|
|
(21), (22) Заявка: 2008101319/02, 09.01.2008
(24) Дата начала отсчета срока действия патента:
09.01.2008
(46) Опубликовано: 20.06.2009
(56) Список документов, цитированных в отчете о поиске:
RU 2312934 C1, 20.12.2007. RU 2308553 C1, 20.01.2004. RU 2126852 C1, 27.02.1999.
Адрес для переписки:
236041, г.Калининград (обл.), ул. А. Невского, 14, ФГУ ВПО Российский государственный университет имени Иммануила Канта (РГУ им. И. Канта), УНИР, патентоведу
|
(72) Автор(ы):
Белоглазов Сергей Михайлович (RU), Мямина Мария Алексеевна (RU), Грибанькова Анжела Алексеевна (RU)
(73) Патентообладатель(и):
ФГУ ВПО Российский государственный университет им. И. Канта (RU)
|
(54) ПРИМЕНЕНИЕ ПРОИЗВОДНЫХ АНТИПИРИНА В КАЧЕСТВЕ ИНГИБИТОРОВ МИКРОМИЦЕТНОЙ КОРРОЗИИ И НАВОДОРОЖИВАНИЯ СТАЛИ В ВОДНО-СОЛЕВОЙ СРЕДЕ
(57) Реферат:
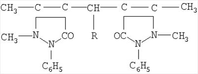
Изобретение относится к области защиты от коррозии и может быть использовано для защиты строительных конструкций нефтяного и другого оборудования из углеродистой и легированной стали с кадмиевым покрытием. Ингибитор микромицетной коррозии и наводороживания кадмированной стали в водно-солевой среде, содержащей Aspergillus niger, Phialophora fastigiata, Penicillium charlesii и Penicillium chrysogenum, представляет собой производное антипирина общей формулы:

где R: -Н; -СН3; -С4Н9; -С6Н5; -С6Н13; – C6H4-N-CH6.
Технический результат – повышение коррозионной стойкости. 2 ил., 3 табл.
Предлагаемое изобретение относится к ингибиторам микромицетной коррозии и наводороживания кадмированной стали в водно-солевой среде, содержащей мицеллы плесневых грибов Aspergillus niger, Phialophora fastigiata, Penicillium charlisii, Penicillium chrysogenum и предназначено для продления жизни строительных конструкций нефтяного и другого оборудования из углеродистой и легированной стали с кадмиевым покрытием.
Одним из факторов, вызывающих коррозию металлов и сплавов в атмосфере, при контакте с водой и почвой, является жизнедеятельность микроорганизмов [1]. Наибольший ущерб причиняют микроскопические грибы, интенсивно развивающиеся на металлах и выделяющие агрессивные продукты жизнедеятельности, которые, в конечном счете, приводят к изменению механических, химических и электрохимических характеристик пораженных металлов [2]. В частности в результате жизнедеятельности микроорганизмов пассивная пленка разрушается и поверхность металла активируется. Все это способствует протеканию электрохимических реакций, ускорению анодного процесса ионизации железа и возрастанию скорости коррозии стали [3-7].
Известно изобретение гальваностегии «Способ электроосаждения кадмия» МПК C25D 3/26, заявл. 2006.01.26, опубл. 2007.10.20., оно относится в частности к электрохимическому осаждению кадмия из электролита, который позволяет получать блестящие покрытия с выровненной поверхностью при высоких плотностях тока, и может быть использовано в различных отраслях промышленности для покрытия деталей с целью защиты их от коррозии.
Однако в данном изобретении нет сведений о ингибировании металлов, корродирующих под действием мицелиальных грибов, которое защищало бы их от коррозии и водородного охрупчивания.
Наиболее близким аналогом является ингибитор, раскрытый в RU 2312934 С1, МПК C23F 11/14, опубл. 20.12.2007. Технический результат этого изобретения – повышение коррозионной стойкости стали с кадмиевым покрытием, с включенным в него в процессе электроосаждения производным антипирина, к воздействию сульфатредуцирующих бактерий в водно-солевой среде.
Его недостатком является то, что оно не содержит сведений об ингибировании коррозии и наводороживания стали, вызванной мицелиальными грибами, при введении непосредственно в электролит кадмирования производного антипирина в процессе электроосаждения кадмия.
