|
|
(21), (22) Заявка: 2007144480/28, 29.11.2007
(24) Дата начала отсчета срока действия патента:
29.11.2007
(46) Опубликовано: 20.06.2009
(56) Список документов, цитированных в отчете о поиске:
SU 113926 А, 01.01.1958. SU 121265 А, 01.01.1959. SU 397778 А, 19.11.1974. JP 2006047270 А, 16.02.2006.
Адрес для переписки:
111123, Москва, ш. Энтузиастов, 46/2, ФГУП “НПО “Орион”, патентно-лицензионный отдел
|
(72) Автор(ы):
Свиридов Анатолий Николаевич (RU), Филачев Анатолий Михайлович (RU), Пономаренко Владимир Павлович (RU), Кононов Андрей Сергеевич (RU)
(73) Патентообладатель(и):
Федеральное государственное унитарное предприятие “НПО “Орион” (RU)
|
(54) ОТОБРАЖАЮЩИЙ ФОКАЛЬНЫЙ МОНОХРОМАТОР (ВАРИАНТЫ)
(57) Реферат:
Изобретение относится к области оптического приборостроения. Монохроматор содержит линзу, выполняющую роль фокусирующего и диспергирующего элементов, и примыкающий к ней непрозрачный экран, закрывающий центральную область этой линзы, входной объектив и два идентичных волоконно-оптических преобразователя (ВОП), каждый из которых имеет меньший по площади торец и больший по площади торец. Второй ВОП и линза установлены с возможностью прецизионного перемещения вдоль оптической оси устройства. Во втором варианте между первым ВОП и фокусирующей и диспергирующей линзой установлена с возможностью перемещения вдоль оси устройства вторая линза, идентичная фокусирующей и диспергирующей линзе. Технический результат – обеспечение возможности получения и наблюдения монохроматических (моноспектральных) изображений двумерных объектов в любой заданной узкой спектральной полосе, принадлежащей рабочему спектральному диапазону прибора без наличия полихроматических изображений и без необходимости коррекции размеров монохроматических изображений. 2 н. и 3 з.п. ф-лы, 6 ил.
Изобретение относится к области оптического приборостроения и может быть использовано для получения изображений объектов (сцены) в любых произвольно выбранных узких спектральных полосах, находящихся внутри рабочего спектрального диапазона устройства.
Если рабочий спектральный диапазон устройства находится в видимой области спектра, то эти изображения можно наблюдать невооруженным глазом. В инфракрасной (ИК) области изображения можно наблюдать, например, с помощью тепловизора, содержащего объектив, матричное фотоприемное устройство и монитор.
Устройства, позволяющие получать спектральные изображения объектов в любых произвольно выбранных узких спектральных полосах, находящихся внутри рабочего спектрального диапазона называют устройствами для спектральной фильтрации изображений, устройствами для спектрального видения, устройствами для спектрального отображения, отображающими спектрометрами или отображающими монохроматорами.
1, присутствуют расфокусированные изображения, создаваемые излучениями с другими длинами волн, т.е. на монохроматическое изображение с 1 накладывается полихроматическое изображение. Таким образом, первым недостатком этого монохроматора является то, что в нем на любое выделенное монохроматическое изображение накладывается полихроматическое изображение, что резко ухудшает отношение сигнал/шум и, следовательно, ухудшает качество фильтруемого изображения. Второй недостаток этого монохроматора обусловлен тем, что в нем различным длинам волн соответствуют различные фокусные расстояния, следовательно, увеличение в такой схеме зависит от . Поэтому для восприятия каждого монохроматического изображения нужна коррекция изменяющегося увеличения и, следовательно, нужна коррекция размеров монохроматических изображений.
Наиболее близким (по принципу действия и конструкции) аналогом – прототипом является монохроматор, описанный в [А.Н.Зайдель, Г.В.Островская, Ю.И.Островский. «Техника и практика спектроскопии»./ «Наука», 1978 г., с.112], содержащий линзу, выполняющую роль фокусирующего и диспергирующего элементов и примыкающий к ней непрозрачный экран, закрывающий ее центральную область. Такое устройство известно под названием фокального монохроматора. В нем свет от точечного источника, которым может быть искра, лампа сверхвысокого давления, либо отверстие в непрозрачном экране (диафрагма), освещенное светом протяженного источника, фокусируется линзой, центр которой закрыт экраном. Вследствие хроматической аберрации фокусы лучей для длин волн 1, 2, 3 находятся на разных расстояниях L( 1), L( 2), L( 3) от поверхности линзы. Если поместить на расстоянии
L( 1) от поверхности линзы диафрагму, диаметр которой равен диаметру изображения точечного источника на этом же расстоянии от поверхности линзы, то через отверстие диафрагмы пройдут в основном только лучи с длиной волны 1. Экран, закрывающий центральную часть линзы, создает полость в конусе лучей, обеспечивая достаточную чистоту выделяемого участка спектра. Изменяя расстояние L, можно изменять длину волны выходящего излучения. Спектральное разрешение фокального монохроматора  / с уменьшением диаметра диафрагмы увеличивается, но при этом одновременно уменьшается число спектральных мод (точек изображения), пропускаемых диафрагмой.
