|
|
(21), (22) Заявка: 2007115064/15, 20.09.2005
(24) Дата начала отсчета срока действия патента:
20.09.2005
(30) Конвенционный приоритет:
21.09.2004 DE 102004045720.4
(43) Дата публикации заявки: 27.10.2008
(46) Опубликовано: 20.06.2009
(56) Список документов, цитированных в отчете о поиске:
WO 9905096 А2 04.02.1999. WO 03076391 А2 18.09.2003. WO 03103644 А2 18.12.2003.
(85) Дата перевода заявки PCT на национальную фазу:
23.04.2007
(86) Заявка PCT:
EP 2005/010143 20050920
(87) Публикация PCT:
WO 2006/032461 20060330
Адрес для переписки:
103735, Москва, ул. Ильинка, 5/2, ООО “Союзпатент”, пат.пов. А.П.Агурееву
|
(72) Автор(ы):
ШМАЛИКС Вольфганг (DE), БЮРГЛЕ Маркус (DE), КОХ Клаус (DE)
(73) Патентообладатель(и):
ВИЛЕКС АГ (DE)
|
(54) СТОЙКАЯ ЛЕКАРСТВЕННАЯ ФОРМА ИЗ ПРОИЗВОДНЫХ ФЕНИЛАЛАНИНА
(57) Реферат:
Изобретение относится к лекарственным средствам и касается фармацевтической композиции для лечения заболеваний, связанных с урокиназным активатором плазминогена (u-РА) и/или с рецептором активатора плазминогена урокиназного типа (u-PAR), содержащей: (i) производное амидино-, гидроксиамидино-, гуанидино- и/или гидроксигуанидинофенилаланина в качестве активного вещества, (ii) смесь спирта и полиола и (iii) водную фазу, содержащую буферный раствор. Также раскрыт способ стабилизации фармацевтической композиции. Композиции по изобретению обладают физико-химической стойкостью. 2 н. и 23 з.п. ф-лы, 6 ил., 1 табл.
Уровень техники, к которой относится изобретение
Изобретение относится к улучшенным стойким фармацевтическим композициям из производных фенилаланина и их применению в качестве ингибиторов урокиназы, в частности, при лечении злокачественных опухолей и опухолевых метастаз.
Уровень техники
Способность солидных опухолей к распространению и метастазированию в окружающей ткани связана с распадом или перестройкой внеклеточной матрицы (опухолевой стромы) в окружении опухолевой клетки или с ее способностью к прониканию в базальную мембрану. И хотя (пато-) биохимические взаимосвязи окончательно еще не выяснены, однако существенную роль при этом играют активатор плазминогена урокиназы (uPA) и рецептор урокиназы (uPAR). uPA вызывает протеолитическое расщепление плазминогенов с образованием плазмина. Плазмин же, в свою очередь, является протеазой с широким спектром действия, которая в состоянии непосредственно расщеплять компоненты внеклеточной матрицы, такие как фибрин, фибронектин, ламинин, а также белковый скелет протеогликанов. Кроме того, плазмин способен активировать «латентные» металлопротеазы и неактивный профермент активатора и проактиватора плазминогена урокиназы (pro-uPA).
Опухолевые клетки и незлокачественные клетки опухолевой стромы синтезируют и выделяют ферментативно неактивный профермент pro-uPA. Протеазы, как, например, плазмин или катепзин В и L, расщепляют pro-uPA в результате ограниченного протеолиза с образованием активной сериновой протеазы HMW-uPA (HMW=high molecular weight: большой молекулярный вес). Pro-uPA и активная протеаза HMW-uPA связаны с поверхностным рецептором клетки uPAR (CD87). Плазминоген также связан со специфичными рецепторами на плазменной мембране опухолевой клетки, в результате чего происходит фокусирование и усиление активации плазминогена в непосредственном окружении опухолевой клетки. Следовательно, инвазионные клетки получают в результате этого возможность разрушения внеклеточной матрицы без необходимости удаления нижних слоев посредством протеолиза, необходимых для направленного движения.
В разных посвященных биологии клетки работах было показано, что особое значение имеет связанная с клеткой система активатора плазминогена в пределах каскадных путей реакции связанных с опухолью систем протеолиза (Wilhelm и др., The Urokinase/Urokinase receptor system: A new target for cancer therapy. См.: Schmitt M., Graeff H., Kindermann G. (под редакцией): Prospects in Diagnosis and Treatment of Cancer. International Congress Series, Excerpta Medica 1050, г.Амстердам, Elsevier (1994), стр.145-156). На примере культур раковых клеток толстой кишки человека было отмечено, что их способность проникать через внеклеточную матрицу зависит от степени насыщения рецепторов uPA активным uPA (Hollas и др., Cancer Res. 51 (1991), стр.3690-3695). Также на модели клеточной культуры наблюдалось снижение инвазивного потенциала клеток в том случае, когда протеолитическая активность uPA снижалась посредством PAI-1 (Cajot и др., Proc. Natl. Acad. Sci. USA 87 (1990), стр.6939-6943) или PAI-2 (Baker и др., Cancer Res. 50 (1990), стр.4676-4684). Сопоставимый эффект был достигнут при ингибировании связывания uPA с поверхностью клетки путем блокирования рецептора с помощью протеолитически неактивных вариантов uPA (Cohen и др., Blood 78 (1991), стр.479-487; Kobayashi и др., Br. J. Cancer 67 (1993), стр.537-544). Также и трансфекция эпидермальных раковых клеток посредством плазмиды, вызывающей экспрессию десенсибилизирующего транскрипта по отношению к части uPAR, приводит в результате подавления синтеза uPAR к снижению инвазивности указанных клеток (Kook, EMBO J. 13 (1994), стр.3983-3991). Действующие против uPA и PAI-1 антитела снижают инвазивный потенциал раковых клеток легких in vitro (Lieu и др., Int. J. Cancer 60 (1995), стр.501-506).
Влияние системы активатора плазминогена на процесс метастазирования был подтвержден и на моделях опухолей животных. Так, например, почти полностью было предупреждено образование метастаз в легких куриных эмбрионов, вызванное раковыми клетками человека, посредством введения антител против uPA (Ossowski и Reich, Cell 35 (1983), стр.611-619). Метастазирующие раковые клетки человека были трансфицированы экспрессионной плазмидой, кодировавшей протеолитически неактивные, но связывающие uPAR мутанты uPA. На модели мыши было установлено, что раковые клетки, синтезирующие неактивный uPA, после их инъекции вызвали образование значительно меньшего количества метастаз по сравнению с нетрансфицированными клетками (Crowley и др., Proc. Natl. Acad. Sci. USA 90 (1993), стр.5021-51025). После введения антисмысловых uPA олигонеклеотидов наблюдалась, кроме того, задержка внутрибрюшинного распространения раковых клеток яичников человека в «голых» мышах (Wilhelm и др., Clin. Exp.Metast. 13 (1995), стр.296-302).
В последние годы ведутся широкие исследования клинической актуальности факторов системы активатора плазмиды (uPA, uPAR, PAI-1, PAI-2) для прогнозирования пациентов с солидными злокачественными опухолями. При этом содержание антигена uPA в разных опухолях (например, опухолях груди, яичника, желудка, легких, почек и пр.) оказалось эффективным прогнозирующим фактором как при выживании с отсутствием рецидивов, так и при летальном исходе (см., например, Schmitt и др., J. Obstet. Gynaecol. 21 (1995), стр.151-165); Jaenicke и др., Breast Cancer Res. Treat. 24 (1993), стр.195-208; Kuhn и др., Gynecol. Oncol. 55 (1994), стр.401-409; Nekarda и др., Lancet 343 (1994), стр.117; Pedersen и др., Cancer Res. 54 (1994), стр.4671-4675). Также коррелируется с низким прогнозом повышенные концентрации uPAR в раковых тканях легких (Pedersen и др., а также упомянутые выше авторы) и груди (Duggan и др., Int. J. Cancer 61 (1995), стр.597-600; Ronne и др., Breast Cancer Res. Treat. 33 (1995), стр.199-207), а также при раке желудка, как в самой опухолевой ткани (Heiss и др., J. Clin. Oncol. 13 (1995), стр.2084-2093), так и в опухолевых клетках, рассеянных в костном мозге (Heiss и др., Nature Medicine, 1 (1995), стр.1035-1039).