Наиболее перспективно для борьбы с коррозией металла в присутствии мицелиальных грибов применение органических ингибиторов, обладающих кроме этого биоцидной активностью на дейтеромицеты – активные разрушители металлических материалов [8-10]. Ряд лет на кафедре физической и коллоидной химии РГУ им. И. Канта ведутся исследования возможности уменьшения коррозии стали, покрытой электрохимически более стойким металлом из электролита, содержащего в качестве блескообразователя и ингибитора коррозии при эксплуатации изделия добавки органического соединения (ОС). Ранее было это продемонстрировано на примере покрытия никелем [11] и сплавом Ni-Mn [12], причем ОС, переходящее в коррозионную среду из металла покрытий, уменьшало также и абсорбцию водорода приповерхностным слоем металла. Данное исследование является наиболее близким к предложенному изобретению по технической сущности и достигаемому результату. Однако данный известный ингибитор не предохраняет сталь от водородного охрупчивания, возникающего при абсорбции водорода приповерхностными слоями металла.
Данный ингибитор применяют в различных отраслях промышленности для покрытия деталей с целью защиты их от коррозии. Однако в данной публикации нет сведений об ингибировании металлов, корродирующих под действием Aspergillus niger, Phialophora fastigiata, Penicillium charlisii и PeniciUium chrysogenum, которое защищало бы их от водородного охрупчивания.
К задачам, которые поставили перед собой авторы предлагаемой заявки являются, во-первых, разработка высокоэффективных и экономичных ингибиторов коррозии, сочетающих в себе свойства биоцидов и ингибиторов наводороживания стали одновременно, а во-вторых, расширение ассортимента ингибиторов для сред, содержащих двухосновные карбоновые кислоты, как продукты метаболизма микромицетов.
Указанные задачи достигаются тем, что в качестве ингибиторов микромицетной коррозии стали в водно-солевой среде применяются производные антипирина в количестве 1 5 мМоль/л, непосредственно введенные в сульфатный электролит кадмирования в процессе электроосаждения кадмия общей формулы:

где R: -Н; -СН3; -С4Н9; -С6Н5; -С6Н13, C6H13-N-С2Н6
Технический результат – улучшение коррозионной стойкости стали с кадмиевым покрытием, с введенными в сульфатный электролит в процессе его электроосаждения производными антипирина, к воздействию мицелиальных грибов Aspergillus niger, Phialophora fastigiata, Penicillium charlisii и Penicillium chrysogenum в водно-солевой среде.
Для исследования ингибирующего коррозию действия были выбраны соединения – производные антипирина (Таблица 1).
| 6 |
ДМАФДАМ-диметиламинофенилдиантипирилметан |
 |
Антипирин является производным гетероциклического соединения – пиразола. Несмотря на наличие пятичленного кольца с двумя атомами азота, пиразол и его гомологи относятся к высокопрочным соединениям. Условия синтеза различных R-диантипирилметанов представлены в таблице 2.
| Таблица 2 Условия синтеза различных R-диантипирилметанов |
| Реагент |
Альдегид |
Среда для синтеза |
Кислотность |
Тпл., °C |
| Диантипирилметан |
Формалин |
Водная |
0.1 M H2SO4 |
179-180 |
| МетилДАМ |
Уксусный |
Водная |
0.5 М HCl |
153 |
| ЭтилДАМ |
Пропионовый |
Водная |
0.025 М H2SO4 |
152 |
| ПропилДАМ |
Масляный |
Водная |
0.025 М H2SO4 |
164-165 |
Диантипирилметан – 4,4 -метилен-бис-(1,2-дигидро-1,5-диметил-2-фенил-3-пиразолон) (ДАМ) – типичное слабое двухосновное основание. Реакция протона с ДАМ даже в слабокислой среде касается обеих карбонильных групп. Образует комплексы со многими металлами состава: [MeDAMn]Xm, а также ионные ассоциаты (DAMH)n-m[MeX]n, где Me – металл, X – однозарядный анион, m-степень окисления металла.
