Патент на изобретение №2359961
|
||||||||||||||||||||||||||||||||||||||||||||||||||||||||||||||||||||
(54) 6-{[2-(4-МЕТИЛФЕНИЛКАРБОНИЛ)-1-ЭТИЛ]ГИДРАЗИНО}-4-МЕТИЛ-2-ХЛОРНИКОТИНОНИТРИЛ, ПРОЯВЛЯЮЩИЙ РОСТРЕГУЛИРУЮЩУЮ АКТИВНОСТЬ
(57) Реферат:
Изобретение относится к новому соединению формулы 1
проявляющему рострегулирующую активность. Технический результат – получено новое соединение, которое может найти свое применение в сельском хозяйстве в качестве регулятора роста подсолнечника. 1 табл.
Изобретение относится к новому химическому биологически активному веществу из ряда гетероциклических соединений формулы 1
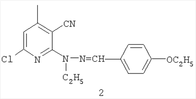
проявляющему свойства активировать прорастание семян подсолнечника. К наиболее близкому аналогу по структуре заявляемому соединению может быть отнесен N-этил-(3-циано-4-метил-6-хлорпиридил-2)фенилгидразон 2 [N-этил-(3-циано-4-метил-6-хлорпиридил-2)фенилгидразон в качестве антидота. Пат. РФ В качестве аналога по свойствам известен гиббереллин, широко используемый для активации прорастания семян. Однако гиббереллин – дорогостоящий продукт микробиологического синтеза и малодоступен. Его применение вызывает нерациональную трату пластических масс [Г.С.Муромцев и др. Основы химической регуляции роста и продуктивности растений. – М.: Агропромиздат, 1987. – С.33-80]. Задачей настоящего изобретения является расширение арсенала биологически активных веществ, полученных синтетическим путем, для применения их в сельском хозяйстве в качестве регуляторов роста растений. Это достигается применением 6-{[2-(4-метилфенилкарбонил)-1-этил]-гидразино}-4-метил-2-хлорникотинонитрила 1 путем предпосевной обработки семян подсолнечника.
Рострегулирующую активность определяли по стандартной методике [Методические рекомендации по проведению лабораторных испытаний синтетических регуляторов роста растений. ВНИИХСЗР. Черкассы. 1990, с.35]. Изобретение иллюстрируется следующими примерами. Пример 1. 6-{[2-(4-метилфенилкарбонил)-1-этил]гидразино}-4-метил-2-хлорникотинонитрил (соединение 1). Смесь 0,95 г (4,5 ммоль) 6-(1-этилгидразино)-4-метил-2-хлорникотинонитрила, 0,45 г (4,5 ммоль) триэтиламина и 12 мл абсолютного бензола охлаждают до 8-10°С и при перемешивании прибавляют по каплям раствор 0,76 г (5,0 ммоль) хлорангидрида 4-метилбензойной кислоты в 10 мл бензола таким образом, чтобы температура реакционной массы поддерживалась постоянной. После 2 ч перемешивания температуру поднимают до комнатной и выдерживают 1 ч. Осадок отфильтровывают, промывают водой, сушат. После перекристаллизации из этанола получают 1,1 г (72%) целевого соединения 1 с т.пл. 196-197°С. Найдено, %: С 62,41; Н 5,32; N 17,24. C17H17ClN4O. Вычислено, %: С 62,10; Н 5,21; N 17,04. ПМР, Масс-спектр: m/z (относ. интенсивность): М+ 328 (2); [4-СН3-С6Н4-СО]+119 (100); [4-СН3-С6H4]+ 91 (31). Пример 2. N-этил-(3-циано-4-метил-6-хлорпиридил-2)фенилгидразон (соединение 2). К суспензии 1 г (4,8 ммоль) 2-(1-этилгидразино)-4-метил-2-хлорникотинонитрила в 30 мл этанола прибавляют раствор 0,72 г (4,8 ммоль) 4-этоксибензальдегида в 10 мл этанола и кипятят смесь в течение 2,5 ч. Смесь охлаждают, образовавшийся осадок отфильтровывают, тщательно промывают водой и высушивают. После перекристаллизации из ацетона получают 1,24 г (76%) целевого соединения 2 в виде белого цвета кристаллов с т.пл. 172-173°С. Найдено, %: С 63,30; Н 5,71; N 16,24. C18H19ClN4O. Вычислено, %: С 63,06; Н 5,60; N 16,36. ПМР, Пример 3. Оценка рострегулирующей активности заявляемых соединений на проростках подсолнечника. Семена подсолнечника помещали на 1 ч в раствор заявляемого соединения. Семена контрольного варианта замачивали в воде. Через 1 ч семена равномерно раскладывали на полосы фильтровальной бумаги, сворачивали в рулоны и ставили в стаканы с водой, затем в термостат при 28°С. Через 3 суток измеряли длину стебля и корня. В качестве аналога по свойствам использовали гиббереллин в его оптимальной концентрации 0,001%. В качестве аналога по строению использовали соединение 2. Ростстимулирующую активность определяли по увеличению длины стебля и корня семян, обработанных раствором исследуемого вещества, в сравнении с контролем. Повторность опыта трехкратная. В каждой повторности использовали по 50 штук семян. Результаты измерений подвергали статистической обработке с использованием t-критерия Стьюдента при Р=0,95. Полученные данные представлены в таблице. Испытания, проведенные на семенах подсолнечника сорта ВНИИМК-8883, позволили установить, что заявляемое соединение 1 в диапазоне концентраций 10-2-10-5 мас.% проявляет свойства стимулятора роста. Соединение 1 увеличивало длину проростков на 31-44%, длину корней на 30-39% в четырех концентрациях в сравнении с контролем. В то же время аналог по свойствам – гиббереллин в оптимальной дозе 0,001 мас.% увеличивал длину проростков на 12%, длину корней на 15%. Аналог по строению соединение 2 рострегулирующих свойств не проявило. Таким образом, соединение 1 в диапазоне концентраций 10-2-10-5 мас.% стимулирует рост гипокотиля и корней подсолнечника и превосходит аналог по свойствам гиббереллин и аналог по структуре соединение 2.
Формула изобретения
6-{[2-(4-метилфенилкарбонил)-1-этил]гидразино}-4-метил-2-хлорникотинонитрил, формулы 1:
|
||||||||||||||||||||||||||||||||||||||||||||||||||||||||||||||||||||



2276664 от 20.05.2006, заявка 
, м.д. (группа): 1,18 (3Н, т, СН3СН2, J=7,0 Гц); 2,28 (3Н, с, 4-СН3-Ar); 2,40 (3Н, с, 4-СН3 Ру); 3,82 ((2Н, к, СН3СН2, J=7,0 Гц); 6,65 (1Н, с, 5-Н Ру), 7,34
7,85 (4Н, м, Ar); 10,90 (1Н, уш.с, NH).