Из рассмотренных выше конструкции и принципа действия фокального монохроматора видно, что его основным недостатком, обусловленным тем, что выделение нужной длины волны осуществляется с помощью точечной диафрагмы, является принципиальная невозможность получения на экране или на поверхности матричного приемного устройства монохроматических (моноспектральных) изображений двумерных протяженных объектов.
Общими признаками заявляемых изобретений и прототипа являются наличие линзы, выполняющей роль диспергирующего и фокусирующего элементов и непрозрачного экрана, закрывающего центральную область этой линзы.
Задачей изобретения является обеспечение возможности получения и наблюдения монохроматических (моноспектральных) изображений двумерных объектов в любой заданной узкой спектральной полосе, принадлежащей рабочему спектральному диапазону прибора без наличия полихроматических изображений и без необходимости коррекции размеров монохроматических изображений.
Поставленная задача решается двумя вариантами отображающих фокальных монохроматоров (ОФМ).
По первому варианту отображающего фокального монохроматора ОФМ-1 (п.1 формулы изобретения), поставленная задача решается тем, что в фокальный монохроматор, содержащий линзу, выполняющую роль фокусирующего и диспергирующего элементов, и примыкающий к ней непрозрачный экран, закрывающий центральную область этой линзы, дополнительно введены входной объектив и два идентичных волоконно-оптических преобразователя, при этом меньший по площади торец первого волоконно-оптического преобразователя образован расположенными в одной плоскости и примыкающими друг к другу полированными торцами волокон, имеющих одинаковые диаметры в и прозрачных в спектральном диапазоне работы прибора, и находится в плоскости изображения установленного перед ним входного объектива, причем
в> n, где n – длинноволновая граница спектрального диапазона работы прибора,
при этом на большем по площади торце первого волоконно-оптического преобразователя торцы волокон также расположены в одной плоскости, но не примыкают друг к другу, а находятся на одинаковых друг от друга расстояниях , выбранных в соответствии со следующим выражением:

где k – коротковолновая граница рабочего диапазона работы прибора,
– диаметр фокусирующей и диспергирующей линзы,
f( k), f( n) – фокусные расстояния фокусирующей и диспергирующей линзы, соответственно, для излучений с длинами волн k и n,
причем второй оптико-волоконный преобразователь установлен с возможностью прецизионного перемещения вдоль оптической оси монохроматора, так, чтобы его больший торец был всегда параллелен большему торцу первого волоконно-оптического преобразователя, и чтобы перпендикулярные линии, восстановленные из центров каждого волокна большего торца первого волоконно-оптического преобразователя, всегда попадали в центры волокон большего торца второго волоконно-оптического преобразователя,
между большими торцами волоконно-оптических преобразователей на расстояниях 2·f( ) от каждого торца установлена с возможностью прецизионного перемещения вдоль оптической оси, фокусирующая и диспергирующая линза с примыкающим к ней непрозрачным экраном, закрывающим ее центральную область и перемещающимся вместе с линзой, причем э – диаметр непрозрачного экрана определяется из следующего соотношения:

где  – заданная разрешающая способность прибора на длинноволновой границе спектрального диапазона прибора.
По второму варианту отображающего спектрального монохроматора ОФМ-2 (п.2 формулы изобретения), поставленная задача решается тем, что в фокальный монохроматор, содержащий линзу, выполняющую роль фокусирующего и диспергирующего элементов, и примыкающий к ней непрозрачный экран, закрывающий центральную область этой линзы, дополнительно введены входной объектив, вторая линза и два идентичных волоконно-оптических преобразователя, причем меньший по площади торец первого волоконно-оптического преобразователя образован расположенными в одной плоскости и примыкающими друг к другу полированными торцами волокон, имеющих одинаковые диаметры в и прозрачных в спектральном диапазоне работы прибора, и находится в плоскости изображения установленного перед ним входного объектива, причем в> n,
где n – длинноволновая граница спектрального диапазона работы прибора, при этом на большем по площади торце первого волоконно-оптического преобразователя торцы волокон также расположены в одной плоскости, но не примыкают друг к другу, а находятся на одинаковых друг от друга расстояниях , удовлетворяющих следующему выражению:

где k – коротковолновая граница рабочего диапазона работы прибора,
– диаметр фокусирующей и диспергирующей линзы,
f( k), f( n) – фокусные расстояния фокусирующей и диспергирующей линзы соответственно для излучений с длинами волн k и n, причем на расстоянии f( ) от этого торца установлена с возможностью прецизионного перемещения вдоль оптической оси устройства вторая линза, идентичная расположенной за ней фокусирующей и диспергирующей линзе, диаметр непрозрачного экрана э определяется по следующему соотношению:

где  – заданная разрешающая способность прибора на длинноволновой границе спектрального диапазона прибора,
причем расстояние между линзами не превышает их радиусов, оптические оси линз совпадают с оптической осью устройства, фокусирующая и диспергирующая линза вместе с примыкающим к ней непрозрачным экраном, закрывающим ее центральную область, имеет возможность прецизионного перемещения вдоль оптической оси устройства, за фокусирующей и диспергирующей линзой установлен второй волоконно-оптический преобразователь так, чтобы его больший торец был параллелен плоскости большего торца первого волоконно-оптического преобразователя и находился на расстоянии, равном f( ) от фокусирующей и диспергирующей линзы, и при этом перпендикулярные линии, восстановленные из центров каждого волокна большего торца первого волоконно-оптического преобразователя всегда попадали в центры оптически сопряженных с ними волокон большего торца второго волоконно-оптического преобразователя.