Также было установлено, что производные 3-амидинофенилаланина, замещенные в положении 2 фенильным остатком, представляют собой селективные и эффективные in vivo ингибиторы по отношению к uPA (EP 1098651). Применение этих соединений в эксперименте с животными происходило в виде водных растворов.
В WO 02/074756 и WO 03/103644 раскрыто применение других ингибиторов урокиназы на основе фенилаланина, а также применение производных 3-гуанидинофенилаланина в качестве ингибиторов урокиназы.
В ходе первых клинических испытаний указанных соединений выяснилось, что их введение в виде водного маннитола, например, D-маннитола, без добавки органических растворителей и пропиленгликоля/этанола, а также содержащих поваренную соль растворов сопряжено с недостатками. Так, например, ни в растворах поваренной соли, ни в случае применения маннитола для придания изотоничности не удается получить стойкого концентрированного раствора активного вещества, который не осаждался бы и не образовывал осадка. Например, в пятипроцентных растворах маннитола после длительного хранения образуется осадок из добавленного активного вещества. Также мало пригодными оказались композиции, состоящие из чисто органических растворителей, так как активное вещество не обладает в них необходимой химической стойкостью и предрасположено к разложению. Так, через около 1,5 месяцев начинается разложение активного вещества путем перехода амидина в сложный эфир, при этом раствор активного вещества становится непригодным.
В WO 2004/011004 описана композиция для стабилизации водных растворов, содержащих ингибитор урокиназы на основе фенилаланина в виде так называемых липосом, смешанных мицелл, состоящих из разных фосфолипидов. Однако такая форма стабилизации не является достаточной для всех случаев применения, в частности, после восстановления с помощью физиологических буферных растворов химическая стойкость композиции с содержанием липосом уже не была достаточной.
Во время предварительных опытов по созданию новых композиций была обнаружена очень высокая растворимость активного вещества N- -(2,4,6-триизопропилфенилсульфонил)-3-амидин-(L)-фенилаланин-4-этокси-карбонилпиперазида (WX-UK1) в полиолах, например, диолах, а также в смесях из полиола, спирта и воды (таблица 1).
Эти данные показывают, что смеси из полиола и спирта, например пропиленгликоля (PG) и этанола (EtoH), являются хорошими растворителями для жидкой композиции. Дополнительно оба эти растворителя пригодны для парентерального введения активных веществ.
При хранении разных композиций, например,
a) WX-UK1, 60 мг/мл в смеси пропиленгликоль/этанол/вода, 40/10/50,
b) WX-UK1, 50 мг/мл в смеси пропиленгликоль/этанол/вода, 40/10/50,
c) WX-UK1, 40 мг/мл в смеси пропиленгликоль/этанол/вода, 40/10/50,
d) WX-UK1, 20 мг/мл в смеси пропиленгликоль/этанол/вода, 10/10/80,
e) WX-UK1, 4 мг/мл в воде (контрольная композиция),
f) WX-UK1, 4 мг/мл в 5%-ном D-маннитоле (контрольная композиция),
при температуре от двух до восьми градусов Цельсия (2-8°С) было установлено, что в композициях (е) и (f) уже через несколько часов образуется осадок в виде игольчатых кристаллов. Через четверо (4) суток хранения при температуре от двух до восьми градусов Цельсия (2-8°С) в композиции (d) образовался осадок аналогичного внешнего вида.
В композициях (а) и (b) после хранения в течение 16 и 22 суток при температуре от двух до восьми градусов Цельсия (2-8°С) осадок отсутствовал.
При исследовании стойкости при 2-8°С, 25°С / 60% относительной влажности воздуха и 40°С / 75% относительной влажности воздуха композиция (с) обнаружила при температуре менее 40°С уже через 6 недель около 4%, через 8 недель около 23% и через 12 недель около 38% примесей по сравнению с около 0,5% в начале исследования. Одновременно показатель рН композиции на протяжении 12 недель возрос с 5,1 до 8,7 (фиг.1).
Рост показателя рН вероятно объясняется распадом WX-UK1. На фиг.2 показана возможная реакция распада активного вещества WX-UK1 в водных средах: на первом этапе WX-UK1 распадается с образованием соответствующего амида WX-UK1, причем происходит выделение аммиака, улавливаемого, разумеется, присутствующим WX-UK1 в качестве гидрохлорида в виде хлорида аммония. На втором этапе распада амид WX-UK1 вступает в реакцию со спиртом с выделением дополнительного аммиака и образованием соответствующего сложного эфира WX-UK1. Выделение аммиака вероятно и приводит к увеличению показателя рН.
Благодаря знаниям о процессе распада во внимание были приняты преимущественно безводные композиции для предупреждения разложения активного вещества водой. Однако относительно высокая вязкость чисто органических растворителей создает в повседневной клинической практике трудности в обращении с вязкотекучими концентратами. Кроме того, высокая гигроскопичность полиолов вызывает поглощение воды, что снова ведет к распаду активного вещества. Также с трудом достигается и буферность с помощью органических буферных растворов, таких, например, как триэтаноламин/HCl, пиперазин/HCl, пропионовая кислота/пропионат, которые не все являются физиологически приемлемыми.
Опыты по стабилизации водных растворов добавкой поверхностно-активных веществ, как, например, Pluronic F68 или Tween 80, или стабилизаторов, как, например, альбумин сыворотки человека, оказались безуспешными. Добавки сорастворителей, например, полиэтиленгликолена, а также композиции из активного вещества в смешанные мицеллы, содержавшие желчную соль гликохолатмоногидрат и фосфолипид фосфатидилхолина яйца, также не придали достаточной стойкости.
Поэтому возникла необходимость в создании новых фармацевтических композиций с содержанием активных веществ с группами амидина и/или гуанидина, которые обладают физическо-химической стойкостью, могут порционно и/или в виде концентрата храниться и с которыми просто обращаться во время приготовления стойких фармацевтических препаратов, например физиологических растворов для вливания, являющихся стойкими благодаря соответствующим средствам для придания изотоничности, совместимыми и высокоэффективными.
Раскрытие изобретения
Эта задача решается согласно изобретению посредством фармацевтической композиции по п.1 формулы изобретения, включающей в себя (i) производное амидино-, гидроксиамидино-, гуанидино- и/или гидроксигуанидинофенилаланина в качестве активного вещества, (ii) спирт или полиол или их смесь и (iii) водную фазу с буферным раствором.
