|
|
(21), (22) Заявка: 2004120538/15, 06.12.2002
(24) Дата начала отсчета срока действия патента:
06.12.2002
(30) Конвенционный приоритет:
06.12.2001 GB 0129260.6
(43) Дата публикации заявки: 20.04.2005
(46) Опубликовано: 20.06.2009
(56) Список документов, цитированных в отчете о поиске:
WO 00/01376 А, 13.01.2000. RU 2166959 С2, 20.05.2001. US 6133255 А, 17.10.2000.
(85) Дата перевода заявки PCT на национальную фазу:
06.07.2004
(86) Заявка PCT:
GB 02/05542 20021206
(87) Публикация PCT:
WO 03/047577 20030612
Адрес для переписки:
129010, Москва, ул. Б.Спасская, 25, стр.3, ООО “Юридическая фирма Городисский и Партнеры”, пат.пов. Е.Е.Назиной, рег. 517
|
(72) Автор(ы):
СМИТ Теренс (GB)
(73) Патентообладатель(и):
ЭЙСАЙ АР ЭНД ДИ МЕНЕДЖМЕНТ КО.,ЛТД. (JP)
|
(54) ФАРМАЦЕВТИЧЕСКИЕ КОМПОЗИЦИИ И ИХ ПРИМЕНЕНИЯ
(57) Реферат:
Настоящее изобретение относится к области медицины и фармацевтики и касается фармацевтической композиции для профилактики и лечения нейродегенеративных болезней, содержащей 3-(2-цианофенил)-1-фенил-5-(2-пиридил)-1,2-дигидропиридин-2-он, его соль или гидрат и интерферон-бета, комбинации, содержащей 3-(2-цианофенил)-1-фенил-5-(2-пиридил)-1,2-дигидропиридин-2-он, его соль или гидрат и интерферон-бета, и способам лечения нейродегенеративных болезней с их помощью. Изобретение обеспечивает высокую эффективность лечения. 5 н. и 18 з.п. ф-лы, 2 ил., 4 табл.
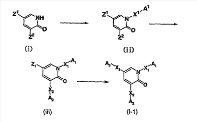
Настоящее изобретение относится к лечению демиелинизирующих расстройств (разрушение миелинового слоя нервных волокон) и нейродегенеративных болезней и к композициям для вышеупомянутого использования.
Большая часть возбуждающих синаптических ответов в ЦНС млекопитающих выявляется аминокислотами, такими как L-глутамат или L-аспартат, которые принимают участие в деятельности нервов, включая узнавание (распознавание), память, движение, дыхание, сердечно-сосудистую коррекцию и ощущение. Для выражения их физиологической активности взаимодействие с конкретным (специфическим) рецептором является важным. Эти рецепторы могут быть подразделены на четыре различных подтипа рецепторов. Три из этих рецепторов связаны с ионофорами и известны как рецепторы N-метил-D-аспартата (NMDA), AMPA ( -амино-3-гидрокси-5-метил-4-изоксазолпропионата) и каинатные рецепторы. Четвертый подтип рецептора связан с фосфоинозитольным метаболизмом и известен как метаботропный глутаматный рецептор.
Рецептор NMDA связан с каналами высокой проводимости, проницаемыми для Na+, K+ и Ca2+. Он модулируется глицином (коагонист) и полиаминами (позитивный модулятор) и блокируется Mg2+ в ответ на изменение мембранного потенциала, за генерацию и распространение которого вдоль мембран нервных клеток ответственны ионные каналы. Полагают, что функциональный рецептор NMDA образован как пентамерная конструкция из субъединиц, состоящая из выборки субъединиц из семейств NR1 (восемь изоформ) и NR2 (четыре изоформы). Тип субъединиц, образующих канал NMDA, определяет его биофизические свойства и физиологическую функцию. AMPA- и каинатный рецепторы являются проницаемыми для Na+ и K+. AMPA рецептор-зависимый ионный канал образован из четырех различных субъединиц, обозначенных как GluR1-GluR4 (в двух альтернативных вариантах сплайсинга – flip и flop) в тетрамерной конструкции субъединиц. Фармакологические свойства AMPA рецептор-зависимых ионных каналов определяются выбором субъединиц. Конструкции каналов, испытывающие недостаток в субъединицах GluR2, помимо проницаемости в отношении Na+ и K+, являются проницаемыми для Ca2+. Гибридизация in situ обнаружила различную экспрессию субъединиц глутаматного рецептора по всему головному мозгу и во время развития.
Известно, что аминокислота как возбуждающий нейротрансмиттер индуцирует нейротоксичность, например, посредством аномального возбуждения центральных нервов. Было отмечено, что указанная токсичность является настолько серьезной, насколько она сопровождается гибелью нервных клеток, вызывая при этом различные нервные заболевания. Основными нервными болезнями, которые широко известны, являются церебральная ишемия, травма головы, спинномозговая травма, болезнь Альцгеймера, болезнь Паркинсона, боковой амиотрофический склероз (ALS), хорея Гентингтона, нервное расстройство, обусловленное СПИД; эпилепсия, нейродегенерация, наблюдаемая после состояния гипоксии; психическое расстройство, нарушение подвижности, боль, мышечные спазмы, нервное расстройство, вызванное пищевым отравлением; различные нейродегенеративные болезни, различные болезни, связанные с нарушением умственного развития, хроническая боль, мигрень, карциноматозная боль и боль, вызванная диабетическим нервным расстройством. Все перечисленные выше заболевания являются серьезными болезнями, многие механизмы возникновения и т.д. которых еще не выяснены и эффективные терапевтические фармацевтические средства для которых еще не обнаружены, однако полагают, что вышеупомянутые механизмы тесно связаны с чрезмерным высвобождением/аккумуляцией возбуждающих нейромедиаторов, изменениями в картине экспрессии рецепторов и т.д. Например, сообщалось, что концентрация глутамата в цереброспинальной жидкости увеличивается при ударе, церебральной ишемии, травме головы и спинномозговом повреждении. Имеется сообщение о том, что нейропатия происходит, когда глутамат, NMDA, AMPA, каинат и т.д. чрезмерно атакуют нервные клетки. Имеются сообщения, что при болезни Альцгеймера -амилоидный белок усиливает нейротоксичность глутамата и что он промотирует высвобождение глутамата. В случае болезни Паркинсона имеются сообщения, что гидроксид L-дофы активирует рецептор AMPA и усиливает нейротоксичность. Имеется и другое сообщение, что L-дофа промотирует генерацию свободных радикалов, что приводит к повышению окислительного стресса. В случае хореи Гентингтона имеются данные, что вещество, которое ингибирует высвобождение глутамата, оказывается эффективным для улучшения симптомов (положительной динамики заболевания). В случае ALS (боковой амиотрифический склероз) имеется ряд сообщений, свидетельствующих об участии глутамата в патогенезе заболевания. Имеется несколько случаев, когда пациенты, страдающие СПИД, испытывают нарушение функции нерва, ответственного за узнавание, и даже в такой болезни нерва подтверждается участие глутамата. Например, сообщается, что gp 120, который представляет собой гликопротеин, присутствующий в оболочке вируса ВИЧ (HIV), подавляет включение глутамата астроцитами, в то время как вещество, которое ингибирует высвобождение глутамата, подавляет нейродегенерацию, вызываемую gp 120. В отношении аллергического энцефаломиелита имеется сообщение, что у мышей, у которых имеет место вышеуказанное воспаление, обнаружен недостаток в ферменте, который разрушает глутамат, экспонированный с наружной стороны клеток. Оливопонтоцеребеллярная атрофия представляет собой болезнь, которую иногда объединяют с болезнью Паркинсона, и было обнаружено антитело против GluR2, одной из субъединиц, составляющих рецептор AMPA, и высказано предположение о наличии связи между оливопонтоцеребеллярной атрофией и рецептором AMPA. Относительно эпилепсии имеется сообщение, что у мышей, которые не способны создать GluR2-субъединицу в рецепторе AMPA, проницаемость Ca2+ через рецептор AMPA возрастает, в результате чего возрастает вероятность наступления внезапного приступа, приводящего к смерти. Кроме вышесказанного, сообщается, что NBQX (2,3-дигидрокси-6-нитро-7-сульфамоилбенз[f]хиноксалин) и другие соединения, являющиеся ингибиторами по отношению к рецепторам AMPA, имеют транквилизирующее и противосудорожное действие, и, кроме того, имеются данные относительно связи рецептора AMPA/каинатного рецептора с расстройством мочеиспускания, лекарственным злоупотреблением (токсикоманией), болью и т.д.
Терапевтические подходы к нейродегенеративным болезням и демиелинизирующим расстройствам в значительной степени оказались неудовлетворяющими, несмотря на то, что в случае последнего (демиелинизирующего расстройства) использование иммунодепрессантов, таких как кортикостероиды и циклофосфамид, которые хотя и позволяют получить пациентам ограниченную пользу, может быть ассоциировано с потенциально возможными серьезными побочными действиями. Введение препаратов интерферона обеспечивало эффективность в лечении некоторых демиелинизирующих расстройств (например, рассеянного склероза). Благоприятные воздействия, отмеченные в этом случае, связывают с иммуномодуляторными действиями интерферонов. Однако, поскольку благоприятное воздействие оказывается реализованным только для части подгруппы пациентов, специально отобранных для лечения, проблема, связанная с недостаточным контролем за болезнью с помощью вышеуказанных препаратов, остается нерешенной. Ограниченная эффективность современной терапии с использованием иммуномодуляторов для демиелинизирующих расстройств (например, рассеянный склероз) может быть связана с неспособностью указанных средств противодействовать дегенерации олигодендроглиальных клеток, нейронов и аксонов, ассоциируемой с этой болезнью.
Можно ожидать, что вещества, проявляющие антагонистическое действие в отношении стимулирующих нейротрансмиттеров, могут быть полезными для лечения вышеупомянутых болезней. В настоящее время полагают, что вещества, имеющие антагонистическое действие в отношении не-NMDA рецепторов, таких как рецептор AMPA и каинатный рецептор, будут особенно полезными. Например, сообщается, что ингибиторы взаимодействия глутамата с комплексом AMPA и/или каинатным рецепторов являются полезными для лечения демиелинизирующих рассстройств (WO 00/01376). Кроме того, сообщается, что антагонисты AMPA и/или каинатного рецепторов оказались эффективными в уменьшении интенсивности симптомов экспериментального аутоиммунного энцефаломиелита (EAE), животной модели, которая репродуцирует многие из патологических и клинических признаков рассеянного склероза. Хотя нейрозащитный потенциал антагонистов AMPA и/или каинатного рецепторов признан в нейронной/аксонной дегенерации, являющейся следствием гипоксии/ишемии, гипогликемии, конвульсий и травмы головы или спинного мозга, эти данные [WO 00/01376] были первыми, которые обеспечили доказательство в поддержку участия (вовлечения) глутамата в патогенез демиелинизирующих расстройств. Кроме того, улучшенный клинический результат для EAE, полученный при лечении с использованием агонистов AMPA и/или каинатного рецепторов, оказался независимым от противовоспалительных или иммуномодуляторных воздействий, что свидетельствует о наличии альтернативного механизма действия, в основе которого лежит защита олигодендроглиальных клеток и аксонов.
Решение проблемы недостатка клинической эффективности современных терапий демиелинизирующих расстройств заключается в использовании комбинации иммунорегуляторного или противовоспалительного средства и средства, защищающего нейроны, аксоны и/или олигодендроглиальные клетки. В соответствии с этим задачей настоящего изобретения является исследование и обнаружение соединений, которые ингибируют рецептор(ы) AMPA и/или каинатный рецептор(ы) и которые при объединении с иммуномодуляторным или противовоспалительным средством подавляют токсичность возбуждающих нейромедиаторов в отношении нейронов, аксонов и олигодендроглиальных клеток и обеспечивают их защиту как фармацевтические средства, которые можно использовать в качестве терапевтических, профилактических или улучшающих симптомы заболевания (положительная динамика заболевания) средств для различных нейродегенеративных и демиелинизирующих болезней.
В данном случае показано, что (благодаря достигнутому реверсированию паралича на in vivo модели демиелинизирующего и нейродегенеративного расстройства) имеются клинические преимущества в лечении нейродегенеративных и демиелинизирующих расстройств с использованием комбинации антагониста AMPA и/или каинатного рецепторов с иммунорегуляторным средством, при этом эффективность предлагаемой терапии оказывается выше, чем ожидаемое аддитивное действие любого одного средства из двух.
Таким образом, в одном аспекте изобретение относится к композиции, содержащей:
I) соединение, описанное в настоящем описании, и
II) иммунорегуляторное или противовоспалительное средство.
Соединения настоящего изобретения включают соединения 1,2-дигидропиридин-2-она, такие как, например, 3-(2-цианофенил)-1-фенил-5-(2-пиридил)-1,2-дигидропиридин-2-он, 3-(2-цианофенил)-5-(2-пиридил)-1-(3-пиридил)-1,2-дигидропиридин-2-он, 3-(2-фтор-3-пиридил)-5-(2-пиридил)-1-фенил-1, 2-дигидропиридин-2-он, 3-(2-фтор-3-пиридил)-5-(2-пиридил)-1-(3-пиридил)-1,2-дигидропиридин-2-он, 3-(2-цианофенил)-1-фенил-5-(2-пиримидинил)-1,2-дигидропиридин-2-он, 3-(2-цианофенил)-1-(3-пиридил)-5-(2-пиримидинил)-1,2-дигидропиридин-2-он, 3-(2-фторпиридин-3-ил)-1-фенил-5-(2-пиримидинил)-1,2-дигидропиридин-2-он,
3-(2-цианопиридин-3-ил)-1-фенил-5-(2-пиримидинил)-1,2-дигидропиридин-2-он.
Дополнительные соединения настоящего изобретения и их синтез описаны в представленных ниже примерах.
Композиция, определенная здесь, может дополнительно включать фармацевтически приемлемый носитель или наполнитель.
Согласно настоящему изобретению, иммунорегуляция может быть определена как контроль специфических иммунных ответов и взаимодействий между клетками лимфоидной и миеловидной линии дифференцировки; кроме того, иммунорегуляция может включать иммуносупрессию и иммуномодуляцию, где иммуносупрессия может быть определена как предупреждение или препятствие развитию иммунологического ответа и может включать миелосупрессию, и где иммуномодуляция может быть определена как корректирование иммунного ответа до желаемого уровня. Согласно настоящему изобретению, термин противовоспалительный может быть определен как уменьшение воспаления.
Иммунорегуляторные или противовоспалительные средства согласно изобретению могут представлять, например, интерферон (IFN; IFN-бета-1a, например Ребиф и Авонекс; IFN-бета-1b, например Бетасерон и Бетаферон; IFN-альфа-2а, например Альфаферон; IFN-альфа-2b, например Вираферон), кортикотропин (например, Актар; Кортрозин), синтетический стероид (например, дексаметазон, например Декадрон; преднизолон, например Дельтакортеф; метилпреднизолон, например А-метапред, Солу-Медреол), химиотерапевтическое средство (например, митозантрон, например Новантрон; циклофосфамид, например цитоксан, неосар; паклитаксел, например Таксол; метотрексат, например флоекс), азотиоприн (например, имуран), циклоспорин (например, Сандиммун, Неорал), пеницилламин (например, депен), ингибитор фосфодиэстеразы (например, циломиласт, рофлумиласт), антитело или вакцина против поверхностной молекулы лейкоцитов, эндотелиальных или глиальных клеток (например, интегрин) или адгезирующая молекула (например, антегрин (натализумаб)); рецептор или ко-стимулятор Т-клетки, синтетический полипептид (например, глатирамер ацетат, сополимер-1, Copaxone; лиганд измененного пептида), толерантность-индуцирующее средство (например, в основном состоящий из миелина белок), ингибитор металлопротеиназы тканевого матрикса (ММР) (например, основанные на гидроксамовой кислоте ингибиторы ММР), антагонист ингибитора или рецептора цитокина или хемокина (например, ингибитор фактора некроза опухолей (TNF), например Талидомид; гибридный белок TNF-рецептора и иммуноглобулина, нестероидное противовоспалительное средство (например, ингибитор фосфолипазы, циклооксигеназы (например, салициловая кислота, ацетаминифен, индометацин (например, Индоцин), сульдинак (например, Клинорил), феманаты (например, Понстел, Толектин, Торадол, Волтарин), производные арилпропионовой кислоты (например, Ибупрофен, Напроксен), рофекоксиб (например, Целебрекс)) или липоксигеназа (например, Зилеутон; антагонист рецептора лейкотриена (например, Зафирлукаст, Мотелукаст), простагландин, фактор активации тромбоцитов (PAF) или тромбоксан (например, Сератродаст); антигистамин).
Таким образом, в другом аспекте изобретение относится к композиции, определенной здесь, пригодной для профилактики или лечения нейродегенеративной болезни. Все ссылки на нейродегенеративную болезнь могут быть отнесены к ее острому или хроническому течению. Композиции настоящего изобретения могут быть использованы для лечения человека и в ветеринарии. Лечение может носить профилактический или терапевтический характер. Соответственно композиции настоящего изобретения являются полезными для лечения, профилактики и улучшения (состояния) различных нервных болезней и являются полезными, например, в качестве терапевтических и профилактических средств для острых нейродегенеративных болезней (инсульт острой стадии, травма головы, спинномозговая травма (как, например, повреждение спинного мозга), нейропатия, вызванная гипоксией или гипогликемией), хронические нейродегенеративные болезни (такие как болезнь Альцгеймера, болезнь Паркинсона, хорея Гентингтона, боковой амиотрофический склероз и дегенерация нервных волокон, относящихся к спинному мозгу и мозжечку), эпилепсия, печеночная энцефалопатия, периферическая нейропатия, синдром Паркинсона, спастический паралич, боль, невралгия, шизофрения, тревога, злоупотребление (любыми) лекарственными средствами, тошнота, рвота, расстройство мочеиспускания, зрительное расстройство (нарушение зрения) вследствие глакомы; слуховое расстройство (нарушение слуха), обусловленное антибиотиками; пищевое отравление, инфекционный энцефаломиелит (такой как цереброспинальный менингит (например, ВИЧ-индуцированный цереброспинальный менингит), церебрососудистая деменция, деменция или нервные симптомы, обусловленные менингитом.
В данном тексте нейродегенеративная болезнь может представлять демиелинизирующее расстройство. Используемый здесь термин демиелинизирующее расстройство включает любое расстройство, которое приводит к снижению уровня миелинизации (образование миелинового слоя), например энцефалит, острый рассеянный энцефаломиелит, острая демиелинизирующая полинейропатия (синдром Гийена-Барре), хроническая воспалительная демиелинизирующая полинейропатия, рассеянный склероз, болезнь Маркиафавы-Биньями), миелинолиз центрального пути варолиева моста мозга, синдром Девика, болезнь Бало, ВИЧ-миелопатия; индуцированная вирусом человеческого Т-клеточного лейкоза (HTLV) миелопатия; прогрессирующая многоочаговая лейкоэнцефалопатия, или вторичное демиелинизирующее расстройство, т.е. где потеря миелина происходит, как следствие вторичного патологического процесса. Примерами вторичных демиелинизирующих болезней являются красная волчанка с поражением ЦНС, нодозный (узелковый) полиартериит, синдром Шегрена, саркоидная гранулема или изолированный церебральный васкулит.
Фактически нейродегенерация, основной коррелят перманентного клинического бессилия при рассеянном склерозе, возникает резко во время активной демиелинизации и может привести к более чем 75% потере аксонов в хронической фазе болезни. Аналогично, дегенерация нейронов и аксонов также является патологическим компонентом острой и хронической моделей EAE.
Соединение настоящего изобретения и иммунорегуляторное или противовоспалительное средство могут быть использованы раздельно, одновременно или последовательно для лечения нейродегенеративной болезни, например демиелинизирующего расстройства. Сочетание вышеуказанных активных компонентов может обеспечить синергически (действующую) эффективную комбинацию.
На протяжении всего этого описания профилактика и/или лечение любой болезни или расстройства означает любой результат, который облегчает любое нарушение или любое медиальное расстройство, до некоторой степени, и включает профилактику и/или лечение как таковые. Кроме того, термин ‘лечение’ означает любое уменьшение интенсивности симптомов заболевания, расстройства, синдрома, состояния, боли, симптома или комбинации двух или большего числа из вышеперечисленного.
Поэтому изобретение, кроме того, обеспечивает применение описанного здесь соединения и иммунорегуляторного или противовоспалительного средства для получения лекарственного препарата для профилактики или лечения нейродегенеративной болезни. Нейродегенеративная болезнь может представлять демиелинизирующее расстройство. При таком использовании соединение, раскрытое здесь, и иммунорегуляторное или противовоспалительное средство могут вводиться раздельно, одновременно или последовательно.
Кроме того, настоящее изобретение относится к способу профилактики или лечения нейродегенеративной болезни, и этот способ включает введение пациенту определенной здесь композиции. Пациент особо нуждается в введении такой композиции. Способы настоящего изобретения могут осуществляться для профилактики или лечения, например, демиелинизирующего расстройства. В таких способах иммунорегуляторное или противовоспалительное средство может вводиться раздельно, одновременно или последовательно.
Композиции настоящего изобретения вводят, или используют, или получают для использования в количестве, достаточном для профилактики и/или лечения симптомов состояния, болезни или расстройства. Для всех аспектов изобретения, в частности медицинских аспектов, применение композиции предусматривает наличие определенной схемы приема лекарственного средства, которая, обычно, в конечном счете, определяется штатным врачом больницы с учетом таких факторов, как тип соединения, подлежащий использованию, тип животного, возраст, масса тела, тяжесть симптомов, способ введения, побочные реакции и/или другие противопоказания. Конкретные диапазоны доз могут быть установлены посредством клинических испытаний по определенной программе, предусматривающей полный контроль за развитием болезни и восстановлением состояния пациента. Такие испытания могут использовать схему построения эксперимента с возрастающей дозой, используя низкий процент от максимальных предельно допустимых доз для животных в качестве исходной дозы для человека.
Физиологически приемлемые соединения в композициях настоящего изобретения могут вводиться на протяжении длительного периода времени в случае непрерывной терапии, например недели или более, месяца или более, года или более, или неограниченного времени.
Следующий аспект изобретения относится к набору, включающему первый контейнер, содержащий определенное в настоящем описании соединение, и второй контейнер, содержащий иммунорегуляторное или противовоспалительное средство, необязательно, с инструкциями по использованию, и этот набор может дополнительно включать приемлемый носитель или наполнитель (комбинированный с соединением в первом контейнере и/или средством во втором контейнере или отдельный носитель для каждого контейнера).
Соединения настоящего изобретения могут быть представлены нижеследующей формулой, его солью или его гидратами.

В формуле Q означает NH, O или S; и R1, R2, R3, R4 и R5 являются одинаковыми или отличными друг от друга и каждый представляет собой атом водорода, атом галогена, C1-6алкильную группу или группу, представленную формулой -X-A (где X означает простую связь, необязательно замещенную C1-6алкиленовую группу, необязательно замещенную
C2-6алкениленовую группу, необязательно замещенную C2-6алкиниленовую группу, -O-, -S-, -CO-, -SO-, -SO2-, -N(R6)-, -N(R7)-CO-, -CO-N(R8)-, -N(R9)-CH2-, -CH2-N(R10)-, -CH2-CO-, -CO-CH2-, -N(R11)-S(O)m-, -S(O)n-N(R12)-, -CH2-S(O)p-,
-S(O)q-CH2-, -CH2-O-, -O-CH2-, -N(R13)-CO-N(R14)- или -N(R15)-CS-N(R16)- (где R6, R7, R8, R9, R10, R11, R12, R13, R14, R15 и R16 означают атом водорода, C1-6алкильную группу или C1-6алкоксигруппу; и m, n, p и q означает целое число, равное независимо 0, 1 или 2); и A означает C3-8 циклоалкильную группу, C3-8 циклоалкенильную группу, 5-14-членную неароматическую гетероциклическую группу, C6-14 ароматическую циклическую углеводородную группу или 5-14-членную ароматическую гетероциклическую группу, которая может быть замещена соответственно при условии, что 3 группы среди R1, R2, R3, R4 и R5 являются всегда одинаковыми или отличными друг от друга и каждая означает -X-A; а остальные 2 группы всегда означают атом водорода, атом галогена или C1-6алкильную группу). Из вышеупомянутых определений исключены случаи, когда (1) Q представляет собой O; R1 и R5 представляют атомы водорода и R2, R3 и R4 представляют фенильные группы, (2) Q представляет собой O; R1 и R4 представляют атомы водорода и R2, R3 и R5 представляют фенильные группы, и (3) Q представляет собой O; R1 и R2 представляют атомы водорода и R3, R4 и R5 представляют фенильные группы.
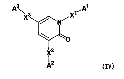
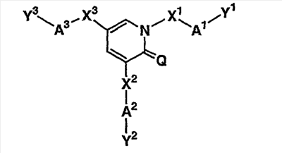
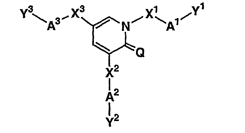
Т.е. настоящее изобретение относится к (1) соединению, представленному вышеупомянутой формулой (I), его соли или его гидратам; (2) соединению согласно вышеупомянутому (1), его соли или его гидратам, которое представлено формулой

где Q означает NH, O или S; X1, X2 и X3 являются одинаковыми или отличными друг от друга и каждый означает простую связь, необязательно замещенную C1-6алкиленовую группу, необязательно замещенную C2-6алкениленовую группу, необязательно замещенную C2-6алкиниленовую группу, -O-, -S-, -CO-, -SO-, -SO2-,
-N(R6)-, -N(R7)-CO-, -CO-N(R8)-, -N(R9)-CH2-, -CH2-N(R10)-, -CH2-CO-, -CO-CH2-,
-N(R11)-S(O)m-, -S(O)n-N(R12)-, -CH2-S(O)p-, -S(O)q-CH2-, -CH2-O-, -O-CH2-, -N(R13)-CO-N(R14)- или -N(R15)-CS-N(R16)- (где R6, R7, R8, R9, R10, R11, R12, R13, R14, R15 и R16 означают атом водорода, C1-6алкильную группу или C1-6алкоксигруппу и m, n, p и q являются независимыми друг от друга и каждый означает целое число, равное 0, 1 или 2); A1, A2 и A3 являются одинаковыми или отличными друг от друга и каждая означает необязательно замещенную C3-8 циклоалкильную группу, C3-8 циклоалкенильную группу, 5-14-членную неароматическую гетероциклическую группу, C6-14 ароматическую циклическую углеводородную группу или 5-14-членную ароматическую гетероциклическую группу и R17 и R18 являются одинаковыми или отличными друг от друга и каждая означает атом водорода, атом галогена или C1-6алкильную группу; (3) соединению согласно вышеупомянутому (2), его соли или его гидратам, где X1, X2 и X3 представляют (1) простую связь, (2) C1-6алкиленовую группу, C2-6алкениленовую группу или C2-6алкиниленовую группу, которая может быть необязательно замещена, соответственно, одной или несколькими группами, выбранными из нижеследующей группы-заместителя a, (3) -O-, (4) -S-, (5) -CO-, (6) -SO-, (7) -SO2-, (8) -N(R6)-, (9) -N(R7)-CO-, (10) -CO-N(R8)-, (11) -N(R9)-CH2-, (12) -CH2-N(R10)-, (13) -CH2-CO-, (14) -CO-CH2-, (15) -N(R11)-S(O)m-, (16) -S(O)n-N(R12)-, (17) -CH2-S(O)p-, (18) -S(O)q-CH2-, (19) -CH2-O-, (20) -O-CH2-, (21) -N(R13)-CO-N(R14)- или (22) -N(R15)-CS-N(R16)- (где R6, R7, R8, R9, R10, R11, R12, R13, R14, R15 и R16, m, n, p и q имеют значения, определенные выше); и A1, A2 и A3 представляют C3-8циклоалкильную группу, C3-8циклоалкенильную группу, 5-14-членную неароматическую гетероциклическую группу, C6-14ароматическую циклическую углеводородную группу или 5-14-членную ароматическую гетероциклическую группу, которая может быть необязательно замещена одной или несколькими группами, выбранными из нижеследующей группы-заместителя b (группа-заместитель a: группа, состоящая из гидроксигруппы, атома галогена и нитрильной группы; и группа-заместитель b: группа, состоящая из (1) гидроксигруппы, (2) атома галогена, (3) нитрильной группы, (4) нитрогруппы, (5) C1-6алкильной группы, C2-6алкенильной группы или C2-6алкинильной группы, которая может быть необязательно замещена одной или несколькими группами, выбранными из группы, состоящей из гидроксигруппы, нитрильной группы, атома галогена, C1-6алкиламиногруппы, ди(C1-6алкил)аминогруппы, C2-6алкениламиногруппы, ди(C2-6алкениламино)группы, C2-6алкиниламиногруппы, ди(C2-6алкиниламино)группы, N-C1-6алкил-N-C2-6алкениламиногруппы, N-C1-6алкил-N-C2-6алкиниламиногруппы, N-C2-6алкенил-N-C2-6алкиниламиногруппы, аралкилоксигруппы, TBDMS-оксигруппы, C1-6алкилсульфониламиногруппы, C1-6алкилкарбонилоксигруппы, C2-6алкенилкарбонилоксигруппы, C2-6алкинилкарбонилоксигруппы, N-C1-6алкилкарбамоильной группы, N-C2-6алкенилкарбамоильной группы и N-C1-6алкинилкарбамоильной группы, (6) C1-6алкоксигруппы, C2-6алкенилоксигруппы или C2-6алкинилоксигруппы, которая может быть необязательно замещена соответственно одной или несколькими группами, выбранными из группы, состоящей из C1-6алкиламиногруппы, аралкилоксигруппы и гидроксигруппы, (7) C1-6алкилтиогруппы, C2-6алкенилтиогруппы или C2-6алкинилтиогруппы, которая может быть необязательно замещена соответственно одной или несколькими группами, выбранными из группы, состоящей из гидроксигруппы, нитрильной группы, атома галогена, C1-6алкиламиногруппы, аралкилоксигруппы, TBDMS-оксигруппы, C1-6алкилсульфониламиногруппы, C1-6алкилкарбонилоксигруппы и C1-6алкилкарбамоильной группы, (8) карбонильной группы, замещенной группой, выбранной из группы, состоящей из C1-6алкоксигруппы, аминогруппы, C1-6алкиламиногруппы, ди(C1-6алкил)аминогруппы, C2-6алкениламиногруппы, ди(C2-6алкенил)аминогруппы, C2-6алкиниламиногруппы, ди(C2-6алкинил)аминогруппы, N-C1-6алкил-N-C2-6алкениламиногруппы, N-C1-6алкил-N-C2-6алкиниламиногруппы и N-C2-6алкенил-N-C2-6алкиниламиногруппы, (9) аминогруппы, которая может быть необязательно замещена одной или двумя группами, выбранными из группы, состоящей из C1-6алкильной группы, C2-6алкенильной группы, C2-6алкинильной группы, C1-6алкилсульфонильной группы, C2-6алкенилсульфонильной группы, C2-6алкинилсульфонильной группы, C1-6алкилкарбонильной группы, C2-6алкенилкарбонильной группы и C2-6алкинилкарбонильной группы, (10) C1-6алкилсульфонильной группы, (11) C2-6алкенилсульфонильной группы, (12) C2-6алкинилсульфонильной группы, (13) C1-6алкилсульфинильной группы, (14) C2-6алкенилсульфинильной группы, (15) C2-6алкинилсульфинильной группы, (16) формильной группы, (17) C3-8циклоалкильной группы или C3-8циклоалкенильной группы, которая может быть необязательно замещена соответственно одной или несколькими группами, выбранными из группы, состоящей из гидроксигруппы, атома галогена, нитрильной группы, C1-6алкильной группы, C1-6алкилоксигруппы, C1-6алкилоксиC1-6алкильной группы и аралкильной группы, (18) 5-14-членной неароматической гетероциклической группы, которая может быть необязательно замещена одной или несколькими группами, выбранными из группы, состоящей из гидроксигруппы, атома галогена, нитрильной группы, C1-6алкильной группы, C1-6алкилоксигруппы, C1-6алкилоксиC1-6алкильной группы и аралкильной группы, (19) C6-14ароматической циклической углеводородной группы, которая может быть необязательно замещена одной или несколькими группами, выбранными из группы, состоящей из гидроксигруппы, атома галогена, нитрильной группы, C1-6алкильной группы, C1-6алкилоксигруппы, C1-6алкилоксиC1-6алкильной группы и аралкильной группы, и (20) 5-14-членной ароматической гетероциклической группы, которая может быть необязательно замещена одной или несколькими группами, выбранными из группы, состоящей из гидроксигруппы, атома галогена, нитрильной группы, C1-6алкильной группы, C1-6алкилоксигруппы, C1-6алкилоксиC1-6алкильной группы и аралкильной группы); (4) соединению согласно вышеупомянутому (2), его соли или его гидратам, где A1, A2 и/или A3 являются одинаковыми или отличными друг от друга и каждая представляет собой необязательно замещенный C3-8циклоалкил, C3-8циклоалкенил или 5-14-членную неароматическую гетероциклическую структуру; (5) соединению согласно вышеупомянутому (2), его соли или его гидратам, где A1, A2 и/или A3 являются одинаковыми или отличными друг от друга и каждая представляет собой необязательно замещенную C6-14ароматическую углеводородную циклическую структуру или 5-14-членную ароматическую гетероциклическую структуру; (6) соединению согласно вышеупомянутому (2), его соли или его гидратам, где А1, А2 и А3 являются одинаковыми или отличными друг от друга и каждая представляет собой фенильную группу, пирролильную группу, пиридильную группу, пиридазинильную группу, пиримидинильную группу, пиразинильную группу, тиенильную группу, тиазолильную группу, фурильную группу, нафтильную группу, хинолильную группу, изохинолильную группу, индолильную группу, бензимидазолильную группу, бензотиазолильную группу, бензоксазолильную группу, имидазопиридильную группу, карбазолильную группу, циклопентильную группу, циклогексильную группу, циклогексенильную группу, диоксинильную группу, адамантильную группу, пирролидинильную группу, пиперидинильную группу, пиперазинильную группу или морфолильную группу, которые могут необязательно иметь один или несколько заместителей соответственно; (7) соединению согласно вышеупомянутому (2), его соли или его гидратам, где A1, A2 и A3 являются одинаковыми или отличными друг от друга и каждая представляет собой группу, представленную формулой

которые могут быть замещенными; (8) соединению согласно вышеупомянутому (2), его соли или его гидратам, где A1, A2 и A3 являются одинаковыми или отличными друг от друга и каждая необязательно замещена гидроксильной группой, атомом галогена, аминогруппой или нитрильной группой; (9) соединению согласно вышеупомянутому (7), его соли или его гидратам, где заместители A1, A2 и A3 являются одинаковыми или отличными друг от друга и каждая представляет собой гидроксильную группу, атом галогена или аминогруппу, нитрильную группу или нитрогруппу; (10) соединению согласно вышеупомянутому (1) или (2), его соли или его гидратам, где Q представляет собой кислород; (11) соединению согласно вышеупомянутому (1) или (2), его соли или его гидратам, где X1, X2 и X3 являются одинаковыми или отличными друг от друга и каждая представляет собой простую связь, -CH2-, -CH(OH)-, -CH2-CH2-, -CH=CH-, -C C-, -O- или -CO-; (12) соединению согласно вышеупомянутому (2), его соли или его гидратам, где X1, X2 и X3 представляют простые связи; (13) соединению согласно вышеупомянутому (2), его соли или его гидратам, где R17 и R18 являются одинаковыми или отличными друг от друга и каждая представляет собой атом водорода, фтор, хлор, бром, йод, метильную группу, этильную группу, н-пропильную группу или изопропильную группу; (14) соединению согласно вышеупомянутому (2), его соли или его гидратам, где R17 и R18 представляют атом водорода; (15) соединению согласно вышеупомянутому (1) или (2), его соли или его гидратам, которое представлено формулой

где X1, X2, X3, A1, A2, A3, R17 и R18 имеют такие же значения, как определено в вышеупомянутом (2); (16) соединение согласно вышеупомянутому (15), его соли или его гидратам, где A1, A2 и A3 являются одинаковыми или отличными друг от друга и каждая представляет собой необязательно замещенную C6-14 ароматическую углеводородную циклическую структуру или 5-14-членную ароматическую гетероциклическую структуру; (16) соединению согласно вышеупомянутому (15), его соли или его гидратам, где A1, A2 и A3 являются одинаковыми или отличными друг от друга и каждая представляет собой необязательно замещенную C6-14ароматическую углеводородную циклическую структуру или 5-14-членную ароматическую гетероциклическую структуру; (17) соединению согласно вышеупомянутому (15), его соли или его гидратам, где A1, A2 и A3 являются одинаковыми или отличными друг от друга и каждая представляет собой необязательно замещенную фенильную группу, пирролильную группу, пиридильную группу, пиридазинильную группу, пиримидинильную группу, пиразинильную группу, тиенильную группу, тиазолильную группу, фурильную группу, нафтильную группу, хинолильную группу, изохинолильную группу, индолильную группу, бензимидазолильную группу, бензотиазолильную группу, бензоксазолильную группу, имидазопиридильную группу, карбазолильную группу, циклопентильную группу, циклогексильную группу, циклогексенильную группу, диоксинильную группу, адамантильную группу, пирролидинильную группу, пиперидинильную группу, пиперазинильную группу или морфолильную группу; (18) соединению согласно вышеупомянутому (15), его соли или его гидратам, где A1, A2 и A3 являются одинаковыми или отличными друг от друга и каждая представляет собой группу, представленную нижеследующей формулой

