|
|
(21), (22) Заявка: 2006116903/28, 10.11.2004
(24) Дата начала отсчета срока действия патента:
10.11.2004
(30) Конвенционный приоритет:
10.11.2003 US 10/705,043
(43) Дата публикации заявки: 27.12.2007
(46) Опубликовано: 20.06.2009
(56) Список документов, цитированных в отчете о поиске:
US 4747911 А, 31.05.1988. DE 10249038 A, 13.05.2004. US 5833808 A, 10.11.1998. US 5189480 A, 23.02.1993. US 6298214 B1, 02.10.2001.
(85) Дата перевода заявки PCT на национальную фазу:
17.05.2006
(86) Заявка PCT:
US 2004/037566 20041110
(87) Публикация PCT:
WO 2005/047867 20050526
Адрес для переписки:
125009, Москва, а/я 184, для ППФ “ЮС”, пат.пов. С.В.Ловцову
|
(72) Автор(ы):
Моган Сингх Капил (US), Уильямс Шилдс (US), Фредерик Карса (US)
(73) Патентообладатель(и):
ИНТЕРНЭШНЛ ПЭЙПА КАМПАНИ (US)
|
(54) ИСПЫТАНИЕ ТЕНДЕНЦИИ БУМАГИ К СКРУЧИВАНИЮ В ЛАЗЕРНЫХ ПРИНТЕРАХ
(57) Реферат:
Изобретение относится к прибору для испытаний и способу измерения тенденции бумаги к скручиванию в лазерных принтерах. Техническим результатом является возможность быстро получить точную информацию и, возможно, осуществить корректирующие действия. Бумага вырезается на бумагоделательной машине, быстро увлажняется по стандартным условиям TAPPI и после этого пропускается через устройство, имеющее по существу вертикально ориентированную зону контакта. Измеряется скручивание бумаги, все данные сводятся в таблицы и передаются обратно в систему сбора данных или систему управления бумагоделательной машиной. 3 н. и 16 з.п. ф-лы, 6 ил.
Область техники
Настоящее изобретение относится к прибору для испытаний и способу измерения тенденции бумаги к скручиванию в лазерных принтерах, фотокопировальных аппаратах или других подобных устройствах с подачей листов.
Уровень техники
В обычном способе лазерной печати/копирования фотопроводящий элемент заряжается до в сущности равномерного потенциала для того, чтобы сделать его поверхность светочувствительной. На заряженный участок фотопроводящего элемента экспонируется световое изображение репродуцируемого документа. Экспозиция заряженного фотопроводящего элемента селективно рассеивает заряды на нем в облучаемых областях. В результате этого латентное изображение фиксируется на фотопроводящем элементе в соответствии с несущими информацию областями на оригинальном документе.
Один подход к фиксации изображений, создаваемых тонером на подложке, заключается в пропускании носителя с тонерными изображениями, между парой расположенных друг напротив друга вальцовых элементов, по меньшей мере один из которых нагревается изнутри. При работе системы фиксации этого типа носитель, на котором электростатически фиксируются тонерные изображения, перемещается через зону контакта, создаваемую между вальцами, и в результате этого нагревается под давлением. Тонеру и листу копии с тонерным изображением передается большое количество теплоты. Эта теплота испаряет большую часть влаги, содержащейся в листе. Количество теплоты, передаваемой на переднюю и заднюю стороны листа, часто бывает разным.
Одной проблемой, связанной с потерей бумагой влаги, является скручивание бумаги. Деформация бумаги обычно происходит вследствие изменения физических свойств в z-направлении бумаги. Это может происходить в следующем случае: когда лист проходит через систему фиксации изображения, влага выходит, и температура листа повышается. После фиксации изображения лист обычно поступает в приемный лоток, находящийся в условиях окружающей среды, где содержание влаги в листе достигает равновесия с содержанием влаги в окружающей среде посредством поглощения влаги всей поверхностью по меньшей мере одной стороны бумажного листа. Однако если лист копии становится частью крупной подборки, обе стороны всех листов подборки (за исключением верхнего) будут эффективно закрыты от влаги окружающей среды. Единственными местами впитывания влаги остаются кромки листов, что оставляет содержание влаги в центральных частях листов относительно неизменным. Эта неравномерная форма поглощения влаги приводит к развитию напряжений на краях, приводящему к скручиванию бумаги на краях листов.