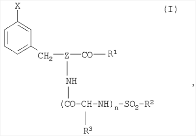
В качестве активного вещества применяется преимущественно производное фенилаланина, являющееся эффективным ингибитором серинпротеазы, в частности, урокиназы. Предпочтительными активными веществами являются соединения амидинофенилаланин и гуанидинофенилаланин, раскрытые в ЕР-А-1 098 651, WO 02/074756 и WO 03/103644. Также предпочтительными являются соединения гидроксиамидинофенилаланин и гидроксигуанидинофенилаланин, описанные в РСТ/ЕР2004/005682. В качестве активных веществ для фармацевтической композиции согласно изобретению служат, в частности, производные 3-амидинофенилаланина или 3-гуанидинофенилаланина новые ингибиторы урокиназы общей формулы I:

которые присутствуют в виде рецематов соединений в виде L- или D-конфигураций, при этом:
Х означает группу амидина или гуанидина или гидроксиамидина или гидроксигуанидина,
R1 означает:
a) ОН или OR4, причем R4 означает замещенный при необходимости, например, гидроксилом, карбоксилом, сульфонилом, нитро, циано, оксо или/и галогеном, разветвленный или неразветвленный (C1-C8) алкил, (С3-С8)циклоалкил или аралкил, например, бензил или фенилэтил,
b) группу формулы:

где R5 и R6 означают любые совместимые с общей структурой остатки, в частности,
(i) R5 и R6 означают Н,
(ii) R5 означает Н, R6 означает при необходимости замещенный, например, гидроксилом, карбоксилом, сульфонилом, нитро, циано, оксо или/и галогеном разветвленный или неразветвленный (C1-C8) алкил, аралкил, например, бензил или фенилэтил или (C5-C8) циклоалкил,
(iii) R5 и R6 означают, независимо друг от друга, замещенный при необходимости, например, гидроксилом или/и галогеном неразветвленный или разветвленный (C1-C4) алкил или
(iv) R5 означает Н, R6 означает -NH2 или, в частности, замещенную арилом или гетероарилом аминогруппу,
(v) R5 означает Н или замещенный при необходимости, например, гидроксилом или/и галогеном неразветвленный или разветвленный (C1-C4) алкил, R6 означает остаток аминокислоты, например, -, – или -карбоновой или сульфоновой аминокислоты, или остаток пептида, например, длиной до 50 аминокислот или остаток полипептида, например, длиной от более 50 до 1000 аминокислот,
(с) группу формулы:

в которой m означает число 1 или 2 и в которой одна или несколько метиленовых групп замещены при необходимости, например, остатком гидроксила, карбоксила, (C1-C4) алкила или аралкила, например, бензила или фенилэтила, причем группа (с) является рацемической D или L-конфигурацией, при этом R7 имеет значение, приведенное для R в пунктах (а), (b) и (f),
(d) группу формулы:

в которой p=r=1, p=1, r=2 или р=2, r=1 и в которой одна или несколько метиленовых групп замещены при необходимости, например, гидроксильным, карбоксильным,
(C1-C4) алкильным или аралкильным остатком, например, бензилом или фенилэтилом, при этом R7 имеет значение, указанное для R1 в пунктах (а), (b) и (f),
(е) группу пепиредила, которая при необходимости замещена в одном из положений 2, 3 или 4, например, остатком (C1-C4) алкила, остатком (C1-С3) алкокси или остатком гидроксила, причем при необходимости гетероциклоалифатические кольца формул (с), (d) и (е) сконденсированы дополнительно с ароматическим или циклоалифатическим кольцом, предпочтительно фенилом или циклогексилом, в положении 2, 3 или 3, 4 по отношению к гетероатому,
(f) группу формулы:

в которой R8 означает:
(i) замещенный при необходимости, например, (C1-С6) алкилом, (C1-С3) алкокси, гидроксилом, карбоксилом, сульфонилом, нитро, циано, оксо или/и галогеном (C1-С6) алкильный остаток, такой, как, например, этоксикарбонил, или арильный остаток, как, например, фенил, п-галогенфенил, нафтил,
(ii) насыщенный или ненасыщенный, разветвленный или неразветвленный остаток (C1-С6) алкокси или
(iii) остаток фенокси или бензилоксикарбонила, замещенный при необходимости, например, (C1-C8) алкилом, (C1-С3) алкокси, гидроксилом, карбоксилом, сульфонилом, нитро, циано, оксо или/и галогеном,
(g) ацильный остаток формулы СОХ, причем Х означает:
(i) H, замещенный при необходимости, например, гидроксилом, карбоксилом, сульфонилом, нитро, циано, оксо или/и галогеном неразветвленный или разветвленный алкильный остаток, предпочтительно остаток (C1-С6) алкила, в частности, метил,
(ii) замещенный при необходимости, например, (C1-С6) алкилом, (C1-С3) алкокси, гидроксилом, карбоксилом, сульфонилом, нитро, циано, оксо или/и галогеном арильный или гетероарильный остаток, как, например, фенил, п-галогенфенил, тиенил или
(iii) замещенный при необходимости, например, гидроксилом, карбоксилом, сульфонилом, нитро, циано, оксо или/ гелогеном остаток циклоалкила, предпочтительно остаток (С3-С10) циклоалкила,
(h) алкильный остаток, например, бензил или фенилэтил, в котором ароматический остаток замещен при необходимости, например, атомом галогена, группой (C1-С6) алкила, (C1-С3) алкокси, гидрокси, циано, карбоксила, сульфонила или нитро,
(i) амидный остаток карбоновой кислоты формулы -CONR’R”, амидный остаток тиокарбоновой кислоты – CSNR’R” или амидный остаток уксусной кислоты -СН2-CONR’R”, причем
(i) R’ и R” означают H,
(ii) R’ и R”, независимо друг от друга, означают (C1-C4) алкил,
(iii) R’ означает H, R” означает (C1-C4) алкил,
(iv) R’ означает H, R” означает арил, например, фенил или
(v) R’ и R” образуют с атомом азота 5-7-членное гетероциклоароматическое кольцо, которое может нести дополнительный гетероатом, например, N, О или/и S,
(j) остаток SO2-Y, в котором Y означает:
(i) (C1-C8) алкил замещенный при необходимости, например, гидроксилом, карбоксилом, сульфонилом, нитро, циано, оксо или/и гелогеном, предпочтительно метил, трифторметил, трихлорметил,
(ii) замещенный при необходимости, например, (C1-С6) алкилом, (C1-С3) алкокси, гидроксилом, карбоксилом, сульфонилом, нитро, пиано, оксо или/и галогеном, арил или гетероарил, такой как, например, фенил, 4-метилфенил, 2,4,6-триметилфенил, 2,4,6-триизопропилфенил, 4-метокси-2, 3,6-триметилфенил, 2,2-диметил-6-метокси-хроманил, 2,2.5,7,8-пентаметилхроманил, антрахинонил, нафтил или хинолил или 0-арил, предпочтительно O-фенил или O-гетероарил или
(iii) -NR’R”, причем R’, R”, независимо друг от друга, означают Н или (C1-С3) алкил,
(к) циклоалифатическое кольцо с 5-8 атомами углерода, которое при необходимости замещено, например, группой (C1-С6) алкила, группой (C1-С3) алкокси, группой галогена или/и группой окси,
(l) замещенный при необходимости, например, (C1-С6) алкилом, (C1-С3) алкокси, гидроксилом, карбоксилом, сульфонилом, нитро, циано, оксо или/и галогеном, остаток гетероарила, такого как, например, пиридил или пиримидил, или гетероциклоалифатический остаток, например, N-метилпиперидил,
(m) функциональный алкильный остаток формулы -(СН2)n-Х, при этом алкильная цепочка является неразветвленной или разветвленной, n=1-8, функциональный остаток Х означает:
(i) гидроксильную группу, атом водорода которой при необходимости замещен группой (C1-C4) алкила, группой аралкила, например, бензилом или фенилэтиленом, группой арила, например, фенилом, группой (C1-C4) гидроксиалкила, группой ацила, СО-алкилом (C1-С6),
(ii) атом галогена,
(iii) третичную аминогруппу формулы -N(Alk)2, причем (C1-С3) алкильные группы имеют преимущественно одинаковое значение, при этом атом азота при необходимости относится к 5-7-членному гетероциклоалифатическому кольцу, которое способно нести дополнительный гетероатом, например, N, О или/и S,
R2 означает замещенный при необходимости, например, (C1-С6) алкилом, (C1-С3) алкокси, гидроксилом, карбоксилом, сульфонилом, нитро, циано, оксо или/и галогеном, фенильный остаток такой, как, например, фенил, 4-метилфенил, 2,4,6-триметилфенил, 2,4,6-триизопропилфенил,4-метокси-2,3,6-триметилфенил,
R3 означает атом водорода или разветвленный или неразветвленный (C1-C4) алкил, n означает 0 или 1,
Z означает N или CR9, причем R9 означает атом водорода или разветвленный или неразветвленный (C1-C4) алкил.
