|
|
(21), (22) Заявка: 2005136655/04, 14.04.2004
(24) Дата начала отсчета срока действия патента:
14.04.2004
(30) Конвенционный приоритет:
25.04.2003 EP 03009384.3
(43) Дата публикации заявки: 10.06.2006
(46) Опубликовано: 20.07.2009
(56) Список документов, цитированных в отчете о поиске:
RU 2181360 C2, 20.04.2002. DE 4239440 A1, 09.06.1993. ЕР 1170594 А1, 09.01.2002. SUGIMOTO H. ET AL. “An Orally Bioavailable Small Molecule Antagonist of CRTH2” J. of Pharmacology and experimental therapeutics, 2003, v.305, 1, p.347-352.
(85) Дата перевода заявки PCT на национальную фазу:
25.11.2005
(86) Заявка PCT:
EP 2004/003910 20040414
(87) Публикация PCT:
WO 2004/096777 20041111
Адрес для переписки:
129090, Москва, ул. Б.Спасская, 25, стр.3, ООО “Юридическая фирма Городисский и Партнеры”, пат.пов. Е.Е.Назиной
|
(72) Автор(ы):
ЛАЙ Тай-вэй (JP), КОРИЯМА Юдзи (JP), ЙОСИНО Такаси (JP), САТО Хироки (JP), ТАНАКА Казухо (JP), СУГИМОТО Хироми (JP), МАНАБЕ Йосихиса (JP), БЕЙКОН Кевин (JP), УРБАНС Клаус (JP), СЕКИ Масанори (JP), СИНТАНИ Такуя (JP)
(73) Патентообладатель(и):
АКТИМИС ФАРМАСЬЮТИКАЛЗ, ИНК, (US)
|
(54) ПРОИЗВОДНЫЕ ПИРИМИДИНА, ОБЛАДАЮЩИЕ СВОЙСТВАМИ АНТАГОНИСТА СRTH2 (ВАРИАНТЫ)
(57) Реферат:
Изобретение относится к новым производным пиримидина формулы (I), их таутомерной или стереоизомерной форме, в свободном виде, в виде фармацевтически приемлемой соли или C1-6алкильного сложного эфира, которые являются эффективными антагонистами CRTH2 (G-протеин-связанный хемоаттрактантный рецептор, экспрессированный на клетках Th2) и могут быть использованы для профилактики и лечения заболеваний, связанных с активностью CRTH2, в частности при лечении аллергических заболеваний, таких как астма, аллергические риниты, атопические дерматиты, заболевания, связанные с эозинофилами. В формуле (I)
 
R1 представляет собой водород,
, , , , или 
в которых n представляет собой целое число от 0 до 6; -Q1– представляет собой -NH-, -N(С1-6алкил)- или -O-; Y представляет собой водород, C1-6алкил, С3-6циклоалкил, необязательно замещенный C1-6алкилом, С3-6циклоалкил, конденсированный с бензольным циклом, фенил, нафтил или 5-6-членный гетероарил, возможно конденсированный с бензольным кольцом и содержащий по меньшей мере один гетероатом, выбранный из группы, состоящей из кислорода и азота, где указанные фенил, нафтил и гетероарил необязательно замещены по замещаемому положению одним или несколькими заместителями, выбранными из группы, состоящей из циано, галогена, нитро, гуанидино, пирролила, сульфамоила, фенилокси, фенила, ди(С1-6)алкиламино, C1-6алканоиламино, C1-6алкила, необязательно моно-, ди- или тризамещенного галогеном, C1-6алкокси, необязательно моно-, ди- или тризамещенного галогеном, и C1-6алкилтио, необязательно моно-, ди- или тризамещенного галогеном или фенилом, конденсированным с 1,3-диоксоланом; R2 представляет собой водород или C1-6алкил; R3 представляет собой галоген, C1-6алкокси, необязательно моно-, ди- или тризамещенный галогеном,
, , или 
R3a и R3b независимо представляет собой
С3-8циклоалкил или С1-6алкил, этот C1-6алкил необязательно замещен гидрокси, карбокси,
С3-6циклоалкилкарбамоилом, C5-6гетероциклокарбонилом, содержащим в качестве гетероатома азот, или С1-6алкокси, q представляет собой целое число от 1 до 3; R3c представляет собой водород, гидрокси или карбокси; Ха представляет собой -O-; R4 представляет собой водород, галоген, ди(С1-6алкил)амино или C1-6алкил, необязательно замещенный C1-6алкокси или моно-, ди- или тризамещенный галогеном; R5 представляет собой водород или C1-6алкил; и
R6 представляет собой карбокси, карбоксамид, нитрил или тетразолил. 5 н. и 27 з.п. ф-лы, 9 табл.
Подробное описание изобретения
Область техники, к которой относится изобретение
Настоящее изобретение относится к производному пиримидина, которое применимо в качестве активного компонента фармацевтических препаратов. Производное пиримидина по настоящему изобретению обладает антагонистической активностью по отношению к CRTH2 (G-протеин-связанный хемоаттрактантный рецептор, экспрессированный на Th2 клетках) и может быть использовано для профилактики и лечения болезней, связанных с активностью CRTH2, в частности для лечения аллергических заболеваний, таких как астма, аллергический ринит, атопический дерматит и аллергический конъюнктивит; заболевания, связанные с эозинофилами, такие как синдром Черджа-Стросса и синусит; заболевания, связанные с базофилами, такие как базофильный лейкоз, хроническая крапивница и базофильный лейкоцитоз у человека и других млекопитающих; и воспалительные заболевания, отличающиеся Т-лимфоцитами и профузными лейкоцитарными инфильтратами, такими как псориаз, экзема, воспалительные заболевания кишечника, неспецифический язвенный колит, болезнь Крона, COPD (хроническое обструктивное заболевание легких) и артрит.
Уровень техники
CRTH2 представляет собой G-протеин-связанный хемоаттрактантный рецептор, экспрессированный на Th2 клетках (Nagata et al. J. Immunol., 162, 1278-1286, 1999), эозинофилы и базофилы (Hirai et al., J. Exp. Med., 193, 255-261, 2001).
Th2-поляризацию наблюдали при аллергических заболеваниях, таких как астма, аллергический ринит, атопический дерматит и аллергический конъюнктивит (Romagnani S. Immunology Today, 18, 263-266, 1997; Hammad H. et al., Blood, 98, 1135-1141, 2001). Th2 клетки регулируют аллергические заболевания посредством продуцирования Th2 цитокинов, таких как IL-4, IL-5 и IL-13 (Oriss et al., J. Immunol., 162, 1999-2007, 1999; Viola et al., Blood, 91, 2223-2230, 1998; Webb et al., J. Immunol., 165, 108-113, 2000; Dumont F.J., Exp. Opin. Ther. Pat., 12, 341-367, 2002). Эти Th2 цитокины прямо или косвенно стимулируют миграцию, активацию, примирование и пролонгированную выживаемость эффекторных клеток, таких как эозинофилы и базофилы, при аллергических заболеваниях (Sanz et al., J. Immunol., 160, 5637-5645, 1998; Pope et al., J. Allergy Clin. Immunol., 108, 594-601, 2001; Teran L.M., Clin. Exp. Allergy, 29, 287-290, 1999).
PGD2, лиганд CRTH2, продуцируется из мастоцитов и других имеющих значение эффекторных клеток при аллергических заболеваниях (Nagata et al., FEBS Lett. 459, 195-199, 1999; Hirai et al., J. Exp. Med., 193, 255-261, 2001). PGD2 через CRTH2 стимулирует миграцию и активацию Th2 клеток, эозинофилов и базофилов в человеческих клетках (Hirai et al., J. Exp. Med., 193, 255-261, 2001; Gervais et al., J. Allergy Clin. Immunol., 108, 982-988, 2001; Sugimoto et al., J. Pharmacol. Exp. Ther., 305, (1), 347-52, 2003).
Поэтому антагонисты, которые ингибируют связывание CRTH2 и PGD2, должны быть пригодными для лечения аллергических заболеваний, таких как астма, аллергический ринит, атопический дерматит и аллергический конъюнктивит.
В дополнение, несколько серий экспериментальных данных показали вклад эозинофильных лейкоцитов в синусит (Hamilos et al., Am. J. Respir. Cell and Мol. Biol., 15, 443-450, 1996; Fan et al., J. Allergy Clin. Immunol., 106, 551-558, 2000) и синдром Черджа-Стросса (Coff1Н et al., J. Allergy Clin. Immunol., 101, 116-123, 1998; Kurosawa et al., Allergy, 55, 785-787, 2000). В тканях этих больных можно наблюдать совместную локализацию мастоцитов и эозинофилов (Khan et al., J. Allergy Clin. Immunol., 106, 1096-1101, 2000). Это предполагает, что продуцирование PGD2 из мастоцитов стимулирует рекрутирование эозинофильных лейкоцитов. Поэтому антагонисты CRTH2 также оказываются пригодными для лечения других заболеваний, связанных с эозинофильными лейкоцитами, таких как синдром Черджа-Стросса и синусит. Антагонисты CRTH2 также могут оказаться применимыми при лечении некоторых заболеваний, связанных с базофильными лейкоцитами, таких как базофильный лейкоз, хроническая крапивница и базофильный лейкоцитоз, вследствие высокой экспрессии CRTH2 на базофильных клетках.
Ordukhanyan, A. A et al. описывают синтез производного пиримидина, представляемого общей формулой:

где
R = алкил
R’ = H или алкил,
в качестве интермедиата при получении противоопухолевого средства (Химико-фармацевтический журнал (1979), 13(9), 36-40).
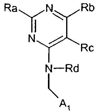
GB2262096 описывает производное пиримидина, представляемого общей формулой:

где
A1, Ra, Rb, Re и Rd определены в заявке, в качестве антагониста ангиотензина II .
Однако ни одна из этих и других ссылок не описывает производные пиримидина, обладающие антагонистической активностью по отношению к CRTH2.
Настоятельно требуется создание соединения, которое обладает эффективной антагонистической активностью по отношению к CRTH2 и может быть использовано для профилактики и лечения болезней, связанных с активностью CRTH2.
СУЩНОСТЬ ИЗОБРЕТЕНИЯ
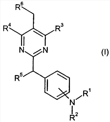
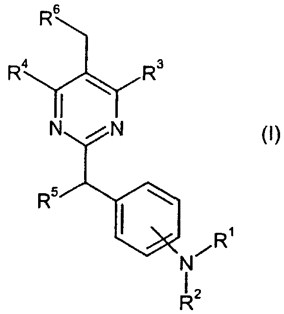
Целью данного изобретения является получение производного пиримидина формулы (I), его таутомерной и стереоизомерной форм, или солей, сложных эфиров или пролекарств:

где
R1 представляет собой водород
, , , , или 
где
n представляет собой целое число от 0 до 6;
-Q1– представляет собой -NH-, -N(С1-6 алкил)- или -O-;
Y представляет собой водород, C3-8 циклоалкил, необязательно замещенный C1-6 алкилом, C3-8 циклоалкил, конденсированный с бензольным циклом, арил или гетероарил, где указанные арил и гетероарил являются необязательно замещенными по замещаемому положению одним или несколькими заместителями, выбранными из группы, состоящей из циано, галогена, нитро, гуанидино, пирролила, сульфамоила,
C1-6алкиламиносульфонила, ди(C1-6алкил)аминосульфонила, фенилокси, фенила, амино,
C1-6алкиламино, ди(C1-6)алкиламино, C1-6алкоксикарбонила, C1-6алканоила,
C1-6 алканоиламино, карбамоила, C1-6алкилкарбамоила, ди(C1-6алкил)карбамоила, C1-6алкилсульфонила, C1-6алкила, необязательно моно-, ди- или тризамещенного галогеном, C1-6 алкокси, необязательно моно-, ди- или тризамещенного галогеном, и
C1-6алкилтио, необязательно моно-, ди- или тризамещенного галогеном или арилом, конденсированным с 1,3-диоксоланом;
R2 представляет собой водород или C1-6 алкил;
R3 представляет собой галоген, C1-6алкокси, необязательно замещенный моно-, ди- или тригалогеном,
, , или 
где
R3a и R3b независимо представляют C3-8 циклоалкил или C1-6 алкил и где C1-6 алкил необязательно замещен карбокси, C3-8 циклоалкилом, карбамоилом, C1-6алкилкарбамоилом, арилзамещенным C1-6 алкилкарбамоилом, C1-6алкилкарбамоилом, ди(C1-6алкил)карбамоилом, C3-8циклоалкилкарбамоилом, C3-8гетероциклокарбонилом, (C1-6) алкиламино, ди(C1-6алкил)амино или C1-6 алкокси,
q представляет собой целое число от 1 до 3;
R3c представляет собой водород, гидрокси, карбокси или C1-6 алкил, необязательно замещенный гидрокси, карбокси или (фенил-замещенным C1-6 алкил)карбамоилом;
Xa представляет собой -O-, -S- или -N(R3d)-,
где
R3d представляет собой C1-6 алкил;
R4 представляет собой водород, галоген, C1-6алкокси, ди(C1-6 алкил)амино или C1-6алкил, необязательно замещенный C1-6алкокси или моно-, ди- или тризамещенный галогеном;
R5 представляет собой водород или C1-6 алкил; и
R6 представляет собой карбокси, карбоксамид, нитрил или тетразолил.
В одном варианте осуществления соединения формулы(I) являются такими, в которых:
R1 представляет собой
, или 
где
n представляет собой целое число, от 0 до 2;
-Q,- представляет собой -NH-, -N(C1-6 алкил)- или -O-;
Y представляет собой C1-6алкил, C3-8 циклоалкил, необязательно замещенный C1-6алкилом, C3-8циклоалкил, конденсированный с бензольным циклом, выбранный из группы, состоящей из инденила и тетрагидронафтила, арил, выбранный из группы, состоящей из фенила и нафтила, или гетероарил, выбранный из группы, состоящей из индолила, хинолила, бензофурила, фуранила, хроманила и пиридила, в которой указанные арил и гетероарил необязательно замещены в замещаемой позиции одним или несколькими заместителями, выбранными из группы, состоящей из циано, галогена, нитро, пирролила, сульфамоила, C1-6 алкиламиносульфонила, ди(C1-6 алкил)аминосульфонила, фенилокси, фенила, C1-6алкиламино, ди(C1-6алкил)амино, C1-6алкоксикарбонила, C1-6 алканоиламино, карбамоила, C1-6алкилкарбамоила, ди(C1-6 алкил)карбамоила, C1-6 алкилсульфонила, C1-6 алкила, необязательно моно-, ди- или тризамещенного галогеном, C1-6 алкокси, необязательно моно-, ди-, или тризамещенного галогеном, и C1-6 алкилтио, необязательно моно-, ди-, или тризамещенного галогеном; и
R2 представляет собой водород.
В еще одном варианте осуществления соединения формулы (I) являются такими соединениями, в которых:
R3 представляет собой C1-6алкокси, необязательно моно-, ди-, или тризамещенный галогеном,
, , , или
в которых:
R3a и R3b независимо представляют собой C1-6алкил, необязательно замещенный карбокси, гидрокси, C3-8циклоалкилом, карбамоилом, C1-6алкилкарбамоилом, ди(C1-6алкил)карбамоилом, C3-8 циклоалкилкарбамоилом, C3-8гетероциклокарбонилом, (C1-6) алкиламино, ди(C1-6алкил)амино или C1-6 алкокси,
R3c представляет собой водород, гидрокси, карбокси, или C1-6 алкил, необязательно замещенный гидрокси, карбокси или (фенилзамещенным C1-6 алкил)карбамоилом; и
Xa представляет собой -O-, -S- или -N(R3d),
в котором:
R3d является C1-6 алкилом.
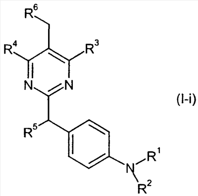
В еще одном варианте осуществления соединения формулы (I-i) являются такими, в которых:

R1 представляет собой
, , , , или 
в которых
n представляет собой целое число, от 0 до 2;
-Q1– представляет собой -NH-, -N(C1-6 алкил)- или -O-;
Y представляет собой фенил, нафтил, индолил, хинолил, бензофуранил, фуранил или пиридил, где указанные фенил, нафтил, индолил, хинолил, бензофуранил, фуранил и пиридил необязательно замещенны в замещаемую позицию одним или двумя заместителями, выбранными из группы, состоящей из циано, галогена, нитро, фенилокси, фенила, C1-6алкила, необязательно замещенного моно-, ди- или тригалогеном, C1-6 алкокси, необязательно замещенного моно, ди- или тригалогеном, и C1-6 алкилтио, необязательно замещенного моно-, ди- или тригалогеном;
R2 представляет собой водород или C1-6 алкил;
R3 представляет собой
или
где
R3a и R3b независимо представляют собой C3-8 циклоалкил или C1-6алкил, необязательно замещенный C3-8 циклоалкилом, карбамоилом, C1-6алкилкарбамоилом, фенилзамещенным C1-6алкилкарбамоилом, C1-6алкилкарбамоилом, ди(C1-6алкил)карбамоилом, C3-8 циклоалкилкарбамоилом,
C3-8гетероциклокарбонилом, (C1-6алкил)амино, ди(C1-6алкил)амино или C1-6 алкокси,
R3с представляет собой водород, гидрокси, карбокси или C1-6 алкил, необязательно замещенный гидрокси, карбокси или (фенилзамещенным C1-6 алкил)карбамоилом;
R4 представляет собой водород, хлор, бром, C1-6алкокси, ди(C1-6 алкил)амино или
C1-6 алкил;
R5 представляет собой атом водорода или метил;
R6 представляет собой карбокси или тетразолил.
Предпочтительными соединениями по настоящему изобретению являются нижеследующие соединения:
{4-хлор-6-(диметиламино)-2-[4-(2-нафтоиламино)бензил]-5-пиримидинил}уксусная кислота;
{4-хлор-6-{метил[2-оксо-2-(1-пирролидинил)этил]амино}-2-[4-(2-нафтоиламино)бензил]-5-пиримидинил}уксусная кислота;
{4-хлор-6-[[2-(изопропиламино)-2-оксоэтил](метил)амино]-2-[4-(2-нафтоиламино)бензил]-5-пиримидинил}уксусная кислота;
{4-хлор-6-[[2-(циклогексиламино)-2-оксоэтил]метил)амино]-2-[4-(2-нафтоиламино)бензил]-5-пиримидинил}уксусная кислота;
{2-[4-(бензоиламино)бензил]-4-хлор-6-[[2-циклопентиламино)-2-оксоэтил](метил)амино]-5-пиримидинил}уксусная кислота;
{4-хлор-2-{4-[(циклогексилацетил)амино]бензил}-6-[[2-(циклопентиламино)-2-оксоэтил](метил)амино]-5-пиримидинил}уксусная кислота;
(4-хлор-6-[[2-(циклопентиламино)-2-оксоэтил](метил)амино]-2-{4-[(3-фенилпропаноил)амино]бензил}-5-пиримидинил)уксусная кислота;
[4-хлор-6-[[2-(циклопентиламино)-2-оксоэтил](метил)амино]-2-(4-{[(4-метилфенил)ацетил]амино}бензил)-5-пиримидинил]уксусная кислота;
(4-хлор-6-[[2-(циклопентиламино)-2-оксоэтил](метил)амино]-2-{4-[(2-хинолинилкарбонил)амино]бензил}-5-пиримидинил)уксусная кислота;
[4-хлор-6-[[2-(циклопентиламино)-2-оксоэтил](метил)амино]-2-(4-{[(2E)-3-фенил-2-пропеноил]амино}бензил)-5-пиримидинил]уксусная кислота;
{4-хлор-2-{4-[(4-хлорбензоил)амино]бензил}-6-6-[[2-(циклопентиламино)-2-оксоэтил](метил)амино]-5-пиримидинил}уксусная кислота;
{4-хлор-6-[[2-(циклопентиламино)-2-оксоэтил](метил)амино]-2-{4-[(3,4-дихлорбензоил)амино]бензил}-5-пиримидинил}уксусная кислота;
{4-хлор-6-[[2-(циклопентиламино)-2-оксоэтил](метил)амино]-2-{4-[(4-метоксибензоил)амино]бензил}-5-пиримидинил}уксусная кислота;
{4-хлор-6-[[2-(циклопентиламино)-2-оксоэтил](метил)амино]-2-{4-[(4-метилбензоил)амино]бензил}-5-пиримидинил}уксусная кислота;
{4-хлор-6-[[2-(циклопентиламино)-2-оксоэтил](метил)амино]-2-[4-(1-нафтоиламино)бензил]-5-пиримидинил}уксусная кислота;
{2-{4-[(1-бензофуран-2-илкарбонил)амино]бензил}-4-хлор-6-[[2-(циклопентиламино)-2-оксоэтил](метил)амино]-5-пиримидинил}уксусная кислота;
{4-хлор-6-[[2-(циклопентиламино)-2-оксоэтил](метил)амино]-2-{4-[(1H-индол-2-илкарбонил)амино]бензил}-5-пиримидинил}уксусная кислота;
{4-хлор-2-{4-[(4-цианобензоил)амино]бензил}-6-[[2-(циклопентиламино)-2-оксоэтил](метил)амино]-5-пиримидинил}уксусная кислота;
{4-хлор-6-[[2-(циклопентиламино)-2-оксоэтил](метил)амино]-2-{4-[(2,3-дигидро-1H-инден-2-илацетил)амино]бензил}-5-пиримидинил}уксусная кислота;
[4-хлор-6-[[2-(циклопентиламино)-2-оксоэтил](метил)амино]-2-(4-{[(3-феноксифенил)ацетил]амино}бензил)-5-пиримидинил]уксусная кислота;
[4-хлор-6-[[2-(циклопентиламино)-2-оксоэтил](метил)амино]-2-(4-{[(4-феноксифенил)ацетил]амино}бензил)-5-пиримидинил]уксусная кислота;
(4-хлор-6-(диметиламино)-2-{4-[(2-хинолинилкарбонил)-амино]бензил}-5-пиримидинил)уксусная кислота;
[4-хлор-6-(диметиламино)-2-(4-{[(2E)-3-фенил-2-пропеноил]амино}бензил)-5-пиримидинил]уксусная кислота;
[4-хлор-2-{4-[(3,4-дихлорбензоил)амино]бензил}-6-(диметиламино)-5-пиримидинил]уксусная кислота;
[4-хлор-2-{4-[(4-хлорбензоил)амино]бензил}-6-(диметиламино)-5-пиримидинил]уксусная кислота;
(4-хлор-6-(диметиламино)-2-{4-[(4-метоксибензоил)амино]-бензил}-5-пиримидинил)уксусная кислота;
[4-хлор-6-(диметиламино)-2-(4-{[4-(диметиламино)бензоил]-амино}бензил)-5- пиримидинил]уксусная кислота;
[4-хлор-2-{4-[(3,4-диметоксибензоил)амино]бензил}-6-(диметиламино)-5-пиримидинил]уксусная кислота;
[4-хлор-6-(диметиламино)-2-(4-{[4-(трифторметил) бензоил]-амино}бензил)-5-пиримидинил]уксусная кислота;
[4-хлор-2-(4-{[(2E)-3-(4-хлорфенил)-2-пропеноил]амино}-бензил)-6-(диметиламино)-5-пиримидинил]уксусная кислота;
[2-{4-[(4-бромбензоил)амино]бензил}-4-хлор-6-(диметиламино)-5-пиримидинил]уксусная кислота;
[4-хлор-2-{4-[(2,5-дихлорбензоил)амино]бензил}-6-(диметиламино)-5-пиримидинил]уксусная кислота;
[4-хлор-2-{4-[(3,4-дифторбензоил)амино]бензил}-6-(диметиламино)-5-пиримидинил]уксусная кислота;
[4-хлор-2-{4-[(3,5-дихлорбензоил)амино]бензил}-6-(диметиламино)-5-пиримидинил]уксусная кислота;
[4-хлор-2-{4-[(3-хлорбензоил)амино]бензил}-6-диметиламино)-5-пиримидинил]уксусная кислота;
(4-хлор-6-(диметиламино)-2-{4-[(3-метоксибензоил)амино]бензил}-5-пиримидинил)уксусная кислота;
{4-хлор-6-(диметиламино)-2-[3-(2-нафтоиламино)бензил]-5-пиримидинил]уксусная кислота;
[2-(4-{[(4-трет-бутилциклогексил)карбонил]амино}бензил)-4-хлор-6-(диметиламино)-5-пиримидинил]уксусная кислота;
[4-хлор-2-{4-[(4-нитробензоил)амино]бензил}-6-(1-пирролидинил)-5-пиримидинил]уксусная кислота;
[2-(4-{[4-(ацетиламино)бензоил]амино}бензил)-4-хлор-6-(1-пирролидинил)-5-пиримидинил]уксусная кислота;
[4-хлор-2-{4-[(4-феноксибензоил)амино]бензил}-6-(1-пирролидинил)-5-пиримидинил]уксусная кислота;
[4-хлор-2-{4-[(4-изопропоксибензоил)амино]бензил}-6-(1-пирролидинил)-5-пиримидинил]уксусная кислота;
[4-хлор-6-(1-пирролидинил)-2-(4-{[4-(1H-пиррол-1-ил) бензоил]амино}бензил)-5-пиримидинил]уксусная кислота;
[4-хлор-2-{4-[(4-метокси-3-нитробензоил)амино]бензил}-6-(1-пирролидинил)-5-пиримидинил]уксусная кислота;
[4-хлор-2-{4-[(4-метокси-3,5-диметилбензоил)амино]бензил}-6-(1-пирролидинил)-5-пиримидинил]уксусная кислота;
[4-хлор-2-(4-{[(2E)-3-фенил-2-пропеноил]амино}бензил)-6-(1-пирролидинил)-5-пиримидинил]уксусная кислота;
[4-хлор-2-{4-[(3,4-дихлорбензоил)амино]бензил}-6-(1-пирролидинил)-5-пиримидинил]уксусная кислота;
{4-хлор-6-[[2-(циклопентиламино)-2-оксоэтил](метил)амино]-2-[4-(2-нафтоиламино)бензил]-5-пиримидинил}уксусная кислота;
(4-хлор-2-{4-[(4-хлорбензоил)амино]бензил}-6-пирролидин-1-илпиримидин-5-ил)уксусная кислота;
[4-хлор-6-пирролидин-1-ил-2-(4-{[4-(трифторметил)бензоил]амино}бензил)пиримидин-5-ил]уксусная кислота;
[4-хлор-2-(4-{[(2E)-3-(4-хлорфенил)проп-2-еноил]амино}бензил)-6-пирролидин-1-илпиримидин-5-ил]уксусная кислота;
{4-хлор-6-[(2-гидроксиэтил)(метил)амино]-2-[4-(2-нафтоиламино)бензил]пиримидин-5-ил}уксусная кислота;
[4-хлор-2-(4-{[(2S)-3,4-дигидро-2H-хромен-2-илкарбонил]-амино}бензил)-6-(диметиламино)пиримидин-5-ил]уксусная кислота;
{4-хлор-6-(диметиламино)-2-[4-({(2E)-3-[4-(трифторметил)-фенил]проп-2-еноил}амино)бензил]пиримидин-5-ил}уксусная кислота;
{4-(диметиламино)-2-[4-(2-нафтоиламино)бензил]-5-пиримидинил}уксусная кислота;
{4-[[2-(циклопентиламино)-2-оксоэтил](метил)амино]-2-[4-(2-нафтоиламино)бензил]-5-пиримидинил}уксусная кислота;
{4-{метил[2-оксо-2-(1-пирролидинил)этил]амино}-2-[4-(2-нафтоиламино)бензил]-5-пиримидинил}уксусная кислота;
{2-[4-(бензоиламино)бензил]-4-[[2-(циклопентиламино)-2-оксоэтил](метил)амино]-5-пиримидинил}уксусная кислота;
[4-[[2-(циклопентиламино)-2-оксоэтил](метил)амино]-2-(4-{[(2E)-3-фенил-2-пропеноил]амино}бензил)-5-пиримидинил]уксусная кислота;
[2-{4-[(4-хлорбензоил)амино]бензил}-4-(диметиламино)-5-пиримидинил]уксусная кислота;
(4-(диметиламино)-2-{4-[(4-метоксибензоил)амино]бензил}-5-пиримидинил]уксусная кислота;
[2-{4-[(3,4-дихлорбензоил)амино]бензил}-4-(диметиламино)-5-пиримидинил]уксусная кислота;
(4-(диметиламино)-2-{4-[(2-хинолинилкарбонил)амино]бензил}-5-пиримидинил)уксусная кислота;
[4-(диметиламино)-2-(4-{[(2E)-3-фенил-2-пропеноил]амино}бензил)-5-пиримидинил]уксусная кислота;
[2-(4-{[(2E)-3-(4-хлорфенил)-2-пропеноил]амино}бензил)-4-(диметиламино)-5-пиримидинил]уксусная кислота;
[4-(диметиламино)-2-(4-{[4-(трифторметил)бензоил]амино}бензил)-5-пиримидинил]уксусная кислота;
(4-(диметиламино)-2-{4-[(3-метоксибензоил)амино]бензил}-5-пиримидинил]уксусная кислота;
[2-{4-[(3-хлорбензоил)амино]бензил}-4-(диметиламино)-5-пиримидинил]уксусная кислота;
[2-{4-[(4-бромбензоил)амино]бензил}-4-(диметиламино)-5-пиримидинил}уксусная кислота;
{4-(диметиламино)-2-[4-({(2E)-3-[4-(трифторметил)фенил]проп-2-еноил}амино)бензил]пиримидин-5-ил}уксусная кислота;
(4-(диметиламино)-2-{1-[4-(2-нафтоиламино)фенил]этил}пиримидин-5-ил)уксусная кислота;
[4-(диметиламино)-2-(4-{[4-(трифторметокси)бензоил]амино}бензил)пиримидин-5-ил]уксусная кислота;
(4-(диметиламино)-2-{4-[(4-фторбензоил)амино]бензил}пиримидин-5-ил)уксусная кислота;
[2-(1-{4-[(3,4-дихлорбензоил)амино]фенил}этил)-4-(диметиламино)пиримидин-5-ил]уксусная кислота;
{4-(диметиламино)-2-[1-(4-{[4-(трифторметил)бензоил]амино}фенил)этил]пиримидин-5-ил]уксусная кислота;
{4-(диметиламино)-2-[1-(4-{[(2E)-3-фенилпроп-2-еноил]амино}фенил)этил]пиримидин-5-ил}уксусная кислота;
[4-(диметиламино)-2-(1-{4-[(хинолин-2-илкарбонил)амино]фенил}этил)пиримидин-5-ил]уксусная кислота;
[2-(1-{4-[(4-хлорбензоил)амино]фенил}этил)-4-(диметиламино)пиримидин-5-ил]уксусная кислота;
[4-(диметиламино)-2-(1-{4-[(4-фторбензоил)амино]фенил}этил)пиримидин-5-ил]уксусная кислота;
(4-пирролидин-1-ил-2-{4-[(хинолин-2-илкарбонил)амино]бензил}пиримидин-5-ил)уксусная кислота;
(2-{4-[(4-хлорбензоил)амино]бензил}-4-пирролидин-1-илпиримидин-5-ил)уксусная кислота;
(2-{4-[(4-фторбензоил)амино]бензил}-4-пирролидин-1-илпиримидин-5-ил)уксусная кислота;
[4-пирролидин-1-ил-2-(4-{[4-(трифторметил)бензоил]амино}бензил)пиримидин-5-ил)уксусная кислота;
{2-[4-(2-нафтоиламино)бензил]-4-пирролидин-1-илпиримидин-5-ил}уксусная кислота;
натрий (2-{4-[(3-метилбутаноил)амино]бензил}-4-пирролидин-1-илпиримидин-5-ил)ацетат;
(2-{4-[(3,3-диметилбутаноил)амино]бензил}-4-пирролидин-1-илпиримидин-5-ил)уксусная кислота;
[4-хлор-2-[4-(2-нафтоиламино)бензил]-6-(1-пирролидинил)-5-пиримидинил]уксусная кислота;
N-{5-(карбоксиметил)-6-хлор-2-[4-(2-нафтоиламино)бензил]-4-пиримидинил}-N-метилглицин;
{4-хлор-6-[циклогексил(метил)амино]-2-[4-(2-нафтоиламино)бензил]-5-пиримидинил}уксусная кислота;
{4-хлор-6-[изопропил(метил)амино]-2-[4-(2-нафтоиламино) бензил]-5-пиримидинил}уксусная кислота;
{4-хлор-6-[(2-метоксиэтил)(метил)амино]-2-[4-(2-нафтоиламино)бензил]-5-пиримидинил}уксусная кислота;
{4-хлор-6-(4-морфолинил)-2-[4-(2-нафтоиламино)бензил]-5-пиримидинил]уксусная кислота;
[4-хлор-2-[4-(2-нафтоиламино)бензил]-6-(1-пиперидинил)-5-пиримидинил]уксусная кислота;
(4-хлор-6-(диметиламино)-2-{4-[(1H-индол-6-илкарбонил)амино]бензил}-5-пиримидинил}уксусная кислота;
{4-хлор-6-метокси-2-[4-(2-нафтоиламино)бензил]-5-пиримидинил}уксусная кислота;
{4-хлор-6-(2,5-дигидро-1H-пиррол-1-ил)-2-[4-(2-нафтоиламино)бензил]-5-пиримидинил}уксусная кислота;
{4-хлор-6-(диэтиламино)-2-[4-(2-нафтоиламино)бензил]-5-пиримидинил}уксусная кислота;
{4-хлор-6-[этил(метил)амино]-2-[4-(2-нафтоиламино)бензил]-5-пиримидинил}уксусная кислота;
{4-хлор-6-(3-гидрокси-1-пирролидинил)-2-[4-(2-нафтоиламино)бензил]-5-пиримидинил}уксусная кислота;
1-{5-(карбоксиметил)-6-хлор-2-[4-(2-нафтоиламино)бензил]-4-пиримидинил}-L-пролин;
[4-хлор-2-(4-{[4-(метилтио)бензоил]амино}бензил)-6-(1-пирролидинил)-5-пиримидинил}уксусная кислота;
[4-хлор-2-{4-[(3-хлор-4-метоксибензоил)амино]бензил}-6-(1-пирролидинил)-5-пиримидинил]уксусная кислота;
{2-{4-[(анилинокарбонил)амино]бензил}-4-хлор-6-[[2-(циклопентиламино)-2-оксоэтил](метил)амино]-5-пиримидинил}уксусная кислота;
{2-(4-{[(бензиламино)карбонил]амино}бензил)-4-хлор-6-[[2-(циклопентиламино)-2-оксоэтил](метил)амино]-5-пиримидинил)уксусная кислота;
{4-хлор-6-[[2-(циклопентиламино)-2-оксоэтил](метил)амино]-2-[4-({[(2-фенилэтил)амино]карбонил}амино)бензил]-5-пиримидинил}уксусная кислота;
[4-хлор-6-[[2-(циклопентиламино)-2-оксоэтил](метил)амино]-2-(4-{[(2-нафтиламино)карбонил]амино}бензил)-5-пиримидинил]уксусная кислота;
[2-(4-{[(бензиламино)карбонил]амино}бензил)-4-(диметиламино)пиримидин-5-ил]уксусная кислота;
[2-[4-({[бензил(метил)амино]карбонил)амино)бензил]-4-(диметиламино)пиримидин-5-ил]уксусная кислота;
{4-(диметиламино)-6-(4-морфолинил)-2-[4-(2-нафтоиламино)бензил]-5-пиримидинил}уксусная кислота;
[4,6-бис(диметиламино)-2-(4-{[4-(трифторметил)бензоил]-амино}бензил) пиримидин-5-ил]уксусная кислота;
{4,6-бис(диметиламино)-2-[4-(2-нафтоиламино)бензил]-5-пиримидинил}уксусная кислота;
[4-(диметиламино)-2-[4-(2-нафтоиламино)бензил]-6-(1-пирролидинил)-5-пиримидинил}уксусная кислота;
[4-(диметиламино)-2-[4-(2-нафтоиламино)бензил]-6-(1-пиперидинил)-5-пиримидинил]уксусная кислота;
[2-{4-[(3,4-дихлорбензоил)амино]бензил}-4,6-бис(диметиламино)пиримидин-5-ил]уксусная кислота;
[4,6-бис(диметиламино)-2-(4-{[(2E)-3-фенилпроп-2-еноил]амино}бензил)пиримидин-5-ил]уксусная кислота;
[2-(4-{[(2E)-3-(4-хлорфенил)проп-2-еноил]амино}бензил)-4,6-бис(диметиламино)пиримидин-5-ил]уксусная кислота;
[2-(4-{[(2E)-3-(4-хлорфенил)проп-2-еноил]амино}бензил)-4-(диметиламино)-6-пирролидин-1-илпиримидин-5-ил]уксусная кислота;
[4-(диметиламино)-2-(4-{[(2E)-3-фенилпроп-2-еноил]амино}-бензил)-6-пирролидин-1-илпиримидин-5-ил]уксусная кислота;
[4-(диметиламино)-6-пирролидин-1-ил-2-(4-{[4-(трифторметил)бензоил]амино}бензил)пиримидин-5-ил]уксусная кислота;
[2-{4-[(бифенил-3-илкарбонил)амино]бензил}-4-(диметиламино)-6-пирролидин-1-илпиримидин-5-ил]уксусная кислота;
[2-{4-[(бифенил-4-илкарбонил)амино]бензил}-4-(диметиламино)-6-пирролидин-1-илпиримидин-5-ил]уксусная кислота;
[2-{4-[(3,4-дихлорбензоил)амино]бензил}-4-(диметиламино)-6-морфолин-4-илпиримидин-5-ил]уксусная кислота;
[4-(диметиламино)-6-морфолин-4-ил-2-(4-{[4-(трифторметил)бензоил]амино}бензил)пиримидин-5-ил]уксусная кислота;
[4-(диметиламино)-6-морфолин-4-ил-2-(4-{[(2E)-3-фенилпроп-2-еноил]амино}бензил)пиримидин-5-ил]уксусная кислота;
(4-(диметиламино)-2-{4-[(3-феноксибензоил)амино]бензил}-6-пирролидин-1-илпиримидин-5-ил)уксусная кислота;
(4-(диметиламино)-2-{4-[(4-феноксибензоил)амино]бензил}-6-пирролидин-1-илпиримидин-5-ил)уксусная кислота;
[4-(диметиламино)-2-(4-{[(2E)-3-(4-метоксифенил)проп-2-еноил]амино}бензил)-6-морфолин-4-илпиримидин-5-ил]уксусная кислота;
(4-(диметиламино)-2-(4-{[(2Е)-3-(2-метоксифенил)проп-2-еноил]амино}бензил)-6-морфолин-4-илпиримидин-5-ил]уксусная кислота;
[2-{4-[(4-хлорбензоил)амино]бензил}-4-(диметиламино)-6-пирролидин-1-илпиримидин-5-ил]уксусная кислота;
[4-метил-2-[4-(2-нафтоиламино)бензил]-6-(1-пирролидинил)-5-пиримидинил]уксусная кислота;
[2-{4-[(3,4-дихлорбензоил)амино]бензил}-4-метил-6-(1-пирролидинил)-5-пиримидинил]уксусная кислота;
{4-(диметиламино)-6-метил-2-[4-(2-нафтоиламино)бензил]пиримидин-5-ил}уксусная кислота;
[2-{4-[(3,4-дихлорбензоил)амино]бензил}-4-(диметиламино)-6-метилпиримидин-5-ил]уксусная кислота;
[4-(диметиламино)-6-метил-2-(4-{[(2E)-3-фенилпроп-2-еноил]амино}бензил)пиримидин-5-ил]уксусная кислота;
{4-(диметиламино)-6-(метоксиметил)-2-[4-(2-нафтоиламино)бензил]пиримидин-5-ил}уксусная кислота;
[4-(диметиламино)-6-(метоксиметил)-2-(4-{[4-(трифторметил)бензоил]амино}бензил)пиримидин-5-ил]уксусная кислота;
{4-(диметиламино)-6-этил-2-[4-(2-нафтоиламино)бензил]пиримидин-5-ил}уксусная кислота;
[4-(диметиламино)-6-этил-2-(4-{[4-(трифторметил)бензоил]амино}бензил)пиримидин-5-ил]уксусная кислота;
{4-(диметиламино)-6-изопропил-2-[4-(2-нафтоиламино)бензил]пиримидин-5-ил}уксусная кислота;
[4-(диметиламино)-6-изопропил-2-(4-{[4-(трифторметил)бензоил]амино}бензил)пиримидин-5-ил]уксусная кислота;
[2-(4-{[(бензилокси)карбонил]амино)бензил)-4-(диметиламино)пиримидин-5-ил]уксусная кислота;
{4-(диметиламино)-2-[4-({[(4-фторбензил)окси]карбонил}амино)бензил]пиримидин-5-ил}уксусная кислота;
[2-(4-{[(бензилокси)карбонил]амино}бензил)-4-хлор-6-(диметиламино)пиримидин-5-ил]уксусная кислота;
{4-(диметиламино)-2-[4-({[(4-(нитробензил)окси]карбонил)-амино)бензил]пиримидин-5-ил}уксусная кислота;
{4,6-дихлор-2-[4-(2-нафтоиламино)бензил]пиримидин-5-ил}уксусная кислота;
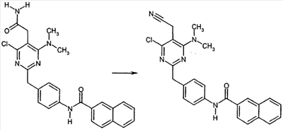
N-(4-{[5-(2-амино-2-оксоэтил)-4-хлор-6-(диметиламино)пиримидин-2-ил]метил}фенил)-2-нафтамид
N-(4-{[4-хлор-6-(диметиламино)-5-(1H-тетразол-5-илметил)-пиримидин-2-ил]метил}фенил)-2-нафтамид;
и их таутомерную и стереоизомерную форму и их соли.
Производное пиримидина формулы (I) является высокоэффективным антагонистом CRTH2. Поэтому эти производные пригодны, главным образом, для профилактики и лечения болезней, связанных с активностью CRTH2.
Точнее говоря, производное пиримидина формулы (I) эффективно для лечения или предотвращения таких аллергических заболеваний, как астма, аллергический ринит, атопический дерматит и аллергический конъюнктивит.
Соединения формулы (I), кроме того, применимы для лечения или предотвращения таких заболеваний, как синдром Черджа-Стросса, синусит, базофильный лейкоз, хроническая крапивница и базофильный лейкоцитоз, так как эти заболевания также связаны с активностью CRTH2.
Кроме того, настоящее изобретение предлагает лекарственное средство, которое включает одно из соединений, описанных выше, и необязательные фармацевтически приемлемые наполнители.
Алкил сам по себе и как алк и алкил в алкокси, алканоиле, алкилкарбамоиле, алкилтио, алкиламино, алкиламинокарбониле, алкиламиносульфониле, алкилсульфониламино, алкоксикарбониле, алкоксикарбониламино и алканоиламино представляет собой линейный или разветвленный алкильный радикал, обычно имеющий от 1 до 6, предпочтительно от 1 до 4 и, в частности, предпочтительно от 1 до 3 атомов углерода предпочтительно и в качестве иллюстрации представляющий собой метил, этил, н-пропил, изопропил, трет-бутил, н-пентил и н-гексил.
Алкокси предпочтительно и в качестве иллюстрации представляет собой метокси, этокси, н-пропокси, изопропокси, трет-бутокси, н-пентокси и н-гексокси.
Алканоил в качестве иллюстрации и предпочтительно представляет собой ацетил и пропаноил.
Алкиламино представляет собой алкиламиновый радикал, имеющий один или два (независимо выбранных) алкильных заместителя, в качестве иллюстрации и предпочтительно представляющие собой метиламино, этиламино, н-пропиламино, изопропиламино, трет-бутиламино, н-пентиламино, н-гексиламино, N,N-диметиламино, N,N-диэтиламино, N-этил-N-метиламино, N-метил-N-н-пропиламино, N-изопропил-N-н-пропиламино, N-т-бутил-N-метиламино, N-этил-N-н-пентиламино и N-н-гексил-N-метиламино.
Алкиламинокарбонил или алкилкарбамоил представляют собой алкиламинокарбонильный радикал, имеющий один или два (независимо выбранных) алкильных заместителя, в качестве иллюстрации и предпочтительно представляющие собой метиламинокарбонил, этиламинокарбонил, н-пропиламинокарбонил, изопропиламинокарбонил, трет-бутиламинокарбонил, н-пентиламинокарбонил, н-гексиламинокарбонил, N,N-диметиламинокарбонил, N,N-диэтиламинокарбонил, N-этил-N-метиламинокарбонил, N-метил-N-н-пропиламинокарбонил, N-изопропил-N-н-пропиламинокарбонил, N-т-бутил-N-метиламинокарбонил, N-этил-N-н-пентиламинокарбонил и N-н-гексил-N-метиламинокарбонил.
Алкиламиносульфонил представляет собой алкиламиносульфонильный радикал имеющий один или два (независимо выбранных) алкильных заместителя, в качестве иллюстрации и предпочтительно представляющие собой метиламиносульфонил, этиламиносульфонил, н-пропиламиносульфонил, изопропиламиносульфонил, трет-бутиламиносульфонил, н-пентиламиносульфонил, н-гексиламиносульфонил, N,N-диметиламиносульфонил, N,N-диэтиламиносульфонил, N-этил-N-метиламиносульфонил, N-метил-N-н-пропиламиносульфонил, N-изопропил-N-н-пропиламиносульфонил, N-т-бутил-N-метиламиносульфонил, N-этил-N-н-пентиламиносульфонил и N-н-гексил-N-метиламиносульфонил.
Алкилсульфониламино в качестве иллюстрации и предпочтительно представляет собой метилсульфониламино, этилсульфониламино, н-пропилсульфониламино, изопропилсульфониламино, трет-бутил-сульфониламино, н-пентилсульфониламино и н-гексилсульфониламино.
Алкоксикарбонил в качестве иллюстрации и предпочтительно представляет собой метоксикарбонил, этоксикарбонил, н-пропоксикарбонил, изопропоксикарбонил, трет-бутоксикарбонил, н-пентоксикарбонил и н-гексоксикарбонил. Алкоксикарбониламино в качестве иллюстрации и предпочтительно представляет собой метоксикарбониламино, этоксикарбониламино, н-пропоксикарбониламино, изопропоксикарбониламино, трет-бутоксикарбониламино, н-пентоксикарбониламино и н-гексоксикарбониламино.
Алканоиламино в качестве иллюстрации и предпочтительно представляет собой ацетиламино и этилкарбониламино.
Циклоалкил сам по себе и в циклоалкиламино и в циклоалкилкарбониле представляет собой циклоалкильную группу, обычно имеющую от 3 до 8 и предпочтительно от 5 до 7 атомов углерода, в качестве иллюстрации и предпочтительно представляющую собой циклопропил, циклобутил, циклопентил, циклогексил и циклогептил.
Циклоалкиламино является циклоалкиламиновым радикалом, имеющим один или два (независимо выбранных) алкильных заместителя, в качестве иллюстрации и предпочтительно представляющий собой циклопропиламино, циклобутиламино, циклопентиламино, циклогексиламино и циклогептиламино.
Циклоалкилкарбонил в качестве иллюстрации и предпочтительно представляет собой циклопропилкарбонил, циклобутилкарбонил, циклопентилкарбонил, циклогексилкарбонил и циклогептилкарбонил.
Арил сам по себе и в ариламино и в арилкарбониле представляет собой моно-трициклический ароматический карбоциклический радикал, содержащий от одного до трех циклов, обычно имеющий от 6 до 14 атомов углерода, в качестве иллюстрации и предпочтительно представляющий собой фенил, нафтил и фенантренил.
Ариламино представляет собой ариламиновый радикал, имеющий один или два (независимо выбранных) арильных заместителя, в качестве иллюстрации и предпочтительно представляющий собой фениламино, дифениламино и нафтиламино.
Арилкарбонил в качестве иллюстрации и предпочтительно представляет собой фенилкарбонил и нафтилкарбонил.
Гетероарил сам по себе и в гетероариламино и гетероарилкарбониле представляет собой ароматический моно- или бициклический радикал, обычно имеющий от 5 до 10 и предпочтительно от 5 до 6 кольцевых атомов и до 5 и предпочтительно до 4 гетероатомов, выбранных из группы, состоящей из S, О и N, в качестве иллюстрации и предпочтительно представляющий собой тиенил, фурил, пирролил, тиазолил, оксазолил, имидазолил, пиридил, пиримидил, пиридазинил, индолил, индазолил, бензофуранил, бензотиофенил, хинолинил, изохинолинил.
Гетероариламино представляет собой гетероариламиновый радикал, имеющий один или два (независимо выбранных) гетероарильных заместителя, в качестве иллюстрации и предпочтительно представляющий собой тиениламино, фуриламино, пирролиламино, тиазолиламино, оксазолиламино, имидазолиламино, пиридиламино, пиримидиламино, пиридазиниламино, индолиламино, индазолиламино, бензофураниламино, бензотиофениламино, хинолиниламино, изохинолиниламино.
Гетероарилкарбонил в качестве иллюстрации и предпочтительно представляет собой тиенилкарбонил, фурилкарбонил, пирролилкарбонил, тиазолилкарбонил, оксазолилкарбонил, имидазолилкарбонил, пиридилкарбонил, пиримидилкарбонил, пиридазинилкарбонил, индолилкарбонил, индазолилкарбонил, бензофуранилкарбонил, бензотиофенилкарбонил, хинолинилкарбонил, изохинолинилкарбонил.
Гетероциклил сам по себе и в гетероциклилкарбониле представляет собой моно- или полициклический, предпочтительно моно- или бициклический, неароматический гетероциклический радикал, обычно имеющий от 4 до 10 и предпочтительно от 5 до 8 кольцевых атомов и содержащий до 3 и предпочтительно до 2 гетероатомов и/или гетерогрупп, выбранных из группы, состоящей из N, O, S, SO и SO2. Гетероциклические радикалы могут быть насыщенными или частично насыщенными. Предпочтение отдают (5-8)-членным моноциклическим насыщенным гетероциклическим радикалам, имеющим до двух гетероатомов, выбранных из группы, состоящей из O, N и S, таким которые иллюстративно и предпочтительно представляют собой тетрагидрофуран-2-ил, пирролидин-2-ил, пирролидин-3-ил, пирролинил, пиперидинил, морфолинил, пергидроазепинил.
Гетероциклилкарбонил иллюстративно и предпочтительно представляет собой тетрагидрофуран-2-карбонил, пирролидин-2-карбонил, пирролидин-3-карбонил, пирролинкарбонил, пиперидинкарбонил, морфолинкарбонил, пергидроазепинкарбонил.
ВАРИАНТ ОСУЩЕСТВЛЕНИЯ ИЗОБРЕТЕНИЯ
Соединения формулы (I) по настоящему изобретению могут быть получены, кроме прочих способов, путем комбинирования различных известных способов. В некоторых вариантах осуществления один или несколько заместителей из таких заместителей, как аминогруппа, карбоксильная группа и гидроксильная группа, в соединенииях, используемых в качестве исходных веществ или интермедиатов, преимущественно защищают защитной группой, известной специалистам в данной области. Примеры защитных групп описаны в Protective Groups in Organic Synthesis (3rd Edition) by Greene and Wuts, John Wiley and Sons, New York 1999.
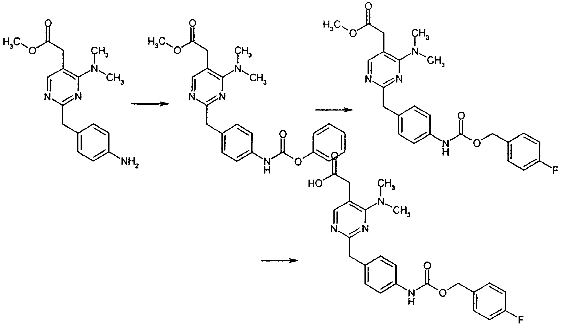
Соединения формулы (I) по настоящему изобретению могут быть получены, кроме прочих способов, способами [A], [B], [C], [D], [E], [F], [G], [H], [I] или [J], приведенными ниже.
[Способ A]