Кроме того, контакт с влагой может вызвать скручивание и до фиксации изображения. Таким образом, в дополнение к неприглядному внешнему виду, скручивание создает и проблемы в работе с листами в том смысле, что листы с волнообразными краями гораздо труднее подать в последующие устройства, работающие с бумагой. Это приобретает особую важность в отношении бумажных листов, которые используются в системах автоматической подачи при печати, например при ксерографии. Чрезмерное скручивание может вызвать заедание бумаги в механизме транспортировки листов, которое потребует вмешательства оператора, затрат времени и расходов на обслуживание. Поэтому скручивание является важным механическим свойством нетканых полотен, таких как бумага, которое изготовители стремятся минимизировать, и существует постоянная необходимость в измерительном устройстве, которое определяло бы тенденцию полотен к скручиванию и использовалось бы в устройствах подачи листов.
Более того, в устройствах подачи бумаги на характеристику скручивания также влияет теплопроводность бумаги, испарение влаги из бумаги и другие условия нагрева. Таким образом, на характеристику скручивания влияют типы бумаги, а также различные типы устройств, работающих с бумагой одного типа, что приводит к общей непредсказуемости тенденции бумаги к скручиванию.
Обычно при производстве бумаги в результате увлажнения или обезвоживания бумажного листа может создаваться скручивание двух типов. Обычное (симплексное) скручивание происходит, когда бумага скручивается в одном направлении, как, например, скручивание листа бумаги в цилиндрическую трубку. Диагональное скручивание происходит из-за искривления бумаги, когда одна часть бумаги поворачивается по оси в одном направлении, а другая часть бумаги поворачивается по оси в другом, обычно противоположном, направлении.
В настоящее время проведение испытаний для прогнозирования тенденции бумаги к скручиванию представляет определенные проблемы. Один способ заключается в прогоне большого количества листов бумаги через определенное фотокопировальное устройство (Xerox 5388), подвешивание определенного количества листов за длинный край и проверку полученного изгиба по моделям кривых на эталонном шаблоне. Это испытание, однако, требует использования специального и дорогостоящего оборудования, отнимает много времени и средств. Оно также требует разделения бумажных листов перед испытанием, что приводит к задержке в получении результатов.
Еще одним используемым в настоящее время способом является скручивание бумаги на горячей пластине. Этот способ заключается в помещении образцов на нагретую пластину и ручном измерении углов образца после их скручивания под воздействием теплоты. Этот способ отнимает много времени и дает очень плохие результаты (r 2 0,30) по взаимосвязи с конечным использованием, а также плохую воспроизводимость.
Другие способы испытаний не учитывают способность силы тяжести изменять скручивание бумаги, что приводит к получению ошибочных данных. Например, такие другие механизмы, как управляемые компьютером устройства термического закрепления тонера с помощью горячих вальцов, могут использоваться для испытаний различных параметров бумаги путем имитации окружающей среды обычного принтера, хотя зазоры расположены по горизонтали и давление в зоне контакта чрезмерно высокое, что приводит к гравитационному и механическому воздействию на испытываемые образцы.
Поэтому одной задачей настоящего изобретения является создание способа испытания тенденции бумаги к скручиванию, при использовании которого можно быстро получить точную информацию и возможно осуществить корректирующие действия, который имеет низкий уровень изменчивости и учитывает воздействие силы тяжести на скручивание образцов бумаги разных типов.
Краткое описание изобретения
Соответственно, настоящее изобретение предлагает способ и устройство для испытаний тенденции бумаги к скручиванию в устройствах с подачей бумаги, включающие перемещение испытываемых образцов бумаги от бумагоделательной машины, быстрое кондиционирование бумажных листов до желательной влажности и перемещение бумажных листов через испытательную зону контакта, аналогичную зоне контакта в устройствах с подачей бумаги. Зона контакта расположена в сущности вертикально, так что бумага при выходе из зоны контакта позиционируется в сущности вертикально. Когда или сразу же после того как бумага выходит из зоны контакта, скручивание бумаги измеряется с помощью средства измерения. Корректирующая информация о скручивании вычисляется по данным средства измерения скручивания, и такая информация может быть передана обратно в бумагоделательную машину для коррекции способа изготовления бумаги исходя из тенденции бумаги к скручиванию.
Согласно настоящему изобретению предпочтительный способ измерения тенденции бумаги к скручиванию включает этапы перемещения образца бумаги от бумагоделательной машины, перемещения образца бумаги через в сущности вертикальную зону контакта, позиционированную так, чтобы образец бумаги выходил из в сущности вертикальной зоны контакта по существу вертикально ориентированным, и измерения диагонального скручивания образца бумаги, когда он выходит из по существу вертикальной зоны контакта или сразу же после выхода.