С целью расширения динамического диапазона по интенсивности и разрешающей способности непрозрачный экран, примыкающий к фокусирующей и диспергирующей линзе и закрывающий ее центральную область, изготовлен с возможностью изменения его диаметра (п.3 формулы).
С целью уменьшения габаритов ОФМ за счет уменьшения поперечных размеров больших торцов волоконно-оптических преобразователей, далее по тексту (ВОП), без уменьшения разрешающей способности и спектрального диапазона в отображающий фокальный монохроматор дополнительно введено электромеханическое устройство, содержащее W спектральных полосовых фильтров (где W 2), причем это устройство устанавливает по команде оператора любой из этих фильтров, так чтобы он находился перед входным объективом и его оптическая ось была бы совмещена с оптической осью входного объектива, при этом фильтры изготовлены так, чтобы выполнялось следующее соотношение:  1+ 2+ + w n- k (где  1,  2,  w – ширины полос пропускания соответствующих фильтров).
С целью обеспечения возможности визуализации моноспектральных изображений объектов в ИК-области спектра в отображающий фокальный монохроматор дополнительно установлен тепловизор, регистрирующий излучения из волокон меньшего торца второго ВОП (п.4 формулы).
Поясним сущность работы отображающего фокального монохроматора (по первому варианту изобретения) далее по тексту ОФМ-1.
Входной объектив строит полихроматическое изображение наблюдаемого объекта в плоскости меньшего торца первого волоконно-оптического преобразователя (ВОП). При этом число точек изображения передаваемых этим ВОП будет равно числу волокон N.
На выходе этого ВОП (в плоскости большего торца) из каждого отдельного волокна будет излучаться полихроматический пучок с дифракционной расходимостью, определяемой диаметром волокна в и интенсивностью, пропорциональной облученности меньшего торца.
Таким образом, больший торец первого ВОП, действует как совокупность точечных полихроматических источников с различными интенсивностями. Фокусирующая и диспергирующая линза (ФДЛ), центральная область которой закрыта примыкающим к ней непрозрачным экраном, установленная (с возможностью прецизионного перемещения вдоль оптической оси) между большими торцами ВОП на расстоянии, равном 2·f( ) от каждого торца, диспергирует падающие на нее из каждого волокна полихроматические пучки и фокусирует каждый монохроматический пучок с длиной волны в пятно диаметром пд( ), находящееся в плоскости, расположенной на расстоянии 2·f( ) от главной плоскости линзы.
Для того чтобы получить моноспектральное изображение с заданной длиной волны m, устанавливают (с помощью прецизионных перемещений вдоль оптической оси ФДЛ и второго ВОП) одинаковые расстояния между ФДЛ и каждым ВОП, равные 2·f( m). В этом случае только лучи с длиной волны m, выходящие из каждого волокна большего торца первого ВОП, будут сфокусированы ФДЛ на оптически сопряженные с ними волокна большего торца второго ВОП и на выходе меньшего торца второго ВОП получится моноспектральное изображение с длиной волны m и числом точек N. Лучи, выходящие из каждого волокна большего торца первого ВОП, с длинами волн большими или меньшими, чем m будут фокусироваться, соответственно, на расстояниях от ФДЛ, больших или меньших 2·f( m), и благодаря наличию непрозрачного экрана, примыкающего к ФДЛ (диаметр которого определяется по соотношению (2), связывающему диаметр экрана и разрешающую способность устройства), не попадут на оптически сопряженные с ними волокна большего торца второго ВОП. Эти лучи также не попадут и в волокна, соседние с сопряженными, вследствие того, что расстояния между волокнами в больших торцах второго и первого оптических волноводов соответствуют соотношению (1), устанавливающему расстояния между волокнами, большими радиусов монохроматических пучков с длинами волн k и n в плоскости большего торца второго ВОП.