Соединениями могут также служить соли, предпочтительно физиологически совместимые соли кислот, например, соли минеральных кислот, в частности, предпочтительными являются гидрохлориды, водородсульфаты, сульфаты или соли соответствующих органических кислот.
Среди охарактеризованных в общих пунктах формулы изобретения соединений особое значение имеют такие, в которых R1 соответствует группе формул (b), (d) и (f), R2 означает простой, двойной или тройной замещенный алкилом фенильный остаток, в частности, 2,4,6-замещенный фенильный остаток, например, остаток 2,4,6-триизопропилфенила, n=0. Также предпочтительными являются соединения, в которых Z означает СН или N.
Из соединений формулы (I) особо предпочтительны соединения Na-(2,4,6-триизопропилфенилсульфонил)-3-амидин-(D,L)-фенилаланин-4-этоксикарбонилпиперазид, N -(2,4,6-триизопропилфенилсульфонил)-3-гуанидин-(D,L)-фенилаланин-4-этоксикарбонилпиперазид или их L-энтантиомер или фармацевтически совместимая соль этих соединений.
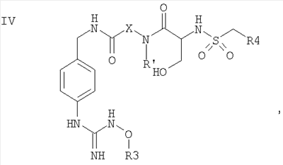
Как упоминалось выше, в качестве активных веществ пригодными являются также соответствующие гидроксисоединения производных амидино- и гуанидинофенилаланина, например, такие, как описанные в РСТ/ЕР2004/005682, в частности, соединения общей формулы II или/и III:


где Е означает группу, состоящую из:
 
где В означает -SO2– или -СО-,
Х означает -NR1 или -CHR1,
Z означает – R4, -OR4 или -NH-R4,
Y означает -OR2 или -NHR2,
R1 означает независимо замещенные или незамещенные -Н, (C1-С6) алкил, (С2-С6) алкенил или (С3-С6) алкинил,
R2 означает -Н, OR1, -COR’, -COOR1 или CON(R1)2,
R3 означает -Н, (C1-С6) алкил, (С2-С6) алкенил или (С2-С6) алкинил, замещенные или незамещенные, или -COR6 или -COOR6 или остаток олиго или полиалкиленокси, например, с 2-50 (C2-C4) алкиленокси, например, остатками этиленокси,
R4 означает -Н, (C1-С6) алкил, (С2-С6) алкенил или (С2-С6) алкинил, замещенные или незамещенные, или циклический остаток,
R5 означает, замещенные или незамещенные, -OR6, -N(R6)2, (C1-С6) алкил, (С2-С6) алкенил или (С2-С6) алкинил,
R6 означает -Н, (C1-С6) алкил, (С2-С6) алкенил или (С2-С6) алкинил, замещенные или незамещенные, или циклический остаток,
причем каждый циклический остаток может нести один или несколько заместителей, выбранных, например, из (C1-С3) алкила, -OR6 (например, -ОН или (C1-С3) алкокси), галогена, -О, -NO2, -CN, -COOR6, -N(R6)2, -NR6COR6, -NR6CON(R6)2, -OCOR6,
при этом каждый алкил, алкенил или алкинил может быть неразветвленным или разветвленным и нести один или несколько заместителей, выбранных, например, из галогена (F, Cl, Br, I), -OR6, -OCOR6, N(R6)2, -NR6COR6, -COOR6, -NR6COR6 или циклического остатка,
или соли этих соединений, а также при необходимости фармацевтически традиционные носители, разбавители или/и вспомогательные вещества.
Предпочтительными являются соединения общей формулы IV:

где X, R1, R3, R4 и R6 имеют значения, указанные выше,
или их соли.
Группа Е располагается преимущественно в позиции «пара» фенильного кольца в соединениях I и II. Особо предпочтительными являются соединения общей формулы I, в которой Е означает Am.
Соединения согласно изобретению обладают модифицированной функцией Е амидина или гуанидина, преимущественно функцией гидроксигуанидина или гидроксиамидина. Такие модификации были известны лишь в виде синтезированных промежуточных продуктов при получении ингибиторов урокиназы типа гуанидин или амидин. До настоящего времени фармацевтическая эффективность не предполагалась.
Соединения могут иметь вид солей, преимущественно физиологически совместимых солей кислот, например минеральных кислот, особо предпочтительными являются гидрохлориды или водородсульфаты, или солей соответствующих органических кислот, например органических карбоновых или сульфоновых кислот, таких как, например, тартраты, мезилаты или безилаты. Особо предпочтительными являются водородсульфаты. Соединения могут применяться в виде оптически чистых соединений или в виде смесей энантиомеров или/и диастереомеров.
Циклические остатки могут содержать в себе одно или несколько насыщенных или ненасыщенных колец. Предпочтительными примерами циклических остатков могут служить циклоалкильные остатки, арильные остатки, гетероарильные остатки и бициклические остатки. Особо предпочтительными являются моно- или бициклические остатки. Циклические остатки содержат преимущественно 4-30, в частности 5-10 атомов углерода и гетероатомов, в качестве кольцевых атомов, а также при необходимости один или несколько заместителей, как указано выше. Гетероциклические системы содержат преимущественно один или несколько атомов кислорода, серы или/и азота. Предпочтительными бициклическими кольцевыми системами являются системы с остатком -СО.
Алкильные, алкенильные и алкинильные группы содержат преимущественно до 4 атомов углерода. R означает преимущественно Н или при необходимости замещенный (C1-C4) алкильный остаток, например, -СН3 или (C1-С6) алкиларильный остаток, вследствие чего -CO-X-NR1 может означать, например, остаток глицила, аланила, фенилаланила или гомофенилаланила. Особо предпочтительно, чтобы R2 означало Н или (C1-С3) алкильный остаток, вследствие чего Y может означать, например, (O-C1-С3) алкильный остаток или ОН. Особо предпочтительно, чтобы R3 означало Н. В соединениях I R5 означает предпочтительно -NHR6, особо предпочтительно -NH(С1-С5)-алкил, незамещенный или замещенный, например, -NHC2H5 или -OR6, особо предпочтительно -O(С1-С3)-алкил, незамещенный или замещенный, например, этилокси или бензилокси, или O-арил, например, фенилокси. В соединениях II и III R6 означает преимущественно атом водорода или (C1-С3) алкил.
Предпочтительными являются соединения, в которых структурный элемент Z означает R4, при этом R4 означает алкильный остаток с циклическим заместителем, например, при необходимости с замещенным фенильным остатком или бициклическим остатком, как, например,
или 
Особо предпочтительными соединениями являются соединения, в которых R4 означает замещенный или незамещенный (C1-С3) алкиларильный остаток, например, бензиловый остаток, который может быть замещен при необходимости в позиции мета или пара галогеном или/и -NO2, причем галоген выбирается из F, Cl, Br и I, особо предпочтительными являются Cl и Br.