Дальнейшие варианты осуществления настоящего изобретения включают регулировку температуры в зоне контакта так, чтобы температура образца бумаги на выходе из зоны контакта составляла 50-350°F, регулировку давления так, чтобы давление в зоне контакта было минимальным и регулировку температуры в зоне контакта так, чтобы она составляла 150-450°F. Далее влажность окружающей среды в месте испытаний регулируется так, чтобы образец бумаги кондиционировался в такой среде. Результаты измерений отслеживаются компьютером, и конечное симплексное скручивание бумаги прогнозируется путем регрессивного анализа при соотнесении диагонального скручивания образца бумаги с содержанием влаги в образце бумаги перед кондиционированием в среде контролируемой влажности. Из этих данных может быть получена корректирующая информация, которая подается в пульт управления бумагоделательной машины.
В других вариантах осуществления настоящее изобретение предлагает устройство для осуществления вышеуказанного способа, где устройство имеет зону контакта между двумя в сущности вертикально установленными вальцами, управляемыми компьютером и расположенными в непосредственной близости к средству измерения скручивания, которое проводит измерения на бумаге, когда последняя выходит из зоны контакта в по существу вертикальном положении или сразу же после выхода.
Другие цели, варианты осуществления, отличительные признаки и преимущества настоящего изобретения будут очевидны при рассмотрении описания предпочтительного варианта осуществления изобретения вместе с прилагаемыми чертежами, которые должны истолковываться в иллюстративном, а не ограничивающем смысле.
Краткое описание фигур чертежей
Фиг.1 является частичным видом сверху устройства для испытания тенденции бумаги к скручиванию.
Фиг.2 является частичным видом сверху устройства для испытания тенденции бумаги к скручиванию.
Фиг.3а является частичным видом сбоку одного варианта осуществления системы быстрого кондиционирования.
Фиг.3b является частичным видом спереди одного варианта осуществления системы быстрого кондиционирования.
Фиг.4 является полным перспективным видом одного варианта осуществления устройства для испытания тенденции бумаги к скручиванию.
На Фиг.5 приведен график результатов анализа прогнозируемого симплексного скручивания против фактического симплексного скручивания.
Подробное описание
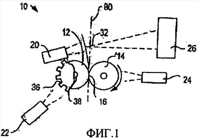
Устройство 10 в соответствии с одним вариантом осуществления изобретения показано на Фиг.1. Два в сущности вертикально ориентированных установленных вальца 12 и 14 выровнены параллельно и расположены в непосредственной близости друг к другу, создавая зону контакта 16 между ними. Валец 12 соединен с компьютером, так что компьютер может контролировать частоту вращения, температуру и другие переменные величины вальца. В одном варианте осуществления компьютер может быть запрограммирован на нагрев вальца до предпочтительного диапазона температур от 200 до 272°F, хотя более легкие сорта бумаги могут требовать снижения температуры до 150°F и более тяжелые сорта бумаги могут требовать повышения температуры до 450°F. В общем, нагрев вальца 12 осуществляется лампой нагрева 38, закрепленной на в сущности вертикальной оси вальца. Однако могут использоваться и другие устройства нагрева, не выходящие за объем настоящего изобретения. Кроме того, могут использоваться и другие устройства нагрева с управлением не от компьютера, если компьютера нет или он нежелателен.
В сущности вертикально установленный валец 14 является подпружиненным вальцом, установленным в непосредственной близости к в сущности вертикально установленному вальцу 12. Давление пружины вальца 14 является нулевым или минимальным и регулируется так, чтобы бумага, которая проходит через зону контакта 16, имела нулевое механическое скручивание. Для целей настоящей заявки термин “механическое скручивание” означает величину скручивания бумаги в том случае, если вальцы, определяющие зону контакта, не нагреваются. Требуемое давление пружины вальца 14 регулируется путем использования стандартных пружин и/или предварительной нагрузки пружин и может меняться от устройства к устройству, причем желательным давлением является максимально достижимое давление при сохранении отсутствия механического скручивания. В результате давление в зоне контакта является нулевым или минимальным даже при расположении вальцов в непосредственной близости друг к другу. Валец 14 обычно не содержит лампу нагрева, хотя по желанию такая лампа может использоваться. Кроме того, валец 14 необязательно контролируется компьютером.