Для более детального пояснения сущности изобретения приведем соотношения, с помощью которых определяются конструктивные размеры и оцениваются достижимые характеристики ОФМ.
Пусть требуется разработать ОФМ со следующими характеристиками.
Спектральный диапазон 8 10 мкм ( k=8 мкм, n=10 мкм). Пространственное разрешение 400×400 точек. Относительное спектральное разрешение (на длине волны 10 мкм) .n/  150.
Пример реализации ОФМ-1.
N – число волокон ВОВ выбирается, исходя из необходимого числа точек получаемого моноспектрального изображения, и характеризует достигаемое пространственное разрешение. Выберем N=1.6·105. В качестве материала, из которого изготавливаются волокна ВОВ и ФДЛ выберем хлористое серебро (AgCl), зависимость показателя преломления которого от длины волны можно описать следующим образом [1]:
 
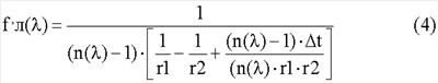
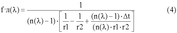
Зависимость фокусного расстояния ФДЛ от длины волны выражается следующим соотношением:

где r1 и r2 – радиусы кривизны поверхностей ФДЛ;
t – оптическая толщина линзы.
Выберем следующие размеры ФДЛ:
r1=0.5 м, r2=0.15 м, =0.1 м, t=0.03 м, где – диаметр ФДЛ.
В этом случае диаметры дифракционных пятен в фокальной плоскости ФДЛ будут соответственно равны п( k) 25 мкм и п( .n) 32 мкм.
Фокусные расстояния ФДЛ для излучений с длинами волн k=8 мкм и n=10 мкм будут равны: f( k)=0.1195 м и f( n)=0.1208 м, а L( k) и L( n) – расстояния между ФДЛ и большими торцами ВОП (при настройке ОФМ на получение монохроматических изображений с длинами волн k и n) будут соответственно равны: L( k)=2·f( k)=0.2390м и L( n)=2·f( n)=0.2465 м.
С помощью выражения (2), полученного в приближении геометрической оптики, можно рассчитать зависимость относительного спектрального разрешения (на длине волны 10 мкм) .n/ от диаметра непрозрачного экрана э. Рассчитанная (при в=50 мкм) зависимость приведена на фиг.1. Видно, что разрешение .n/  150 достигается при э 0.062 м. При =10 мкм обеспечивается абсолютное разрешение   0.07 мкм.
Определим (с помощью соотношения (1)) -минимальное расстояние между центрами соседних волокон в больших торцах ВОП, при котором (в приближении геометрической оптики) исключается оптическая связь между оптически несопряженными волокнами больших торцов первого и второго ВОП. После подстановки заданных величин k и n получим:  0.55 мм.
Примем =0.6 мм и определим стороны больших торцов ВОП (торцы являются квадратными) как ·N=240 мм. Размеры малых торцов ВОП равны в·N=20 мм.
Таким образом, при прецизионном изменении L от 239 мм до 246.5 мм можно получить ( .n- k)/ =28 монохроматических изображений (на разных длинах волн) сцены с пространственным разрешением 400×400.
Отображающий фокальный монохроматор (по второму варианту) далее по тексту ОФМ-2 по принципу действия ничем не отличается от описанного выше ОФМ-1.
Приведем возможные параметры ОФМ-2.
Выберем следующие размеры ФДЛ:
r1=0.5 м, r2=0.15 м, =0.1 м, t=0.03 м, где – диаметр ФДЛ.
В этом случае диаметры дифракционных пятен в фокальной плоскости ФДЛ будут соответственно равны п ( k) 12.75 мкм и п ( .n) 16 мкм.
Фокусные расстояния ФДЛ для излучений с длинами волн k=8 мкм и n=10 мкм будут равны: f( k)=0.1195 м и f( n)=0.1208 м, а L( k) и L( n) – расстояния между ФДЛ и большими торцами ВОП (при настройке ФОМ на получение монохроматических изображений с длинами волн k и n будут соответственно равны: L( k)=f( k)=0.1195 м и L( n)=f( n)=0.1208 м.
С помощью выражения (2), полученного в приближении геометрической оптики, можно рассчитать зависимость относительного спектрального разрешения (на длине волны 10 мкм) .n/ от диаметра непрозрачного экрана э. Рассчитанная (при в=25 мкм) зависимость приведена на фиг.2. Видно, что при э=0.062 м достигается разрешение .n/ =300, что в два раза превосходит разрешение ОФМ-1 (по первому варианту).