Наиболее предпочтительными соединениями являются:
N- -(2,4,6-триизопропилфенил-сульфонил)-3-гидроксиамидин-(L)-фенилаланин-4-этокси-карбонилпиперазид (WX-671);
N- -(2,4,6-триизопропил-фенилсульфонил)-3-гидроксиамидин-(D)-фенилаланин-4-этоксикарбонилпиперазид;
N- -(2,4,6-триизопропилфенилсульфонил)-3-гидроксиамидин-(D,L)-фенилаланин-4-этоксикарбонилпиперазид;
N- -(2,4,6-триизопропилфенилсульфонил)-3-гидроксигуанидин-(L)-фенилаланин-4-этоксикарбонилпиперазид (WX-683);
N- -(2,4,6-триизопропилфенилсульфонил)-3-гидроксигуанидин-(D)-фенилаланин-4-этоксикарбонилпиперазид;
N- -(2,4,б-триизопропилфенилсульфонил)-3-гидроксигуанидин-(D,L)-фенилаланин-4-этоксикарбонилпиперазид;
N- -(2,4,6-триизопропилфенилсульфонил)-3-гидроксигуанидин-(L)-фенилаланин-4-этиламинокарбонилпиперазид (WX-685);
N- -(2,4,6-триизопропилфенилсульфонил)-3-гидроксигуанидин-(D)-фенилаланин-4-этиламинокарбонилпиперазид;
N- -(2,4,6-триизопропилфенилсульфонил)-3-гидроксигуанидин-(D,L)-фенилаланин-4-этиламинокарбонилпиперазид;
Бензилсульфонил-(D)-Ser-Glu-(4-гидроксигуанидинбензил)амид (WX-678);
4-хлорбензилсульфонил-(S)-Ser-N-Ме-Ala-(4-гидроксигуанидинбензил)амид,
4-хлорбензилсульфонил-(S)-Ser-Glu-(4-гидроксигуанидинбензил)амид,
Бензилсульфонил-(D)-Ser-N-Ме-Glu-(4-гидроксигуанидинбензил)амид,
4-хлорбензилсульфонил-(D)-Ser-Ala-(4-гидроксигуанидинбензил)амид,
а также их соли, например водородсульфаты, такие как WX-671.HSO4.
Композиции согласно изобретению содержат в себе терапевтически эффективное количество активного вещества на основе производного фенилаланина, физиологически совместимое количество спирта и/или полиола, водную фазу с буферными компонентами, а также при необходимости средства для придания изотоничности и другие вспомогательные вещества, взятые в отдельности или в их смесях или комбинациях.
Композиции согласно изобретению содержат активное вещество в количестве 0,5-10 вес.%, предпочтительно 1-9 вес.%, особо предпочтительно 2-5 вес.%, от общего веса композиции.
Предпочтительно, чтобы активное вещество содержалось в концентрации до 100 мг/мл, предпочтительно до 80 мг/мл, предпочтительно до 60 мг/мл, предпочтительно до 50 мг/мл, более предпочтительно до 40 мг/мл, еще более предпочтительно до около 30 мг/мл, еще более предпочтительно до около 20 мг/мл, еще более предпочтительно до около 10 мг/мл, еще более предпочтительно до около 4 мг/мл, еще более предпочтительно до около 1 мг/мл, преимущественно до около 0,1 мг/мл. При необходимости композиция может дополнительно разбавляться перед применением.
Спирт или полиол в смысле настоящего изобретения включает в себя физиологически совместимые одно- или многоатомные спирты. Под полиолом в данном случае понимается многоатомный спирт. В частности им может служить двухатомный спирт (диол) или трехатомный спирт (триол) или даже многоатомный спирт.
В качестве одноатомного спирта предпочтительным является, например, этанол. Однако могут применяться и другие физиологически совместимые спирты.
В качестве полиолов могут применяться, в частности, физиологически совместимые диолы и триолы, предпочтительным является триол, например, глицерин. Согласно изобретению приемлемыми являются также гликоли. Примерами последних могут служить гликоль, пропиленгликоль, полиэителенгликоль.
Спирт и/или полиол содержится в фармацевтической композиции согласно изобретению в таком количестве, чтобы данный компонент составлял около 20-60%, предпочтительно 40-60%, более предпочтительно 45-55%, наиболее предпочтительно около 50% от всего объема композиции.
Особо предпочтительной является смесь из полиола и спирта. Соотношение между полиолом и спиртом здесь составляет предпочтительно 2:1-10:1, более предпочтительно 3:1-8:1, еще более предпочтительно 4:1-6:1 и наиболее предпочтительно 4:1.
Эта смесь представляет собой преимущественно смесь из гликоля и этанола. Особо предпочтительной является смесь из пропиленгликоля и этанола, а также из полиэтиленгликоля и этанола.
Водная фаза с содержанием буфера выбирается преимущественно из группы физиологически совместимых буферных растворов, в частности из ацетатного, цитратного, фосфатного и др. буферных растворов, предпочтительным компонентом буферного раствора является ацетат натрия. Однако могут применяться и другие ацетатные буферы, например буферы из ацетата калия или ацетата кальция. Средний специалист в состоянии выбрать необходимый буфер из физиологически совместимых буферов, в частности, ацетатных.
Предпочтительно, чтобы водная фаза присутствовала в количестве до 70% от общего объема композиции, предпочтительно до 60%, более предпочтительно до около 50%. Само собой разумеется, что при необходимости фармацевтическая композиция может быть разбавлена перед применением. Предпочтительно разбавлять композицию непосредственно перед применением преимущественно с помощью вещества для придания изотоничности или изотонической жидкости, в связи с чем предпочтительно приготовить соответствующий изотонический раствор для инфузии или инъекции.
Концентрация буферного раствора составляет преимущественно до 1000 мМ, предпочтительно до 500 мМ, более предпочтительно до 250 мМ, более предпочтительно до 200 мМ и еще более предпочтительно до около 100 мМ.
Дополнительно композиция согласно изобретению может содержать средство для придания изотоничности и/или другие вспомогательные вещества, которые специалисту известны.
Средством для придания изотоничности является преимущественно сахар или преимущественно средство, выбранное, например, из глюкозы, рибозы, сахарозы, сорбитола, маннитола, лактозы, декстрозы, трегалозы, глицерина и их смесей. Предпочтительно, чтобы средство для придания изотоничности присутствовало в виде раствора. Предпочтительно применять средство для придания изотоничности в виде приблизительно 1-10%-ного, предпочтительно 2-7%-ного, особо предпочтительно 5%-ного раствора. Особо предпочтительным является раствор глюкозы.
Кроме того, в композиции согласно изобретению могут содержаться вспомогательные вещества, которые специалист может легко определить.
Также предпочтительно, чтобы композиция согласно изобретению – по меньшей мере, ее водная фаза – имела показатель рН 3,5-9,0, предпочтительно 4-7, особо предпочтительно 4,5-5,5.
Композиция согласно изобретению может вводиться разными путями, например, в виде жидкой композиции – парентерально, в виде средства инфузии – внутримышечно, внутривенно, подкожно и пр.
Преимущественно композиция вводится внутривенно или внутримышечно. Необходимые для этого вспомогательные вещества специалист в этой области может легко определить.
При необходимости композиция согласно изобретению может применяться в сочетании с другими активными веществами, например, цитостатическими или цитотоксическими веществами, например, такими, как доксорубицин, цис-платина, 5-фтор-упацил или антитела и пептиды.
Композиция согласно изобретению может применяться для парентеральных целей, например, для внутривенной или внутримышечной инъекции или/и для вливания. Суточная доза составляет преимущественно 5-250 мг, особо предпочтительно 20-120 мг при подкожном или внутримышечном введении и 10-500 мг, особо предпочтительно 50-250 мг при внутривенном введении соответственно при среднем весе тела 70 кг. Введение проводится преимущественно от одного раза в сутки до одного раза в неделю.
Еще одним предметом изобретения является концентрат композиции согласно изобретению, причем активное вещество в концентрате составляет до 100 мг/мл, предпочтительно до 80 мг/мл, более предпочтительно до 50 мг/мл и еще более предпочтительно до около 40 мг/мл. Концентрация буфера составляет преимущественно до 1000 мМ, предпочтительно до 500 мМ, более предпочтительно до 250 мМ, еще более предпочтительно до около 100 мМ.
Особо предпочтительным является концентрат, в котором содержание активного вещества составляет 40 мг/мл при концентрации буферного раствора 100 мМ.