Вальцами могут служить вальцы любого типа, известного из уровня техники. Так как бумага используется в большом количестве устройств, другие варианты осуществления изобретения используются для испытаний тенденции бумаги к скручиванию, если бумага предназначена для использования в разных устройствах. Этого можно достичь путем создания в сущности вертикальной зоны контакта, которая имитирует горизонтальную зону контакта устройства, для которого предназначена испытываемая бумага. Настоящие варианты осуществления, однако, направлены на бумагу, предназначенную для типичного ксерографического аппарата, например аппарата “Xerox 5388”, и соответствующих вальцов и зоне контакта.
Вальцы вращаются двигателем с переменной частотой вращения, управляемым компьютером. Частота вращения может изменяться для регулирования полного времени контакта бумаги с вальцами, когда бумага проходит через зону контакта, которое, в свою очередь, соотносится с теплотой, передаваемой на бумагу в зоне контакта, и частотой вращения измерительного устройства.
Температура вальцов и бумаги, проходящей между вальцами, контролируется по меньшей мере одним датчиком температуры. В варианте осуществления, показанном на Фиг.1, используются три датчика температуры, причем датчики 20, 22 и 24 контролируют температуру бумаги, вальца 12 и вальца 14, соответственно. Датчик 20 контролирует температуру бумаги при ее выходе из зоны контакта. Температура бумаги, достигнутая в ходе испытания, является очень важным параметром. Если температура бумаги упадет ниже диапазона минимальных температур, бумага не сможет достичь нагретого пластичного состояния, которое позволяет тенденции к скручиванию, если она возникнет, развиваться. Датчики 22 и 24 температуры контролируют температуру соответствующих вальцов в зоне контакта, которая должна выдерживаться в предпочтительном диапазоне 200-275°F. Когда бумага проходит зону контакта, происходит передача теплоты от вальца к бумаге и, таким образом, бумага нагревается и вальцы немного охлаждаются. В результате быстрого перемещения многих листов бумаги через вальцы температура последних может уменьшиться и стать ниже требуемого диапазона, что отрицательно повлияет на результаты испытаний. Датчики температуры сигнализируют пользователю о необходимости временной приостановки работы, когда температура вальцов уменьшилась, и это даст механизму нагрева время для стабилизации системы. Альтернативно датчики могут быть подсоединены к цепи обратной связи с компьютером, так чтобы компьютер мог автоматически корректировать или компенсировать температуру, если ее значение становится гораздо ниже требуемого.
В устройствах с подачей листов бумага обычно нагревается только на одной стороне и на характеристику скручивания влияет теплопроводность бумаги, испарение влаги с поверхности бумаги и типы используемых вальцов или зон контакта. Таким образом, типы зон контакта, вальцов, диапазон температур и частоту вращения можно регулировать в зависимости от типа испытываемой бумаги и типа прибора, с которым должна использоваться бумага.
Теоретическая центральная линия 30 проходит наружу от зоны контакта, перпендикулярно вальцам 12 и 14. Два стандартных лазерных датчика 26 и 28 установлены параллельно в по существу вертикальной плоскости на таком расстоянии от зоны контакта, чтобы параллельные лазерные лучи, выходящие из двух датчиков, пересекали центральную линию 30 в точках 32. Точки 32 предпочтительно должны быть расположены в непосредственной близости к зоне контакта, чтобы скручивание бумаги можно было измерить сразу же после того, как бумага выйдет из зоны контакта. В настоящем варианте осуществления расстояние между зоной контакта и точками 32 составляет приблизительно 37 мм. Точное расстояние может отличаться от этого на несколько мм. Однако если точки 32 будут расположены слишком близко к зоне контакта, лазерные датчики не смогут регистрировать скручивание.
Расстояние между лазерными датчиками и зоной контакта может меняться в пределах зоны действия датчиков. Лазерные датчики испускают лазерные лучи в направлении бумаги, выходящей из зоны контакта, и скручивание измеряется независимо от того, в каком направлении происходит скручивание. Например, если бумага скручивается в направлении нагретого вальца 12, лазерные датчики передают положительное значение. И наоборот, если бумага скручивается в направлении прижимного вальца 14, регистрируется отрицательное значение. Альтернативно, если бумага не скручивается, вычисления дают нулевое значение.
Подающая прорезь 58 расположена в рабочей связи с вальцами 14 и 16. Испытываемая бумага загружается в подающую прорезь и поочередно подается в зону контакта. Подающая прорезь может иметь форму любого устройства, известного из уровня техники, которое может удерживать и подавать бумагу в зону контакта. Конструкция подающего механизма не должна препятствовать или содействовать скручиванию.