Определим (с помощью соотношения (1)) – минимальное расстояние между центрами соседних волокон в больших торцах ВОП, при котором (в приближении геометрической оптики) исключается оптическая связь между оптически несопряженными волокнами больших торцов первого и второго ВОП. После подстановки заданных величин k и n получим:  0.55 мм.
Примем =0.6 мм и определим стороны больших торцов ВОП (торцы являются квадратными) как ·N=240 мм. Размеры малых торцов ВОП равны в·N=20 мм.
Таким образом, при прецизионном изменении L от 119.5 мм до 120.8 можно получить ( .n- k)/ =56 монохроматических изображений (на разных длинах волн) сцены с пространственным разрешением 400×400.
Однако при меньших линейных размерах ОФМ-2 (по второму варианту) содержит на одну линзу больше, чем ОФМ-1 (по первому варианту).
Обеспечение возможности изменения диаметра непрозрачного экрана, примыкающего к фокусирующей и диспергирующей линзе, позволяет в отображающем фокальном монохроматоре, далее по тексту ОФМ, по первому и второму вариантам изобретения (п.3 формулы изобретения) расширить динамический диапазон по интенсивности и разрешающей способности. Увеличение диаметра непрозрачного экрана позволяет (см. фиг.1 и 2) увеличивать разрешающую способность ОФМ, однако при этом происходит уменьшение эффективной площади линзы (т.е. уменьшение ее светосилы), что приводит к уменьшению интенсивности проходящего оптического сигнала. Поэтому, изменяя диаметр непрозрачного экрана, можно в каждом конкретном случае подобрать компромиссные значения разрешающей способности и интенсивности оптического излучения на выходе ОФМ.
Дополнительное введение электромеханического устройства в ОФМ (п.4 формулы изобретения), содержащего W спектральных полосовых фильтров (где W 2), и обеспечивающего установку по команде оператора любого из этих фильтров, так чтобы он находился перед входным объективом и его оптическая ось была бы совмещена с оптической осью входного объектива и выполнение при этом условия:  1+ 2+ + w n- k (где  1,  2,  w – ширины полос пропускания соответствующих фильтров), позволяет без уменьшения спектральной разрешающей способности и спектрального диапазона ОФМ уменьшить его габариты за счет уменьшения поперечных размеров больших торцов ВОП.
Действительно расчеты, проведенные с использованием выражений (1-4), показывают что, введение в ОФМ-1 электромеханического устройства, содержащего, например, пять спектральных полосовых фильтров (W=5) с полосами пропускания:  1= 2= 3= 4= 5=0.4 мкм, имеющих максимальные пропускания (соответственно, для первого и последующих фильтров) на длинах волн: 8.2 мкм, 8.6 мкм, 9 мкм, 9.4 мкм, 9.8 мкм, позволяет без уменьшения спектральной разрешающей способности и спектрального диапазона ОФМ уменьшить его габариты путем уменьшения сторон больших торцов ВОП с 240 мм до 48 мм.
Электромеханическое устройство, например, может быть выполнено в виде диска (в отверстиях которого установлены полосовые спектральные фильтры), поворачивающегося по команде оператора вокруг неподвижной оси параллельной оптической оси входного объектива на заданный угол, так чтобы перед объективом устанавливался требуемый фильтр,
Для того чтобы обеспечивать возможность наблюдения моноспектральных изображений объектов не только в видимой, но и в ИК-области спектра, в ОФМ введен тепловизор (п.5 формулы изобретения). Тепловизор устанавливают таким образом, чтобы он регистрировал излучения из волокон меньшего торца второго ВОП, т.е. чтобы объектив тепловизора строил изображение меньшего торца второго ВОП в плоскости матричного приемника тепловизора.
Сущность отображающего фокального монохроматора по первому варианту поясняется чертежом (фиг.3).
Отображающий фокальный монохроматор – ОФМ-1 по первому варианту изобретения содержит: 1 – входной объектив; 2 и 3 – соответственно меньший и больший торцы первого волоконно-оптического преобразователя, далее по тексту ВОП; 4 – фокусирующая и диспергирующая линза (ФДЛ);
5 – непрозрачный экран, примыкающий к ФДЛ и закрывающий центральную область линзы 4; 7 и 6 – соответственно, меньший и больший торцы второго ВОП, идентичного первому ВОП.
Сущность отображающего фокального монохроматора по второму варианту поясняется чертежом (фиг.4).
Отображающий фокальный монохроматор – ОФМ-2 по второму варианту изобретения содержит:
1 – входной объектив; 2 и 3 – соответственно меньший и больший торцы первого волоконно-оптического преобразователя, далее по тексту ВОП;
4 – фокусирующая и диспергирующая линза (ФДЛ);
5 – непрозрачный экран, примыкающий к ФДЛ и закрывающий центральную область линзы 4; 7 и 6 – соответственно меньший и больший торцы второго ВОП, идентичный первому ВОП; 8 – вторая линза.
