Патент на изобретение №2359784
|
|||||||||||||||||||||||||||||
(54) СПОСОБ ПОЛУЧЕНИЯ ВЫСОКОДИСПЕРСНЫХ ПОРОШКОВ НЕОРГАНИЧЕСКИХ ВЕЩЕСТВ
(57) Реферат:
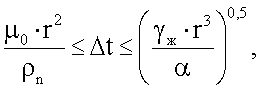
Изобретение относится к области получения высокодисперсных порошков неорганических веществ путем электрического взрыва заготовок. Токопроводящие заготовки, выполненные из металлов и сплавов, имеющие отношение их удельных сопротивлений в жидком и твердом состоянии, равное 1 или более, предварительно нагревают. Далее взрывают в газовой среде под воздействием импульса тока, подаваемого на заготовки от источника питания. Нагрев осуществляют пропусканием через заготовки электрического тока от дополнительного источника питания в течение времени где
Изобретение относится к области получения высокодисперсных порошков неорганических веществ, таких как металлы, оксиды, карбиды, нитриды, путем электрического взрыва заготовок-проволочек. Получаемые этим способом порошки могут использоваться в качестве активаторов спекания композиционных материалов, модификаторов литья; для изготовления низкотемпературных высокопрочных припоев, магнитных материалов, сорбентов, катализаторов, биопрепаратов, красителей, присадок к маслам и т.п. Известен способ получения высокодисперсных порошков неорганических веществ (РФ, патент Одним из основных недостатков этого способа является узкая область его применения, так как фактически он разработан для ограниченного числа видов металлов, сплавы металлов в нем вообще не рассматриваются. Другим важным недостатком является его сравнительно низкая производительность. Наиболее близким к предложенному способу является способ получения высокодисперсных порошков неорганических веществ (РФ, патент Основным недостатком способа-прототипа является его сравнительно низкая производительность. Основным техническим результатом предложенного способа является то, что его производительность, как видно из проведенных нами экспериментов, выше производительности способа-прототипа в 4-10 раз. Такой эффект удается получить за счет того, что в предложенном изобретении решена задача получения качественного высокодисперсного порошка при увеличенных габаритах (диаметра и длины) взрываемых заготовок. Основной технический результат достигается тем, что в способе поучения высокодисперсных порошков неорганических веществ, включающем взрыв токопроводящих заготовок в газовой среде под воздействием импульса тока, подаваемого на заготовки от источника питания, причем токопроводящие заготовки выполнены из металлов и сплавов, имеющих отношение их удельных сопротивлений в жидком и твердом состоянии, равное 1 или более, согласно предложенному решению перед взрывом токопроводящих заготовок их предварительно нагревают до плавления путем пропускания через них электрического тока от дополнительного источника питания в течение времени где дополнительного источника питания, с; µ0 – магнитная постоянная, Гн/м;
нормальных условиях, Ом·м;
Эксперименты проводились исходя из условия получения высокодисперсных порошков такого же качества, как в способе-прототипе. Проведение способа иллюстрируется нижеследующими примерами. Пример 1. Осуществляют получение высокодисперсного порошка никеля. Используют никелевую проволоку диаметром 1,5 мм и длиной 170 мм. Отношение удельных сопротивлений никеля в жидком и твердом состоянии равно 1,33. Емкость источника питания составляет 70 мкФ, а зарядное напряжение – 30 кВ. Перед получением порошка камеру вакуумируют и заполняют азотом марки Х4 до давления 4·104 Па. На заготовку от источника питания подают энергию 80 Дж/мм3. Предварительный нагрев осуществляют от дополнительного источника питания емкостью 7,4 мкФ при зарядном напряжении 30 кВ. Производительность процесса на один импульс составила 300 мм3 (2,6 г/импульс), что в 6,8 раза выше производительности способа-прототипа. Средний размер частиц получаемого порошка составил 90 нм (в прототипе 220 нм). Пример 2. Осуществляют получение высокодисперсного порошка алюминия путем взрыва алюминиевой проволоки. Используют алюминиевую проволоку диаметром 0,8 мм и длиной 250 мм. Отношение удельных сопротивлений алюминия в жидком и твердом состоянии равно 2,2. Емкость источника питания составляет 30 мкФ, зарядное напряжение – 20 кВ. Перед получением порошка камеру вакуумируют и заполняют азотом марки Х4 до давления 4·104 Па. На заготовку от источника питания подают энергию 45 Дж/мм3. Предварительный нагрев осуществляют от дополнительного источника питания, имеющего емкость 3 мкФ, заряжаемую до напряжения 20 кВ. Производительность процесса на один импульс составила 125 мм3 (0,33 г/импульс), что в 10 раз выше производительности способа-прототипа. Площадь удельной поверхности порошка – 28 м2/г (в прототипе 24 м2/г). Средний размер частиц d полученного порошка, как и в прототипе, 80 нм. В приведенной ниже таблице представлены данные по дисперсности порошка алюминия в зависимости от времени предварительного нагрева заготовок с помощью дополнительного источника питания.
В таблице
a Аналогичные результаты получены при использовании заготовок из других металлов и сплавов. Проведенные нами экспериментальные работы с использованием заготовок различных металлов и сплавов показали, что производительность предложенного способа выше производительности способа-прототипа в 4-10 раз.
Формула изобретения
Способ получения высокодисперсных порошков неорганических веществ, включающий взрыв токопроводящих заготовок в газовой среде под воздействием импульса тока, подаваемого на заготовки от источника питания, причем токопроводящие заготовки выполнены из металлов и сплавов, имеющих отношение их удельных сопротивлений в жидком и твердом состоянии, равное 1 или более, отличающийся тем, что перед взрывом токопроводящих заготовок их предварительно нагревают до плавления путем пропускания через них электрического тока от дополнительного источника питания в течение времени
|
|||||||||||||||||||||||||||||

t, выбранного из условия:
,
n – удельное электрическое сопротивление материала токопроводящей заготовки при нормальных условиях, Ом·м;
ж – плотность жидкого металла, кг/м3;
– коэффициент поверхностного натяжения, кг/с2. Обеспечивается повышение производительности за счет увеличения габаритов заготовок. 1 табл.
2115515, МПК 6 B22F 9/14, опубл. 1998.07.20), в котором электрический взрыв заготовок путем пропускания через них электрического тока осуществляют при плотности тока, достаточной для предотвращения неоднородного нагрева заготовок, а именно медных и алюминиевых заготовок при плотности тока 2·107 А/см2 и более, заготовок из платины – 1,4·107 А/см2, заготовок из железа – 107 А/см2 и более.

, с,
, с.