которая может быть замещенной; (19) соединению согласно вышеупомянутому (15), его соли или его гидратам, где местом присоединения заместителя при A1, A2 и/или A3 является -положение углеродного атома, связанного с группой X1, X2 и X3 соответственно; (20) соединению согласно вышеупомянутому (15), его соли или его гидратам, где X1, X2 и X3 представляют простые связи; (21) соединению согласно вышеупомянутому (15), его соли или его гидратам, где R17 и R18 представляют атомы водорода; (22) соединению согласно вышеупомянутому (1), его соли или его гидратам, которое представляет собой любое одно из соединений, выбранных из 3-(2-цианофенил)-5-(2-метилсульфониламинофенил)-1-фенил-1,2-дигидропиридин-2-она; 3-(2-хлор-3-пиридил)-5-(2-пиридил)-1-фенил-1,2-дигидропиридин-2-она; 3-(2-цианофенил)-5-(2-пиридил)-1-фенил-1,2-дигидропиридин-2-она; 3-(2-цианофенил)-5-(2-пиридил)-1-(3-нитрофенил)-1,2-дигидропиридин-2-она; 3-(2-цианофенил)-5-(2-пиридил)-1-(3-аминофенил)-1,2-дигидропиридин-2-она; 3-(2-цианофенил)-5-(2-пиридил)-1-(3-метилсульфониламинофенил)-1,2-дигидропиридин-2-она; 3-(2-цианофенил)-5-(2-пиридил)-1-(3-метиламинофенил)-1,2-дигидропиридин-2-она; 3-(2-цианофенил)-5-(2-пиридил)-1-(3-диметиламинофенил)-1,2-дигидропиридин-2-она; 3-(2-цианофенил)-5-(2-пиридил)-1-[3-(5-метоксиметил-2-оксазолидинон-3-ил)фенил]-1,2-дигидропиридин-2-она; 3-(2-цианофенил)-5-(2-пиридил)-1-(3-метоксикарбонилфенил)-1,2-дигидропиридин-2-она;
3-(2-цианофенил)-5-(2-пиридил)-1-(3-метиламинокарбонилфенил)-1,2-дигидропиридин-2-она; 3-(2-циано-3-пиридил)-5-(2-пиридил)-1-фенил-1,2-дигидропиридин-2-она; 3-(2-хлорфенил)-5-(2-пиридил)-1-(4-гидроксифенил)-1,2-дигидропиридин-2-она; 3-(2-хлорфенил)-5-(2-пиридил)-1-(4-диметиламиноэтоксифенил)-1,2-дигидропиридин-2-она; 3-(2-цианофенил)-5-(2-пиридил)-1-(3-формилфенил)-1,2-дигидропиридин-2-она; 3-(2-цианофенил)-5-(2-пиридил)-1-(3-гидроксиметилфенил)-1,2-дигидропиридин-2-она; 3-(2-цианофенил)-5-(2-пиридил)-1-(3-цианометилфенил)-1,2-дигидропиридин-2-она; 3-(2-цианофенил)-5-(2-пиридил)-1-(3-ацетиламинометилфенил)-1,2-дигидропиридин-2-она; 3-(2-цианофенил)-5-(2-пиридил)-1-(3-метилсульфониламинометилфенил)-1,2-дигидропиридин-2-она; 3-(2-цианофенил)-5-(2-пиридил)-1-(3-ацетоксиметилфенил)-1,2-дигидропиридин-2-она; 3-(2-цианофенил)-5-(2-пиридил)-1-(4-метилтиофенил)-1,2-дигидропиридин-2-она; 3-(2-цианофенил)-5-(2-пиридил)-1-(4-метилсульфонилфенил)-1,2-дигидропиридин-2-она; 3-(2-цианофенил)-5-(2-формилтиофен-3-ил)-1-фенил-1,2-дигидропиридин-2-она; 3-(2-цианофенил)-5-(2-диэтиламинометилтиофен-3-ил)-1-фенил-1,2-дигидропиридин-2-она; 3-(2-цианофенил)-5-(2-гидроксиметилтиофен-3-ил)-1-фенил-1,2-дигидропиридин-2-она; 3-(2-цианофенил)-5-(2-пиридил)-1-бензил-1,2-дигидропиридин-2-она; 3-(2-цианофенил)-5-(2-пиридил)-1-(3-пиридил)-1,2-дигидропиридин-2-она; 3-(2-цианофенил)-5-фенил-(2-пиридил)-1,2-дигидропиридин-2-она; 3-(2-цианофенил)-1,5-дифенил-1,2-дигидропиридин-2-она; 3-(2-цианофенил)-5-(2-метоксифенил)-1-фенил-1,2-дигидропиридин-2-она; 3-(2-цианофенил)-5-(3,4-диметоксифенил)-1-фенил-1,2-дигидропиридин-2-она;
3-(2-цианофенил)-5-(тиофен-3-ил)-1-фенил-1,2-дигидропиридин-2-она; 3-(2-цианофенил)-5-(2-фторфенил)-1-фенил-1,2-дигидропиридин-2-она; 3-(2-цианофенил)-5-(тиофен-2-ил)-1-фенил-1,2-дигидропиридин-2-она; 3-(2-цианофенил)-5-(3-фурил)-1-фенил-1,2-дигидропиридин-2-она; 3-(2-цианофенил)-5-(2-фурил)-1-фенил-1,2-дигидропиридин-2-она; 3-(2-хлорфенил)-5-(2-пиридил)-1-фенил-1,2-дигидропиридин-2-она, 3-(2-метоксикарбонилфенил)-5-(2-пиридил)-1-фенил-1,2-дигидропиридин-2-она; 3-фенил-5-(2-пиридил)-1-фенил-1,2-дигидропиридин-2-она; 3-(2-фторфенил)-5-(2-пиридил)-1-фенил-1,2-дигидропиридин-2-она; 3-(2-хлорфенил)-5-(2-пиридил)-1-(3-метоксифенил)-1,2-дигидропиридин-2-она; 3-(2-фтор-3-пиридил)-5-(2-пиридил)-1-фенил-1,2-дигидропиридин-2-она; 3-(2-метокси-5-пиридил)-5-(2-пиридил)-1-фенил-1,2-дигидропиридин-2-она; 3-(2-фтор-3-пиридил)-5-(2-пиридил)-1-(3-метоксифенил)-1,2-дигидропиридин-2-она; 3-(2-фтор-3-пиридил)-5-(2-пиридил)-1-(3-фторфенил)-1,2-дигидропиридин-2-она; 3-(2-цианофенил)-5-(2-пиридил)-1-(4-фторфенил)-1,2-дигидропиридин-2-она;
3-(2-цианофенил)-5-(2-пиридил)-1-(3-фторфенил)-1,2-дигидропиридин-2-она; 3-(2-цианофенил)-5-(2-пиридил)-1-(4-метоксифенил)-1,2-дигидропиридин-2-она; 3-(2-цианофенил)-5-(2-пиридил)-1-(3-метоксифенил)-1,2-дигидропиридин-2-она; 3-фенил-5-(2-пиридил)-1-(3-фторфенил)-1,2-дигидропиридин-2-она;
3-(2-хлорфенил)-5-(2-пиридил)-1-(4-фторфенил)-1,2-дигидропиридин-2-она; 3-(2-цианофенил)-5-(2-пиридил)-1-(4-формилфенил)-1,2-дигидропиридин-2-она; 3-(2-цианофенил)-5-(2-пиридил)-1-(2-формилфенил)-1,2-дигидропиридин-2-она;
3-(2-цианофенил)-5-(2-пиридил)-1-(3-хлорфенил)-1,2-дигидропиридин-2-она; 3-(2-цианофенил)-5-(2-пиридил)-1-(3-толил)-1,2-дигидропиридин-2-она; 3-(2-цианофенил)-5-(2-пиридил)-1-(3-трифторметилфенил)-1,2-дигидропиридин-2-она;
3-(2-цианофенил)-5-(2-пиридил)-1-(тиофен-3-ил)-1,2-дигидропиридин-2-она; 3-(2-цианофенил)-5-(2-пиридил)-1-(3-фурил)-1,2-дигидропиридин-2-она; 3-(2-цианофенил)-5-(2-пиридил)-1-(4-толил)-1,2-дигидропиридин-2-она; 3-(2-цианофенил)-5-(2-пиридил)-1-(4-трифторметилфенил)-1,2-дигидропиридин-2-она; 3-(2-цианофенил)-5-(2-пиридил)-1-(2-метоксипиридин-5-ил)-1,2-дигидропиридин-2-она; 3-(2-цианофенил)-5-(2-пиридил)-1-(пиримидин-5-ил)-1,2-дигидропиридин-2-она; 3-(2-цианофенил)-5-(2-пиридил)-1-(3-бензилоксиметилпиридин-5-ил)-1,2-дигидропиридин-2-она; 3-(2-цианофенил)-5-(2-пиридил)-1-(2-этилтиопиридин-5-ил)-1,2-дигидропиридин-2-она; 3-(2-цианофенил)-5-(2-пиридил)-1-(4-пиридил)-1,2-дигидропиридин-2-она;
3-(2-цианофенил)-5-(2-пиридил)-1-(3-метоксипиридин-5-ил)-1,2-дигидропиридин-2-она; 3-(2-цианофенил)-5-(2-пиридил)-1-(2-хлорпиридин-5-ил)-1,2-дигидропиридин-2-она; 3-(2-цианофенил)-5-(2-пиридил)-1-(2-фторпиридин-5-ил)-1,2-дигидропиридин-2-она;
3-(2-цианофенил)-5-(2-пиридил)-1-(2-метоксифенил)-1,2-дигидропиридин-2-она; 3-фенил-5-(2-пиридил)-1-(3-пиридил)-1,2-дигидропиридин-2-она; 3-(2-хлорфенил)-5-(2-пиридил)-1-(3-пиридил)-1,2-дигидропиридин-2-она; 3-(тиофен-3-ил)-5-(2-пиридил)-1-(3-пиридил)-1,2-дигидропиридин-2-она;
3-(2,6-диметилфенил)-5-(2-пиридил)-1-(3-пиридил)-1,2-дигидропиридин-2-она; 3-(2-цианотиофен-3-ил)-5-(2-пиридил)-1-(3-пиридил)-1,2-дигидропиридин-2-она; 3-(2-фтор-3-пиридил)-5-(2-пиридил)-1-(3-пиридил)-1,2-дигидропиридин-2-она;
3-(2-хлорфенил)-5-(2-пиридил)-1-(3-гидроксифенил)-1,2-дигидропиридин-2-она; 3-(2-хлорфенил)-5-(2-пиридил)-1-(3-диметиламиноэтоксифенил)-1,2-дигидропиридин-2-она;
3-(2-хлорфенил)-5-(2-пиридил)-1-(3-диметиламинопропоксифенил)-1,2-дигидропиридин-2-она; 3-(2-цианофенил)-5-(2-пиридил)-1-(2-гидроксиметилфенил)-1,2-дигидропиридин-2-она; 3-(2-цианофенил)-5-(2-пиридил)-1-(4-цианометилфенил)-1,2-дигидропиридин-2-она; 3-(2-цианофенил)-5-(2-пиридил)-1-(2-цианометилфенил)-1,2-дигидропиридин-2-она; 3-(2-цианофенил)-5-(6-диэтиламинометил-2-пиридил)-1-фенил-1,2-дигидропиридин-2-она; 3-(2-цианофенил)-1-фенил-5-(2-пиримидинил)-1,2-дигидропиридин-2-она;
3-(2-гидроксипиридин-6-ил)-1-фенил-5-(2-пиридил)-1,2-дигидропиридин-2-она; 1-(2-аминобензотиазол-6-ил)-3-(2-цианофенил)-5-(2-пиридил)-1,2-дигидропиридин-2-она;
3-(2-цианофенил)-5-(2-пиридил)-1-(1-бензил-1,2,5,6-тетрагидропиридин-3-ил)-1,2-дигидропиридин-2-она; 3-[2-(5-метил-1,2,4-оксадиазол-3-ил)фенил]-1-фенил-5-(2-пиридил)-1,2-дигидропиридин-2-она; 3-(2-цианофенил)-5-(6-метилпиридин-2-ил)-1-фенил-1,2-дигидропиридин-2-она; 3-(2-цианофенил)-5-(5-метилпиридин-2-ил)-1-фенил-1,2-дигидропиридин-2-она;
3-(2-цианофенил)-5-(3-гидроксипиридин-2-ил)-1-фенил-1,2-дигидропиридин-2-она; 3-(2-цианофенил)-1-фенил-5-(2-тиазолил)-1,2-дигидропиридин-2-она; 3-(2-цианофенил)-5-(6-метоксипиридин-2-ил)-1-фенил-1,2-дигидропиридин-2-она; 1-(4-аминофенил)-3-(2-цианофенил)-5-(2-пиридил)-1,2-дигидропиридин-2-она;
1-(3-аминофенил)-3-(2-цианофенил)-5-(2-пиримидинил)-1,2-дигидропиридин-2-она; 3-(2-цианофенил)-5-(2-пиридил)-1-(3-амино-4-метилфенил)-1,2-дигидропиридин-2-она; 3-(2-цианофенил)-1-(3-диметиламиноэтоксифенил)-5-(2-пиридил)-1,2-дигидропиридин-2-она; 3-(2-цианофенил)-1-(3-пиперидиноэтоксифенил)-5-(2-пиридил)-1,2-дигидропиридин-2-она; 3-(2-цианофенил)-1-(3-пирролидиноэтоксифенил)-5-(2-пиридил)-1,2-дигидропиридин-2-она; 3-(2-цианофенил)-1-(3-диизопропиламиноэтоксифенил)-5-(2-пиридил)-1,2-дигидропиридин-2-она; 3-(2-цианофенил)-1-[3-(4-пиперидинобутокси)фенил]-5-(2-пиридил)-1,2-дигидропиридин-2-она; 3-(2-цианофенил)-1-(4-нитрофенил)-5-(2-пиридил)-1,2-дигидропиридин-2-она; 1-фенил-5-(2-пиридил)-3-(2-тиазолил)-1,2-дигидропиридин-2-она; 3-(2-цианофенил)-1-(3-пиридил)-5-(2-пиримидинил)-1,2-дигидропиридин-2-она; 3-(2-фторпиридин-3-ил)-1-фенил-5-(2-пиримидинил)-1,2-дигидропиридин-2-она;
3-(2-цианопиридин-3-ил)-1-фенил-5-(2-пиримидинил)-1,2-дигидропиридин-2-она; 3-(2-цианофенил)-1-(3-нитрофенил)-5-(2-пиримидинил)-1,2-дигидропиридин-2-она; 3-(2-нитрофенил)-1-фенил-5-(2-пиридил)-1,2-дигидропиридин-2-она; 3-(2-формилтиофен-3-ил)-5-(2-пиридил)-1-фенил-1,2-дигидропиридин-2-она;
3-(2-цианофенил)-5-(2-пиридил)-1-(2-нафтил)-1,2-дигидропиридин-2-она; 3-(2-цианофенил)-5-(2-пиридил)-1-(1-нафтил)-1,2-дигидропиридин-2-она; 5-(2-аминопиридин-6-ил)-3-(2-цианофенил)-1-фенил-1,2-дигидропиридин-2-она; 5-(6-бромпиридин-2-ил)-3-(2-цианофенил)-1-фенил-1,2-дигидропиридин-2-она; 3-(2-цианофенил)-5-(2-морфоринопиридин-6-ил)-1-фенил-1,2-дигидропиридин-2-она; 3-(2-цианофенил)-1-(3-гидроксифенил)-5-(2-пиридил)-1,2-дигидропиридин-2-она; 3-(2-цианофенил)-1-[3-(4-пиперидилокси)]фенил-5-(2-пиридил)-1,2-дигидропиридин-2-она; 1-[3-(N-ацетилпиперидин-4-илокси)фенил]-3-(2-цианофенил)-5-(2-пиридил)-1,2-дигидропиридин-2-она; 3-(2-цианофенил)-1-[3-(1-метилсульфонилпиперидин-4-илокси)фенил]-5-(2-пиридил)-1,2-дигидропиридин-2-она; 1-[3-(N-метилпиперидин-4-илокси)фенил]-3-(2-цианофенил)-5-(2-пиридил)-1,2-дигидропиридин-2-она;
3-(6-хлор-1Н-бензимидазол-2-ил)-5-(2-пиридил)-1-фенил-1,2-дигидропиридин-2-она; 3-(2-цианофенил)-5-(2-пиридил)-1-(3-нитро-4-метилфенил)-1,2-дигидропиридин-2-она; 3-(2-цианотиофен-3-ил)-5-(2-пиридил)-1-фенил-1,2-дигидропиридин-2-она;
3-[2-(5-оксазолил)фенил]-1-фенил-5-(2-пиридил)-1,2-дигидропиридин-2-она; 3-[2-(5-оксазолил)тиофен-3-ил]-1-фенил-5-(2-пиридил)-1,2-дигидропиридин-2-она; и
3-(2-этоксикарбонилвинилтиофен-3-ил)-5-(2-пиридил)-1-(фенил-1,2-дигидропиридин-2-она;
(23) фармацевтической композиции, включающей соединение, представленное нижеследующей формулой, его соль или его гидраты:

в формуле Q означает NH, O или S; и R1, R2, R3, R4 и R5 являются одинаковыми или отличными друг от друга и каждая означает атом водорода, атом галогена, C1-6 алкильную группу или группу формулы -X-A (где X означает простую связь, C1-6алкиленовую группу, которая может необязательно иметь заместители, C2-6алкениленовую группу, которая может необязательно иметь заместители, C2-6алкиниленовую группу, которая может необязательно иметь заместители, -O-, -S-,
-CO-, -SO-, -SO2-, -N(R6)-, -N(R7)-CO-, -CO-N(R8)-, -N(R9)-CH2-, -CH2-N(R10)-, -CH2-CO-, -CO-CH2-, -N(R11)-S(O)m-, -S(O)n-N(R12)-, -CH2-S(O)p-, -S(O)q-CH2-, -CH2-O-, -O-CH2-, -N(R13)-CO-N(R14)- или -N(R15)-CS-N(R16)- (где R6, R7, R8, R9, R10, R11, R12, R13, R14, R15 и R16 означает атом водорода, C1-6 алкильную группу или C1-6 алкоксигруппу; и m, n, p и q являются независимыми друг от друга и каждый означает целое число, равное 0, 1 или 2); и A означает необязательно замещенную C3-8циклоалкильную группу, C3-8циклоалкенильную группу, 5-14-членную неароматическую гетероциклическую группу, C6-14ароматическую циклическую углеводородную группу или 5-14-членную ароматическую гетероциклическую группу), при условии, что 3 группы среди R1, R2, R3, R4 и R5 являются всегда одинаковыми или отличными друг от друга и каждая означает -X-A; а остальные 2 группы всегда означают атом водорода, атом галогена или C1-6алкильную группу; (24) фармацевтической композиции согласно вышеупомянутому (23), где соединение представляет собой ингибитор в отношении рецептора -амино-3-гидрокси-5-метил-4-изоксазолпропионовой кислоты (в дальнейшем называемой как AMPA ) и/или каинатного рецептора; (25) фармацевтической композиции согласно вышеупомянутому (23), где соединение представляет собой ингибитор в отношении рецептора AMPA; (26) фармацевтической композиции согласно вышеупомянутому (23), где соединение представляет собой ингибитор в отношении каинатного рецептора; (27) фармацевтической композиции согласно вышеупомянутому (23), которая представляет собой терапевтическое или профилактическое средство для лечения болезней, в которые вовлечен рецептор AMPA или каинатный рецептор; (28) фармацевтической композиции согласно вышеупомянутому (23), которая представляет собой терапевтическое или профилактическое средство для лечения болезней, в которые вовлечен рецептор AMPA; (29) фармацевтической композиции согласно вышеупомянутому (23), которая представляет собой терапевтическое или профилактическое средство для острой нейродегенеративной болезни; (30) фармацевтической композиции согласно вышеупомянутому (23), которая представляет собой терапевтическое или профилактическое средство для лечения цереброваскулярных расстройств на острой стадии, травмы головы, спинномозговой травмы; нейропатии, вызванной гипоксией или гипогликемией; (31) фармацевтической композиции согласно вышеупомянутому (23), которая представляет собой терапевтическое или профилактическое средство для лечения хронической нейродегенеративной болезни; (32) фармацевтической композиции согласно вышеупомянутому (23), которая представляет собой терапевтическое или профилактическое средство для лечения болезни Альцгеймера, болезни Паркинсона, хореи Гентингтона, бокового амиотрофического склероза или относящейся к спинному мозгу и мозжечку дегенерации; (33) фармацевтической композиции согласно вышеупомянутому (23), которая представляет собой средство для лечения или профилактики эпилепсии, печеночной энцефалопатии, периферической нейропатии, синдрома Паркинсона, спастического паралича, боли, невралгии, шизофрении, тревоги, злоупотребления любыми лекарственными средствами (токсикомании), тошноты, рвоты, расстройства мочеиспускания, нарушения зрения, вызванного глаукомой; нарушения слуха, вызванного антиобиотиками; или пищевого отравления; (34) фармацевтической композиции согласно вышеупомянутому (23), которая представляет собой средство для лечения или профилактики инфекционного энцефаломиелита, цереброваскулярной старческой деменции, или деменции, или невроза, вызванного цереброспинальным менингитом; (35) фармацевтической композиции согласно вышеупомянутому (34), где инфекционный энцефаломиелит представляет собой ВИЧ-энцефаломиелит; (36) фармацевтической композиции согласно вышеупомянутому (23), которая представляет собой средство для лечения или профилактики демиелинизирующей болезни; (37) фармацевтической композиции согласно вышеупомянутому (36), где демиелинизирующая болезнь представляет собой энцефалит, острый рассеянный энцефаломиелит, рассеянный склероз, острую демиелинизирующую полинейропатию, синдром Гийена-Барре, хроническую воспалительную демиелинизирующую полинейропатию, болезнь Маркиафы-Биньями, миелинолиз центрального пути варолиева моста мозга, нейромиелит зрительного нерва, болезнь Девика, болезнь Бало, ВИЧ миелопатию; индуцированную вирусом человеческого Т-клеточного лейкоза (HTLV) миелопатию; прогрессирующую многоочаговую лейкоэнцефалопатию или вторичную демиелинизирующую болезнь; (38) фармацевтической композиции согласно вышеупомянутому (37), где вторичной демиелинизирующей болезнью является красная волчанка с поражением ЦНС, нодозный (узелковый) полиартериит, синдром Шегрена, саркоидная гранулема или изолированный церебральный васкулит; и т.п.
Настоящее изобретение относится к способу профилактики или лечения болезней, в которые вовлечен рецептор AMPA или каинатный рецептор, путем введения пациенту фармакологически эффективной дозы соединения, представленного формулой (I), его соли или его гидратов, и иммунорегуляторного или противовоспалительного средства.
Ниже будут разъяснены значения символов, термины и т.д., упоминаемые в описании данной заявки, благодаря чему настоящее изобретение будет подробно иллюстрировано.
Как “острая нейродегенеративная болезнь” в настоящем изобретении упоминаются, например, внезапный мозговой удар (субарахноидальное кровоизлияние, церебральный инфаркт и т.п.), травма головы, поражение спинного мозга; нейропатия, вызванная гипоксией; нейропатия, вызванная гипогликемией, и т.п. Как “хроническая нейродегенеративная болезнь” упоминаются, например, болезнь Альцгеймера, болезнь Паркинсона, хорея Гентингтона, боковой амиотрофический склероз, относящаяся к спинному мозгу и мозжечку дегенерация и т.п. Как “инфекционный энцефаломиелит” упоминаются, например, индуцированный вирусом иммунодефицита человека (ВИЧ) энцефаломиелит и как “демиелинизирующая болезнь” упоминаются, например, энцефалит, острый рассеянный энцефаломиелит, рассеянный склероз, острая демиелинизирующая полинейропатия, синдром Гийена-Барре, хроническая воспалительная демиелинизирующая полинейропатия, болезнь Маркиафавы-Биньями, миелинолиз центрального пути варолиева моста мозга, нейромиелит зрительного нерва, болезнь Девика, болезнь Бало; индуцированная вирусом иммунодефицита человека (ВИЧ) миелопатия; индуцированная вирусом человеческого Т-клеточного лейкоза (HTLV) миелопатия, прогрессирующая многоочаговая лейкоэнцефалопатия, вторичная демиелинизирующая болезнь и т.п. Как вышеупомянутая “вторичная демиелинизирующая болезнь” упоминаются, например, красная волчанка с поражением ЦНС, нодозный полиартериит, синдром Шегрена, саркоидная гранулема, изолированный церебральный васкулит и т.п.
Используемый в настоящем изобретении термин “и/или” используют в том смысле, что включают оба случая, и в случае и , и в случае или .
К тому же в описании данной заявки, несмотря на то что структурная формула соединения может выражать определенный изомер, настоящее изобретение охватывает все изомеры, такие как геометрические изомеры, являющиеся следствием структуры соединения; оптические изомеры, обусловленные наличием асимметричного атома углерода; стереоизомеры, ротамеры и таутомеры, а также смесь изомеров; и настоящее изобретение не ограничивается описанием формулы, а может представлять любой изомер или может представлять их смесь. Соответственно, хотя возможно, что асимметричный атом углерода представлен в молекуле и, следовательно, могут присутствовать оптически активное вещество и рацемическое вещество, настоящее изобретение не ограничивается каким-либо одним, а охватывает любое из этих веществ. Кроме того, может иметь место кристаллический полиморфизм, и, не ограничиваясь, может быть представлена любая из возможных кристаллических форм или их смесь. Соединение (I) или его соль настоящего изобретения могут быть в форме его ангидрида или гидрата, и любая из них входит в объем настоящего изобретения. Метаболит, который генерируется при разложении соединения (I), имеющего отношение к настоящему изобретению, in vivo, и пролекарство соединения (I) или его соли, которое можно получить, также входят в объем патентного притязания настоящего изобретения.
Используемый в настоящем изобретении термин “атом галогена” означает фтор, хлор, бром, йод и т.п.
Используемый в настоящем изобретении термин “C1-6алкильная группа” означает алкильную группу, имеющую от 1 до 6 углеродов, и примеры указанной группы включают алкильные группы с прямой или разветвленной цепью, такие как метильная группа, этильная группа, н-пропильная группа, изопропильная группа, н-бутильная группа, изобутильная группа, втор-бутильная группа, трет-бутильная группа, н-пентильная группа, 1,1-диметилпропильная группа, 1,2-диметилпропильная группа, 2,2-диметилпропильная группа, 1-этилпропильная группа, 2-этилпропильная группа, н-гексильная группа, 1-метил-2-этилпропильная группа, 1-этил-2-метилпропильная группа, 1,1,2-триметилпропильная группа, 1-пропилпропильная группа, 1-метилбутильная группа, 2-метилбутильная группа, 1,1-диметилбутильная группа, 1,2-диметилбутильная группа, 2,2-диметилбутильная группа, 1,3-диметилбутильная группа, 2,3-диметилбутильная группа, 2-этилбутильная группа, 2-метилпентильная группа, 3-метилпентильная группа и т.п.
Используемый в настоящем изобретении термин “C2-6 алкенильная группа” означает алкенильную группу, имеющую от 2 до 6 углеродов, и примеры подходящей указанной группы включают винильную группу, аллильную группу, 1-пропенильную группу, 2-пропенильную группу, изопропенильную группу, 2-метил-1-пропенильную группу, 3-метил-1-пропенильную группу, 2-метил-2-пропенильную группу, 3-метил-2-пропенильную группу, 1-бутенильную группу, 2-бутенильную группу, 3-бутенильную группу, 1-пентенильную группу, 1-гексенильную группу, 1,3-гексадиенильную группу, 1,6-гексадиенильную группу и т.п.
Используемый в настоящем изобретении термин “C2-6алкинильная группа” означает алкинильную группу, имеющую от 2 до 6 углеродов, и примеры подходящей указанной группы включают этинильную группу, 1-пропинильную группу, 2-пропинильную группу, 1-бутинильную группу, 2-бутинильную группу, 3-бутинильную группу, 3-метил-1-пропинильную группу, 1-этинил-2-пропинильную группу, 2-метил-3-пропинильную группу, 1-пентинильную группу, 1-гексинильную группу, 1,3-гексадиинильную группу, 1,6-гексадиинильную группу и т.п.
Используемый в настоящем изобретении термин “C1-6алкоксигруппа” означает алкоксигруппу, имеющую от 1 до 6 углеродов, и примеры указанной группы включают метоксигруппу, этоксигруппу, н-пропоксигруппу, изопропоксигруппу, втор-пропоксигруппу, н-бутоксигруппу, изобутоксигруппу, втор-бутоксигруппу, трет-бутоксигруппу, н-пентилоксигруппу, изопентилоксигруппу, втор-пентилоксигруппу, н-гексоксигруппу, изогексоксигруппу, 1,1-диметилпропоксигруппу, 1,2-диметилпропоксигруппу, 2,2-диметилпропоксигруппу, 2-этилпропоксигруппу, 1-метил-2-этилпропоксигруппу, 1-этил-2-метилпропоксигруппу, 1,1,2-триметилпропоксигруппу, 1,1-диметилбутоксигруппу, 1,2-диметилбутоксигруппу, 2,2-диметилбутоксигруппу, 2,3-диметилбутоксигруппу, 1,3-диметилбутоксигруппу, 2-этилбутоксигруппу, 1,3-диметилбутоксигруппу, 2-метилпентоксигруппу, 3-метилпентоксигруппу, гексилоксигруппу и т.п.
Используемый в настоящем изобретении термин “C2-6алкенилоксигруппа” означает алкенилоксигруппу, имеющую от 2 до 6 углеродов, и примеры подходящей указанной группы включают винилоксигруппу, аллилоксигруппу, 1-пропенилоксигруппу, 2-пропенилоксигруппу, изопропенилоксигруппу, 2-метил-1-пропенилоксигруппу, 3-метил-1-пропенилоксигруппу, 2-метил-2-пропенилоксигруппу, 3-метил-2-пропенилоксигруппу, 1-бутенилоксигруппу, 2-бутенилоксигруппу, 3-бутенилоксигруппу, 1-пентенилоксигруппу, 1-гексенилоксигруппу, 1,3-гексадиенилоксигруппу, 1,6-гексадиенилоксигруппу и т.п.
Используемый в настоящем изобретении термин “C3-8циклоалкильная группа” означает циклоалкильную группу, состоящую из 3-8 углеродных атомов, и примеры указанной группы включают циклопропильную группу, циклобутильную группу, циклопентильную группу, циклогексильную группу, циклогептильную группу, циклооктильную группу и т.п.
Используемый в настоящем изобретении термин “C3-8циклоалкенильная группа” означает C3-8 циклоалкенильную группу, состоящую из 3-8 углеродных атомов, и примеры указанной группы включают циклопропен-1-ил, циклопропен-3-ил, циклобутен-1-ил, циклобутен-3-ил, 1,3-циклобутадиен-1-ил, циклопентен-1-ил, циклопентен-3-ил, циклопентен-4-ил,
1,3-циклопентадиен-1-ил, 1,3-циклопентадиен-2-ил,
1,3-циклопентадиен-5-ил, циклогексен-1-ил, циклогексен-3-ил, циклогексен-4-ил, 1,3-циклогексадиен-1-ил, 1,3-циклогексадиен-2-ил, 1,3-циклогексадиен-5-ил, 1,4-циклогексадиен-1-ил,
1,4-циклогексадиен-3-ил, циклогептен-1-ил, циклогептен-3-ил, циклогептен-4-ил, циклогептен-5-ил, 1,3-циклогептен-2-ил,
1,3-циклогептен-1-ил, 1,3-циклогептадиен-5-ил,
1,3-циклогептадиен-6-ил, 1,4-циклогептадиен-3-ил,
1,4-циклогептадиен-2-ил, 1,4-циклогептадиен-1-ил,
1,4-циклогептадиен-6-ил, 1,3,5-циклогептатриен-3-ил,
1,3,5-циклогептатриен-2-ил, 1,3,5-циклогептатриен-1-ил,
1,3,5-циклогептатриен-7-ил, циклооктен-1-ил, циклооктен-3-ил, циклооктен-4-ил, циклооктен-5-ил, 1,3-циклооктадиен-2-ил,
1,3-циклооктадиен-1-ил, 1,3-циклооктадиен-5-ил,
1,3-циклооктадиен-6-ил, 1,4-циклооктадиен-3-ил,
1,4-циклооктадиен-2-ил, 1,4-циклооктадиен-1-ил,
1,4-циклооктадиен-6-ил, 1,4-циклооктадиен-7-ил,
1,5-циклооктадиен-3-ил, 1,5-циклооктадиен-2-ил,
1,3,5-циклооктатриен-3-ил, 1,3,5-циклооктатриен-2-ил,
1,3,5-циклооктатриен-1-ил, 1,3,5-циклооктатриен-7-ил,
1,3,6-циклооктатриен-2-ил, 1,3,6-циклооктатриен-1-ил,
1,3,6-циклооктатриен-5-ил, 1,3,6-циклооктатриен-6-ильную группу и т.п.
Используемый в настоящем изобретении термин 5-14-членная неароматическая гетероциклическая группа означает 5-14-членную неароматическую гетероциклическую группу моноциклического типа, дициклического типа или трициклического типа, которая содержит один или несколько гетероатомов, выбранных из группы, которая состоит из атома азота, атома серы и атома кислорода. Конкретные примеры вышеуказанной группы включают, например, пирролидинильную группу, пирролинильную группу, пиперидильную группу, пиперазинильную группу, имидазолидинильную группу, пиразолидинильную группу, морфолинильную группу, тетрагидрофурильную группу, тетрагидропиранильную группу, дигидрофурильную группу, дигидропиранильную группу, имидазолинильную группу, оксазолинильную группу и т.п. Кроме того, в неароматическую гетероциклическую группу также включены группы, полученные из кольца пиридона и неароматического конденсированного кольца (например, группа, полученная из фталимидного кольца, сукцинимидного кольца и т.п.).
Используемые в настоящем изобретении термины C6-14ароматическая циклическая углеводородная группа и арильная группа означают ароматическую циклическую углеводородную группу, которая состоит из 6 до 14 углеродных атомов, и также включают моноциклическую группу и конденсированную группу дициклической группы, трициклической группы и т.п. Конкретные примеры вышеуказанной группы включают фенильную группу, инденильную группу, 1-нафтильную группу, 2-нафтильную группу, азуленильную группу, гепталенильную группу, бифенильную группу, индатенильную группу, аценафтильную группу, флуоренильную группу, феналенильную группу, фенантренильную группу, антраценильную группу, циклопентациклооктенильную группу, бензоциклооктенильную группу и т.д.
Используемые в настоящем изобретении термины 5-14-членная ароматическая гетероциклическая группа и гетероарильная группа означают 5-14-членную ароматическую гетероциклическую группу моноциклического типа, дициклического типа или трициклического типа, которая содержит один или несколько гетероатомов, выбранных из группы, которая состоит из атома азота, атома серы и атома кислорода. Например, конкретные примеры указанной группы включают 1) ароматические гетероциклические группы, содержащие азот, такие как пирролильная группа, пиридильная группа, пиридазинильная группа, пиримидинильная группа, пиразинильная группа, триазолильная группа, тетразолильная группа, бензотриазолильная группа, пиразолильная группа, имидазолильная группа, бензимидазолильная группа, индолильная группа, изоиндолильная группа, индолизинильная группа, пренильная группа, индазолильная группа, хинолильная группа, изохинолильная группа, хинолизинильная группа, фталазильная группа, нафтилидинильная группа, хиноксалильная группа, хиназолинильная группа, циннолинильная группа, птеридинильная группа, имидазотриазинильная группа, пиразинопиридазинильная группа, акридинильная группа, фенантридинильная группа, карбазолильная группа, карбазолинильная группа, пиримидинильная группа, фенантролинильная группа, фенацинильная группа, имидазопиридинильная группа, имидазопиримидинильная группа, пиразолопиридинильная группа, пиразолопиридинильная группа и т.д.; 2) ароматические гетероциклические группы, содержащие атом серы, такие как тиенильная группа и бензотиенильная группа; 3) ароматические гетероциклические группы, содержащие кислород, такие как фурильная группа, пиранильная группа, циклопентапиранильная группа, бензофурильная группа и изобензофурильная группа и т.д.; и 4) ароматические гетероциклические группы, содержащие 2 или большее число различных гетероатомов, такие как тиазолильная группа, изотиазолильная группа, бензотиазолильная группа, бензотиадиазолильная группа, фенотиазинильная группа, изоксазолильная группа, фуразанильная группа, феноксазинильная группа, оксазолильная группа, изоксазоильная группа, бензоксазолильная группа, оксадиазолильная группа, пиразолоксадиазолильная группа, имидазотиазолильная группа, тиенофуранильная группа, фуропирролильная группа и пиридоксадинильная группа и т.д.
Группы, обозначенные A, A1, A2 и A3 в формуле (I) и (II) в настоящем изобретении, означают, независимо, необязательно замещенную C3-8циклоалкильную группу, необязательно замещенную C3-8циклоалкенильную группу, необязательно замещенную 5-14-членную неароматическую гетероциклическую группу, необязательно замещенную C6-14ароматическую циклическую углеводородную группу или необязательно замещенную 5-14-членную ароматическую гетероциклическую группу, и каждая из групп имеет такие же значения, как в представленных выше определениях соответственно. Выбор предпочтительной группы для A, A1, A2 и A3 специально не ограничен, однако более предпочтительная группа включает фенильную группу, пирролильную группу, пиридильную группу, пиридазинильную группу, пиримидинильную группу, пиразинильную группу, тиенильную группу, тиазолильную группу, фурильную группу, нафтильную группу, хинолильную группу, изохинолильную группу, индолильную группу, бензимидазолильную группу, бензотиазолильную группу, бензоксазолильную группу, имидазопиридильную группу, карбазолильную группу, циклопентильную группу, циклогексильную группу, циклогексенильную группу, диоксинильную группу, адамантильную группу, пирролидинильную группу, пиперидильную группу, пиперазинильную группу и морфолинильную группу, которые могут быть замещенными соответственно и т.д. Более предпочтительная группа включает группу, представленную формулой

которая может необязательно иметь один или несколько заместителей соответственно и т.д., и наиболее предпочтительная группа включает группу, представленную формулой

которая может необязательно иметь заместители соответственно и т.д.
Примеры предпочтительной группы для заместителя групп, обозначенных A, A1, A2 и A3 в формуле (I) и (II), включают группу, такую как гидроксигруппа, атом галогена, нитрильная группа, нитрогруппа, C1-6алкильная группа, C2-6алкенильная группа, C2-6алкинильная группа, C1-6алкоксигруппа, C2-6алкенилоксигруппа, C2-6алкинилоксигруппа, C1-6алкилтиогруппа, C2-6алкенилтиогруппа, C2-6алкинилтиогруппа, аминогруппа, замещенная карбонильная группа, C1-6алкилсульфонильная группа, C2-6алкенилсульфонильная группа, C2-6алкинилсульфонильная группа, C1-6алкилсульфинильная группа, C2-6алкенилсульфинильная группа, C2-6алкинилсульфинильная группа, формильная группа, аралкильная группа, гетероарилалкильная группа, аралкилоксигруппа, гетероарилалкилоксигруппа, C3-8циклоалкильная группа, C3-8циклоалкенильная группа, 5-14-членная неароматическая гетероциклическая группа, C6-14ароматическая углеводородная группа, 5-14-членная ароматическая гетероциклическая группа и т.д., которая может быть замещена соответственно.
Примеры подходящей группы для атома галогена включают атом фтора, атом хлора, атом брома, атом йода и т.д., и более предпочтительный пример указанной группы включает атом фтора, атом хлора и атом брома.
Примеры предпочтительной группы для термина C1-6алкильная группа, которая может необязательно иметь заместители включают метильную группу, этильную группу, н-пропильную группу, изопропильную группу, н-бутильную группу, изобутильную группу, трет-бутильную группу, н-пентильную группу, изопентильную группу, неопентильную группу, н-гексильную группу, 1-метилпропильную группу, 1,2-диметилпропильную группу, 2-этилпропильную группу, 1-метил-2-этилпропильную группу, 1-этил-2-метилпропильную группу, 1,1,2-триметилпропильную группу, 1-метилбутильную группу, 2-метилбутильную группу, 1,1-диметилбутильную группу, 2,2-диметилбутильную группу, 2-этилбутильную группу, 1,3-диметилбутильную группу, 2-метилпентильную группу, 3-метилпентильную группу и т.д. Примеры предпочтительной группы для термина
C2-6алкенильная группа, которая может необязательно иметь заместители включают винильную группу, аллильную группу, 1-пропенильную группу, изопропенильную группу, 1-бутен-1-ильную группу, 1-бутен-2-ильную группу, 1-бутен-3-ильную группу, 2-бутен-1-ильную группу, 2-бутен-2-ильную группу и т.д., которая может быть замещена соответственно. Примеры предпочтительной группы для термина C2-6алкинильная группа, которая может необязательно иметь один или несколько заместителей включают этинильную группу, 1-пропинильную группу, 2-пропинильную группу, бутинильную группу, пентинильную группу, гексинильную группу и т.д., которая может быть замещена соответственно. Кроме того, предпочтительные примеры заместителей в термине которая может необязательно иметь один или несколько заместителей включают 1 или несколько групп, выбранных из гидроксигруппы, нитрильной группы, атома галогена, N-C1-6алкиламиногруппы, N,N-ди-C1-6алкиламиногруппы, N-C2-6алкениламиногруппы, N,N-ди-C2-6алкениламиногруппы, N-C2-6алкиниламиногруппы, N,N-ди-C2-6алкиниламиногруппы, C6-14ароматической циклической углеводородной группы (например, фенильной группы и т.д.), 5-14-членной ароматической гетероциклической группы (например, тиенильной группы, фурильной группы, пиридильной группы, пиридазинильной группы, пиримидинильной группы, пиразинильной группы и т.д.), аралкилоксигруппы, гетероарилоксигруппы, TBDMS-оксигруппы, C1-6алкилсульфониламиногруппы, C2-6алкенилсульфониламиногруппы, C2-6алкинилсульфониламиногруппы, C1-6алкилкарбонилоксигруппы, C2-6алкенилкарбонилоксигруппы, C2-6алкинилкарбонилоксигруппы, C1-6алкилкарбамоильной группы, C2-6алкенилкарбамоильной группы, C2-6алкинилкарбамоильной группы и т.п.
Предпочтительные примеры для термина C1-6алкоксигруппа, которая может необязательно иметь заместители включают метоксигруппу, этоксигруппу, н-пропоксигруппу, изопропоксигруппу, втор-пропоксигруппу, н-бутоксигруппу, изобутоксигруппу, втор-бутоксигруппу, трет-бутоксигруппу, н-пентоксигруппу, изопентоксигруппу, втор-пентоксигруппу, трет-пентоксигруппу, н-гексоксигруппу, изогексоксигруппу, 1,2-диметилпропоксигруппу, 2-этилпропоксигруппу, 1-метил-2-этилпропоксигруппу, 1-этил-2-метилпропоксигруппу, 1,1,2-триметилпропоксигруппу, 1,1-диметилбутоксигруппу, 2,2-диметилбутоксигруппу, 2-этилбутоксигруппу, 1,3-диметилбутоксигруппу, 2-метилпентоксигруппу, 3-метилпентоксигруппу, гексилоксигруппу и т.д. Предпочтительные примеры для термина C2-6алкенилоксигруппа, которая может необязательно иметь заместители включают винилоксигруппу, аллилоксигруппу, 1-пропенилоксигруппу, изопропенилоксигруппу, 1-бутен-1-илоксигруппу, 1-бутен-2-илоксигруппу, 1-бутен-3-илоксигруппу, 2-бутен-1-илоксигруппу, 2-бутен-2-илоксигруппу и т.д. Предпочтительные примеры для термина C2-6алкинилоксигруппа, которая может необязательно иметь заместители включают этинилоксигруппу, 1-пропинилоксигруппу, 2-пропинилоксигруппу, бутинилоксигруппу, пентинилоксигруппу, гексинилоксигруппу и т.д. Кроме того, предпочтительные примеры заместителя для термина которая может необязательно иметь заместители включают 1 или несколько групп, выбранных из C1-6 алкиламиногруппы, аралкилоксигруппы, гидроксигруппы и т.п.
Соответственно предпочтительные примеры для терминов C1-6алкилтиогруппа, которая может необязательно иметь заместители , C2-6алкенилтиогруппа, которая может необязательно иметь заместители и C2-6алкинилтиогруппа, которая может необязательно иметь заместители включают C1-6алкилтиогруппу (например, метилтиогруппа, этилтиогруппа, н-пропилтиогруппа, изопропилтиогруппа, н-бутилтиогруппа, изо-бутилтиогруппа, трет-бутилтиогруппа, н-пентилтиогруппа, изопентилтиогруппа, неопентилтиогруппа, н-гексилтиогруппа и т.д.), которая может быть необязательно замещена 1 или несколькими группами, выбранными из группы, состоящей из гидроксигруппы, атома галогена, нитрильной группы и нитрогруппы, C2-6алкенилтиогруппу (например, винилтиогруппа, аллилтиогруппа, 1-пропенилтиогруппа, изопропенилтиогруппа, 1-бутен-1-илтиогруппа, 1-бутен-2-илтиогруппа, 1-бутен-3-илтиогруппа, 2-бутен-1-илтиогруппа, 2-бутен-2-илтиогруппа и т.д.) и C2-6алкинилтиогруппу (например, этинилтиогруппа, 1-пропинилтиогруппа, 2-пропинилтиогруппа, бутинилтиогруппа, пентинилтиогруппа, гексинилтиогруппа и т.д.).
Предпочтительные примеры для термина карбонильная группа, которая замещена включают группу, которая представлена формулой -CO-W (примеры W в вышеупомянутой формуле включают C1-6алкильную группу, C2-6алкенильную группу, C2-6алкинильную группу, C1-6алкоксигруппу, аминогруппу, N-C1-6алкиламиногруппу,
N,N-ди(C1-6алкил)аминогруппу, N-C2-6алкениламиногруппу,
N,N-ди(C2-6алкенил)аминогруппу, N-C2-6алкиниламиногруппу,
N,N-ди(C2-6алкинил)аминогруппу, N-C1-6алкил-N-C2-6 алкениламиногруппу, N-C1-6алкил-N-C2-6 алкиниламиногруппу, N-C2-6алкенил-N-C2-6алкиниламиногруппу и т.д.).
Примеры заместителя в термине аминогруппа, которая может необязательно иметь заместители включают 1 или 2 группы, выбранные из C1-6алкильной группы, C2-6алкенильной группы, C2-6алкинильной группы, C1-6алкилсульфонильной группы, C2-6алкенилсульфонильной группы, C2-6алкинилсульфонильной группы, C1-6алкилкарбонильной группы, C2-6алкенилкарбонильной группы, C2-6алкинилкарбонильной группы и т.д., которая может быть замещенной соответственно. Предпочтительные примеры для заместителя C1-6алкильной группы, C2-6алкенильной группы, C2-6алкинильной группы, C1-6алкилсульфонильной группы, C2-6алкенилсульфонильной группы, C2-6алкинилсульфонильной группы, C1-6алкилкарбонильной группы, C2-6алкенилкарбонильной группы и C2-6алкинилкарбонильной группы включают гидроксигруппу, атом галогена, нитрильную группу, C1-6алкоксигруппу, C1-6алкилтиогруппу и т.д. Особенно предпочтительные примеры для термина аминогруппа, которая может необязательно иметь заместители , в частности, включают метиламиногруппу, этиламиногруппу, н-пропиламиногруппу, изопропиламиногруппу, н-бутиламиногруппу, изобутиламиногруппу, трет-бутиламиногруппу, н-пентиламиногруппу, изо-пентиламиногруппу, неопентиламиногруппу, н-гексиламиногруппу, 1-метилпропиламиногруппу, 1,2-диметилпропиламиногруппу, 2-этилпропиламиногруппу, 1-метил-2-этилпропиламиногруппу, 1-этил-2-метилпропиламиногруппу, 1,1,2-триметилпропиламиногруппу, 1-метилбутиламиногруппу, 2-метилбутиламиногруппу, 1,1-диметилбутиламиногруппу, 2,2-диметилбутиламиногруппу, 2-этилбутиламиногруппу, 1,3-диметилбутиламиногруппу, 2-метилпентиламиногруппу, 3-метилпентиламиногруппу, N,N-диметиламиногруппу, N,N-диэтиламиногруппу, N,N-ди(н-пропил)аминогруппу, N,N-ди(изопропил)аминогруппу, N,N-ди(н-бутил)аминогруппу, N,N-ди(изобутил)аминогруппу, N,N-ди(трет-бутил)аминогруппу, N,N-ди(н-пентил)аминогруппу, N,N-ди(изопентил)аминогруппу, N,N-ди(неопентил)аминогруппу, N,N-ди(н-гексил)аминогруппу, N,N-ди(1-метилпропил)аминогруппу, N,N-ди-(1,2-диметилпропил)аминогруппу, N-метил-N-этиламиногруппу, N-этил-N-(н-пропил)аминогруппу, N-этил-N-(изопропил)аминогруппу, виниламиногруппу, аллиламиногруппу, (1-пропенил)аминогруппу, изопропениламиногруппу, (1-бутен-1-ил)аминогруппу, (1-бутен-2-ил)аминогруппу, (1-бутен-3-ил)аминогруппу, (2-бутен-1-ил)аминогруппу, (2-бутен-2-ил)аминогруппу, N,N-дивиниламиногруппу, N,N-диаллиламиногруппу, N,N-ди(1-пропенил)аминогруппу, N,N-ди(изопропенил)аминогруппу, N-винил-N-аллиламиногруппу, этиниламиногруппу, 1-пропиниламиногруппу, 2-пропиниламиногруппу, бутиниламиногруппу, пентиниламиногруппу, гексиниламиногруппу, N,N-диэтиниламиногруппу, N,N-ди(1-пропинил)аминогруппу, N,N-ди(2-пропинил)аминогруппу, N,N-дибутиниламиногруппу, N,N-дипентиниламиногруппу, N,N-дигексиниламиногруппу, гидроксиметиламиногруппу, 1-гидроксиэтиламиногруппу, 2-гидроксиэтиламиногруппу, 3-гидрокси-н-пропиламиногруппу, метилсульфониламиногруппу, этилсульфониламиногруппу, н-пропилсульфониламиногруппу, изопропилсульфониламиногруппу, н-бутилсульфониламиногруппу, трет-бутилсульфониламиногруппу, винилсульфониламиногруппу, аллилсульфониламиногруппу, изопропенилсульфониламиногруппу, изопентенилсульфониламиногруппу, этинилсульфониламиногруппу, метилкарбониламиногруппу, этилкарбониламиногруппу, н-пропилкарбониламиногруппу, изопропилкарбониламиногруппу, н-бутилкарбониламиногруппу, трет-бутилкарбониламиногруппу, винилкарбониламиногруппу, аллилкарбониламиногруппу, изопропенилкарбониламиногруппу, изопентенилкарбониламиногруппу, этинилкарбониламиногруппу и т.д.
Особенно предпочтительные примеры для терминов C1-6алкилсульфонильная группа, которая может необязательно иметь один или несколько заместителей , C2-6алкенилсульфонильная группа, которая может необязательно иметь один или несколько заместителей , C2-6алкинилсульфонильная группа, которая может необязательно иметь один или несколько заместителей , C1-6алкилсульфинильная группа, которая может необязательно иметь один или несколько заместителей , C2-6алкенилсульфинильная группа, которая может необязательно иметь один или несколько заместителей и C2-6алкинилсульфинильная группа, которая может необязательно иметь один или несколько заместителей включают метилсульфонильную группу, этилсульфонильную группу, н-пропилсульфонильную группу, изопропилсульфонильную группу, н-бутилсульфонильную группу, трет-бутилсульфонильную группу, винилсульфонильную группу, аллилсульфонильную группу, изопропенилсульфонильную группу, изопентенилсульфонильную группу, этинилсульфонильную группу, метилсульфинильную группу, этилсульфинильную группу, н-пропилсульфинильную группу, изопропилсульфинильную группу, н-бутилсульфинильную группу, трет-бутилсульфинильную группу, винилсульфинильную группу, аллилсульфинильную группу, изопропенилсульфинильную группу, изопентенилсульфинильную группу, этинилсульфинильную группу и т.д.
Предпочтительные примеры для аралкильной группы и гетероарилалкильной группы включают бензильную группу, фенетильную группу, нафтилметильную группу, нафтилэтильную группу, пиридилметильную группу, пиридилэтильную группу, тиенилметильную группу, тиенилэтильную группу и т.д., предпочтительные примеры для аралкилоксигруппы включают бензилоксигруппу, фенетилоксигруппу, фенилпропоксигруппу, нафтилметилоксигруппу, нафтилэтилоксигруппу, нафтилпропилоксигруппу и т.д. и предпочтительные примеры для гетероарилалкилоксигруппы включают пиридилметилоксигруппу, пиразинилметилоксигруппу, пиримидинилметилоксигруппу, пирролилметилоксигруппу, имидазолилметилоксигруппу, пиразолилметилоксигруппу, хинолилметилоксигруппу, изохинолилметилоксигруппу, фулфурилоксигруппу, тиенилметилоксигруппу, тиазолилметилоксигруппу и т.д.
Предпочтительные примеры для терминов C3-8циклоалкильная группа, которая может необязательно иметь один или несколько заместителей и C3-8циклоалкенильная группа, которая может необязательно иметь один или несколько заместителей включают C3-8циклоалкильную группу (например, циклопропильную группу, циклобутильную группу, циклопентильную группу, циклогексильную группу, циклогептильную группу и т.п.) и C3-8циклоалкенильную группу (например, циклопропенильную группу, циклопропенильную группу, циклобутенильную группу, циклопентенильную группу, циклогексенильную группу, циклогептенильную группу и т.п.), которая может быть необязательно замещена соответственно 1 или несколькими группами, выбранными из гидроксигруппы, атома галогена, нитрильной группы, C1-6алкильной группы (например, метильной группы, этильной группы, н-пропильной группы, изо-пропильной группы, н-бутильной группы, изобутильной группы, трет-бутильной группы, н-пентильной группы, изопентильной группы, неопентильной группы, н-гексильной группы и т.д.), C1-6алкоксигруппы (например, метоксигруппы, этоксигруппы, н-пропоксигруппы, изопропоксигруппы, втор-пропоксигруппы, н-бутоксигруппы, изобутоксигруппы, втор-бутоксигруппы, трет-бутоксигруппы, н-пентоксигруппы, изопентоксигруппы, втор-пентоксигруппы, трет-пентоксигруппы, н-гексоксигруппы и т.д.), C1-6алкоксиC1-6алкильной группы, аралкильной группы (например, бензильной группы, фенетильной группы, нафтилметильной группы, нафтилэтильной группы и т.д.) и т.п.
Предпочтительные примеры 5-14-членной неароматической гетероциклической группы , C6-14ароматической циклической углеводородной группы и 5-14-членной ароматической гетероциклической группы в терминах необязательно замещенная 5-14-членная неароматическая гетероциклическая группа , необязательно замещенная
C6-14ароматическая циклическая углеводородная группа и необязательно замещенная 5-14-членная ароматическая гетероциклическая группа специально не ограничены, однако более предпочтительная 5-14-членная неароматическая гетероциклическая группа включает пирролидинильную группу, пирролинильную группу, пиперидильную группу, пиперазинильную группу, имидазолидинильную группу, пиразолидинильную группу, морфолинильную группу, фталимидоильную группу, сукцинимидоильную группу и т.д.; более предпочтительная C6-14ароматическая циклическая углеводородная группа включает фенильную группу, инденильную группу, нафтильную группу, азуленильную группу, гепталенильную группу, бифенильную группу и т.д.; более предпочтительная 5-14-членная ароматическая гетероциклическая группа включает пирролильную группу, пиридильную группу, пиридазинильную группу, пиримидинильную группу, пиразинильную группу, пиразолильную группу, имидазолильную группу, тиенильную группу, фурильную группу, тиазолильную группу, изотиазолильную группу, хинолильную группу, изохинолильную группу, индолильную группу, бензимидазолильную группу, бензотиазолильную группу, бензоксазолильную группу, карбазолильную группу, диоксинильную группу и т.д. соответственно. Кроме того, предпочтительные примеры заместителя в термине которая может необязательно иметь один или несколько заместителей включают 1 или несколько групп, выбранных из гидроксигруппы, атома галогена (например, атома фтора, атома хлора, атома брома, атома йода и т.д.), нитрильной группы, C1-6алкильной группы (например, метильной группы, этильной группы, н-пропильной группы, изопропильной группы, н-бутильной группы, изобутильной группы, трет-бутильной группы, н-пентильной группы, изопентильной группы, неопентильной группы, н-гексильной группы и т.д.), C1-6алкоксигруппы (метоксигруппы, этоксигруппы, н-пропоксигруппы, изопропоксигруппы, втор-пропоксигруппы, н-бутоксигруппы, изобутоксигруппы, втор-бутоксигруппы, трет-бутоксигруппы, н-пентоксигруппы, изопентоксигруппы, втор-пентоксигруппы, трет-пентоксигруппы, н-гексоксигруппы и т.д.), C1-6алкоксиC1-6алкильной группы (например, метоксиметильной группы, метоксиэтильной группы, этоксиметильной группы, этоксиэтильной группы и т.д.), аралкильной группы (например, бензильной группы, фенетильной группы, нафтилметильной группы, нафтилэтильной группы и т.д.) и т.п. Кроме того, в качестве заместителей также являются предпочтительными аминогруппа, циклическая аминогруппа и алкоксиаминогруппа, которые могут необязательно иметь заместители.
Q в формуле (I) и (II) означает NH, O или S, предпочтительно O.
Группы, обозначенные X, X1, X2 и X3 в настоящем изобретении, означают одинаковую или отличную простую (одинарную) связь, необязательно замещенную C1-6алкиленовую группу, необязательно замещенную C2-6алкениленовую группу, необязательно замещенную C2-6алкиниленовую группу, -O-, -S-, -CO-, -SO-, -SO2-,
-N(R6)-, -N(R7)-CO-, -CO-N(R8)-, -N(R9)-CH2-, -CH2-N(R10)-, -CH2-CO-,
-CO-CH2-, -N(R11)-S(O)m-, -S(O)n-N(R12)-, -CH2-S(O)p-, -S(O)q-CH2-, -CH2-O-, -O-CH2-, -N(R13)-CO-N(R14)- или -N(R15)-CS-N(R16)- (где R6, R7, R8, R9, R10, R11, R12, R13, R14, R15 и R16 означают атом водорода, C1-6 алкильную группу или C1-6 алкоксигруппу и m, n, p и q представляют целое число, равное, независимо, 0, 1 или 2).
Особенно предпочтительные примеры для вышеупомянутого термина C1-6алкиленовая группа представляет алкиленовая группа, имеющая от 1 до 3 углеродов, и примеры указанной группы включают -CH2-, -(CH2)2-, -CH(CH3)-, -(CH2)3-, -CH(CH3)-CH2-, -CH2-CH(CH3)- и т.д. Особенно предпочтительный пример для вышеупомянутого термина C2-6алкениленовая группа представляют алкениленовая группа, имеющая 2 или 3 углерода, и примеры указанной группы включают
-CH=CH-, -CH=CH-CH2-, -CH2-CH=CH-, -C(CH3)=CH-, -CH=C(CH3)- и т.д. Особенно предпочтительный пример для вышеупомянутого термина C2-6алкиниленовая группа представляет алкиниленовая группа, имеющая 2 или 3 углерода, и примеры указанной группы включают -C C-, -C C-CH2-, -CH2-C C- и т.д. Предпочтительные примеры заместителя для групп, обозначенных X, X1, X2 и X3, в терминах C1-6алкиленовая группа, которая может необязательно иметь один или несколько заместителей , C2-6алкениленовая группа, которая может необязательно иметь один или несколько заместителей или C2-6алкиниленовая группа, которая может необязательно иметь один или несколько заместителей , включают атом галогена (например, атом фтора, атом хлора, атом брома, атом йода и т.д.), гидроксигруппу, нитрильную группу, нитрогруппу и т.д.
Предпочтительная C1-6алкильная группа, представленная R6, R7, R8, R9, R10, R11, R12, R13, R14, R15 и R16, включает метильную группу, этильную группу, н-пропильную группу, изопропильную группу, н-бутильную группу, трет-бутильную группу и т.д., и предпочтительная C2-6алкоксигруппа включает метоксигруппу, этоксигруппу, н-пропоксигруппу, изопропоксигруппу, н-бутоксигруппу, трет-бутоксигруппу и т.д.
Предпочтительная группа для X, X1, X2 и X3 в вышеупомянутой формуле (I) и (II) включает простую связь, -CH2-, -CH(OH)-, -CH(CN)-, -CH2-CH2-, -CH(OH)-CH2-, -CH(CN)-CH2-, -CH2-CH(OH)-, -CH2-CH(CN)-, -CH=CH-, -CH=CH-CH2-, -CH=CH-CH(OH)-, -CH=CH-CH(CN)-, -CH(OH)-CH=CH-,
-CH(CN)-CH=CH-, -C C-, -O-, -S-, -SO-, -SO2-, -CO-, -NH-CO-NH-, -NH-CS-NH- и т.п.; более предпочтительная группа включает простую связь, -CH2-, -CH(OH)-, -CH(CN)-,
-CH2-CH2-, -CH(OH)-CH2-, -CH(CN)-CH2-, -CH2-CH(OH)-, -CH2-CH(CN)-, -CH=CH-, -C C-, -CO- и т.п.; еще более предпочтительной группой являются -CH2-, -CH(OH)-, -CO- и наиболее предпочтительной является простая связь.
Предпочтительное соединение согласно настоящему изобретению представлено формулой