Соединения формулы (I-a) (где R3, R4 и R5 аналогичны определенным выше, а Rla представляет собой
или 
где n и Y аналогичны определенным выше) могут быть, например, получены в две стадии по нижеследующим методикам.
На стадии A-l соединения формулы (IV) (где Rla, R3, R4 и R5 аналогичны определенным выше, а Z1 представляет собой C1-6алкил, бензил, 4-метоксибензил или 3,4-диметоксибензил) могут быть получены взаимодействием соединений формулы (II) (где R3, R4 и R5 и Z1 аналогичны определенным выше) с соединениями формулы (III) (где Rla аналогичен определенному выше, а L1 представляет собой уходящую группу, включая, например, атом галогена, такой как атом хлора, брома и иода, азол, такой как имидазол и триазол, и гидрокси).
Реакция может быть осуществлена в растворителе, включая, например, галогенированные углеводороды, такие как дихлорметан, хлороформ и 1,2-дихлорэтан; простые эфиры, такие как диэтиловый эфир, изопропиловый эфир, диоксан и тетрагидрофуран (ТГФ) и 1,2-диметоксиэтан; ароматические углеводороды, такие как бензол, толуол и ксилол; нитрилы, такие как ацетонитрил; амиды, такие как N,N-диметилформамид (ДМФА), N,N-диметилацетамид (DMAC) и N-метилпирролидон (NMP); мочевину, такую как l,3-диметил-2-имидазолидинон (DMI); сульфоксиды, такие как диметилсульфоксид (DMSO) (ДМСО); и другие. Необязательно, два или более из растворителей, выбранных из перечисленных выше, могут быть смешаны и использованы.
Температура реакции может быть необязательно задана, в зависимости от соединений, которые участвуют в реакции. Температура реакции обычно, без ограничения, лежит в интервале от приблизительно 0°C до 180°C и предпочтительно от приблизительно 20°C до 100°C. Обычно реакцию могут проводить в течение от 30 минут до 24 часов и предпочтительно от 1 часа до 12 часов.
Реакцию преимущественно можно проводить в присутствии основания, включающего, например, карбонат натрия, карбонат калия, пиридин, триэтиламин и N,N-диизопропилэтиламин, диметиланилин, диэтиланилин и другие.
В случае, когда L1 в соединениях формулы (III) (где Rla представляет собой
или 
в которых n и Y аналогичны определенным выше) представляет собой гидрокси, то соединения формулы (IV) (в которых R3, R4 и R5 и Z1 аналогичны определенным выше, а Rla представляет собой
или 
в которых n и Y аналогичны определенным выше) могут быть получены реакцией соединений формулы (II) (в которых R3, R4 и R5 и Z1 аналогичны определенным выше) с соединениями формулы (III), используя агент сочетания, включающий, например, карбодиимиды, такие как N,N-дициклогексилкарбодиимид и 1-(3-диметиламинопропил)-3-этилкарбодиимид, гексафторфосфат бензотриазол-1-илокси–трис-пирролидинoфосфония (PyBOP), дифенилфосфорилазид. Как ускорители реакции могут быть использованы N-гидроксисукцинимид, 1-гидроксибензотиазолмоногидрат (HOBt) и тому подобное.
Реакция может быть осуществлена в растворителе, включая, например, галогенированные углеводороды, такие как дихлорметан, хлороформ и 1,2-дихлорэтан; простые эфиры, такие как диэтиловый эфир, изопропиловый эфир, диоксан и тетрагидрофуран (ТГФ) и 1,2-диметоксиэтан; ароматические углеводороды, такие как бензол, толуол и ксилол; нитрилы, такие как ацетонитрил; амиды, такие как N,N-диметилформамид (ДМФА), N,N-диметилацетамид (DMAC) и N-метилпирролидон (NMP); мочевину, такую как 1,3-диметил-2-имидазолидинон (DMI); сульфоксиды, такие как диметилсульфоксид (ДМСО) и другие. Необязательно два или более из растворителей, выбранных из перечисленных выше, могут быть смешаны и использованы.
Температура реакции необязательно может быть задана в зависимости от соединений, участвующих в реакции. Температура реакции обычно, без ограничения, попадает в интервал от приблизительно 0°C до 180°C и предпочтительно от приблизительно 20°C до 100°C. Обычно реакцию можно проводить в течение времени от 30 минут до 24 часов и предпочтительно от 1 часа до 12 часов.
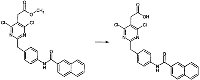
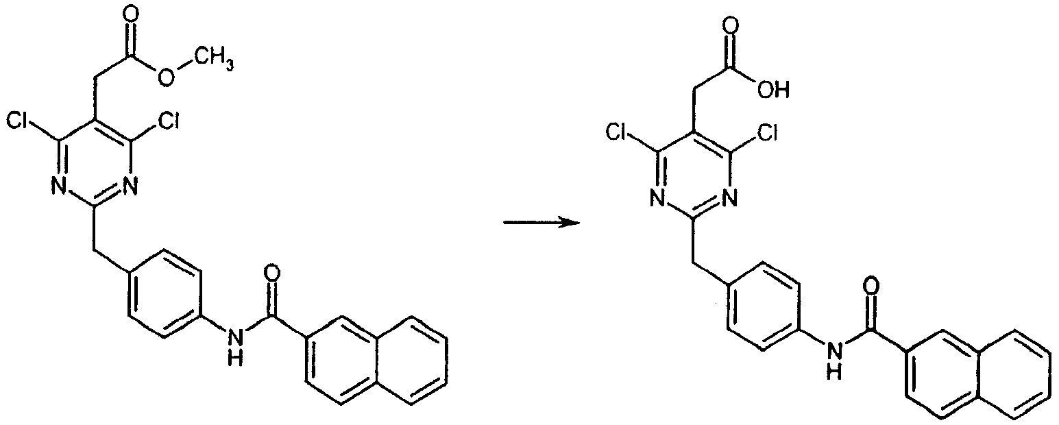
На стадии A-2 соединения формулы (I-a) (в которой Rla, R3, R4 и R5 аналогичны определенным выше) могут быть получены удалением защитной группы Z1 соединений формулы (IV) (в которой Rla, R3, R4, R5 и Z1 аналогичны определенным выше).
Удаление защитной группы Z1 может быть проведено с использованием основания, включая, например, гидроксид натрия, гидроксид лития, гидроксид калия или кислоты, включая, например, HC1, HBr, трифторуксусную кислоту и BBr3. Удаление защиты может также быть осуществлено путем гидрирования с использованием катализатора, который включает, например, палладий на угле и гидроксид палладия, когда Z1 представляет собой бензил, 4-метоксибензил или 3,4-диметоксибензил. Кроме того, снятие защиты может быть выполнено с использованием такого реагента, как церий-аммоний нитрат (CAN) или 2,3-дихлор-5,6-дициано-1,4-бензохинон (DDQ), в случае когда Z1 является 4-метоксибензилом или 3,4-диметоксибензилом.
Реакция может быть проведена в растворителе, включая, например, галогенированные углеводороды, такие как дихлорметан, хлороформ и 1,2-дихлорэтан; простые эфиры, такие как диэтиловый эфир, изопропиловый эфир, диоксан и тетрагидрофуран (ТГФ) и 1,2-диметоксиэтан; ароматические углеводороды, такие как бензол, толуол и ксилол; N,N-диметилформамид (ДМФА), диметилацетамид (DMAC), 1,3-диметил-3,4,5,6-тетрагидро-2(1H)-пиримидинон (DMPU), 1,3-диметил-2-имидазолидинон (DMI), N-этилпирролидинон (NMP), сульфоксиды, такие как диметилсульфоксид (ДМСО), спирты, такие как метанол, этанол, 1-пропанол, изопропанол и трет-бутанол, воду и другие. Необязательно два или более из растворителей, выбранных из перечисленные выше, могут быть смешаны и использованы.
Температура реакции необязательно может быть задана в зависимости от соединений, принимающих участие в реакции. Температура реакции обычно, без ограничения, попадает в интервал от приблизительно 0°C до 180°C и предпочтительно от приблизительно 20°C до 100°C. Обычно реакцию можно проводить в течение времени от 30 минут до 24 часов и предпочтительно от 1 часа до 12 часов.
Соединения формулы (III) коммерчески доступны или могут быть синтезированы обычными способами.
[Способ B]

Соединения формулы (I-b) (в которых R3, R4 и R5 аналогичны определенным выше, а Z2 представляет собой
или 
в которых n и Y аналогичны определенным выше) могут быть получены в две стадии, например, посредством нижеследующих процедур.
На стадии B-l соединения формулы (VI) (где R3, R3, R4 и R5, Z1 и Z2 аналогичны определенным выше) могут быть получены по реакции соединений формулы (II) (где
R3, R4 и R5 и Z1 аналогичны определенным выше) с соединениями формулы (V) (где Z2 аналогичен определенному выше), используя такой восстановитель, как триацетоксиборогидрид натрия.
Реакция может быть преимущественно проведена в присутствии кислоты Льюиса или протонных кислот, таких как уксусная кислота или хлористоводородная кислота, или осушителя, такого как молекулярные сита.
Реакция может быть осуществлена в растворителе, включающем, например, такие галогенированные углеводороды, как 1,2-дихлорэтан; простые эфиры, такие как диэтиловый эфир, изопропиловый эфир, диоксан и тетрагидрофуран (ТГФ) и 1,2-диметоксиэтан; ароматические углеводороды, такие как бензол, толуол и ксилол и другие. Необязательно два или более из растворителей, выбранных из перечисленных выше, могут быть смешаны и использованы.
Температура реакции может быть необязательно задана в зависимости от соединений, принимающих участие в реакции. Температура реакции обычно, без ограничения, попадает в интервал от приблизительно 0°C до 180°C и предпочтительно от приблизительно 20°C до 100°C. Обычно реакцию можно проводить в течение времени от 30 минут до 24 часов и предпочтительно от 1 часа до 12 часов.
На стадии B-2 соединения формулы (I-b) (в которых R3, R4 и R5 и Z2 аналогичны определенным выше) могут быть получены удалением защитной группы Z1 соединений формулы (VI) (в которой R3, R4, R5, Z1 и Z2 аналогичны определенным выше) способом, аналогичным способу, использованному на стадии A-2 при получении соединений формулы (I-a).
Соединения формулы (V) коммерчески доступны или могут быть синтезированы обычными способами.
[Способ C]

Соединения формулы (1-с) (в которых n, R3, R4 и R5 и Y аналогичны определенным выше) могут быть, например, получены в две стадии, например, по следующим методикам.
На стадии C-l соединения формулы (VIII) (в которых n, R3, R4 и R5, Y и Z1 аналогичны определенным выше) могут быть получены по реакции соединений формулы (II) (где R3, R4 и R5 и Z1 аналогичны определенным выше) с соединениями формулы (VII) (в которых n и Y аналогичны определенным выше).
Реакция может быть осуществлена в растворителе, включающем, например, такие галогенированные углеводороды, как дихлорметан, хлороформ и 1,2-дихлорэтан; простые эфиры, такие как диэтиловый эфир, изопропиловый эфир, диоксан и тетрагидрофуран (ТГФ) и 1,2-диметоксиэтан; ароматические углеводороды, такие как бензол, толуол и ксилол; нитрилы, такие как ацетонитрил; амиды, такие как N,N-диметилформамид (ДМФА), N,N-диметилацетамид (DMAC) и N-метилпирролидон (NMP); мочевину, такую как 1,3-диметил-2-имидазолидинон (DMI); сульфоксиды, такие как диметилсульфоксид (ДМСО) и другие. Необязательно два или более из растворителей, выбранных из перечисленных выше, могут быть смешаны и использованы.
Необязательно температура реакции может быть задана в зависимости от участвующих в реакции соединений. Температура реакции обычно, без ограничения, попадает в интервал от приблизительно 0°C до 180°C и предпочтительно от приблизительно 20°C до 100°C. Обычно реакцию можно проводить в течение времени от 30 минут до 24 часов и предпочтительно от 1 часа до 12 часов.
На стадии C-2 соединения формулы (1-с) (в которых n, R3, R4 и R5 и Y аналогичны определенным выше) могут быть получены удалением защитной группы Z1 соединений формулы (VIII) (в которых n, R3, R4 и R5, Y и Z1 аналогичны определенным выше) способом, аналогичным способу, использованному на стадии A-2 при получении соединений формулы (I-a).
Соединения формулы(VII) коммерчески доступны или могут быть синтезированы обычными способами.
[Способ D]

Соединения формулы (I-d) (в которых n, R3, R4 и R5 и Y аналогичны определенным выше), например, могут быть получены в две стадии по следующим методикам.
На стадия D-l соединения формулы (X) (в которых n, R3, R4 и R5, Y и Z1 аналогичны определенным выше) могут быть получены по реакции соединений формулы (II) (где
R3, R4 и R5 и Z1 аналогичны определенным выше) с соединениями формулы (IX) (в которых n и Y аналогичны определенным выше, а L2 представляет собой уходящую группу, включая, например, атом галогена, такой как хлор и бром).
Реакция может быть осуществлена в растворителе, включающем, например, галогенированные углеводороды, такие как дихлорметан, хлороформ и 1,2-дихлорэтан; простые эфиры, такие как диэтиловый эфир, изопропиловый эфир, диоксан и тетрагидрофуран (ТГФ) и 1,2-диметоксиэтан; ароматические углеводороды, такие как бензол, толуол и ксилол; нитрилы, такие как ацетонитрил; амиды, такие как N,N-диметилформамид (ДМФА), N,N-диметилацетамид (DMAC) и N-метилпирролидон (NMP); мочевину, такую как 1,3-диметил-2-имидазолидинон (DMI); сульфоксиды, такие как диметилсульфоксид (ДМСО) и другие. Необязательно два или более из растворителей, выбранных из перечисленных выше, могут быть смешаны и использованы.
Необязательно температуру реакции могут задавать в зависимости от соединений, участвующих в реакции. Температура реакции обычно, без ограничения, попадает в интервал от приблизительно 0°C до 180°C и предпочтительно от приблизительно 20°C до 100°C. Обычно реакцию можно проводить в течение времени от 30 минут до 24 часов и предпочтительно от 1 часа до 12 часов.
На стадии D-2 соединения формулы (I-d) (в которых n, R3, R4 и R5 и Y аналогичны определенным выше) могут быть получены путем удаления защитной группы Z1 в соединениях формулы (VIII) (в которых n, R3, R4 и R5, Y и Z1 аналогичны определенным выше) способом, аналогичным способу, использованному на стадии A-2 при получении соединений формулы (I-a).
Соединения формулы (IX) коммерчески доступны или могут быть синтезированы обычными способами.
[Способ E]

Соединения формулы (1-е) (в которых n, R3, R4, R5 и Y аналогичны определенным выше, а Q1 представляет собой -NH-, -N-C1-6алкил или -O-), например, могут быть получены в две стадии по следующим методикам.
На стадии E-l соединения формулы (XII) (в которых n, Q1, R3, R4 и R5, Y и Z1 аналогичны определенным выше) могут быть получены по реакции соединений формулы (II) (где R3, R4 и R5 и Z1 аналогичны определенным выше) с соединениями формулы (XI) (в которых n, Q1 и Y аналогичны определенным выше) и агентом, включающим, например, производное арилформиата, такое как фенилхлороформиат; галогенкарбонильное производное, такое как фосген, дифосген и трифосген; производное карбонилдиазола, такое как 1,1-карбонилдиимидазол (CDI) 1,1′-карбонилди(1,2,4-триазол)(CDT) и тому подобное.
Реакция может быть осуществлена в растворителе, включая, например, галогенированные углеводороды, такие как дихлорметан, хлороформ и 1,2-дихлорэтан; простые эфиры, такие как диэтиловый эфир, изопропиловый эфир, диоксан и тетрагидрофуран (ТГФ) и 1,2-диметоксиэтан; ароматические углеводороды, такие как бензол, толуол и ксилол; нитрилы, такие как ацетонитрил; амиды, такие как N,N-диметилформамид (ДМФА), N,N-диметилацетамид (DMAC) и N-метилпирролидон (NMP); мочевину, такую как 1,3-диметил-2-имидазолидинон (DMI), и другие. Необязательно два или более из растворителей, выбранных из перечисленных выше, могут быть смешаны и использованы.
Необязательно температуру реакции могут задавать в зависимости от соединений, участвующих в реакции. Температура реакции обычно, без ограничения, попадает в интервал от приблизительно 0°C до 180°C и предпочтительно от приблизительно 20°C до 100°C. Обычно реакцию можно проводить в течение времени от 30 минут до 24 часов и предпочтительно от 1 часа до 12 часов.
Реакция может быть преимущественно осуществлена в присутствии основания, включая, например, органические амины, такие как пиридин, триэтиламин и N,N-диизопропилэтиламин, диметиланилин, диэтиланилин, 4-диметиламинопиридин и другие.
На стадия E-2 соединения формулы (1-е) (в которых n, Q1, R3, R4 и R5 и Y аналогичны определенным выше) могут быть получены удалением защитной группы
Z1 в соединениях формулы (XII) (в которых n, Q1, R3, R4 и R5, Y и Z1 аналогичны определенным выше) способом, аналогичным способу, использованному на стадии A-2 при получении соединений формулы (I-a).
Соединения формулы (XI) коммерчески доступны или могут быть синтезированы обычными способами.
[Способ F]

Соединения формулы (I-f) (в которых R1 и R5 аналогичны определенным выше, а
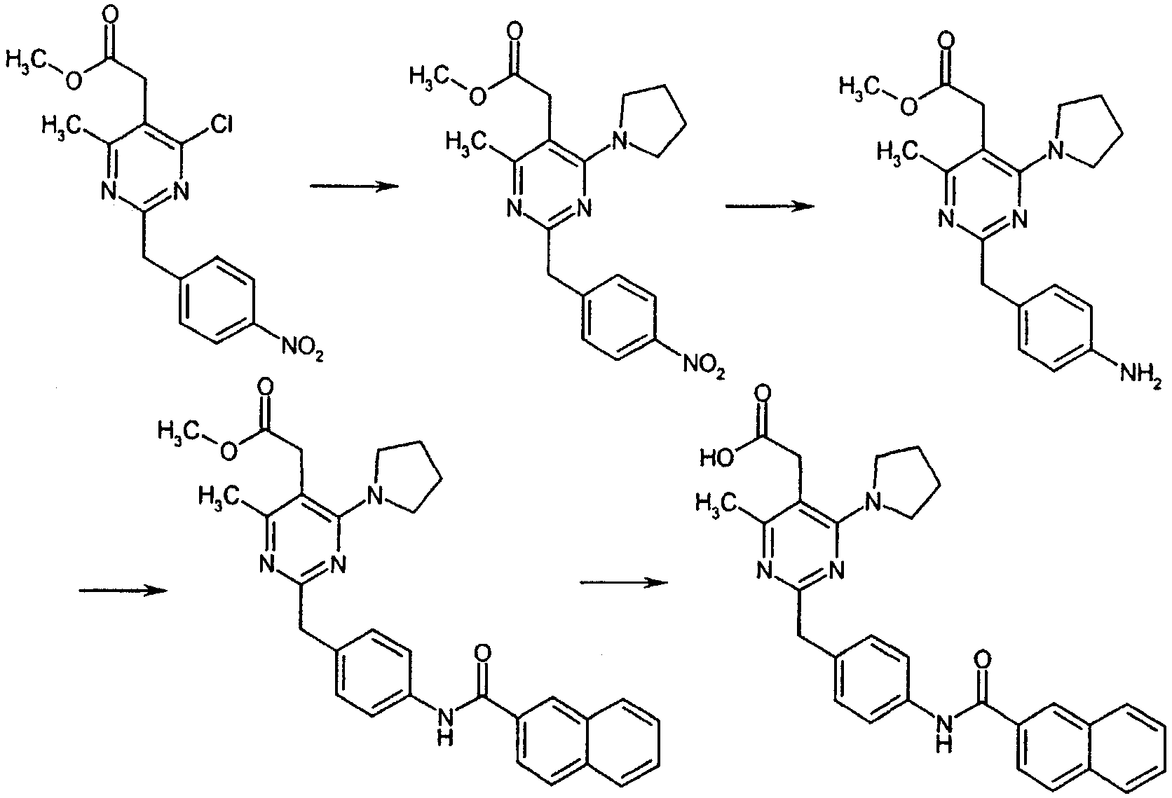
R3а имеет такое же значение, как определено выше для R3, исключая галоген) могут быть получены по следующим методикам.
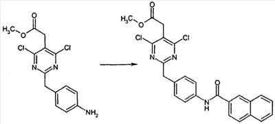
На Стадии F-1 соединения формулы (XIII) (в которых R1, R5 и Z1 аналогичны определенным выше) могут быть получены по реакции соединений формулы (II-а) (где R5 и Z1 аналогичны определенным выше) способом, аналогичным описанным для стадий A-1, B-1, C-1, D-1 и E-1.
На стадии F-2 соединения формулы (XV) (в которых R1, R3a, R5 и Z1 аналогичны определенным выше) могут быть получены по реакции соединений формулы (XIII) (в которых R1, R5 и Z1 аналогичны определенным выше) с соединениями формулы (XIV) (в которых R3a аналогичен определенному выше).
Реакция может быть осуществлена в отсутствии растворителя или в растворителе, включающем, например, простые эфиры, такие как диэтиловый эфир, изопропиловый эфир, диоксан и тетрагидрофуран (ТГФ) и 1,2-диметоксиэтан; ароматические углеводороды, такие как бензол, толуол и ксилол; нитрилы, такие как ацетонитрил; амиды, такие как N,N-диметилформамид (ДМФА), N,N-диметилацетамид (DMAC) и N-метилпирролидон (NMP); мочевину, такую как 1,3-диметил-2-имидазолидинон (DMI); сульфоксиды, такие как диметилсульфоксид (ДМСО) и другие. Необязательно два или более из растворителей, выбранных из перечисленных выше, могут быть смешаны и использованы.
Необязательно температуру реакции могут задавать в зависимости от состава соединений, участвующих в реакции. Температура реакции обычно, без ограничения, попадает в интервал от приблизительно 0°C до 180°C и предпочтительно от приблизительно 20°C до 100°C. Обычно реакцию могут проводить в течение времени от 30 минут до 24 часов и предпочтительно от 1 часа до 12 часов.
Реакция может быть преимущественно осуществлена в присутствии основания, включая, например, органические амины, такие как пиридин, триэтиламин и N,N-диизопропилэтиламин, диметиланилин, диэтиланилин и другие.
На стадия F-3 соединения формулы (I-f) (в которых R1, R3a и R5 аналогичны определенным выше) могут быть получены удалением защитной группы Z1 в соединениях формулы (XV) (в которых R1, R3a, R5 и Z1 аналогичны определенным выше) способом, аналогичным использованному на стадии A-2 при получении соединений формулы (I).
Соединения формулы (XIV) коммерчески доступны или могут быть синтезированы обычными способами.
[Способ G]

Соединения формулы (I-g) (в которых R1, R3а и R5 аналогичны определенным выше, а R4а имеет такое же значение, как то, которое было определено выше для R4, исключая галоген) могут быть получены по следующим методикам.
На стадия G-1 соединения формулы (XVII) (в которых R1, R3a, R4a, R5 и Z1 аналогичны определенным выше) могут быть получены по реакции соединений формулы (XV) (в которых R1, R3a, R5 и Z1 аналогичны определенным выше) с соединениями формулы (XVI) (в которых R4а аналогичен определенному выше) способом, аналогичным способу, описанному для стадия F-2 при получении соединений формулы (XV).
На стадия G-2 соединения формулы (I-g) (в которых R1, R3a, R4а и R5 аналогичны определенным выше) могут быть получены путем удаления защитной группы Z1 в соединениях формулы (XVII) (в которых R1, R3a, R4а, R5 и Z1 аналогичны определенным выше) способом, аналогичным способу, использованному на стадии А-2 для получения соединений формулы (I).
Соединения формулы (XVI) коммерчески доступны или могут быть синтезированы обычными способами.
[Способ H]

Соединений формулы (I-h) (в которых R1, R3а и R5 аналогичны определенным выше) могут быть получены по следующим методикам.
На стадии H-1 соединения формулы (XVIII) (в которых R1, R3a, R5 и Z1 аналогичны определенным выше) могут быть получены посредством восстановления соединений формулы (XV) (в которых R1, R3a, R5 и Z1 аналогичны определенным выше) путем гидрирования при использовании катализатора, включающего, например, палладий на угле и платину на угле, в присутствии основания, такого как ацетат калия.
Реакция может быть осуществлена в растворителе, включающем, например, простые эфиры, такие как диэтиловый эфир, изопропиловый эфир, диоксан и тетрагидрофуран (ТГФ) и 1,2-диметоксиэтан; ароматические углеводороды, такие как бензол, толуол и ксилол, спирты, такие как метанол, этанол, 1-пропанол, изопропанол и трет-бутанол, воду и другие.
Необязательно температуру реакции могут задавать в зависимости от состава соединений, участвующих в реакции. Температура реакции обычно, без ограничения, попадает в интервал от приблизительно 0°C до 180°C и предпочтительно от приблизительно 20°C до 100°C. Обычно реакцию могут проводить в течение времени от 30 минут до 24 часов и предпочтительно от 1 часа до 12 часов.
На стадия H-2 соединения формулы (I-h) (в которых R1, R3а и R5 аналогичны определенным выше) могут быть получены удалением защитной группы Z1 в соединениях формулы (XVIII) (в которых R1, R3a, R5 и Z1 аналогичны определенным выше) способом, аналогичным способу, использованному на стадия А-2 для получения соединениий формулы (I).
[Способ I]

Соединения формулы (I-i) (в которых R3, R4 и R5 аналогичны определенным выше, Rla представляет собой
или 
в которых n и Y аналогичны определенным выше, а Z3 представляет собой атом водорода или C1-5 алкил) могут также быть получены по следующим методикам.
На стадии I-1 соединения формулы (XX) (в которых R3, R4, R5, Z1 и Z3 аналогичны определенным выше) могут быть получены по реакции соединений формулы (II) (в которых R3, R4, R5 и Z1 аналогичны определенным выше) с соединениями формулы (XIX) (в которых Z3 аналогичен определенному выше) способом, аналогичным способу, использованному на стадия В-1 для получения соединений формулы (VI).
На стадии I-2 соединения формулы (XXII) (в которых R3, R4, R5, Z1 и Z3 аналогичны определенным выше, а Rla представляет собой
или 
в которых n и Y аналогичны определенным выше) могут быть получены посредством реакции соединений формулы (XX) (в которых R3, R4, R5, Z1 и Z3 аналогичны определенным выше) с соединениями формулы (XXI) (в которых Rla и L1 аналогичны определенным выше) таким же способом, как способ, описанный для стадии A-1 для получения соединений формулы (IV).
На стадия I-3 соединения формулы (I-i) (в которых Rla, R3, R4, R5 и Z3 аналогичны определенным выше) могут быть получены удалением защитной группы Z1 в соединениях формулы (XXII) (в которых Rla, R3, R4, R5, Z1 и Z3 аналогичны определенным выше) способом, аналогичным способу, использованному на стадия А-2 для получения соединений формулы (I).
Соединения формул (XIX) и (XXI) коммерчески доступны или могут быть синтезированы обычными способами.
Получение исходных соединений формул (II-a), (II-b), (II-c) и (II-d)