На Фиг.2 приведен еще один вид этого варианта осуществления. Лазерные датчики 26 и 28 испускают параллельные друг другу лазерные лучи в направлении центральной линии в разных горизонтальных плоскостях и перпендикулярно центральной линии 30. Они предпочтительно разнесены на 3-5 дюймов в по существу вертикальной плоскости. Однако точное расстояние может меняться в рамках объема изобретения. Кроме того, на Фиг.2 отображены монтажные устройства вальцов. Прижимной валец 16 установлен на пружинах 34. Приводное зубчатое колесо 36 оперативно соединено с вальцом 12 и далее с двигателем 52 или другим механическим устройством, входящим в зацепление с приводным зубчатым колесом. При включении двигателя приводное зубчатое колесо начинает вращаться, в свою очередь вращая валец 12.
Предпочтительный вариант способа измерения тенденции бумаги к скручиванию включает перемещение образца бумаги от стандартной бумагоделательной машины к вышеописанному устройству, последующего перемещения образца бумаги через в сущности вертикальную зону контакта, расположенную так, чтобы образец бумаги выходил из в сущности вертикальной зоны контакта, ориентированным в сущности вертикально, и последующего измерения диагонального скручивания образца бумаги при или сразу же после его выхода из в сущности вертикальной зоны контакта. Образцы бумаги могут перемещаться от бумагоделательной машины автоматизированным поточным процессом или могут быть физически перенесены от бумагоделательной машины в по существу вертикальную зону контакта, показанную на Фиг.1 и Фиг.2.
Другие варианты осуществления способа включают увлажнение образцов бумаги до известной влажности перед перемещением бумаги через в сущности вертикальную зону контакта. Это может быть достигнуто путем перемещения бумаги в помещение с регулируемой влажностью и температурой воздуха окружающей среды. Кроме того, в сущности вертикальная зона контакта может находиться в условиях регулируемой влажности и температуры, так что бумага кондиционируется и выдерживается при известном содержании влаги.
Альтернативно или дополнительно один вариант осуществления оборудования, используемого для испытания тенденции бумаги к скручиванию, показан на Фиг.3а и 3b. На этих чертежах показана система 48 быстрого кондиционирования, имеющая пустоту 60, определенную сплошной наружной стенкой, сплошными боковыми стенками 46 и угловой внутренней стенкой 44. Вакуумный насос 50 соединен с внутренней полостью пустоты 60 трубкой через штуцер на одной из боковых сторон. Настоящий вариант осуществления содержит некоторое множество угловых внутренних стенок 44 для увеличения скорости процесса кондиционирования. Однако, система кондиционирования с одной внутренней стенкой входит в объем изобретения.
Наружная и боковая стенки 42 и 46 выполнены из любого непроницаемого вещества, например фанеры, и, предпочтительно, герметизированы силиконом. Кроме того, толщина наружной и боковой стенок может изменяться в значительном диапазоне. Для цели обеспечения эффективности расходов, однако, в настоящем варианте осуществления используется толщина приблизительно 1/4 дюйма. Угловые стенки предпочтительно выполнены из проницаемого вещества. В настоящем варианте осуществления угловые стенки имеют обратную сторону из перфорированных пластиковых листов, которые имеют толщину приблизительно 1/8 дюйма с площадью поверхности отверстий 50% (т.е., 50% площади приходится на отверстия и 50% на сплошной пластик), накрытую передней стороной, выполненной из ячеистой пены толщиной приблизительно 1/2 дюйма. Материалы и/или толщина материалов могут изменяться при сохранении материалом некоторой формы проницаемости.
В способе прогнозирования тенденции бумаги к скручиванию может использоваться перемещение образцов бумаги от бумагоделательной машины к увлажнителю и к в сущности вертикальной зоне контакта путем автоматизированного поточного процесса. Другие варианты осуществления включают физическое перемещение образцов бумаги от одного устройства к другому или сочетание поточного и физического перемещения. Один предпочтительный вариант изобретения включает следующее. Образцы бумаги берутся с бумагоделательной машины и нарезаются на листы размером 8 1/2×8 1/2 дюйма. Эти листы переносятся в систему быстрого кондиционирования, показанную на Фиг.3а – Фиг.3b. До шести листов помещаются на переднюю часть угловых сторон 44. Включается вакуумный насос, протягивая влажный воздух окружающей среды через испытываемые листы и угловые стенки, этим быстро кондиционируя испытываемые листы до влажности воздуха окружающей среды, предпочтительно до относительной влажности 50% при 70°F по стандартным условиям TAPPI. Процесс кондиционирования влажностью длится приблизительно 5 мин, после чего вакуумный насос отключается и кондиционированные испытываемые образцы удаляются. Вакуум может быть оперативно соединен с системой таймера, который автоматически отключает вакуумный насос через 5 мин или другой заданный интервал времени. Альтернативно, вакуумный насос может быть отключен вручную. В других вариантах осуществления система быстрого кондиционирования содержит датчик влажности, который отключает систему при достижении желательной влажности бумаги.