(где Q, R1, R2, R3, R4 и R5 имеют те же самые значения, как определено выше), его солью или его гидратом, специально не ограничено. Среди них предпочтительным соединением, его солью или его гидратом является соединение, где R1 (а именно 1-положение кольца пиридона) представляет собой группу, представленную формулой -X-A (X и A имеют такие же значения, как определено выше), два из остаточных R2, R3, R4 и R5 представляют группу формулы -X-A (X и A имеют такие же значения, как определено выше), а другие два представляют атом водорода, атом галогена или C1-6алкильную группу; а именно соединение, представленное формулой

(где Q, X1, X2, X3, A1, A2, A3, R17 и R18 имеют такие же значения, как определено выше), его соль или его гидраты. Более предпочтительным является соединение, его соль или его гидраты, где в вышеупомянутой формуле (II) Q представляет собой кислород; а именно соединение пиридона, представленное формулой

(где X1, X2, X3, A1, A2, A3, R17 и R18 имеют такие же значения, как определено выше), его соль или его гидраты. Другим предпочтительным соединением является соединение, его соль или его гидраты, где в вышеупомянутой формуле (III) R17 и R18 представляют атомы водорода; а именно 1,3,5-замещенное соединение пиридона, представленное формулой

(где X1, X2, X3, A1, A2 и A3 имеют такие же значения, как определено выше), его соль или его гидраты. Наиболее предпочтительным соединением является соединение, его соль или его гидраты, где в вышеупомянутой формуле (IV) X1, X2 и X3 представляют простые связи; а именно 1,3,5-замещенное соединение пиридона, представленное формулой

(где A1, A2 и A3 имеют такие же значения, как определено выше), его соль или его гидраты. Предпочтительными группами для A1, A2 и A3 являются те, которые указаны выше.
Нет особого ограничения для соли в описании настоящего изобретения до тех пор, пока соль, образуемая с соединением настоящего изобретения, представляет собой фармакологически приемлемую соль. Предпочтительно соль с галогенидом водорода (как, например, гидрофторид, гидрохлорид, гидробромид и гидроиодид и т.д.), соль с неорганической кислотой (как, например, сульфат, нитрат, перхлорат, фосфат, карбонат и бикарбонат и т.д.), соль с органической кислотой (как, например, ацетат, трифторацетат, оксалат, малеат, тартрат, фумарат и цитрат и т.д.), соль с органической сульфокислотой (как, например, метансульфонат, трифторметансульфонат, этансульфонат, бензолсульфонат, толуолсульфонат и камфорсульфонат и т.д.), соль с аминокислотой (как, например, аспартат и глутамат и т.д.), соль с четвертичным амином, соль с щелочным металлом (как, например, соль натрия и соль калия и т.д.) и соль с щелочноземельным металлом (как, например, соль магния и соль кальция и т.д.). Более предпочтительными примерами фармакологически приемлемой соли являются гидрохлорид и оксалат и т.д.
Ниже иллюстрируются способы получения соединений, представленных вышеупомянутыми формулами (I) и (II) в соответствии с настоящим изобретением.
Схема способа получения 1

где A1, A2 и A3 могут быть одинаковыми или отличными друг от друга и каждая означает необязательно замещенную C3-8циклоалкильную группу, C3-8циклоалкенильную группу, 5-14-членную неароматическую гетероциклическую группу, C6-14ароматическую циклическую углеводородную группу или 5-14-членную ароматическую гетероциклическую группу; Z1 и Z2 являются одинаковыми или отличными друг от друга и каждая представляет собой атомы галогена; и X1, X2 и X3 имеют такие же значения, как определено выше. В настоящей схеме способа получения наиболее предпочтительными A1, A2 и A3 являются необязательно замещенная C6-14ароматическая циклическая углеводородная группа или 5-14-членная ароматическая гетероциклическая группа. Вышеупомянутая схема способа получения 1 представляет собой способ получения соединения (I-1), которое имеет отношение к настоящему изобретению, путем введения A1, A2 и A3 в соединение пиридона, которое имеет заместители Z1 и Z2. А именно соединение (I-1), которое имеет отношение к настоящему изобретению, можно получить способом, который предусматривает реакцию сочетания соединения пиридона (i), которое имеет заместители Z1 и Z2 , и соединения арилбороновой кислоты, используя соединение меди, с получением соединения (ii), и затем A2 и A3 вводят в соединение (ii), осуществляя реакцию сочетания с металлорганическим соединением, используя катализатор переходного металла, или борорганическим соединением, предпочтительно осуществляя реакцию сочетания с производным арилолова, производным арилцинка или производным арилбороновой кислоты, используя катализатор палладия. Предпочтительное соединение арилбороновой кислоты, которое используют для получения соединения (ii), различается в зависимости от исходного вещества, используемого растворителя и т.п., и выбор его специально не ограничен, если не нарушается ход реакции, тем не менее, можно использовать соединение арилбороновой кислоты, которое в качестве арильной группы имеет группу, соответствующую вводимой A1, предпочтительно такое, как соединение фенилбороновой кислоты, которое может быть необязательно замещенным, гетероциклическое соединение бороновой кислоты, которое может быть необязательно замещенным, или т.п. Предпочтительный результат может быть также получен при проведении настоящей реакции в присутствии основания, и в этом случае выбор используемого основания различается в зависимости от исходного вещества, используемого растворителя и т.п. В тех случаях, когда в реакции сочетания настоящего изобретения используют основание, выбор его специально не ограничен, и предпочтительно используют триэтиламин, пиридин, тетраметилэтилендиамин и т.п. Предпочтительные примеры используемого соединения меди включают ацетат меди, хлорид ди-µ-гидроксо-бис[(N,N,N’,N’-тетраметилэтилендиамин)меди (II)] и т.п. Более предпочтительный результат можно получить, осуществляя реакцию получения соединения (ii) из (i) в присутствии растворителя. Используемый растворитель отличается в зависимости от исходного вещества, реагента и т.п., и выбор его специально не ограничен при условии, что он инертен по отношению к реакции и растворяет исходное вещество в определенном количестве. Предпочтительно предполагается использовать дихлорметан, тетрагидрофуран, этилацетат и т.п. Кроме того, данную реакцию осуществляют в атмосфере кислорода или в потоке воздуха, и посредством этого могут быть получены хорошие результаты (снижение времени протекания реакции и улучшение выхода и т.д.). Соединение арилолова, соединение арилцинка или соединение арилбороновой кислоты, которое используют для реакции получения соединения (I-1) путем введения A2 и A3 в соединение (ii), отличается в зависимости от исходного вещества, используемого растворителя и т.п., и выбор его специально не ограничен, если не нарушается ход реакции, тем не менее, предпочтительно могут быть использованы соединение фенилолова, которое может быть необязательно замещенным, оловосодержащее гетероциклическое соединение, которое может быть необязательно замещенным, соединение фенилцинка, которое может быть необязательно замещенным, цинксодержащее гетероциклическое соединение, которое может быть необязательно замещенным, соединение фенилбороновой кислоты, которое может быть необязательно замещенным, гетероциклическое соединение бороновой кислоты, которое может быть необязательно замещенным, соединение арилолова, соединение арилцинка или соединение арилбороновой кислоты, которое в качестве арильной группы имеет группу, соответствующую вводимой A2 или A3. Предпочтительный результат можно также получить посредством данной реакции в присутствии основания, и в этом случае выбор используемого основания отличается в зависимости от исходного вещества, используемого растворителя и т.п. Кроме того, выбор его специально не ограничен, если не нарушается ход реакции, и предпочтительно используют карбонат цезия, карбонат натрия, карбонат калия и т.п. Выбор используемого палладиевого катализатора, как правило, не ограничивается, и предпочтительно упоминаются известные палладиевые катализаторы, такие как тетракистрифенилфосфин-палладий и т.п. Реакцию получения соединения (I-1) путем введения A2 и A3 в вышеупомянутое соединение (ii) предпочтительно осуществляют в присутствии растворителя с точки зрения оптимизации процесса и режима перемешивания, и выбор используемого растворителя обычно специально не ограничен, тем не менее, предпочтительно упоминаются диметилформамид, толуол, ксилол, бензол и т.п. Температура реакции не ограничивается, и обычно это комнатная температура, или в условиях нагревания при температуре кипения с обратным холодильником, и предпочтительно от 50 до 160°C. Помимо этого, соединение (I-1), в соответствии с настоящим изобретением, можно также получить способом, согласно которому соединение пиридона (iii), после введения A1 и A2, вводят в борорганическое соединение или металлорганическое соединение, предпочтительно соединение бороновой кислоты, соединение олова или соединение цинка, и полученное производное подвергают реакции сочетания с галогенированным арильным производным, используя катализатор переходного металла, предпочтительно палладиевый катализатор.
Схема способа получения 2



где X1, X2, X3, A1, A2, A3, Z1 и Z2 имеют такие же значения, как определено выше; и Z3 означает защитную группу для гидроксигруппы спирта (например, C1-6алкильная группа, бензильная группа и т.п.). В данном способе получения наиболее предпочтительными A1, A2 и A3 являются необязательно замещенная C6-14ароматическая циклическая углеводородная группа или 5-14-членная ароматическая гетероциклическая группа. Соединение (I-1) согласно настоящему изобретению можно также получить введением A1, A2 и A3 в соединение пиридина (IV), имеющего заместители Z1 и -OZ3. Реакцию получения соединения (V) путем введения A3 в соединение (IV) можно осуществить, подвергая последнее реакции сочетания с металлорганическим реагентом или борорганическим реагентом, используя катализатор переходного металла, предпочтительно подвергая соединение (IV) реакции сочетания с производным арилолова, производным арилцинка или производным арилбороновой кислоты в присутствии основания, используя палладиевый катализатор. Производное арилолова, производное арилцинка или производное арилбороновой кислоты, используемое для данной реакции, различается в зависимости от исходного вещества, используемого растворителя и т.п., выбор вышеуказанного производного специально не ограничен, если при этом не нарушается ход реакции, тем не менее, предпочтительно могут быть использованы производные фенилолова, которое может быть необязательно замещенным, оловосодержащее гетероциклическое производное, которое может быть необязательно замещенным, производное фенилцинка, которое может быть необязательно замещенным, цинксодержащее гетероциклическое производное, которое может быть необязательно замещенным, производное фенилбороновой кислоты, гетероциклическое производное бороновой кислоты, которое может быть необязательно замещенным, производное арилцинка или производное арилбороновой кислоты, которое в качестве арильной группы имеет группу, соответствующую A3. Выбор используемого основания различается в зависимости от исходного вещества, используемого растворителя и т.п., и он специально не ограничен, если при этом не нарушается ход реакции, тем не менее, предпочтительно используют карбонат цезия, карбонат натрия, карбонат калия и т.п. Выбор используемого палладиевого катализатора, как правило, специально не ограничен, и предпочтительно упоминаются известный палладиевый комплекс, такой как тетракистрифенилфосфин-палладий и т.п. Кроме того, настоящую реакцию предпочтительно осуществляют в присутствии растворителя с точки зрения оптимизации процесса и режима перемешивания. Выбор используемого растворителя различается в зависимости от исходного вещества, используемого растворителя и т.п., и среди тех, которые растворяют исходное вещество до некоторой степени, выбор специально не ограничен, если при этом не нарушается ход реакции, тем не менее, предпочтительно упоминаются диметилформамид, толуол, ксилол, бензол и т.п. Температура реакции специально не ограничивается, и обычно это комнатная температура, или в условиях нагревания при температуре кипения с обратным холодильником, и предпочтительно от 50 до 160°C. Реакцию получения соединения пиридона (vi) путем снятия защиты Z3 можно осуществить несколькими известными способами, и, например, в качестве иллюстративного способа упоминается обычный способ, описанный в T.W.Greene and P.G.M.Wuts Protecting groups in organic synthesis 2nd Edition (1991) . Реакцию получения соединения пиридона (vii) путем введения заместителя Z2 в соединение (vi) можно осуществить известным способом галогенирования. Галогенирующий агент различается в зависимости от исходного вещества, используемого растворителя и т.п., и выбор его специально не ограничен, если при этом не нарушается ход реакции, тем не менее, предпочтительно используют бромирующий агент, такой как смесь уксусная кислота – бром, N-бромсукцинимид или т.п.; йодирующий агент, такой как йод, N-йодсукцинимид или т.п. Соединение (viii) можно получить, подвергая соединение (vii) и производное арилбороновой кислоты реакции сочетания, используя соединение меди, и путем введения A1. Выбор используемого производного арилбороновой кислоты обычно специально не ограничен, и могут быть использованы производное арилбороновой кислоты, которое может быть необязательно замещенным, гетероциклическое производное бороновой кислоты, которое может быть необязательно замещенным, и производное арилбороновой кислоты, которое в качестве арильной группы имеет группу, соответствующую вводимой A1. Предпочтительной результат можно также получить при проведении данной реакции в присутствии основания, и в этом случае выбор используемого основания различается в зависимости от исходного вещества, используемого растворителя и т.п. Кроме того, выбор основания специально не ограничен, и предпочтительно используют триэтиламин, пиридин, тетраметилэтилендиамин и т.п. Предпочтительные примеры используемого соединения меди включают ацетат меди, ди-µ-гидроксо-бис[(N,N,N’,N’-тетраметилэтилендиамин)медь(II)]хлорид и т.п. Кроме того, данную реакцию предпочтительно осуществляют в присутствии растворителя. Используемый растворитель обычно различается в зависимости от исходного вещества, реагента и т.п., и выбор его специально не ограничен при условии, что он инертен к протеканию реакции и растворяет исходные вещества до некоторой степени, тем не менее, предпочтительным растворителем является дихлорметан, тетрагидрофуран, этилацетат и т.п. Кроме того, настоящую реакцию предпочтительно осуществляют в атмосфере кислорода или в потоке воздуха, и благодаря этому можно получить хорошие результаты (снижение времени протекания реакции и улучшенный выход и т.д.). Конечную стадию получения соединения (I-1), имеющего отношение к настоящему изобретению, можно осуществить, подвергая соединение (viii) реакции сочетания с металлорганическим реагентом или борорганическим соединением, используя катализатор переходного металла, предпочтительно обеспечивая реакцию сочетания с производным арилолова, производным арилцинка или производным арилбороновой кислоты, используя палладиевый катализатор, и путем введения A2 в соединение (viii). Выбор производного арилолова, производного арилцинка или производного арилбороновой кислоты, которое используют, обычно специально не ограничивается, и предпочтительно могут быть использованы производное фенилолова, которое может быть необязательно замещенным, оловосодержащее гетероциклическое производное, которое может быть необязательно замещенным, производное фенилцинка, которое может быть необязательно замещенным, цинксодержащее гетероциклическое производное, которое может быть необязательно замещенным, производное фенилбороновой кислоты, гетероциклическое производное бороновой кислоты, которое может быть необязательно замещенным, производное арилолова, производное арилцинка или производное арилбороновой кислоты, которое в качестве арильной группы имеет группу, соответствующую вводимой A2. Последовательная реакция получения (I-1) из (viii), которая была упомянута в способе получения 2, может также обеспечить предпочтительный результат в присутствии основания, и в этом случае выбор используемого основания различается в зависимости от исходного вещества, используемого растворителя и т.п. Кроме того, выбор основания специально не ограничен, если при этом не нарушается ход реакции, и предпочтительно используют карбонат цезия, карбонат натрия, карбонат калия и т.д. Используемый палладиевый катализатор, как правило, специально не ограничивается, и предпочтительно упоминаются известные палладиевые катализаторы, такие как тетракистрифенилфосфин-палладий и т.п. Кроме того, наиболее подходящий результат можно получить, осуществляя данную реакцию в присутствии растворителя, и используемый растворитель, как правило, специально не ограничивается, и выбор используемого растворителя различается в зависимости от исходного вещества, реагента и т.п., и растворитель, который не нарушает хода реакции и растворяет исходное вещество до некоторой степени, специально не ограничивается, тем не менее, предпочтительно используют диметилформамид, толуол, ксилол, бензол и т.п. Температура реакции специально не ограничивается, и обычно это комнатная температура, или в условиях нагревания при температуре кипения с обратным холодильником, и предпочтительно от 50 до 160°C. Помимо вышеупомянутого, соединение (I-1), связанное с настоящим изобретением, можно также получить способом, согласно которому соединение пиридона (viii) после введения A1, вводят в борорганическое соединение или металлорганический реагент, предпочтительно соединение бороновой кислоты, соединение олова или соединение цинка, и полученное производное подвергают реакции сочетания с галогенированным арильным производным, используя катализатор переходного металла, предпочтительно палладиевый катализатор.
Схема способа получения 3


где X1, X2, X3, A1, A2, A3, Z1 и Z2 имеют такие же значения, как определено выше, и каждая из наиболее предпочтительных групп A1, A2 и A3 в настоящем способе получения представляет собой C6-14ароматическую циклическую углеводородную группу или 5-14-членную ароматическую гетероциклическую группу, которая может необязательно иметь один или несколько заместителей соответственно. Соединение (I-1) согласно настоящему изобретению можно также получить путем введения A1, A2 и A3 в 2-гидроксипиридин. Реакцию получения соединения (ix) можно проводить, обеспечивая реакцию сочетания с производным арилбороновой кислоты, используя соединение меди, реакцию Ульмана с галогенированным арильным производным или реакцию замещения с галогенированным арильным производным и путем введения A1 в 2-гидроксипиридин. Производное арилбороновой кислоты, используемое для реакции сочетания, отличается в зависимости от исходного вещества, реагента и т.п., и выбор его специально не ограничен, если не нарушается ход реакции. Предпочтительно можно использовать производное арилбороновой кислоты, в котором в качестве арильной группы используют группу, соответствующую вводимой A1, такое как производное фенилбороновой кислоты, которое может быть необязательно замещенным, гетероциклическое производное бороновой кислоты, которое может быть необязательно замещенным, и т.п. Предпочтительные результаты можно также получить посредством настоящей реакции в присутствии основания, и в этом случае используемое основание различается в зависимости от исходного вещества, используемого растворителя и т.п. Кроме того, выбор основания специально не ограничен, если не нарушается ход реакции, тем не менее, предпочтительным основанием является триэтиламин, пиридин, тетраметилэтилендиамин и т.п. Предпочтительные примеры используемого соединения меди включают ацетат меди,
ди-µ-гидроксо-бис[(N,N,N’,N’-тетраметилэтилендиамин)медь (II)]хлорид и т.п. Кроме того, данную реакцию предпочтительно осуществляют в присутствии растворителя. Используемый растворитель различается в зависимости от исходного вещества, реагента и т.п., и выбор растворителя, который не нарушает ход реакции и растворяет исходное вещество до некоторой степени, специально не ограничивается, тем не менее, предпочтительно используют дихлорметан, тетрагидрофуран, этилацетат и т.п. Кроме того, настоящую реакцию предпочтительно осуществляют в атмосфере кислорода или в токе воздуха, благодаря чему можно получить хорошие результаты (снижение времени протекания реакции и улучшенный выход и т.д.). Реакцию Ульмана осуществляют при температуре 60°C до нагревания при температуре кипения с обратным холодильником, предпочтительно от 100 до 200°C в присутствии основания, такого как карбонат калия, карбонат натрия или ацетат натрия, используя медь или соединение меди, такое как йодид меди, хлорид меди, бромид меди или т.п., которое, как правило, специально не ограничивают. Используемый растворитель различается в зависимости от исходного вещества, реагента и т.п., и выбор растворителя, который не нарушает хода реакции и растворяет исходное вещество до некоторой степени, специально не ограничен, тем не менее, предпочтительно используют диметилформамид, толуол, ксилол, тетралин, дихлорбензол, нитробензол и т.п. Реакция замещения галогенированным арильным производным специально не ограничивается, однако ее проводят в условиях от охлаждения льдом до нагревания при температуре кипения с обратным холодильником, предпочтительно при температуре от комнатной до 60°C, в растворителе, таком как тетрагидрофуран или диметилформамид или т.п., используя основание, такое как карбонат калия, гидрид натрия, гидрид калия, бутоксид натрия или бутоксид калия и т.п. Реакцию получения соединения (x) путем введения заместителя Z1 в соединение (ix) можно осуществить известным способом галогенирования. Используемый галогенирующий агент различается в зависимости от исходного вещества, используемого растворителя и т.п., и выбор его специально не ограничен, если не нарушается ход реакции, тем не менее, предпочтительно используют бромирующий агент, такой как смесь уксусная кислота – бром, N-бромсукцинимид или т.п., йодирующий агент, такой как йод, N-йодсукцинимид или т.п. Реакцию получения соединения (xi) путем введения A3 в соединение (x) можно осуществить, подвергая соединение (x) реакции сочетания с металлорганическим реагентом или борорганическим соединением, используя катализатор переходного металла, предпочтительно подвергая его реакции сочетания с производным арилолова, производным арилцинка или производным арилбороновой кислоты, в присутствии основания, используя палладиевый катализатор. Выбор производного арилолова, производного арилцинка или производного арилбороновой кислоты, которое используют для данной реакции, специально, как правило, не ограничен, тем не менее, предпочтительно могут быть использованы производное арилолова, производное арилцинка или производное арилбороновой кислоты, имеющее в качестве арильной группы группу, соответствующую A3, такое как производное фенилолова, которое может быть замещенным, оловосодержащее гетероциклическое производное, которое может быть необязательно замещенным, производное фенилцинка, которое может быть необязательно замещенным, цинксодержащее гетероциклическое производное, которое может быть необязательно замещенным, производное фенилбороновой кислоты, гетероциклическое производное бороновой кислоты, которое может быть необязательно замещенным. Используемое основание различается в зависимости от исходного вещества, используемого растворителя и т.п., и выбор его специально не ограничен, если не нарушается ход реакции, тем не менее, предпочтительно используют карбонат цезия, карбонат натрия, карбонат калия и т.п. Выбор используемого палладиевого катализатора, как правило, специально не ограничен, и предпочтительно упоминаются известные палладиевые катализаторы, такие как тетракистрифенилфосфин-палладий и т.п. Кроме того, данную реакцию предпочтительно осуществляют в присутствии растворителя с точки зрения оптимизации процесса и режима перемешивания. Используемый растворитель различается в зависимости от исходного вещества, используемого растворителя и т.п., и выбор растворителя, который не нарушает ход реакции и растворяет исходное вещество до некоторой степени, специально не ограничен, тем не менее, предпочтительно используют диметилформамид, толуол, ксилол, бензол и т.п. Температура реакции специально не ограничивается, и обычно это комнатная температура, или в условиях нагревания при температуре кипения с обратным холодильником, и предпочтительно от 50 до 160°C. Реакцию получения соединения (xii) путем введения заместителя Z2 в соединение (xi) можно осуществить известным способом галогенирования. Используемый галогенирующий агент различается в зависимости от исходного вещества, используемого растворителя и т.п., и выбор его специально не ограничен, если не нарушается ход реакции, тем не менее, предпочтительно используют бромирующий агент, такой как смесь уксусная кислота – бром, N-бромсукцинимид или т.п., йодирующий агент, такой как йод, N-йодсукцинимид или т.п. Конечную стадию получения соединения (I-1), связанного с настоящим изобретением, можно осуществить, подвергая соединение (xii) реакции сочетания с металлорганическим реагентом или борорганическим соединением, используя катализатор переходного металла, предпочтительно подвергая его реакции сочетания с производным арилолова, производным арилцинка или производным арилбороновой кислоты, используя палладиевый катализатор, и путем введения A2 в соединение (xii). Производное арилолова, производное арилцинка или производное арилбороновой кислоты, которое используют, различается в зависимости от исходного вещества, используемого растворителя и т.п., и выбор его специально не ограничен, если не нарушается ход реакции. Производное арилолова, производное арилцинка или производное арилбороновой кислоты, имеющей в качестве арильной группы группу, соответствующую вводимой A2, такое как производное фенилолова, которое может быть необязательно замещенным, оловосодержащее гетероциклическое производное, которое может быть необязательно замещенным, производное фенилцинка, которое может быть необязательно замещенным, цинксодержащее гетероциклическое производное, которое может быть необязательно замещенным, производное фенилбороновой кислоты, гетероциклическое производное бороновой кислоты, которое может быть замещенным, могут быть использованы. В это время используемое основание различается в зависимости от исходного вещества, используемого растворителя и т.п., и выбор его специально не ограничивается, если не нарушается ход реакции, тем не менее, предпочтительным основанием является карбонат цезия, карбонат натрия, карбонат калия и т.п. Используемый палладиевый катализатор различается в зависимости от исходного вещества, используемого растворителя и т.п., и выбор его специально не ограничен, если при этом не нарушается ход реакции, однако упоминаются известные палладиевые катализаторы, такие тетракисфенилфосфин-палладий и т.п. Кроме того, более предпочтительный результат может быть получен при осуществлении настоящей реакции в присутствии растворителя, и используемый растворитель при этом, как правило, специально не ограничивается, тем не менее, предпочтительно используют диметилформамид, толуол, ксилол, бензол и т.п. Температура реакции специально не ограничивается, и обычно это комнатная температура, или в условиях нагревания при температуре кипения с обратным холодильником, и предпочтительно от 50 до 160°C. Помимо вышеупомянутого, соединение (I-1) настоящего изобретения можно также получить способом, согласно которому соединение (xii) вводят в борорганическое соединение или металлорганический реагент, предпочтительно производное бороновой кислоты, соединение олова или соединение цинка или т.п., и полученное производное подвергают реакции сочетания с галогенированным арильным производным, используя катализатор переходного металла, предпочтительно палладиевый катализатор.
Схема способа получения 4



где X1, X2, X3, A1, A2, A3, Z1, Z2 и Z3 имеют такие же значения, как определено выше, и каждая из наиболее предпочтительных групп A1, A2 и A3 в настоящем способе получения представляет собой C6-14 ароматическую циклическую углеводородную группу или 5-14-членную ароматическую гетероциклическую группу, которая может необязательно иметь заместители соответственно. Соединение (I-1), связанное с настоящим изобретением, можно также получить путем введения A1, A2 и A3 в соединение (xiii), имеющее заместители Z1, Z2 и -OZ3. Реакцию получения соединения (xiv) путем введения A2 в соединение (xiii) можно осуществить, подвергая соединение (xiii) реакции сочетания с металлорганическим реагентом или борорганическим соединением, используя катализатор переходного металла, предпочтительно подвергая его реакции сочетания с производным арилолова, производным арилцинка или производным арилбороновой кислоты в присутствии основания, используя палладиевый катализатор. Используемое в настоящей реакции соединение арилолова, соединение арилцинка или производное арилбороновой кислоты различается, как правило, в зависимости от исходного вещества, реагента и т.п., и выбор его специально не ограничен, если при этом не нарушается ход реакции. Можно использовать соединение арилолова, соединение арилцинка или производное арилбороновой кислоты, имеющее в качестве арильной группы группу, соответствующую вводимой A2, такое как производное фенилолова, которое может быть замещенным, оловосодержащее гетероциклическое производное, которое может быть необязательно замещенным, производное фенилцинка, которое может быть необязательно замещенным, цинксодержащее гетероциклическое производное, которое может быть необязательно замещенным, производное фенилбороновой кислоты, гетероциклическое производное бороновой кислоты, которое может быть необязательно замещенным, и т.п. Используемое основание различается в зависимости от исходного вещества, используемого растворителя и т.п., и выбор его специально не ограничен, если не нарушается ход реакции, тем не менее, используют карбонат цезия, карбонат натрия, карбонат калия и т.п. Используемый палладиевый катализатор различается в зависимости от исходного вещества, используемого растворителя и т.п., и выбор его специально не ограничивается, если при этом не нарушается ход реакции, тем не менее, упоминаются известные палладиевые катализаторы, такие как тетракистрифенилфосфин-палладий. Кроме того, данную реакцию предпочтительно осуществляют в присутствии растворителя с точки зрения оптимизации процесса и режима перемешивания. Используемый растворитель различается в зависимости от исходного вещества, используемого растворителя и т.п., и выбор растворителя, который не нарушает хода реакции и растворяет исходное вещество до некоторой степени, специально не ограничен, тем не менее, предпочтительно используют диметилформамид, толуол, ксилол, бензол и т.п. Температура реакции специально не ограничивается, и обычно это комнатная температура, или в условиях нагревания при температуре кипения с обратным холодильником, и предпочтительно от 50 до 160°C. Реакцию получения соединения (xv) путем введения заместителя A3 в соединение (xiv) можно осуществить, подвергая соединение (xiv) реакции сочетания с металлорганическим соединением или борорганическим соединением, используя катализатор переходного металла, предпочтительно подвергая его реакции сочетания с соединением арилолова, соединением арилцинка или производным арилбороновой кислоты в присутствии основания, используя палладиевый катализатор. Используемое в настоящей реакции соединение арилолова, соединение арилцинка или производное арилбороновой кислоты обычно различается в зависимости от исходного вещества, реагента и т.п., и выбор его специально не ограничен, если не нарушается ход реакции. Предпочтительно может быть использовано соединение арилолова, соединение арилцинка или производное арилбороновой кислоты, имеющее в качестве арильной группы группу, соответствующую вводимой A3, как, например, производное фенилолова, которое может быть необязательно замещенным, оловосодержащее гетероциклическое производное, которое может быть необязательно замещенным, производное фенилцинка, которое может быть необязательно замещенным, цинксодержащее гетероциклическое производное, которое может быть необязательно замещенным, производное фенилбороновой кислоты, гетероциклическое производное бороновой кислоты, которое может быть необязательно замещенным, и т.п. Используемое основание различается в зависимости от исходного вещества, используемого растворителя и т.п., и выбор его специально не ограничен, если не нарушается ход реакции, тем не менее, предпочтительно используют карбонат цезия, карбонат натрия, карбонат калия и т.п. Используемый палладиевый катализатор, как правило, специально не ограничивается, однако предпочтительно упоминаются известные палладиевые катализаторы, такие как тетракистрифенилфосфин-палладий и т.п. Кроме того, данную реакцию предпочтительно проводят в присутствии растворителя с точки зрения оптимизации процесса и режима перемешивания. Используемый растворитель различается в зависимости от исходного вещества, используемого растворителя и т.п., и выбор растворителя, который не нарушает хода реакции и растворяет исходное вещество до некоторой степени, специально не ограничен, тем не менее, предпочтительно используют диметилформамид, толуол, ксилол, бензол и т.п. Температура реакции специально не ограничивается, и обычно это комнатная температура, или в условиях нагревания при температуре кипения с обратным холодильником, и предпочтительно от 50 до 160°C. Реакцию получения соединения пиридона (xvi) путем удаления защищающей группы Z3 (снятия защиты с гидроксигруппы) можно осуществить несколькими известными способами, и, например, в качестве иллюстративного способа упоминается обычный способ, описанный в T.W.Greene and P.G.M.Wuts Protecting groups in organic synthesis 2nd Edition (1991) . Конечную стадию получения соединения (I-1), имеющего отношение к настоящему изобретению, можно осуществить, обеспечивая реакцию сочетания соединения (xvi) и производного арилбороновой кислоты, используя соединение меди, реакцию Ульмана с галогенирующим арильным производным или реакцию замещения с галогенированным арильным производным и путем введения A1. Используемое производное арилбороновой кислоты различается в зависимости от исходного вещества, используемого растворителя и т.п., и выбор его специально не ограничен, если не нарушается ход реакции. Может быть использовано производное арилбороновой кислоты, имеющее в качестве арильной группы группу, соответствующую вводимой A1, такое как производное фенилбороновой кислоты, которое может быть необязательно замещенным, гетероциклическое производное бороновой кислоты, которое может быть необязательно замещенным, и т.п. Предпочтительный результат может быть также получен при проведении настоящей реакции в присутствии основания, и в этом случае используемое основание различается в зависимости от используемого исходного вещества, используемого растворителя и т.п. Кроме того, выбор основания специально не ограничен, если не нарушается при этом ход реакции, тем не менее, предпочтительно используют триэтиламин, пиридин, тетраметилэтилендиамин и т.п. Предпочтительные примеры используемого соединения меди включают ацетат меди, ди-µ-гидроксо-бис[(N,N,N’,N’-тетраметилэтилендиамин)медь(II)]хлорид и т.п. Кроме того, настоящую реакцию предпочтительно проводят в присутствии растворителя. Используемый растворитель обычно различается в зависимости от исходного вещества, реагента и т.п., и выбор растворителя, который не нарушает ход реакции и растворяет исходное вещество до некоторой степени, специально не ограничен, тем не менее, предпочтительно используют дихлорметан, тетрагидрофуран, этилацетат и т.п. Кроме того, данную реакцию предпочтительно осуществляют в атмосфере кислорода или в токе воздуха, и благодаря этому можно получить хорошие результаты (снижение времени протекания реакции и улучшенный выход и т.д.). Реакцию Ульмана проводят при температуре от 60°C до условий нагревания при температуре кипения с обратным холодильником, предпочтительно от 100 до 200°C в присутствии основания, такого как карбонат калия, карбонат натрия или ацетат натрия, используя соединение меди, такое как йодид меди, хлорид меди, бромид меди или т.п., которое, как правило, специально не ограничено. Используемый растворитель различается в зависимости от исходного вещества, реагента и т.п., и выбор растворителя, который не нарушает ход реакции и растворяет исходное вещество до некоторой степени, специально не ограничен, тем не менее, предпочтительно используют диметилформамид, толуол, ксилол, тетралин, дихлорбензол, нитробензол и т.п. Реакция замещения галогенированным арильным производным специально не ограничена, однако ее осуществляют в условиях от охлаждения льдом до нагревания при температуре кипения с обратным холодильником, предпочтительно при комнатной температуре до 60°C в растворителе, таком как тетрагидрофуран или диметилформамид или т.п., используя основание, такое как карбонат калия, гидрид натрия, гидрид калия, бутоксид натрия или бутоксид калия или т.п.
В вышеупомянутой схеме способа получения промежуточного соединения, представленного формулой

(где A1a и A3a являются одинаковыми или отличными друг от друга и каждая означает C6-14ароматическую циклическую углеводородную группу или 5-14-членную ароматическую гетероциклическую группу, которая может быть необязательно замещенной соответственно, и W”’ означает атом галогена) может быть также получено нижеследующим способом (схема способа получения 5).
Схема способа получения 5