Отображающий фокальный монохроматора по первому и второму вариантам изобретения, в который введено электромеханическое устройство, содержащее спектральные полосовые фильтры поясняется чертежом (фиг.5).
ОФМ (по п.4 формулы изобретения) содержит:
1 – входной объектив; 2 и 3 – соответственно меньший и больший торцы первого ВОП; 4 – фокусирующая и диспергирующая линза (ФДЛ); 5 – непрозрачный экран, примыкающий к ФДЛ; 7 и 6 – соответственно, меньший и больший торцы второго ВОП; 9 – электромеханическое устройство, содержащее W спектральных полосовых фильтров; 10 – спектральный полосовой фильтр.
Отображающий фокальный монохроматор, по первому и второму вариантам изобретения, с тепловизором поясняется чертежом (фиг.6).
ОФМ (по п.5 формулы изобретения) содержит: 1 – входной объектив;
2 и 3 – соответственно меньший и больший торцы первого ВОП; 4 – фокусирующая и диспергирующая линза (ФДЛ);
5 – непрозрачный экран, примыкающий к ФДЛ; 7 и 6 – соответственно меньший и больший торцы второго ВОП; 11 – объектив тепловизора, 12 – матричное фотоприемное устройство тепловизора; 13 – монитор тепловизора.
Устройство по первому варианту ОФМ-1 (п.1 формулы изобретения) работает следующим образом.
Входной объектив 1 строит полихроматическое изображение наблюдаемого объекта в плоскости меньшего торца 2 первого волоконно-оптического преобразователя (ВОП). На выходе этого ВОП (в плоскости большего торца 3) из каждого отдельного волокна будет излучаться полихроматический пучок с дифракционной расходимостью, определяемой диаметром волокна и интенсивностью, пропорциональной облученности меньшего торца. Фокусирующая и диспергирующая линза 4, центральная область которой закрыта примыкающим к ней непрозрачным экраном 5, установленная (с возможностью прецизионного перемещения вдоль оптической оси) между большими торцами ВОП 3 и 6 на расстоянии, равном 2·f( ) от каждого торца, диспергирует падающие на нее из каждого волокна полихроматические пучки и фокусирует каждый монохроматический пучок с длиной волны в пятно, находящееся в плоскости, расположенной на расстоянии 2·f( ) от ФДЛ 4.
Для того чтобы получить моноспектральное изображение с заданной длиной волны m, устанавливают (с помощью прецизионных перемещений вдоль оптической оси ФДЛ 4 и второго ВОП) одинаковые расстояния между ФДЛ 4 и большими торцами первого 3 и второго 6 ВОП, равные 2·f( m). В этом случае только лучи с длиной волны m выходящие из каждого волокна большего торца 3 первого ВОП будут сфокусированы ФДЛ 4 на оптически сопряженные с ними волокна большего торца 6 второго ВОП, в результате чего на выходе меньшего торца 7 второго ВОП получится моноспектральное изображение с длиной волны m. (Отметим, что диаметры монохроматических пучков с длиной волны m в плоскости большего торца 6 второго ВОП, меньше диаметра каждого волокна). Лучи, выходящие из каждого волокна большего торца 3 первого ВОП, с длинами волн, большими или меньшими, чем m будут фокусироваться соответственно на расстояниях от ФДЛ 4, больших или меньших 2·f( m), и благодаря наличию непрозрачного экрана 5, примыкающего к ФДЛ 4 (диаметр которого определяется по соотношению (2), связывающему диаметр экрана 5 и разрешающую способность устройства), не попадут на оптически сопряженные с ними волокна большего торца 6 второго ВОП. Эти лучи также не попадут и в волокна, соседние с сопряженными, вследствие того, что расстояния между волокнами в больших торцах второго 6 и первого 3 ВОП соответствуют соотношению (1), устанавливающему расстояния между волокнами, большими радиусов монохроматических пучков с длинами волн k (при 2·f( n) и n (при 2·f( k) в плоскости большего торца 6 второго ВОП.
Устройство по второму варианту ОФМ-2 (п.2 формулы изобретения) работает следующим образом.