После кондиционирования испытываемые образцы удаляются из системы кондиционирования влажностью и нарезаются на листы размером 4 1/2 ч 4 1/2 дюйма, хотя точный размер может меняться. Температура в зоне контакта регулируется путем программирования компьютера на включение лампы нагрева, в результате чего валец 14 нагревается до температуры в диапазоне 150-450°F. Давление пружины вальца 16 регулируется до максимально допустимого, тогда как давление в зоне контакта минимальное, так что на бумаге, пропускаемой через зону контакта, не будет механического скручивания, если вальцы не нагреты. Новые нарезанные и увлажненные листы вручную переносились в устройство 10 для испытаний скручивания, один вариант осуществления которого показан на Фиг.4.
Образцы бумаги загружаются в подающий лоток 58 устройства для испытаний скручивания, которое удерживает бумагу в по существу вертикальном положении по длине. Подающий лоток подает в сущности вертикально ориентированную испытываемую бумагу между в сущности вертикально ориентированными вальцами, которые нагревают испытываемую бумагу до температуры 165°F или другой конкретной желательной температуры, предпочтительно в диапазоне 50-350°F в зависимости от сорта бумаги. При выходе бумаги из зоны контакта лазерные датчики 26 и 28 испускают параллельные лазерные лучи, которые измеряют отклонение бумаги от центральной линии. Показания двух датчиков используются для вычисления совокупного скручивания бумаги, суммы показаний двух лазерных датчиков и диагонального скручивания бумаги, абсолютной разницы между показаниями двух лазерных датчиков. После полного выхода из зоны контакта испытываемая бумага падает в приемный лоток 56 для легкости ее удаления.
Симплексная тенденция бумаги к скручиванию вычисляется путем сложения содержания влаги в бумаге с суммарными значениями скручивания испытываемой бумаги. В одном варианте осуществления для вычисления тенденции к скручиванию используется следующее уравнение регрессионного анализа:
Sx Мах=325-142*(влажность)+15,6*(влажность SQ)+0,341 суммарного скручивания,
где Sx Мах=максимальное симплексное скручивание на целевом ксерографическом аппарате, влажность=влажность воздуха окружающей среды в только что открытой пачке бумаги, влажность SQ=квадрат влажности бумаги в пачке, и скручивание=диагональное скручивание, измеренное на устройстве для испытаний скручивания. Уравнение имеет r-квадрат 76,5%.
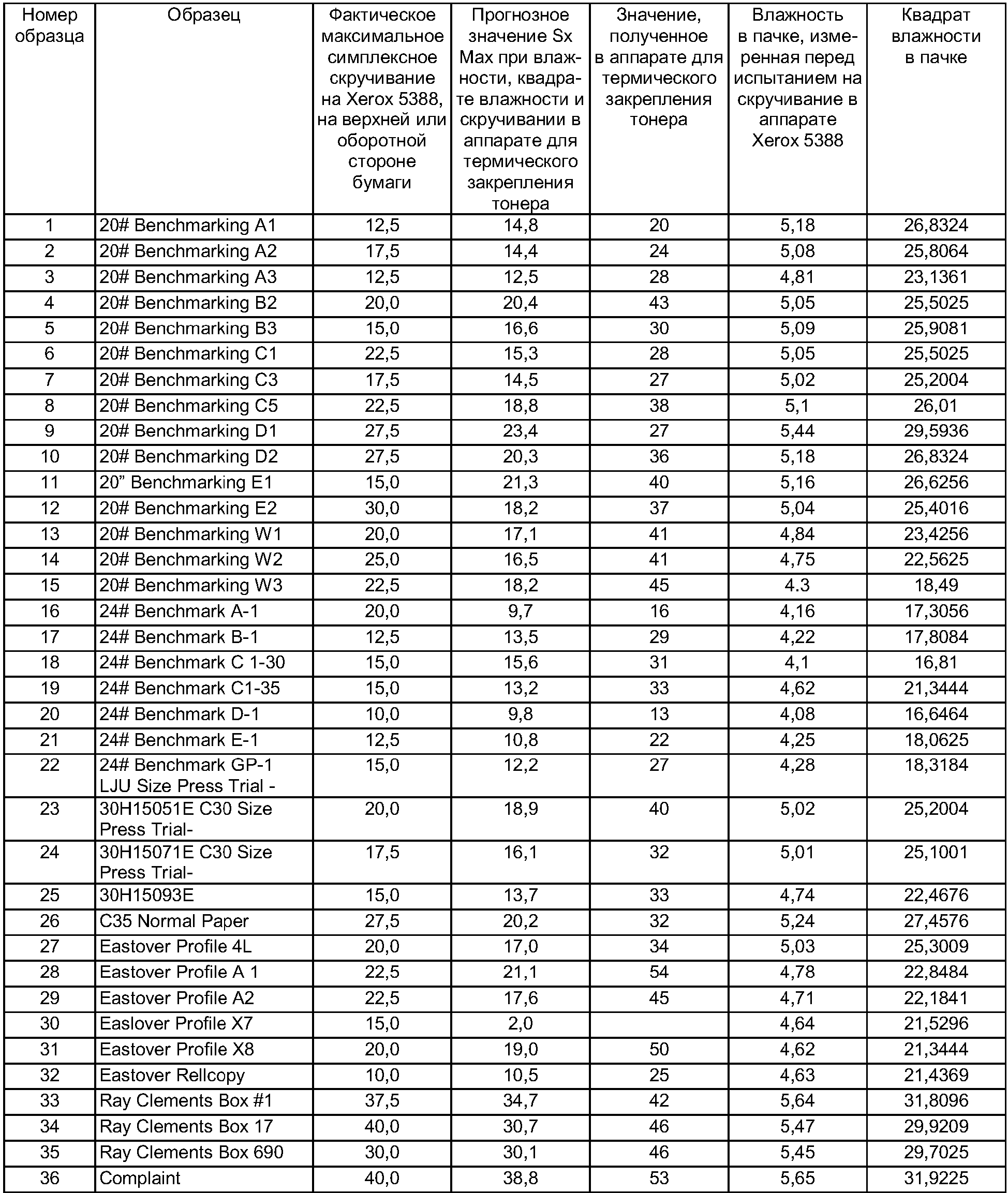