W‘, W” и W ‘ в вышеупомянутой формуле означают одинаковые или отличные атомы галогена, и наиболее предпочтительным атомом является атом брома.
Соединение (XII) можно легко получить согласно известным способам или соответствующим способам, и, кроме того, его можно легко получить в качестве коммерчески доступного вещества. Стадия получения соединения (XI) из соединения (XII) представляет собой стадию взаимодействия соединения (XII) с основанием, представленным формулой Z3OM (M означает атом щелочного металла). Основание различается в зависимости от исходного вещества, используемого растворителя и т.п., и выбор его специально не ограничен, если при этом не нарушается ход реакции, тем не менее, предпочтительно им является алкоксид натрия, и, в частности, предпочтительно используют метоксид натрия, этоксид натрия и т.п. В этом случае предпочтительно, чтобы реакцию проводили в спирте, соответствующем используемому алкоксиду, и, например, предпочтительно данную реакцию осуществлять в метаноле в случае использования метоксида натрия и в этаноле в случае использования этоксида натрия и т.д.
Стадия получения соединения (X) из соединения (XI) представляет собой стадию взаимодействия соединения (XI) с триметоксибораном в присутствии основания. Используемое основание различается в зависимости от исходного вещества, используемого растворителя и т.п., и выбор его специально не оговаривается, если при этом не нарушается ход реакции, тем не менее, предпочтительно используют н-бутиллитий и т.п. Используемый растворитель различается в зависимости от исходного вещества, используемого растворителя и т.п., и выбор растворителя, который не нарушает хода реакции и растворяет исходное вещество до некоторой степени, специально не ограничивается, тем не менее, предпочтительны простые эфиры, такие как тетрагидрофуран и т.п. В тех случаях, когда в качестве основания используют н-бутиллитий, реакцию можно остановить кислотой, такой как хлористоводородная кислота или т.п., согласно обычному способу.
Стадия получения соединения (IX) из (X) представляет собой стадию, согласно которой осуществляется реакция сочетания соединения (X) с галогенарилом или галогенгетероарилом, который соответствует вводимому заместителю A3a, в присутствии основания и палладиевого катализатора, что приводит к получению соединения (IX). Используемый палладиевый катализатор специально не ограничен, однако в качестве предпочтительного примера может быть упомянут палладиевый ацетат/трифенилфосфиновый катализатор и т.п. Используемое основание различается в зависимости от исходного вещества, используемого растворителя и т.п., и выбор его специально не ограничен, если при этом не нарушается ход реакции, однако предпочтительно используют карбонат цезия, карбонат натрия, карбонат калия и т.п. Кроме того, вышеуказанную стадию предпочтительно осуществляют в присутствии растворителя с точки зрения оптимизации процесса и режима перемешивания. Используемый растворитель различается в зависимости от используемого исходного вещества, используемого растворителя и т.п., и выбор растворителя, который не нарушает хода реакции и растворяет исходное вещество до некоторой степени, специально не ограничен, однако предпочтительно используют 1,2-диметоксиэтан, диметилформамид, толуол, ксилол, бензол и т.п. Температура реакции специально не ограничивается, и обычно это комнатная температура, или в условиях нагревания при температуре кипения с обратным холодильником, и предпочтительно от 50 до 160°C.
Стадия получения соединения (VIII) из соединения (IX) представляет собой стадию снятия защиты с соединения (IX) (удаления защитной группы Z3). Указанную стадию можно осуществить несколькими известными способами, и, например, упоминается способ, заключающийся в нагревания соединения (IX) при температуре, соответствующей температуре кипения с обратным холодильником, в присутствии кислоты (предпочтительно хлористоводородной кислоты и т.п.). Дополнительно, например, в качестве иллюстративного способа снятия защиты, упоминается обычный способ, описанный в T.W.Greene and P.G.M.Wuts Protecting groups in organic synthesis 2nd Edition (1991) .
Стадия получения соединения (VI) из соединения (VIII) представляет собой стадию, заключающуюся в осуществлении реакции сочетания соединения (VIII) и производного арилбороновой кислоты, представленной формулой A1aB(OH)2 , используя соединение меди, и введении A1a. Используемое производное арилбороновой кислоты обычно специально не оговаривается. Можно использовать производное арилбороновой кислоты, которое в качестве арильной группы имеет группу, соответствующую вводимой A1a, такое как производное фенилбороновой кислоты, которое может быть необязательно замещенным, гетероциклическое производное бороновой кислоты, которое может быть необязательно замещенным, и т.п. Предпочтительный результат также можно получить при проведении указанной реакции в присутствии основания, и в таком случае используемое основание различается в зависимости от используемого исходного вещества, используемого растворителя и т.п. Кроме того, выбор основания специально не ограничивается, если при этом не нарушается ход реакции, тем не менее, предпочтительно используют триэтиламин, пиридин, тетраметилэтилендиамин и т.п. Предпочтительные примеры используемого соединения меди включают ацетат меди, ди-µ-гидроксо-бис[(N,N,N’,N’-тетраметилэтилендиамин)медь (II)]хлорид и т.п. Кроме того, вышеуказанную реакцию предпочтительно проводят в присутствии растворителя. Используемый растворитель различается в зависимости от исходного вещества, реагента и т.п. и выбора растворителя, который не нарушает хода реакции и растворяет исходное вещество до некоторой степени, специально не ограничен, однако предпочтительно используют N,N-диметилформамид, дихлорметан, тетрагидрофуран, этилацетат и т.п., Кроме того, данную реакцию предпочтительно проводят в атмосфере кислорода или токе воздуха, и благодаря этому можно получить хорошие результаты (снижение времени протекания реакции и улучшенный выход и т.д).
Стадия получения соединения (VII) из соединения (VI) представляет собой стадию, в которой соединение (VI) подвергают реакции галогенирования. Реакцию галогенирования обычно осуществляют известными способами галогенирования. Используемый галогенирующий агент различается в зависимости от исходного вещества, используемого растворителя и т.п., и выбор его специально не ограничивается, если при этом не нарушается ход реакции, однако предпочтительно используют бромирующий агент, такой как смесь уксусная кислота – бром, N-бромсукцинимид или т.п., йодирующий агент, такой как йод, N-йодсукцинимид и т.п.
Согласно вышеупомянутой схеме способа получения 5, промышленные промежуточные соединения (VI) и (VII) можно получить с высоким выходом. Кроме того, когда промежуточные соединения, связанные с настоящим изобретением, получают в соответствии с указанными выше схемами способов получения, можно легко предотвратить загрязнение конечного продукта соединением меди, и можно получить соединения настоящего изобретения, удовлетворяющие требованиям безопасности (токсичность и т.п.). Соответственно предлагаемые способы получения являются чрезвычайно эффективными с точки зрения выхода и безопасности получаемых продуктов, в опытном и промышленном масштабе. Новое соединение, представленное формулой

(где A1a и A3a являются такими же, как определено выше; и R означает атом водорода или атом галогена), или его соль используют в качестве промышленного промежуточного соединения для получения заявляемого соединения (I) или его соли. В формуле (XIII) предпочтительные примеры для A1a и A3a могут представлять группы, одинаковые или отличные друг от друга, и каждая включает фенильную группу, пиридильную группу, пиридазинильную группу, пиримидинильную группу, пиразинильную группу, тиенильную группу, тиазолильную группу, фурильную группу, нафтильную группу, хинолильную группу, изохинолильную группу, индолильную группу, бензимидазолильную группу, бензотиазолильную группу, бензоксазолильную группу, имидазопиридильную группу, карбазолильную группу и т.д., которые могут необязательно иметь один или несколько заместителей соответственно. Более предпочтительные примеры могут представлять группы, одинаковые или отличные друг от друга, и каждая включает фенильную группу, пиридильную группу, пиримидинильную группу, тиенильную группу, фурильную группу и т.д., которые могут необязательно иметь один или несколько заместителей соответственно. Кроме того, предпочтительными примерами для R, в частности, являются атом водорода или атом брома.
Заместители на A1, A2 и A3 в соединении, представленном формулой

(где Q, X1, X2, X3, A1, A2 и A3 имеют такие же значения, как определено выше; Y1, Y2 и Y3 означает одинаковый или отличный заместитель; и каждая из наиболее предпочтительных групп для A1, A2 и A3 представляет собой C6-14ароматическую циклическую углеводородную группу или 5-14-членную ароматическую гетероциклическую группу, которая может необязательно иметь один или несколько заместителей соответственно), могут быть подвергнуты различным реакциям превращения. Например, иллюстрирующие вышесказанное способы превращения представлены ниже. (1) Когда Y1, Y2 и/или Y1, Y2 и/или Y3 представляют/представляет собой нитрогруппу(ы), известны различные реакции для функциональных превращений, исходя из нитрогруппы, и, хотя нет никакого конкретного ограничения для способа осуществления такого превращения и получающегося в результате такого превращения вещества, иллюстративным примером может служить способ превращения (нитрогруппы) в производное амина путем реакции восстановления. Хотя, как правило, не имеется никакого конкретного ограничения для условий проведения реакции восстановления, при этом предпочтительными условиями являются: способ, где используют железо, цинк или олово в кислых условиях; способ гидрирования, где в качестве катализатора используют палладий, родий, рутений, платину или их комплексы. В тех случаях, когда используют производное амина, полученное вышеупомянутой реакцией восстановления, несомненно, возможно дальнейшее превращение последнего в амидное соединение, карбаматное соединение, сульфамидное соединение, галогенсодержащее соединение, соединение замещенного амина и т.д. (2) В тех случаях, когда Y1, Y2 и/или Y3 представляют/представляет собой алкоксигруппу(ы), примером превращения функциональной группы из алкоксигруппы в производное спирта является способ снятия защиты. Производное спирта, которое получают вышеуказанным способом, можно легко превратить в сложноэфирное соединение дегидратирующей конденсацией с производным карбоновой кислоты или путем взаимодействия с хлорангидридом кислоты, или можно легко превратить в другое соединение согласно реакции Mitsunobu или путем конденсации с галогенсодержащим соединением. (3) В тех случаях, когда Y1, Y2 и/или Y3 представляют/представляет собой альдегидную группу(ы), известны различные реакции для функциональных превращений, исходя из альдегидной группы, и, хотя нет никакого конкретного ограничения для способа осуществления такого превращения и получающегося в результате такого превращения вещества, примером может служить способ превращения (альдегидной группы) в производное карбоновой кислоты путем реакции окисления. Производное карбоновой кислоты, полученное вышеуказанным способом, можно легко превратить далее в сложноэфирное соединение, соединение кетона и т.д. Кроме того, исходя из вышеупомянутого производного альдегида, можно легко получить производное спирта реакцией восстановления, производное амина путем реакции гидроаминирования, соединение вторичного спирта путем реакции присоединения с металлорганическим реагентом и различные алкильные производные по реакции Виттига. (4) В тех случаях, когда Y1, Y2 и/или Y3 представляют/представляет собой атом(ы) галогена, примером превращения функциональной группы из атома галогена, в качестве заместителей, является способ превращения в производное, содержащее нитрильную группу, путем реакции замещения. Кроме вышесказанного, можно легко осуществить превращение в различные типы соединений посредством, например, литийорганического соединения, магнийорганического соединения, оловоорганического соединения или производного органобороновой кислоты и т.д.
Вышеупомянутые способы представляют собой способы получения соединения (I) настоящего изобретения. Исходное соединение в вышеупомянутых способах может образовывать соль или гидрат, и не требуется особого ограничения в отношении выбора указанной соли и гидрата, если они не ингибируют реакцию, о которой идет речь. В тех случаях, когда соединение (I) настоящего изобретения получают в виде свободного вещества, его можно преобразовать в состояние соли обычными способами. Кроме того, различные изомеры (например, геометрический изомер, энантиомер, исходя из наличия асимметричного углерода, ротамер, стереоизомер, таутомер и т.п.), которые получают для соединения (I) настоящего изобретения, очищают путем использования различных методов разделения, например, таких как перекристаллизация, метод с использованием диастереомерной соли, метод энзимолиза, различные хроматографии (например, тонкослойная хроматография, колоночная хроматография, газовая хроматография и т.п.), благодаря чему вышеперечисленные изомеры могут быть разделены.
Настоящее изобретение включает также фармацевтически приемлемые композиции, используемые для лечения демиелинизирующих расстройств, которые содержат ингибитор настоящего изобретения. Ингибитор обычно содержится в комбинации с фармацевтически приемлемым носителем. Ингибитор может использоваться в любой подходящей форме, при условии сохранения его действия, заключающегося в ингибировании взаимодействия глутамата с комплексом рецептора AMPA. Например, ингибитор может часто использоваться в виде фармацевтически приемлемых солей, сложных эфиров, гидратов и т.д.
Фармацевтическая композиция в объеме настоящего изобретения может быть адаптирована для введения пациентам соответствующим путем, например оральный (включая защечный или сублингвальный), ректальный, назальный, местный (включая защечный, сублингвальный или трансдермальный), вагинальный или парентеральный (включая подкожный, внутримышечный, внутривенный или внутрикожный (интрадермальный)) пути. Такую композицию можно получить любым способом, известным в данной области фармации, например, путем смешения одного или нескольких активных ингредиентов с подходящим носителем. Предпочтительно композиция обычно обеспечивается в разовой (дозированной) лекарственной форме. Как правило, она обеспечивается соответствующей упаковкой, представляющей герметичный стерильный контейнер, например ампулу, пробирку, флакон, блистерную упаковку и т.д.
Для введения фармацевтических композиций настоящего изобретения могут быть использованы различные системы доставки лекарственных средств, в зависимости от желаемого пути введения. Такие системы включают таблетки, разбавленный порошок, тонкоизмельченные гранулы, гранулы, покрытые таблетки, капсулы, сироп, пастилку, препарат для ингаляции, суппозитории, инъекции, мази, глазные мази, глазные капли, назальные препараты, ушные капли, припарки и лосьоны, посредством обычных способов. Для получения фармацевтических препаратов можно использовать обычно используемые наполнители, связующие, дезинтегрирующее средство, смазки, красители, корригенты и, если необходимо, стабилизаторы, эмульгаторы; средства, способствующие всасыванию (поглощению); поверхностно-активное вещество, рН-регулирующие средства, антисептики, антиоксиданты и т.д., и, после соединения с ингредиентами, обычно используемыми в качестве веществ для фармацевтических препаратов, из полученной смеси (компаунда) изготавливают фармацевтические препараты (лекарственные формы) обычным способом. Примерами вышеупомянутых компонентов являются 1) животное и растительное масло, такое как соевое масло, говяжий топленый жир и синтетический глицерид; 2) углеводород, такой как жидкий парафин, сквален и твердый парафин; 3) сложноэфирное масло, такое как октилдодецилмиристат и изопропилмиристат; 4) высший спирт, такой как цетостеариловый спирт и бегениловый спирт; 5) силиконовая (кремнийорганическая) смола; 6) силиконовое масло; 7) поверхностно-активное вещество, такое как сложный эфир жирных кислот и полиоксиэтилена, сложный эфир сорбитана и жирных кислот, сложный эфир глицерина и жирных кислот, сложный эфир полиоксиэтилированного сорбитана и жирных кислот, полиоксиэтиленированное гидрогенизированное касторовое масло и блоксополимер полиоксиэтилен-полиоксипропилен; 8) водорастворимое высокомолекулярное вещество, такое как гидроксиэтилцеллюлоза, полиакриловая кислота, карбоксивиниловый полимер, полиэтиленгликоль, поливинилпирролидон и метилцеллюлоза; 9) низший спирт, такой как этанол и изопропанол; 10) многоатомный спирт, такой как глицерин, пропиленгликоль, дипропиленгликоль и сорбит; 11) сахарид, такой как глюкоза и сахароза; 12) неорганический порошок, такой как ангидрид кремниевой кислоты, магнийалюмосиликат и алюмосиликат; 13) очищенная вода. Подходящими примерами (1) наполнителя являются лактоза, кукурузный крахмал, очищенная вода, глюкоза, маннит, сорбит, кристаллическая целлюлоза и диоксид кремния; подходящими примерами (2) связующего являются поливиниловый спирт, поливиниловый эфир, метилцеллюлоза, этилцеллюлоза, аравийская камедь, трагакант, желатин, шеллак, гидроксипропилметилцеллюлоза, гидроксипропилцеллюлоза, поливинилпирролидон, блоксополимер полипропиленгликоль-полиоксиэтилен, меглумин, цитрат кальция, декстрин и пектин; подходящими примерами (3) дезинтегратора являются крахмал, агар, порошок желатина, кристаллическая целлюлоза, карбонат кальция, бикарбонат натрия, цитрат кальция, декстрин, пектин и кальцийкарбоксиметилцеллюлоза; подходящими примерами (4) смазки являются стеарат магния, тальк, полиэтиленгликоль, диоксид кремния и гидрированное растительное масло; подходящими примерами (5) красителя являются те красители, которые разрешены для введения в состав фармацевтических препаратов; подходящими примерами (6) корригента (вещество, придающее вкус) являются порошок какао, ментол, ароматизирующий порошок, эфирное масло из мяты перечной, борнеол и порошок циннамона и подходящими примерами (7) антиоксиданта являются антиоксиданты, которые разрешены для введения в состав фармацевтических препаратов, такие как аскорбиновая кислота, -токоферол и т.п., и их используют соответствующим образом.
(1) Для получения препаратов для орального использования соединение настоящего изобретения или его фармакологически приемлемую соль смешивают с наполнителем и, при необходимости, дополнительно со связующим, дезинтегратором, смазкой, красителем, корригентом и т.д. и смесь подвергают обработке, превращая в разбавленный порошок, тонкоизмельченные частицы, гранулы, таблетки, таблетки с покрытием, капсулы и т.д. обычным способом. (2) В случае таблеток и таблеток с покрытием, безусловно, не существует никакой проблемы, чтобы такие таблетки или гранулы покрыть сахарным покрытием, желатиновым или каким-либо другим соответствующим покрытием, когда это необходимо. (3) В случае получения жидких препаратов, таких как сироп, препараты для инъекции и глазные капли, добавляют рН-регулирующее средство, солюбилизатор, изотоническое средство и т.д., если требуется, добавку, способствующую растворению; стабилизатор, буфер, суспендирующее средство, антиоксидант и т.д., и затем из полученной смеси приготавливают фармацевтические препараты обычным способом. Препарат можно получить в виде лиофильно высушенного (сушка вымораживанием) продукта, а инъекции можно вводить в определенной дозе в вену, подкожный слой и мышцу. Подходящие примеры суспендирующего средства включают метилцеллюлозу, полисорбат 80, гидроксиэтилцеллюлозу, аравийскую камедь, порошок трагаканта, натрийкарбоксиметилцеллюлозу, монолаурат полиоксиэтилированного сорбитана и т.п.; подходящие примеры растворяющего средства включают полиоксиэтилированное отвержденное касторовое масло, полисорбат 80, амид никотиновой кислоты, монолаурат полиоксиэтилированного сорбитана и т.п.; подходящие примеры стабилизатора включают сульфит натрия, метасульфит натрия, простой эфир и т.п.; подходящие примеры консерванта включают метил-п-оксибензоат, этил-п-оксибензоат, сорбиновую кислоту, фенол, крезол, хлоркрезол и т.п. Кроме того, (4) в случае наружного применения не существует никакого конкретного ограничения для способа получения фармацевтического препарата, и для его получения используют обычный способ. Так, например, что касается используемого вещества-основы, то могут быть использованы различные вещества, которые обычно используют для фармацевтических препаратов, квазилекарственных средств, косметических средств и т.д. Конкретные примеры используемого вещества-основы представляют животное/растительное масло, минеральное масло, сложноэфирное масло, воски, высшие спирты, жирные кислоты, силиконовое масло, поверхностно-активное вещество, фосфолипиды, спирты, многоатомные спирты, водорастворимые высокомолекулярные вещества, глинистые минералы и очищенная вода и, если требуется, возможно добавление рН-регулирующего средства, антиоксиданта, хелатирующего средства, антисептика, противогрибкового средства, красителя, ароматизирующего средства (отдушки) и т.д. При необходимости в смесь можно дополнительно ввести другие компоненты, такие как компонент, обладающий индуцирующим дифференцировку действием; промотор кровотока, бактерицидное средство, противовоспалительное средство, активатор клеток, витамины, аминокислоту, увлажняющее средство и средство, растворяющее кератин.
Доза предлагаемого фармацевтического средства варьируется в зависимости от тяжести симптома, возраста, пола, массы тела, лекарственной формы, типа соли, чувствительности к фармацевтическим препаратам, конкретного типа болезни и т.д., и для взрослых в случае орального введения суточная доза обычно составляет от около 30 мкг до 10 г, предпочтительно от 100 мкг до 5 г или более предпочтительно от 100 мкг до 100 мг, в то время как в случае введения путем инъекции суточная доза обычно составляет от около 30 мкг до 1 г, предпочтительно от 100 мкг до 500 мг или более предпочтительно от 100 мкг до 30 мг. Вышеуказанную суточную дозу вводят один раз ежедневно или в виде разделенной на части несколько раз в день через определенные интервалы времени.
ПРИМЕРЫ
Нижеследующие ссылочные примеры, примеры и примеры in vivo носят иллюстративный характер, и подразумевается, что они не ограничивают настоящее изобретение. Специалистом в данной области техники могут быть внесены различные изменения в ссылочные примеры, примеры и примеры in vivo, а также формулу изобретения, чтобы полностью использовать данное изобретение. Однако эти вышеупомянутые изменения изобретения не должны выходить за рамки существа и объема прилагаемой формулы изобретения.
Ссылочный пример 1
5-Бром-3-йод-1,2-дигидропиридин-2-он

2-Амино-5-бромпиридин (CAS No. 1072-97-5) (300 г) растворяют в смешанном растворителе, состоящем из 1000 мл уксусной кислоты и 200 мл воды, в полученный раствор постепенно по каплям, при перемешивании, добавляют 30 мл концентрированной серной кислоты. Затем к смеси добавляют 79,1 г гидрата периодной кислоты, 176 г йода, с последующим перемешиванием при 80°C в течение 4 часов. К полученной смеси добавляют гидрат периодной кислоты (40 г) и йод (22 г), с последующим перемешиванием при 80°C в течение 2 часов. После охлаждения до комнатной температуры реакционную смесь выливают на лед (3000 мл) и нейтрализуют до pH 7,0 5N водным гидроксидом натрия. Полученные кристаллы собирают фильтрацией, растворяют в смешанном растворителе этилацетат/диэтиловый эфир, последовательно промывают водным тиосульфатом натрия, водой, 1N водным гидроксидом натрия и насыщенным раствором соли и сушат над безводным сульфатом магния. Затем растворитель выпаривают, получая 392 г 2-амино-5-бром-3-йодпиридина (выход: 76%). 2-Амино-5-бром-3-йодпиридин (100 г) постепенно добавляют к 300 мл концентрированной серной кислоты при охлаждении льдом. После перемешивания реакционной смеси при комнатной температуре в течение 2 часов ее снова охлаждают льдом. В смесь постепенно добавляют 35 г нитрита натрия, с последующим перемешиванием при комнатной температуре в течение 3 дней и ночей. Реакционный раствор выливают на лед (3000 мл) и нейтрализуют до pH 4,0 гидроксидом натрия. Полученные кристаллы собирают фильтрацией, промывают водой и сушат теплым воздухом при 60°C в течение одного дня и ночи, получая 102 г (количественный) указанного в заголовке соединения.
1H-ЯМР (400 МГц, CDCl3); (м.д.) 7,60 (д, 1H), 8,14 (д, 1H).
Ссылочный пример 2
5-Бром-1-фенил-3-йод-1,2-дигидропиридин-2-он

5-Бром-3-йод-1,2-дигидропиридин-2-он (10,0 г), полученный в Ссылочном примере 1, 10,0 г фенилбороновой кислоты и 8,1 г ацетата меди суспендируют в 500 мл дихлорметана. Туда добавляют 15 мл триэтиламина, с последующим перемешиванием при комнатной температуре в течение 5 дней и ночей. К реакционному раствору добавляют 200 мл воды и 50 мл водного аммиака, с последующим энергичным перемешиванием. Затем нерастворимое вещество отфильтровывают через целит, фильтрат экстрагируют дихлорметаном, экстракт сушат над безводным сульфатом магния. Растворитель выпаривают и остаток перекристаллизовывают из смеси этилацетат/гексан, получая 6,54 г (выход: 52%) указанного в заголовке соединения.
1H-ЯМР (400 МГц, CDCl3); (м.д.) 7,34-7,38 (м, 2H), 7,44-7,52 (м, 3H), 7,53 (д, 1H), 8,10 (д, 1H).
Ссылочный пример 3
5-Бром-3-(2-цианофенил)-1-фенил-1,2-дигидропиридин-2-он

5-Бром-1-фенил-3-йод-1,2-дигидропиридин-2-он (11,69 г), полученный в Ссылочном примере 2, 8,0 г 2-(2-цианофенил)-1,3,2-диоксаборината и 16,0 г карбоната цезия суспендируют в 150 мл диметилформамида. В полученную суспензию добавляют 3,0 г тетракистрифенилфосфин-палладия, с последующим перемешиванием при 80°C в атмосфере азота в течение 2 часов. Реакционный раствор выливают в воду, смесь экстрагируют этилацетатом, экстракт последовательно промывают водой и насыщенным раствором соли и сушат над безводным сульфатом магния. Затем растворитель выпаривают и остаток очищают колоночной хроматографией на силикагеле (система гексан/этилацетат), с последующей перекристаллизацией из смеси этилацетат/гексан, получая 5,67 г (выход: 52%) указанного в заголовке соединения.
1H-ЯМР (400 МГц, CDCl3); (м.д.) 7,42-7,54 (м, 6H), 7,61-7,65 (м, 4H), 7,66 (д, 1H), 7,74-7,77 (м, 1H).
Ссылочный пример 4
5-(2-Пиридил)-1,2-дигидропиридин-2-он

2,5-Дибромпиридин [CAS No. 624-28-2] (400 г) добавляют к 3500 мл 28% раствора метоксида натрия в метаноле, смесь перемешивают при 60°C в течение 3 часов и дают возможность охладиться, реакционный раствор выливают в 3 литра воды, смесь экстрагируют 9000 мл диэтилового эфира, экстракт промывают насыщенным раствором соли три раза и сушат над безводным сульфатом магния и растворитель выпаривают в вакууме. Остаток растворяют в 2 литрах диметилформамида, добавляют 900 г три-N-бутил-(2-пиридил)олова [CAS No. 59020-10-9] и 20 г тетракистрифенилфосфин-палладия и смесь перемешивают при 120°C в атмосфере азота в течение 3 часов. Реакционному раствору дают возможность охладиться и выливают в 3 литра воды, смесь экстрагируют 10 литрами диэтилового эфира, экстракт последовательно промывают насыщенным раствором бикарбоната натрия и насыщенным раствором соли и растворитель выпаривают в вакууме. К остатку добавляют 48% водный раствор (800 мл) бромида водорода и смесь перемешивают при 110°C в течение 3 часов. После охлаждения смеси реакционный раствор промывают 3 литрами диэтилового эфира, выливают в 2 литра льда, доводят до рН 11,0 5N гидроксидом натрия и снова промывают 3 литрами диэтилового эфира. Водный слой доводят до pH 7,0 и экстрагируют дихлорметаном. Неочищенные кристаллы, полученные выпариванием растворителя в вакууме, промывают смешанным растворителем, состоящем из диэтилового эфира и гексана, получая 201,5 г (выход: 69%) указанного в заголовке соединения.
1H-ЯМР (400 МГц, CDCl3); (м.д.) 6,72 (д, 1H), 7,20 (ддд, 1H), 7,50-7,54 (м, 1H), 7,73 (дт, 1H), 8,12-8,15 (м, 1H), 8,19 (дд, 1H), 8,60-8,64 (м, 1H).
Ссылочный пример 5
3-Бром-5-(2-пиридил)-1,2-дигидропиридин-2-он

5-(2-Пиридил)-1,2-дигидропиридин-2-он (201,5 г), полученный в Ссылочном примере 4, растворяют в 1300 мл диметилформамида, в смесь добавляют 208,3 г N-бромсукцинимида и смесь перемешивают при комнатной температуре в течение 2 часов. Реакционную смесь выливают в 4 литра смеси воды со льдом и осадок отфильтровывают и сушат теплым воздухом при 50°C в течение двух дней и ночей, получая 230 г (выход: 79%) указанного в заголовке соединения.
1H-ЯМР (400 МГц, CDCl3); (м.д.) 7,21-7,26 (м, 1H), 7,52 (д, 1H), 7,75 (дт, 1H), 8,21 (д, 1H), 8,61-8,64 (м, 1H), 8,67 (д, 1H).
Ссылочный пример 6
3-Бром-5-(2-пиридил)-1-(3-пиридил)-1,2-дигидропиридин-2-он

Дихлорметан (300 мл) добавляют к 18,75 г 3-бром-5-(2-пиридил)-1,2-дигидропиридин-2-она, полученного в Ссылочном примере 5, и 18,36 г 3-пиридинбороновой кислоты, затем добавляют 3,47 г хлорида ди-µ-гидроксо-бис[(N,N,N’,N’-тетраметилэтилендиамин)меди (II)] и смесь перемешивают в атмосфере кислорода в течение 4 дней и ночей. Реакционный раствор на короткой колонке, заполненной NH-модифицированным силикагелем (элюируют этилацетатом), растворитель выпаривают в вакууме и полученные неочищенные кристаллы промывают диэтиловым эфиром, получая 24,26 г (выход: 99%) указанного в заголовке соединения.
1H-ЯМР (400 МГц, CDCl3); (м.д.) 7,23-7,26 (м, 1H), 7,47-7,51 (м, 1H), 7,52-7,56 (м, 1H), 7,77 (дт, 1H), 7,87-7,91 (м, 1H), 8,19 (д, 1H), 8,53 (д, 1H), 8,59-8,62 (м, 1H), 8,71-8,75 (м, 2H).
Ссылочный пример 7
1-(2-Пиридил)-1,2-дигидропиридин-2-он

25 мл диметилформамидного раствора, содержащего 4,00 г 2(1H)-пиридона и 8,00 г 2-бромпиридина, объединяют с 3,80 г карбоната калия и 0,51 г иодида меди (I), с последующим перемешиванием при 120°C в течение 2 часов. После возвращения смеси к комнатной температуре в нее добавляют воду. Смесь экстрагируют этилацетатом и этилацетатный слой промывают водой и насыщенным раствором соли и затем сушат над сульфатом магния. Растворитель выпаривают и остаток очищают колоночной хроматографией на силикагеле (смесь этилацетат/гексан=1:1), получая 1,58 г указанного в заголовке соединения в виде бледно-желтого воска.
1H-ЯМР (400 МГц, CDCl3); (м.д.) 6,31 (дт, 1H), 6,67 (д, 1H), 7,33 (ддд, 1H), 7,40 (ддд, 1H), 7,82-7,90 (м, 2H), 7,96 (дд, 1H), 8,57 (дд, 1H).
Ссылочный пример 8
1-(2-Пиридил)-5-бром-1,2-дигидропиридин-2-он

При охлаждении льдом 15 мл диметилформамидного раствора, содержащего 1,50 г 1-(2-пиридил)-1,2-дигидропиридин-2-она, смешивают с 1,60 г имида N-бромянтарной кислоты. Смесь перемешивают при комнатной температуре в течение 2 часов и затем разбавляют водой и экстрагируют этилацетатом. Органический слой промывают водой и насыщенным раствором соли и затем сушат над сульфатом магния. Растворитель выпаривают и остаток очищают хроматографией на силикагеле (смесь этилацетат/гексан=1:3), получая 1,13 г указанного в заголовке соединения в виде бледно-коричневого порошка.
1H-ЯМР (400 МГц, CDCl3); (м.д.) 6,57 (д, 1H), 7,34 (ддд, 1H), 7,42 (дд, 1H), 7,85 (дт, 1H), 7,97 (дд, 1H), 8,10 (д, 1H), 8,57 (дд, 1H).
Ссылочный пример 9
1-(2-Пиридил)-5-(2-пиридил)-1,2-дигидропиридин-2-он

2,5 мл диметилформамидного раствора, содержащего 0,10 г 1-(2-пиридил)-5-бром-1,2-дигидропиридин-2-она и 0,30 г 2-трибутилстаннилпиридина, смешивают с 0,05 г дихлорбистрифенилфосфин-палладия, с последующим перемешиванием при 130°С в течение 2 часов. Смесь возвращают к комнатной температуре, с последующим разбавлением водой и экстракцией этилацетатом. Органический слой промывают водой и насыщенным раствором соли и затем сушат над сульфатом магния. Растворитель выпаривают и остаток очищают хроматографией на силикагеле (этилацетат), получая 0,076 г указанного в заголовке соединения в виде бледно-желтого порошка.
1H-ЯМР (400 МГц, CDCl3); (м.д.) 6,77 (д, 1H), 7,22 (дд, 1H), 7,36 (дд, 1H), 7,61 (д, 1H), 7,76 (дт, 1H), 7,87 (дт, 1H), 7,97 (д, 1H), 8,12 (дд, 1H), 8,60-8,65 (м, 2H), 8,67 (д, 1H).
Ссылочный пример 10
1-(2-Пиридил)-5-(2-пиридил)-3-бром-1,2-дигидропиридин-2-он

2 мл диметилформамидного раствора, содержащего 0,07 г 1-(2-пиридил)-5-(2-пиридил)-1,2-дигидропиридин-2-она, объединяют с 0,07 г имида N-бромянтарной кислоты при перемешивании и охлаждении льдом. После перемешивания смеси при комнатной температуре в течение 2 часов ее разбавляют водой и экстрагируют этилацетатом. Органический слой промывают водой и насыщенным раствором соли и затем сушат над сульфатом магния. Растворитель выпаривают и остаток очищают хроматографией на силикагеле (смесь этилацетат/гексан=3:1), получая 0,05 г указанного в заголовке соединения в виде бледно-коричневого порошка.
1H-ЯМР (400 МГц, ДМСО-d6); (м.д.) 7,33 (ддд, 1H), 7,58 (ддд, 1H), 7,83-7,88 (м, 2H), 7,97 (дд, 1H), 8,07 (дт, 1H), 8,59-8,62 (м, 1H), 8,65-8,80 (м, 1H), 8,72 (д, 1H), 8,81 (д, 1H).
Ссылочный пример 11
3,5-Дибром-2-метоксипиридин

80 мл 28% раствора метоксида натрия объединяют с 3,0 г 2,3,5-трибромпиридина при охлаждении льдом, с последующим перемешиванием при 50°C в течение 2 часов. Реакционный раствор разбавляют водой и экстрагируют диэтиловым эфиром. Органический слой промывают насыщенным раствором соли и затем сушат над безводным сульфатом магния. Растворитель выпаривают и остаток очищают хроматографией на силикагеле (смесь этилацетат/гексан=1:20), получая 18,5 г указанного в заголовке соединения.
1H-ЯМР (400 МГц, CDCl3); (м.д.) 3,99 (с, 3H), 7,93 (д, 1H), 8,14 (д, 1H).
Ссылочный пример 12
3-(2-Пиридил)-5-бром-2-метоксипиридин

100 мл диметилформамидного раствора, содержащего 6,3 г 3,5-дибром-2-метоксипиридина и 8,1 г 2-трибутилстаннилпиридина, объединяют с 1,0 г тетракистрифенилфосфин-палладия, с последующим перемешиванием при 120°C в течение 2 часов в атмосфере азота. После того как смесь достигнет комнатной температуры, растворитель выпаривают и остаток экстрагируют этилацетатом. Органический слой промывают водой и насыщенным раствором соли и затем сушат над сульфатом магния. Растворитель выпаривают и остаток очищают хроматографией на силикагеле (смесь этилацетат/гексан=1:3), получая 2,8 г указанного в заголовке соединения в виде бледно-желтого порошка.
1H-ЯМР (400 МГц, CDCl3); (м.д.) 4,02 (с, 1H), 7,31 (дд, 1H), 7,80 (дт, 1H), 8,02 (ддд, 1H), 8,25 (д, 1H), 8,40 (д, 1H), 8,71-8,74 (м, 1H).
Ссылочный пример 13
3-(2-Пиридил)-5-фенил-2-(1H)-пиридон

Смесь 1,0 г 3-(2-пиридил)-5-бром-2-метоксипиридина, 0,9 г фенилбороновой кислоты, 0,3 г дихлорбистрифенилфосфинпалладия и 2 мл триэтиламина перемешивают при 120°C в течение 1,5 часов в 30 мл ксилола в атмосфере азота. Смеси дают возможность достигнуть комнатной температуры, разбавляют этилацетатом, промывают водой и насыщенным раствором соли и сушат над сульфатом магния. Растворитель выпаривают и остаток объединяют с 47% бромистоводородной кислотой и нагревают при 70°C в течение 1 часа. Реакционный раствор охлаждают льдом, разбавляют водой и нейтрализуют карбонатом калия. Полученный осадок собирают фильтрацией, промывают водой и простым эфиром и затем сушат на воздухе, получая 0,5 г указанного в заголовке соединения в виде бледно-желтого порошка.
1H-ЯМР (400 МГц, ДМСО-d6); (м.д.) 7,30-7,37 (м, 2H), 7,43 (дд, 2H), 7,62 (д, 2H), 7,82-7,90 (м, 1H), 7,87 (д, 1H), 8,64-8,69 (м, 2H), 8,57 (д, 1H), 12,30 (ушир.с, 1H).
Ссылочный пример 14
1-Фенил-3-нитро-5-(2-пиридил)-1,2-дигидропиридин-2-он

(14a) 3-Нитро-1-фенил-1,2-дигидропиридин-2-он
5 г 2-гидрокси-3-нитропиридина, 7,14 г фенилбороновой кислоты, 2,6 г ацетата меди (II), 9,9 мл триэтиламина и 5,8 мл пиридина добавляют к 100 мл тетрагидрофурана с последующим перемешиванием на протяжении ночи. Реакционную смесь выливают в водный аммиак и экстрагируют этилацетатом. Органический слой промывают водой, сушат и концентрируют. Остаток суспендируют в простом эфире и собирают фильтрацией, получая 4,71 г указанного в заголовке соединения.
1H-ЯМР (400 МГц, CDCl3); (м.д.) 6,39 (дд, 1H), 7,36-7,40 (м, 2H), 7,49-7,54 (м, 3H), 7,73 (дд, 1H), 8,38 (дд, 1H).
(14b) 5-Бром-3-нитро-1-фенил-1,2-дигидропиридин-2-он
10 мл диметилформамидного раствора, содержащего 1 г 3-нитро-1-фенил-1,2-дигидропиридин-2-она, объединяют с 988 мг N-бромсукцинимида с последующим перемешиванием при комнатной температуре на протяжении ночи. Далее смесь перемешивают при 50°C в течение 3 часов. Реакционную смесь выливают в смесь воды со льдом и полученный осадок собирают фильтрацией, получая 1,27 г указанного в заголовке соединения.
1H-ЯМР (400 МГц, CDCl3); (м.д.) 7,36-7,39 (м, 2H), 7,50-7,57 (м, 3H), 7,88 (д, 1H), 8,42 (д, 1H).
(14c) 3-Нитро-1-фенил-5-(2-пиридил)-1,2-дигидропиридин-2-он
1,27 г 5-бром-3-нитро-1-фенил-1,2-дигидропиридин-2-она, 2,38 г 2-три-н-бутилстаннилпиридина и 248 мг тетракистрифенилфосфин-палладия добавляют к 20 мл ксилола, с последующим перемешиванием при 120°C на протяжении в атмосфере азота. Реакционную смесь очищают хроматографией на силикагеле (смесь этилацетат/гексан), получая 638 мг указанного в заголовке соединения.
1H-ЯМР (400 МГц, CDCl3); (м.д.) 7,28 (ддд, 1H), 7,45-7,63 (м, 6H), 7,80 (дт, 1H), 8,61 (ддд, 1H), 8,63 (д, 1H), 9,03 (д, 1H).
Ссылочный пример 15
3-Амино-1-фенил-5-(2-пиридил)-1,2-дигидропиридин-2-он

100 мг 10% палладия-на-углероде добавляют к 20 мл этанольного раствора, содержащего 546 мг 3-нитро-1-фенил-5-(пиридин-2-ил)-1,2-дигидропиридин-2-она, с последующим перемешиванием на протяжении ночи в атмосфере водорода. Реакционную смесь фильтруют через силикагель и концентрируют, получая 411 мг указанного в заголовке соединения.
1H-ЯМР (400 МГц, CDCl3); (м.д.) 4,36-4,42 (м, 1H), 7,18 (дд, 1H), 7,28 (д, 1H), 7,44-7,54 (м, 6H), 7,61 (д, 1H), 7,70 (дт, 1H), 8,57-8,60 (м, 1H).
Ссылочный пример 16
3-(2-Цианофенил)-5-(метоксикарбонил)-1-фенил-1,2-дигидропиридин-2-он

6 г метил-5-бром-6-гидроксиникотината, синтезированного известным способом из 6-оксиникотиновой кислоты, и 6,3 г фенилбороновой кислоты растворяют в 200 мл тетрагидрофурана. К смеси добавляют 939 мг ацетата меди и 1 мл пиридина, с последующим перемешиванием при комнатной температуре в течение 3 ночей. К реакционному раствору добавляют водный аммиак и раствор экстрагируют хлороформом. Органический слой промывают насыщенным раствором соли и затем сушат над безводным сульфатом магния. Растворитель выпаривают и остаток, полученный в виде твердого вещества, промывают диэтиловым эфиром, получая 7,35 г 3-бром-5-(метоксикарбонил)-1-фенил-1,2-дигидропиридин-2-она в виде белых кристаллов. 5 г Вещества растворяют в 100 мл диметилформамида с последующим добавлением 4,6 г 2-(2-цианофенил)-1,3,2-диоксаборината, 7,9 г карбоната цезия и 375 мг тетракистрифенилфосфин-палладия и перемешиванием при 140°C в течение 1 часа в атмосфере азота. После охлаждения до комнатной температуры реакционную смесь выливают в воду и экстрагируют этилацетатом. Затем экстракт последовательно промывают водой и насыщенным раствором соли и сушат над безводным сульфатом магния. Затем растворитель выпаривают и остаток очищают хроматографией на силикагеле (система гексан/этилацетат), получая 3,23 г указанного в заголовке соединения.
1H-ЯМР (400 МГц, CDCl3); (м.д.) 3,89 (с, 3H), 7,42-7,55 (м, 6H), 7,61-7,66 (м, 2H), 7,75 (дд, 1H), 8,14 (д, 1H), 8,35 (д, 1H).
Ссылочный пример 17
3-(2-Хлорфенил)-5-гидроксиметил-1-фенил-1,2-дигидропиридин-2-он

36 мг 3-(2-хлорфенил)-5-метоксикарбонил-1-фенил-1,2-дигидропиридин-2-она, синтезированного способом Ссылочного примера 3 из 3-бром-5-метоксикарбонил-1-фенил-1,2-дигидропиридин-2-она и 2-хлорфенилбороновой кислоты, растворяют в 20 мл толуола. После охлаждения до -78°С туда по каплям добавляют 0,1 мл диизобутилалюминийгидрида (1,5М тетрагидрофурановый раствор). При нагревании от -78°С до комнатной температуры смесь перемешивают на протяжении ночи. Затем в смесь добавляют 1N хлористоводородную кислоту. Смесь нейтрализуют водным раствором кислого карбоната натрия и затем экстрагируют этилацетатом. Затем экстракт последовательно промывают водой и насыщенным раствором соли и сушат над безводным сульфатом магния. Затем растворитель выпаривают и остаток очищают хроматографией на силикагеле (система гексан/этилацетат), получая 12 мг указанного в заголовке соединения.
1Н-ЯМР (400 МГц, CDCl3); (м.д.) 4,48 (с, 2Н), 7,25-7,29 (м, 3Н), 7,37-7,51 (м, 8Н).
ЭРИ-МС (ESI-Mass; Масс-спектрометрия с электрораспылительной ионизацией); 312 [М++H].
Ссылочный пример 18
3-Метоксикарбонил-5-(2-пиридил)-1-фенил-1,2-дигидропиридин-2-он

4,5 г метил 5-бром-2-оксиникотината, синтезированного известным способом из 2-оксиникотиновой кислоты, и 4,7 г фенилбороновой кислоты растворяют в 200 мл тетрагидрофурана. К смеси добавляют 705 мг ацетата меди и 1 мл пиридина с последующим перемешиванием при комнатной температуре в течение 3 ночей в потоке воздуха. К реакционному раствору добавляют водный аммиак и раствор экстрагируют хлороформом. Органический слой промывают насыщенным раствором соли и сушат над безводным сульфатом магния. Растворитель выпаривают и остаток, полученный в виде твердого вещества, промывают диэтиловым эфиром, получая 3,59 г 5-бром-3-метоксикарбонил-1-фенил-1,2-дигидропиридин-2-она в виде белых кристаллов. 3,2 г Вещества растворяют в 100 мл диметилформамида и к этому раствору добавляют 7,7 г три-N-бутил-(2-пиридил)олова [CAS No.59020-10-9] и 240 мг тетракистрифенилфосфин-палладия, с последующим перемешиванием при 110°C в течение 3 часов в атмосфере азота. После охлаждения до комнатной температуры реакционный раствор выливают в воду, экстрагируют этилацетатом. Затем экстракт последовательно промывают водой и насыщенным раствором соли, сушат над безводным сульфатом магния и затем фильтруют через NH-модифицированный силикагель и силикагель. Затем фильтрат упаривают и полученный осадок промывают простым эфиром и гексаном и сушат, получая 1,59 г указанного в заголовке соединения.
1H-ЯМР (400 МГц, CDCl3); (м.д.) 3,95 (с, 3H), 7,22 (ддд, 1H), 7,42-7,54 (м, 5H), 7,62 (дт, 1H), 7,76 (тд, 1H), 8,52 (д, 1H), 8,58 (ддд, 1H), 8,85 (д, 1H).
Ссылочный пример 19
3-(2-Цианофенил)-5-нитро-1-фенил-1,2-дигидропиридин-2-он