Концентраты и композиции согласно изобретению могут храниться без значительного снижения степени чистоты и содержания активного вещества длительное время, как правило, при температуре от двух до 8 градусов Цельсия (2-8°С), но также и при повышенной температуре, например при 40°С.
Соединения активных веществ предназначены для лечения болезней, связанных с патологической сверхэкспрессией uPA или/и рецептора активатора плазминогена урокиназы (uPAR). Так, например, они способны высокоэффективно задерживать рост или/и распространение злокачественных опухолей, а также метастазирование опухолей. При этом, в случае необходимости, ингибиторы uPA могут применяться вместе с другими противоопухолевыми средствами или другими способами лечения, например, с облучением или хирургическим вмешательством. Кроме того, ингибиторы оказываются эффективными и в отношении заболеваний, связанных с другими uPA или/и uPAR.
Эти соединения способны очень сильно задерживать рост или/и распространение злокачественных опухолей, например, распространение опухоли при раке поджелудочной железы, рост опухоли при раке молочной железы и метастазирование опухолей.
Кроме того, ингибиторы согласно изобретению являются эффективными при других заболеваниях, связанных с uPA, например, при лечении таких заболеваний, как артрит, воспаления, остеопороз, ретинопатии, например, возрастные дегенеративные изменения в области желтого пятна, для предупреждения образования пузырей при кожной болезни Pemphigus vulgaris.
Введение проводится преимущественно совместно, например, в виде предшествующего или/и последующего лечения, а также одновременно с лечением в связи с хирургическим вмешательством, лучевой или/и химической терапией.
Другим предметом изобретения является применение концентрата согласно изобретению для приготовления раствора активного вещества для инъекций или вливаний путем разбавления соответствующим средством для придания изотоничности, причем преимущественно применяется 5%-ный раствор глюкозы при концентрации активного вещества предпочтительно до 1 мг/мл.
Композиция согласно изобретению применяется при лечении обусловленных урокиназой заболеваний, в частности, при лечении опухолей, например, при лечении карциномы молочной железы и карциномы поджелудочной железы или/и при образовании метастаз.
Еще одним предметом изобретения является способ стабилизации фармацевтических композиций, содержащих соединение с группой амидина, гидроксиамидина, гуанидина и/или гидроксигуанидина, преимущественно производные амидина и/или гуанидин-фенилаланина или их гидроксисоединения, введением соответствующего количества полиола или спирта или их смеси и водной фазы с содержанием буферного раствора. Предпочтительно дополнительно вводить средство для придания изотоничности.
Спирт, полиол, буферный раствор и средство для придания изотоничности применяются, как они описаны выше.
В качестве активного вещества используется преимущественно производное амидино- и/или гуанидино-фенилаланина, являющееся эффективным ингибитором урокиназы, как описано выше.
Ниже изобретение поясняется подробнее с помощью примеров, не являющихся ограничительными.
Краткое описание чертежей и таблиц
В таблице 1 показана максимальная растворимость активного вещества WX-UK1 в разных растворителях и их смесях.
Фиг.1 – кривая степени чистоты активного вещества WX-UK1 и показателя рН при температуре 40°С в смеси из пропиленгликоля, этанола и воды (4/1/5);
фиг.2 – потенциальный механизм распада активного вещества WX-UK1 в водном растворе;
фиг.3 – зависимость распада активного вещества WX-UK1 от показателя рН при 60°С, наблюдавшаяся в течение 48 часов;
фиг.4 – стойкость отдельных композиций с содержанием активного вещества WX-UK1 при 60°С;
фиг.5 – стойкость композиций с содержанием активного вещества WX-UK1 с буфером по сравнению с раствором без буфера;
фиг.6 – степень чистоты и содержание активного вещества WX-UK1 в композициях при хранении в течение 5 месяцев при 40°С.
Примеры
Пример 1. Зависимость распада активного вещества от показателя рН
Для исследования зависимости распада активного вещества (WX-UK1) от трех разных показателей рН при температуре 60°С в 1 мл смеси этанол/вода (1:1 в объемном отношении) растворили 2,5 мг WX-UK1. Раствор распределили между тремя сосудами в аликвотных долях. Одну аликвотную долю довели до рН 2 добавкой 20 мкл соляной кислоты 1 N, вторую аликвотную долю довели до рН 11 добавкой 20 мкл едкого щелока 2 N и третью аликвотную долю сохранили при нейтральном рН. После инкубации в течение определенного времени (0, 5, 12, 48 часов) растворы проанализировали методом жидкостной хроматографии с высоким разрешением и индикацией стойкости. Было установлено, что в течение исследуемого промежутка времени WX-UK1 сохранялся стойким при кислом значении рН. Однако при нейтральном и основном значениях рН распад WX-UK1 происходил от умеренного до быстрого (фиг.3).
Пример 2. Стойкость активного вещества в композиции с содержанием полиола и этанола
К 40 мг активного вещества WX-UK1 последовательно добавили 0,4 мл пропиленгликоля (PG) и 0,1 мл этанола. В раствор влили 0,3 мл воды и размешивали до тех пор, пока активное вещество WX-UK1 не растворилось и раствор не приобрел слабую опалесценцию. После этого добавили остаточную воду (около 0,2 мл). Затем раствор хранили при 40°С и анализировали его на показатель рН и степень чистоты через 2, 4, 6, 8 и 12 недель. Для этого 250 мкл раствора с содержанием WX-UK1 перевели в мерную колбу объемом 100 мл и дополнили до отметки смесью вода/ацетонитрил (50:50 в объемном отношении) (концентрация: около 0,1 мг/мл WX-UK1). Затем методом жидкостной хроматографии с высоким разрешением и индикацией стойкости проанализировали 20 мкл этого раствора. Анализ на показатель рН раствора активного вещества WX-UK1 проводился потенциометрическим способом при 20-25°С. Было установлено, что активное вещество WX-UK1 распадается тем быстрее, чем выше значение рН раствора.
Пример 3. Альтернативные буферные композиции с содержанием WX-UK1
Были приготовлены растворы (а)-(е) по 5 мл каждый. Затем эти растворы выдержали при 60°С и анализировали показатель рН и степень чистоты растворов через 0, 12, 24, 48 часов. Для этого 250 мкл раствора с содержанием WX-UK1 перевели в мерную колбу объемом 100 мл и дополнили до отметки смесью вода/ацетонитрил (50:50 в объемном отношении) (концентрация: около 0,1 мг/мл WX-UK1). Затем 20 мкл этого раствора WX-UK1 анализировали методом жидкостной хроматографии с высоким разрешением и индикацией стойкости.
a) 1 мг/мл WX-UK1 в воде (измерение рН);
b) 40 мг/л WX-UK1 в смеси пропиленгликоль/этанол/вода, 4:1:5 (измерение рН);
c) 40 мг/мл WX-UK1 в безводной смеси 1,2-пропандиол/этанол;
d) 40 мг/мл WX-UK1 в смеси пропиленгликоль/этанол/ цитрат натрия 40 мМ, 4:1:5 (значение рН задали равным его значению в растворе (b));
e) 40 мг/мл WX-UK1 в смеси пропиленгликоль/этанол/ буфер из ацетат натрия 40 мМ, 4:1:5 (значение рН установили равным его значению в растворе (b)).
Для приготовления буфера из цитрата натрия 80 мМ (рН, как указано выше) 1,68 г моногидрата лимонной кислоты ввели в 8 мл гидроксида натрия IN и дополнили водой до 100 мл. Показатель рН задали гидроксидом натрия 80 мМ. Буфер 1 мМ приготовили разбавлением в пропорции 1/80 с последующим заданием рН.