Другое эмпирически разработанное уравнение s может быть применено в зависимости от типа устройства, на котором должна использоваться испытываемая бумага. В одном испытании 36 образцов бумаги были пропущены через устройство для испытания скручивания, и было измерено диагональное скручивание. Результаты приведены в Таблице.

Нанесенное на график, показанный на Фиг.5, прогнозное симплексное скручивание каждого образца, за исключением точки 30 (отсутствующее значение), сравнивается с фактическим измеренным симплексным скручиванием. Полученное стандартное отклонение прогнозного скручивания от фактического скручивания меньше 5%.
Тенденцию бумаги к симплексному скручиванию можно прогнозировать для стандартных лазерных принтеров, фотокопировальных аппаратов или других подобных устройств. Кроме того, корректирующие данные по прогнозной тенденции могут быть представлены в форме таблицы для коррекции тенденции бумаги, из которой не взяты образцы, к скручиванию в бумагоделательной машине. Корректирующая информация затем передается обратно в систему сбора данных или систему управления бумагоделательной машиной. Вычисленные данные могут использоваться для корректировки тенденции к скручиванию путем управления отношениями быстрой подачи/втягивания из загрузчика и струйного профиля в бумагоделательной машине, известной из уровня техники. В других вариантах осуществления данные могут автоматически передаваться в бумагоделательную машину по цепи обратной связи.
Хотя изобретение было описано со ссылками на предпочтительные варианты осуществления, специалисту в данной области техники будет понятно, что в свете вышеприведенного раскрытия возможны многочисленные модификации. Например, зона контакта может быть любой известной из уровня техники, пока она является вертикально ориентированной. Все такие изменения и модификации должны не выходить за рамки объема изобретения, который определен в прилагаемой формуле изобретения.
Формула изобретения
1. Способ измерения тенденции бумаги к симплексному скручиванию, содержащий этапы: перемещения образца бумаги от бумагоделательной машины через в сущности вертикальную зону контакта, расположенную так, чтобы образец бумаги выходил из в сущности вертикальной зоны контакта в по существу вертикальной ориентации, при этом образец бумаги на выходе или сразу же после его выхода из по существу вертикальной зоны контакта нагревается до температуры не меньше 50°F, и измерения диагонального скручивания образца бумаги на выходе образца бумаги из по существу вертикальной зоны контакта или после этого, вычисления симплексного скручивания бумаги на основании измеряемого диагонального скручивания образца бумаги.