(19a) 5-Нитро-1-фенил-1,2-дигидропиридин-2-он
5,93 г указанного в заголовке соединения получают в соответствии со способом, используемым для Ссылочного примера (14a), из 5 г 2-гидрокси-5-нитропиридина.
1H-ЯМР (400 МГц, CDCl3); (м.д.) 6,67 (д, 1H), 7,39-7,43 (м, 2H), 7,53-7,59 (м, 3H), 8,18 (дд, 1H), 8,68 (дд, 1H).
(19b) 3-Бром-5-нитро-1-фенил-1,2-дигидропиридин-2-он
4,72 г указанного в заголовке соединения получают согласно способу, используемому для Ссылочного примера (14b), из 5,93 г 5-нитро-1-фенил-1,2-дигидропиридин-2-она.
1H-ЯМР (400 МГц, CDCl3); (м.д.) 7,38-7,42 (м, 2H), 7,54-7,58 (м, 3H), 8,59-8,61 (м, 1H), 8,66-8,68 (м, 1H).
(19c) 5-Нитро-3-(2-цианофенил)-1-фенил-1,2-дигидропиридин-2-он
758 мг указанного в заголовке соединения получают согласно способу, используемому для Ссылочного примера 3, из 3 г 3-бром-5-нитро-1-фенил-1,2-дигидропиридин-2-она.
1H-ЯМР (400 МГц, CDCl3); (м.д.) 7,47-7,63 (м, 7H), 7,68 (дт, 1H), 7,80 (ддд, 1H), 8,38 (д, 1H), 8,78 (д, 1H).
Ссылочный пример 20
5-Амино-3-(2-цианофенил)-1-фенил-1,2-дигидропиридин-2-он

414 мг указанного в заголовке соединения получают согласно способу, используемому для Ссылочного примера 15, из 708 мг 5-нитро-3-(2-цианофенил)-1-фенил-1,2-дигидропиридин-2-она.
1H-ЯМР (400 МГц, CDCl3); (м.д.) 6,99 (д, 1H), 7,39-7,49 (м, 7H), 7,60 (дт, 1H), 7,73 (д, 1H), 7,75 (д, 1H).
Пример 1
3-(2-Цианофенил)-5-(2-нитрофенил)-1-фенил-1,2-дигидропиридин-2-он
5-Бром-3-(2-цианофенил)-1-фенил-1,2-дигидропиридин-2-он (100 мг), 60 мг 2-нитрофенилбороновой кислоты и 130 мг карбоната цезия суспендируют в 10 мл диметилформамида, затем добавляют 20 мг тетракистрифенилфосфин-палладия и смесь перемешивают при 120°C в атмосфере азота в течение 4 часов. После предоставления возможности смеси охладиться реакционный раствор выливают в воду, смесь экстрагируют этилацетатом, экстракт сушат над безводным сульфатом магния, растворитель выпаривают в вакууме и остаток очищают колоночной хроматографией на силикагеле (система гексан-этилацетат), получая 35 мг указанного в заголовке соединения.
1H-ЯМР (400 МГц, CDCl3); (м.д.) 7,40-7,80 (м, 14H), 7,97 (дд, 1H).
Пример 2
5-(2-Аминофенил)-3-(2-цианофенил)-1-фенил-1,2-дигидропиридин-2-он
3-(2-Цианофенил)-5-(2-нитрофенил)-1-фенил-1,2-дигидропиридин-2-он (32 мг) растворяют в 15 мл этилацетата, добавляют 5 мг 10% палладий-углерод (вещество, содержащее воду) и смесь перемешивают при комнатной температуре в атмосфере водорода в течение 15 минут. Катализатор отфильтровывают и растворитель выпаривают в вакууме, получая 20 мг указанного в заголовке соединения.
1H-ЯМР (400 МГц, CDCl3); (м.д.) 3,95 (ушир.с, 2H), 6,76 (дд, 1H), 6,80 (дт, 1H), 7,14 (дд, 1H), 7,17 (дт, 1H), 7,41-7,55 (м, 6H), 7,59 (д, 1H), 7,62 (дт, 1H), 7,74-7,82 (м, 2H), 7,88 (д, 1H).
Пример 3
3-(2-Цианофенил)-5-(2-метилсульфониламинофенил)-1-фенил-1,2-дигидропиридин-2-он
5-(2-Аминофенил)-3-(2-цианофенил)-1-фенил-1,2-дигидропиридин-2-он (16 мг) растворяют в 10 мл диметилформамида, затем добавляют 0,05 мл триэтиламина и 3 капли метансульфонилхлорида и смесь перемешивают при комнатной температуре в течение одного часа. К реакционному раствору добавляют этилацетат, смесь промывают водой и насыщенным солевым раствором, растворитель выпаривают в вакууме и остаток очищают колоночной хроматографией на силикагеле (система гексан-этилацетат), получая 5 мг указанного в заголовке соединения.
1H-ЯМР (400 МГц, CDCl3); (м.д.) 2,19 (с, 3H), 6,88-6,95 (м, 1H), 7,08-7,15 (м, 1H), 7,38-7,55 (м, 8H), 7,61 (дт, 1H), 7,69-7,76 (м, 3H), 7,91 (д, 1H), 7,92-7,97 (м, 1H).
Пример 4
3-(2-Хлор-3-пиридил)-5-(2-пиридил)-1-фенил-1,2-дигидропиридин-2-он
3-йод-5-(2-пиридил)-1-фенил-1,2-дигидропиридин-2-он (200 мг), синтезированный способом, упоминаемым в Ссылочном примере 6, 130 мг 2-хлор-3-пиридилбороновой кислоты и 250 мг карбоната цезия суспендируют в 10 мл диметилформамида, добавляют 40 мг тетракистрифенилфосфин-палладия и смесь перемешивают при 100°C в атмосфере азота в течение 3 часов. После предоставления возможности охладиться реакционный раствор выливают в воду, смесь экстрагируют этилацетатом, экстракт сушат над безводным сульфатом магния, растворитель выпаривают в вакууме и остаток очищают колоночной хроматографией на силикагеле (система гексан-этилацетат), получая 143 мг указанного в заголовке соединения.
1H-ЯМР (400 МГц, CDCl3); (м.д.) 7,20-7,24 (м, 1H), 7,31 (дд, 1H), 7,44-7,59 (м, 6H), 7,75 (дт, 1H), 7,91 (дд, 1H), 8,25 (д, 1H), 8,33 (д, 1H), 8,41 (дд, 1H), 8,59-9,62 (м, 1H).
Пример 5
3-(2-Цианофенил)-5-(2-пиридил)-2-метоксипиридин