Входной объектив 1 строит полихроматическое изображение наблюдаемого объекта в плоскости меньшего торца 2 первого волоконно-оптического преобразователя (ВОП). На выходе этого ВОП (в плоскости большего торца 3) из каждого отдельного волокна будет излучаться полихроматический пучок с дифракционной расходимостью, определяемой диаметром волокна и интенсивностью, пропорциональной облученности меньшего торца. Линза 8, установленная с возможностью прецизионного перемещения вдоль оптической оси системы, на фокусном расстоянии от большего торца первого ВОВ, преобразует эти пучки и направляет их на ФДЛ. ФДЛ 4, центральная область которой закрыта примыкающим к ней непрозрачным экраном 5, установленная (с возможностью прецизионного перемещения вдоль оптической оси) на расстоянии, равном f( ) от большего торца 6 второго ВОП, диспергирует падающие на нее полихроматические пучки и фокусирует каждый пучок с длиной волны в пятно, находящееся в плоскости, расположенной на расстоянии f( ) от этой линзы. Для того чтобы получить моноспектральное изображение с заданной длиной волны m, устанавливают (с помощью прецизионных перемещений вдоль оптической оси линзы 8) расстояние между большим торцом 3 первого ВОП и линзой 8, равное f( m). Одновременно такое же расстояние устанавливают между ФДЛ 4 и большим торцом 6 второго ВОП. В этом случае только лучи с длиной волны m, выходящие из каждого волокна большего торца 3 первого ВОП будут сфокусированы ФДЛ 4 на оптически сопряженные с ними волокна большего торца 6 второго ВОП, в результате чего на выходе меньшего торца 7 второго ВОП получится моноспектральное изображение с длиной волны m. (Отметим, что диаметры монохроматических пучков с длиной волны m в плоскости большего торца 6 второго ВОП, меньше диаметра каждого волокна). Лучи, выходящие из каждого волокна большего торца 3 первого ВОП, с длинами волн, большими или меньшими, чем m будут фокусироваться, ФДЛ 4 соответственно, на расстояниях, больших или меньших f( m), и благодаря наличию непрозрачного экрана 5, примыкающего к ФДЛ 4 (диаметр которого определяется по соотношению (2), связывающему диаметр экрана 5 и разрешающую способность устройства) не попадут на оптически сопряженные с ними волокна большего торца 6 второго ВОП. Эти лучи также не попадут и в волокна, соседние с сопряженными, вследствие того, что расстояния между волокнами в больших торцах второго 6 и первого 3 ВОП соответствуют соотношению (1), устанавливающему расстояния между волокнами, большими радиусов монохроматических пучков с длинами волн k (при f( n) и n (при f( k)) в плоскости большего торца 6 второго ВОП.
В остальном ОФМ – 2, работает также как и ОФМ – 1, но при этом может обеспечить большее (см. фиг.2) спектральное разрешение.
Изменение диаметра непрозрачного экрана 5, примыкающего к фокусирующей и диспергирующей линзе 4, позволяет расширить динамический диапазон по интенсивности и разрешающей способности. Увеличение диаметра непрозрачного экрана 5 позволяет увеличивать разрешающую способность ОФМ, однако при этом происходит уменьшение эффективной площади ФДЛ 4 (т.е. уменьшение ее светосилы), что приводит к уменьшению интенсивности проходящего оптического сигнала. Поэтому, изменяя диаметр непрозрачного экрана 5, можно в каждом конкретном случае подобрать компромиссные значения разрешающей способности и интенсивности оптического излучения на выходе ОФМ.
Введение в ОФМ (п.4 формулы изобретения) по команде оператора с помощью электромеханического устройства 9 полосового фильтра 10 (смотри фиг.5) позволяет увеличить (в соответствии с выражением (1)) разрешающую способность ОФМ без увеличения расстояния между соседними волокнами в больших торцах 3 и 6 первого и второго ВОП.
Для того чтобы обеспечивать возможность наблюдения моноспектральных изображений объектов не только в видимой, но и в ИК-области спектра, в ОФМ введен тепловизор (п.5 формулы изобретения), содержащий (см. фиг.6) объектив 11, матричное фотоприемное устройство 12 и монитор 13. Тепловизор устанавливают таким образом, чтобы он регистрировал излучения из волокон меньшего торца 7 второго ВОП, т.е. чтобы объектив тепловизора строил изображение меньшего торца второго ВОП в плоскости матричного приемника тепловизора.
В заключение отметим, что по сравнению с аналогом и прототипом оба устройства, выполненные по первому и второму варианту, обеспечивают получение и наблюдение монохроматических (моноспектральных) изображений двумерных объектов в любой заданной узкой спектральной полосе, принадлежащей рабочему спектральному диапазону прибора.