Кроме того, заявленные органические соединения в кислых средах ведут себя как катионактивные. При попадании в водно-солевую среду в результате разрушения Cd-покрытия они частично (в большей или меньшей степени, в зависимости от рН среды и рК соединения) диссоциируют с образованием органических катионов. Это создает предпосылки для электростатического взаимодействия (электросорбции) частиц ингибитора в катионной форме с поверхностью стали, обнажающейся после растворения Cd-покрытия с анодных участков локальных коррозионных элементов.
В подтверждение нашей идеи были проведены следующие испытания. Для испытания заявляемых соединений в качестве коррозионной среды использовали водно-солевую среду, обеспечивающую как интенсивное развитие мицелиальных грибов, так и высокую скорость коррозионного разрушения Cd-покрытия и стальной основы (Таблица 3).
Таблица 3 Состав коррозионной среды |
, п/п |
Название соединения |
Количество, г/л |
| 1 |
Натрий азотнокислый по ГОСТ 4168 |
2.0 |
| 2 |
Калия дигидрофосфат по ГОСТ 4198 |
1.0 |
| 3 |
Магний сернокислый 7-водный по ГОСТ 4523 |
0.5 |
| 4 |
Калий хлористый по ГОСТ 4234 |
0.5 |
| 5 |
Железо (II) сернокислое 7-водное по ГОСТ 4148 |
0.01 |
| 6 |
Агар микробиологический по ГОСТ 17206 |
20.0 |
| 7 |
Сахароза по ГОСТ 5833 |
20.0 |
В настоящем сообщении приводятся результаты исследования эффективности ингибирующего коррозию действия соединений антипирина, включенных в процессе электроосаждения в кадмиевое покрытие, на процесс электрохимической коррозии кадмированной стали в водно-солевой среде, содержащей мицелиальные грибы и на наводороживание основы и покрытия.
В коррозионных исследованиях применяли стальные образцы с Cd-покрытием с включенными в него ОС в процессе формирования электроосадка из сульфатного электролита кадмирования. ОС вводили в электролит в концентрации 1,0; 2,0 и 5,0 мМоль/л. Кадмий осаждали на пластинки 20×50×1,0 мм из стали Ст3. Кадмирование проводилось без перемешивания при комнатной температуре и плотностях тока 1,0; 2,0 и 3,0 А/дм2 в сернокислом электролите следующего состава:
| CdSO4·8/3H2O |
«ч» ГОСТ 4456-56 |
50 г/л |
| H2SO4 |
«x. ч.» ГОСТ 4204-66 |
50 г/л |
| Na2SO4·10H2O |
«ч» ГОСТ 6318-68 |
50 г/л |
Для приготовления электролита растворяли отдельно каждое вещество в дистиллированной воде в концентрациях 1,0; 2,0 и 5,0 мМоль/л. Перед началом электролиза электролит прорабатывали 4 ч для удаления примесей других металлов.
Микроскопические грибы Aspergillus niger, Phialophora fastigiata, Penicillium charlisii и Penicillium chrysogenum выращивали на агаризированной среде Чапека. Образцы с кадмиевым покрытием помещали в чашки Петри на среду Чапека и инокулировали с помощью бактериальной петли спорами микрогрибов. Посев грибов производили методом штрихов и линий [13]. Экспозиция составляла 21 сут. Рост микрогрибов определяли визуально по балльной шкале, характеризующей степень обрастания материалов мицелием грибов (ГОСТ 9.048-89). Скорость коррозии определяли гравиметрически.
Исследуя коррозию стали Ст.3 в присутствии микрогрибов обнаружили, что уже на 3-й сут экспозиции на поверхности образцов образовывались продукты коррозии, в результате выделенных клетками микромицетов в коррозионную среду органических кислот. Образцы подвергались значительному разрушению, особенно в присутствии Aspergillus niger и Penicillium chrysogenum. Скорость коррозии соответственно в контрольных образцах составляет 2,6 и 2,1 г/м2 · сут, прорастание спор соответствует 5 баллам; 90 и 95% площади пластин с кадмиевым покрытием было покрыто продуктами коррозии. Микромицеты Penicillium charlesii и Phialophora fastigiata менее сильно ускоряли процесс коррозии, которая составила 1,76 и 1,54 г/м2 · сут, рост грибов – 4 балла, а площадь поражения – 70 и 65%. С введением добавок площадь и скорость коррозии уменьшались по сравнению с контролем.