Тетракистрифенилфосфинпалладий (0,15 г) добавляют к смешанному раствору 0,50 г 5-(2-пиридил)-3-бром-2-метоксипиридина, 0,42 г 2-(2-цианофенил)-1,3,2-диоксаборината, 0,82 г карбоната цезия и 20 мл диметилформамида и смесь перемешивают при 140°C в атмосфере азота в течение 5 часов. После охлаждения до комнатной температуры к смеси добавляют этилацетат, смесь промывают водой и насыщенным солевым раствором и сушат над сульфатом магния. Растворитель концентрируют в вакууме и остаток очищают колоночной хроматографией на силикагеле (этилацетат:гексан=1:3), получая 0,36 указанного в заголовке соединения в виде бледно-желтого порошка.
1H-ЯМР (CDCl3, 400 МГц); (м.д.) 4,03 (3H, с), 7,24-7,28 (1H, м), 7,46-7,51 (1H, ддд), 7,57 (1H, дд), 7,65-7,69 (1H, ддд), 7,72-7,82 (3H, м), 8,31 (1H, д), 8,66-8,69 (1H, м), 8,83 (1H, д).
Пример 6
3-(2-Цианофенил)-5-(2-пиридил)-2(1H)-пиридон
Хлорметилсилан (0,1 мл) добавляют к суспензии 0,20 г 3-(2-цианофенил)-5-(2-пиридил)-2-метоксипиридина и 0,12 г иодида натрия в 10 мл ацетонитрила и смесь перемешивают при комнатной температуре в течение 3 часов. К смеси добавляют насыщенный раствор бикарбоната натрия с последующей экстракцией этилацетатом. Этилацетатный слой промывают водой и насыщенным солевым раствором и сушат над сульфатом магния. Растворитель концентрируют в вакууме и остаток очищают колоночной хроматографией на силикагеле (система этилацетат:гексан=1:1), получая 0,11 г указанного в заголовке соединения в виде бледно-желтого порошка.
1H-ЯМР (ДМСО-d6, 400 МГц); (м.д.) 7,26-7,30 (1H, ддд), 7,55-7,60 (1H, ддд), 7,6 (1H, дд), 7,74-7,79 (1H, ддд), 7,80-7,86 (1H, ддд), 7,89-7,94 (2H, м), 8,28 (1H, д), 8,37 (1H, д), 8,56-8,59 (1H, м).
Пример 7
3-(2-Цианофенил)-1-фенил-5-(2-пиридил)-1,2-дигидропиридин-2-он
Суспензию 0,11 г 3-(2-цианофенил)-5-(2-пиридил)-2(1H)-пиридона, 0,12 г фенилбороновой кислоты, 0,1 г ацетата меди и 0,3 мл триэтиламина в 10 мл метиленхлорида перемешивают при комнатной температуре на протяжении ночи. К смеси добавляют 5 мл концентрированного водного аммиака, 10 мл воды и 40 мл этилацетата и органический слой отделяют, промывают водой и насыщенным солевым раствором и сушат над сульфатом магния. Растворитель концентрируют в вакууме и остаток очищают колоночной хроматографией на силикагеле (этилацетат:гексан=1:2), получая 0,06 г указанного в заголовке продукта в виде бледно-желтого порошка.
1H-ЯМР (ДМСО-d6, 400 МГц); (м.д.) 7,29-7,33 (1H, м), 7,48-7,63 (6H, м), 7,71-7,75 (1H, дд), 7,76-7,88 (2H, м), 7,92-7,95 (1H, м), 8,01 (1H, д), 8,48 (1H, д), 8,54 (1H, д), 8,58-8,61 (1H, м).
Пример 8
3-(2-Цианофенил)-5-(2-пиридил)-1-(3-нитрофенил)-1,2-дигидропиридин-2-он
Указанное в заголовке соединение получают таким же способом, как в примере 7.
1H-ЯМР (400 МГц, CDCl3); (м.д.) 7,24-7,28 (м, 1H), 7,49 (дт, 1H), 7,63-7,81 (м, 6H), 7,95-7,98 (м, 1H), 8,31-8,37 (м, 3H), 8,45 (т, 1H), 8,60-8,63 (м, 1H).
Пример 9
3-(2-Цианофенил)-5-(2-пиридил)-1-(3-аминофенил)-1,2-дигидропиридин-2-он
Порошок железа (180 мг) и 342 мг хлорида аммония добавляют к раствору 317 мг 3-(2-цианофенил)-5-(2-пиридил)-1-(3-нитрофенил)-1,2-дигидропиридин-2-она в смеси 10 мл 2-пропанола и 5 мл воды с последующим кипячением с обратным холодильником в течение 4 часов. Реакционную смесь концентрируют, распределяют между этилацетатом и водой, органический слой промывают водой, сушат и концентрируют и остаток очищают колоночной хроматографией на силикагеле (система этилацета/гексан), получая 235 мг указанного в заголовке соединения в виде бледно-желтого твердого вещества.
1H-ЯМР (400 МГц, CDCl3); (м.д.) 3,84 (с, 2H), 6,75 (дд, 1H), 6,82-6,87 (м, 2H), 7,20 (дд, 1H), 7,26-7,30 (м, 1H), 7,45 (тд, 1H), 7,59-7,65 (м, 2H), 7,72-7,80 (м, 3H), 8,29 (с, 2H), 8,56-8,61 (м, 1H)
Пример 10
3-(2-Цианофенил)-5-(2-пиридил)-1-(3-метилсульфониламинофенил)-1,2-дигидропиридин-2-он
Триэтиламин (0,2 мл) добавляют к раствору 31 мг 3-(2-цианофенил)-5-(2-пиридил)-1-(3-аминофенил)-1,2-дигидропиридин-2-она в 2 мл тетрагидрофурана, к смеси при охлаждении льдом по каплям добавляют 0,1 мл хлорида метансульфоновой кислоты и смесь перемешивают в течение 10 минут. К смеси добавляют 2 мл 2N гидроксида натрия, смесь перемешивают при комнатной температуре в течение 5 минут и распределяют между этилацетатом и водой, органический слой промывают водой, сушат и концентрируют и остаток очищают колоночной хроматографией на силикагеле (система этилацетат-гексан), получая 38 мг указанного в заголовке соединения в виде бледно-желтого аморфного вещества.
1H-ЯМР (400 МГц, CDCl3); (м.д.) 2,93 (с, 3H), 4,00-4,09 (м, 1H), 7,22-7,31 (м, 3H), 7,36 (т, 1H), 7,43 (т, 1H), 7,46 (дд, 1H), 7,61 (дт, 1H), 7,65 (тд, 1H), 7,73-7,78 (м, 3H), 8,27 (д, 1H), 8,31 (д, 1H), 8,59-8,61 (м, 1H).
Пример 11
3-(2-Цианофенил)-5-(2-пиридил)-1-(3-метиламинофенил)-1,2-дигидропиридин-2-он
Параформальдегид (41 мг) и 119 мг триацетоксиборгидрида натрия добавляют к раствору 50 мг 3-(2-цианофенил)-5-(2-пиридил)-1-(3-аминофенил)-1,2-дигидропиридин-2-она в 3 мл уксусной кислоты с последующим перемешиванием при комнатной температуре в течение одной ночи. К смеси добавляют водный раствор бикарбоната натрия, смесь экстрагируют этилацетатом, органический слой промывают водой, сушат и концентрируют и остаток очищают колоночной хроматографией на силикагеле (система этилацетат/гексан), получая 11 мг указанного в заголовке соединения в виде бледно-желтого твердого вещества.
1H-ЯМР (400 МГц, CDCl3); (м.д.) 2,00 (с, 3H), 7,11-7,14 (м, 1H), 7,21 (ддд, 1H), 7,35 (т, 1H), 7,44-7,49 (м, 2H), 7,59 (д, 1H), 7,66 (тд, 1H), 7,70-7,77 (м, 4H), 8,25 (д, 1H), 8,51 (с, 1H), 8,58-8,61 (м, 1H).
Пример 12
3-(2-Цианофенил)-5-(2-пиридил)-1-(3-диметиламинофенил)-1,2-дигидропиридин-2-он
Параформальдегид (41 мг) и 119 мг триацетоксиборгидрида натрия добавляют к раствору 50 мг 3-(2-цианофенил)-5-(2-пиридил)-1-(3-аминофенил)-1,2-дигидропиридин-2-она в 3 мл уксусной кислоты с последующим перемешиванием при комнатной температуре в течение 6 часов. К смеси дополнительно добавляют 41 мг параформальдегида и 119 мг триацетоксиборгидрида натрия, смесь перемешивают на протяжении одной ночи, к смеси добавляют водный раствор бикарбоната натрия, смесь экстрагируют этилацетатом, органический слой промывают водой, сушат и концентрируют и остаток очищают колоночной хроматографией на силикагеле (система этилацетат/гексан), получая 38 мг указанного в заголовке соединения в виде бледно-желтого аморфного вещества.
1H-ЯМР (400 МГц, CDCl3); (м.д.) 2,99 (с, 6H), 6,77-6,80 (м, 3H), 7,18-7,21 (м, 1H), 7,32-7,37 (м, 1H), 7,44 (т, 1H), 7,59-7,64 (м, 2H), 7,71-7,83 (м, 3H), 8,32 (с, 2H), 8,58-8,60 (м, 1H).
Пример 13
3-(2-Цианофенил)-5-(2-пиридил)-1-[3-(5-метоксиметил-2-оксазолидинон-3-ил)фенил]-1,2-дигидропиридин-2-он
Глицидилметиловый эфир (0,01 мл) и 22 мг периодата магния добавляют к раствору 38 мг 3-(2-цианофенил)-5-(2-пиридил)-1-(3-аминофенил)-1,2-дигидропиридин-2-она в 6 мл ацетонитрила с последующим перемешиванием при комнатной температуре. Спустя 2 часа в смесь дополнительно добавляют 0,01 мл глицидилметилового эфира и 22 мг периодата магния и смесь перемешивают при комнатной температуре в течение 1 часа и затем перемешивают при 50°C в течение еще одного часа. Реакционную смесь распределяют между этилацетатом и водой, органический слой промывают водой, сушат и концентрируют, остаток растворяют в 6 мл тетрагидрофурана, к раствору добавляют 32 мг карбонилдиимидазола и смесь нагревают при температуре кипения с обратным холодильником в течение 2 часов. Смесь распределяют между этилацетатом и водой и органический слой промывают водой, сушат и концентрируют и остаток очищают препаративной тонкослойной хроматографией (система этилацетат-гексан), получая 21 мг указанного в заголовке соединения в виде бледно-желтого твердого вещества.
1H-ЯМР (400 МГц, CDCl3); (м.д.) 3,43 (с, 3H), 3,64 (дд, 2H), 3,97 (дд, 1H), 4,09 (т, 1H), 4,77 (ддд, 1H), 7,22 (ддд, 1H), 7,29 (ддд, 1H), 7,46 (тд, 1H), 7,53 (т, 1H), 7,59-7,79 (м, 7H), 8,30 (д, 1H), 8,31 (д, 1H), 8,58-8,61 (м, 1H).
Пример 14
3-(2-Цианофенил)-5-(2-пиридил)-1-(3-метоксикарбонилфенил)-1,2-дигидропиридин-2-он
Указанное в заголовке соединение получают таким же способом, как в примере 7.
1H-ЯМР (400 МГц, CDCl3); (м.д.) 3,94 (с, 3H), 7,23 (ддд, 1H), 7,47 (тд, 1H), 7,59-7,68 (м, 4H), 7,73-7,80 (м, 3H), 7,88-7,91 (м, 2H), 8,31 (д, 1H), 8,32 (д, 1H), 8,59-8,61 (м, 1H).
Пример 15
3-(2-Цианофенил)-5-(2-пиридил)-1-(3-метиламинокарбонилфенил)-1,2-дигидропиридин-2-он
3-(2-Цианофенил)-5-(2-пиридил)-1-(3-метоксикарбонилфенил)-1,2-дигидропиридин-2-он (10 мг) добавляют к 6 мл 40% метанольного раствора метиламина с последующим перемешиванием при комнатной температуре в течение одной ночи. Реакционный раствор концентрируют в вакууме, получая 10 мг указанного в заголовке соединения в виде бледно-желтого твердого вещества.
1H-ЯМР (400 МГц, CDCl3); (м.д.) 3,00 (д, 3H), 6,51 (ушир.с, 1H), 7,23 (ддд, 1H), 7,47 (тд, 1H), 7,58-7,68 (м, 4H), 7,73-7,80 (м, 3H), 7,88-7,91 (м, 2H), 8,31 (д, 1H), 8,32 (д, 1H), 8,59-8,61 (м, 1H).
Пример 16
3-(2-Циано-3-пиридил)-5-(2-пиридил)-1-фенил-1,2-дигидропиридин-2-он
(Путь 1)
3-(2-Хлор-3-пиридил)-5-(2-пиридил)-1-фенил-1,2-дигидропиридин-2-он (281 мг) растворяют в 20 мл диметилформамида, добавляют 170 мг цианида меди и смесь перемешивают при 130°C в течение 10 часов. Реакционный раствор охлаждают до комнатной температуры, добавляют водный раствор аммиака и этилацетат, органический слой отделяют, промывают водой и сушат над безводным сульфатом натрия, осушитель отфильтровывают, фильтрат концентрируют в вакууме и остаток очищают колоночной хроматографией на силикагеле (система гексан-этилацетат), получая 120 мг указанного в заголовке соединения в виде бесцветного аморфного вещества.
(Путь 2)
3-Бром-5-(2-пиридил)-1-фенил-1,2-дигидропиридин-2-он (2,9 г), синтезированный способом, упомянутым в Ссылочном примере 6, растворяют в 200 мл ксилола, добавляют 5 мл бис(трибутилолова) и 400 мг тетракистрифенилфосфин-палладия и смесь перемешивают при 140°C в течение 2 часов. К реакционной смеси добавляют 3-бром-2-цианопиридин (3,2 г) и 100 мг тетракистрифенилфосфин-палладия и смесь перемешивают при 140°C в течение 2 часов. Тетракистрифенилфосфин-палладий (1,0 г) и 800 мг иодида меди делят на четыре части и добавляют по частям каждый 1 час, затем к смеси добавляют 2 г 3-бром-2-цианопиридина и смесь перемешивают при 140°C в течение одной ночи. Реакционный раствор охлаждают до комнатной температуры, в него добавляют воду и этилацетат, органический слой отделяют, промывают водой и сушат над безводным сульфатом натрия, осушитель отфильтровывают, фильтрат концентрируют в вакууме и остаток очищают колоночной хроматографией на силикагеле (система гексан-этилацетат), получая 1,8 г указанного в заголовке соединения в виде бесцветного аморфного вещества.
1H-ЯМР (400 МГц, CDCl3); (м.д.) 7,24 (ддд, 1H), 7,47-5,57 (м, 6H), 7,63 (д, 1H), 7,68 (тд, 1H), 8,22 (дд, 1H), 8,37 (дд, 1H), 8,43 (д, 1H), 8,59-8,61 (м, 1H), 8,69 (дд, 1H).
ЭРИ-МС; 351 [M++H].
Пример 17
3-(2-Хлорфенил)-5-(2-пиридил)-1-(4-метоксифенил)-1,2-дигидропиридин-2-он
Указанное в заголовке соединение получают таким же способом, как в примере 4.
1H-ЯМР (400 МГц, CDCl3); (м.д.) 3,84 (с, 3H), 6,98-7,03 (м, 2H), 7,19 (ддд, 1H), 7,28-7,33 (м, 2H), 7,40-7,46 (м, 2H), 7,46-7,51 (м, 2H), 7,53-7,57 (м, 1H), 7,72 (ддд, 1H), 8,12 (д, 1H), 8,29 (д, 1H), 8,57-8,61 (м, 1H).
Пример 18
3-(2-Хлорфенил)-5-(2-пиридил)-1-(4-гидроксифенил)-1,2-дигидропиридин-2-он
3-(2-Хлорфенил)-5-(2-пиридил)-1-(4-метоксифенил)-1,2-дигидропиридин-2-он (440 мг) растворяют в 5 мл 48% бромистоводородной кислоты и кипятят с обратным холодильником в течение 1 часа. После предоставления возможности реакционному раствору охладиться до комнатной температуры указанный раствор разбавляют насыщенным водным раствором бикарбоната натрия и экстрагируют этилацетатом. Органический слой промывают водой и сушат над безводным сульфатом магния. Осушитель отфильтровывают и фильтрат концентрируют в вакууме и очищают колоночной хроматографией на силикагеле (система гексан-этилацетат), получая 292 мг указанного в заголовке соединения
1H-ЯМР (400 МГц, CDCl3); (м.д.) 6,67-6,73 (м, 2H), 7,12-7,18 (м, 2H), 7,19-7,24 (м, 1H), 7,30-7,38 (м, 2H), 7,47-7,53 (м, 2H), 7,56 (д, 1H), 7,70 (с, 1H), 7,73 (ддд, 1H), 8,18 (д, 1H), 8,26 (д, 1H), 8,57-8,62 (м, 1H).
Пример 19
3-(2-Хлорфенил)-5-(2-пиридил)-1-(4-диметиламиноэтоксифенил)-1,2-дигидропиридин-2-он
3-(2-Хлорфенил)-5-(2-пиридил)-1-(4-гидроксифенил)-1,2-дигидропиридин-2-он (82 мг) и 57 мг N,N-диметиламиноэтилхлорида растворяют 2 мл диметилформамида, к смеси добавляют 55 мг карбоната калия при 60°C и смесь перемешивают в течение одной ночи. Реакционный раствор разбавляют водой и экстрагируют этилацетатом. Органический слой промывают насыщенным солевым раствором и сушат над безводным сульфатом магния. Осушитель отфильтровывают и фильтрат концентрируют в вакууме и очищают колоночной хроматографией на NH-модифицированном силикагеле (система гексан-этилацетат), получая 27 мг указанного в заголовке соединения.
1H-ЯМР (400 МГц, CDCl3); (м.д.) 2,55 (с, 6H), 2,76 (т, 2H), 4,11 (т, 2H), 6,99-7,05 (м, 2H), 7,19 (ддд, 1H), 7,26-7,34 (м, 2H), 7,39-7,45 (м, 2H), 7,45-7,51 (м, 2H), 7,55 (д, 1H), 7,72 (ддд, 1H), 8,12 (д, 1H), 8,28 (д, 1H), 8,57-8,61 (м, 1H).
Пример 20
3-(2-Цианофенил)-5-(2-пиридил)-1-(3-формилфенил)-1,2-дигидропиридин-2-он
Указанное в заголовке соединение получают таким же способом, как в примере 7.
1H-ЯМР (400 МГц, CDCl3); (м.д.) 7,24 (ддд, 1H), 7,84 (ддд, 1H), 7,63 (д, 1H), 7,66 (ддд, 1H), 7,72 (дд, 1H), 7,75-7,82 (м, 3H), 7,84-7,88 (м, 1H), 8,00 (ддд, 1H), 8,05-8,08 (м, 1H), 8,32 (д, 1H), 8,35 (д, 1H), 8,59-8,62 (м, 1H), 10,08 (с, 1H).
Пример 21
3-(2-Цианофенил)-5-(2-пиридил)-1-(3-гидроксиметилфенил)-1,2-дигидропиридин-2-он
3-(2-Цианофенил)-5-(2-пиридил)-1-(3-формилфенил)-1,2-дигидропиридин-2-он (585 мг) растворяют в 20 мл метанола, добавляют при охлаждении льдом 260 мг боргидрида натрия и смесь перемешивают при комнатной температуре на протяжении одной ночи. Реакционный раствор разбавляют этилацетатом, промывают насыщенным раствором соли и сушат над безводным сульфатом магния. Осушитель отфильтровывают и фильтрат концентрируют в вакууме и очищают колоночной хроматографией на NH-модифицированном силикагеле (этилацетат). Полученные неочищенные кристаллы перекристаллизовывают из смеси этилацетат-диэтиловый эфир, получая 320 мг указанного в заголовке соединения.
1H-ЯМР (400 МГц,ДМСО-d6); (м.д.) 4,60 (д, 2H), 5,37 (т, 1H), 7,29-7,33 (м, 1H), 7,42-7,47 (м, 2H), 7,48-7,55 (м, 2H), 7,59 (ддд, 1H), 7,73 (дд, 1H), 7,78 (дд, 1H), 7,83 (ддд, 1H), 7,94 (дд, 1H), 8,01 (д, 1H), 8,48 (д, 1H), 8,52 (д, 1H), 8,57-8,61 (м, 1H).
Пример 22
3-(2-Цианофенил)-5-(2-пиридил)-1-(3-цианометилфенил)-1,2-дигидропиридин-2-он
3-(2-Цианофенил)-5-(2-пиридил)-1-(3-гидроксифенил)-1,2-дигидропиридин-2-он (53 мг) растворяют в 2 мл тетрагидрофурана, затем в смесь добавляют 60 мкл триэтиламина и 20 мкл метансульфонилхлорида при охлаждении льдом и смесь перемешивают при комнатной температуре в течение 3 часов. Реакционный раствор разбавляют водным раствором бикарбоната натрия и экстрагируют этилацетатом и экстракт сушат над безводным сульфатом магния. Осушитель отфильтровывают, фильтрат концентрируют в вакууме, полученный остаток растворяют в 1 мл диметилсульфоксида, добавляют 3 мг цианида натрия и смесь перемешивают при комнатной температуре в течение 1 часа. Реакционный раствор разбавляют этилацетатом, промывают водным раствором бикарбоната натрия и насыщенным солевым раствором и сушат над безводным сульфатом магния. Осушитель отфильтровывают, фильтрат концентрируют в вакууме и полученные неочищенные кристаллы перекристаллизовывают из смеси этилацетат-диэтиловый эфир-гексан, получая 12 мг указанного в заголовке соединения.
1H-ЯМР (400 МГц, CDCl3); (м.д.) 3,85 (с, 2H), 7,21-7,26 (м, 1H), 7,41-7,81 (м, 10H), 8,29-8,32 (м, 2H), 8,59-8,62 (м, 1H).
Нижеследующие соединения получают таким же способом, как в вышеупомянутом примере 22.
Пример 23
3-(2-Цианофенил)-5-(2-пиридил)-1-(3-ацетиламинометилфенил)-1,2-дигидропиридин-2-он
1H-ЯМР (400 МГц, CDCl3); (м.д.) 2,04 (с, 3H) 4,47-4,52 (м, 2H), 7,22 (ддд, 1H), 7,37-7,53 (м, 5H), 7,61 (д, 1H), 7,65 (ддд, 1H), 7,72-7,81 (м, 3H), 8,28 (д, 1H), 8,31 (д, 1H), 8,59-8,62 (м, 1H).
Пример 24
3-(2-Цианофенил)-5-(2-пиридил)-1-(3-метилсульфониламинометилфенил)-1,2-дигидропиридин-2-он
1H-ЯМР (400 МГц, CDCl3); (м.д.) 2,91 (с, 3H), 4,36 (д, 2H), 5,00-5,06 (м, 1H), 7,22 (ддд, 1H), 7,43-7,49 (м, 3H), 7,50-7,55 (м, 2H), 7,61 (ддд, 1H), 7,64 (ддд, 1H), 7,73-7,79 (м, 3H), 8,28-8,31 (м, 2H), 8,60 (ддд, 1H).
Пример 25
3-(2-Цианофенил)-5-(2-пиридил)-1-(3-ацетоксиметилфенил)-1,2-дигидропиридин-2-он
К 56 мг 3-(2-цианофенил)-5-(2-пиридил)-1-(3-гидроксиметилфенил)-1,2-дигидропиридин-2-она добавляют 1 мл уксусного ангидрида и 1 мл пиридина и смесь перемешивают при комнатной температуре на протяжении одной ночи. Реакционный раствор концентрируют в вакууме и очищают хроматографией на NH-модифицированном силикагеле (система гексан-этилацетат), получая 30 мг указанного в заголовке соединения.
1H-ЯМР (400 МГц, CDCl3); (м.д.) 2,13 (с, 3H), 5,18 (с, 2H), 7,23 (ддд, 1H), 7,44-7,56 (м, 5H), 7,60-7,67 (м, 2H), 7,73-7,81 (м, 3H), 8,30-8,33 (м, 2H), 8,59-8,62 (м, 1H).
Пример 26
3-(2-Цианофенил)-5-(2-пиридил)-1-(4-метилтиофенил)-1,2-дигидропиридин-2-он
Указанное в заголовке соединение получают таким же способом, как в примере 7.
1H-ЯМР (400 МГц, CDCl3); (м.д.) 2,53 (с, 3H), 7,21-7,24 (м, 1H), 7,36-8,79 (м, 10H), 8,28-8,32 (м, 2H), 8,59-8,61 (м, 1H).
Пример 27
3-(2-Цианофенил)-5-(2-пиридил)-1-(4-метилсульфонилфенил)-1,2-дигидропиридин-2-он
70% м-хлорпербензойную кислоту (500 мг) добавляют понемногу на протяжении 2 часов к раствору 50 мг 3-(2-цианофенил)-5-(2-пиридил)-1-(4-метилтиофенил)-1,2-дигидропиридин-2-она в 4 мл метиленхлорида с последуюшим перемешиванием при охлаждении льдом. К смеси добавляют насыщенный водный раствор бикарбоната натрия, смесь распределяют между этилацетатом и водой, органический слой промывают водой, сушат и концентрируют и остаток очищают колоночной хроматографией на силикагеле (система этилацетат-гексан), получая 5 мг указанного в заголовке соединения в виде желтого твердого вещества.
1H-ЯМР (400 МГц, CDCl3); (м.д.) 3,11 (с, 3H), 7,24-7,28 (м, 1H), 7,50 (дт, 1H), 7,61-7,82 (м, 7H), 8,20 (д, 2H), 8,30-8,33 (м, 2H), 8,60-8,63 (м, 1H).
Пример 28
3-(2-Цианофенил)-5-(2-формилтиофен-3-ил)-1-фенил-1,2-дигидропиридин-2-он
Указанное в заголовке соединение получают согласно примеру 1.
1H-ЯМР (400 МГц, CDCl3); (м.д.) 7,29 (д, 1H), 7,42-7,57 (м, 6H), 7,65 (дт, 1H), 7,71 (д, 1H), 7,77-7,82 (м, 3H), 7,85 (д, 1H), 10,10 (с, 1H).
Пример 29
3-(2-Цианофенил)-5-(2-диэтиламинометилтиофен-3-ил)-1-фенил-1,2-дигидропиридин-2-он
Раствор 20 мг 3-(2-цианофенил)-5-(2-формилтиофен-3-ил)-1-фенил-1,2-дигидропиридин-2-она, 0,1 мл 2M раствора диэтиламина в тетрагидрофуране и 0,1 мл уксусной кислоты в 2 мл тетрагидрофурана перемешивают при комнатной температуре в течение 15 минут, добавляют 20 мг триацетоксиборгидрида натрия и смесь перемешивают в течение еще 3 часов. К смеси добавляют 2N водный раствор гидроксида натрия, смесь экстрагируют этилацетатом и органический слой промывают водой и насыщенным солевым раствором и сушат над сульфатом магния. Растворитель концентрируют в вакууме и остаток очищают колоночной хроматографией на NH-модифицированном силикагеле, получая 15 мг указанного в заголовке соединения в виде белого порошка.
1H-ЯМР (400 МГц, CDCl3); (м.д.) 1,38 (т, 6H), 2,99-3,20 (м, 4H), 4,57 (д, 2H), 7,07 (д, 1H), 7,40-7,58 (м, 8H), 7,60-7,67 (м, 2H), 7,77 (д, 1H), 7,87 (д, 1H).
Пример 30
3-(2-цианофенил)-5-(2-гидроксиметилтиофен-3-ил)-1-фенил-1,2-дигидропиридин-2-он
Триацетоксиборгидрид натрия (10 мг) добавляют к раствору 10 мг 3-(2-цианофенил)-5-(2-формилтиофен-3-ил)-1-фенил-1,2-дигидропиридин-2-она в 2 мл тетрагидрофурана и смесь перемешивают в течение 1 часа. К смеси добавляют 10% водный раствор карбоната натрия, смесь экстрагируют этилацетатом и органический слой промывают водой и насыщенным солевым раствором и сушат над сульфатом магния. Растворитель концентрируют в вакууме и остаток очищают колоночной хроматографией на NH-модифицированном силикагеле, получая 8 мг указанного в заголовке соединения в виде белого порошка.
1H-ЯМР (400 МГц, CDCl3): (м.д.) 4,86 (с, 2H), 7,11 (д, 1H), 7,33 (д, 1H), 7,42-7,54 (м, 6H), 7,60-7,65 (м, 1H), 7,75 (д, 1H) 7,66-7,79 (м, 1H), 7,81-7,84 (м, 1H), 7,91 (д, 1H).
МС (ЭРИ): 385 (MH+).
Пример 31
3-(2-Цианофенил)-5-(2-пиридил)-1-бензил-1,2-дигидропиридин-2-он
3-(2-Цианофенил)-5-(2-пиридил)-2(1H)-пиридон (46 мг), 36 мг бензилового спирта и 88 мг трифенилфосфина растворяют в 2 мл тетрагидрофурана, добавляют при охлаждении льдом 147 мг 40% раствора диэтилазодикарбоксилата в толуоле и смесь перемешивают при комнатной температуре в течение 1 часа. Реакционный раствор концентрируют в вакууме и очищают хроматографией на силикагеле (система гексан-этилацетат), получая 12 мг указанного в заголовке соединения.
1H-ЯМР (400 МГц, CDCl3); (м.д.) 5,33 (с, 2H), 7,18 (ддд, 1H), 7,31-7,40 (м, 3H), 7,42-7,48 (м, 3H), 7,53 (дд, 1H), 7,64 (ддд, 1H), 7,68-7,79 (м, 3H), 8,18 (д, 1H), 8,30 (д, 1H), 8,56-8,60 (м, 1H).
Пример 32
3-(2-Цианофенил)-5-(2-пиридил)-1-(3-пиридил)-1,2-дигидропиридин-2-он
3-Бром-5-(2-пиридил)-1-(3-пиридил)-1,2-дигидропиридин-2-он (5,39 г) растворяют в 200 мл диметилформамида, затем к смеси добавляют 6,42 г карбоната цезия, 3,69 г 2-(2′-цианофенил)-1,3,2-диоксаборината и 949 мг тетракистрифенилфосфин-палладия и смесь перемешивают при 120°C в течение 1 часа. Реакционный раствор охлаждают до комнатной температуры, к смеси добавляют воду и этилацетат, органический слой отделяют, промывают водой и сушат над безводным сульфатом магния, осушитель отфильтровывают, фильтрат концентрируют в вакууме и остаток очищают колоночной хроматографией на силикагеле (система гексан-этилацетат), получая 4,8 г указанного в заголовке соединения в виде бесцветного аморфного вещества.
1H-ЯМР (400 МГц, CDCl3); (м.д.) 7,22-7,26 (м, 1H), 7,46-7,52 (м, 2H), 7,62 (дт, 1H), 7,66 (тд, 1H), 7,74-7,81 (м, 3H), 7,97 (ддд, 1H), 8,32 (с, 2H), 8,61 (ддд, 1H), 8,72 (дд, 1H), 8,80-8,81 (м, 1H).
ЭРИ-МС; 351 [M+ + H].
Нижеследующие соединения синтезируют способом, упомянутым в примере 1.
Пример 33
3-(2-Пиридил)-5-(2-цианофенил)-1-фенил-1,2-дигидропиридин-2-он
1H-ЯМР (400 МГц, ДМСО-d6); (м.д.) 7,35-7,40 (1H, м), 7,49-7,64 (5H, м), 7,77-7,81 (2H, м), 7,86 (1H, дт), 7,96 (1H, д), 8,22 (1H, д), 8,51 (1H, д), 8,66-8,71 (2H, м).
Пример 34
3-(2-Цианофенил)-5-(3-пиридил)-1-фенил-1,2-дигидропиридин-2-он
1H-ЯМР (400 МГц, CDCl3); (м.д.) 7,38 (дд, 1H), 7,45-7,58 (м, 6H), 7,65 (ддд, 1H), 7,72 (д, 1H), 7,77-7,86 (м, 3H), 7,94 (д, 1H), 8,60 (дд, 1H), 8,79 (д, 1H).
Пример 35
3-(2-Цианофенил)-5-(4-пиридил)-1-фенил-1,2-дигидропиридин-2-он
1H-ЯМР (400 МГц, CDCl3); (м.д.) 7,44 (дд, 2H), 7,46-7,58 (м, 6H), 7,66 (ддд, 1H), 7,81 (дд, 2H), 7,84 (д, 1H), 8,01 (д, 1H), 8,66 (дд, 2H).
Пример 36
3-(2-Цианофенил)-5-(2-цианофенил)-1-фенил-1,2-дигидропиридин-2-он
1H-ЯМР (400 МГц, CDCl3); (м.д.) 7,26-7,59 (м, 7H), 7,62-7,72 (м, 2H), 7,76-7,80 (м, 2H), 7,82-7,84 (м, 1H), 7,86-7,88 (м, 2H).
ЭРИ-МС; 374 [M++H].
Пример 37
3,5-Дифенил-1-(2-пиридил)-1,2-дигидропиридин-2-он
1H-ЯМР (400 МГц, ДМСО-d6); (м.д.) 7,36-7,40 (3H, м), 7,41-7,47 (4H, м), 7,52-7,56 (2H, м), 7,74-7,78 (2H, м), 7,84-7,90 (2H, м), 7,98-8,01 (1H, м), 8,11 (1H, д), 8,61-8,63 (1H, м).
Пример 38
3-Фенил-5-(2-цианофенил)-1-(2-пиридил)-1,2-дигидропиридин-2-он
1H-ЯМР (400 МГц, ДМСО-d6); (м.д.) 7,34-7,40 (2H, м), 7,40-7,50 (3H, м), 7,53 (2H, дд), 7,67 (1H, дт), 7,75-7,81 (2H, м), 7,83 (1H, д), 7,88 (1H, дт), 8,02 (1H, д), 8,15 (1H, д), 8,59-8,62 (1H, м).
Пример 39
3-(2-Цианофенил)-5-фенил-1-(2-пиридил)-1,2-дигидропиридин-2-он
1H-ЯМР (400 МГц, ДМСО-d6); (м.д.) 7,33-7,40 (2H, м), 7,41-7,50 (3H, м), 7,54-7,59 (2H, м), 7,65 (1H, дт), 7,75 (1H, дд), 7,80 (1H, дд), 7,88 (1H, дт), 7,96 (1H, д), 8,03 (1H, д), 8,23 (1H, д), 8,60-8,64 (1H, м).
Пример 40
3-(2-Цианофенил)-5-(2-цианофенил)-1-(2-пиридил)-1,2-дигидропиридин-2-он
1H-ЯМР (400 МГц, ДМСО-d6); (м.д.) 7,36-7,40 (1H, м), 7,45-7,51 (2H, м), 7,61-7,66 (1H, м), 7,66-7,71 (2H, м), 7,75-7,80 (3H, м), 7,86-7,91 (2H, м), 8,05-8,09 (1H, м), 8,34 (1H, д), 8,59-8,62 (1H, м).
Пример 41
3-(2-Цианофенил)-1,5-дифенил-1,2-дигидропиридин-2-он
1H-ЯМР (400 МГц, CDCl3); (м.д.) 7,32-7,37 (м, 1H), 7,41-7,56 (м, 10H), 7,63 (тд, 1H), 7,69 (д, 1H), 7,77-7,82 (м, 2H), 7,98 (д, 1H).
ЭРИ-МС; 349 [M+ + H].
Пример 42
3-(2-Цианофенил)-5-(2-метоксифенил)-1-фенил-1,2-дигидропиридин-2-он
1H-ЯМР (400 МГц, CDCl3); (м.д.) 3,88 (с, 3H), 6,95-7,04 (м, 3H), 7,29-7,54 (м, 7H), 7,58-7,64 (м, 1H), 7,71 (д, 1H), 7,74-7,79 (м, 2H), 7,95 (д, 1H).
Пример 43
3-(2-Цианофенил)-5-(3,4-диметоксифенил)-1-фенил-1,2-дигидропиридин-2-он
1H-ЯМР (400 МГц, CDCl3); (м.д.) 3,91 (с, 3H), 3,94 (с, 3H), 6,92 (д, 1H), 7,00-7,02 (м, 1H), 7,04 (дд, 1H), 7,40-7,59 (м, 6H), 7,60-7,68 (м, 2H), 7,76-7,79 (м, 1H), 7,82-7,86 (м, 1H), 7,97 (д, 1H).
Пример 44
3-(2-Цианофенил)-5-(тиофен-3-ил)-1-фенил-1,2-дигидропиридин-2-он
1H-ЯМР (400 МГц, CDCl3); (м.д.) 7,24 (дд, 1H), 7,35 (дд, 1H), 7,41 (дд, 1H), 7,43-7,56 (м, 6H), 7,63 (дт, 1H), 7,70 (д, 1H), 7,76-7,81 (м, 2H), 7,96 (д, 1H).
Пример 45
3-(2-Цианофенил)-5-(2-фторфенил)-1-фенил-1,2-дигидропиридин-2-он
1H-ЯМР (400 МГц, CDCl3); (м.д.) 7,16 (ддд, 1H), 7,23 (дт, 1H), 7,29-7,36 (м, 1H), 7,42-7,54 (м, 6H), 7,60-7,67 (м, 2H), 7,74-7,81 (м, 3H), 7,92 (дд, 1H).
Пример 46
3-(2-Цианофенил)-5-(тиофен-2-ил)-1-фенил-1,2-дигидропиридин-2-он
1H-ЯМР (400 МГц, CDCl3); (м.д.) 7,07 (дд, 1H), 7,17 (дд, 1H), 7,25-7,28 (м, 1H), 7,43-7,56 (м, 6H), 7,64 (дт, 1H), 7,72 (д, 1H), 7,74-7,80 (м, 2H), 7,93 (д, 1H).
Пример 47
3-(2-Цианофенил)-5-фенил-1-(3-пиридил)-1,2-дигидропиридин-2-он
1H-ЯМР (400 МГц, ДМСО-d6); (м.д.) 7,32-7,39 (1H, м), 7,41-7,47 (2H, м), 7,52-7,65 (2H, м), 7,73-7,80 (4H, м), 7,94 (1H, д), 8,06-8,11 (1H, м), 8,20 (1H, д), 8,25 (1H, д), 8,68 (1H, дд), 8,83 (1H, д).
Пример 48
3-(2-Цианофенил)-5-(3-фурил)-1-фенил-1,2-дигидропиридин-2-он
1H-ЯМР (400 МГц, CDCl3); (м.д.) 6,55 (дд, 1H), 7,42-7,56 (м, 7H), 7,58 (д, 1H), 7,60-7,67 (м, 2H), 7,74-7,79 (м, 2H), 7,82 (д, 1H).
Пример 49
3-(2-Цианофенил)-5-(2-фурил)-1-фенил-1,2-дигидропиридин-2-он
1H-ЯМР (400 МГц, CDCl3); (м.д.) 7,12-7,24 (м, 2H), 7,42-7,55 (м, 6H), 7,58-7,65 (м, 3H), 7,66 (д, 1H), 7,74-7,77 (м, 2H).
Пример 50
3-(2-Цианофенил)-5-(2,4-диметоксипиримидин-5-ил)-1-фенил-1,2-дигидропиридин-2-он
1H-ЯМР (400 МГц, CDCl3); (м.д.) 4,03 (с, 3H), 4,07 (с, 3H), 7,42-7,57 (м, 5H), 7,60-7,70 (м, 3H), 7,75-7,80 (м, 2H), 7,86 (д, 1H), 8,29 (с, 1H).
Пример 51
3-(2-Цианофенил)-5-(3-метоксипиридин-5-ил)-1-фенил-1,2-дигидропиридин-2-он
1H-ЯМР (400 МГц, CDCl3); (м.д.) 3,92 (с, 3H), 7,30-7,34 (м, 1H), 7,44-7,58 (м, 6H), 7,65 (ддд, 1H), 7,72 (д, 1H), 7,77-7,84 (м, 2H), 7,95 (д, 1H), 8,28-8,33 (м, 1H), 8,36-8,40 (м, 1H).
Пример 52
3-(2-Цианофенил)-5-(2-метоксифенил)-1-(3-пиридил)-1,2-дигидропиридин-2-он
1H-ЯМР (400 МГц, CDCl3); (м.д.) 3,89 (с, 3H), 7,00 (д, 1H), 7,03-7,08 (ддд, 1H), 7,35-7,40 (м, 2H), 7,46-7,51 (ддд, 1H), 7,63-7,72 (м, 2H), 7,72 (д, 1H), 7,77-7,80 (дд, 1H), 7,82-7,88 (м, 1H), 7,95 (д, 1H), 8,47-8,52 (д, 1H), 8,75-8,80 (м, 1H), 8,96 (ушир.с, 1H).
Пример 53
3-(2-Цианофенил)-5-[2-метокси-5-(2-цианофенил)фенил]-1-(3-пиридил)-1,2-дигидропиридин-2-он
1H-ЯМР (400 МГц, CDCl3); (м.д.) 3,97 (с, 3H), 7,12 (д, 1H), 7,41-7,50 (м, 2H), 7,54-7,62 (м, 3H), 7,62-7,68 (ддд, 2H), 7,70-7,80 (м, 5H), 8,03 (д, 1H), 8,32-8,38 (м, 1H), 8,71-8,76 (м, 1H), 8,93 (ушир.с, 1H).
Пример 54
3-(2-Цианофенил)-5-(3-метилпиридин-2-ил)-1-фенил-1,2-дигидропиридин-2-он
1H-ЯМР (400 МГц, CDCl3); (м.д.) 2,56 (с, 3H), 7,42-7,70 (м, 10H), 7,71-7,78 (м, 2H), 7,89-7,93 (м, 1H), 8,46-8,54 (м, 1H).
Нижеследующие соединения синтезируют способом, который является таким же, или по способу, изложенному в примере 4.
Пример 55
3-(2-Метоксифенил)-5-(2-пиридил)-1-фенил-1,2-дигидропириин-2-он
1H-ЯМР (ДМСО-d6, 400 МГц); (м.д.) 3,76 (3H, с), 7,00 (1H, дт), 7,09 (1H, д), 7,25-7,40 (3H, м), 7,46-7,60 (4H, м), 7,76-7,84 (2H, м), 7,94 (1H, д), 8,23 (1H, д), 8,38 (1H, д), 8,55-8,58 (1H, м).
Пример 56
3-(2-Метоксифенил)-5-(2-пиридил)-1-(4-фторфенил)-1,2-дигидропиридин-2-он
1H-ЯМР (CDCl3, 400 МГц); (м.д.) 3,82 (3H, с), 6,97-7,05 (2H, м), 7,16-7,23 (2H, м), 7,24-7,32 (1H, м), 7,36 (1H, дт), 7,44 (1H, дд), 7,50-7,66 (2H, м), 7,74-7,90 (1H, м), 8,02-8,08 (1H, м), 8,18-8,45 (2H, м), 8,58-8,64 (1H, м).
Пример 57
3-(2-Хлорфенил)-5-(2-пиридил)-1-фенил-1,2-дигидропиридин-2-он
1H-ЯМР (CDCl3, 400 МГц); (м.д.) 6,76-6,81 (2H, м), 6,86-6,91 (1H, м), 7,17-7,22 (2H, м), 7,26-7,75 (5H, м), 7,61 (1H, д), 7,78-7,86 (1H, м), 8,11 (1H, д), 8,41 (1H, ушир.с), 8,60-8,64 (1H, м).
Пример 58
3-(2-Метоксикарбонилфенил)-5-(2-пиридил)-1-фенил-1,2-дигидропиридин-2-он
1H-ЯМР (ДМСО-d6, 400 МГц); (м.д.) 3,65 (3H, с), 7,28-7,32 (1H, м), 7,47-7,71 (8H, м), 7,78-7,86 (2H, м), 8,01-8,20 (1H, м), 8,33 (1H, д), 8,42 (1H, д), 8,58-8,60 (1H, м).
Пример 59
3-(2-Метиламинокарбонилфенил)-5-(2-пиридил)-1-фенил-1,2-дигидропиридин-2-он
1H-ЯМР (ДМСО-d6, 400 МГц); (м.д.) 2,65 (3H, д), 7,26-7,31 (1H, м), 7,40-7,45 (1H, м), 7,46-7,53 (5H, м), 7,53-7,59 (2H, м), 7,80-7,86 (1H, м), 7,96 (1H, д), 8,06-8,12 (1H, м), 8,22 (1H, д), 8,37 (1H, д), 8,57-8,60 (1H, м).
Пример 60
3-(2-Толил)-5-(2-пиридил)-1-фенил-1,2-дигидропиридин-2-он
1H-ЯМР (ДМСО-d6, 400 МГц); (м.д.) 2,24 (3H, с), 7,22-7,34 (4H, м), 7,47-7,60 (6H, м), 7,78-7,84 (1H, м), 7,99 (1H, д), 8,21-8,24 (1H, м), 8,44-8,47 (1H, м), 8,55-8,59 (1H, м).
Пример 61
3-Фенил-5-(2-пиридил)-1-фенил-1,2-дигидропиридин-2-он
1H-ЯМР (ДМСО-d6, 400 МГц); (м.д.) 7,28-7,32 (1H, м), 7,35-7,40 (1H, м), 7,41-7,47 (2H, м), 7,49-7,54 (2H, м), 7,56-7,60 (3H, м), 7,76-7,86 (3H, м), 8,02 (1H, дд), 8,42 (1H, д), 8,44 (1H, д), 8,58-8,61 (1H, м).
Пример 62
3-(2-Пиридил)-5-(2-пиридил)-1-фенил-1,2-дигидропиридин-2-он
1H-ЯМР (ДМСО-d6, 400 МГц); (м.д.) 7,29-7,40 (2H, м), 7,50-7,63 (5H, м), 7,80-7,88 (2H, м), 7,99 (1H, д), 8,50 (1H, д), 8,54 (1H, д), 8,62-8,66 (1H, м), 8,70-8,74 (1H, м), 9,31 (1H, д).
Пример 63
3-(3-Цианофенил)-5-(2-пиридил)-1-фенил-1,2-дигидропиридин-2-он
1H-ЯМР (CDCl3, 400 МГц); (м.д.) 7,24 (ддд, 1H), 7,46-7,66 (м, 8H), 7,78 (тд, 1H), 8,10 (дт, 1H), 8,16 (т, 1H), 8,25 (д, 1H), 8,31 (д, 1H), 8,61-8,63 (м, 1H).
Пример 64
3-(4-Цианофенил)-5-(2-пиридил)-1-фенил-1,2-дигидропиридин-2-он
1H-ЯМР (CDCl3, 400 МГц); (м.д.) 7,22-7,26 (м, 1H), 7,47-7,60 (м, 6H), 7,70-7,78 (м, 3H), 7,95-7,98 (м, 2H), 8,26 (д, 1H), 8,33 (д, 1H), 8,61-8,63 (м, 1H).
Пример 65
3-(3-Хлорфенил)-5-(2-пиридил)-1-фенил-1,2-дигидропиридин-2-он
1H-ЯМР (CDCl3, 400 МГц); (м.д.) 7,21-7,36 (м, 3H), 7,47-7,76 (м, 5H), 7,58-7,60 (м, 1H), 7,71-7,75 (м, 2H), 7,84-7,87 (м, 1H), 8,23-8,26 (м, 2H), 8,60-8,63 (м, 1H).
ЭРИ-МС; 359 [M+ + H].
Пример 66
3-(4-Хлорфенил)-5-(2-пиридил)-1-фенил-1,2-дигидропиридин-2-он
1H-ЯМР (CDCl3, 400 МГц); (м.д.) 7,22 (ддд, 1H), 7,37-7,41 (м, 2H), 7,44-7,60 (м, 5H), 7,72-7,80 (м, 3H), 8,12-8,16 (м, 1H), 8,21-8,25 (м, 2H), 8,62 (ддд, 1H).
ЭРИ-МС; 359 [M+ + H].
Пример 67
3-(3-Пиридил)-5-(2-пиридил)-1-фенил-1,2-дигидропиридин-2-он
1H-ЯМР (CDCl3, 400 МГц); (м.д.) 7,22-7,52 (м, 1H), 7,33-7,37 (м, 1H), 7,45-7,57 (м, 5H), 7,59-7,61 (м, 1H), 7,56 (тд, 1H), 8,24-8,27 (м, 2H), 8,30 (д, 1H), 8,59 (дд, 1H), 8,61-8,63 (м, 1H), 8,95-8,96 (м, 1H).
ЭРИ-МС; 326 [M+ + H].
Пример 68
3-(2-Аминокарбонил-3-пиридил)-5-(2-пиридил)-1-фенил-1,2-дигидропиридин-2-он
1H-ЯМР (CDCl3, 400 МГц); (м.д.) 5,46 (ушир.с, 1H), 7,19 (ддд, 1H), 7,39-7,53 (м, 6H), 7,55-7,58 (м, 1H), 7,58 (ушир.с, 1H), 7,71 (ддд, 1H), 7,82 (дд, 1H), 8,08 (д, 1H), 8,21 (д, 1H), 8,57 (дд, 1H), 8,59 (ддд, 1H).
Пример 69
3-(3-Метоксифенил)-5-(2-пиридил)-1-фенил-1,2-дигидропиридин-2-он
1H-ЯМР (CDCl3, 400 МГц); (м.д.) 3,84 (с, 3H), 6,92 (ддд, 1H), 7,20 (ддд, 1H), 7,31-7,38 (м, 2H), 7,42-7,55 (м, 6H), 7,57-7,59 (м, 1H), 7,73 (тд, 1H), 8,23 (д, 1H), 8,24 (д, 1H), 8,60 (ддд, 1H).
ЭРИ-МС; 355 [M+ + H].
Пример 70
3-(4-Метоксифенил)-5-(2-пиридил)-1-фенил-1,2-дигидропиридин-2-он
1H-ЯМР (CDCl3, 400 МГц); (м.д.) 3,85 (с, 3H), 6,94-6,98 (м, 2H), 7,20 (ддд, 1H), 7,42-7,55 (м, 5H), 7,57-7,60 (м, 1H), 7,73 (тд, 1H), 7,77-7,81 (м, 2H), 8,18-8,20 (м, 2H), 8,59-8,20 (м, 1H).
ЭРИ-МС; 355 [M+ + H].
Пример 71
3-(2-Фторфенил)-5-(2-пиридил)-1-фенил-1,2-дигидропиридин-2-он
1H-ЯМР (CDCl3, 400 МГц); (м.д.) 7,13-7,22 (м, 3H), 7,31-7,59 (м, 7H), 7,66 (тд, 1H), 7,74 (тд, 1H), 8,22 (дд, 1H), 8,29 (д, 1H), 8,58-8,60 (м, 1H).
Пример 72
3-(3-Фторфенил)-5-(2-пиридил)-1-фенил-1,2-дигидропиридин-2-он
1H-ЯМР (CDCl3, 400 МГц); (м.д.) 7,03-7,08 (м, 1H), 7,21 (ддд, 1H), 7,35-7,63 (м, 9H), 7,74 (тд, 1H), 8,23 (д, 1H), 8,27 (д, 1H), 8,59-8,62 (м, 1H).
Пример 73
3-(4-Фторфенил)-5-(2-пиридил)-1-фенил-1,2-дигидропиридин-2-он
1H-ЯМР (CDCl3, 400 МГц); (м.д.) 7,08-7,14 (м, 2H), 7,21 (ддд, 1H), 7,44-7,60 (м, 6H), 7,74 (тд, 1H), 7,78-7,83 (м, 2H), 8,21 (д, 1H), 8,22 (д, 1H) 8,60-8,62 (м, 1H).
Пример 74
3-(2-Хлорфенил)-5-(2-пиридил)-1-(3-метоксифенил)-1,2-дигидропиридин-2-он
1H-ЯМР (CDCl3, 400 МГц); (м.д.) 3,84 (с, 3H), 6,96-7,01 (м, 1H), 7,04-7,11 (м, 2H), 7,17-7,23 (м, 1H), 7,26-7,34 (м, 2H), 7,40 (дд, 1H), 7,46-7,53 (м, 2H), 7,54-7,58 (м, 1H), 7,73 (ддд, 1H), 8,14 (д, 1H), 8,29 (д, 1H), 8,57-8,62 (м, 1H).
Пример 75
3-(2,4-Диметоксифенил)-5-(2-пиридил)-1-фенил-1,2-дигидропиридин-2-он
1H-ЯМР (CDCl3, 400 МГц); (м.д.) 3,93 (с, 6H), 6,93 (д, 1H), 7,19-7,23 (м, 1H), 7,33 (дд, 1H), 7,41-7,57 (м, 6H), 7,58-7,60 (м, 1H), 7,74 (тд, 1H), 8,19 (д, 1H), 8,22 (д, 1H), 8,60-8,62 (м, 1H).
ЭРИ-МС; 385 [M+ + H].
Пример 76
3-(2-Фтор-3-пиридил)-5-(2-пиридил)-1-фенил-1,2-дигидропиридин-2-он
1H-ЯМР (CDCl3, 400 МГц); (м.д.) 7,20-7,28 (м, 2H), 7,44-7,56 (м, 5H), 7,56-7,60 (м, 1H), 7,75 (тд, 1H), 8,19-8,21 (м, 1H), 8,26 (ддд, 1H), 8,30 (д, 1H), 8,34 (т, 1H), 8,59-8,61 (м, 1H).
ЭРИ-МС; 344 [M+ + H].
Пример 77
3-(2-Метокси-5-пиридил)-5-(2-пиридил)-1-фенил-1,2-дигидропиридин-2-он
1H-ЯМР (CDCl3, 400 МГц); (м.д.) 3,98 (с, 3H), 6,80 (д, 1H), 7,22 (ддд, 1H), 7,44-7,59 (м, 6H), 7,72-7,77 (м, 1H), 8,15 (дд, 1H), 8,21 (с, 2H), 8,50-8,52 (м, 1H), 8,59-8,62 (м, 1H).
ЭРИ-МС; 356 [M+ + H].
Пример 78
3-(3-Циано-2-пиридил)-5-(2-пиридил)-1-фенил-1,2-дигидропиридин-2-он
1H-ЯМР (ДМСО-d6, 400 МГц): (м.д.) 7,30-7,34 (ддд, 1H), 7,49-7,57 (м, 1H), 7,57-7,62 (м, 4H), 7,62-7,66 (дд, 1H), 7,82-7,87 (ддд, 1H), 8,02 (д, 1H), 8,39-8,43 (дд, 1H), 8,59-8,62 (м, 1H), 8,63 (д, 1H), 8,65 (д, 1H), 8,94-8,96 (м, 1H).
Пример 79
3-(3-Циано-2-пиридил)-5-фенил-1-(3-пиридил)-1,2-дигидропиридин-2-он
1H-ЯМР (ДМСО-d6, 400 МГц): (м.д.) 7,33-7,38 (м, 1H), 7,44 (д, 1H), 7,46 (д, 1H), 7,64 (д, 1H), 7,65 (д, 1H), 7,72-7,76 (м, 2H), 8,07-8,11 (м, 1H), 8,30 (д, 1H), 8,34 (д, 1H), 8,42 (дд, 1H), 8,68-8,71 (м, 1H), 8,82-8,84 (м, 1H), 8,86-8,93 (м, 1H).
Пример 80
3-(2-Фтор-3-пиридил)-5-(2-пиридил)-1-(3-метоксифенил)-1,2-дигидропиридин-2-он
1H-ЯМР (CDCl3, 400 МГц); (м.д.) 3,85 (с, 3H), 6,99-7,10 (м, 3H), 7,20-7,31 (м, 2H), 7,40-7,47 (м, 1H), 7,58 (д, 1H), 7,76 (ддд, 1H), 8,18-8,23 (м, 1H), 8,23-8,32 (м, 2H), 8,32-8,37 (м, 1H), 8,58-8,64 (м, 1H).
Пример 81
3-(2-Метокси-3-пиридил)-5-(2-пиридил)-1-фенил-1,2-дигидропиридин-2-он
1H-ЯМР (CDCl3, 400 МГц); (м.д.) 3,98 (с, 3H), 6,96 (дд, 1H), 7,18-7,22 (м, 1H), 7,44-7,59 (м, 6H), 7,74 (дт, 1H), 7,90 (дд, 1H), 8,17 (дд, 1H), 8,25-8,28 (м, 2H), 8,58-8,61 (м, 1H).
Пример 82
3-(2-Фтор-3-пиридил)-5-(2-пиридил)-1-(4-фторфенил)-1,2-дигидропиридин-2-он
1H-ЯМР (CDCl3, 400 МГц); (м.д.) 7,18-7,30 (м, 4H), 7,46-7,52 (м, 2H), 7,58 (д, 1H), 7,76 (ддд, 1H), 8,20-8,27 (м, 2H), 8,29 (д, 1H), 8,31-8,35 (м, 1H), 8,59-8,64 (м, 1H).
Пример 83
3-(2-Фтор-3-пиридил)-5-(2-пиридил)-1-(пиримидин-5-ил)-1,2-дигидропиридин-2-он
1H-ЯМР (CDCl3, 400 МГц); (м.д.) 7,25-7,32 (м, 2H), 7,61 (д, 1H), 7,79 (ддд, 1H), 8,16-8,22 (м, 1H), 8,24-8,27 (м, 1H), 8,29 (д, 1H), 8,34-8,37 (м, 1H), 8,61-8,64 (м, 1H), 9,01 (с, 2H), 9,32 (с, 1H).
Пример 84
3-(2-Фтор-3-пиридил)-5-(2-пиридил)-1-(4-метилтиофенил)-1,2-дигидропиридин-2-он
1H-ЯМР (CDCl3, 400 МГц); (м.д.) 2,53 (с, 3H), 7,20-7,28 (м, 2H), 7,36-7,43 (м, 4H), 7,57 (д, 1H), 7,75 (тд, 1H), 8,19-8,27 (м, 2H), 8,28 (д, 1H), 8,33 (т, 1H), 8,59-8,61 (м, 1H).