Соединения формулы (II-b) (в которых R3а, R4a, R5 и Z1 аналогичны определенным выше), например, могут быть получены по следующим методикам.
На стадии i-1 соединения формулы (XXIV) (в которых R3а, R5 и Z1 аналогичны определенным выше) могут быть получены по реакции соединений формулы (XXIII) (в которых R5 и Z1 аналогичны определенным выше) с соединениями формулы (XIV) (в которых R3а аналогичен определенному выше) таким же способом, как способ, описанный для стадии F-2 для получения соединений формулы (XV).
На стадии i-2 соединения формулы (XXV) (в которых R3а, R4a, R5 и Z1 аналогичны определенным выше) могут быть получены по реакции соединений формулы (XXIV) (в которых R3а, R5 и Z1 аналогичны определенным выше) с соединениями формулы (XVI) (в которых R4a аналогичен определенному выше) способом, аналогичным способу, описанному для стадии G-l при получении соединений формулы (XVII).
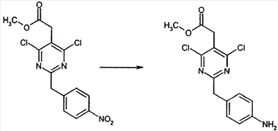
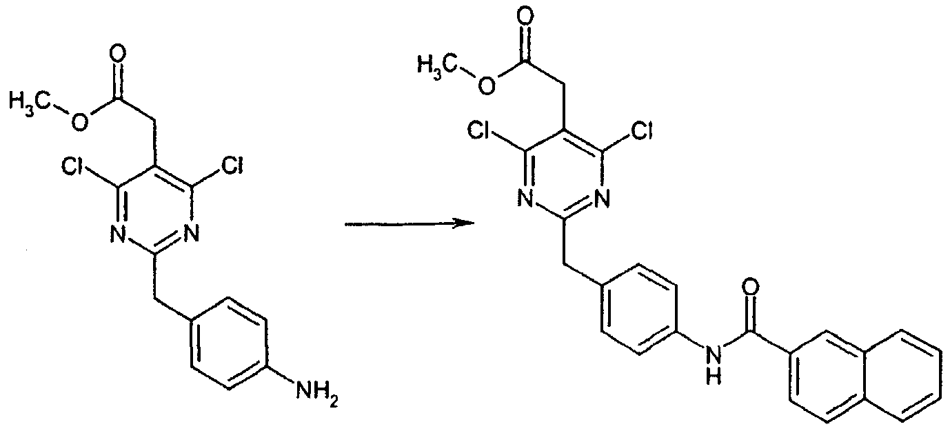
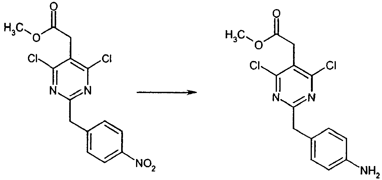
На стадии i-3 соединения формулы (II–b) (в которых R3а, R4a, R5 и Z1 аналогичны определенным выше) могут быть получены восстановлением нитрогруппы соединений формулы (XXV) (в которых R3а, R4a, R5 и Z1 аналогичны определенным выше), используя агент, включающий, например, металлы, такие как цинк и железо, в присутствии кислоты, включающей, например, хлористоводородную кислоту и уксусную кислоту или хлористое олово, или гидрированием с использованием катализатора, включающего, например, палладий на угле и платину на угле.
Реакция может быть осуществлена в растворителе, включающем, например, простые эфиры, такие как диэтиловый эфир, изопропиловый эфир, диоксан и тетрагидрофуран (ТГФ) и 1,2-диметоксиэтан; ароматические углеводороды, такие как бензол, толуол и ксилол, спирты, такие как метанол, этанол, 1-пропанол, изопропанол и трет-бутанол, воду и другие.
Необязательно температуру реакции могут задавать в зависимости от состава соединений, участвующих в реакции. Температура реакции обычно, без ограничения, попадает в интервал от приблизительно 0°C до 180°C и предпочтительно от приблизительно 20°C до 100°C. Обычно реакцию могут проводить в течение времени от 30 минут до 24 часов и предпочтительно от 1 часа до 12 часов.
На стадии i-4 соединения формулы (II-а) (в которых R5 и Z1 аналогичны определенным выше) могут быть получены восстановлением нитрогруппы соединений формулы (XXIII) (в которых R5 и Z1 аналогичны определенным выше) способом, аналогичным способу, описанному для стадии i-3 при получении соединений формулы (II -b).
На стадии i-5 соединения формулы (II-c) (в которых R3а, R5 и Z1 аналогичны определенным выше) могут быть получены восстановлением нитрогруппы соединений формулы (XXIV) (в которых R3а, R5 и Z1 аналогичны определенным выше) способом, аналогичным способу, описанному для стадии i-3 при получении соединений формулы (II -b).
На стадии i-6 соединения формулы (II-d) (в которых R3а, R5 и Z1 аналогичны определенным выше) могут быть получены восстановлением нитрогруппы и хлора в соединениях формулы (XXIV) (в которых R3а, R5 и Z1 аналогичны определенным выше) гидрированием с использованием катализатора, включающего, например, палладий на угле и платину на угле в присутствии основания, такого как ацетат калия.
Реакция может быть осуществлена в растворителе, включающем, например, простые эфиры, такие как диэтиловый эфир, изопропиловый эфир, диоксан и тетрагидрофуран (ТГФ) и 1,2-диметоксиэтан; ароматические углеводороды, такие как бензол, толуол и ксилол, спирты, такие как метанол, этанол, 1-пропанол, изопропанол и трет-бутанол, воду и другие.
Необязательно температуру реакции могут задавать в зависимости от состава соединений, участвующих в реакции. Температура реакции обычно, без ограничения, попадает в интервал от приблизительно 0°C до 180°C и предпочтительно от приблизительно 20°C до 100°C. Обычно реакцию могут проводить в течение времени от 30 минут до 24 часов и предпочтительно от 1 часа до 12 часов.
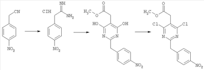
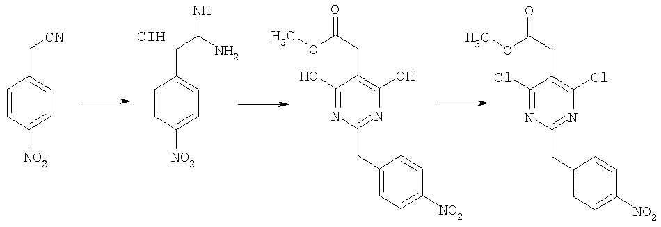
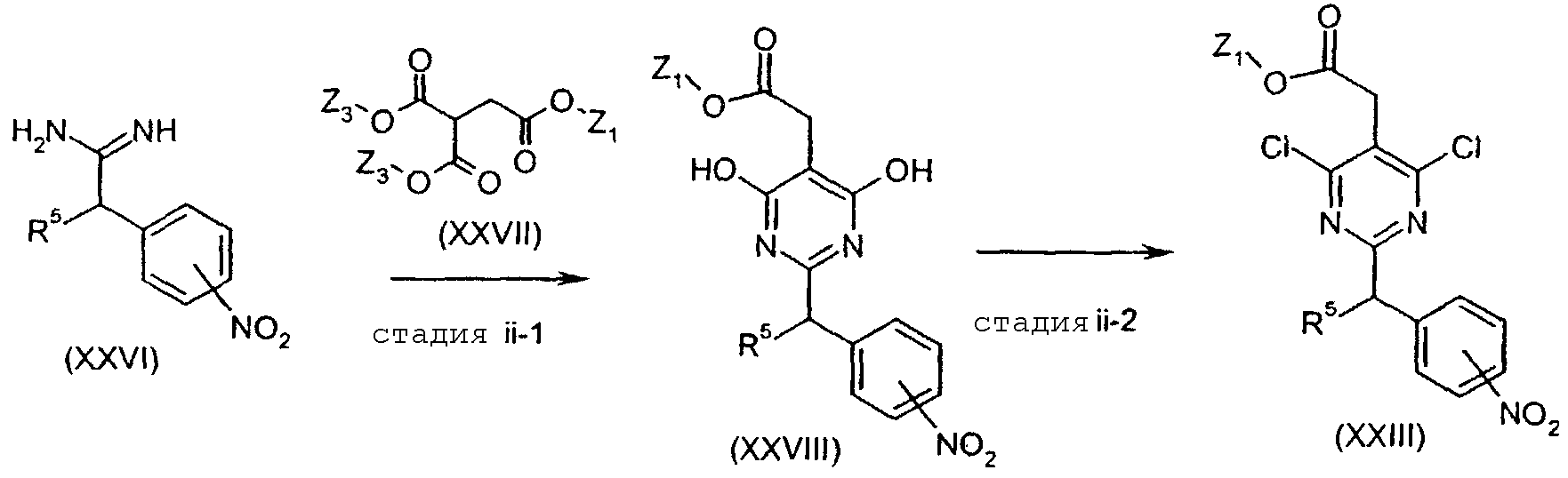
Получение соединений формулы (XXIII)

Соединения формулы (XXIII) (в которых R5 и Z1 аналогичны определенным выше) могут быть получены по следующим методикам.
На стадии ii-1 соединения формулы (XXVIII) (в которых R5 и Z1 аналогичны определенным выше) могут быть получены, например, по реакции соединений формулы (XXVI) (в которых R5 аналогичен определенному выше) с соединениями формулы (XXVII) (в которых Z1 аналогичен определенному выше, а Z3 является С1-6 алкилом).
Реакция может быть преимущественно осуществлена в присутствии основания, такого как метилат натрия.
Реакция может быть осуществлена в растворителе, включая, например, спирты, такие как метанол, этанол, 1-пропанол, изопропанол и трет-бутанол.
Необязательно температуру реакции могут задавать в зависимости от состава соединений, участвующих в реакции. Температура реакции обычно, без ограничения, попадает в интервал от приблизительно 0°C до 180°C и предпочтительно от приблизительно 20°C до 100°C. Обычно реакцию могут проводить в течение времени от 30 минут до 24 часов и предпочтительно от 1 часа до 12 часов.
На стадии ii-2 соединения формулы (XXIII) (в которых R5 и Z1 аналогичны определенным выше) могут быть получены по реакции соединений формулы (XXVIII) (в которых R5 и Z1 аналогичны определенным выше) с соответствующим галогенирующим реагентом, включающим, например, POCl3, PCl5 и тому подобное.
Реакция может быть осуществлена в отсутствии растворителя или в растворителе, включающем, например, галогенированные углеводороды, такие как дихлорметан, хлороформ и 1,2-дихлорэтан, ароматические углеводороды, такие как бензол, толуол и ксилол и другие. Необязательно два или более из растворителей, выбранных из перечисленных выше, могут быть смешаны и использованы. Реакция может быть преимущественно осуществлена в присутствии основания, включая, например, пиридин, триэтиламин и N,N-диизопропилэтиламин, N,N-диметиланилин, диэтиланилин и другие.
Температура реакции обычно, без ограничения общности, попадает в интервал от приблизительно 40°C до 200°C и предпочтительно от приблизительно 20°C до 180°C. Обычно реакцию могут проводить в течение времени от 30 минут до 48 часов и предпочтительно от 2 часов до 12 часов.
Соединения формул (XXVI) и (XXVII) коммерчески доступны или могут быть синтезированы обычными способами.
Получение соединений формулы (II-е)

Соединения формулы (II-e) (в которых R3а, R5 и Z1 аналогичны определенным выше, а R4b является C1-6алкилом, необязательно замещенным моно-, ди- или тригалогеном), например, могут быть получены по следующим методикам.
На стадии iii-1 соединения формулы (XXX) (в которых R4b, R5 и Z1 аналогичны определенным выше) могут быть получены по реакции между соединениями формулы (XXVI) (в которых R5 аналогичен определенному выше) и соединениями формулы (XXIX) (в которых R4b, Z1 и Z3 аналогичны определенным выше) способом, аналогичным способу, описанному для стадии ii-1 для получения соединений формулы (XXVIII).
На стадии iii-2 соединения формулы (XXXI) (в которых R4b, R5 и Z1 аналогичны определенным выше) могут быть получены по реакции соединений формулы (XXX) (в которых R4b, R5 и Z1 аналогичны определенным выше) с соответствующим галогенирующим реагентом способом, аналогичным описанному для стадии ii-2 для получения соединений формулы (XXIII).
На стадии iii-3 соединения формулы (XXXII) (в которых R3а, R4b, R5 и Z1 аналогичны определенным выше) могут быть получены по реакции соединений формулы (XXXI) (в которых R4b, R5 и Z1 аналогичны определенным выше) с соединениями формулы (XIV) (в которых R3а аналогичен определенному выше) способом, аналогичным описанному для стадии F-2 для получения соединений формулы (XV).
На стадии iii-4 соединения формулы (II-е) (в которых R3а, R4b, R5 и Z1 аналогичны определенным выше) могут быть получены путем восстановления нитрогруппы в соединениях формулы (XXXII) (в которых R3а, R4b, R5 и Z1 аналогичны определенным выше) способом, аналогичным способу, описанному для стадии i-3 для получения соединений формулы (II-b).
Соединения формулы (XXIX) коммерчески доступны или могут быть синтезированы обычными способами.
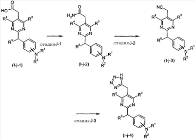
[Способ J]

