-ТРИАЗИНОВ
(57) Реферат:
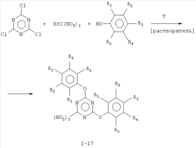
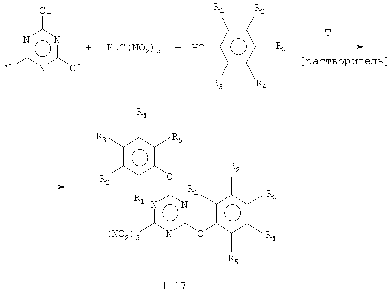
Описывается новый способ получения 2,4-диарилокси-6-тринитрометил-1,3,5- триазинов общей формулы
где R1-R5=H; C1-6алкил, F; Cl; Br; I; NO2; COOAlk, заключающийся в том, что цианурхлорид, соль тринитрометана Kt+C(NO2)3
Изобретение относится к области химии нитрометильных производных гетероцикла 1,3,5-триазина, конкретно – к способу получения 2,4-диарилокси-6-тринитрометил-1,3,5-триазинов общей формулы:
где R1-R5=H; Alk; F; Cl; Вr; I; NO2; COOAlk.
Известный способ (способ-аналог; способ-прототип не обнаружен) введения арилоксигрупп в цикл 1,3,5-триазина заключается во взаимодействии производных 1,3,5-триазина с фенолом или замещенными фенолами, протекающем в присутствии оснований. Взаимодействие 2,4,6-трихлор-1,3,5-триазина (цианурхлорида) с фенолом и замещенными фенолами в среде органических растворителей в присутствии оснований сопровождается в зависимости от количества взятого в реакцию фенола образованием моно-, ди- и триарилоксизамещенных 1,3,5-триазинов [3, 4] [3. Quirke J.M.E. 1,3,5-Triazines. In Comprehensive Heterocyclic Chemistry. Vol.3. Pt. 2B. (Eds. KatrizkyA.R., Rees C.W.) – Oxford: Pergamon Press, 1984. – P. 457-530. 4. Погосян Г.М., Панкратов В.А., Заплишный В.Н., Мацоян С.Г. Политриазины. – Ер.: Издательство АН АрмССР, 1987. – 615 с.]. Взаимодействие 2-амино(алкокси)-4,6-бис(тринитрометил)-1,3,5-триазинов с фенолом и замещенными фенолами в среде органических растворителей в присутствии оснований сопровождается образованием 2-амино(алкокси)-4-арилокси-6-тринитрометил-1,3,5-триазинов [1]. Таким образом, известны способы получения арилоксипроизводных 1,3,5-триазина, содержащих две арилоксигруппы в сочетании с другим заместителем (но не тринитрометильной группой) и содержащих одну арилоксигруппу и одну тринитрометильную группу в сочетании с другими заместителями (но не арилоксигруппой). Однако получение 2,4-диарилокси-6-тринитрометил-1,3,5-триазинов по способу-аналогу в литературе не описано. Техническим результатом изобретения является получение 2,4-диарилокси-6-тринитрометил-1,3,5-триазинов непосредственно из цианурхлорида в одну стадию. Технический результат достигается проведением реакции между цианурхлоридом, солями тринитрометана и фенолом или замещенными фенолами в органическом растворителе. R1-R5=H (1,33%); R1=СН3, R2-R5=H (2,20%); R1=COOCH3, R2-R5=H (3,20%); R1=I, R2-R5=H (4,25%); R1=Cl, R2-R5=H (5,23%); R1=NO2, R2-R5=H (6,35%); R1=H, R2=СН3, R3-R5=H (7,40%); R1=H, R2=COOCH3, R3-R5=Н (8,54%); R1=H, R2=Cl, R3-R5=H (9,52%); R1=H, R2=NO2, R3-R5=Н (10,59%); R1-R2=H, R3=СН3, R4-R5=H (11,49%); R1-R2=H, R3=С(СН3)3, R4-R5=H (12,50%); R1-R2=H, R3=Сl, R4-R5=H (13,56%); R1-R2=H, R3=Вr, R4-R5=H (14,60%); R1-R2=H, R3=СООСН3, R4-R5=H (15,56%); R1-R2=H, R3=NO2, R4-R5=H (16,65%); R1=NO2, R2=H, R3=NO2, R4-R5=H (17,27%). Kt+=K+, Na+, NH4 Выход 2,4-диарилокси-6-тринитрометил-1,3,5-триазинов составляет 20-65% от теории. В качестве органических растворителей для проведения реакции можно использовать ацетонитрил, ацетон. Реакцию можно проводить при температурах от -20°С до +40°С. Порядок смешения реактантов (цианурхлорид, соль тринитрометана, фенол или замещенные фенолы) не имеет существенного значения. Для лучшего понимания предлагаемого способа рассмотрим пример синтеза 2,4-диарилокси-6-тринитрометил-1,3,5-триазинов. Пример 1. К раствору 1,84 г (0,01 моль) цианурхлорида в 16 мл ацетона при перемешивании и температуре 18-22°С присыпают 0,04 моля соли тринитрометана Kt+C(NO2)3 Таким образом, предлагаемый способ позволяет: – получать 2,4-диарилокси-6-тринитрометил-1,3,5-триазины из цианурхлорида, солей тринитрометана и фенола или замещенных фенолов в одну стадию.
Формула изобретения
Способ получения 2,4-диарилокси-6-тринитрометил-1,3,5-триазинов общей формулы
|
||||||||||||||||||||||||||

8, с.9-15. Погосян Г.М. и др. Политриазины, издательство АН Арм. ССР, 1987, с.615. RU 95108543 А1, 27.12.1996. ЕР 545149 А1, 09.06.1993.
–, где Кt+ – катион и R1, R2, R3, R4, R5 – замещенный фенол, где R1-R5 имеют вышеуказанные значения, подвергают взаимодействию в среде инертного органического растворителя, такого как ацетон или ацетонитрил. Полученные соединения могут использоваться в качестве биологически активных веществ и/или полупродуктов в синтезе последних. Способ осуществляют в одну стадию с выходом 20-65% целевого продукта. 1 табл.
=18-160 часов; растворитель: ацетонитрил, ацетон; ЦХ:KtС(NO2)3:фенол = 1:4:2-3,5 (в молях).