ЭРИ-МС; 390 [M+ + H].
Пример 85
3-(2-Пиридон-5-ил)-5-(2-пиридил)-1-фенил-1,2-дигидропиридин-2-он
1H-ЯМР (CDCl3, 400 МГц); (м.д.) 6,67 (д, 1H), 7,21-7,26 (м, 1H), 7,45-7,59 (м, 6H), 7,75 (тд, 1H), 7,96 (дд, 1H), 8,14 (д, 1H), 8,26 (д, 1H), 8,32 (м, 1H), 8,62 (м, 1H).
ЭРИ-МС; 342 [M+ + H].
Пример 86
3-(2-Фтор-3-пиридил)-5-(2-пиридил)-1-(2-метокси-5-пиридил)-1,2-дигидропиридин-2-он
1H-ЯМР (CDCl3, 400 МГц); (м.д.) 4,00 (с, 3H), 6,88 (дд, 1H), 7,22-7,29 (м, 2H), 7,44-7,79 (м, 5H), 8,20-8,24 (м, 1H), 8,27-8,29 (м, 1H), 8,33-8,36 (м, 1H), 8,61 (ддд, 1H).
Пример 87
3-(2-Фтор-3-пиридил)-5-фенил-1-(3-пиридил)-1,2-дигидропиридин-2-он
1H-ЯМР (ДМСО-d6, 400 МГц): (м.д.) 7,31-7,37 (м, 1H), 7,41-7,48 (м, 2H), 7,52-7,66 (м, 2H), 7,71-7,76 (м, 2H), 8,06-8,10 (м, 1H), 8,16-8,28 (м, 4H), 8,66-8,70 (м, 1H), 8,80-8,82 (м, 1H).
Пример 88
3-(2-Фтор-3-пиридил)-5-(2-пиридил)-1-(3-фторфенил)-1,2-дигидропиридин-2-он
1H-ЯМР (CDCl3, 400 МГц); (м.д.) 7,17-7,33 (м, 5H), 7,48-7,55 (м, 1H), 7,56-7,61 (м, 1H), 7,76 (ддд, 1H), 8,20-8,27 (м, 2H), 8,29 (д, 1H), 8,32-8,35 (м, 1H), 8,59-8,63 (м, 1H).
Пример 89
3-(2-Диметиламино-3-пиридил)-5-(2-пиридил)-1-фенил-1,2-дигидропиридин-2-он
1H-ЯМР (CDCl3, 400 МГц): (м.д.) 1,70 (с, 6H), 7,19 (ддд, 1H), 7,41-7,60 (м, 7H), 7,71 (тд, 1H), 7,82 (д, 1H), 8,08 (д, 1H), 8,21 (д, 1H), 8,57 (дд, 1H), 8,58-8,60 (м, 1H).
ЭРИ-МС; 369 [M+ + H].
Нижеследующие соединения синтезируют таким же способом, который упомянут в примере 7.
Пример 90
3,5-Дифенил-1-(2-пиридил)-1,2-дигидропиридин-2-он
1H-ЯМР (400 МГц, CDCl3); (м.д.) 7,33-7,40 (3H, м), 7,41-7,47 (4H, м), 7,54 (2H, дд), 7,76 (2H, дд), 7,86-7,90 (2H, м), 7,99 (1H, ддд), 8,11 (1H, д), 8,61-8,64 (1H, м).
Пример 91
3-(2-Цианофенил)-5-(2-пиридил)-1-(4-фторфенил)-1,2-дигидропиридин-2-он
1H-ЯМР (400 МГц, CDCl3); (м.д.) 7,18-7,25 (м, 3H), 7,44-7,55 (м, 3H), 7,59-7,67 (м, 2H), 7,72-7,81 (м, 3H), 8,27-8,33 (м, 2H), 8,58-8,63 (м, 1H).
Пример 92
3-(2-Цианофенил)-5-(2-пиридил)-1-(3-фторфенил)-1,2-дигидропиридин-2-он
1H-ЯМР (400 МГц, CDCl3); (м.д.) 7,15-7,25 (м, 2H), 7,28-7,36 (м, 2H), 7,44-7,54 (м, 2H), 7,58-7,68 (м, 2H), 7,72-7,82 (м, 3H), 8,28-8,33 (м, 2H), 8,57-8,63 (м, 1H).
Пример 93
3-(2-Цианофенил)-5-(2-пиридил)-1-(4-цианофенил)-1,2-дигидропиридин-2-он
1H-ЯМР (400 МГц, CDCl3); (м.д.) 7,23-7,26 (м, 1H), 7,49 (дт, 1H), 7,61-7,86 (м, 9H), 7,28-8,30 (м, 2H), 8,60-8,62 (м, 1H).
Пример 94
3-(2-Цианофенил)-5-(2-пиридил)-1-(3-цианофенил)-1,2-дигидропиридин-2-он
1H-ЯМР (400 МГц, CDCl3); (м.д.) 7,23-7,26 (м, 1H), 7,49 (дт, 1H), 7,61-7,89 (м, 9H), 8,30 (с, 2H), 8,60-8,62 (м, 1H).
Пример 95
3-(2-Цианофенил)-5-(2-пиридил)-1-(4-метоксифенил)-1,2-дигидропиридин-2-он
1H-ЯМР (400 МГц, CDCl3); (м.д.)3,86 (с, 3H), 7,02 (д, 2H), 7,21 (ддд, 1H), 7,42-7,80 (м, 8H), 8,29 (д, 1H), 8,31 (д, 1H), 8,58-8,60 (м, 1H).
Пример 96
3-(2-Цианофенил)-5-(2-пиридил)-1-(3-метоксифенил)-1,2-дигидропиридин-2-он
1H-ЯМР (400 МГц, CDCl3); (м.д.) 3,85 (с, 3H), 6,95-7,03 (м, 1H), 7,06-7,10 (м, 2H), 7,20-7,22 (м, 1H), 7,41-7,81 (м, 7H), 8,31 (с, 2H), 8,59-8,61 (м, 1H).
Пример 97
3-Фенил-5-(2-пиридил)-1-(3-фторфенил)-1,2-дигидропиридин-2-он
1H-ЯМР (400 МГц, CDCl3); (м.д.) 7,15-7,24 (м, 2H), 7,26-7,33 (м, 2H), 7,34-7,40 (м, 1H), 7,40-7,53 (м, 3H), 7,57-7,62 (м, 1H), 7,72-7,82 (м, 3H), 8,20-8,23 (м, 2H), 8,59-8,63 (м, 1H).
Пример 98
3-Фенил-5-(2-пиридил)-1-(4-фторфенил)-1,2-дигидропиридин-2-он
1H-ЯМР (400 МГц, CDCl3); (м.д.) 7,18-7,24 (м, 3H), 7,34-7,39 (м, 1H), 7,40-7,45 (м, 2H), 7,46-7,52 (м, 2H), 7,57-7,61 (м, 1H), 7,72-7,77 (м, 1H), 7,77-7,82 (м, 2H), 8,19-8,23 (м, 2H), 8,59-8,62 (м, 1H).
Пример 99
3-(2-Хлорфенил)-5-(2-пиридил)-1-(4-фторфенил)-1,2-дигидропиридин-2-он
1H-ЯМР (400 МГц, CDCl3); (м.д.) 7,16-7,24 (м, 3H), 7,29-7,35 (м, 2H), 7,45-7,54 (м, 4H), 7,56 (д, 1H), 7,70-7,76 (м, 1H), 8,12 (д, 1H), 8,28 (д, 1H), 8,58-8,62 (м, 1H).
Пример 100
3-(2-Цианофенил)-5-(2-пиридил)-1-(4-формилфенил)-1,2-дигидропиридин-2-он
1H-ЯМР (400 МГц, CDCl3); (м.д.) 7,22-7,27 (м, 1H), 7,48 (ддд, 1H), 7,60-7,69 (м, 2H), 7,72-7,82 (м, 5H), 8,03-8,09 (м, 2H), 8,29 (д, 1H), 8,33 (д, 1H), 8,58-8,62 (м, 1H), 10,10 (с, 1H).
Пример 101
3-(2-Цианофенил)-5-(2-пиридил)-1-(2-формилфенил)-1,2-дигидропиридин-2-он
1H-ЯМР (400 МГц, CDCl3); (м.д.) 7,20-7,25 (м, 1H), 7,44-7,52 (м, 2H), 7,61-7,70 (м, 3H), 7,73-7,83 (м, 4H), 8,06 (дд, 1H), 8,31 (д, 1H), 8,36 (д, 1H), 8,57-8,60 (м, 1H), 10,05 (с, 1H).
Пример 102
3-(2-Цианофенил)-5-(2-пиридил)-1-(3-хлорфенил)-1,2-дигидропиридин-2-он
1H-ЯМР (400 МГц, CDCl3); (м.д.) 7,21-7,25 (м, 1H), 7,43-7,50 (м, 4H), 7,55-7,58 (м, 1H), 7,59-7,68 (м, 2H), 7,73-7,81 (м, 3H), 8,27-8,31 (м, 2H), 8,58-8,62 (м, 1H).
Пример 103
3-(2-Цианофенил)-5-(2-пиридил)-1-(3-толил)-1,2-дигидропиридин-2-он
1H-ЯМР (400 МГц, CDCl3); (м.д.) 2,43 (с, 3H), 7,20-7,23 (м, 1H), 7,26-7,35 (м, 3H), 7,39-7,48 (м, 2H), 7,60-7,66 (м, 2H), 7,72-7,81 (м, 3H), 8,31 (с, 2H), 8,58-8,61 (м, 1H).
Пример 104
3-(2-Цианофенил)-5-(2-пиридил)-1-(3-трифторметилфенил)-1,2-дигидропиридин-2-он
1H-ЯМР (400 МГц, CDCl3); (м.д.) 7,22-7,25 (м, 1H), 7,47 (т, 1H), 7,61-7,82 (м, 9H), 8,31 (с, 2H), 8,59-8,62 (м, 1H).
Пример 105
3-(2-Цианофенил)-5-(2-пиридил)-1-(тиофен-3-ил)-1,2-дигидропиридин-2-он
1H-ЯМР (400 МГц, CDCl3); (м.д.) 7,22-7,25 (м, 1H), 7,37-7,49 (м, 3H), 7,59-7,67 (м, 3H), 7,74-7,80 (м, 3H), 8,27 (д, 1H), 8,40 (д, 1H), 8,60-8,62 (м, 1H).
Пример 106
3-(2-Цианофенил)-5-(2-пиридил)-1-(3-фурил)-1,2-дигидропиридин-2-он
1H-ЯМР (400 МГц, CDCl3); (м.д.) 6,83-6,86 (м, 1H), 7,19-7,26 (м, 1H), 7,48 (ддд, 1H), 7,52 (дд, 1H), 7,60-7,69 (м, 2H), 7,73-7,82 (м, 3H), 8,21 (д, 1H), 8,27-8,30 (м, 1H), 8,47 (д, 1H), 8,61-8,65 (м, 1H).
Пример 107
3-(2-Цианофенил)-5-(2-пиридил)-1-(4-толил)-1,2-дигидропиридин-2-он
1H-ЯМР (400 МГц, CDCl3); (м.д.) 2,41 (с, 3H), 7,18-7,22 (м, 1H), 7,30-7,46 (м, 5H), 7,59-7,65 (м, 2H), 7,71-7,80 (м, 3H), 8,29 (д, 1H), 8,31 (д, 1H), 8,58-8,60 (м, 1H).
Пример 108
3-(2-Цианофенил)-5-(2-пиридил)-1-(4-трифторметилфенил)-1,2-дигидропиридин-2-он
1H-ЯМР (400 МГц, CDCl3); (м.д.) 7,22-7,25 (м, 1H), 7,48 (тд, 1H), 7,61-7,82 (м, 9H), 8,30 (д, 1H), 8,32 (д, 1H), 8,59-8,61 (м, 1H).
Пример 109
3-(2-Цианофенил)-5-(2-пиридил)-1-(2-метоксипиридин-5-ил)-1,2-дигидропиридин-2-он
1H-ЯМР (400 МГц, CDCl3); (м.д.) 4,00 (с, 3H), 6,88 (д, 1H), 7,23 (ддд, 1H), 7,47 (тд, 1H), 7,59-7,62 (м, 1H), 7,65 (тд, 1H), 7,73-7,82 (м, 4H), 8,28-8,31 (м, 3H), 8,60 (ддд, 1H).
ЭРИ-МС; 381 [M+ + H].
Пример 110
3-(2-Цианофенил)-5-(2-пиридил)-1-(2-цианофенил)-1,2-дигидропиридин-2-он
1H-ЯМР (400 МГц, CDCl3); (м.д.) 7,26-7,35 (м, 2H), 7,52-7,58 (м, 2H), 7,64-7,71 (м, 2H), 7,72-7,85 (м, 5H), 8,51 (д, 1H), 8,68-8,72 (м, 1H), 8,77 (д, 1H).
Пример 111
3-(2-Цианофенил)-5-(2-пиридил)-1-(пиримидин-5-ил)-1,2-дигидропиридин-2-он
1H-ЯМР (400 МГц, CDCl3); (м.д.) 7,24-7,32 (м, 1H), 7,48-7,54 (м, 1H), 7,61-7,72 (м, 2H), 7,73-7,85 (м, 3H), 8,31 (д, 1H), 8,33 (д, 1H), 8,60-8,65 (м, 1H), 9,04 (с, 2H), 9,32 (с, 1H).
Пример 112
3-(2-Цианофенил)-5-(2-пиридил)-1-[2-(пирролидин-1-ил)пиридин-5-ил] -1,2-дигидропиридин-2-он
1H-ЯМР (400 МГц, CDCl3); (м.д.) 2,01-2,07 (м, 4H), 3,49-3,52 (м, 4H), 6,44 (дд, 1H), 7,21 (ддд, 1H), 7,45 (тд, 1H), 7,58-7,67 (м, 3H), 7,72 (дд, 1H), 7,76-7,88 (м, 2H), 8,23 (дд, 1H), 8,28 (дд, 2H), 8,59 (ддд, 1H).
ЭРИ-МС; 420 [M+ + H].
Пример 113
3-(2-Цианофенил)-5-(2-пиридил)-1-[2-(4-бензилпиперазин-1-ил)пиридин-5-ил]-1,2-дигидропиридин-2-он
1H-ЯМР (400 МГц, CDCl3); (м.д.) 2,57 (т, 4H), 3,57 (с, 2H), 3,63 (т, 4H), 6,70 (д, 1H), 7,21 (ддд, 1H), 7,25-7,38 (м, 5H), 7,45 (тд, 1H), 7,58 (д, 1H), 7,63 (тд, 1H), 7,68 (дд, 1H), 7,73 (дд, 1H), 7,75-7,79 (м, 2H), 8,26-8,29 (м, 3H), 8,58-8,60 (м, 1H).
Пример 114
3-(2-Цианофенил)-5-(2-пиридил)-1-(2-бензилоксиэтоксипиридин-5-ил)-1,2-дигидропиридин-2-он
1H-ЯМР (400 МГц, CDCl3); (м.д.)3,84-3,87 (м, 2H), 4,55-4,58 (м, 2H), 4,64 (с, 2H), 6,93 (д, 1H), 7,23 (ддд, 1H), 7,25-7,40 (м, 5H), 7,47 (тд, 1H), 7,60 (д, 1H), 7,65 (тд, 1H), 7,74-7,82 (м, 4H), 8,27 (д, 1H), 8,28 (д, 1H), 8,30 (д, 1H), 8,59-8,61 (м, 1H).
ЭРИ-МС; 501 [M+ + H].
Пример 115
3-(2-Цианофенил)-5-(2-пиридил)-1-(3-бензилоксиметилпиридин-5-ил)-1,2-дигидропиридин-2-он
1H-ЯМР (400 МГц, CDCl3); (м.д.) 4,64 (с, 2H), 4,66 (с, 2H), 7,23-7,26 (м, 1H), 7,26-7,38 (м, 5H), 7,48 (тд, 1H), 7,61 (д, 1H), 7,68 (тд, 1H), 7,74-7,81 (м, 1H), 7,95-7,98 (м, 1H), 8,29 (д, 1H), 8,32 (д, 1H), 8,61 (д, 1H), 8,69 (д, 1H), 8,72 (д, 1H).
ЭРИ-МС; 471 [M+ + H].
Пример 116
3-(2-Цианофенил)-5-(2-пиридил)-1-(2-этилтиопиридин-5-ил)-1,2-дигидропиридин-2-он
1H-ЯМР (400 МГц, CDCl3); (м.д.) 1,41 (т, 3H), 3,23 (кв., 2H), 7,23 (ддд, 1H), 7,29 (дд, 1H), 7,47 (тд, 1H), 7,60 (дт, 1H), 7,65 (тд, 1H), 7,72 (дд, 1H), 7,74-7,80 (м, 3H), 8,28 (д, 1H), 8,30 (д, 1H), 8,57 (дд, 1H), 8,60 (ддд, 1H).
Пример 117
3-(2-Цианофенил)-5-(2-пиридил)-1-(4-пиридил)-1,2-дигидропиридин-2-он
1H-ЯМР (400 МГц, CDCl3); (м.д.) 7,23-7,26 (м, 1H), 7,49 (тд, 1H), 7,55-7,57 (м, 2H), 7,61 (д, 1H), 7,67 (тд, 1H), 7,73-7,81 (м, 3H), 8,29 (д, 1H), 8,30 (д, 1H), 8,61 (ддд, 1H), 8,82 (д, 1H).
ЭРИ-МС; 351 [M+ + H].
Пример 118
3-(2-Цианофенил)-5-(2-пиридил)-1-(3-метоксипиридин-5-ил)-1,2-дигидропиридин-2-он
1H-ЯМР (400 МГц, CDCl3); (м.д.) 3,91 (с, 3H), 7,22-7,27 (м, 1H), 7,46-7,51 (м, 2H), 7,60-7,64 (м, 1H), 7,66 (ддд, 1H), 7,74-7,82 (м, 3H), 8,30 (д, 1H), 8,32 (д, 1H), 8,38 (д, 1H), 8,43 (д, 1H), 8,60-8,63 (м, 1H).
Пример 119
3-(2-Цианофенил)-5-(2-пиридил)-1-(2-гидроксиэтоксипиридин-5-ил)-1,2-дигидропиридин-2-он
1H-ЯМР (400 МГц, CDCl3); (м.д.) 3,04 (ушир.с, 1H), 3,97-4,03 (м, 2H), 4,51-4,54 (м, 2H), 6,93 (д, 1H), 7,23 (дд, 1H), 7,47 (тд, 1H), 7,61 (дд, 1H), 7,65 (тд, 1H), 7,74-7,80 (м, 3H), 7,84 (дд, 1H), 8,27-8,30 (м, 3H), 8,61 (ддд, 1H).
ЭРИ-МС; 411 [M+ + H].
Пример 120
3-(2-Цианофенил)-5-(2-пиридил)-1-(2-хлорпиридин-5-ил)-1,2-дигидропиридин-2-он
1H-ЯМР (400 МГц, CDCl3); (м.д.) 7,23-7,28 (м, 1H), 7,47-7,52 (м, 2H), 7,61 (д, 1H), 7,67 (т, 1H), 7,72-7,81 (м, 3H), 7,95 (дд, 1H), 8,28 (д, 1H), 8,30 (д, 1H), 8,59 (д, 1H), 8,61 (дт, 1H).
ЭРИ-МС; 385 [M+ + H].
Пример 121
3-(2-Цианофенил)-5-(2-пиридил)-1-[2-(4-метилпиперазин-1-ил)-пиридин-5-ил]-1,2-дигидропиридин-2-он
1H-ЯМР (400 МГц, CDCl3); (м.д.) 2,37 (с, 3H), 2,54 (т, 4H), 3,66 (т, 4H), 6,73 (д, 1H), 7,21 (ддд, 1H), 7,46 (тд, 1H), 7,59 (д, 1H), 7,64 (тд, 1H), 7,70 (дд, 1H), 7,72-7,79 (м, 3H), 8,27-8,29 (м, 3H), 8,58-8,60 (м, 1H).
ЭРИ-МС; 449 [M+ + H].
Пример 122
3-(2-Цианофенил)-5-(2-пиридил)-1-(3-трет-бутилдиметилсилилоксиметилпиридин-5-ил)-1,2-дигидропиридин-2-он
1H-ЯМР (400 МГц, CDCl3); (м.д.) 0,13 (с, 6H), 0,95 (с, 9H), 4,85 (с, 2H), 7,24 (дд, 1H), 7,45-7,81 (м, 7H), 7,88 (с, 1H), 8,29 (д, 1H), 8,32 (д, 1H), 8,61 (дд, 1H), 8,68 (д, 1H).
Пример 123
3-(2-Цианофенил)-5-(2-пиридил)-1-(2-фторпиридин-5-ил)-1,2-дигидропиридин-2-он
1H-ЯМР (400 МГц, CDCl3); (м.д.) 7,11 (дд, 1H), 7,25 (ддд, 1H), 7,42-7,84 (м, 6H), 8,08 (ддд, 1H), 8,30 (т, 2H), 8,41 (дд, 1H), 8,61 (ддд, 1H).
ЭРИ-МС; 369 [M+ + H].
Пример 124
3-(2-Цианофенил)-5-(2-пиридил)-1-(2-этилпиридин-5-ил)-1,2-дигидропиридин-2-он
1H-ЯМР (400 МГц, CDCl3); (м.д.) 1,36 (т, 3H), 2,91 (кв., 2H), 7,23 (м, 1H), 7,33 (д, 1H), 7,47 (тд, 1H), 7,60 (д, 1H), 7,65 (тд, 1H), 7,73-7,80 (м, 3H), 7,86 (дд, 1H), 8,30 (д, 1H), 8,31 (д, 1H), 8,60 (д, 1H), 8,68 (д, 1H).
ЭРИ-МС; 379 [M+ + H].
Пример 125
3-Фенил-5-(2-пиридил)-1-(2-цианофенил)-1,2-дигидропиридин-2-он
1H-ЯМР (ДМСО-d6, 400 МГц); (м.д.) 7,24-7,54 (6H, м), 7,62-7,81 (4H, м), 7,93 (1H, дт), 8,11 (1H, д), 8,57 (1H, д), 8,69-8,72 (1H, м), 8,89-8,94 (1H, м).
Пример 126
3-(2-Цианофенил)-5-(2-пиридил)-1-(2-метоксифенил)-1,2-дигидропиридин-2-он
1H-ЯМР (ДМСО-d6, 400 МГц); (м.д.) 3,80 (3H, с), 7,12 (1H, т), 7,24-7,33 (2H, м), 7,44 (1H, дд), 7,49 (1H, дт), 7,59 (1H, дт), 7,71 (1H, д), 7,75-7,86 (2H, м), 7,90-8,00 (2H, м), 8,42 (1H, д), 8,47 (1H, д), 8,56-8,60 (1H, м).
Нижеследующие соединения синтезируют таким же способом, как указано в примере 32.
Пример 127
3-Фенил-5-(2-пиридил)-1-(3-пиридил)-1,2-дигидропиридин-2-он
1H-ЯМР (400 МГц, CDCl3); (м.д.) 7,23 (ддд, 1H), 7,36-7,50 (м, 4H), 7,60 (тд, 1H), 7,75 (дд, 1H), 7,76-7,80 (м, 2H), 7,94 (ддд, 1H), 8,22 (д, 1H), 8,24 (д, 1H), 8,62 (ддд, 1H), 8,71 (дд, 1H), 8,75-8,79 (м, 1H).
ЭРИ-МС; 326 [M+ + H].
Пример 128
3-(2-Хлорфенил)-5-(2-пиридил)-1-(3-пиридил)-1,2-дигидропиридин-2-он
1H-ЯМР (400 МГц, CDCl3); (м.д.) 7,23 (ддд, 1H), 7,31-7,36 (м, 2H), 7,41-7,51 (м, 3H), 7,56-7,59 (м, 1H), 7,75 (тд, 1H), 7,95 (ддд, 1H), 8,15 (д, 1H), 8,30 (д, 1H), 8,60-8,62 (м, 1H), 8,69 (дд, 1H), 8,80 (д, 1H).
ЭРИ-МС; 360 [M+ + H].
Пример 129
3-(2-Метоксифенил)-5-(2-пиридил)-1-(3-пиридил)-1,2-дигидропиридин-2-он
1H-ЯМР (400 МГц, CDCl3); (м.д.) 3,84 (с, 3H), 6,98-7,05 (м, 2H), 7,21 (ддд, 1H), 7,37 (тд, 1H), 7,41-7,49 (м, 2H), 7,56 (д, 1H), 7,74 (тд, 1H), 7,94-7,97 (м, 1H), 8,13 (д, 1H), 8,25 (д, 1H), 8,58-8,60 (м, 1H), 8,67 (дд, 1H), 8,79 (д, 1H).
ЭРИ-МС; 356 [M+ + H].
Пример 130
3-(2-Формилтиофен-3-ил)-5-(2-пиридил)-1-(3-пиридил)-1,2-дигидропиридин-2-он
1H-ЯМР (400 МГц, CDCl3); (м.д.) 7,24-7,28 (м, 1H), 7,46-7,52 (м, 2H), 7,57 (д, 1H), 7,50-7,79 (м, 2H), 7,92-7,96 (м, 1H), 8,24 (д, 1H), 8,30 (д, 1H), 8,61-8,63 (м, 1H), 8,74 (дд, 1H), 8,79 (д, 1H), 9,99 (д, 1H).
Пример 131
3-(2,4-Дихлорфенил)-5-(2-пиридил)-1-(3-пиридил)-1,2-дигидропиридин-2-он
1H-ЯМР (400 МГц, CDCl3); (м.д.) 7,22-7,25 (м, 1H), 7,32 (дд, 1H), 7,41-7,61 (м, 4H), 7,74-7,79 (м, 1H), 7,93-7,96 (м, 1H), 8,15 (д, 1H), 8,29 (д, 1H), 8,59-8,63 (м, 1H), 8,69-8,72 (м, 1H), 8,79 (д, 1H).
ЭРИ-МС; 394 [M+ + H].
Пример 132
3-(2-Трифторметилфенил)-5-(2-пиридил)-1-(3-пиридил)-1,2-дигидропиридин-2-он
1H-ЯМР (400 МГц, CDCl3); (м.д.) 7,22 (ддд, 1H), 7,44-7,56 (м, 4H), 7,59-7,63 (м, 2H), 7,72-7,78 (м, 1H), 7,94 (ддд, 1H), 8,04 (д, 1H), 8,30 (д, 1H), 8,59-8,61 (м, 1H), 8,69 (дд, 1H), 8,78-8,79 (м, 1H).
ЭРИ-МС; 394 [M+ + H].
Пример 133
3-(Тиофен-3-ил)-5-(2-пиридил)-1-(3-пиридил)-1,2-дигидропиридин-2-он
1H-ЯМР (400 МГц, CDCl3); (м.д.) 7,24 (ддд, 1H), 7,39 (дд, 1H), 7,50 (дд, 1H), 7,60-7,63 (м, 1H), 7,65 (дд, 1H), 7,77 (тд, 1H), 7,93 (ддд, 1H), 8,15 (д, 1H), 8,32 (дд, 1H), 8,44 (д, 1H), 8,62-8,64 (м, 1H), 8,72-8,73 (м, 1H), 8,77 (д, 1H).
ЭРИ-МС; 332 [M+ + H].
Пример 134
3-(1-трет-Бутоксикарбонилпиррол-2-ил)-5-(2-пиридил)-1-(3-пиридил)-1,2-дигидропиридин-2-он
1H-ЯМР (400 МГц, CDCl3); (м.д.) 1,47 (с, 9H), 6,25 (т, 1H), 6,36-6,34 (м, 1H), 7,21 (дд, 1H), 7,37 (дд, 1H), 7,43-7,48 (м, 1H), 7,57 (д, 1H), 7,72-7,77 (м, 1H), 7,88-7,92 (м, 1H), 8,06 (д, 1H), 8,22 (д, 1H), 8,59-8,61 (м, 1H), 8,68 (дд, 1H), 8,76 (д, 1H).
ЭРИ-МС; 415 [M+ + H].
Пример 135
3-(2,6-Диметилфенил)-5-(2-пиридил)-1-(3-пиридил)-1,2-дигидропиридин-2-он
1H-ЯМР (400 МГц, CDCl3); (м.д.) 2,23 (с, 6H), 7,11-7,27 (м, 3H), 7,45-7,55 (м, 3H), 7,65-8,02 (м, 2H), 8,20-8,33 (м, 1H), 8,59-8,61 (м, 1H), 8,68-8,81 (м, 3H).
ЭРИ-МС; 354 [M+ + H].
Пример 136
3-(3-Ацетиламинофенил)-5-(2-пиридил)-1-(3-пиридил)-1,2-дигидропиридин-2-он
1H-ЯМР (400 МГц, CDCl3); (м.д.) 2,08 (с, 3H), 7,21-7,26 (м, 1H), 7,34 (д, 1H), 7,44-7,49 (м, 2H), 7,58-7,61 (м, 2H), 7,75 (тд, 1H), 7,82 (ушир.с, 1H), 7,84-7,88 (м, 1H), 7,89-7,92 (м, 1H), 8,20-8,23 (м, 2H), 8,59-8,61 (м, 1H), 8,69-8,71 (м, 1H), 8,77-8,78 (м, 1H).
ЭРИ-МС; 383 [M+ + H].
Пример 137
3-(2-Цианотиофен-3-ил)-5-(2-пиридил)-1-(3-пиридил)-1,2-дигидропиридин-2-он
1H-ЯМР (400 МГц, CDCl3); (м.д.) 7,23-7,26 (м, 1H), 7,50 (дд, 1H), 7,61-7,74 (м, 3H), 7,79 (тд, 1H), 7,91-7,94 (м, 1H), 8,36 (д, 1H), 8,57 (д, 1H), 8,60-8,61 (м, 1H), 8,74 (дд, 1H), 8,79 (д, 1H).
ЭРИ-МС; 357 [M+ + H].
Пример 138
3-(2-Циано-6-метоксифенил)-5-(2-пиридил)-1-(3-пиридил)-1,2-дигидропиридин-2-он
1H-ЯМР (400 МГц, CDCl3): (м.д.) 3,82 (с, 3H), 7,18-7,27 (м, 2H), 7,35-7,38 (дд, 1H), 7,43-7,50 (м, 2H), 7,60 (д, 1H), 7,74-7,80 (м, 1H), 7,98-8,02 (м, 1H), 8,16 (д, 1H), 8,35 (д, 1H), 8,59-8,62 (м, 1H), 8,67-8,72 (м, 1H), 8,83 (д, 1H).
Пример 139
3-(2-Фтор-3-пиридил)-5-(2-пиридил)-1-(3-пиридил)-1,2-дигидропиридин-2-он
1H-ЯМР (400 МГц, CDCl3); (м.д.) 7,21-7,29 (м, 2H), 7,45-7,52 (м, 1H), 7,59 (д, 1H), 7,78 (дт, 1H), 7,91-7,95 (м, 1H), 8,19-8,25 (м, 2H), 8,30 (д, 1H), 8,35 (т, 1H), 8,60-8,63 (м, 1H), 8,70-8,73 (м, 1H), 8,79 (д, 1H).
Нижеследующее соединение синтезируют таким же способом, как указано в примере 15.
Пример 140
3-(2-Аминокарбонилфенил)-5-(2-пиридил)-1-фенил-1,2-дигидропиридин-2-он
1H-ЯМР (ДМСО-d6, 400 МГц); (м.д.) 7,17 (1H, ушир.с), 7,26-7,31 (1H, м), 7,40-7,64 (10H, м), 7,82 (1H, дт), 7,96 (1H, д), 8,21 (1H, д), 8,36 (1H, д), 8,56-8,59 (1H, м).
Нижеследующие соединения синтезируют таким же способом, как указано в примере 18.
Пример 141
3-(2-Гидроксифенил)-5-(2-пиридил)-1-фенил-1,2-дигидропиридин-2-он
1H-ЯМР (ДМСО-d6, 400 МГц); (м.д.) 6,87-6,93 (2H, м), 7,22 (1H, дт), 7,30 (1H, ддд), 7,38 (1H, дд), 7,48-7,60 (5H, м), 7,82 (1H, дт), 7,99 (1H, д), 8,41 (1H, д), 8,45 (1H, д), 8,57-8,60 (1H, м), 9,43 (1H, с).
Пример 142
3-(2-Гидроксифенил)-5-(2-пиридил)-1-(4-фторфенил)-1,2-дигидропиридин-2-он
1H-ЯМР (ДМСО-d6, 400 МГц); (м.д.) 6,86-6,93 (2H, м), 7,22 (1H, дт), 7,30 (1H, ддд), 7,36-7,44 (3H, м), 7,62-7,68 (2H, м), 7,83 (1H, дт), 7,98 (1H, д), 8,40 (1H, д), 8,45 (1H, д), 8,57-8,60 (1H, м), 9,40 (1H, с).
Пример 143
3-(2-Хлорфенил)-5-(2-пиридил)-1-(3-гидроксифенил)-1,2-дигидропиридин-2-он
1H-ЯМР (400 МГц, CDCl3); (м.д.) 6,71-6,76 (м, 1H), 6,85-6,91 (м, 2H), 7,19-7,34 (м, 4H), 7,41-7,50 (м, 2H), 7,56 (д, 1H), 7,74 (ддд, 1H), 8,17 (д, 1H), 8,23 (д, 1H), 8,58-8,62 (м, 1H).
Нижеследующие соединения синтезируют таким же способом, как указано в примере 19.
Пример 144
3-(2-Хлорфенил)-5-(2-пиридил)-1-(3-диметиламиноэтоксифенил)-1,2-дигидропиридин-2-он
1H-ЯМР (400 МГц, CDCl3); (м.д.) 2,89 (с, 6H), 3,41 (т, 2H), 4,54 (т, 2H), 6,99-7,04 (м, 1H), 7,13 (дд, 1H), 7,14-7,18 (м, 1H), 7,21 (ддд, 1H), 7,30-7,35 (м, 2H), 7,43-7,51 (м, 3H), 7,58 (д, 1H), 7,74 (ддд, 1H), 8,15 (д, 1H), 8,28 (д, 1H), 8,59-8,62 (м, 1H).
Пример 145
3-(2-Хлорфенил)-5-(2-пиридил)-1-(4-диметиламинопропоксифенил)-1,2-дигидропиридин-2-он
1H-ЯМР (400 МГц, CDCl3); (м.д.) 1,98 (тт, 2H), 2,26 (с, 6H), 2,46 (т, 2H), 4,06 (т, 2H), 6,97-7,03 (м, 2H), 7,19 (ддд, 1H), 7,28-7,33 (м, 2H), 7,39-7,44 (м, 2H), 7,46-7,51 (м, 2H), 7,53-7,58 (м, 1H), 7,72 (ддд, 1H), 8,12 (д, 1H), 8,28 (д, 1H), 8,58-8,61 (м, 1H).
Пример 146
3-(2-Хлорфенил)-5-(2-пиридил)-1-(3-диметиламинопропоксифенил)-1,2-дигидропиридин-2-он
1H-ЯМР (400 МГц, CDCl3); (м.д.) 1,96 (тт, 2H), 2,25 (с, 6H), 2,44 (т, 2H), 4,05 (т, 2H), 6,95-7,01 (м, 1H), 7,04-7,11 (м, 2H), 7,17-7,24 (м, 1H), 7,28-7,35 (м, 2H), 7,36-7,43 (м, 1H), 7,45-7,53 (м, 2H), 7,56 (д, 1H), 7,73 (ддд, 1H), 8,14 (д, 1H), 8,29 (д, 1H), 8,58-8,63 (м, 1H).
Нижеследующие соединения синтезируют таким же способом, как указано в примере 21.
Пример 147
3-(2-Гидроксиметилфенил)-5-(2-пиридил)-1-фенил-1,2-дигидропиридин-2-он
1H-ЯМР (ДМСО-d6; 400 МГц); (м.д.) 4,46 (2H, д), 5,04 (1H, т), 7,24-7,60 (10H, м), 7,78-7,84 (1H, м), 7,96-8,00 (1H, м), 8,25 (1H, д), 8,45 (1H, д), 8,55-8,59 (1H, м).
Пример 148
3-(2-Цианофенил)-5-(2-пиридил)-1-(4-гидроксиметилфенил)-1,2-дигидропиридин-2-он
1H-ЯМР (400 МГц, CDCl3); (м.д.) 1,81 (т, 1H), 4,78 (д, 2H), 7,19-7,24 (м, 1H), 7,46 (ддд, 1H), 7,51-7,55 (м, 4H), 7,59-7,66 (м, 2H), 7,72-7,80 (м, 3H), 8,28-8,32 (м, 2H), 8,58-8,61 (м, 1H).
Пример 149
3-(2-Цианофенил)-5-(2-пиридил)-1-(2-гидроксиметилфенил)-1,2-дигидропиридин-2-он
1H-ЯМР (400 МГц, CDCl3); (м.д.) 3,35 (дд, 1H), 4,52 (дд, 1H), 4,62 (дд, 1H), 7,21-7,24 (м, 1H), 7,35 (дд, 1H), 7,46-7,57 (м, 3H), 7,60-7,69 (м, 3H), 7,72-7,81 (м, 3H), 8,26 (д, 1H), 8,36 (д, 1H), 8,58-8,62 (м, 1H).
Нижеследующие соединения синтезируют таким же способом, как указано в примере 22.
Пример 150
3-(2-Цианофенил)-5-(2-пиридил)-1-(4-цианометилфенил)-1,2-дигидропиридин-2-он
1H-ЯМР (400 МГц, CDCl3); (м.д.) 3,84 (с, 2H), 7,23 (ддд, 1H), 7,47 (ддд, 1H), 7,49-7,54 (м, 2H), 7,55-7,63 (м, 3H), 7,65 (ддд, 1H), 7,73-7,81 (м, 3H), 8,28-8,32 (м, 2H), 8,58-8,62 (м, 1H).
Пример 151
3-(2-Цианофенил)-5-(2-пиридил)-1-(2-цианометилфенил)-1,2-дигидропиридин-2-он
1H-ЯМР (400 МГц, CDCl3); (м.д.) 3,81 (д, 1H), 3,91 (д, 1H), 7,24 (ддд, 1H), 7,39-7,44 (м, 1H), 7,46-7,58 (м, 3H), 7,62 (д, 1H), 7,64-7,71 (м, 3H), 7,73-7,81 (м, 2H), 8,22 (д, 1H), 8,34 (д, 1H), 8,59-8,63 (м, 1H).
Нижеследующие соединения синтезируют таким же способом, как указано в примере 27.
Пример 152
3-(2-Цианофенил)-5-(2-пиридил)-1-(2-этилсульфонилпиридин-5-ил)-1,2-дигидропиридин-2-он
1H-ЯМР (400 МГц, CDCl3); (м.д.) 1,36 (т, 3H), 3,47 (кв., 2H), 7,26-7,29 (м, 1H), 7,51 (тд, 1H), 7,63 (д, 1H), 7,68 (тд, 1H), 7,71-7,82 (м, 3H), 8,23-8,29 (м, 2H), 8,31-8,33 (м, 2H), 8,61-8,63 (м, 1H), 8,97-8,98 (м, 1H).
ЭРИ-МС; 443 [M+ + H].
Пример 153
3-(2-Фтор-3-пиридил)-5-(2-пиридил)-1-(4-метилсульфонилфенил)-1,2-дигидропиридин-2-он
1H-ЯМР (400 МГц, CDCl3); (м.д.) 3,11 (с, 3H), 7,24-7,30 (м, 2H), 7,60 (д, 1H), 7,75-7,80 (м, 3H), 8,12 (т, 1H), 8,14 (т, 1H), 8,17-8,24 (м, 2H), 8,30 (д, 1H), 8,35 (т, 1H), 8,61-8,63 (м, 1H).
ЭРИ-МС; 422 [M+ + H].
Нижеследующие соединения синтезируют таким же способом, как указано в примере 29.
Пример 154
3-(2-Диметиламинометилфенил)-5-(2-пиридил)-1-фенил-1,2-дигидропиридин-2-он дигидрохлорид
1H-ЯМР (ДМСО-d6, 400 МГц); (м.д.) 2,06 (6H, с), 3,37 (2H, с), 7,25-7,39 (4H, м), 7,44-7,61 (6H, м), 7,81 (1H, дт), 7,96 (1H, д), 8,24 (1H, д), 8,43 (1H, д), 8,55-8,58 (1H, м).
Пример 155
3-(2-Цианофенил)-5-(2-пиридил)-1-(2-диметиламинометилфенил)-1,2-дигидропиридин-2-он
1H-ЯМР (400 МГц, CDCl3); (м.д.) 2,16 (с, 6H), 3,30 (д, 1H), 3,46 (д, 1H), 7,18-7,23 (м, 1H), 7,34-7,38 (м, 1H), 7,40-7,49 (м, 3H), 7,55-7,66 (м, 3H), 7,70-7,79 (м, 3H), 8,21 (д, 1H), 8,37 (д, 1H), 8,58-8,61 (м, 1H).
Пример 156
3-(2-Цианофенил)-5-(2-пиридил)-1-(4-диметиламинометилфенил)-1,2-дигидропиридин-2-он
1H-ЯМР (400 МГц, CDCl3); (м.д.) 2,28 (с, 6H), 3,49 (с, 2H), 7,22 (ддд, 1H), 7,43-7,49 (м, 5H), 7,59-7,66 (м, 2H), 7,72-7,81 (м, 3H), 8,30 (д, 1H), 8,33 (д, 1H), 8,58-8,61 (м, 1H).
Пример 157
3-(2-Цианофенил)-5-(6-диэтиламинометил-2-пиридил)-1-фенил-1,2-дигидропиридин-2-он
1H-ЯМР (400 МГц, CDCl3); (м.д.) 1,49 (6H, т), 3,10-3,33 (4H, м), 4,36 (2H, ушир.с), 7,46-7,60 (7H, м), 7,63-7,68 (2H, м), 7,79-7,89 (3H, м), 8,28 (1H, д), 8,39 (1H, д).
Нижеследующее соединение синтезируют таким же способом, как указано в примере 31.
Пример 158
3-(2-Цианофенил)-5-(2-пиридил)-1-фенетил-1,2-дигидропиридин-2-он
1H-ЯМР (400 МГц, CDCl3); (м.д.) 3,18 (т, 2H), 4,33 (т, 2H), 7,19 (ддд, 1H), 7,22-7,34 (м, 3H), 7,39 (д, 1H), 7,43-7,50 (м, 3H), 7,62-7,74 (м, 4H), 7,96 (д, 1H), 8,18 (д, 1H), 8,56-8,60 (м, 1H).
Пример 159
3-(2-Цианофенил)-1-(2-пиридил)-5-(2-пиридил)-1,2-дигидропиридин-2-он
Смесь 0,05 г 1-(2-пиридил)-5-(2-пиридил)-3-бром-1,2-дигидропиридин-2-она, 0,04 г 2-(2-цианофенил)-1,3,2-диоксаборината, 0,02 г тетракистрифенилфосфин-палладия и 0,1 г карбоната цезия перемешивают при 120°C в атмосфере азота в течение 2 часов в диметилформамиде. Смесь разбавляют водой и экстрагируют этилацетатом. Органический слой промывают водой и затем насыщенным солевым водным раствором и сушат ангидридом сульфата магния. Растворитель концентрируют в вакууме и остаток очищают хроматографией на силикагеле (смесь этилацетат/гексан=3:1), получая 0,04 г белого порошкообразного предметного соединения.
1H-ЯМР (400 МГц, ДМСО-d6); (м.д.) 7,33 (дд, 1H), 7,56-7,64 (м, 2H), 7,75 (д, 1H), 7,78-7,83 (м, 1H), 7,84-7,90 (м, 2H), 7,95 (д, 1H), 8,00 (д, 1H), 8,07 (дт, 1H), 8,50 (д, 1H), 8,61 (д, 1H), 8,70 (д, 1H), 8,83 (д, 1H).
Пример 160
1-(2-Цианофенил)-3-(2-пиридил)-5-фенил-1,2-дигидропиридин-2-он
5 мл диметилформамидного раствора, содержащего 0,26 г 3-(2-пиридил)-5-фенил-2(1H)-пиридона, смешивают с 0,04 г гидрида натрия. Спустя 15 минут раствор смешивают с 0,15 г 2-фторбензонитрила и 0,10 г иодида меди (I) и энергично перемешивают при 100°C в течение 2 часов. Раствор охлаждают до комнатной температуры, разбавляют водой и экстрагируют этилацетатом. Органический слой промывают водой и затем насыщенным раствором соли и сушат ангидридом сульфата магния. Растворитель отгоняют в вакууме. Остаток очищают хроматографией на силикагеле (смесь этилацетат/гексан=1:2), получая 0,03 г светло-желтого порошкообразного предметного соединения.
1H-ЯМР (400 МГц, ДМСО-d6); (м.д.) 7,34-7,42 (м, 2H), 7,45-7,50 (м, 2H), 7,70-7,78 (м, 3H), 7,84-7,90 (м, 2H), 7,96 (дт, 1H), 8,11 (д, 1H), 8,31 (д, 1H), 8,47 (дд, 1H), 8,71-8,74 (м, 1H), 8,88 (д, 1H).
Пример 161
1-Фенил-3-(1-фенилацетилен-2-ил)-5-(2-пиридил)-1,2-дигидропиридин-2-он
100 мг 3-бром-1-фенил-5-(пиридин-2-ил)-1,2-дигидропиридин-2-она, 55 мг фенилацетилена, 1 мг иодида меди (I) и 4 мг дихлорбис(трифенилфосфин)палладия добавляют к смешанному растворителю, состоящему из 1,5 мл триэтиламина и 1 мл диметилформамида, и перемешивают при 50°C в атмосфере азота на протяжении ночи. Реакционную смесь распределяют на два слоя между этилацетатом и водой. Органический слой промывают водой, сушат и концентрируют и остаток очищают хроматографией на силикагеле (смесь этилацетат/основной растворитель-гексан), получая 7 мг предметного соединения.
1H-ЯМР (400 МГц, CDCl3); (м.д.) 7,22 (дд, 1H), 7,33-7,35 (м, 3H), 7,46-7,60 (м, 8H), 7,75 (дт, 1H), 8,26 (д, 1H), 8,34 (д, 1H), 8,60 (ддд, 1H).
Пример 162
5-(5-Ацетоксипиридин-2-ил)-3-(2-цианофенил)-1-фенил-1,2-дигидропиридин-2-он
(162a) 3-(2-Цианофенил)-1-фенил-5-(три-н-бутилстаннил)-1,2-дигидропиридин-2-он
5,50 г 5-бром-3-(2-цианофенил)-1-фенил-1,2-дигидропиридин-2-она, 45,5 г бистрибутилолова и 907 мг тетракистрифенилфосфин-палладия добавляют к 60 мл ксилола и смесь перемешивают при 120°C в атмосфере азота в течение 40 минут. Реакционную смесь очищают хроматографией на силикагеле (смесь этилацетат/основной растворитель-гексан), получая 3,42 г предметного соединения.
1H-ЯМР (400 МГц, CDCl3); (м.д.) 0,90 (т, 9H), 1,07-1,11 (м, 6H), 1,30-1,39 (м, 6H), 1,52-1,60 (м, 6H), 7,29 (д, 1H), 7,39-7,47 (м, 5H), 7,49-7,52 (м, 2H), 7,60 (д, 1H), 7,71-7,75 (м, 2H).
(162b) 5-(5-ацетоксипиридин-2-ил)-3-(2-цианофенил)-1-фенил-1,2-дигидропиридин-2-он
3,42 г 3-(2-цианофенил)-1-фенил-5-(три-н-бутилстаннил)-1,2-дигидропиридин-2-она, 1,57 г 5-ацетокси-2-хлорпиридина и 352 мг тетракистрифенилфосфин-палладия добавляют к 40 мл ксилола и смесь перемешивают при 120°C в атмосфере азота в течение 8,5 часов. Реакционную смесь очищают хроматографией на силикагеле (смесь этилацетат/основной растворитель-гексан), получая 953 мг предметного соединения.
1H-ЯМР (400 МГц, CDCl3); (м.д.) 2,36 (с, 3H), 7,44-7,56 (м, 6H), 7,62-7,68 (м, 3H), 7,77-7,80 (м, 2H), 8,27 (д, 1H), 8,28 (д, 1H), 8,40 (дд, 1H).
Пример 163
3-(2-Цианофенил)-5-(5-гидроксипиридин-2-ил)-1-фенил-1,2-дигидропиридин-2-он
953 мг 5-(5-ацетоксипиридин-2-ил)-3-(2-цианофенил)-1-фенил-1,2-дигидропиридин-2-она и 192 мг карбоната калия добавляют к 50 мл метанола и смесь перемешивают при комнатной температуре в течение 30 минут. Далее смесь смешивают с 50 мл метанола и перемешивают при 40°C в течение 15 минут. Реакционную смесь разбавляют этилацетатом и фильтруют через силикагель. Фильтрат концентрируют в вакууме и промывают смесью диэтиловый эфир/основной растворитель-метанол, получая 786 мг предметного соединения.
1H-ЯМР (400 МГц, ДМСО-d6); (м.д.) 7,19 (дд, 1H), 7,49-7,52 (м, 1H), 7,55-7,61 (м, 5H), 7,71 (дд, 1H), 7,78 (дт, 1H), 7,82 (д, 1H), 7,93 (дд, 1H), 8,14 (д, 1H), 8,34 (д, 1H), 8,37 (д, 1H).
Пример 164
3-(2-Цианофенил)-1-фенил-5-(2-пиримидинил)-1,2-дигидропиридин-2-он
63 мг 2-трибутилоловопиримидина, полученного согласно Tetrahedron 50(1), 275, (1994), 50 мг 5-бром-3-(2-цианофенил)-1-фенил-1,2-дигидропиридин-2-она и 5 мг тетракистрифенилфосфин-палладия добавляют к 2 мл ксилола и смесь перемешивают при 120°C в атмосфере азота на протяжении ночи. Реакционную смесь очищают хроматографией на силикагеле (смесь этилацетат/основной растворитель-гексан), получая 10 мг предметного соединения.
1H-ЯМР (400 МГц, CDCl3); (м.д.) 7,15 (т, 1H), 7,44-7,54 (м, 6H), 7,64 (дт, 1H), 7,72-7,78 (м, 2H), 8,70 (с, 1H), 8,71 (с, 1H), 8,72 (д, 1H), 8,76 (д, 1H).
Пример 165
3-(2-Гидроксипиридин-6-ил)-1-фенил-5-(2-пиридил)-1,2-дигидропиридин-2-он
20 мг 3-(2-метоксипиридин-6-ил)-1-фенил-5-(пиридин-2-ил)-1,2-дигидропиридин-2-она добавляют к 3 мл 5N хлористоводородной кислоты. Смесь нагревают при температуре кипения с обратным холодильником в течение 3 часов, к которой добавляют 0,5 мл концентрированной хлористоводородной кислоты, и далее перемешивают в течение 1 часа. Реакционную смесь концентрируют в вакууме и промывают простым эфиром, количественно получая предметное соединение.
1H-ЯМР (400 МГц, ДМСО-d6); (м.д.) 6,44 (д, 1H), 7,08 (ушир.с, 1H), 7,47 (дд, 1H), 7,52-7,62 (м, 6H), 8,02-8,06 (м, 1H), 8,18 (д, 1H), 8,62 (д, 1H), 8,68 (дд, 1H), 8,82 (дд, 1H).
Пример 166
1-(2-Аминобензотиазол-6-ил)-3-(2-цианофенил)-5-(2-пиридил)-1,2-дигидропиридин-2-он
150 мг 1-(3-аминофенил)-3-(2-цианофенил)-5-(2-пиридил)-1,2-дигидропиридин-2-она и 63 мг тиоцианата аммония добавляют к 2 мл уксусной кислоты. Смесь перемешивают при комнатной температуре в течение 1 часа, к которой добавляют 0,022 мл брома, и затем перемешивают в течение 1 часа. Реакционную смесь распределяют на два слоя между этилацетатом и водой и нейтрализуют 20% водным раствором карбоната калия. Органический слой промывают водой, сушат и концентрируют и остаток очищают хроматографией на силикагеле (смесь этилацетат/основной растворитель-гексан), получая 58 мг предметного соединения.
1H-ЯМР (400 МГц, CDCl3); (м.д.) 5,37 (ушир.с, 1H), 6,76 (д, 1H), 7,20-7,24 (м, 1H), 7,41-7,80 (м, 8H), 8,28-9,40 (м, 2H), 8,59-8,61 (м, 1H).
Пример 167
1,3-Дифенил-4-метил-5-(2-пиридил)-1,2-дигидропиридин-2-он
Предметное соединение получают с выходом 27% в соответствии со способом для Ссылочных примеров 4, 5 и 6 и примера 32 из 2,5-дибром-4-метилпиридина.
1H-ЯМР (400 МГц, CDCl3); (м.д.) 2,10 (с, 3H), 7,27 (ддд, 1H), 7,30-7,51 (м, 12H), 7,76 (ддд, 1H), 8,66-8,70 (м, 1H).
Пример 168
1-Фенил-3-[N-(N’-фенилуреиленил)]-5-(2-пиридил)-1,2-дигидропиридин-2-он
50 мг 3-амино-1-фенил-5-(2-пиридил)-1,2-дигидропиридин-2-она и 25 мг фенилизоцианата растворяют в 1 мл тетрагидрофурана и раствор перемешивают при комнатной температуре в течение 2 часов и при 60°C в течение 2 часов. Реакционный раствор оставляют охлаждаться до комнатной температуры и к нему добавляют диэтиловый эфир. Полученные кристаллы отделяют фильтрацией, получая 30 мг предметного соединения.
1H-ЯМР (400 МГц, CDCl3); (м.д.) 7,03-7,14 (м, 3H), 7,17-7,33 (м, 4H), 7,38-7,44 (м, 2H), 7,45-7,50 (м, 2H), 7,59 (ушир.с, 1H), 7,68-7,76 (м, 2H), 8,02 (д, 1H), 8,54-8,57 (м, 1H), 8,58 (ушир.с, 1H), 9,00 (д, 1H).
Пример 169
3-Бензоиламино-1-фенил-5-(2-пиридил)-1,2-дигидропиридин-2-он
30 мг 3-амино-1-фенил-5-(2-пиридил)-1,2-дигидропиридин-2-она растворяют в 1 мл метиленхлорида и 1 мл пиридина и к этому раствору добавляют 19 мг бензоилхлорида при охлаждении льдом и смесь перемешивают при комнатной температуре в течение ночи. Реакционную смесь концентрируют, разбавляют этилацетатом и промывают насыщенным водным раствором бикарбоната натрия. Органический слой сушат сульфатом магния и очищают хроматографией на NH-модифицированном силикагеле (этилацетат). Растворитель концентрируют и полученные неочищенные кристаллы промывают смесью этилацетат/гексан, получая 35 мг предметного соединения.
1H-ЯМР (400 МГц, CDCl3); (м.д.) 7,23 (ддд, 1H), 7,47-7,60 (м, 8H), 7,70-7,80 (м, 2H), 7,95-8,00 (м, 2H), 8,12 (д, 1H), 8,57-8,61 (м, 1H), 9,28 (д, 1H), 9,35 (ушир.с, 1H).
Пример 170
3-Бензиламино-1-фенил-5-(2-пиридил)-1,2-дигидропиридин-2-он
40 мг 3-амино-1-фенил-5-(2-пиридил)-1,2-дигидропиридин-2-она и 10 мг гидрида натрия добавляют к 1 мл толуола и к этой смеси по каплям при 70°C добавляют 30 мг бензилхлорида. Смесь перемешивают в течение 30 минут и нагревают в течение 1 часа при температуре кипения с обратным холодильником. Реакционную смесь оставляют охлаждаться до комнатной температуры, разбавляют этилацетатом и промывают водой и насыщенным солевым водным раствором. Органический слой сушат сульфатом магния и очищают хроматографией на NH-модифицированном силикагеле (смесь этилацетат/основной растворитель-гексан), получая 13 мг предметного соединения.
1H-ЯМР (400 МГц, CDCl3); (м.д.) 4,48 (д, 2H), 5,60 (ушир.т, 1H), 6,86 (д, 1H), 7,15 (ддд, 1H), 7,26-7,32 (м, 1H), 7,34-7,40 (м, 2H), 7,40-7,56 (м, 9H), 7,66 (ддд, 1H), 8,55-8,58 (м, 1H).
Пример 171
3-(2-Цианофенил)-1-циклопентил-5-(2-пиридил)-1,2-дигидропиридин-2-он
2,00 г 3-бром-5-(2-пиридил)-1,2-дигидропиридин-2-она в виде исходного вещества N-алкилируют обычным способом посредством 5,94 г бромциклопентана и 5,50 г карбоната калия, получая 506 мг 3-бром-1-циклопентил-5-(2-пиридил)-1,2-дигидропиридин-2-она, 150 мг которого обрабатывают согласно способу для примера 32, получая 120 мг предметного соединения.
1H-ЯМР (400 МГц, CDCl3); (м.д.) 1,73-2,02 (м, 6H), 2,23-2,35 (м, 2H), 5,37 (квинтет, 1H), 7,20 (ддд, 1H), 7,45 (ддд, 1H), 7,57 (д, 1H), 7,64 (ддд, 1H), 7,70-7,79 (м, 3H), 8,11 (д, 1H), 8,36 (д, 1H), 8,59-8,63 (м, 1H).
Пример 172
1-{3-[1-(Бензилоксикарбонил)пиперидин-4-илокси]фенил}-3-(2-цианофенил)-5-(2-пиридил)-1,2-дигидропиридин-2-он
0,99 г 3-бром-1-(3-гидроксифенил)-5-(2-пиридил)-1,2-дигидропиридин-2-она получают согласно способу примера 18 из 1,02 г 3-бром-1-(3-метоксифенил)-5-(2-пиридил)-1,2-дигидропиридин-2-она, синтезированного согласно способу Ссылочного примера 6. Его растворяют в 30 мл тетрагидрофурана и 10 мл N,N-диметилформамида и к этому раствору добавляют 1,52 г трифенилфосфина и 1,36 г N-бензилоксикарбонил-4-пиперидинола и далее по каплям при охлаждении льдом добавляют 2,52 г 40% толуольного раствора диэтилазодикарбоксилата и смесь перемешивают при комнатной температуре на протяжении ночи. Реакционный раствор концентрируют в вакууме и очищают хроматографией на силикагеле (смесь этилацетат/основной растворитель-гексан), получая 0,98 г 1-{3-[N-(бензилоксикарбонил)пиперидин-4-илокси]фенил}-3-бром-5-(2-пиридил)-1,2-дигидропиридин-2-она, из которого получают 0,85 г предметного соединения согласно способу примера 32.
1H-ЯМР (400 МГц, CDCl3); (м.д.) 1,73-1,87 (м, 2H), 1,88-2,02 (м, 2H), 3,43-3,52 (м, 2H), 3,70-3,80 (м, 2H), 4,50-4,58 (м, 1H), 5,14 (с, 2H), 6,98-7,02 (м, 1H), 7,06-7,11 (м, 2H), 7,22 (дд, 1H), 7,30-7,38 (м, 5H), 7,40-7,49 (м, 2H), 7,60 (ддд, 1H), 7,64 (ддд, 1H), 7,72-7,80 (м, 3H), 8,29 (д, 1H), 8,31 (д, 1H), 8,58-8,61 (м, 1H).
Пример 173
3-(2-Цианофенил)-5-(2-пиридил-1-оксид)-1-фенил-1,2-дигидропиридин-2-он
1,00 г 3-(2-цианофенил)-5-(2-пиридил)-1-фенил-1,2-дигидропиридин-2-она растворяют в 30 мл хлороформа и к этому раствору добавляют 0,99 г 60% м-хлорпербензойной кислоты и смесь перемешивают при комнатной температуре в течение 2 часов. К смеси добавляют еще 1,00 г 60% м-хлорпербензойной кислоты и смесь перемешивают в течение 3 часов. Реакционный раствор смешивают с 50 мл водного раствора 1N гидроксида натрия и экстрагируют этилацетатом. Органический слой промывают насыщенным солевым водным раствором, сушат ангидридом сульфата магния и растворитель отгоняют в вакууме. Остаток перекристаллизовывают из смеси этилацетат/диэтиловый эфир, получая 0,46 г предметного соединения.
1H-ЯМР (400 МГц, CDCl3); (м.д.) 7,21-7,27 (м, 1H), 7,36 (дт, 1H), 7,43-7,48 (м, 2H), 7,50-7,54 (м, 4H), 7,61 (дд, 1H), 7,63 (дт, 1H), 7,78 (дд, 1H), 7,81-7,85 (м, 1H), 8,10 (д, 1H), 8,21 (дд, 1H), 8,83 (д, 1H).
Пример 174
3-Фениламино-5-(2-пиридил)-1-фенил-1,2-дигидропиридин-2-он
53 мг 3-бром-5-(2-пиридил)-1-фенил-1,2-дигидропиридин-2-она и 23 мг анилина растворяют в 10 мл толуола и к этому раствору добавляют 2 мг ацетата палладия, 7 мг 1,1′-бис(дифенилфосфино)ферроцена и 23 мг трет-бутоксида натрия и смесь перемешивают при 110°C на протяжении ночи. Реакционный раствор охлаждают до комнатной температуры, фильтруют через силикагель и промывают простым эфиром и фильтрат подвергают перегонке в вакууме, чтобы удалить растворитель. Остаток очищают хроматографией на силикагеле (NH-модифицированный силикагель) (смесь гексан/основной растворитель-этилацетат), получая 47 мг предметного соединения.
1H-ЯМР (400 МГц, CDCl3); (м.д.) 7,06 (тт, 1H), 7,15-7,19 (м, 2H), 7,29-7,31 (м, 2H), 7,38 (тт, 2H), 7,43-7,56 (м, 5H), 7,67 (д, 1H), 7,69 (тд, 1H), 7,75 (д, 1H), 8,58 (ддд, 1H).
ЭРИ-МС; 340 [M++H].
Пример 175
3-Фенокси-5-(2-пиридил)-1-фенил-1,2-дигидропиридин-2-он