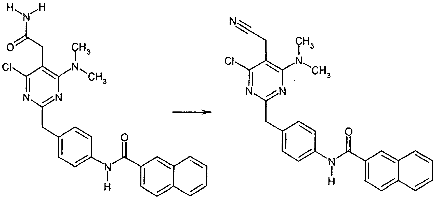
Соединения формулы (I-j-2), (I-j-3) и (I-j-4) могут быть получены по следующим методикам.
На стадии J-l соединения формулы (I-j-2) (в которых R1, R2, R3, R4 и R5 аналогичны определенным выше) могут быть получены по реакции соединений формулы (I-j-1) (в которых R1, R2, R3, R4 и R5 аналогичны определенным выше) с аммиаком.
Реакция может быть осуществлена с использованием агента, включающего, например, производное арилформиата, такого как фенилхлорформиат; галогенирующего агента, такого как SOC12 и РОС13; производного карбонилдиазола, такого как 1,1-карбонилдиимидазол (CDI) и l,l’-карбонилди(l,2,4-триазол) (CDT) и тому подобное, для активирования карбоксигруппы соединений формулы (I-j-1).
Реакция может быть осуществлена в растворителе, включая, например, галогенизированные углеводороды, такие как дихлорметан, хлороформ и 1,2-дихлорэтан; простые эфиры, такие как диэтиловый эфир, изопропиловый эфир, диоксан и тетрагидрофуран (ТГФ) и 1,2-диметоксиэтан; ароматические углеводороды, такие как бензол, толуол и ксилол; нитрилы, такие как ацетонитрил; амиды, такие как N,N-диметилформамид (ДМФА), N,N-диметилацетамид (DMAC) и N-метилпирролидон (NMP); мочевину, такую как 1,3-диметил-2-имидазолидинон (DMI), и другие. Необязательно два или более из растворителей, выбранных из перечисленных выше, могут быть смешаны и использованы.
Необязательно температуру реакции могут задавать в зависимости от состава соединений, участвующих в реакции. Температура реакции обычно, без ограничения, попадает в интервал от приблизительно 0°C до 180°C и предпочтительно от приблизительно 20°C до 100°C. Обычно реакцию могут проводить в течение времени от 30 минут до 24 часов и предпочтительно от 1 часа до 12 часов.
На стадии J-2 соединения формулы (I-j-3) (в которых R1, R2, R3, R4 и R5 аналогичны определенным выше) могут быть получены реакцией соединений формулы (I-j-2) (в которых R1, R2, R3, R4 и R5 аналогичны определенным выше) с использованием агента, включающего, например, трифторуксусный ангидрид.
Реакция может быть осуществлена в отсутствие растворителя или в растворителе, включающем, например, галогенизированные углеводороды, такие как дихлорметан, хлороформ и 1,2-дихлорэтан; простые эфиры, такие как диэтиловый эфир, изопропиловый эфир, диоксан и тетрагидрофуран (ТГФ) и 1,2-диметоксиэтан; ароматические углеводороды, такие как бензол, толуол и ксилол, и другие. Необязательно два или более из растворителей, выбранных из перечисленных выше, могут быть смешаны и использованы.
Необязательно температуру реакции могут задавать в зависимости от состава соединений, участвующих в реакции. Температура реакции обычно, без ограничения, попадает в интервал от приблизительно 0°C до 180°C и предпочтительно от приблизительно 20°C до 100°C. Обычно реакцию могут проводить в течение времени от 30 минут до 48 часов и предпочтительно от 1 часа до 24 часов.
На стадии J-3 соединения формулы (I-j-4) (в которых R1, R2, R3, R4 и R5 аналогичны определенным выше) могут быть получены по реакции соединений формулы (I-j-3) (в которых R1, R2, R3, R4 и R5 аналогичны определенным выше) с агентом, включающим, например, азид натрия.
Реакция преимущественно может быть проведена в присутствии катализатора, включающего, например, дибромид цинка и другие.
Реакция может быть осуществлена в растворителе, включая, например, галогенизированные углеводороды, такие как дихлорметан, хлороформ и 1,2-дихлорэтан; простые эфиры, такие как диэтиловый эфир, изопропиловый эфир, диоксан и тетрагидрофуран (ТГФ) и 1,2-диметоксиэтан; ароматические углеводороды, такие как бензол, толуол и ксилол; спирты, такие как метанол, этанол, 1-пропанол, изопропанол и трет-бутанол, воду и другие. Необязательно два или более из растворителей, выбранных из перечисленных выше, могут быть смешаны и использованы.
Необязательно температуру реакции могут задавать в зависимости от состава соединений, участвующих в реакции. Температура реакции обычно, без ограничения, попадает в интервал от приблизительно 0°C до 180°C и предпочтительно от приблизительно 20°C до 100°C. Обычно реакцию могут проводить в течение времени от 30 минут до 48 часов и предпочтительно от 1 часа до 24 часов.
Соединения формулы (I-j-1) могут быть синтезированы способом [A], [B], [C], [D], [E], [F], [G], [H] или [I], которые описаны выше.
Типичные соли соединения, определяемого формулой (I), включают соли, полученные взаимодействием соединений по настоящему изобретению с минеральной или органической кислотой или с органическим или неорганическим основанием. Такие соли известны как кислотно-аддитивные и основно-аддитивные соли соответственно.
Кислоты, которые используют для образования кислотно-аддитивных солей, включают неорганические кислоты, такие как, кроме прочих, серная кислота, фосфорная кислота, хлористоводородная кислота, бромистоводородная кислота, иодистоводородная кислота и тому подобное, и органические кислоты, кроме прочих, такие как п-толуолсульфокислота, метансульфокислота, щавелевая кислота, п-бромфенилсульфокислота, угольная кислота, янтарная кислота, лимонная кислота, бензойная кислота, уксусная кислота и тому подобное.
Основно-аддитивные соли включают соли, полученные из неорганических оснований, кроме прочих, таких как гидроокись аммония, гидроокись щелочного металла, гидроокиси, карбонаты, бикарбонаты щелочноземельных металлов и тому подобное, и органические основания, кроме прочих, такие как этаноламин, триэтиламин, трис(гидроксиметил)аминометан и тому подобное. Примеры неорганических оснований включают гидроксид натрия, гидроксид калия, карбонат калия, карбонат натрия, бикарбонат натрия, бикарбонат калия, гидроксид кальция, карбонат кальция и тому подобное.
Соединение по настоящему изобретению или его соли в зависимости от заместителей могут быть модифицированы с образованием сложных эфиров низших алкиловых спиртов или других известных сложных эфиров и/или гидратов или других сольватов. Эти сложные эфиры, гидраты и сольваты включены в рамки настоящего изобретения.
Соединения по настоящему изобретению могут также быть использованы в форме пролекарств, которые включают сложные эфиры. Примеры таких сложных эфиров, которые применимы в качестве пролекарств для соединений, содержащих карбоксильные группы, можно найти на страницах 14-21 труда Bioreversible Carriers in Drug Design: Theory and Application , edited by E. B. Roche, Pergamon Press, New York (1987). Характерные карбоксизащитные группы представляют собой С1-8алкил, (например, метил, этил или третичный бутил и тому подобное); галогеналкил; алкенил; циклоалкилалкил и их замещенные производные, такие как циклогексилметил, циклопентилметил и тому подобное; арилалкил, например фенэтил или бензил и их замещенные производные, такие как алкоксибензильные группы и тому подобное; арилалкенил, например фенилэтенил и тому подобное; арил и его замещенные производные, например 5-инданил и тому подобное; диалкиламиноалкил (например, диметиламиноэтил и тому подобное); алканоилоксиалкильные группы, такие как ацетоксиметил, бутирилоксиметил, валерилоксиметил, изобутирилоксиметил, изовалерилоксиметил, 1-(пропионилокси)-1-этил, 1-(пивалоилокси1)-1-этил, 1-метил-1-(пропионилокси)-1-этил, пивалоилоксиметил, пропионилоксиметил и тому подобное; циклоалканоилоксиалкильные группы, такие как циклопропилкарбонилоксиметил, циклобутилкарбонилоксиметил, циклопентилкарбонилоксиметил, циклогексилкарбонилоксиметил и тому подобное; ароилоксиалкил, такой как бензоилоксиметил, бензоилоксиэтил и тому подобное; арилалкилкарбонилоксиалкил, такой как бензилкарбонилоксиметил, 2-бензилкарбонилоксиэтил и тому подобное; алкоксикарбонилалкил, такой как метоксикарбонилметил, циклогексилоксикарбонилметил, 1-метоксикарбонил-1-этил, и тому подобное; алкоксикарбонилоксиалкил, такой как метоксикарбонилоксиметил, т-бутилоксикарбонилоксиметил, 1-этоксикарбонилокси-1-этил, 1-циклогексилоксикарбонилокси-1-этил и тому подобное; алкоксикарбониламиноалкил, такой как т-бутилоксикарбониламинометил и тому подобное; алкиламинокарбониламиноалкил, такой как метиламинокарбониламинометил и тому подобное; алканоиламиноалкил, такой как ацетиламинометил и тому подобное; гетероциклический карбонилоксиалкил, такой как 4-метилпиперазинилкарбонилоксиметил и тому подобное; диалкиламинокарбонилалкил, такой как диметиламинокарбонилметил, диэтиламинокарбонилметил и тому подобное; (5-(низший алкил)-2-оксо-1,3- диоксолен-4-ил)алкил, такой как (5-т-бутил-2-оксо-1,3-диоксолен-4-ил)метил и тому подобное; и (5-фенил-2-оксо-1,3-диоксолен-4-ил)алкил, такой как (5-фенил-2-оксо-1,3-диоксолен-4-ил)метил и тому подобное.
Соединения по настоящему изобретению могут быть введены в оральной форме, в такой как, кроме прочих, обычные и покрытые энтеросолюбильной оболочкой таблетки, капсулы, пилюли, порошки, гранулы, эликсиры, настойки, растворы, суспензии, сиропы, твердые и жидкие аэрозоли и эмульсии. Они также могут быть введены в парентеральных формах, таких как, кроме прочих, внутривенные, интраперитональные, подкожные, внутримышечные и тому подобные формы, хорошо известные специалистам среднего уровня компетентности в фармацевтической области. Соединения по настоящему изобретению могут быть введены в интраназальной форме посредством местного применения подходящих интраназальных растворителей или трансдермальным путем введения, используя трансдермальные системы доставки, хорошо известные специалистам среднего уровня компетентности в данной области.
Схему приема лекарственного средства при использовании соединениий по настоящему изобретению выбирает один из специалистов среднего уровня компетентности в данной области, принимая во внимание многообразие факторов, включающих, кроме прочих, возраст, массу, пол и условия лечения реципиента, тяжесть состояния, которое предстоит лечить, путь введения лекарственного средства, уровень метаболической и экскреторной деятельности реципиента, использованные дозировочные формы, конкретные соединения и их соли, которые используют.
Соединения по настоящему изобретению предпочтительно до введения объединяют вместе с одним или несколькими фармацевтически приемлемыми наполнителями. Наполнители представляют собой инертные вещества, такие, кроме прочих, как носители, разбавители, корригенты, подсластители, смазывающее вещества, солюбилизаторы, суспендирующие агенты, связывающие вещества, агенты, расщепляющие таблетки и инкапсулирующее вещество.
Еще один вариант осуществления по настоящему изобретению представляет собой фармацевтический препарат, содержащий соединение по изобретению и один или несколько фармацевтически приемлемых наполнителей, которые совместимы с другими компонентами препарата и не вредны для реципиента. Поэтому фармацевтические препараты по изобретению получают объединением терапевтически эффективного количества соединений по изобретению вместе с одним или несколькими фармацевтически приемлемыми наполнителями. При составлении композиций по настоящему изобретению активный компонент могут смешивать с разбавителем или заключать внутри носителя, который может быть в виде капсулы, саше, пакета или другой емкости. Носитель может служить в качестве разбавителя, который может быть твердым, полутвердым или жидким веществом, которое функционирует как носитель, или может быть в виде таблеток, пилюль, порошков, лепешек, эликсиров, суспензий, эмульсий, растворов, сиропов, аэрозолей, мазей, содержащих, например, до 10 мас.% активного соединения, пластичных и твердых желатиновых капсул, суппозиториев, стерильных инъецируемых растворов и порошков в стерильной упаковке.
Для орального введения активный компонент может быть объединен с оральным и нетоксичным, фармацевтически приемлемым носителем, таким как, кроме прочих, лактоза, крахмал, сахароза, глюкоза, карбонат натрия, маннит, сорбит, карбонат кальция, фосфат кальция, сульфат кальция, метилцеллюлоза и тому подобное; необязательно вместе с агентами, улучшающими распад фармацевтической формы, такими как, кроме прочих, маис, крахмал, метилцеллюлоза, агарбентонит, ксантановая смола, альгиновая кислота и тому подобное; и необязательно со связывающими агентами, например, кроме прочих, такими как желатин, природные сахара, бета-лактоза, зерно, подсластители, природные и синтетические смолы, аравийская камедь, трагакант, альгинат натрия, карбоксиметилцеллюлоза, полиэтиленгликоль, воски и тому подобное; и необязательно со смазывающими агентами, например, кроме прочих, такими как стеарат магния, стеарат натрия, стеариновая кислота, олеат натрия, бензоат натрия, ацетат натрия, хлорид натрия, тальк и тому подобное.
В виде порошка носитель может представлять собой тонко измельченное твердое вещество в смеси с тонко измельченным активным компонентом. Активный компонент может быть смешан с носителем, обладающим связывающими свойствами в нужных пропорциях и уплотненным до требуемых размера и формы, для получения таблеток. Порошки и таблетки предпочтительно содержат от приблизительно 1 до приблизительно 99 массовых процентов активного компонента, который представляет собой новейшую композицию по настоящему изобретению. Пригодные твердые носители представляют собой магний-карбоксиметилцеллюлозу, воски, имеющие низкую температуру плавления, и масло-какао.
Стерильные жидкие препараты включают суспензии, эмульсии, сиропы и элексиры. Активный компонент может быть растворен или суспендирован в фармацевтически приемлемом носителе, таком как стерильная вода, стерильный органический растворитель или смесь и стерильной воды и стерильного органического растворителя.
Активный компонент может также быть растворен в пригодном органическом растворителе, например водном пропиленгликоле. Другие композиции могут быть получены диспергированием тонкоизмельченного активного компонента в водном крахмале или растворе натрий-карбоксиметилцеллюлозы или в пригодном жидком масле.
Препарат может находиться в единичной лекарственной форме, которая представляет собой отдельную физическую единицу, содержащую разовую дозу, пригодную для введения человеку или другому млекопитающему. Единичная лекарственная форма может представлять собой капсулу или таблетки или некоторое количество капсул или таблеток. Единица дозы представляет собой заданное количество активного соединения по настоящему изобретению, связанного с одним или несколькими наполнителями, рассчитанное таким образом, чтобы произвести требуемый терапевтический эффект. Количество активного компонента в единице дозы можно регулировать или варьировать от приблизительно 0,1 до приблизительно 1000 миллиграмм или более в соответствии с конкретно осуществляемым лечением.
Типичные оральные дозы соединения по настоящему изобретению, когда их используют для получения указанных эффектов, будут находиться в диапазоне от приблизительно 1 мг /кг/день до приблизительно 10 мг/кг/день. Соединения по настоящему изобретению могут быть введены в виде единственной дневной дозы, или дневная доза может быть введена в разделенных дозах, два, три или более раз в день. Там, где доставку осуществляют через трансдермальные формы введения, введение, конечно, является непрерывным.
ПРИМЕРЫ
Настоящее изобретение будет описано в форме примеров, которые ни в коей мере не должны быть истолкованы как ограничивающие рамки настоящего изобретения.
В примерах, приведенных ниже, все количественные данные, если не оговорено особо, приведены в массовых процентах.
Масс-спектры получали, используя технику ионизации электрораспылением (micromass Platform LC). Температуры плавления не корректировали. Данные жидкостной хромато-масс-спектрометрии (LC-MS) были получены на Micromass Platform LC с колонкой Shimadzu Phenomenex ODS (диаметр 4,6 мм X 30 мм), элюент – ацетонитрил/вода (в соотношении от 9:1 до 1:9) с объемным расходом 1 мл/мин. ТСХ осуществляли на предварительно модифицированной пластине силикагеля (марки Merck silica gel 60 F-254). Силикагель (марки WAKO-gel C-200 (75-150 мкм)) использовали для всех колоночных хроматографических разделений. Все химические реагенты имели степень чистоты химически чистый и были закуплены у фирм Sigma-Aldrich, Wako pure chemical industries, Ltd., Great Britain, Tokyo kasei kogyo Co., Ltd., Nacalai tesque, Inc., Watanabe Chemical Ind. Ltd., Maybridge plc, Lancaster Synthesis Ltd., Merck KgaA, Germany, Kanto Chemical Co., Ltd.
1H ЯМР спектры были получены с использованием спектрометра DRX-300 фирмы Bruker (с частотой 300 MГц для 1H) или спектрометра 500 UltraShieled фирмы Brucker (с частотой 500 MГц для 1H). Химические сдвиги приведены в миллионных долях (м.д.) по отношению к тетраметилсилану (TMS) в качестве внутреннего стандарта, при его собственном относительном сдвиге, принятом за 0 м.д. Константа взаимодействия (J) приведена в герцах, и аббревиатуру с, д, т, кв, м и ш.р. относят к синглету, дублету, триплету, квартету, мультиплету и широкополосному резонансу соответственно. Определение масс осуществляли на MAT95 (Finnigan MAT).
Все исходные вещества являются коммерчески доступными или могут быть получены, используя способы, приводимые в литературе.
Действие настоящих соединений исследовали с помощью нижеследующих анализов и фармакологических тестов.
ПРИМЕР 1
Получение клеточной линии L1.2, трансфецированной человеческим CRTH2
Человеческая CRTH2 к-ДНК была амплифицирована из к-ДНК человеческих эозинофилов, используя специфические праймеры гена, содержащие участки рестрикции для клонирования в pEAK векторе (Edge Bio Systems). Человеческая CRTH2 к-ДНК была клонирована в pEAK векторе, экспрессированном в клетках млекопитающих. Эта экспрессирующая плазмида (40 мкг) была трансфецирована в клетки линии LI.2 при плотности 1×107 клеток/500 мкл путем электропорации, при использовании аппаратуры Gene Pulser II, BioRad при 250В/1.000 мкФ. Через день после трансфекции в куртуральные планшеты добавляли пуромицин (1 мг/мл, сигма). Две недели спустя выращенные клетки концентрировали для дальнейшего роста.
Измерение мобилизации Ca2+ в линии клеток LI.2, трансфецированной человеческим CRTH2, (Опыт 1)
Ca2+ загружающий буфер получали путем смешивания 5 мкл Fluo-3AM (2 мM в ДМСО, окончательно, 1 мкM, Моlecular Probes) и 10 мкл плуроника F-127 (Моlecular Probes) и разбавления полученной смеси в 10 мл Ca2+ тестирующего буфера (20 мM HEPES pH 7,6, 0,1% BSA, 1 мM пробенецида, раствор Хэнкса). Клетки, трансфецированные CRTH2, которые были получены в Примере 1, промывали PBS, ресуспендировали в буфере Ca2+, нагружающем при плотности клеток 1×107 клеток/мл, и инкубировали в течение 60 мин при комнатной температуре. После инкубирования клетки промывали и ресуспендировали в буфере Ca2+ для определения, затем переносили в 96-луночные планшеты с прозрачным дном (#3631, Costar) при плотности 2 x 105 клеток/лунка. Клетки инкубировали при комнатной температуре при разных концентрациях тестируемого соединения в течение 5 минут. Испускаемое флуоресцентное излучение при 480 нм измеряли прибором FDSS6000 для определения Ca2+ (Hamamatsu Photonics, Hamamatsu, Japan). У трансфектанта наблюдали PGD2-индуцируемую концентрационно-зависимую мобилизацию Ca2+.
Анализ связывания человеческого CRTH2 рецептора (Анализ 2)
CRTH2 трансфектанты один раз промывали PBS и ресуспендировали в связывающем буфере (50 мM Трис-HC1, pH 7,4, 40 мM МgCl2, 0,1% BSA, 0,1% NaN3). Затем 100 мкл клеточной суспензии (2 x 105 клеток), меченный [3H]-изотопом PGD2, и различные концентрации тестового соединения смешивали в 96-луночном полипропиленовом планшете с U-образным дном и инкубировали в течение 60 мин при комнатной температуре, для того чтобы произошло связывание. После инкубирования клеточную суспензию помещали на фильтр (#MAFB, Millipore) и трижды промывали связывающим буфером. На фильтр добавляли люминесцирующее вещество и синтиляционным счетчиком TopCount (Packard) измеряли остающуюся на фильтре радиоактивность. Неспецифическое связывание определяли путем инкубирования клеточной суспензии и PGD2, меченным [3H] изотопом, в присутствии 1 мкM немеченного PGD2. Устойчивые к пуромицину LI.2 трансфектанты связывались с PGD2, меченным изотопом [3H], с высокой прочностью связывания (высоким аффинитетом) (KD=6,3 нM).
Определение миграции человеческих эозинофилов (Опыт 3)
Человеческие полиморфноядерные клетки получали из гепаринизированной венозной крови здоровых доноров, помещая кровь в среду для разделения моно/поли (ICN Biomedicals, Co.Ltd) и центрифугируя ее при 400 x g в течение 30 мин при комнатной температуре. После центрифугирования эозинофилы очищали от нижнего слоя полиморфноядерных клеток путем CD16 – негативной селекции, используя анти-CD16 конъюгированные магнитные шарики (Miltenyi Biotech GmbH).
Человеческие эозинофилы промывали PBS и ресуспендировали в буфер для хемотаксисиса (20 мM HEPES pH 7,6, 0,1% BSA, раствор Хэнкса) при плотности 6×106 клеток/мл. Затем пятьдесят мкл клеточной суспензии (3×105 клеток/лунка) помещали в верхнюю камеру и 30 мкл раствора лиганда (PGD2, 1 нM, конечная концентрация) добавляли в нижнюю камеру 96-луночного планшета хемотаксиса (диаметр составлял 5 мкм, 106-5, Neuro Probe). Клетки предварительно инкубировали с различными концентрациями тестового соединения в течение 10 минут при 37°C. Затем для осуществления хемотаксиса оставляли на 2 часа во влажном инкубаторе при температуре 37°C и 5% содержании CO2. Число клеток, которые мигрировали в нижнюю камеру, считывали с помощью FACScan (Becton-Dickinson).
Изучение миграции человеческих CD4 + T клеток (Опыт 4)
Человеческие мононуклеарные клетки получали из гепаринизированной венозной крови здоровых доноров, помещая кровь в среду для разделения моно/поли (ICN Biomedicals, Co.Ltd) и центрифугируя ее при 400 x g в течение 30 мин при комнатной температуре. После центрифугирования CD4+ T лимфоциты очищали от мононуклеарных клеток, используя изолирующий набор для клеток CD4+ T (Miltenyi Biotec GmbH). Человеческие CD4+ T лимфоциты промывали PBS и ресуспендировали в буфер для хемотаксиса (20 мM HEPES pH 7,6, 0,1% BSA, раствор Хэнкса) при 6×106 клеток/мл. Пятьдесят мкл клеточной суспензии (3×105 клеток/лунка) помещали в верхнюю камеру и 30 мкл раствора лиганда (PGD2, 10 нM, конечная концентрация) добавляли в нижнюю камеру 96-луночного планшета для хемотаксиса (диаметр=3 мкм, 106-3, Neuro Probe). Клетки преинкубировали с различными концентрациями тестового соединения при 37°С в течение 10 минут. Затем для осуществления хемотаксиса оставляли на 4 часа во влажном инкубаторе при температуре 37°С и 5% содержании СО2. Число клеток, которые мигрировали в нижнюю камеру, считали с помощью FACScan (Becton-Dickinson).
Результаты анализа в опыте 1 показаны в примерах и таблицах примеров, приведенных ниже. Данные соответствуют соединениям, полученным твердофазным синтезом, и, таким образом, степени чистоты, приблизительно составляющей от 40 до 90%. Для практических целей соединения по степени активности объединяют в четыре нижеследующих класса:
IC50 = А (< или =) 10 нМ < В (< или =) 100 нМ < С (< или =) 500 нМ < D
Соединения по настоящему изобретению, кроме того, обнаруживают отличную селективность и эффективность в Опытах 2, 3 и 4, описанных выше.
Символ “z”, используемый при обозначении точки плавления в нижеследующем разделе, указывает на разложение. Все неорганические кислоты и основания, если не оговорено особо, представляли собой водные растворы. Концентрации элюента выражены в % об./об.
Получение соединений
Метил [4,6-дихлор-2-(4-нитробензил)пиримидин-5-ил]ацетат
4-Нитрофенилацетонитрил (81,07 г, 500 ммоль) суспендировали в EtOH (300 мл) и добавляли диоксан (300 мл). После того как все твердые вещества растворили, сухой газообразный HC1 барботировали через реакционную смесь в течение 1 часа и затем перемешивали при комнатной температуре в течение 15 часов. Затем добавляли Et2O и разделенные твердые вещества выделяли вакуум-фильтрацией и промывали Et2O. Этот промежуточный продукт растворяли в насыщенном аммиаком EtOH и полученный таким образом раствор перемешивали при комнатной температуре в течение 14 часов. Избыточный растворитель удаляли в вакууме, чтобы получить 2-(4-нитрофенил)этанимидамидгидрохлорид (выход 73,65 г, 68%) в виде белого порошка.
К смеси триэтил 1,1,2-этантрикарбоксилата (3,51 мл, 15,30 ммоль) и 2-(4-нитрофенил)этанимидамидгидрохлорида (46,95 г, 217,72 ммоль) в безводном MeOH (300 мл) при комнатной температуре добавляли NaOMe (38,82 г, 718,49 ммоль) и полученную суспензию кипятили с обратным холодильником в течение 16 часов. После охлаждения до комнатной температуры реакционную смесь охлаждали до 0°C, подкисляли 6Н HC1 и разделенные твердые вещества выделяли вакуум-фильтрацией и промывали холодной водой. Высушивание в высоком вакууме при 45°C в течение 6 часов привело к метил [4,6-дигидрокси-2-(4-нитробензил)пиримидин-5-ил]ацетату (56,48 г, с выходом 81%) в виде тусклого белого порошка.
К суспензии метил [4,6-дигидрокси-2-(4-нитробензил)пиримидин-5-ил]ацетата (4,12 г, 12,89 ммоль) в POC13 (24 мл) при комнатной температуре в атмосфере Ar добавляли N,N-диметиланилин (8,17 мл, 64,44 ммоль) и полученную темную суспензию кипятили с обратным холодильником в течение 16 часов. После охлаждения до комнатной температуры избыточный POC13 выпаривали и остающийся темный остаток растворяли в EtOAc. Этот органический слой затем последовательно промывали насыщенным NaHCO3, водой и насыщенным раствором соли, сушили над безводным МgSO4, фильтровали и концентрировали в вакууме. Неочищенный продукт, таким образом полученный, растворяли в CH2C12 и пропускали через тонкий слой силикагеля, чтобы получить чистый метил [4,6-дихлор-2-(4-нитробензил)пиримидин-5-ил]ацетат (2,98 г, с выходом 65%) в виде не совсем белого порошка.
Метил [4-хлор-6-(диметиламино)-2-(4-нитробензил)пиримидин-5-ил]ацетат

К раствору метил [4,6-дихлор-2-(4-нитробензил)пиримидин-5-ил}ацетата (0,5 г, 1,40 ммоль) в безводном ДМФА (DMF) (5 мл) при комнатной температуре в атмосфере Ar добавили N,N-диизопропилэтиламин (0,054 мл, 3,09 ммоль) и диметиламингидрохлорид (0,126 г, 1,54 ммоль). Полученный раствор перемешивали при 85°C в течение 16 часов, за это время реакционную смесь концентрировали досуха и остаток хроматографировали на силикагеле, элюируя 50% EtOAc в н-гексане, чтобы получить метил [4-хлор-6-(диметиламино)-2-(4-нитробензил)пиримидин-5-ил]ацетат (0,505 г, с выходом 99%) в виде жидкого коричневого масла.
Метил [2-(4-аминобензил)-4-хлор-6-(диметиламино) пиримидин-5-ил]ацетат

Раствор метил [4-хлор-6-(диметиламино)-2-(4-нитробензил)пиримидин-5-ил]ацетата (1,00 г, 2,74 ммоль) в безводном THF (ТГФ) (20 мл) при комнатной температуре обрабатывали 10% Pd/C (0,100 г) и полученную черную суспензию перемешивали в атмосфере водорода. После 13 часов реакционную смесь фильтровали через Целит. Выпаривание фильтрата дало неочищенный продукт в виде прозрачного масла, которое пропускали через короткую колонку, элюируя 40% EtOAc в н-гексане, чтобы получить метил [2-(4-аминобензил)-4-хлор-6-(диметиламино)пиримидин-5-ил]ацетат (0,876 г, с выходом 95%) в виде светло-оранжевого масла, которое медленно затвердевало при стоянии при комнатной температуре.
Пример 1-1
{4-Хлор-6-(диметиламино)-2-[4-(2-нафтоиламино)бензил]-пиримидин-5-ил}уксусная кислота

К смеси метил [2-(4-аминобензил)-4-хлор-6-(диметиламино)пиримидин-5-ил]ацетата (0,090 г, 0,30 ммоль) и PyBOP (0,187 г, 0,36 ммоль) в безводном ДМФА (DMF) (1 мл) при комнатной температуре добавляли 2-нафтойную кислоту (0,062 г, 0,36 ммоль). Полученную реакционную смесь перемешивали при комнатной температуре в течение 3 часов, в это время добавляли воду и полученную водную фазу экстрагировали EtOAc. Объединенные органические экстракты последовательно промывали 0,5Н HCl, насыщенным раствором NaHCO3 и насыщенным раствором соли, сушили над безводным МgSO4, фильтровали и концентрировали в вакууме, чтобы получить метил{4-хлор-6-(диметиламино)-2-[4-(2-нафтоиламино)бензил]пиримидин-5-ил}ацетат в виде бесцветного масла.
Таким образом полученный метил{4-хлор-6-(диметиламино)-2-[4-(2-нафтоиламино)бензил]пиримидин-5-ил)ацетат растворяли в ТГФ (1 мл) и обрабатывали 1Н NaOH (0,5 мл). Полученную в результате двухфазную смесь перемешивали при комнатной температуре в течение 14 часов, после этого ее выливали в воду. Отделенную водную фазу промывали EtOAc и затем подкисляли 1Н HCl и проводили обратную экстракцию EtOAc. Объединенные органические экстракты промывали насыщенным раствором соли, сушили над безводным МgSO4, фильтровали и концентрировали в вакууме. Неочищенный продукт, полученный таким образом, растворяли в минимальном объеме ТГФ, к которому добавляли н-гексан. Выпавший осадок выделяли вакуум-фильтрацией, промывали н-гексаном и сушили в вакууме, чтобы получить {4-хлор-6-(диметиламино)-2-[4-(2-нафтоиламино)бензил]пиримидин-5-ил}уксусную кислоту (0,038 г, с выходом 40%,) в виде белого порошка.
1H ЯМР (300 МГц, ДМСО-d6) : 3,05 (с, 6H), 3,67 (с, 2H), 3,93 (с, 2H), 7,32 (д, J=8 Гц, 2H), 7,59-7,68 (м, 2H), 7,75 (д, J=8 Гц, 2H), 8,00-8,10 (м, 4H), 8,57 (с, 1H), 10,40 (с, 1H), 12,77 (шир.с, 1H).
Молекулярная масса: 474,95
Масс-спектрометрия: 475
Температура плавления: 188Z°C
Класс активности: A
Как показано в таблице 1, соединения в примерах от 1-2 до 1-68 были синтезированы способом, аналогичным способу, описанному в примере 1-1.
Таблица 1
                
Метил[2-(4-аминобензил)-4-(диметиламино)пиримидин-5-ил]ацетат

Суспензию метил [4-хлор-6-(диметиламино)-2-(4-нитробензил)пиримидин-5-ил]ацетата (3,00 г, 8,22 ммоль) и ацетата калия (2,42 г, 24,7 ммоль) в метаноле (30 мл) обрабатывали 10% Pd/C (1,00 г). Полученную в результате черную суспензию перемешивали в атмосфере водорода в течение 15 часов и затем фильтровали через Целит. Остаток промывали метанолом, а фильтрат концентрировали досуха перед распределением между EtOAc и водой. Отделенный органический слой последовательно промывали насыщенным NaHCO3 и насыщенным раствором соли, сушили над безводным МgSO4, фильтровали и концентрировали в вакууме. Хроматографическая очистка (силикагель, 1% MeOH в CHC13) таким образом полученного неочищенного продукта дала метил [2-(4-аминобензил)-4-(диметиламино)пиримидин-5-ил]ацетат (2.40 г, с выходом 97%) в виде коричневого масла.
Пример 2-1
{4-(Диметиламино)-2-[4-(2-нафтоиламино)бензил]пиримидин-5-ил} уксусная кислота

Раствор, содержащий метил [2-(4-аминобензил)-4-(диметиламино)пиримидин-5-ил]ацетат (0,090 г, 0,30 ммоль) и PyBOP (0,187 Г, 0,36 ммоль) в безводном ДМФА (1 мл), при комнатной температуре обрабатывали 2-нафтойной кислота (0,062 г, 0,36 ммоль). Реакционную смесь перемешивали в течение 3 часов перед разбавлением водой. Таким образом погашенную реакционную смесь экстрагировали EtOAc и объединенные органические вытяжки промывали последовательно 0,5Н HCl, насыщенным NaHCO3, насыщенным раствором соли, сушили над безводным МgSO4, фильтровали и концентрировали досуха, чтобы получить неочищенный продукт, метил{4-(диметиламино)-2-[4-(2-нафтоиламино)бензил]пиримидин-5-ил}ацетат.
Таким образом полученный метил-{4-(диметиламино)-2-[4-(2-нафтоиламино)бензил]пиримидин-5-ил}ацетат растворяли в ТГФ (6 мл) и обрабатывали 1Н NaOH (3 мл). Двухфазную реакционную смесь перемешивали при комнатной температуре в течение 14 часов и затем добавляли Et2O. Органический слой отделяли декантацией и остающийся водный слой нейтрализовали 6Н HCl. Разделенные твердые вещества выделяли вакуум-фильтрацией, растирали с диизопропиловым эфиром и фильтровали, для того чтобы получить {4-(диметиламино)-2-[4-(2-нафтоиламино)бензил]пиримидин-5-ил} уксусную кислоту (0,047 г, с выходом 36%).
1Н ЯМР (500 MГц, ДМСО-d6) : 3,04 (с, 6H), 3,65 (с, 2H), 3,93 (с, 2H), 7,32 (д, J=9 Гц, 2H), 7,60-7,66 (м, 2H), 7,73 (д, J=9 Гц, 2H), 7,97 (с, 1H), 8,00-8,09 (м, 4H), 10,35 (с, 1H), 12,54 (с, 1Н).
Молекулярная масса: 440,51
Масс-спектрометрия: 441
Температура плавления: 210°C
Класс активности: A
Соединения в примерах от 2-2 до 2-36, как показано в таблице 2, были синтезированы способом, аналогичным описанному в примере 2-1.
Таблица 2
        
Метил[2-(4-аминобензил)-4,6-дихлорпиримидин-5-ил]ацетат

Раствор метил[4,6-дихлор-2-(4-нитробензил)пиримидин-5-ил]ацетат (2,00 г, 5,62 ммоль) в безводном ТГФ (50 мл) обрабатывали Pd/C (10% Pd, 0,200 г) и полученную в результате черную суспензию перемешивали в атмосфере водорода при комнатной температуре. После 16 часов реакционную смесь фильтровали через Целит и осадок промывали большим количеством MeOH. Фильтрат концентрировали в вакууме, чтобы получить неочищенный продукт в виде темно-желтого масла, которое хроматографировали (силикагель, 40% EtOAc в н-гексане) для получения метил[2-(4-аминобензил)-4,6-дихлорпиримидин-5-ил]ацетата (1,32 г, с выходом 72%) в виде белого порошка.
Метил{4,6-дихлор-2-[4-(2-нафтоиламино)бензил]пиримидин-5-ил}ацетат

Смесь метил[2-(4-аминобензил)-4,6-дихлорпиримидин-5-ил]ацетата (0,073г, 0,23 ммоль), 2-нафтойной кислоты (0,048 г, 0,028 ммоль) и WSCI (0,049 г, 0,026 ммоль) в безводном ТГФ (3 мл) перемешивали при комнатной температуре в атмосфере Ar в течение 10 часов. Затем вводили EtOAc (80 мл) и органическую фазу промывали последовательно насыщенным NaHCO3, водой и насыщенным раствором соли, сушили над безводным МgSO4, фильтровали и концентрировали в вакууме. Неочищенный продукт, таким образом полученный, в виде светло-оранжевого масла растирали с диизопропиловым эфиром и разделенные твердые вещества выделяли вакуум-фильтрацией, чтобы получить метил{4,6-дихлор-2-[4-(2-нафтоиламино)бензил]пиримидин-5-ил}ацетат (0,090 г, с выходом 78%) в виде белого порошка.
Пример 3-1
{4-хлор-2-[4-(2-нафтоиламино)бензил]-6-пирролидин-l-илпиримидин-5-ил} уксусная кислота

Смесь метил{4,6-дихлор-2-[4-(2-нафтоиламино)бензил]-пиримидин-5-ил}ацетата (0,100 г, 0,21 ммоль), пирролидина (0,019 мл, 0,23 ммоль) и N,N-диизопропилэтиламина (0,109 мл, 0,62 ммоль) в безводном ДМФА (2 мл) перемешивали при 80°C в течение 5 часов. После охлаждения до комнатной температуры растворитель выпаривали, а остающийся остаток растворяли в EtOAc. Этот органический раствор последовательно промывали 1Н раствором HC1, водой и насыщенным раствором соли, сушили над безводным МgSO4, фильтровали и концентрировали в вакууме. Очистка препаративной ТСХ позволила получить метил{4-хлор-2-[4-(2-нафтоиламино)бензил]-6-пирролидин-1-илпиримидин-5-ил}ацетат (0,100 г, с выходом 95%) в виде белого порошка.
Раствор метил{4-хлор-2-[4-(2-нафтоиламино)бензил]-6-пирролидин-1-илпиримидин-5-ил}ацетата (0,085 г, 0,17 ммоль) в ТГФ (3 мл) обрабатывали 1Н раствором NaOH (1,5 мл) и двухфазную смесь перемешивали при комнатной температуре в течение 45 часов. Затем добавляли Et2O и органический слой отделяли декантацией. Остающийся водный слой охлаждали до 0°C и подкисляли 6Н HC1. Разделенные твердые вещества выделяли вакуум-фильтрацией и промывали водой. Высушивание при высоком вакууме при 45°C в течение 5 часов давало {4-хлор-2-[4-(2-нафтоиламино)бензил]-6-пирролидин-1-илпиримидин-5-ил}уксусную кислоту (0,050 г, с выходом 56%) в виде не совсем белого порошка.
1Н ЯМР (300 MГц, ДМСО-d6) : 1,86 (шир.с, 4H), 3,59 (шир.с, 4H), 3,78 (с, 2H), 3,88 (с, 2H), 7,32 (д, J=9 Гц, 2H), 7,63 (м, 2H), 7,96-8,13 (м, 4H), 8,57 (с, 1H), 10,39 (с, 1H), 12,72 (с, 1H).
Молекулярная масса: 500,99
Масс-спектрометрия: 501
Температура плавления: 196Z°C
Класс активности: A
Соединения в примерах от 3-2 до 3-16, как показано в таблице 3, были синтезированы способом, аналогичным способу, описанному в примере 3-1.
Таблица 3
   