Ацетат натрия и цитрат натрия были выбраны при рН 5 в качестве перентерально совместимой системы для придания буферности композиции с активным веществом WX-UK1, которую испытывали на химическую и физическую стойкость по сравнению с композицией без буфера и с безводной композицией. Фосфатная буферность во внимание принята не была, так как из предыдущих исследований было известно, что в растворах WX-UK1 при добавке фосфатного буфера образуется осадок. Исследование на стойкость проводилось при 60°С для достижения быстрого распада активного вещества WX-UK1. В растворе WX-UK1 с цитратным буфером очень быстро образовался осадок, помимо стойкости, раствор исследовали также и на чистоту активного вещества WX-UK1. Из-за недостаточной физической стойкости раствора с буфером из цитрата натрия, а также из-за недостаточной химической стойкости исследуемой композиции исследование на стойкость данных композиций прервали через четверо суток. Наибольшую физическую и химическую стойкость проявила композиция с активным веществом WX-UK1 и буфером из ацетата натрия. Были проанализированы активные вещества WX-UK1 с определением реакционной поверхности в процентах с помощью метода жидкостной хроматографии с высоким разрешением и индикацией стойкости (фиг.4).
Пример 4. Стойкость растворов с буфером из ацетата натрия
На основе полученных результатов выбрали ацетат натрия с разной молярностью и рН 5 в качестве парентерально совместимой системы для придания буферности композиции из WX-UK1, при этом дополнительно провели тест на химическую стойкость по сравнению с композицией без буфера. Исследование на стойкость проводилось при 60°С для обеспечения ускоренного распада WX-UK1 (фиг.5). Были проанализированы активные вещества WX-UK1 с определением реакционной поверхности в процентах с помощью метода жидкостной хроматографии с высоким разрешением и индикацией стойкости.
Результат: благодаря буферности композиции распад активного вещества WX-UK1 может быть существенно задержан.
Пример 5. Исследование стойкости композиции с буфером из ацетата натрия в течение нескольких месяцев
Приготовление буфера из ацетата натрия 200 мМ
821 мг ацетата натрия растворили в 50 мл воды, задали рН 5 добавкой концентрированной уксусной кислоты и профильтровали готовый буферный раствор через шприцевой микропорный фильтр Millex GV 0,22 мкм.
Приготовление композиции из WX-UK1 с буфером из ацетата натрия 100 мМ
960 мг WX-UK1 поместили в сосуд, добавили 9,6 мл пропиленгликоля и 2,4 мл этанола. Раствор дополнили добавкой 7 мл раствора ацетата натрия 200 мМ и размешивали до перехода активного вещества WX-UK1 в раствор и приобретения раствором слабой опалесценции. После этого добавили остаточное количество (5 мл) буфера их ацетата натрия. Растворы разделили на аликвотные части по 1 мл каждая и хранили при температуре 40°С. Анализ на чистоту и содержание WX-UK1 в растворе проводился соответственно через 2, 4, 6, 8 и 12 недель. Для этого 250 мкл раствора WX-UK1 перевели в мерную колбу емкостью 100 мл и дополнили до отметки смесью вода/ацетонитрил (50:50 в объемном отношении) (концентрация: около 0,1 мг/мл WX-UK1). 20 мкл разбавленного раствора WX-UK1 анализировали методом жидкостной хроматографии с высоким разрешением и индикацией стойкости.
Содержание активного вещества WX-UK1 определяли в сравнении с двумя стандартными растворами WX-UK1 по следующей формуле:
,
где AreaPL – поверхность испытательного раствора (WX-UK1 Peak) [mAU*s]
AreaSt1 – поверхность стандартного раствора I (WX-UK1 Peak) [mAU*s]
AreaSt2 – поверхность стандартного раствора II (WX-UK1 Peak) [mAU*s]
WSt1 – навеска стандартного раствора I [мг]
WSt2 – навеска стандартного раствора II [мг]
СSt – содержание в стандартном растворе [%]
VPL – объем раствора для инъекции [мл].
На фиг.6 показаны во времени степень чистоты композиций и содержание в них активного вещества WX-UK1. На ней можно видеть, что чистота и содержание WX-UK1 в композиции с буфером сохраняются очень стойкими в противоположность композиции без буфера (фиг.6).
Пример 6. Приготовление композиции с содержанием WX-UK1 (40 мг/мл) по следующей схеме:
| WX-UK1 |
40 мг |
| Пропиленгликоль |
0,4 мл |
| Этанол абсолютный |
0,1 мл |
| Вода |
до 1 мл. |
Навеску активного вещества WX-UK1 поместили в сосуд и добавили пропиленгликоль и затем этанол. В полученный раствор влили 0,3 мл воды и размешивали до перехода WX-UK1 в раствор и приобретения им слабой опалесценции. После этого добавили остаточное количество воды.
Пример 7. Приготовления композиции из WX-UK1 (40 мг/мл) с буфером из ацетата натрия по следующей схеме:
| WX-UK1 |
40 мг |
| Пропиленгликоль |
0,4 мл |
| Этанол, абсолютный |
0,1 мл |
| Буфер из ацетата |
 |
| натрия (200 мМ) |
до 1 мл. |
Навеску активного вещества WX-UK1 поместили в сосуд и добавили пропиленгликоль и затем этанол. В полученный раствор ввели 0,3 мл ацетата натрия 200 мМ и перемешивали до полного перехода WX-UK1 в раствор и приобретения им слабой опалесценции. После этого добавили остаточное количество ацетатного буфера.
Пример 8. Метод жидкостной хроматографии с высоким разрешением и индикацией стойкости для проверки стойкости композиций с содержанием WX-UK1
| Аппаратура и условия |
Установка для жидкостной хроматографии с высоким разрешением |
Agilent 1100 LUNA C8(2), 5 мкм, 250 мм, 4,6 мм ID или |
 |
Тип колонки: |
Kromasil 100 С18,5 мкм, 250 мм, 4 мм ID |
 |
Длина волны обнаружения: |
ультрафиолетовый свет 205 нм |
 |
Температура дозатора: |
4°С |
 |
Температура колонки: |
40°С |
 |
Объем впрыска: |
20 мкл |
 |
Тип системы: |
градиентная |
 |
Скорость истечения: |
1 мл/мин |
 |
Время действия: |
44 мин |
 |
Растворитель: |
Буфер, рН=5,00±0,05 |
 |
 |
А: (фосфат натрия 25 мМ) |
 |
 |
В: ацетонитрил |
 |
Градиент: |
 |
Время, мин |
А, % |
В, % |
| 0 |
75 |
25 |
| 30 |
28 |
72 |
| 31 |
10 |
90 |
| 36 |
10 |
90 |
| 37 |
75 |
25 |
| 44 |
75 |
25 |
| Окончание |
| Применяемые материалы: |
Вода для хроматографии; градиент в градусах; |
 |
ацетонитрил для хроматографии; ортофосфорная кислота с содержанием 85% сверхчистого ди-водородфосфата натрия для анализа (>99,99%). |
 |
Буфер из фосфата натрия 25 мМ, рН=5,00±0,05 (в 3,55 г Na2HPO4 добавили воду до 1000 мл. Показатель рН 5,00±0,05 задали с помощью Н3PO4). |
Подготовка проб: Испытатель ный раствор WX-UK1: |
25 мкл (40 мг/мл) концентрата WX-UK1 разбавили 975 мкл смеси вода/ацетонитрил (50:50 в объемном отношении), 100 мкл разбавленного раствора разбавили 900 мкл смеси вода/ацетонитрил (50:50 в объемном отношении) (конечная концентрация составляет около 0,1 мг/мл WX-UK1). |
Пример 9. Метод жидкостной хроматографии высокого разрешения и масс-спектрометрии для определения продуктов распада композиций с содержанием WX-UK1
| Аппаратура и условия: |
Установка для жидкостной хроматографии высокого разрешения. |