2. Способ по п.1, кроме того, содержащий этап поддержания в сущности вертикальной зоны контакта и образца бумаги при регулируемой влажности и температуре для того, чтобы бумага кондиционировалась влажностью и температурой до достижения известного содержания влаги.
3. Способ по п.1, кроме того, содержащий этап кондиционирования образца бумаги до известного содержания влаги перед перемещением образца бумаги через в сущности вертикальную зону контакта.
4. Способ по п.1, кроме того, содержащий этап вычисления тенденции бумаги к симплексному скручиванию в устройстве с подачей листов.
5. Способ по п.2, кроме того, содержащий этап прогнозирования тенденции бумаги к симплексному скручиванию с помощью уравнения регрессивного анализа, которое учитывает содержание влаги в образце бумаги и диагональное скручивание образца бумаги.
6. Способ по п.1, кроме того, содержащий этап сведения корректирующих данных в таблицы для корректировки тенденции бумаги, из которой не взяты образцы, к скручиванию в бумагоделательной машине на основании прогнозного конечного скручивания в принтере.
7. Способ по п.6, кроме того, содержащий этап передачи корректирующих данных в систему сбора данных или систему управления бумагоделательной машиной.
8. Способ по п.1, отличающийся тем, что этап измерения скручивания образца бумаги при выходе образца бумаги из по существу вертикальной зоны контакта осуществляется путем измерения диагонального скручивания бумаги с помощью устройства измерения диагонального скручивания сразу же при выходе или после выхода бумаги из в сущности вертикальной зоны контакта.
9. Способ по п.1, отличающийся тем, что устройством измерения диагонального скручивания является некоторое множество лазеров, направленных на образец бумаги.
10. Способ по п.1, отличающийся тем, что в сущности вертикальная зона контакта нагревается.
11. Способ по п.10, отличающийся тем, что в сущности вертикальная зона контакта нагревается до температуры не меньше 150°F.
12. Способ по п.10, отличающийся тем, что в сущности вертикальная зона контакта нагревается до температуры не выше 450°F.
13. Способ по п.1, отличающийся тем, что в сущности вертикальная зона контакта нагревается до температуры в диапазоне 200-400°F.
14. Способ по п.1, отличающийся тем, что образец бумаги на выходе или сразу же после его выхода из по существу вертикальной зоны контакта нагревается до температуры не выше 350°F.
15. Способ по п.1, отличающийся тем, что образец бумаги на выходе или сразу же после его выхода из по существу вертикальной зоны контакта нагревается до температуры в диапазоне 50-350°F.
16. Способ по п.1, отличающийся тем, что давление в по существу вертикальной зоне контакта минимальное, так что образец бумаги не имеет диагонального скручивания, если по существу вертикальная зона контакта не нагревается.
17. Способ по п.1, отличающийся тем, что некоторое множество образцов бумаги последовательно пропускаются через по существу вертикальную зону контакта.
18. Устройство для измерения тенденции бумаги или картона к скручиванию в принтере, имеющем по существу вертикальную зону контакта, и используемое в соединении с бумагоделательной машиной, содержащее: вращаемый первый валец, отличающийся тем, что первый валец вращается вокруг первой по существу вертикальной оси в по существу вертикальной плоскости; вращаемый второй валец, отличающийся тем, что второй валец вращается вокруг второй по существу вертикальной оси в по существу вертикальной плоскости, причем первая по существу вертикальная ось параллельна второй по существу вертикальной оси, и первый и второй вальцы вращаются в противоположных направлениях; по существу вертикальную зону контакта между первым вальцом и вторым вальцом, так что бумага или картон могут проходить через по существу вертикальную зону контакта; измерительное средство для измерения диагонального скручивания бумаги или картона.
19. Устройство для быстрого кондиционирования одного или некоторого множества листов бумаги или картона, предназначенное для способа измерения тенденции бумаги к симплексному скручиванию по п.1, содержащее по меньшей мере одну пустоту, определенную на пяти сторонах задней стенкой, верхней стенкой, нижней стенкой и двумя боковыми стенками, и, кроме того, определенную на шестой стороне полупроницаемой угловой передней стенкой, и вакуумный насос, оперативно связанный с пустотой через штуцер на одной из двух боковых стенок.
РИСУНКИ
|
|