Пример 4-1
{2-{4-[(анилинокарбонил)амино]бензил}-4-хлор-6-[[2-(циклопентиламино)-2-оксоэтил](метил)амино]пиримидин-5-ил}уксусная кислота

Раствор метил(2-(4-аминобензил)-4-хлор-6-[[2-(циклопентиламино)-2-оксоэтил](метил)амино]пиримидин-5-ил}ацетат (0,050 г, 0,11 ммоль) в ДМФА (2 мл) обрабатывали фенилизоцианатом (0,022 мл, 0,20 ммоль). После перемешивание при комнатной температуре в течение 18 часов добавляли EtOAc и органическую фазу промывали 8% NaHCO3 и насыщенным раствором соли, сушили над безводным Na2SO4, фильтровали и концентрировали в вакууме. Неочищенный продукт, поолученный таким образом, растирали с CH2C12 и диизопропиловым простым эфиром, чтобы получить метил{2-{4-[(анилинокарбонил)амино]бензил}-4-хлор-6-[[2-(циклопентиламино)-2-оксоэтил](метил)амино]пиримидин-5-ил}ацетат (0,055 г, с выходом 87%) в виде белого порошка.
К раствору метил{2-{4-[(аминокарбонил)амино]бензил}-4-хлор-6-[[2-(циклопентиламино)-2-оксоэтил](метил)амино]пиримидин-5-ил}ацетата (0,047 г, 0,083 ммоль) в ТГФ (3 мл) добавляли 1Н раствор NaOH (1,5 мл) и двухфазную смесь перемешивали при комнатной температуре в течение 18 часов. Добавляли Et2O и разделившийся органический слой отделяли декантацией. Остающийся водный слой подкисляли 6Н HCl и разделенные твердые вещества выделяли вакуум-фильтрацией и промывали водой и диизопропиловым эфиром. Высушивание в высоком вакууме в течение 5 часов давало метил-{2-{4-[(анилинокарбонил)амино]бензил}-4-хлор-6-[[2-(циклопентиламино)-2-оксоэтил](метил)амино]пиримидин-5-ил}ацетата (0,026 г, с выходом 56%) в виде белого порошока.
1Н ЯМР (300 MГц, ДМСО-d6) : 1,261,82(м, 8H), 3,08 (с, 3H), 3,69 (с, 2H), 3,81 (с, 2H), 3,98 (с, 2H), 4,00-4,18 (м, 1H), 6,95 (т, J=7 Гц, 1H), 7,20 (д, J=9 Гц, 2H), 7,27 (т, J=8 Гц, 2H), 7,35 (д, J=9 Гц, 2H), 7,43 (д, J=8 Гц, 2H), 7,94 (д, J=7 Гц, 1H), 8,61 (д, J=5 Гц, 2H), 12,76 (ушир.с, 1Н).
Молекулярная масса: 551,05
Масс-спектрометрия: 551
Температура плавления: 153 Z°C
Класс активности: В
Соединения в примерах от 4-2 до 4-4, как показано в таблице 4, были синтезированы способом, аналогичным описанному в примере 4-1.
Таблица 4
 
Пример 5-1
{4-хлор-2-{4-[(циклогексилметил)амино]бензил}-6-[|2-(циклопентиламино)-2-оксоэтил](метил)амино]пиримидин-5-ил}уксусная кислота

Смесь метил{2-(4-аминобензил)-4-хлор-6-[[2-(циклопентиламино)-2-оксоэтил](метил)амино]пиримидин-5-ил}ацетата (0,150 г, 0,336 ммоль), циклогексанкарбальдегида (0,042 г, 0,370 ммоль), уксусной кислоты (0,019 мл, 0,336 ммоль) и триацетоксиборогидрида натрия (0,107 г, 0,505 ммоль) в 1,2-дихлорэтане (3 мл) перемешивали в течение ночи при комнатной температуре. Затем добавляли воду и смесь нейтрализовали 1Н NaOH с последующим экстрагированием дихлорметаном. Объединенные органические вытяжки последовательно промывали водой и насыщенным раствором соли, сушили над безводным МgSO4, фильтровали и концентрировали в вакууме. Неочищенный продукт, полученный таким образом, хроматографировали препаративной ТСХ, чтобы получить метил{4-хлор-2-{4-[(циклогексилметил)амино]бензил}-6-[[2-(циклопентиламино)-2-оксоэтил](метил)амино]пиримидин-5-ил}ацетат (0,092 г, с выходом 51%) в виде аморфного твердого вещества.
Раствор метил{4-хлор-2-{4-[(циклогексилметил)амино]-бензил}-6-[[2-(циклопентиламино)-2-оксоэтил](метил)амино]пиримидин-5-ил}ацетата (0,083 г, 0,15 ммоль) в ТГФ (5 мл) обрабатывали 1Н раствором NaOH (2,5 мл) и полученную смесь перемешивали при комнатной температуре в течение 13 часов. Следом за нейтрализацией 6Н HCl погашенную реакционную смесь выпаривали досуха и остающийся остаток растворяли в EtOH. Нерастворимые неорганические соли удаляли фильтрованием и фильтрат концентрировали в вакууме. Неочищенный продукт, полученный таким образом, очищали препаративной ТСХ, элюируя 15% EtOH в CH2C12, чтобы получить (4-хлор-2-{4-[(циклогексилметил)амино]бензил}-6-[[2-(циклопентиламино)-2-оксоэтил](метил)амино]пиримидин-5-ил}уксусную кислоту (0,023 г, с выходом 28%) в виде прозрачного масла.
1Н ЯМР (300 MГц, CDCl3) : 0,85-1,32 (м, 4H), 1,48-1,95 (м, 15H), 2,80-3,05 (м, 7H), 3,73 (с, 2H), 3,89 (с, 2H), 4,01 (с, 2H), 6,51 (д, J=9 Гц, 2H), 6,69 (д, J=7 Гц, 1H), 7,13 (д, J=7 Гц, 2H).
Молекулярная масса: 528,0,10
Масс-спектрометрия: 528
Класс активности: D
Соединения в примерах от 5-2 до 5-5, как показано в таблице 5, были синтезированы способом, аналогичным способу, описанному в примере 5-1.
Таблица 5
 
Пример 6-1
[4-Хлор-2-{4-[(4-хлорбензоил)(метил)амино]бензил}-6-(диметиламино)пиримидин-5-ил]уксусная кислота

К уксусному ангидриду (0,48 мл, 5,13 ммоль) при 0°C в атмосфере Ar по каплям добавляли муравьиную кислоту (0,24 мл, 6,31 ммоль) с последующим нагреванием смеси в течение 2 часов при 60°C. После охлаждения до комнатной температуры добавляли ТГФ (1 мл) с последующим растворением метил [2-(4-аминобензил)-4-хлор-6-(диметиламино)пиримидин-5-ил]ацетата (0,660 г, 1,97 ммоль) в ТГФ (1 мл). Затем все это перемешивали в течение 3 часов и концентрировали досуха. Остающийся остаток растворяли в ТГФ и охлаждали до 0°C с последующим добавлением по каплям борандиметилсульфидного комплекса, до тех пор пока не прекращалось энергичное выделение пузырьков газа. Смесь подвергали осторожному кипячению с обратным холодильником в течение 14 часов и затем охлаждали до 0°C. Добавляли метанол и смесь перемешивали при комнатной температуре в течение 1 часа с последующим добавлением концентрированной HC1 до pH ~5 и перемешивание продолжали в течение еще 30 минут. Растворитель выпаривали в вакууме, остающийся остаток подщелачивали водой и 1Н раствором NaOH и водный слой экстрагировали Et2O. Объединенные органические экстракты сушили над безводным Na2SO4, фильтровали и концентрировали досуха, чтобы получить неочищенный продукт, который хроматографировали на силикагеле, при элюировании 5% ацетоном в CH2C12, чтобы получить метил{4-хлор-6-(диметиламино)-2-[4-(метиламино)бензил]пиримидин-5-ил}ацетат (0,260 г, с выходом 38%) в виде бледно-желтого масла.
Раствор метил {4-хлор-6-(диметиламино)-2-[4-(метиламино)бензил]пиримидин-5-ил}ацетата (0,080 г, 0,23 ммоль), 1-гидроксибензотриазола (0,043 г, 0,32 ммоль), триэтиламина (0,11 мл, 0,80 ммоль) и 4-хлорбензойной кислоты (0,043 г, 0,28 ммоль) обрабатывали WSCI (0,066 г, 0,34 ммоль) при комнатной температуре и реакционную смесь перемешивали при комнатной температуре в течение 16 часов. Затем добавляли EtOAc и органический слой промывали последовательно 0,5Н HC1, насыщенным раствором NaHCO3 и насыщенным раствором соли, сушили над безводным МgSO4, фильтровали и концентрировали досуха, чтобы получить неочищенный продукт метил [4-хлор-2-{4-[(4-хлорбензоил)(метил)амино]бензил}-6-(диметиламино)пиримидин-5-ил]ацетат.
Этот неочищенный метил [4-хлор-2-{4-[(4-хлорбензоил)-метил)амино]бензил}-6-(диметиламино)пиримидин-5-ил]ацетат растворяли в ТГФ (3 мл) и обрабатывали 1Н раствором NaOH (2 мл) и перемешивали при комнатной температуре в течение 24 часов. Et2O добавляли и органическую фазу отделяли декантацией. Остающийся водный слой подкисляли 6Н HC1 до pH~5 и разделенные твердые вещества выделяли вакуум-фильтрацией и промывали водой и диизопропиловым эфиром. Высушивание в высоком вакууме при комнатной температуре в течение 4 часов дало [4-хлор-2-{4-[(4-хлорбензоил)(метил)амино]бензил}-6-(диметиламино)пиримидин-5-ил]уксусную кислоту (0,029 г, с выходом 27%) в виде бледно-желтого порошка.
1Н ЯМР (300 MГц, ДМСО-d6) : 2,50 (с, 3Н), 2,98 (с, 6H), 3,65 (с, 2H), 3,88 (с, 2H), 7,10 (д, J=9 Гц, 2H), 7,20 (д, J=9 Гц, 2H), 7,20-7,27 (шир.с, 4H), 12,77 (шир.с, 1H).
Молекулярная масса: 473,36
Масс-спектрометрия: 473
Температура плавления: >68 Z°С
Класс активности: C
Соединения в примерах от 6-2 до 6-3, как показано в таблице 6, были синтезированы способом, аналогичным способу, описанному в примере 6-1.
Пример 7-1
{4-(Диметиламино)-6-морфолин-4-ил-2-[4-(2-нафтоиламино)бензил]пиримидин-5-ил}уксусная кислота

К смеси метил[2-(4-аминобензил)-4-хлор-6-(диметиламино)пиримидин-5-ил]ацетата (0,090 г, 0,30 ммоль) и PyBOP (0,187 г, 0,36 ммоль) в безводном ДМФА (1 мл) при комнатной температуре добавляли 2-нафтойную кислоту (0,062 г, 0,36 ммоль). Полученную реакционная смесь перемешивали при комнатной температуре в течение 3 часов, в это время добавляли воду и полученную в результате водную фазу экстрагировали EtOAc. Объединенные органические экстракты последовательно промывали 0,5Н HC1, насыщенным раствором NaHCO3 и насыщенным раствором соли, сушили над безводным МgSO4, фильтровали и концентрировали в вакууме, чтобы получить метил {4-хлор-6-(диметиламинo)-2-[4-(2-нафтоиламино)бензил]пиримидин-5-ил}ацетат в виде бесцветного масла.
Смесь метил {4-хлор-6-(диметиламино)-2-[4-(2-нафтоиламино)бензил]пиримидин-5-ил}ацетата (0,094 г, 0,19 ммоль) и морфолина (0,048 мл, 0,55 ммоль) в DMPU (2 мл) нагревали при 150°C в запаянной трубке в течение 15 часов. После охлаждения до комнатной температуры реакционную смесь вливали в воду и экстрагировали EtOAc. Объединенные органические экстракты промывали последовательно 1Н HC1, насыщенным раствором NaHCO3 и насыщенным раствором соли, сушили над безводным МgSO4, фильтровали и концентрировали в вакууме. Неочищенный продукт, полученный таким образом, хроматографировали на силикагеле при элюировании 5% EtOAc в CH2C12, чтобы получить метил {4-(диметиламино)-6-морфолин-4-ил-2-[4-(2-нафтоиламино)бензил]пиримидин-5-ил}ацетат (0,096 г, с выходом 95%) в виде масла.
Раствор метил{4-(диметиламино)-6-морфолин-4-ил-2-[4-(2-нафтоиламино)бензил]пиримидин-5-ил}ацетата (0,096 г, 0,18 ммоль) в MeOH (2 мл) при комнатной температуре обрабатывали 1Н NaOH (1 мл) и полученную смесь нагревали при 60°C в течение 5 часов. После охлаждение до комнатной температуры летучие компоненты удаляли при пониженном давлении, а остающийся водный слой промывали Et2O и подкисляли 1Н HC1. Разделенные твердые вещества выделяли вакуум-фильтрацией, промывали водой и сушили в вакууме для получения {4-(диметиламино)-6-морфолин-4-ил-2-[4-(2-нафтоиламино)бензил]пиримидин-5-ил} уксусной кислоты (0,059 г, с выходом 64%) в виде белого твердого вещества.
1Н ЯМР (300 MГц, ДМСО-d6) : 2,90 (с, 6H), 3,17 (м, 4H), 3,43 (с, 2H), 3,65 (м, 4H), 3,86 (с, 2H), 7,34 (д, J=9 Гц, 2H), 7,59-7,68 (м, 2H), 7,72 (д, J=9 Гц, 2H), 7,99-8,10 (м, 4H), 8,56 (с, 1Н), 10,37 (с, 1H), 12,20 (шир.с, 1H).
Молекулярная масса: 525,61
Масс-спектрометрия: 526
Температура плавления: 218 Z°C
Класс активности: В
Пример 7-2
[4,6-бис(диметиламино)-2-(4-{[4-трифторметил)бензоил]амино}бензил)пиримидин-5-ил]уксусная кислота

Смесь метил[4-хлор-6-(диметиламино)-2-(4-нитробензил)пиримидин-5-ил]ацетата (7,75 г, 21,25 ммоль), хлорида диметиламмония (5,20 г, 63,74 ммоль) и N,N-диизопропилэтиламина (10,98 г, 84,98 ммоль) в DMPU (50 мл) прогревали при 150°C в запаянной трубке в течение 15 часов. После охлаждения до комнатной температуры темную смесь вливали в воду и экстрагировали этилацетатом. Объединенные экстракты последовательно промывали водой и насыщенным раствором соли, сушили над безводным сульфатом натрия, фильтровали и концентрировали, чтобы на выходе получить неочищенный продукт в виде темного масла. Хроматографическая очистка этого неочищенного продукта на силикагеле при элюировании 25% этилацетатом в н-гексане, содержащем 0,1% триэтиламина, дала метил [4,6-бис(диметиламино)-2-(4-нитробензил)пиримидин-5-ил]ацетат (5,44 г, 69%) в виде окрашенного в красный цвет масла.
Раствор метил[4,6-бис(диметиламино)-2-(4-нитробензил)пиримидин-5-ил]ацетата (5,00 г, 13,39 ммоль) в метаноле (150 мл) обрабатывали палладием на угле (10% Pd, 0,50 г) и полученную черную суспензию перемешивали в токе газообразного водорода при комнатной температуре в течение 10 часов. Реакционную смесь фильтровали через рыхлый слой Целита и фильтрат концентрировали в вакууме, чтобы получить метил [2-(4-аминобензил)-4,6-бис(диметиламино)пиримидин-5-ил]ацетат (4,53 г, 98%).
Раствор метил [2-(4-аминобензил)-4,6-бис(диметиламино)пиримидин-5-ил]ацетата (4,00 г, 11,65 ммоль) в дихлорметане (120 мл) обрабатывали 4-трифторметилбензоилхлоридом (2,92 г, 13,98 ммоль) и триэтиламином (3,54 г, 34,94 ммоль). После перемешивания в течение 1 часа при комнатной температуре реакционную смесь распределяли между водой и хлороформом и водный слой экстрагировали хлороформом. Объединенные органические экстракты промывали водой и насыщенным раствором соли, сушили над безводным сульфатом натрия, фильтровали и концентрировали в вакууме, чтобы получить неочищенный продукт в виде окрашенного в желтый цвет твердого вещества, которое перекристаллизовывали из метанола, чтобы получить метил [4,6-бис(диметиламино)-2-(4-{[4-(трифторметил)бензоил]амино}-бензил)пиримидин-5-ил]ацетат (4,34 г, 73%) в виде белого твердого вещества.
Раствор метил[4,6-бисдиметиламино)-2-(4-{[4-(трифторметил)бензоил]амино}бензил)пиримидин-5-ил]ацетата (4,34 г, 8,42 ммоль) в 20% тетрагидрофуране в метаноле (100 мл) обрабатывали 1Н раствором гидроксида натрия (25 мл). Полученную смесь нагревали при температуре дефлегмации в течение 5 часов и затем летучие компоненты удаляли испарением в вакууме на роторном испарителе. Остающийся водный раствор промывали диэтиловым эфиром и затем нейтрализовали 1Н хлористоводородной кислотой при 0°C. Отделенный осадок собирали путем отсасывания и промывали холодной водой. Перекристаллизация из метанола дала [4,6-бис(диметилaмино)-2-(4-{[4-(трифторметил)бензоил]амино}бензил)пиримидин-5-ил]уксусную кислоту (3,86 г, 81%) в виде бесцветных игольчатых кристаллов.
1Н ЯМР (500 MГц, ДМСО-d6) : 3,29 (с, 12H), 3,44 (с, 2H), 3,83 (с, 2H), 7,33 (д, J=8,2 Гц, 2H), 7,66 (д, J=8,2 Гц, 2H), 7,90 (д, J=8,2 Гц, 2H), 8,13 (д, J=8,2 Гц, 2H), 10,28 (с, 1Н), 12,02 (с, 1H).
Молекулярная масса: 501,51
Масс-спектрометрия: 502 (M+H)+
Температура плавления: 200 Z°C
Класс активности: A
Соединения в примерах от 7-3 до 7-30, как показано в таблице 7, были синтезированы способом, аналогичным способу, описанному в примере 7-1 или 7-2.
Таблица 7
       
Метил[4-хлор-6-метил-2-(4-нитробензил)пиримидин-5-ил]ацетат

Смесь 2-(4-нитрофенил)этанимидамидгидрохлорида (0,22 г, 1,0 ммоль), диметилацетилсукцината (0,19 г, 1,0 ммоль) и метилата натрия (0,07 г, 1,3 ммоль) в MeOH (10 мл) кипятили с обратным холодильником в течение 15 часов. После охлаждения до комнатной температуры разделенные твердые вещества выделяли вакуум-фильтрацией и добавляли к предварительно полученному раствору тионилхлорида (0,65 мл, 8,9 ммоль) в MeOH (7,5 мл). Полученную смесь кипятили с обратным холодильником в течение 16 часов и затем охлаждали до комнатной температуры. Добавляли ацетон и осажденные твердые вещества выделяли вакуум-фильтрацией, промывали ацетоном и сушили в высоком вакууме в течение 4 часов, чтобы получить метил [4-гидрокси-6-метил-2-(4-нитробензил)пиримидин-5-ил]ацетат (0,12 г, с выходом 38%) в виде белого твердого вещества.
Раствор метил[4-гидрокси-6-метил-2-(4-нитробензил)пиримидин-5-ил]ацетата (1,59 г, 5,0 ммоль) и N,N-диметиланилина (0,56 мл, 4,4 ммоль) в POC13 (2,33 мл, 25 ммоль) кипятили с обратным холодильником в течение 14 часов. После охлаждения до комнатной температуры реакционную смесь вливали в ледяной насыщенный раствор K2CO3. Полученный водный слой экстрагировали EtOAc и объединенные органические экстракты промывали насыщенным раствором соли, сушили над безводным МgSO4, фильтровали и концентрировали в вакууме. Неочищенный продукт, полученный таким образом, хроматографировали на силикагеле, элюируя 20% EtOAc в н-гексан, чтобы получить метил [4-хлор-6-метил-2-(4-нитробензил)пиримидин-5-ил]ацетат (0,54 г, с выходом 32%) в виде белого порошка.
Пример 8-1
{4-Метил-2-[4-(2-нафтоиламино)бензил]-6-пирролидин-l-илпиримидин-5-ил} уксусная кислота

Раствор метил [4-хлор-6-метил-2-(4-нитробензил)пиримидин-5-ил]ацетата (0,45 г, 1,3 ммоль) и пирролидина (0,13 мл, 1,6 ммоль) в ДМФА (10 мл) при комнатной температуре обрабатывали триэтиламином (0,22 мл, 1,6 ммоль) и полученную смесь перемешивали при 85°C в течение 13 часов. После охлаждения до комнатной температуры реакционную смесь вливали в воду и экстрагировали EtOAc. Объединенные органические экстракты промывали насыщенным раствором NaHCO3 и насыщенным раствором соли, сушили над безводным МgSO4, фильтровали и концентрировали в вакууме. Неочищенный продукт, полученный таким образом, хроматографировали на силикагеле, элюируя 50% EtOAc в CH2C12, чтобы получить метил [4-метил-2-(4-нитробензил)-6-пирролидин-1-илпиримидин-5-ил]ацетат (0,40 г, с выходом 80%) в виде белого порошка.
К раствору метил [4-метил-2-(4-нитробензил)-6-пирролидин-1-илпиримидин-5-ил]ацетата (0,074 г, 0,20 ммоль) в безводном ТГФ (2 мл) добавляли Pd/C (10% Pd, 0,050 г) и полученную черную суспензию перемешивали в атмосфере водорода. После 1 часа реакционную смесь фильтровали через Целит и фильтрат концентрировали в вакууме, чтобы получить метил [2-(4-аминобензил)-4-метил-6-пирролидин-1-илпиримидин-5-ил]ацетат.
Раствор метил[2-(4-аминобензил)-4-метил-6-пирролидин-1-илпиримидин-5-ил]ацетата (0,034 г, 0,10 ммоль) в ТГФ (1 мл) при комнатной температуре обрабатывали PyBOP (0,052 г, 0,10 ммоль), 2-нафтойной кислотой (0,019 г, 0,11 ммоль) и N,N-диизопропилэтиламином (0,017 мл, 0,10 ммоль). После перемешивания при комнатной температуре в течение 17 часов реакционную смесь вливали в воду и экстрагировали EtOAc. Объединенные органические экстракты сушили над безводным МgSO4, фильтровали и концентрировали в вакууме. Остающийся остаток хроматографировали на силикагеле, элюируя 60% EtOAc в CH2C12, чтобы получить метил{4-метил-2-[4-(2-нафтоиламино)бензил]-6-пирролидин-1-илпиримидин-5-ил}ацетат (0,018 г, с выходом 36%) в виде желтого масла.
Раствор метил{4-метил-2-[4-(2-нафтоиламино)бензил]-6-пирролидин-1-илпиримидин-5-ил}ацетата (0,018 г, 0,04 ммоль) в ТГФ (1 мл) при комнатной температуре обрабатывали 1Н NaOH (0,5 мл) и полученную двухфазную смесь перемешивали при 60°C в течение 13 часов. После охлаждения до комнатной температуры добавляли Et2O и органический слой отделяли декантацией. Остающийся водный слой подкисляли 6Н HC1 и разделенные твердые вещества выделяли вакуум-фильтрацией, промывали водой и сушили в высоком вакууме в течение 4 часов, чтобы получить {4-метил-2-[4-(2-нафтоиламино)бензил]-6-пирролидин-1-илпиримидин-5-ил} уксусную кислоту (0,006 г, с выходом 37%) в виде белого твердого вещества.
1Н ЯМР (300 MГц, ДМСО-d6) : 1,86 (шир.с, 4Н), 2,29 (с,3H), 3,60 (шир.с, 4H), 3,71 (с, 2H), 3,94 (с, 2H), 7,35 (д, J=8 Гц, 2H), 7,60-7,67 (м, 2H), 7,75 (д, J=8 Гц, 2H), 8,00-8,10 (м, 4H), 8,56 (с, 1H), 10,40 (с, 1H), 12,73 (шир.с, 1H).
Молекулярная масса: 480,57
Масс-спектрометрия: 481
Температура плавления: 184Z°C
Класс активности: A
Соединения в примерах от 8-2 до 8-11, как показано в таблице 8, были синтезированы способом, аналогичным способу, описанному в примере 8-1.
Таблица 8
  
Пример 9-1
[2-(4-{[(Бензилокси)карбонил]амино}бензил)-4-диметиламино)пиримидин-5-ил]уксусная кислота

К смеси метил [2-(4-аминобензил)-4-(диметиламино)пиримидин-5-ил]ацетата (1,50 г, 4,99 ммоль) в пиридине (1,21 мл) и дихлорметане (20 мл) добавляли бензилхлорформиат (1,07 мл, 7,49 ммоль). После перемешивания в течение 14 часов при комнатной температуре реакционную смесь концентрировали при пониженном давлении. Остающийся остаток хроматографировали на силикагеле (NH силикагель, гексан/этилацетат 2:1), чтобы получить метил[2-(4-{[(бензилокси)карбонил]амино}бензил)-4-(диметиламино)пиримидин-5-ил]ацетат (1,99 г, 92%).
К смеси метил [2-(4-{[(бензилокси)карбонил]амино}бензил)-4-(диметиламино)пиримидин-5-ил]ацетата (1,51 г, 3,48 ммоль) в тетрагидрофуране (8 мл) и метаноле (15 мл) добавляли 1Н NaOH водн. (5 мл). Реакционную смесь перемешивали в течение 20 часов при комнатной температуре и концентрировали при пониженном давлении. Остаток нейтрализовали 1Н хлористоводородной кислотой и концентрировали при пониженном давлении. Этот остаток растворяли в смеси хлороформ/метанол (10:1), а нерастворенные вещества удаляли фильтрованием. Фильтрат концентрировали при пониженном давлении. Остаточное твердое вещество перекристаллизовывали со смесью ацетонитрил/этанол (10:1), чтобы получить [2-(4-{[(бензилокси)карбонил]амино}бензил)-4-(диметиламино)пиримидин-5-ил]уксусную кислоту (1,14 г, 78%) в виде белого твердого вещества.
1Н ЯМР (500 MГц, ДМСО-d6): =3,02 (с, 6H), 3,62 (с, 2H), 3,86 (с, 2H), 5,13 (с, 2H), 7,21 (д, J=8,5 Гц, 2H), 7,31-7,42 (м, 7H), 7,94 (с, 1H), 9,64 (с, 1H), 12,5 (с, 1H).
Молекулярная масса: 420,47
Масс-спектрометрия: 421(M+H)+
Температура плавления: 101-104°C
Класс активности: В
Пример 9-2
{4-(диметиламино)-2-[4-({[(4-фторбензил)окси]карбонил}амино)бензил]пиримидин-5-ил}уксусная кислота