Waters Alliance: 2695 Separation Module; 2487 UV-VIS Detektor Micromass ZQ: Single Quadrupol MS-Detektor |
 |
Детектор для масс-спектроскопии |
 |
 |
Тип колонки: |
Symmetry С 18 3,5 мкм 2,1×100 мм |
 |
Длина волны обнаружения: |
Ультрафиолетовый свет 215 нм |
 |
Температура дозатора: |
4°С |
 |
Температура колонки: |
35°С |
 |
Объем впрыска: |
20 мкл |
 |
Тип системы: |
градиентная |
 |
Скорость истечения: |
0,5 мл/мин |
 |
Время действия: |
16 мин |
 |
 |
NH4Ac-буфер/CAN 72/25 |
 |
Растворитель: |
А: |
 |
 |
(в объемном отношении) NH4Ac-буфер/CAN 30/70 |
 |
 |
В: (в объемном отношении) С: метанол |
 |
Градиент: |
 |
Время, мин |
А,% |
В,% |
С, % |
 |
| 0 |
100 |
0 |
0 |
 |
| 10 |
0 |
100 |
0 |
 |
| 11 |
0 |
20 |
80 |
 |
| 12 |
0 |
20 |
20 |
 |
| 13 |
100 |
0 |
0 |
 |
| 16 |
100 |
0 |
0 |
 |
| Окончание |
 |
 |
Применяемые материалы: |
Вода для хроматографии; (градиент в градусах); |
 |
 |
ацетонитрил для хроматографии; (градиент в градусах); |
 |
 |
метанол (ЖХВР, градиент в градусах); |
 |
 |
ледяной уксус (сверхчистый); |
 |
 |
ацетат аммония (ЖХВР, градиент в градусах); |
 |
 |
NH4Ac 50 мМ: 3,85 г NH4Ac довели до 1000 мл добавкой воды. Показатель рН установили равным 5 ледяным уксусом. |
| Таблица 1 |
| Растворители |
Растворимость WX-UK1, мг/мл |
| Вода |
5,2 |
| 5%-ная глюкоза D |
6,6 |
| 0,9%-ный раствор NaCl |
1,3 |
| Пропиленгликоль |
>100 |
| Полиэтиленгликоль 400 |
>100 |
| 10%-ный раствор пропиленгликоля в воде |
16 |
| 40%-ный раствор полиэтиленгликоля в воде |
78 |
| 10%-ный раствор этанола в воде |
22 |
| Пропиленгликоль/этанол/вода, 60/15/25 |
>108 |
| Пропиленгликоль/этанол/вода, 40/10/50, |
>100 |
| Пропиленгликоль/этанол/вода, 20/5/75 |
47 |
| Пропиленгликоль/этанол/вода, 10/10/80 |
38 |
Формула изобретения
1. Фармацевтическая композиция для лечения заболеваний, связанных с урокиназным активатором плазминогена (u-РА) и/или с рецептором активатора плазминогена урокиназного типа (u-PAR), содержащая: (i) производное амидино-, гидроксиамидино-, гуанидино- и/или гидроксигуанидинофенилаланина в качестве активного вещества, (ii) смесь спирта и полиола и (iii) водную фазу, содержащую буферный раствор.
2. Фармацевтическая композиция по п.1, где заболевание, связанное с урокиназным активатором плазминогена (u-РА) и/или с рецептором активатора плазминогена урокиназного типа (u-PAR) связано с патологической сверхэкспрессией урокиназного активатора плазминогена (u-РА) и/или рецептора активатора плазминогена урокиназного типа (u-PAR).
3. Фармацевтическая композиция по п.1, в которой буферный раствор является ацетатным.
4. Фармацевтическая композиция по п.3, в которой буферным раствором является раствор ацетата натрия.
5. Фармацевтическая композиция по любому из предыдущих пунктов, в которой концентрация буферного раствора составляет до 1000 мМ.
6. Фармацевтическая композиция по любому из пп.1-4, в которой в качестве спирта применяется этанол.
7. Фармацевтическая композиция по любому из пп.1-4, в которой полиол выбирается из глицерина, пропиленгликоля и полиэтиленгликоля.
8. Фармацевтическая композиция по любому из пп.1-4, в которой спирт и/или полиол содержится в количестве до около 20-60% от всего количества композиции.
9. Фармацевтическая композиция по любому из пп.1-4, в которой компонент (ii) представляет собой смесь из полиола и спирта в соотношении 2:1-10:1.
10. Фармацевтическая композиция по любому из пп.1-4, в которой дополнительно содержится средство для придания изотоничности и/или другие вспомогательные вещества или их комбинации.
11. Фармацевтическая композиция по любому из пп.1-4, в которой средство для придания изотоничности выбрано из группы, состоящей из глюкозы, рибозы, сахарозы, сорбита, лактозы, декстрозы, трегалозы, глицерина, маннита и их смесей.
12. Фармацевтическая композиция по п.11, в которой средство для придания изотоничности представляет собой 1-10%-й, в частности, 5%-й раствор.
13. Фармацевтическая композиция по любому из пп.1-4, в которой показатель рН при комнатной температуре составляет от около 4,0 до около 7,0, предпочтительно от около 4,5 до около 5,5.
14. Фармацевтическая композиция по любому из пп.1-4, в которой активное вещество выбрано из N -(2,4,6-триизопропилфенилсульфонил)-3-амидино-(D,L)-фенилаланин-4-этоксикарбонилпиперазида, N -(2,4,6-триизопропилфенилсульфонил)-3-гуанидино-(D,L)-фенилаланин-4-этоксикарбонилпиперазида или их L-энтантиомеров и фармацевтически совместимых солей этих соединений, в частности, активное вещество выбрано из N -(2,4,6-триизопропилфенилсульфонил)-3-амидино-(L)-фенилаланин-4-этоксикарбонилпиперазида, хлорида, водородсульфата или/и его сульфатной соли.
15. Фармацевтическая композиция по любому из пп.1-4, в которой концентрация активного вещества составляет до 100 мг/мл и концентрация буферного раствора – до 1000 мМ.
16. Фармацевтическая композиция по п.17, в которой концентрация активного вещества составляет до 40 мг/мл и концентрация буферного раствора – до 100 мМ.
17. Фармацевтическая композиция по любому из предшествующих пунктов для лечения заболеваний, связанных с урокиназой.
18. Фармацевтическая композиция из пп.1-17 для лечения опухолей, профилактики опухолей, лечения или/и профилактики образования метастаз.
19. Фармацевтическая композиция по любому из пп.1-17 для лечения и/или профилактики рака молочной железы, поджелудочной железы или/и образования метастаз.
20. Фармацевтическая композиция по любому из пп.1-17 для лечения и/или профилактики артрита, воспалений, остеопороза, ретинопатий, например, возрастных дегенеративных изменений в области желтого пятна, для предупреждения образования пузырей при кожной болезни Pemphigus vulgaris.
21. Фармацевтическая композиция по любому из предшествующих пунктов для приготовления раствора для введения в виде инъекции или вливания путем ее разбавления соответствующим изотоническим агентом для придания изотоничности, при этом максимальная концентрация активного вещества составляет до 1 мг/мл.
22. Фармацевтическая композиция по п.21, в которой указанный изотонический агент представляет собой 1-10%-ный раствор глюкозы, в частности, 5%-ный раствор глюкозы.
23. Фармацевтическая композиция по любому из пп.1-17 в сочетании с цитостатическими или/и цитотоксическими средствами.
24. Способ стабилизации фармацевтической композиции, охарактеризованной в пп.1-23, включающий добавление к активному ингредиенту, представляющему собой производное амидино-, гидроксиамидино-, гуанидино-, и/или гидроксигуанидинофенилаланина, полиола, спирта или их смеси и водной фазы, содержащей буферное вещество.
25. Способ по 24, в котором смесь полиола и спирта присутствует в количестве приблизительно 20-60% относительно веса всей композиции и в котором водная фаза присутствует в количестве до 70% относительно общего объема композиции и в котором буфер имеет концентрацию до 1000 мМ.
РИСУНКИ
|
|