Формула изобретения
1. Отображающий фокальный монохроматор, содержащий линзу, выполняющую роль фокусирующего и диспергирующего элементов, и примыкающий к ней непрозрачный экран, закрывающий центральную область этой линзы, отличающийся тем, что в него дополнительно введены входной объектив и два идентичных волоконно-оптических преобразователя, при этом меньший по площади торец первого волоконно-оптического преобразователя образован расположенными в одной плоскости и примыкающими друг к другу полированными торцами волокон, имеющих одинаковые диаметры в и прозрачных в спектральном диапазоне работы прибора, и находится в плоскости изображения установленного перед ним входного объектива, причем
в> п, где п – длинноволновая граница спектрального диапазона работы прибора, при этом на большем по площади торце первого волоконно-оптического преобразователя торцы волокон также расположены в одной плоскости, но не примыкают друг к другу, а находятся на одинаковых друг от друга расстояниях , выбранных в соответствии со следующим выражением:
 где k – коротковолновая граница рабочего диапазона работы прибора,
– диаметр фокусирующей и диспергирующей линзы, f( k), f( n) – фокусные расстояния фокусирующей и диспергирующей линзы соответственно для излучений с длинами волн k и n, причем второй оптико-волоконный преобразователь установлен с возможностью прецизионного перемещения вдоль оптической оси монохроматора, так, чтобы его больший торец был всегда параллелен большему торцу первого волоконно-оптического преобразователя, и чтобы перпендикулярные линии, восстановленные из центров каждого волокна большего торца первого волоконно-оптического преобразователя, всегда попадали в центры волокон большего торца второго волоконно-оптического преобразователя, между большими торцами волоконно-оптических преобразователей на расстояниях 2·f( ) от каждого торца установлена с возможностью прецизионного перемещения вдоль оптической оси фокусирующая и диспергирующая линза с примыкающим к ней непрозрачным экраном, закрывающим ее центральную область и перемещающимся вместе с линзой, причем э – диаметр непрозрачного экрана определяется из следующего соотношения:
 где  – заданная разрешающая способность прибора на длинноволновой границе спектрального диапазона прибора.
2. Отображающий фокальный монохроматор, содержащий линзу, выполняющую роль фокусирующего и диспергирующего элементов, и примыкающий к ней непрозрачный экран, закрывающий центральную область этой линзы, отличающийся тем, что в него дополнительно введены входной объектив, вторая линза и два идентичных волоконно-оптических преобразователя, причем меньший по площади торец первого волоконно-оптического преобразователя образован расположенными в одной плоскости и примыкающими друг к другу полированными торцами волокон, имеющих одинаковые диаметры в и прозрачных в спектральном диапазоне работы прибора, и находится в плоскости изображения установленного перед ним входного объектива, причем в> n, где n – длинноволновая граница спектрального диапазона работы прибора, при этом на большем по площади торце первого волоконно-оптического преобразователя торцы волокон также расположены в одной плоскости, но не примыкают друг к другу, а находятся на одинаковых друг от друга расстояниях , удовлетворяющих следующему выражению:
 где k – коротковолновая граница рабочего диапазона работы прибора,
– диаметр фокусирующей и диспергирующей линзы, f( k), f( n) – фокусные расстояния фокусирующей и диспергирующей линзы соответственно для излучений с длинами волн k и n, причем на расстоянии f( ) от этого торца установлена с возможностью прецизионного перемещения вдоль оптической оси устройства вторая линза, идентичная расположенной за ней фокусирующей и диспергирующей линзе, диаметр непрозрачного экрана э определяется по следующему соотношению:
 где  – заданная разрешающая способность прибора на длинноволновой границе спектрального диапазона прибора, причем расстояние между линзами не превышает их радиусов, оптические оси линз совпадают с оптической осью устройства, фокусирующая и диспергирующая линза вместе с примыкающим к ней непрозрачным экраном, закрывающим ее центральную область, имеет возможность прецизионного перемещения вдоль оптической оси устройства, за фокусирующей и диспергирующей линзой установлен второй волоконно-оптический преобразователь так, чтобы его больший торец был параллелен плоскости большего торца первого волоконно-оптического преобразователя и находился на расстоянии, равном f( ) от фокусирующей и диспергирующей линзы, и при этом перпендикулярные линии, восстановленные из центров каждого волокна большего торца первого волоконно-оптического преобразователя всегда попадали в центры оптически сопряженных с ними волокон большего торца второго волоконно-оптического преобразователя.
3. Отображающий фокальный монохроматор по п.1 или 2, отличающийся тем, что непрозрачный экран, примыкающий к фокусирующей и диспергирующей линзе и закрывающий ее центральную область, изготовлен с возможностью изменения его диаметра.
4. Отображающий фокальный монохроматор по п.1 или 2, отличающийся тем, что в него дополнительно введено электромеханическое устройство, содержащее W спектральных полосовых фильтров (где W 2), причем это устройство устанавливает по команде оператора любой из этих фильтров так, чтобы он находился перед входным объективом и его оптическая ось была бы совмещена с оптической осью входного объектива, при этом фильтры изготовлены так, чтобы выполнялось следующее соотношение:
 1+ 2+ + W n- k, где  1, 2,  W – ширины полос пропускания соответствующих фильтров.
5. Отображающий фокальный монохроматор по п.1 или 2, отличающийся тем, что в него дополнительно установлен тепловизор, регистрирующий излучения из волокон меньшего торца второго волоконно-оптического преобразователя.
РИСУНКИ
|
|