Лучшим биоцидным действием на Aspergillus niger обладает ОС5 при концентрации 5 мМоль/л и Дк=1 А/дм2. При этом получили, что при последовательном увеличении концентрации добавки с 1,0; 2,0 и 5,0 мМоль/л скорость коррозии К уменьшается следующим образом 1,2; 0,91; 0,77 г/м · сут, защитный эффект Z возрастает: 54; 65 и 70%. Рост грибов соответствовал 2; 1; 0 баллам, площадь поверхности образцов, подвергнувшаяся коррозии 65; 50; 35% соответственно. Слабее других исследуемых оказалось ОС1, которое уменьшало скорость коррозии в присутствии Aspergillus niger всего до 1,87 г/м2 · сут при Z=28% при его содержании в электролите кадмирования С=5 мМоль/л и плотности тока осаждения кадмия 3 А/дм2.
На Penicillium chrysogenum самое губительное действие оказало ОС5. При концентрациях 1,0; 2,0 и 5,0 мМоль/л и плотности тока осаждения кадмия 1 А/дм2, получены следующие значения скорости коррозии К: 1,52; 1,44; 1,32 г/м · сут, при Z: 28; 31 и 37%, рост грибов характеризуется как 2; 1; 0 баллов.
Это же ОС явилось лучшим биоцидом и ингибитором для микромицетов Penicillium charlisii и Phialophora fastigiata. Самым слабым биоцидным действием на все 4 вида мицелиальных грибов обладает ОС1.
Исследование водородосодержания выполняли после электроосаждения кадмия из сульфатного электролита и после экспонирования в водно-солевой среде, содержащей микромицеты. Нанесение кадмиевого покрытия из сульфатного электролита кадмирование сопровождается сильным наводороживанием стальной основы. Все исследованные ОС уменьшают наводороживание кадмированной стали в процессе микромицетной коррозии и в процессе электроосаждения кадмия из сульфатного электролита, причем ОС5 введенное в электролит кадмирования в концентрации 5 мМоль/л и формировании осадка при Дк=1 А/дм2 проявляет наилучшее ингибирующее наводороживание действие, значительно снижая максимум на концентрационном профиле водорода.
На фиг.1 представлены концентрационные профили водорода, полученные в результате послойного растворения стали с кадмиевым покрытием, содержащим ОС5 при максимальной исследуемой концентрации 5 мМоль/л и осажденным при
Дк=1 А/дм2, после коррозии под действием четырех дейтеромицетов. Подтверждено крайне неравномерное распределение водорода по глубине кадмированных образцов. Водород концентрируется в слое покрытия 10-15 мкм, что соответствует его содержанию в металле покрытия, и на глубине 30-40 мкм в слое металла основы. При содержании ОС5 5 мМоль/л в электролите кадмирования и плотности тока его осаждения 1 А/дм2 пиковое содержание водорода в слое покрытия составило 10 мл/100 г после коррозии образцов в присутствии Phialophora fastigiata;
оно составило 18 мл/100 г после коррозии в присутствии Penicillium charlisii; и увеличилось до 21 мл/100 г после коррозии в среде с Penicillium chrysogenum и до 25 мл/100 г в среде, содержащей Aspergillus niger. Содержание водорода в стальной основе было 21, 35, 44 и 53 мл/100 г соответственно.
Исследование характера наводороживания кадмированной стали в контрольной серии опытов показало сильное преобладание водорода в стальной основе (10-30 мл/100 г) над его количеством в кадмиевом покрытии. При уменьшении концентрации исследованных ОС, вводимых в электролит кадмирования, и увеличении плотности тока осаждения кадмия, наводороживание покрытых образцов увеличивается в средах, содержащих микромицеты. Увеличение Дк при электроосаждении кадмия из электролитов, содержащих все исследованные ОС, приводит к возрастанию водородосодержания, особенно сильно проявляющегося у металла основы (фиг.2).
Установлено, что по агрессивности на коррозию и наводороживание стали с Cd-покрытием после микромицетов располагаются в ряд: Asp.niger>Penic. chris.>Penic. chart.>Phial. factig.