К смеси метил [2-(4-аминобензил)-4-(диметиламино)пиримидин-5-ил]ацетата (400 мг, 1,33 ммоль) в пиридине (0,43 мл) и дихлорметане (5 мл) добавляли фенилхлорформиат (0,25 мл, 2,00 ммоль) при 0°C. Реакционную смесь перемешивали в течение 15 часов при комнатной температуре, за это время ее концентрировали при пониженном давлении. Неочищенный фенилкарбаматный продукт (то есть метил (4-(диметиламино)-2-{4-[(феноксикарбонил)амино]бензил}пиримидин-5-ил)ацетат), использовали в следующей реакции без дополнительной очистки.
Смесь метил (4-(диметиламино)-2-{4-[(феноксикарбонил)амино]бензил}пиримидин-5-ил)ацетата (100 мг, 0,24 ммоль) и 4-фторбензилового спирта (60 мг, 0,48 ммоль) в N,N-диизопропилэтиламине (0,17 мл, 0,95 ммоль) и тетрагидрофуране (2 мл) кипятили с обратным холодильником в течение 24 часов. После охлаждения до комнатной температуры реакционную смесь концентрировали при пониженном давлении и остающийся остаток очищали препаративной ТСХ (смесь хлороформ/метанол 30:1), чтобы получить метил {4-(диметилaмино)-2-[4-({[(4-фторбензил)окси]карбонил}амино)бензил]пиримидин-5-ил}-ацетат (45 мг, 42%).
К смеси метил {4-(диметиламино)-2-[4-({[(4-фторбензил)-окси]карбонил}амино)бензил]пиримидин-5-ил}ацетата (45 мг, 0,10 ммоль) в тетрагидрофуране (0,5 мл) и метаноле (0,5 мл) добавляли 1Н NaOH водн. (0,2 мл). Реакционную смесь перемешивали в течение 20 часов при комнатной температуре и концентрировали при пониженном давлении. Остаток нейтрализовали 1Н хлористоводородной кислотой и концентрировали при пониженном давлении. Этот остаток растворяли в смеси хлороформ/метанол (10:1), а нерастворившиеся вещества удаляли фильтрованием. Фильтрат концентрировали при пониженном давлении, чтобы получить {4-(диметиламино)-2-[4-({[(4-фторбензил)окси]карбонил}амино)-бензил]пиримидин-5-ил}уксусную кислоту (35 мг, 80%) в виде бледно-желтого твердого вещества.
1Н ЯМР (500 MГц, ДМСО-d6): = 3,06 (с, 6H), 3,66 (с, 2H), 3,88 (с, 2H), 5,11 (с, 2H), 7,22 (д, J=8,5 Гц, 4H), 7,36 (д, J=8,5 Гц, 2H), 7,47 (дд, J=8,5, 8,5 Гц, 2H), 7,96 (с, 1H), 9,68 (с, 1H), 12,6 (с, 1H).
Молекулярная масса: 438,46
Масс-спектрометрия: 439 (M+H)+
Температура плавления: 95-97°C
Класс активности: A
Соединения в примерах от 9-3 до 9-8, как показано в таблице 9, были синтезированы способом, аналогичным способу, описанному в примере 9-1 или 9-2.
Таблица 9
  
Пример 10
{4,6-дихлор-2-[4-(2-нафтоиламино)бензил]пиримидин-5-ил}уксусная кислота

Раствор (1,5 мл) в ТГФ метил {4,6-дихлор-2-[4-(2-нафтоиламино)бензил]пиримидин-5-ил}ацетата (0,048 г, 0,10 ммоль) при комнатной температуре обрабатывали 1Н NaOH (1 мл). После перемешивания в течение 16 часов при комнатной температуре реакционную смесь вливали в воду и промывали EtOAc. Водный слой подкисляли 1Н HCl и обратно экстрагировали EtOAc. Объединенные органические экстракты промывали насыщенным раствором соли, сушили над безводным МgSO4, фильтровали и концентрировали в вакууме. Остающийся остаток хроматографировали на силикагеле, элюируя 10% ТГФ в CH2C12, содержащем 0,5% AcOH, чтобы получить {4,6-дихлор-2-[4-(2-нафтоиламино)бензил]пиримидин-5-ил}уксусную кислоту (0,007 г, с выходом 15%) в виде белого твердого вещества.
1Н ЯМР (300 MГц, ДМСО-d6) : 3,87 (с, 2H), 4,19 (с, 2H), 7,31 (д, J=9 Гц, 2H), 7,59-7,68 (м, 2H), 7,78 (д, J=9 Гц, 2H), 7,97-8,10 (м, 4H), 8,57 (с, 1H), 10,42 (с, 1H), 13,03 (шир.с, 1H).
Молекулярная масса: 466,33
Масс-спектрометрия: 466
Температура плавления: 230 Z°C
Класс активности: A
Пример 11
N-(4-{[5-(2-Амино-2-оксоэтил)-4-хлор-6-(диметиламино)пиримидин-2-ил]метил}фенил)-2-нафтамид

К раствору {4-хлор-6-(диметиламино)-2-[4-(2-нафтоиламино)-бензил]пиримидин-5-ил}уксусная кислота (0,940 г, 1,98 ммоль) в ТГФ (18 мл) добавляли 1,1′-карбонилдиимидазол (0,353 мг, 2,18 ммоль). Реакционную смесь перемешивали при комнатной температуре в течение 2 часов с последующим добавлением водного раствора аммиака (28% NH3, 0,94 мл). После перемешивания в течение 16 часов при комнатной температуре реакционную смесь распределяли между EtOAc и водой и отделенный органический слой промывали насыщенным раствором соли, сушили над безводным Na2SO4, фильтровали и концентрировали в вакууме и остающийся остаток пропускали через тонкий рыхлый слой силикагеля. Удаление кислотных примесей с помощью PS-карбонатной смолы привело к N-(4-{[5-(2-амино-2-оксоэтил)-4-хлор-6-(диметиламино)пиримидин-2-ил]метил}фенил)-2-нафтамиду в виде белого твердого вещества (0,670 г, 71%).
1Н ЯМР (500 MГц, ДМСО-d6): 3,05 (с, 6H), 3,54 (с, 2H), 3,92 (с, 2H), 7,07 (с, 1H), 7,31 (д, J=8,5 Гц, 2H), 7,57 (с, 1H), 7,62-7,65 (м, 2H), 7,74 (д, J=8,5 Гц, 2H), 8,00-8,06 (м, 3H), 8,07-8,09 (м, 1H), 8,57 (с, 1H), 10,37 (с, 1H).
Молекулярная масса: 473,96
Масс-спектрометрия: 474
Температура плавления: 189-190°C
Класс активности: В
Пример 12
N-(4-{[4-хлор-5-(цианометил)-6-(диметиламино)пиримидин-2-ил]метил}фенил)-2-нафтамид

К раствору N-(4-{[5-(2-амино-2-оксоэтил)-4-хлор-6-(диметиламино)пиримидин-2-ил]метил}фенил)-2-нафтамида (0,360 г, 0,76 ммоль) в пиридине (15 мл) при комнатной температуре по каплям добавляли трифторуксусный ангидрид (0,161 мл, 1,14 ммоль) и полученную реакционная смесь перемешивали при комнатной температуре в течение 15 часов. Летучие компоненты удаляли в вакууме, а остающийся остаток распределяли между EtOAc и насыщенным водным раствором хлорида аммония. Отделенный органический слой промывали насыщенным раствором соли, сушили над безводным Na2SO4, фильтровали и концентрировали в вакууме. Очистка полученного в результате неочищенного продукта хроматографией на силикагеле, элюируя 20% EtOH в CHC13, дала N-(4-{[4-хлор-5-(цианометил)-6-(диметиламино)пиримидин-2-ил]метил}фенил)-2-нафтамид в виде аморфного твердого вещества (0,345 г, 100%).
1Н ЯМР (500 MГц, ДМСО-d6): 3,13 (с, 6H), 3,68 (с, 2H), 4,04 (с, 2H), 7,41 (д, J=8,5 Гц, 2H), 7,56-7,63 (м, 4H), 7,90-7,97 (м, 5H), 8,37 (с, 1H).
Молекулярная масса: 455,95
Масс-спектрометрия: 456
Температура плавления: аморфное твердое вещество
Класс активности: С
Пример 13
N-(4-{[4-хлор-6-(диметиламино)-5-(lH-тетразол-5-илметил)-пиримидин-2-ил]метил}фенил)-2-нафтамид