Соединение 5 отличалось от остальных заявляемых соединений также по действию на электродный потенциал при выделении кадмия на катоде, которое было наиболее интенсивным. Это связано с появлением у молекул этого соединения наибольшей способности к адсорбции на поверхности металла катода (сталь, кадмий) в процессе электроосаждения, повлекшей за собой наибольшее среди исследуемых органических соединений включение (по массе органического вещества) в растущий электроосадок кадмия. Кроме того, повышенная адсорбционная способность соединения 5 на металле катода повлекла за собой и большее ингибирование коррозии кадмированной стали, поскольку ингибирование коррозии, протекающей по электрохимическому механизму, происходит, имея обязательную стадию – адсорбция молекул органического соединения на поверхности коррелирующего металла. Повышенная адсорбционная способность соединения 5 объясняется наличием в молекуле этого соединения электронно-донорной группы (изобутил), связанной с центральным атомом С, что должно приводить к увеличению электронной плотности на всех гетероатомах N и обоих карбонильных атомах О. Таким образом, устанавливающиеся хемосорбционные связи молекул соединения 5 с атомами Fe и Cd, находящимися на поверхности, обеспечивают эффективное экранирование большой поверхности металла от коррозионной среды, достаточное для торможения как анодного (ионизация металла), так и катодного (разряд Н3О+) процессов.
Из представленных данных видно также, что наибольший полезный эффект оказывают заявляемые соединения, будучи встроенными в электроосадки Cd из сульфатного электролита, формируемые при меньшей катодной плотности тока (1 А/дм2), которая фактически и применяется на отечественных машиностроительных, судостроительных, авиамоторных и радиотехнических заводах при кадмировании многочисленного ассортимента изделий.
Источники информации
1. Iverson W.P. Biological corrosion. – Adv. Corros. Sci. And Technol., 1972, vol. 2, p.1-42.
2. Каневская И.Г. Биологическое повреждение промышленных материалов. – Ленинград: Наука, 1984.-156 с.
3. Гоник А.А. Коррозия нефтепромыслового оборудования и меры ее предупреждения. – М.: Недра, 1976.-192 с.
4. Герасименко А.А. Защита машин от биоповреждений. – М.: Машиностроение, 1984.
5. Iyer R.N., Pickering H.W., Takeuchi I. and Zamanzadeh H., Hydrogen Sulfide Effect on Hydrogen Entry into Iron. A Mechanistic Study. – Corrosion.-1990.-Vol.46(6).- p.460-467.
6. Защита от коррозии, старения и биоповреждений машин, оборудования и сооружений: Справочник / Ред. Герасименко А.А. – М.: Машиностроение, 1983. -T.1.-688 с.
7. Лебедева Г.Д. Обрастание в пресных водах. – В кн.: Биоповреждения метериалов и изделий. М., 1971, с.5-75.
8. Коваль Э.З., Сидоренко Л.П. Микродеструкторы промышленных материалов. – Киев: Наукова думка, 1989. – 192 с.
9. Ермилова И.А., Каневская И.Г., Семенюк В.И. Влияние ингибиторов коррозии на микробиологическую стойкость металлических изделий народного потребления и их упаковку. – В кн.: Микроорганизмы и низшие растения – разрушители материалов и изделий. М., 1979, с, 133-135.
10. Кочкин Д.А. Элементоорганические мономеры и полимеры как средства защиты от биоповреждений: Олово-, свинец-, мышьякорганические соединения. Химия и применение. – В кн.: Биологические повреждения строительных и промышленных материалов. Киев, 1978, с.26-31.
11. Егорова К.В., Колесникова Н.В., Белоглазов С.М. Исследование микробиологической коррозии стальных образцов, покрытых Ni и Ni-Mn -сплавом, в присутствии некоторых органических веществ / Современные проблемы биологических повреждений материалов (Биоповреждения. – 2002). – Пенза, 2002, с.28-30.
100.
13. Белоглазов С.М. Наводороживание стали при электрохимических процессах. – Л.: ЛГУ, 1975. – 412 с.
Формула изобретения
Ингибитор микромицетной коррозии и наводороживания кадмированной стали в водно-солевой среде, содержащей Aspergillus niger, Phialophora fastigiata, Penicillium charlesii и Penicillium chrysogenum, представляющий собой производное антипирина общей формулы
 где R: -Н; -СН3; -С4Н9; -С6Н5; -С6Н13; – С6Н4-N-СН6.
РИСУНКИ
|
|