Раствор, содержащий N-(4-{[4-хлор-5-(цианометил)-6-(диметиламино)пиримидин-2-ил]метил}фенил)-2-нафтамид (0,279 г, 0,61 ммоль), азид натрия (0,159 г, 2,44 ммоль), дибромид цинка (0,345 г, 1,55 ммоль), 2-пропанол (2,7 мл), воду (4 мл) и 1,4-диоксан (5 мл), кипятили с обратным холодильником в течение 24 часов. После охлаждения до комнатной температуры добавляли EtOAc (4 мл) и перемешивание продолжали в течение 2 часов. Полученную смесь вливали в воду и осадок, таким образом образованный, собирали путем отсасывания, промывали водой и MeOH и сушили в вакууме, чтобы получить N-(4-{[4-хлор-6-(диметиламино)-5-(lH-тетразол-5-илметил)пиримидин-2-ил]метил}фенил)-2-нафтамид в виде светло-бежевого твердого вещества (0,095 г, 31%).
1Н ЯМР (500 MГц, ДМСО-d6): 2,95 (с, 6H), 3,93 (с, 2H), 4,14 (с, 2H), 7,32 (д, J=8,5 Гц, 2H), 7,16-7,64 (м, 3H), 7,74 (д, J=8,5 Гц, 2H), 8,00-8,03 (м, 3H), 8,07-8,09 (м, 2H), 8,56 (с, 1H).
Молекулярная масса: 498,97
Масс-спектрометрия: 499
Температура плавления: 280z°C
Класс активности: A
Формула изобретения
1. Производное пиримидина формулы (I), его таутомерная или его стереоизомерная форма, или его фармацевтически приемлемая соль, или C1-6алкильный сложный эфир:
 где R1 представляет собой водород,
, , , , или  в которых n представляет собой целое число от 0 до 6; Q1 представляет собой -NH-, -N(С1-6алкил)- или -O-; Y представляет собой водород, C1-6алкил, С3-6циклоалкил, необязательно замещенный C1-6алкилом, С3-6циклоалкил, конденсированный с бензольным циклом, фенил, нафтил или 5-6-членный гетероарил, возможно конденсированный с бензольным кольцом, и содержащий по меньшей мере один гетероатом, выбранный из группы, состоящей из кислорода и азота, где указанные фенил, нафтил и гетероарил необязательно замещены по замещаемому положению одним или несколькими заместителями, выбранными из группы, состоящей из циано, галогена, нитро, гуанидино, пирролила, сульфамоила, фенилокси, фенила, ди(С1-6)алкиламино, C1-6алканоиламино, C1-6алкила, необязательно моно-, ди- или тризамещенного галогеном, C1-6алкокси, необязательно моно-, ди- или тризамещенного галогеном, и C1-6алкилтио, необязательно моно-, ди- или тризамещенного галогеном; или фенилом, конденсированным с 1,3-диоксоланом; R2 представляет собой водород или C1-6алкил; R3 представляет собой галоген, C1-6алкокси, необязательно моно-, ди- или тризамещенный галогеном,
, , или  R3a и R3b независимо представляет собой С3-8циклоалкил или C1-6алкил, этот C1-6алкил необязательно замещен гидрокси, карбокси, С3-6циклоалкилкарбамоилом, С5-6гетероциклокарбонилом, содержащим в качестве гетероатома азот, или C1-6алкокси, q представляет собой целое число от 1 до 3; R3c представляет собой водород, гидрокси или карбокси; Ха представляет собой -O-; R4 представляет собой водород, галоген, ди(С1-6алкил) амино или С1-6алкил, необязательно замещенный C1-6алкокси или моно-, ди- или тризамещенный галогеном; R5 представляет собой водород или C1-6алкил; и R6 представляет собой карбокси, карбоксамид, нитрил или тетразолил.
2. Производное пиримидина формулы (I), его таутомерная или стереоизомерная форма, или его фармацевтически приемлемая соль, или C1-6алкильный сложный эфир по п.1, где R1 представляет собой
, или  в которых n представляет собой целое число от 0 до 2; Q1 представляет собой -NH-, -N(С1-6алкил)- или -O-; Y представляет собой C1-6алкил, С3-6циклоалкил, необязательно замещенный C1-6алкилом, С3-6циклоалкил, конденсированный с бензольным циклом, выбранный из группы, состоящей из инденила и тетрагидронафтила, фенил и нафтил, или 5-6-членный гетероарил, необязательно конденсированный с бензольным кольцом, и содержащий по меньшей мере один гетероатом, выбранный из группы, состоящей из кислорода и азота, выбранный из группы, состоящей из индолила, хинолила, бензофуранила, фуранила, хроманила и пиридила, где указанные фенил, нафтил и гетероарил необязательно замещены по замещаемому положению одним или несколькими заместителями, выбранными из группы, состоящей из циано, галогена, нитро, пирролила, сульфамоила, фенилокси, фенила, ди(C1-6алкил)амино, С1-6алканоиламино, C1-6алкила, необязательно моно-, ди- или тризамещенного галогеном, C1-6алкокси, необязательно моно-, ди- или тризамещенного галогеном, и C1-6алкилтио, необязательно моно-, ди- или тризамещенного галогеном, и R2 представляет собой водород.
3. Производное пиримидина формулы (I), его таутомерная или стереоизомерная форма, или его фармацевтически приемлемая соль, или C1-6алкильный сложный эфир по п.1, где R3 представляет собой C1-6алкокси, необязательно моно-, ди- или тризамещенный галогеном,
, , , или  где R3a и R3b независимо представляет собой C1-6алкил, необязательно замещенный гидрокси, карбокси, С3-6циклоалкилкарбамоилом, С5-6гетероциклокарбонилом, содержащим в качестве гетероатома азот, или C1-6алкокси, R3c представляет собой водород, гидрокси или карбокси; и Ха представляет собой -О.
4. Производное пиримидина формулы (I-i), его таутомерная или стереоизомерная форма, или его фармацевтически приемлемая соль, или C1-6алкильный сложный эфир:
 где R1 представляет собой водород,
, , , , или  где n представляет собой целое число от 0 до 2; Q1 представляет собой -NH-, -N(C1-6алкил)- или -O-; Y представляет собой фенил, нафтил, индолил, хинолил, бензофуранил, фуранил или пиридил, где указанные фенил, нафтил, индолил, хинолил, бензофуранил, фуранил и пиридил необязательно замещены по замещаемому положению одним или двумя заместителями, выбранными из группы, состоящей из циано, галогена, нитро, фенилокси, фенила, C1-6алкила, необязательно моно-, ди- или тризамещенного галогеном, C1-6алкокси, необязательно моно-, ди- или тризамещенного галогеном, и C1-6алкилтио, необязательно моно-, ди- или тризамещенного галогеном; R2 представляет собой водород или C1-6алкил; R3 представляет собой
, , или  где R3a и R3b независимо представляют собой С3-8циклоалкил или C1-6алкил, необязательно замещенный С3-6циклоалкилкарбамоилом, С5-6гетероциклокарбонилом, содержащим в качестве гетероатома азот, или C1-6алкокси, R3c представляет собой водород или карбокси; R4 представляет собой водород, хлор, бром, ди(С1-6алкил)амино или C1-6алкил, необязательно замещенный C1-6алкокси; R5 представляет собой водород, гидрокси или метил; и R6 представляет собой карбокси или тетразолил.
5. Производное пиримидина формулы (I), его таутомерная или стереоизомерная форма, или его фармацевтически приемлемая соль, или C1-6алкильный сложный эфир по п.1, где указанное производное пиримидина формулы (I) выбирают из группы, в которую входят: {4-хлор-6-(диметиламино)-2-[4-(2-нафтоиламино)бензил]-5-пиримидинил}уксусная кислота; {4-хлор-6-{метил[2-оксо-2-(1-пирролидинил)этил]амино}-2-[4-(2-нафтоиламино)бензил]-5-пиримидинил}уксусная кислота; {4-хлор-6-[[2-(изопропиламино)-2-оксоэтил](метил)амино]-2-[4-(2-нафтоиламино)бензил]-5-пиримидинил}уксусная кислота; {4-хлор-6-[[2-(циклогексиламино)-2-оксоэтил]метил)амино]-2-[4-(2-нафтоиламино)бензил]-5-пиримидинил}уксусная кислота; {2-[4-(бензоиламино)бензил]-4-хлор-6-[[2-циклопентиламино)-2-оксоэтил](метил)амино]-5-пиримидинил}уксусная кислота; {4-хлор-2-{4-[(циклогексилацетил)амино]бензил}-6-[[2-(циклопентиламино)-2-оксоэтил](метил)амино]-5-пиримидинил}уксусная кислота; (4-хлор-6-[[2-(циклопентиламино)-2-оксоэтил](метил)амино]-2-{4-[(3-фенилпропаноил)амино]бензил}-5-пиримидинил)уксусная кислота; [4-хлор-6-[[2-(циклопентиламино)-2-оксоэтил](метил)амино]- 2-(4-{[(4-метилфенил)ацетил]амино}бензил)-5-пиримидинил]уксусная кислота; (4-хлор-6-[[2-(циклопентиламино)-2-оксоэтил](метил)амино]-2-{4-[(2-хинолинилкарбонил)амино]бензил}-5-пиримидинил)уксусная кислота; [4-хлор-6-[[2-(циклопентиламино)-2-оксоэтил](метил)амино]-2-(4-{[(2Е)-3-фенил-2-пропеноил]амино}бензил)-5-пиримидинил]уксусная кислота; {4-хлор-2-{4-[(4-хлорбензоил)амино]бензил}-6-[[2-(циклопентиламино)-2-оксоэтил](метил)амино]-5-пиримидинил}уксусная кислота; {4-хлор-6-[[2-(циклопентиламино)-2-оксоэтил](метил)амино]-2-{4-[(3,4-дихлорбензоил)амино]бензил}-5-пиримидинил}уксусная кислота; {4-хлор-6-[[2-(циклопентиламино)-2-оксоэтил](метил)амино]-2-{4-[(4-метоксибензоил)амино]бензил}-5-пиримидинил}уксусная кислота; {4-хлор-6-[[2-(циклопентиламино)-2-оксоэтил](метил)амино]-2-{4-[(4-метилбензоил)амино]бензил}-5-пиримидинил}уксусная кислота; {4-хлор-6-[[2-(циклопентиламино)-2-оксоэтил](метил)амино]-2-[4-(1-нафтоиламино)бензил]-5-пиримидинил}уксусная кислота; {2-{4-[(1-бензофуран-2-илкарбонил)амино]бензил}-4-хлор-6-[[2-(циклопентиламино)-2-оксоэтил](метил)амино]-5-пиримидинил}уксусная кислота; {4-хлор-6-[[2-(циклопентиламино)-2-оксоэтил](метил)амино]-2-{4-[(1H-индол-2-илкарбонил)амино]бензил}-5-пиримидинил}уксусная кислота; 4-хлор-2-{4-[(4-цианобензоил)амино]бензил}-6-[[2-(циклопентиламино)-2-оксоэтил](метил)амино]-5-пиримидинил}уксусная кислота; {4-хлор-6-[[2-(циклопентиламино)-2-оксоэтил](метил)амино]-2-{4-[(2,3-дигидро-1H-инден-2-илацетил)амино]бензил}-5-пиримидинил}уксусная кислота; [4-хлор-6-[[2-(циклопентиламино)-2-оксоэтил](метил)амино]-2-(4-{[(3-феноксифенил)ацетил]амино}бензил)-5-пиримидинил]уксусная кислота; [4-хлор-6-[[2-(циклопентиламино)-2-оксоэтил](метил)амино]-2-(4-{[(4-феноксифенил)ацетил]амино}бензил)-5-пиримидинил]уксусная кислота; (4-хлор-6-(диметиламино)-2-{4-[(2-хинолинилкарбонил)амино]бензил}-5-пиримидинил)уксусная кислота; [4-хлор-6-(диметиламино)-2-(4-{[(2Е)-3-фенил-2-пропеноил]амино}бензил)-5-пиримидинил]уксусная кислота; [4-хлор-2-{4-[(3,4-дихлорбензоил)амино]бензил}-6-(диметиламино)-5-пиримидинил]уксусная кислота; [4-хлор-2-{4-[(4-хлорбензоил)амино]бензил}-6-(диметиламино)-5-пиримидинил]уксусная кислота; (4-хлор-6-(диметиламино)-2-{4-[(4-метоксибензоил)амино]бензил}-5-пиримидинил)уксусная кислота; [4-хлор-6-(диметиламино)-2-(4-{[4-(диметиламино)бензоил]амино}бензил)-5-пиримидинил]уксусная кислота; [4-хлор-2-{4-[(3,4-диметоксибензоил)амино]бензил}-6-(диметиламино)-5-пиримидинил]уксусная кислота; 4-хлор-6-(диметиламино)-2-(4-{[4-(трифторметил)бензоил]-амино}бензил)-5-пиримидинил]уксусная кислота; [4-хлор-2-(4-{[(2Е)-3-(4-хлорфенил)-2-пропеноил]амино}бензил)-6-(диметиламино)-5-пиримидинил]уксусная кислота; [2-{4-[(4-бромбензоил)амино]бензил}-4-хлор-6-(диметиламино)-5-пиримидинил]уксусная кислота; [4-хлор-2-{4-[(2,5-дихлорбензоил)амино]бензил}-6-(диметиламино)-5-пиримидинил]уксусная кислота; [4-хлор-2-{4-[(3,4-дифторбензоил)амино]бензил}-6-(диметиламино)-5-пиримидинил]уксусная кислота; [4-хлор-2-{4-[(3,5-дихлорбензоил)амино]бензил}-6-(диметиламино)-5-пиримидинил]уксусная кислота; [4-хлор-2-{4-[(3-хлорбензоил)амино]бензил}-6-(диметиламино)-5-пиримидинил]уксусная кислота; (4-хлор-6-(диметиламино)-2-{4-[(3-метоксибензоил)амино]бензил}-5-пиримидинил)уксусная кислота; {4-хлор-6-(диметиламино)-2-[3-(2-нафтоиламино)бензил]-5-пиримидинил]уксусная кислота; [2-(4-{[(4-трет-бутилциклогексил)карбонил]амино}бензил)-4-хлор-6-(диметиламино)-5-пиримидинил]уксусная кислота; [4-хлор-2-{4-[(4-нитробензоил)амино]бензил}-6-(1-пирролидинил)-5-пиримидинил]уксусная кислота; [2-(4-{[4-(ацетиламино)бензоил]амино}бензил)-4-хлор-6-(1-пирролидинил)-5-пиримидинил]уксусная кислота; [4-хлор-2-{4-[(4-феноксибензоил)амино]бензил}-6-(1-пирролидинил)-5-пиримидинил]уксусная кислота; [4-хлор-2-{4-[(4-изопропоксибензоил)амино]бензил}-6-(1-пирролидинил)-5-пиримидинил]уксусная кислота; [4-хлор-6-(1-пирролидинил)-2-(4-{[4-(1H-пиррол-1-ил)бензоил]амино}бензил)-5-пиримидинил]уксусная кислота; [4-хлор-2-{4-[(4-метокси-3-нитробензоил)амино]бензил}-6-(1-пирролидинил)-5-пиримидинил]уксусная кислота; [4-хлор-2-{4-[(4-метокси-3,5-диметилбензоил)амино]бензил}-6-(1-пирролидинил)-5-пиримидинил]уксусная кислота; [4-хлор-2-(4-{[(2Е)-3-фенил-2-пропеноил]амино}бензил)-6-(1-пирролидинил)-5-пиримидинил]уксусная кислота; [4-хлор-2-{4-[(3,4-дихлорбензоил)амино]бензил}-6-(1-пирролидинил)-5-пиримидинил]уксусная кислота; {4-хлор-6-[[2-(циклопентиламино)-2-оксоэтил](метил)амино]-2-[4-(2-нафтоиламино)бензил]-5-пиримидинил}уксусная кислота; (4-хлор-2-{4-[(4-хлорбензоил)амино]бензил}-6-пирролидин-1-илпиримидин-5-ил)уксусная кислота; [4-хлор-6-пирролидин-1-ил-2-(4-{[4-(трифторметил)бензоил]-амино}бензил)пиримидин-5-ил]уксусная кислота; [4-хлор-2-(4-{[(2Е)-3-(4-хлорфенил)проп-2-еноил]амино}бензил)-6-пирролидин-1-илпиримидин-5-ил]уксусная кислота; {4-хлор-6-[(2-гидроксиэтил)(метил)амино]-2-[4-(2-нафтоиламино)бензил]пиримидин-5-ил}уксусная кислота; [4-хлор-2-(4-{[(2S)-3,4-дигидро-2H-хромен-2-илкарбонил]-амино}бензил)-6-(диметиламино)-пиримидин-5-ил]уксусная кислота; {4-хлор-6-(диметиламино)-2-[4-({(2Е)-3-[4-(трифторметил-фенил]проп-2-еноил}амино)бензил]пиримидин-5-ил}уксусная кислота; {4-(диметиламино)-2-[4-(2-нафтоиламино)бензил]-5-пиримидинил}уксусная кислота; {4-[[2-(циклопентиламино)-2-оксоэтил](метил)амино]-2-[4-(2-нафтоиламино)бензил]-5-пиримидинил}уксусная кислота; {4-{метил[2-оксо-2-(1-пирролидинил)этил]амино}-2-[4-(2-нафтоиламино)бензил]-5-пиримидинил}уксусная кислота; {2-[4-(бензоиламино)бензил]-4-[[2-(циклопентиламино)-2-оксоэтил](метил)амино]-5-пиримидинил}уксусная кислота; [4-[[2-(циклопентиламино)-2-оксоэтил](метил)амино]-2-(4-{[(2Е)-3-фенил-2-пропеноил]амино}бензил)-5-пиримидинил]уксусная кислота; [2-{4-[(4-хлорбензоил)амино]бензил}-4-(диметиламино)-5-пиримидинил]уксусная кислота; (4-(диметиламино)-2-{4-[(4-метоксибензоил)амино]бензил}-5-пиримидинил]уксусная кислота; [2-{4-[(3,4-дихлорбензоил)амино]бензил}-4-(диметиламино)-5-пиримидинил]уксусная кислота; (4-(диметиламино)-2-{4-[(2-хинолинилкарбонил)амино]бензил}-5-пиримидинил)уксусная кислота; [4-(диметиламино)-2-(4-{[(2Е)-3-фенил-2-пропеноил]амино}бензил)-5-пиримидинил]уксусная кислота; [2-(4-{[(2Е)-3-(4-хлорфенил)-2-пропеноил]амино}бензил)-4-(диметиламино)-5-пиримидинил]уксусная кислота; [4-(диметиламино)-2-(4-{[4-(трифторметил)бензоил]амино}бензил)-5-пиримидинил]уксусная кислота; (4-(диметиламино)-2-{4-[(3-метоксибензоил)амино]бензил}-5-пиримидинил]уксусная кислота; [2-{4-[(3-хлорбензоил)амино]бензил}-4-(диметиламино)-5-пиримидинил]уксусная кислота; [2-{4-[(4-бромбензоил)амино]бензил}-4-(диметиламино)-5-пиримидинил}уксусная кислота; {4-(диметиламино)-2-[4-({(2Е)-3-[4-(трифторметил)фенил]проп-2-еноил}амино)бензил]пиримидин-5-ил}уксусная кислота; (4-(диметиламино)-2-{1-[4-(2-нафтоиламино)фенил]этил}пиримидин-5-ил)уксусная кислота; [4-(диметиламино)-2-(4-{[4-(трифторметокси)бензоил]амино}бензил)пиримидин-5-ил]уксусная кислота; (4-(диметиламино)-2-{4-[(4-фторбензоил)амино]бензил}пиримидин-5-ил)уксусная кислота; [2-(1-{4-[(3,4-дихлорбензоил)амино]фенил}этил)-4-(диметиламино)пиримидин-5-ил]уксусная кислота; {4-(диметиламино)-2-[1-(4-{[4-(трифторметил)бензоил]амино}фенил)этил]пиримидин-5-ил}уксусная кислота; {4-(диметиламино)-2-[1-(4-{[(2Е)-3-фенилпроп-2-еноил]амино}фенил)этил]пиримидин-5-ил}уксусная кислота; [4-(диметиламино)-2-(1-{4-[(хинолин-2-илкарбонил)амино]фенил}этил)пиримидин-5-ил]уксусная кислота; [2-(1-{4-[(4-хлорбензоил)амино]фенил}этил)-4-(диметиламино)пиримидин-5-ил]уксусная кислота; [4-(диметиламино)-2-(1-{4-[(4-торбензоил)амино]фенил}этил)пиримидин-5-ил]уксусная кислота; (4-пирролидин-1-ил-2-{4-[(хинолин-2-илкарбонил)амино]бензил}пиримидин-5-ил)уксусная кислота; (2-{4-[(4-хлорбензоил)амино]бензил}-4-пирролидин-1-илпиримидин-5-ил)уксусная кислота; (2-{4-[(4-фторбензоил)амино]бензил}-4-пирролидин-1-илпиримидин-5-ил)уксусная кислота; [4-пирролидин-1-ил-2-(4-{[4-(трифторметил)бензоил]амино}бензил)пиримидин-5-ил)уксусная кислота; {2-[4-(2-нафтоиламино)бензил]-4-пирролидин-1-илпиримидин-5-ил}уксусная кислота; натрий(2-{4-[(3-метилбутаноил)амино]бензил}-4-пирролидин-1-илпиримидин-5-ил)ацетат; (2-{4-[(3,3-диметилбутаноил)амино]бензил}-4-пирролидин-1-илпиримидин-5-ил)уксусная кислота; [4-хлор-2-[4-(2-нафтоиламино)бензил]-6-(1-пирролидинил)-5-пиримидинил]уксусная кислота; N-{5-(карбоксиметил)-6-хлор-2-[4-(2-нафтоиламино)бензил]-4-пиримидинил}-N-метилглицин; {4-хлор-6-[циклогексил(метил)амино]-2-[4-(2-нафтоиламино)бензил]-5-пиримидинил}уксусная кислота; {4-хлор-6-[изопропил(метил)амино]-2-[4-(2-нафтоиламино)бензил]-5-пиримидинил}уксусная кислота; {4-хлор-6-[(2-метоксиэтил)(метил)амино]-2-[4-(2-нафтоиламино)бензил]-5-пиримидинил}уксусная кислота; {4-хлор-6-(4-морфолинил)-2-[4-(2-нафтоиламино)бензил]-5-пиримидинил]уксусная кислота; [4-хлор-2-[4-(2-нафтоиламино)бензил]-6-(1-пиперидинил)-5-пиримидинил]уксусная кислота; (4-хлор-6-(диметиламино)-2-{4-[(1H-индол-6-илкарбонил)амино]бензил}-5-пиримидинил]уксусная кислота; {4-хлор-6-метокси-2-[4-(2-нафтоиламино)бензил]-5-пиримидинил}уксусная кислота; {4-хлор-6-(2,5-дигидро-1H-пиррол-1-ил)-2-[4-(2-нафтоиламино)бензил]-5-пиримидинил}уксусная кислота; {4-хлор-6-(диэтиламино)-2-[4-(2-нафтоиламино)бензил]-5-пиримидинил }уксусная кислота; {4-хлор-6-[этил(метил)амино]-2-[4-(2-нафтоиламино)бензил]-5-пиримидинил}уксусная кислота; {4-хлор-6-(3-гидрокси-1-пирролидинил)-2-[4-(2-нафтоиламино)бензил]-5-пиримидинил}уксусная кислота; 1-{5-(карбоксиметил)-6-хлор-2-[4-(2-нафтоиламино)бензил]-4-пиримидинил}-L-пролин; [4-хлор-2-(4-{[4-(метилтио)бензоил]амино}бензил)-6-(1-пирролидинил)-5-пиримидинил}уксусная кислота; [4-хлор-2-{4-[(3-хлор-4-метоксибензоил)амино]бензил}-6-(1-пирролидинил)-5-пиримидинил]уксусная кислота; {2-{4-[(анилинокарбонил)амино]бензил}-4-хлор-6-[[2-(циклопентиламино)-2-оксоэтил](метил)амино]-5-пиримидинил}-уксусная кислота; {2-(4-{[(бензиламино)карбонил]амино}бензил)-4-хлор-6-[[2-(циклопентиламино)-2-оксоэтил](метил)амино]-5-пиримидинил)уксусная кислота; {4-хлор-6-[[2-(циклопентиламино)-2-оксоэтил](метил)амино]-2-[4-({[(2-фенилэтил)амино]карбонил}амино)бензил]-5-пиримидинил}уксусная кислота; [4-хлор-6-[[2-(циклопентиламино)-2-оксоэтил](метил)амино]-2-(4-{[(2-нафтиламино)карбонил]амино}бензил)-5-пиримидинил]уксусная кислота; [2-(4-{[(бензиламино)карбонил]амино}бензил)-4-(диметиламино)пиримидин-5-ил]уксусная кислота; [2-[4-({[бензил(метил)амино]карбонил)амино)бензил]-4-(диметиламино)пиримидин-5-ил]уксусная кислота; {4-(диметиламино)-6-(4-морфолинил)-2-[4-(2-нафтоиламино)бензил]-5-пиримидинил}уксусная кислота; [4,6-бис(диметиламино)-2-(4-{[4-(трифторметил)бензоил]амино}бензил)пиримидин-5-ил]уксусная кислота; {4,6-бис(диметиламино)-2-[4-(2-нафтоиламино)бензил]-5-пиримидинил}уксусная кислота; [4-(диметиламино)-2-[4-(2-нафтоиламино)бензил]-6-(1-пирролидинил)-5-пиримидинил}уксусная кислота; [4-(диметиламино)-2-[4-(2-нафтоиламино)бензил]-6-(1-пиперидинил)-5-пиримидинил]уксусная кислота; [2-{4-[(3,4-дихлорбензоил)амино]бензил}-4,6-бис(диметиламино)пиримидин-5-ил]уксусная кислота; [4,6-бис(диметиламино)-2-(4-{[(2Е)-3-фенилпроп-2-еноил]амино}бензил)пиримидин-5-ил]уксусная кислота; [2-(4-{[(2Е)-3-(4-хлорфенил)проп-2-еноил]амино}бензил)-4,6-бис(диметиламино)пиримидин-5-ил]уксусная кислота; [2-(4-{[(2Е)-3-(4-хлорфенил)проп-2-еноил]амино}бензил)-4-(диметиламино)-6-пирролидин-1-илпиримидин-5-ил]уксусная кислота; [4-(диметиламино)-2-(4-{[(2Е)-3-фенилпроп-2-еноил]амино}бензил)-6-пирролидин-1-илпиримидин-5-ил]уксусная кислота; [4-(диметиламино)-6-пирролидин-1-ил-2-(4-{[4-(трифторметил)бензоил]амино}бензил)пиримидин-5-ил]уксусная кислота; [2-{4-[(бифенил-3-илкарбонил)амино]бензил}-4-(диметиламино)-6-пирролидин-1-илпиримидин-5-ил]уксусная кислота; [2-{4-[(бифенил-4-илкарбонил)амино]бензил}-4-(диметиламино)-6-пирролидин-1-илпиримидин-5-ил]уксусная кислота; [2-{4-[(3,4-дихлорбензоил)амино]бензил}-4-(диметиламино)-6-морфолин-4-илпиримидин-5-ил]уксусная кислота; [4-(диметиламино)-6-морфолин-4-ил-2-(4-{[4- (трифторметил)бензоил]амино}бензил)пиримидин-5-ил]уксусная кислота; [4-(диметиламино)-6-морфолин-4-ил-2-(4-{[(2Е)-3-фенилпроп-2-еноил]амино}бензил)пиримидин-5-ил]уксусная кислота; (4-(диметиламино)-2-{4-[(3-феноксибензоил)амино]бензил}-6-пирролидин-1-илпиримидин-5-ил)уксусная кислота; (4-(диметиламино)-2-{4-[(4-феноксибензоил)амино]бензил}-6-пирролидин-1-илпиримидин-5-ил)уксусная кислота; [4-(диметиламино)-2-(4-{[(2Е)-3-(4-метоксифенил)проп-2-еноил]амино}бензил)-6-морфолин-4-илпиримидин-5-ил]уксусная кислота; (4-(диметиламино)-2-(4-{[(2Е)-3-(2-метоксифенил)проп-2-еноил]амино}бензил)-6-морфолин- 4-илпиримидин-5-ил]уксусная кислота; [2-{4-[(4-хлорбензоил)амино]бензил}-4-(диметиламино)-6-пирролидин-1-илпиримидин-5-ил]уксусная кислота; [4-метил-2-[4-(2-нафтоиламино)бензил]-6-(1-пирролидинил)-5-пиримидинил]уксусная кислота; [2-{4-[(3,4-дихлорбензоил)амино]бензил}-4-метил-6-(1-пирролидинил)-5-пиримидинил]уксусная кислота; {4-(диметиламино)-6-метил-2-[4-(2-нафтоиламино)бензил]пиримидин-5-ил}уксусная кислота; [2-{4-[(3,4-дихлорбензоил)амино]бензил}-4-(диметиламино)-6-метилпиримидин-5-ил]уксусная кислота; [4-(диметиламино)-6-метил-2-(4-{[(2Е)-3-фенилпроп-2-еноил]амино}бензил)пиримидин-5-ил]уксусная кислота; {4-(диметиламино)-6-(метоксиметил)-2-[4-(2-нафтоиламино)бензил]пиримидин-5-ил}уксусная кислота; [4-(диметиламино)-6-(метоксиметил)-2-(4-{[4-(трифторметил)бензоил]амино}бензил)пиримидин-5-ил]уксусная кислота; {4-(диметиламино)-6-этил-2-[4-(2-нафтоиламино)бензил]-пиримидин-5-ил}уксусная кислота; [4-(диметиламино)-6-этил-2-(4-{[4-(трифторметил)бензоил]амино}бензил)пиримидин-5-ил]уксусная кислота; {4-(диметиламино)-6-изопропил-2-[4-(2-нафтоиламино)бензил]пиримидин-5-ил}уксусная кислота; [4-(диметиламино)-6-изопропил-2-(4-{[4-(трифторметил)бензоил]амино}бензил)пиримидин- 5-ил]уксусная кислота; [2-(4-{[(бензилокси)карбонил]амино)бензил)-4-(диметиламино)пиримидин-5-ил]уксусная кислота; {4-(диметиламино)-2-[4-({[(4-фторбензил)окси]карбонил}амино)бензил]пиримидин-5-ил}уксусная кислота; [2-(4-{[(бензилокси)карбонил]амино}бензил)-4-хлор-6-(диметиламино)пиримидин-5-ил]уксусная кислота; {4-(диметиламино)-2-[4-({[(4-(нитробензил)окси]карбонил)амино)бензил]пиримидин-5-ил}уксусная кислота; {4,6-дихлор-2-[4-(2-нафтоиламино)бензил]пиримидин-3-ил}уксусная кислота; N-(4-{[5-(2-амино-2-оксоэтил)-4-хлор-6-(диметиламино)пиримидин-2-ил]метил}фенил)-2-нафтамид; N-(4-{[4-хлор-6-(диметиламино)-5-(1H-тетразол-5-илметил)пиримидин-2-ил]метил}фенил)-2-нафтамид.
6. Производное пиримидина формулы (I) по п.1, его таутомерная или стереоизомерная форма, или его фармацевтически приемлемая соль, или C1-6алкильный сложный эфир, где R6 представляет собой карбоксамид, нитрил или тетразолил.
7. Производное пиримидина формулы (I) по пп.1-6, его таутомерная или стереоизомерная форма, или его фармацевтически приемлемая соль, или C1-6алкильный сложный эфир, где Q1 представляет собой -N(C1-6алкил) – или -O-.
8. Производное пиримидина формулы (I) по пп.1-6, его таутомерная или стереоизомерная форма, или его фармацевтически приемлемая соль, или C1-6алкильный сложный эфир, где Y представляет собой C1-6алкил.
9. Производное пиримидина формулы (I) по пп.1-6, его таутомерная или стереоизомерная форма, или его фармацевтически приемлемая соль, или C1-6алкильный сложный эфир, где R3a и/или R3b представляет собой C1-6алкил, замещенный гидрокси.
10. Производное пиримидина формулы (I) по пп.1-6, его таутомерная или стереоизомерная форма, или его фармацевтически приемлемая соль, или C1-6алкильный сложный эфир, где R4 представляет собой C1-6алкил, замещенный C1-6алкокси.
11. Производное пиримидина формулы (I) по пп.1-6, его таутомерная или стереоизомерная форма, или его фармацевтически приемлемая соль, или C1-6алкильный сложный эфир, где R5 представляет собой C1-6алкил.
12. Производное пиримидина формулы (II), его таутомерная или стереоизомерная форма, или его фармацевтически приемлемая соль, или C1-6алкильный сложный эфир:
 где R1 представляет собой
, , , , или  в которых n представляет собой целое число от 0 до 6; Y представляет собой С3-6циклоалкил, необязательно замещенный C1-6алкилом, С3-6циклоалкил, конденсированный с бензольным циклом, фенил, нафтил или 5-6-членный гетероарил, необязательно конденсированный с бензольным кольцом, и содержащий по меньшей мере один гетероатом, выбранный из группы, состоящей из кислорода и азота, где указанные фенил, нафтил и гетероарил необязательно замещены по замещаемому положению одним или несколькими заместителями, выбранными из группы, состоящей из циано, галогена, нитро, гуанидино, пирролила, сульфамоила, фенилокси, фенила, ди(C1-6)алкиламино, C1-6алканоиламино, C1-6алкила, необязательно моно-, ди- или тризамещенного галогеном, и C1-6алкилтио, необязательно моно-, ди- или тризамещенного галогеном; или арилом(фенилом), конденсированным с 1,3-диоксоланом; R2 представляет собой водород или C1-6алкил; R3 представляет собой галоген, C1-6алкокси, необязательно моно-, ди- или тризамещенный галогеном,
, , или  где R3a и R3b независимо представляет собой С3-8циклоалкил, или C1-6алкил, необязательно замещенный карбокси, С3-6циклоалкилкарбамоилом, С5-6гетероциклокарбонилом, содержащим в качестве гетероатома азот, или C1-6алкокси, q представляет собой целое число от 1 до 3; R3c представляет собой водород, гидрокси, или карбокси; Ха представляет собой -O-; R4 представляет собой водород, галоген, C1-6алкокси, ди(С1-6алкил) амино или C1-6алкил, необязательно замещенный C1-6алкокси или моно-, ди- или тризамещенный галогеном.
13. Производное пиримидина формулы (II), его таутомерная или стереоизомерная форма, или его фармацевтически приемлемая соль, или C1-6алкильный сложный эфир по п.12, где R1 представляет собой
, или  в которых n представляет собой целое число от 0 до 2; Y представляет собой С3-6циклоалкил, необязательно замещенный C1-6алкилом, С3-6циклоалкил, конденсированный с бензольным циклом, фенил, нафтил или гетероциклил, выбранный из группы, состоящей из индолила, хинолила, бензофуранила, фуранила и пиридила, где указанные фенил, нафтил и гетероарил необязательно замещены по замещаемому положению одним или несколькими заместителями, выбранными из группы, состоящей из циано, галогена, нитро, пирролила, сульфамоила, фенилокси, фенила, ди(C1-6)алкиламино, C1-6алканоиламино, C1-6алкила, необязательно моно-, ди- или тризамещенного галогеном, C1-6алкокси, необязательно моно-, ди- или тризамещенного галогеном, и C1-6алкилтио, необязательно моно-, ди- или тризамещенного галогеном, и R2 представляет собой водород.
14. Производное пиримидина формулы (II), его таутомерная или стереоизомерная форма, или его фармацевтически приемлемая соль, или C1-6алкильный сложный эфир по п.12, где R3 представляет собой C1-6алкокси, необязательно моно-, ди- или тризамещенный галогеном,
, , , или  где R3a и R3b независимо представляет собой C1-6алкил, необязательно замещенный карбокси, С3-6циклоалкилкарбамоилом, C5-6гетероциклокарбонилом, содержащим в качестве гетероатома азот, или C1-6алкокси, R3c представляет собой водород, гидрокси или карбокси; Ха представляет собой -O-.
15. Производное пиримидина формулы (I), его таутомерная или стереоизомерная форма, или его фармацевтически приемлемая соль, или C1-6алкильный сложный эфир по п.1, где указанное производное пиримидина формулы (I) выбирают из группы, в которую входят: {2-[4-([фуран-2-илкарбонил]амино)бензил]-4-хлор-6-[[2-(циклопентиламино)-2-оксоэтил](метил)амино]пиримидин-5-ил}уксусная кислота; {2-(4-гексанамидобензил)-4-хлор-6-[[2-(циклопентиламино)-2-оксоэтил](метил)амино]-пиримидин-5-ил}уксусная кислота; {2-(2-[3-{2-(бифенил-4-ил)ацетамидо}бензил])-4-хлор-6-[[2-(циклопентиламино)-2-оксоэтил](метил)амино]-пиримидин-5-ил}уксусная кислота; 2-{2-(3-[2-(бензо[d][1,3]диоксол-5-ил)ацетамидо]бензил)-4-хлор-6-([2-(циклопентиламино)-2-оксоэтил](метил)амино)пиримидин-5-ил}уксусная кислота; 2-{4-хлор-2-[3-(4-сульфамоилбензамидо)бензил]-6-(диметиламино)-пиримидин-5-ил}уксусная кислота; 2-{4-хлор-2-[3-(2,3-дихлорбензамидо)бензил]-6-(диметиламино)-пиримидин-5-ил}уксусная кислота; [4-(диметиламино)-2-[3-(3,4-диметоксибензамидо)бензил]-пиримидин-5-ил]уксусная кислота; 2-{2-[3-(2-циклопропилацетамидо)бензил]-4-(пирролидин-1-ил)пиримидин-5-ил}уксусная кислота; 2-[2-(3-бутиламидобензил)-4-(пирролидин-1-ил)пиримидин-5-ил]уксусная кислота; 2-{2-[3-({[бензил(метил)амино]карбонил}амино)бензил]-4-(диметиламино)пиримидин-5-ил}уксусная кислота; {2-(4-гексанамидобензил)-4-хлор-6-[[2-(пиклопентиламино)-2-оксоэтил](метил)амино]-пиримидин-5-ил}уксусная кислота; 2-{4-хлор-[2-(4-[(2Е)-3-фенил-пропенил]амино)бензил]-6-[[2-(циклопентиламино)-2-оксоэтил](метил)амино]пиримидин-5-ил}уксусная кислота; [4-хлор-2-{4-[(4-хлорбензоил)(метил)амино]бензил}-6-(диметиламино)пиримидин-5-ил]уксусная кислота; 2-{4-(диметиламино)-6-(пирролидин-1-ил)-2-(4-{[(хинолин-2-ил)карбонил]амино}бензил)пиримидин-5-ил}уксусная кислота; 2-{2-[4-(3,4-дихлорбензамидо)бензил]-4-(диметиламино)-6-(пирролидин-1-ил)пиримидин-5-ил}уксусная кислота; [2-{4-[(4-хлорбензоил)амино]бензил}-4-(диметиламино)-6-(морфолин-4-ил)пиримидин-5-ил]уксусная кислота; 2-{2-[4-(4-фторбензамидо)бензил]-4-(диметиламино)-6-(пирролидин-1-ил)пиримидин-5-ил}уксусная кислота; [2-{4-[(4-фторбензоил)амино]бензил}-4-(диметиламино)-6-(морфолин-4-ил)пиримидин-5-ил]уксусная кислота; N-(4-{[4-хлор-5-(цианометил)-6-(диметиламино)пиримидин-2-ил]метил}фенил)-2-нафтамид.
16. Производное пиримидина формулы (I), его таутомерная или стереоизомерная форма, или его фармацевтически приемлемая соль, или C1-6алкильный сложный эфир по п.1, где указанное производное пиримидина формулы (I) выбирают из группы, в которую входят: [2-(4-{[(бензилокси)карбонил]амино}бензил)-4-(диметиламино)пиримидин-5-ил]уксусная кислота; {4-(диметиламино)-2-[4-({[(4-фторбензил)окси]карбонил}амино)бензил]пиримидин-5-ил}уксусная кислота; [2-(4-{[(бензилокси)карбонил]амино}бензил)-4-хлор-6-(диметиламино)пиримидин-5-ил]уксусная кислота; {4-(диметиламино)-2-[4-({[(4-нитробензил)окси]карбонил}амино)бензил]пиримидин-5-ил}уксусная кислота; [2-(4-{[(бензилокси)карбонил]амино}бензил)-4-(диметиламино)-6-(метоксиметил)-пиримидин-5-ил]уксусная кислота; [2-(4-{[(бензилокси)карбонил]амино}бензил)-4-(диметиламино)-6-этил-пиримидин-5-ил]уксусная кислота; [4,6-бис(диметиламино)-2-(4-[(бензилокси)карбонил]амино}бензил)пиримидин-5-ил]уксусная кислота; (4-(диметиламино)-2-{4-[({[4-трифторметил)бензил]окси}карбонил)амино]бензил}пиримидин-5-ил)уксусная кислота.
17. Производное пиримидина по п.1 формулы:
 его таутомерная форма, или его фармацевтически приемлемая соль, или C1-6алкильный сложный эфир.
18. Производное пиримидина по п.1 формулы:
 его таутомерная или стереоизомерная форма, или его фармацевтически приемлемая соль, или C1-6алкильный сложный эфир.
19. Производное пиримидина по п.1 формулы:
 его таутомерная форма, или его фармацевтически приемлемая соль, или C1-6алкильный сложный эфир.
20. Производное пиримидина по п.1 формулы:
 его таутомерная или стереоизомерная форма, или его фармацевтически приемлемая соль, или C1-6алкильный сложный эфир.
21. Производное пиримидина по п.1 формулы:
 его таутомерная или стереоизомерная форма, или его фармацевтически приемлемая соль, или C1-6алкильный сложный эфир.
22. Производное пиримидина по пп.1-21, где указанное соединение является таутомером.
23. Производное пиримидина по пп.1-21, где указанное соединение является стереоизомером.
24. Производное пиримидина по пп.1-21, где указанное соединение является фармацевтически приемлемой солью.
25. Производное пиримидина по пп.1-21, где указанное соединение является С1-6алкильным сложным эфиром.
26. Производное пиримидина по пп.1-21, где указанное соединение является рацематом.
27. Лекарственное средство, обладающее свойствами антагониста CRTH2, содержащее в качестве активного компонента эффективное количество производного пиримидина общей формулы (I), его таутомерной или стереоизомерной формы или его фармакологически приемлемой соли или C1-6алкильного сложного эфира по любому из пп.1-26, и фармацевтически приемлемый наполнитель.
28. Лекарственное средство по п.27, где указанный наполнитель также является носителем, разбавителем, корригентом, подсластителем, смазывающим агентом, солюбилизатором, суспендирующим агентом, связующим, агентом, расщепляющим таблетки, или инкапсулирующим агентом.
29. Применение производного по любому из пп.1-26 для получения лекарственного препарата для лечения и/или предупреждения нарушения или заболевания, связанного с активностью CRTH2.
30. Применение по п.29, где указанное нарушение или заболевание является аллергическим заболеванием.
31. Применение по п.29, где указанное нарушение или заболевание связано с эозинофилами.
32. Применение по п.30, где указанное аллергическое заболевание выбирают из группы заболеваний, состоящей из астмы, аллергического ринита, атопического дерматита и аллергического конъюнктивита.
|
|