100 мг 3-бром-5-(2-пиридил)-1-фенил-1,2-дигидропиридин-2-она и 58 мг фенола растворяют в 10 мл диметилформамида и к этому раствору добавляют 84 мг карбоната калия и 6 мг иодида меди и смесь перемешивают при 150°C в течение 5 часов. Реакционный раствор охлаждают до комнатной температуры и к нему добавляют водный раствор аммиака и экстрагируют этилацетатом. Органический слой промывают насыщенным солевым водным раствором и сушат безводным сульфатом магния и растворитель отгоняют в вакууме. Остаток очищают хроматографией на силикагеле (смесь гексан/основной растворитель-этилацетат), получая 66 мг предметного соединения.
1H-ЯМР (400 МГц, CDCl3); (м.д.) 7,13-7,19 (м, 3H), 7,26-7,27 (м, 2H), 7,36-7,54 (м, 7H), 7,60-7,61 (м, 1H), 7,66-7,71 (м, 1H), 8,03-8,04 (м, 1H), 8,54-8,57 (м, 1H).
ЭРИ-МС; 341 [M++H].
Пример 176
3-(1-Адамантиламино)-5-(2-пиридил)-1-фенил-1,2-дигидропиридин-2-он
27 мг 3-бром-5-(2-пиридил)-1-фенил-1,2-дигидропиридин-2-она и 130 мг 1-адамантиламина растворяют в 10 мл диметилформамида. К смеси добавляют 20 мг гидрида натрия, с последующим перемешиванием при 130°C в атмосфере азота на протяжении ночи. После охлаждения реакционного раствора до комнатной температуры к смеси добавляют насыщенный водный раствор хлорида аммония и воду, с последующей экстракцией этилацетатом. Органический слой промывают насыщенным раствором соли и сушат над безводным сульфатом магния. Растворитель выпаривают и остаток очищают хроматографией на силикагеле (система гексан/этилацетат), получая 3 мг указанного в заголовке соединения.
1H-ЯМР (400 МГц, CDCl3); (м.д.) 1,19-2,29 (м, 16H), 7,06-7,33 (м, 3H), 7,34-7,61 (м, 5H), 7,66-7,69 (м, 1H), 8,08-8,11 (м, 2H).
ЭРИ-МС; 398 [M++H].
Пример 177
3-[4-(2-Цианофенил)пиперазин-1-ил]-5-(2-пиридил)-1-фенил-1,2-дигидропиридин-2-он
29 мг 3-бром-5-(2-пиридил)-1-фенил-1,2-дигидропиридин-2-она растворяют в 200 мг 1-(2-цианофенил)пиперазина с последующим нагреванием при 130°C в течение 72 часов. После охлаждения реакционного раствора до комнатной температуры к нему добавляют воду с последующей экстракцией этилацетатом. Органический слой промывают насыщенным раствором соли и сушат над безводным сульфатом магния. Растворитель выпаривают и остаток очищают хроматографией на силикагеле (система гексан/этилацетат), получая 8 мг указанного в заголовке соединения.
1H-ЯМР (400 МГц, CDCl3); (м.д.) 3,20-3,22 (м, 4H), 3,50-3,56 (м, 4H), 7,00-7,13 (м, 3H), 7,32-7,61 (м, 10H), 7,79-7,84 (м, 2H).
ЭРИ-МС; 434 [M++H].
Пример 178
3-(1-Адамантил)-5-(2-пиридил)-1-фенил-1,2-дигидропиридин-2-он
40 мг 3-бром-5-(2-пиридил)-1-фенил-1,2-дигидропиридин-2-она растворяют в 10 мл тетрагидрофурана. К смеси добавляют 5 мг [1,1-бис(дифенилфосфино)ферроцен]дихлорпалладия (II) и 1,2 мг иодида меди (I). При перемешивании смеси при комнатной температуре в атмосфере азота на протяжении ночи в нее добавляют по каплям 0,4 мл 1-адамантилцинкбромида (0,5M раствор в тетрагидрофуране). После перемешивания в атмосфере азота на протяжении ночи к смеси добавляют водный аммиак с последующей экстракцией этилацетатом. Органический слой промывают насыщенным раствором соли и сушат над безводным сульфатом магния. Растворитель выпаривают и остаток очищают хроматографией на силикагеле (система гексан/этилацетат), получая 12 мг указанного в заголовке соединения.
1H-ЯМР (400 МГц, CDCl3); (м.д.) 1,44-2,19 (м, 15H), 7,13 (ддд, 1H), 7,31-7,55 (м, 6H), 7,66 (тд, 1H), 7,93 (д, 1H), 8,05 (д, 1H), 8,55-8,58 (м, 1H).
ЭРИ-МС; 383 [M++H].
Пример 179
3-(1,1-Дихлоргексил-1-гидроксиметил)-5-(2-пиридил)-1-фенил-1,2-дигидропиридин-2-он
13 мг 3-метоксикарбонил-5-(2-пиридил)-1-фенил-1,2-дигидропиридин-2-она растворяют в 20 мл тетрагидрофурана с последующим добавлением по каплям 0,05 мл циклогексилмагнийхлорида (2,0M раствор в диэтиловом эфире) в атмосфере азота при охлаждении льдом и перемешивании. После перемешивания смеси в течение 3 часов при нагревании до комнатной температуры в смесь добавляют насыщенный водный раствор хлорида аммония с последующей экстракцией этилацетатом. Органический слой промывают насыщенным раствором соли и сушат над безводным сульфатом магния. Растворитель выпаривают и остаток очищают хроматографией на силикагеле (система гексан/этилацетат), получая 8 мг указанного в заголовке соединения.
1H-ЯМР (400 МГц, CDCl3); (м.д.) 0,89-1,84 (м, 20H), 2,72-2,90 (м, 2H), 7,06-7,12 (м, 1H), 7,25-7,49 (м, 8H), 7,59-7,68 (м, 1H), 8,50-8,54 (м, 1H).
ЭРИ-МС; 443 [M++H].
Пример 180
3-(2-Цианофенил)-5-(2-пиридил)-1-(1-бензил-1,2,5,6-тетрагидропиридин-3-ил)-1,2-дигидропиридин-2-он
718 мг 3-бром-5-(2-пиридил)-1-(3-пиридил)-1,2-дигидропиридин-2-она растворяют в 40 мл ацетонитрила. К смеси добавляют 383 мг бензилбромида с последующим перемешиванием при 70°C на протяжении ночи. Затем в реакционную смесь добавляют еще 383 мг бензилбромида с последуюшим перемешиванием при 70°C в течение 2 ночей. После охлаждения до комнатной температуры смесь упаривают. Остаток растворяют в 30 мл метанола, с последующим охлаждением до 0°C при перемешивании. К смеси добавляют 265 мг боргидрида натрия, с последующим перемешиванием на протяжении ночи при нагревании от 0°C до комнатной температуры. В реакционную смесь добавляют воду, растворитель выпаривают и затем остаток экстрагируют этилацетатом. Органический слой промывают насыщенным раствором соли и сушат над безводным сульфатом магния. Растворитель выпаривают и остаток очищают хроматографией на силикагеле (система гексан/этилацетат), получая 550 мг 3-бром-5-(2-пиридил)-1-(1-бензил-1,2,5,6-тетрагидропиридин-3-ил)-1,2-дигидропиридин-2-она. 270 мг Продукта растворяют в 20 мл диметилформамида. К смеси добавляют 179 мг 2-(2-цианофенил)-1,3,2-диоксаборината, 313 мг карбоната цезия и 15 мг тетракистрифенилфосфин-палладия с последующим перемешиванием при 120°C в течение 1 часа. После охлаждения до комнатной температуры в реакционную смесь добавляют воду с последующей экстракцией этилацетатом. Органический слой промывают насыщенным раствором соли и сушат над сульфатом магния. Растворитель выпаривают и остаток очищают хроматографией на силикагеле (система гексан/этилацетат), получая 174 мг указанного в заголовке соединения.
1H-ЯМР (400 МГц, CDCl3); (м.д.) 2,38-2,42 (м, 2H), 2,70 (т, 2H), 3,43 (д, 2H), 3,68 (с, 2H), 6,05 (т, 1H), 7,21 (дд, 1H), 7,22-7,26 (м, 1H), 7,30 (т, 2H), 7,36 (д, 2H), 7,44 (т, 1H), 7,54 (д, 1H), 7,63 (т, 1H), 7,70-7,77 (м, 3H), 8,19 (д, 1H), 8,23 (д, 1H), 8,60 (дд, 1H).
Пример 181
3-(2-Цианофенил)-5-фениламинокарбонил-1-фенил-1,2-дигидропиридин-2-он
41 мг карбоксилата, полученного гидролизованием сложноэфирной группы 3-(2-цианофенил)-5-(метоксикарбонил)-1-фенил-1,2-дигидропиридин-2-она, растворяют в 5 мл дихлорметана. При охлаждении льдом к указанному раствору по каплям добавляют раствор 25 мг оксалилхлорида в дихлорметане и каталитическое количество диметилформамида с последующим перемешиванием при комнатной температуре в атмосфере азота в течение 1 часа. Реакционный раствор упаривают и остаток растворяют в дихлорметане. Раствор добавляют по каплям в раствор 13 мг анилина и 0,03 мл триэтиламина в дихлорметане при охлаждении льдом. После нагревания до комнатной температуры реакционную смесь перемешивают в атмосфере азота в течение 3 часов. При охлаждении льдом смесь выливают в насыщенный водный раствор гидрокарбоната натрия с последующей экстракцией этилацетатом. Органический слой промывают насыщенным раствором соли и затем сушат над безводным сульфатом магния. Растворитель выпаривают и остаток очищают хроматографией на силикагеле (система гексан/этилацетат), получая 11 мг указанного в заголовке соединения в виде белых кристаллов.
1H-ЯМР (400 МГц, CDCl3); (м.д.) 7,15 (тт, 1H), 7,33-7,39 (м, 2H), 7,55-7,42 (м, 6H), 7,56-7,60 (м, 2H), 7,65 (тд, 1H), 7,73-7,79 (м, 2H), 7,85 (ушир.с, 1H), 8,06 (д, 1H), 8,25 (д, 1H).
Пример 182
3-(2-Цианофенил)-5-(1-фенилбензимидазол-2-ил)-1-фенил-1,2-дигидропиридин-2-он
24 мг карбоксилата, полученного гидролизованием сложноэфирной группы 3-(2-цианофенил)-5-(метоксикарбонил)-1-фенил-1,2-дигидропиридин-2-она, растворяют в 20 мл дихлорметана. При охлаждении льдом в вышеуказанный раствор добавляют по каплям раствор 16 мг оксалилхлорида в дихлорметане. К смеси добавляют каталитическое количество диметилформамида с последующим перемешиванием при комнатной температуре в атмосфере азота в течение 1 часа. Реакционный раствор упаривают и остаток растворяют в дихлорметане. Раствор по каплям добавляют в раствор 21 мг N-фенил-1,2-фенилендиамина в дихлорметане при охлаждении льдом. Смесь нагревают до комнатной температуры с последующим перемешиванием в атмосфере азота на протяжении ночи. Дихлорметан выпаривают, добавляют 10 мл уксусной кислоты и смесь перемешивают при 100°C в течение 5 часов. После охлаждения до комнатной температуры выпаривают уксусную кислоту. При охлаждении льдом остаток выливают в насыщенный водный раствор гидрокарбоната натрия с последующей экстракцией этилацетатом. Органический слой промывают насыщенным раствором соли и сушат над безводным сульфатом магния. Растворитель выпаривают и остаток очищают хроматографией на силикагеле (система гексан/этилацетат), получая 18 мг указанного в заголовке соединения в виде белых кристаллов.
1H-ЯМР (400 МГц, CDCl3); (м.д.) 7,19-7,30 (м, 4H), 7,33-7,37 (м, 1H), 7,39-7,43 (м, 4H), 7,44-7,45 (м, 1H), 7,46-7,47 (м, 1H), 7,55-7,61 (м, 3H), 7,61-7,66 (м, 2H), 7,68 (д, 1H), 7,71 (дд, 1H), 7,81-7,84 (м, 1H), 7,87 (д, 1H).
ЭРИ-МС; 465 [M++H].
Пример 183
3-(2-Хлорфенил)-5-(бензотиазол-2-ил)-1-фенил-1,2-дигидропиридин-2-он
19 мг карбоксилата, полученного гидролизованием сложноэфирной группы 3-(2-хлорфенил)-5-(метоксикарбонил)-1-фенил-1,2-дигидропиридин-2-она (синтезированного из 3-бром-5-(метоксикарбонил)-1-фенил-1,2-дигидропиридин-2-она и 2-хлорфенилбороновой кислоты согласно способу Ссылочного примера 3), растворяют в 20 мл дихлорметана. При охлаждении льдом в вышеуказанный раствор по каплям добавляют раствор 11 мг оксалилхлорида в дихлорметане и туда же добавляют каталитическое количество диметилформамида с последующим перемешиванием при комнатной температуре в атмосфере азота в течение 1 часа. Реакционный раствор упаривают и остаток растворяют в дихлорметане. Раствор по каплям добавляют в раствор 22 мг 2-аминобензотиола в дихлорметане при охлаждении льдом. После нагревания до комнатной температуры дихлорметан выпаривают. К остатку добавляют 1 мл полифосфорной кислоты с последующим перемешиванием при 180°C на протяжении ночи. После охлаждения до комнатной температуры реакционную смесь нейтрализуют 1N водным раствором гидроксида натрия и насыщенным водным раствором гидрокарбоната натрия при охлаждении льдом и экстрагируют этилацетатом. Органический слой промывают насыщенным раствором соли и сушат над безводным сульфатом магния. Растворитель выпаривают и остаток очищают хроматографией на силикагеле (система гексан/этилацетат), получая 4 мг указанного в заголовке соединения в виде белых кристаллов.
1H-ЯМР (400 МГц, CDCl3); (м.д.) 7,32-7,35 (м, 2H), 7,37-7,41 (м, 1H), 7,46-7,51 (м, 4H), 7,51-7,55 (м, 4H), 7,87-7,89 (м, 1H), 8,00 (д, 1H), 8,14 (д, 1H), 8,42 (д, 1H).
ЭРИ-МС; 415 [M++H].
Пример 184
3-(2-Хлорфенил)-5-(бензоксазол-2-ил)-1-фенил-1,2-дигидропиридин-2-он
19 мг карбоксилата, полученного гидролизованием сложноэфирной группы 3-(2-хлорфенил)-5-(метоксикарбонил)-1-фенил-1,2-дигидропиридин-2-она (синтезированного из 3-бром-5-(метоксикарбонил)-1-фенил-1,2-дигидропиридин-2-она и 2-хлорфенилбороновой кислоты согласно способу Ссылочного примера 3), растворяют в 20 мл дихлорметана. При охлаждении льдом в вышеупомянутый раствор добавляют по каплям раствор 11 мг оксалилхлорида в дихлорметане и туда же добавляют каталитическое количество диметилформамида с последующим перемешиванием при комнатной температуре в атмосфере азота в течение 1 часа. Реакционный раствор упаривают и остаток растворяют в дихлорметане. Раствор добавляют по каплям в раствор 19 мг 2-аминофенола в дихлорметане при охлаждении льдом. После нагревания до комнатной температуры выпаривают дихлорметан. К остатку добавляют 1 мл полифосфорной кислоты с последующим перемешиванием при 180°C на протяжении ночи. После охлаждения до комнатной температуры реакционную смесь нейтрализуют 1N водным раствором гидроксида натрия и насыщенным водным раствором гидрокарбоната натрия при охлаждении льдом. Смесь экстрагируют этилацетатом и полученный органический слой промывают насыщенным раствором соли и сушат над безводным сульфатом магния. Растворитель выпаривают и остаток очищают хроматографией на силикагеле (система гексан/этилацетат), получая 3 мг указанного в заголовке соединения в виде белых кристаллов.
1H-ЯМР (400 МГц, CDCl3); (м.д.) 7,31-7,38 (м, 4H), 7,45,7,57 (м, 8H), 7,69-7,71 (м, 1H), 8,29 (д, 1H), 8,49 (д, 1H).
ЭРИ-МС; 399 [M++H].
Пример 185
3-(2-Хлорфенил)-5-феноксиметил-1-фенил-1,2-дигидропиридин-2-он
24 мг 3-(2-хлорфенил)-5-гидроксиметил-1-фенил-1,2-дигидропиридин-2-она растворяют в 10 мл тетрагидрофурана. В полученный раствор добавляют 9,4 мг фенола, 33 мг трифенилфосфинового полимера (3 ммоль/г полимера) и 17 мг 1,1′-азобис(N,N-диметилформамида) с последующим перемешиванием при 60°C на протяжении ночи. Добавляют еще 50 мг трифенилфосфинового полимера (3 ммоль/г полимера) и 30 мг 1,1′-азобис(N,N-диметилформамида) с последующим перемешиванием при 60°C на протяжении ночи. После охлаждения до комнатной температуры к смеси добавляют этилацетат и трифенилфосфиновый полимер удаляют фильтрованием через целит. Фильтрат промывают водой и 1N водным раствором гидроксида натрия. Органический слой промывают насыщенным раствором соли и сушат над безводным сульфатом магния. Растворитель выпаривают и остаток очищают хроматографией на силикагеле (система гексан/этилацетат), получая 12 мг указанного в заголовке соединения.
1H-ЯМР (400 МГц, CDCl3); (м.д.) 4,87 (с, 2H), 6,97 (дд, 2H), 7,01 (дд, 1H), 7,26-7,34 (м, 4H), 7,40-7,51 (м, 7H), 7,54-7,56 (м, 1H), 7,60 (д, 1H).
ЭРИ-МС; 388 [M++H].
Пример 186
3-(2-Цианофенил)-5-(1-метил-1,2,3,6-тетрагидропиридин-2-ил)-1-фенил-1,2-дигидропиридин-2-он
99 мг 3-бром-5-(2-пиридил)-1-фенил-1,2-дигидропиридин-2-она растворяют в 10 мл ацетонитрила. В раствор добавляют 2 мл метилбензолсульфоната с последующим перемешиванием при 100°C в течение 2 ночей. После охлаждения до комнатной температуры растворитель выпаривают. Остаток растворяют в 10 мл метанола с последующим охлаждением до 0°C при перемешивании. Боргидрид натрия добавляют 5 раз с интервалами 5 часов, 1 г каждый раз, с последующим перемешиванием при 0°C на протяжении ночи. Затем растворитель выпаривают и к остатку добавляют насыщенный водный раствор хлорида аммония с последующей экстракцией этилацетатом. Органический слой промывают насыщенным раствором соли и сушат над безводным сульфатом магния. Растворитель выпаривают и остаток очищают хроматографией на силикагеле (система гексан/этилацетат), получая 107 мг 3-бром-5-(1-метил-1,2,3,6-тетрагидропиридин-2-ил)-1-фенил-1,2-дигидропиридин-2-она. Продукт растворяют в 10 мл диметилформамида. В раствор добавляют 81 мг 2-(2-цианофенил)-1,3,2-диоксаборината, 142 мг карбоната цезия и 7 мг тетракистрифенилфосфин-палладия с последующим перемешиванием при 140°C в течение 2 часов. После охлаждения до комнатной температуры к смеси добавляют воду с последующей экстракцией этилацетатом. Органический слой промывают насыщенным раствором соли и сушат над безводным сульфатом магния. Растворитель выпаривают и остаток очищают хроматографией на силикагеле (система гексан/этилацетат), получая 41 мг указанного в заголовке соединения.
1H-ЯМР (400 МГц, CDCl3); (м.д.) 2,26 (с, 3H), 2,30-2,50 (м, 1H), 2,90-2,98 (м, 1H), 3,15 (дд, 1H), 3,31-3,40 (м, 1H), 3,85 (т, 1H), 5,72-5,78 (м, 1H), 5,79-5,85 (м, 1H), 7,40 (д, 1H), 7,40-7,57 (м, 5H), 7,60 (тд, 1H), 7,64-7,70 (м, 1H), 7,72-7,73 (м, 1H), 7,74-7,75 (м, 1H), 7,76 (д, 1H).
Пример 187
3-(2-Пиридилэтенил)-5-(2-пиридил)-1-фенил-1,2-дигидропиридин-2-он
23 мг 3-бром-5-(2-пиридил)-1-фенил-1,2-дигидропиридин-2-она растворяют в 20 мл ацетонитрила. К смеси добавляют 0,2 мг ацетата палладия, 4,3 мг три-o-толилфосфина и 0,04 мл триэтиламина с последующим перемешиванием при 110°C в атмосфере азота на протяжении ночи. К смеси добавляют 9,2 мг 2-винилпиридина, с последующим перемешиванием при 110°C в атмосфере азота в течение 5 часов. После охлаждения до комнатной температуры реакционную смесь выливают в воду с последующей экстракцией этилацетатом. Органический слой промывают насыщенным раствором соли и сушат над безводным сульфатом магния. Растворитель выпаривают и остаток очищают хроматографией на силикагеле (система гексан/этилацетат), получая 2 мг указанного в заголовке соединения.
1H-ЯМР (400 МГц, CDCl3); (м.д.) 7,12-7,16 (м, 1H), 7,18-7,23 (м, 1H), 7,36 (д, 1H), 7,44-7,51 (м, 3H), 7,51-7,55 (м, 2H), 7,57-7,60 (м, 1H), 7,64 (дт, 1H), 7,70-7,79 (м, 1H), 7,78-7,82 (м, 1H), 8,03-8,07 (м, 1H), 8,24 (д, 1H), 8,28 (д, 1H), 8,57-8,63 (м, 2H).
ЭРИ-МС; 352 [M++H].
Пример 188
3-(4-Хлорфенилтио)-5-(2-пиридил)-1-фенил-1,2-дигидропиридин-2-он
25 мг 3-бром-5-(2-пиридил)-1-фенил-1,2-дигидропиридин-2-она растворяют в 20 мл диметилформамида. К смеси добавляют 17 мг 4-хлортиофенола, 3 мг гидроксида натрия и 2 мг йодида меди, с последующим перемешиванием при 150°C в атмосфере азота на протяжении ночи. После охлаждения до комнатной температуры реакционную смесь выливают в воду. К смеси добавляют водный аммиак с последующей экстракцией этилацетатом. Органический слой промывают насыщенным раствором соли и сущат над безводным сульфатом магния. Растворитель выпаривают и остаток очищают хроматографией на силикагеле (система гексан/этилацетат), получая 8 мг указанного в заголовке соединения.
1H-ЯМР (400 МГц, CDCl3); (м.д.) 7,17 (ддд, 1H), 7,30 (д, 1H), 7,39-7,56 (м, 9H), 7,61 (д, 1H), 7,67 (тд, 1H), 8,08 (д, 1H), 8,52-8,54 (м, 1H).
ЭРИ-МС; 391 [M++H].
Пример 189
3-(2-Хлорфенил)-5-циклогексил-1-фенил-1,2-дигидропиридин-2-он
30 мг 5-бром-3-(2-хлорфенил)-1-фенил-1,2-дигидропиридин-2-она, синтезированного из 5-бром-1-фенил-3-йод-1,2-дигидропиридин-2-она и 2-хлорфенилбороновой кислоты согласно способу Ссылочного примера 3, растворяют в 20 мл тетрагидрофурана с последующим добавлением 1 мг [1,3-бис(дифенилфосфино)пропан]никель (II) хлорида. При перемешивании в атмосфере азота в вышеупомянутую смесь по каплям добавляют 0,1 мл циклогексилмагнийхлорида (2,0M эфирный раствор). После перемешивания при комнатной температуре в атмосфере азота на протяжении ночи смесь нагревают при температуре кипения с обратным холодильником в течение 1 часа. После охлаждения до комнатной температуры к смеси добавляют насыщенный водный раствор хлорида аммония с последующей экстракцией этилацетатом. Органический слой промывают насыщенным раствором соли и сушат над безводным сульфатом магния. Растворитель выпаривают и остаток очищают хроматографией на силикагеле (система хлороформ/метанол), получая 6 мг указанного в заголовке соединения.
1H-ЯМР (400 МГц, CDCl3); (м.д.) 1,15-1,47 (м, 5H), 1,53-1,93 (м, 5H), 2,35 (м, 1H), 6,99-7,34 (м, 3H), 7,36-7,60 (м, 8H).
ЭРИ-МС; 364 [M++H].
Пример 190
3-(1H-Бензимидазол-2-ил)-5-(2-пиридил)-1-фенил-1,2-дигидропиридин-2-он
25 мг карбоксилата, полученного путем удаления сложноэфирной группы (снятия защиты) с 3-метоксикарбонил-5-(2-пиридил)-1-фенил-1,2-дигидропиридин-2-она обычным способом, растворяют в 20 мл дихлорметана. При охлаждении льдом к полученному раствору по каплям добавляют раствор 16 мг оксалилхлорида в дихлорметане и к смеси добавляют каталитическое количество диметилформамида, с последующим перемешиванием при комнатной температуре в атмосфере азота в течение 1 часа. Реакционный раствор упаривают и к остатку добавляют дихлорметан. Раствор добавляют по каплям в раствор 17 мг o-фенилендиамина в дихлорметане при охлаждении льдом. После нагревания до комнатной температуры смесь перемешивают в атмосфере азота на протяжении ночи. Дихлорметан выпаривают с последующим добавлением метанола и нагреванием при температуре кипения с обратным холодильником в течение 5 часов. После охлаждения до комнатной температуры реакционную смесь выливают в охлаждаемый льдом насыщенный водный раствор гидрокарбоната натрия с последующей экстракцией этилацетатом. Органический слой промывают насыщенным раствором соли и сушат безводным сульфатом магния. Растворитель выпаривают и остаток очищают хроматографией на силикагеле (система гексан/этилацетат), получая 1,3 мг указанного в заголовке соединения в виде белых кристаллов.
1H-ЯМР (400 МГц, CDCl3); (м.д.) 7,10-7,94 (м, 13H), 8,57 (д, 1H), 8,58-8,62 (м, 1H), 9,43 (д, 1H).
ЭРИ-МС; 365 [M++H].
Пример 191
3-(2-Пиридон-1-ил)-5-(2-пиридил)-1-фенил-1,2-дигидропиридин-2-он
40 мг 3-бром-5-(2-пиридил)-1-фенил-1,2-дигидропиридин-2-она и 23 мг 2-оксипиридина растворяют в 10 мл диметилформамида. К полученному раствору добавляют 34 мг карбоната калия и 3 мг иодида меди с последующим перемешиванием при 140°C на протяжении ночи. После охлаждения реакционной смеси до комнатной температуры в нее добавляют водный аммиак с последующей экстракцией этилацетатом. Органический слой промывают насыщенным раствором соли и сушат над сульфатом магния. Растворитель выпаривают и остаток очищают хроматографией на силикагеле (NH-модифицированный) (система хлороформ/метанол), получая 10 мг указанного в заголовке соединения.
1H-ЯМР (400 МГц, CDCl3); (м.д.) 6,24 (тд, 1H), 6,69 (дд, 1H), 7,22 (дд, 1H), 7,37-7,42 (м, 2H), 7,45-7,57 (м, 6H), 7,73 (тд, 1H), 8,33 (д, 1H), 8,36 (д, 1H), 8,58-8,60 (м, 1H).
Пример 192
3-Циклогексил-5-(2-пиридил)-1-фенил-1,2-дигидропиридин-2-он
34 мг 3-бром-5-(2-пиридил)-1-фенил-1,2-дигидропиридин-2-она растворяют в 10 мл тетрагидрофурана с последующим добавлением 1 мг [1,3-бис(дифенилфосфино)пропан]никель (II) хлорида. При перемешивании в атмосфере азота к смеси по каплям добавляют 0,1 мл циклогексилмагнийхлорида (2,0M эфирный раствор). Смесь перемешивают при комнатной температуре в атмосфере азота в течение 1 часа с последующим нагреванием при температуре кипения с обратным холодильником в течение 72 часов. После охлаждения до комнатной температуры в реакционную смесь добавляют воду с последующей экстракцией этилацетатом. Органический слой промывают насыщенным раствором соли и затем сушат над безводным сульфатом магния. Растворитель выпаривают и остаток очищают хроматографией на силикагеле (система хлороформ/метанол), получая 5 мг указанного в заголовке соединения.
1H-ЯМР (400 МГц, CDCl3); (м.д.) 1,22-1,52 (м, 5H), 1,73-1,80 (м, 1H), 1,81-1,89 (м, 2H), 1,97- 2,04 (м, 2H), 2,90-2,99 (м, 1H), 7,18 (ддд, 1H), 7,53-7,55 (м, 6H), 7,71 (тд, 1H), 7,78 (дд, 1H), 8,04 (д, 1H), 8,59 (ддд, 1H).
Пример 193
3-[2-(5-Метил-1,2,4-оксадиазол-3-ил)фенил]-1-фенил-5-(2-пиридил)-1,2-дигидропиридин-2-он
53 мг 3-(2-цианофенил)-5-(2-пиридил)-1-фенил-1,2-дигидропиридин-2-она растворяют в 10 мл этанола, содержащем 20% воды. В раствор добавляют 19 мг гидрохлорида гидроксиламина и 17 мг ацетата натрия с последующим нагреванием при температуре кипения с обратным холодильником в течение 24 часов. Затем к смеси добавляют еще 19 мг гидрохлорида гидроксиламина и 17 мг ацетата натрия с последующим нагреванием при температуре кипения с обратным холодильником в течение 36 часов. После охлаждения до комнатной температуры смесь упаривают и полученные кристаллы промывают водой, сушат и собирают фильтрацией 50 мг соединения амидоксима. 20 мг продукта растворяют в 4 мл толуола. К смеси добавляют 16 мг уксусного ангидрида с последующим нагреванием при температуре кипения с обратным холодильником в течение 96 часов. После охлаждения до комнатной температуры смесь нейтрализуют карбонатом калия при охлаждении льдом. После экстракции этилацетатом экстракт последовательно промывают водой и насыщенным раствором соли и сушат над безводным сульфатом магния. Растворитель выпаривают и остаток очищают хроматографией на силикагеле (система гексан/этилацетат), получая 4 мг указанного в заголовке соединения.
1H-ЯМР (400 МГц, CDCl3); (м.д.) 2,56 (с, 3H), 7,18 (ддд, 1H), 7,38-7,59 (м, 8H), 7,72 (ддд, 1H), 7,71 (ддд, 1H), 8,08 (ддд, 1H), 8,11 (д, 1H), 8,27 (д, 1H), 8,58 (ддд, 1H).
ЭРИ-МС; 410 [M++H].
Нижеследующие соединения синтезируют способами, аналогичными способу, или согласно способу примера 1.
Пример 194
3-(2-Цианофенил)-5-(1-метилпиразол-4-ил)-1-фенил-1,2-дигидропиридин-2-он
1H-ЯМР (400 МГц, CDCl3); (м.д.) 4,01 (с, 3H), 7,46-7,56 (м, 8H), 7,62-7,68 (м, 3H), 7,78-7,81 (м, 2H).
Пример 195
3-(2-Цианофенил)-5-(6-метилпиридин-2-ил)-1-фенил-1,2-дигидропиридин-2-он
1H-ЯМР (400 МГц, CDCl3); (м.д.) 2,56 (с, 3H), 7,07 (д, 1H), 7,40-7,66 (м, 9H), 7,76-7,80 (м, 2H), 8,28 (д, 1H), 8,30 (д, 1H).
Пример 196
3-(2-Цианофенил)-5-(5-метилпиридин-2-ил)-1-фенил-1,2-дигидропиридин-2-он
1H-ЯМР (400 МГц, CDCl3); (м.д.) 2,36 (с, 3H), 7,42-7,56 (м, 8H), 7,63 (дт, 1H), 7,76-7,80 (м, 2H), 8,26 (д, 1H), 8,28 (д, 1H), 8,41-8,42 (м, 1H).
Пример 197
3-(2-Цианофенил)-5-(4-метилпиридин-2-ил)-1-фенил-1,2-дигидропиридин-2-он
1H-ЯМР (400 МГц, CDCl3); (м.д.) 2,36 (с, 3H), 7,43-7,57 (м, 8H), 7,63 (дт, 1H), 7,77-7,80 (м, 2H), 8,27 (д, 1H), 8,28 (д, 1H), 8,41-8,42 (м, 1H).
Пример 198
3-(2-Цианофенил)-5-(3-гидроксипиридин-2-ил)-1-фенил-1,2-дигидропиридин-2-он
1H-ЯМР (400 МГц, CDCl3); (м.д.) 7,20 (дд, 1H), 7,31 (дд, 1H), 7,51-7,60 (м, 6H), 7,68 (дд, 1H), 7,75 (дт, 1H), 7,83 (дд, 1H), 8,11 (дд, 1H), 8,51 (д, 1H), 8,55 (д, 1H).
Пример 199
3-(2-Цианофенил)-1-фенил-5-(2-пиразинил)-1,2-дигидропиридин-2-он
1H-ЯМР (400 МГц, CDCl3); (м.д.) 7,46-7,57 (м, 6H), 7,66 (дт, 1H), 7,75-7,81 (м, 2H), 8,33 (д, 1H), 8,35 (д, 1H), 8,50 (д, 1H), 8,55 (дд, 1H), 8,93 (д, 1H).
Пример 200
3-(2-Цианофенил)-5-(2-метоксипиридин-5-ил)-1-фенил-1,2-дигидропиридин-2-он
1H-ЯМР (400 МГц, CDCl3); (м.д.) 3,69 (с, 3H), 6,67 (д, 1H), 7,18 (д, 1H), 7,44-7,66 (м, 8H), 7,78-7,81 (м, 2H), 8,27 (д, 1H), 8,34 (д, 1H).
Пример 201
3-(2-Цианофенил)-1-фенил-5-(2-тиазолил)-1,2-дигидропиридин-2-он
1H-ЯМР (400 МГц, CDCl3); (м.д.) 7,31 (д, 1H), 7,45-7,56 (м, 6H), 7,65 (дт, 1H), 7,72 (дд, 1H), 7,77-7,80 (м, 2H), 8,18 (д, 1H), 8,25 (д, 1H).
Пример 202
3-(2-Цианофенил)-1-фенил-5-(4-пиримидинил)-1,2-дигидропиридин-2-он
1H-ЯМР (400 МГц, CDCl3); (м.д.) 7,46-7,59 (м, 7H), 7,66 (дт, 1H), 7,76-7,81 (м, 2H), 8,31 (д, 1H), 8,56 (д, 1H), 8,74 (д, 1H), 9,16 (д, 1H).
Пример 203
3-(2-Цианофенил)-1-фенил-5-(5-пиримидинил)-1,2-дигидропиридин-2-он
1H-ЯМР (400 МГц, CDCl3); (м.д.) 7,47-7,58 (м, 6H), 7,66 (дт, 1H), 7,75 (д, 1H), 7,78-7,81 (м, 2H), 7,92 (д, 1H), 8,92 (с, 2H), 9,22 (с, 1H).
Пример 204
3-(2-Цианофенил)-1-фенил-5-(3-пиридазинил)-1,2-дигидропиридин-2-он
1H-ЯМР (400 МГц, CDCl3); (м.д.) 7,46-7,56 (м, 7H), 7,66 (дт, 1H), 7,77-7,83 (м, 3H), 8,32 (д, 1H), 8,54 (д, 1H), 9,15 (дд, 1H).
Пример 205
3-(2-Цианофенил)-1-фенил-5-(4-пиридазинил)-1,2-дигидропиридин-2-он
1H-ЯМР (400 МГц, CDCl3); (м.д.) 7,48-7,61 (м, 7H), 7,67 (дт, 1H), 7,79-7,83 (м, 2H), 7,92 (д, 1H), 8,00 (д, 1H), 9,23 (дд, 1H), 9,40 (дд, 1H).
Пример 206
3-(2-Цианофенил)-5-(6-метоксипиридин-2-ил)-1-фенил-1,2-дигидропиридин-2-он
1H-ЯМР (400 МГц, CDCl3); (м.д.) 3,96 (с, 3H), 6,67 (дд, 1H), 7,18 (дд, 1H), 7,44-7,66 (м, 8H), 7,77-7,81 (м, 2H), 8,27 (д, 1H), 8,33 (д, 1H).
Пример 207
3-(2-Цианофенил)-1-фенил-5-(тиазол-4-ил)-1,2-дигидропиридин-2-он
1H-ЯМР (400 МГц, CDCl3); (м.д.) 7,46-7,57 (м, 6H), 7,66 (ддд, 1H), 7,72-7,81 (м, 3H), 7,87 (д, 1H), 7,97 (с, 1H), 8,76 (с, 1H).
Пример 208
3-(2-Цианофенил)-5-(3-оксо-1-циклогексен-1-ил)-1-фенил-1,2-дигидропиридин-2-он
1H-ЯМР (400 МГц, CDCl3); (м.д.) 2,12-2,19 (м, 2H), 2,46-2,50 (м, 2H), 2,65-2,69 (м, 2H), 6,36 (с, 1H), 7,45-7,57 (м, 6H), 7,62-7,70 (м, 2H), 7,76-7,79 (м, 2H), 7,88 (д, 1H).
Пример 209
3-(2-Цианофенил)-5-(5,6-дигидро-1,4-диоксин-2-ил)-1-фенил-1,2-дигидропиридин-2-он
1H-ЯМР (400 МГц, CDCl3); (м.д.) 4,12-4,14 (м, 2H), 4,21-4,23 (м, 2H), 7,42-7,78 (м, 12H).
Пример 210
3-(2-Цианофенил)-5-(1-нафтил)-1-(3-пиридил)-1,2-дигидропиридин-2-он
1H-ЯМР (400 МГц, CDCl3); (м.д.) 7,41-7,67 (м, 9H), 7,55-7,83 (м, 2H), 7,88-7,94 (м, 2H), 8,02 (ддд, 1H), 8,11 (д, 1H), 8,70 (д, 1H), 8,83 (д, 1H).
ЭРИ-МС; 400 [M++H].
Пример 211
3-(2-Цианофенил)-5-(2-нафтил)-1-(3-пиридил)-1,2-дигидропиридин-2-он
1H-ЯМР (400 МГц, CDCl3); (м.д.) 7,44-7,58 (м, 4H), 7,61-7,70 (м, 3H), 7,78-7,82 (м, 2H), 7,83-7,90 (м, 2H), 7,92 (д, 1H), 7,95-7,96 (м, 1H), 8,00 (ддд, 1H), 8,12 (д, 1H), 8,72 (дд, 1H), 8,83 (д, 1H).
ЭРИ-МС; 400 [M++H].
Пример 212
3-(2-Цианофенил)-5-(8-хинолинил)-1-(3-пиридил)-1,2-дигидропиридин-2-он
1H-ЯМР (400 МГц, CDCl3); (м.д.) 7,43-7,50 (м, 3H), 7,60-7,69 (м, 2H), 7,75-7,79 (м, 1H), 7,81-7,87 (м, 2H), 8,03-8,10 (м, 2H), 8,18 (д, 1H), 8,23 (дд, 1H), 8,68-8,72 (м, 2H), 8,87 (д, 1H), 8,98 (дд, 1H).
ЭРИ-МС; 401 [M++H].
Пример 213
3-(2-Цианофенил)-5-(3-пиридил)-1-(3-пиридил)-1,2-дигидропиридин-2-он
1H-ЯМР (400 МГц, ДМСО-d6); (м.д.) 7,45-7,51 (м, 1H), 7,59 (ддд, 1H), 7,64 (дд, 1H), 7,75-7,82 (м, 2H), 7,94 (д, 1H), 8,10 (ддд, 1H), 8,15-8,20 (м, 1H), 8,28 (д, 1H), 8,39-8,41 (м, 1H), 8,53-8,56 (м, 1H), 8,69 (дд, 1H), 8,84 (д, 1H), 8,98-8,90 (м, 1H).
ЭРИ-МС; 351 [M++H].
Пример 214
5-[(1-Бензолсульфонил)индол-2-ил]-3-(2-цианофенил)-1-(3-пиридил)-1,2-дигидропиридин-2-он
1H-ЯМР (400 МГц, CDCl3); (м.д.) 6,70 (д, 1H), 7,23-7,43 (м, 4H), 7,45-7,56 (м, 5H), 7,65 (д, 1H), 7,68 (тд, 2H), 7,78 (тд, 2H), 7,83 (д, 1H), 8,02 (ддд, 1H), 8,30 (дд, 1H), 8,72 (дд, 1H), 8,79 (д, 1H).
ЭРИ-МС; 529 [M++H].
Нижеследующие соединения синтезируют способами, аналогичными способу, или согласно способу примера 2.
Пример 215
1-(4-Аминофенил)-3-(2-цианофенил)-5-(2-пиридил)-1,2-дигидропиридин-2-он
1H-ЯМР (400 МГц, CDCl3); (м.д.) 3,86 (ушир.с, 2H), 6,76 (тд, 2H), 7,20 (ддд, 1H), 7,28 (тд, 2H), 7,44 (дт, 1H), 7,60 (тд, 1H), 7,64 (дд, 1H), 7,71-7,80 (м, 3H), 8,28 (д, 1H), 8,29 (д, 1H), 8,60 (ддд, 1H).
Пример 216
5-(3-Аминопиридин-2-ил)-3-(2-цианофенил)-1-фенил-1,2-дигидропиридин-2-он
1H-ЯМР (400 МГц, CDCl3); (м.д.) 4,05 (ушир.с, 2H), 7,07-7,08 (м, 2H), 7,42-7,47 (м, 2H), 7,51-7,53 (м, 4H), 7,62 (ддд, 1H), 7,75-7,78 (м, 1H), 7,79-7,82 (м, 1H), 7,99 (дд, 1H), 8,06 (дд, 1H), 8,15 (дд, 1H).
Пример 217
5-(5-Аминопиридин-2-ил)-3-(2-цианофенил)-1-фенил-1,2-дигидропиридин-2-он
1H-ЯМР (400 МГц, CDCl3); (м.д.) 3,77 (ушир.с, 2H), 7,04 (дд, 1H), 7,39-7,52 (м, 7H), 7,60-7,64 (м, 1H), 7,76-7,80 (м, 2H), 8,08 (дд, 1H), 8,13 (д, 1H), 8,22 (д, 1H).
Пример 218
1-(3-Аминофенил)-3-(2-цианофенил)-5-(2-пиримидинил)-1,2-дигидропиридин-2-он
1H-ЯМР (400 МГц, CDCl3); (м.д.) 3,85 (ушир.с, 2H), 6,76 (ддд, 1H), 6,84 (т, 1H), 6,86 (ддд, 1H), 7,14 (т, 1H), 7,27-7,31 (м, 1H), 7,45 (дт, 1H), 7,63 (дт, 1H), 7,71-7,78 (м, 2H), 8,69-8,71 (м, 3H), 8,75 (д, 1H).
Пример 219
3-(2-Аминофенил)-1-фенил-5-(2-пиридил)-1,2-дигидропиридин-2-он
1H-ЯМР (400 МГц, ДМСО-d6); (м.д.) 7,23-7,37 (м, 3H), 7,40-7,47 (м, 1H), 7,47-7,56 (м, 2H), 7,56-7,66 (м, 3H), 7,88 (ддд, 1H), 8,08 (д, 1H), 8,46 (д, 1H), 8,58 (д, 1H), 8,59-8,64 (м, 1H).
Пример 220
3-(3-Аминофенил)-1-фенил-5-(2-пиридил)-1,2-дигидропиридин-2-он
1H-ЯМР (400 МГц, CDCl3); (м.д.) 3,70 (ушир.с, 2H), 6,68-6,72 (м, 1H), 7,13-7,26 (м, 3H), 7,42-7,56 (м, 5H), 7,56-7,60 (м, 1H), 7,64-7,76 (м, 2H), 8,22 (с, 2H), 8,58-8,61 (м, 1H).
Пример 221
3-(4-Аминофенил)-1-фенил-5-(2-пиридил)-1,2-дигидропиридин-2-он
1H-ЯМР (400 МГц, CDCl3); (м.д.) 3,77 (ушир.с, 2H), 6,70-6,76 (м, 2H), 7,17-7,21 (м, 1H), 7,42-7,60 (м, 6H), 7,64-7,75 (м, 3H), 8,15 (с, 2H), 8,58-8,61 (м, 1H).
Пример 222
3-(2-Цианофенил)-5-(2-пиридил)-1-(3-амино-4-метилфенил)-1,2-дигидропиридин-2-он
1H-ЯМР (400 МГц, CDCl3); (м.д.) 2,21 (с, 3H), 3,76 (с, 2H), 6,78-6,83 (м, 2H), 7,17 (д, 1H), 7,20 (ддд, 1H), 7,44 (тд, 1H), 7,58 (д, 1H), 7,63 (тд, 1H), 7,73 (тд, 1H), 7,78 (тд, 2H), 8,29 (с, 2H), 8,59 (ддд, 1H).
ЭРИ-МС; 379 [M++H].
Нижеследующие соединения синтезируют способами, аналогичными способу, или согласно способу примера 3.
Пример 223
3-Бензолсульфониламино-1-фенил-5-(2-пиридил)-1,2-дигидропиридин-2-он
1H-ЯМР (400 МГц, CDCl3); (м.д.) 7,22 (ддд, 1H), 7,31-7,33 (м, 2H), 7,44-7,60 (м, 7H), 7,76 (дт, 1H), 7,92-7,95 (м, 2H), 7,97 (д, 1H), 8,21 (д, 1H), 8,56-8,58 (м, 1H).
Пример 224
3-(2-Цианофенил)-5-бензолсульфониламино-1-фенил-1,2-дигидропиридин-2-он
1H-ЯМР (400 МГц, CDCl3); (м.д.) 7,26-7,27 (м, 1H), 7,30-7,33 (м, 2H), 7,41-7,65 (м, 10H), 7,70-7,73 (м, 1H), 7,83-7,86 (м, 2H).
Пример 225
3-(2-Цианофенил)-5-(3-метилсульфониламинопиридин-2-ил)-1-фенил-1,2-дигидропиридин-2-он
1H-ЯМР (400 МГц, CDCl3); (м.д.) 3,40 (с, 3H), 7,43-7,48 (м, 4H), 7,50-7,54 (м, 4H), 7,64-7,66 (м, 2H), 7,74 (дд, 1H), 7,95 (д, 1H), 8,20 (д, 1H), 8,77 (дд, 1H).
Пример 226
3-(2-Метилсульфониламинофенил)-1-фенил-5-(2-пиридил)-1,2-дигидропиридин-2-он
1H-ЯМР (400 МГц, CDCl3); (м.д.) 2,96 (с, 3H), 7,25 (ддд, 1H), 7,30-7,35 (м, 1H), 7,43-7,63 (м, 9H), 7,76 (ддд, 1H), 8,30 (ушир.с, 1H), 8,33 (д, 1H), 8,39 (д, 1H), 8,60-8,64 (м, 1H).
Пример 227
3-(4-Метилсульфониламинофенил)-1-фенил-5-(2-пиридил)-1,2-дигидропиридин-2-он
1H-ЯМР (400 МГц, CDCl3); (м.д.) 3,01 (с, 3H), 6,57 (ушир.с, 1H), 7,20-7,28 (м, 3H), 7,45-7,61 (м, 6H), 7,77 (ддд, 7,79-7,85 (м, 2Н), 8,22 (д, 1Н), 8,24 (д, 1Н), 8,60-8,64 (м, 1Н).
Пример 228
3-(3-Метилсульфониламинофенил)-1-фенил-5-(2-пиридил)-1,2-дигидропиридин-2-он
1Н-ЯМР (400 МГц, CDCl3); (м.д.) 2,92 (с, 3Н), 6,98 (ушир.с, 1Н), 7,20-7,32 (м, 2Н), 7,36-7,61 (м, 8Н), 7,69-7,78 (м, 2Н), 8,22 (д, 1Н), 8,26 (д, 1Н), 8,59-8,63 (м, 1Н).
Нижеследующие соединения синтезируют способами, аналогичными способу, или согласно способу примера 10.
Пример 229
5-(6-Ацетиламинопиридин-2-ил)-3-(2-цианофенил)-1-фенил-1,2-дигидропиридин-2-он
1Н-ЯМР (400 МГц, CDCl3); (м.д.) 2,22 (с, 3Н), 7,33 (дд, 1Н), 7,44-7,80 (м, 10Н), 7,85 (д, 1Н), 8,08-8,12 (м, 1Н), 8,24 (д, 1Н), 8,28 (д, 1Н).
Пример 230
3-(2-Ацетиламинофенил)-1-фенил-5-(2-пиридил)-1,2-дигидропиридин-2-он
1Н-ЯМР (400 МГц, ДМСО-d6); (м.д.) 1,96 (с, 3Н), 7,19-7,26 (м, 1Н), 7,30 (ддд, 1Н), 7,34-7,40 (м, 1Н), 7,40-7,46 (м, 1Н), 7,48-7,56 (м, 1Н), 7,56-7,64 (м, 4Н), 7,72 (д, 1Н), 7,83 (ддд, 1Н), 8,01 (д, 1Н), 8,32 (д, 1Н), 8,50 (д, 1Н), 8,57-8,61 (м, 1Н), 9,16 (ушир.с, 1Н).
Пример 231
3-(2-Диацетиламинофенил)-1-фенил-5-(2-пиридил)-1,2-дигидропиридин-2-он
1Н-ЯМР (400 МГц, CDCl3); (м.д.) 2,28 (с, 6Н), 7,18 (ддд, 1Н), 7,23-7,27 (м, 1Н), 7,42-7,60 (м, 9Н), 7,71 (ддд, 1Н), 7,95 (д, 1Н), 8,35 (д, 1Н), 8,54-8,58 (м, 1Н).
Пример 232
3-(3-Ацетиламинофенил)-1-фенил-5-(2-пиридил)-1,2-дигидропиридин-2-он
1Н-ЯМР (400 МГц, CDCl3); (м.д.) 2,11 (с, 3Н), 7,19-7,23 (м, 1Н), 7,34-7,40 (м, 1Н), 7,42-7,56 (м, 6Н), 7,60 (д, 1Н), 7,64-7,77 (м, 3Н), 7,83-7,87 (м, 1Н), 8,24 (д, 1Н), 8,26 (д, 1Н), 8,58-8,62 (м, 1Н).
Пример 233
3-(4-Ацетиламинофенил)-1-фенил-5-(2-пиридил)-1,2-дигидропиридин-2-он
1H-ЯМР (400 МГц, CDCl3); (м.д.) 2,15 (с, 3Н), 7,21 (ддд, 1Н), 7,34 (ушир.с, 1Н), 7,44-7,57 (м, 8Н), 7,59 (ддд, 1Н), 7,74 (ддд, 1Н), 7,80 (д, 1Н), 8,21 (с, 2Н), 8,59-8,62 (м, 1Н).
Нижеследующее соединение синтезируют способом, аналогичным способу, или согласно способу примера 12.
Пример 234
3-(4-Диметиламинофенил)-1-фенил-5-(2-пиридил)-1,2-дигидропиридин-2-он
1Н-ЯМР (400 МГц, CDCl3); (м.д.) 3,00 (с, 6Н), 6,75-6,80 (м, 2Н), 7,19 (ддд, 1Н), 7,41-7,54 (м, 1Н), 7,57-7,60 (м, 1Н), 7,73 (ддд, 1Н), 7,76-7,81 (м, 2Н), 8,14-8,17 (м, 2Н), 8,58-8,61 (м, 1Н).
Нижеследующее соединение синтезируют способоми, аналогичным способу, или согласно способу примера 15.
Пример 235
5-(6-Аминокарбонилпиридин-2-ил)-3-(2-цианофенил)-1-фенил-1,2-дигидропиридин-2-он
1H-ЯМР (400 МГц, CDCl3); (м.д.) 7,46-7,60 (м, 6H), 7,64 (дт, 1H), 7,74 (дд, 1H), 7,80-7,83 (м, 1H), 7,91-7,95 (м, 2H), 8,14-8,17 (м, 2H), 8,52 (д, 1H).
Нижеследующее соединение синтезируют способом, аналогичным способу, или согласно способу примера 16, путь 1.
Пример 236
3-(2-Цианофенил)-5-(2-цианопиридин-6-ил)-1-фенил-1,2-дигидропиридин-2-он
1H-ЯМР (400 МГц, CDCl3); (м.д.) 7,46-7,57 (м, 6H), 7,60 (дд, 1H), 7,66 (дт, 1H), 7,79-7,83 (м, 3H), 7,89 (дд, 1H), 8,29 (д, 1H), 8,41 (д, 1H).
Нижеследующие соединения синтезируют способами, аналогичными способу, или согласно способу примера 18.
Пример 237
3-(3-Гидроксифенил)-1-фенил-5-(2-пиридил)-1,2-дигидропиридин-2-он
1H-ЯМР (400 МГц, ДМСО-d6); (м.д.) 6,74-6,78 (м, 1H), 7,15-7,26 (м, 3H), 7,27-7,32 (м, 1H), 7,47-7,61 (м, 5H), 7,83 (ддд, 1H), 8,02 (д, 1H), 8,41 (с, 2H), 8,57-8,62 (м, 1H), 9,43 (ушир.с, 1H).
Пример 238
3-(4-Гидроксифенил)-1-фенил-5-(2-пиридил)-1,2-дигидропиридин-2-он
1H-ЯМР (400 МГц, ДМСО-d6); (м.д.) 6,79-6,84 (м, 2H), 7,28 (ддд, 1H), 7,47-7,59 (м, 5H), 7,61-7,66 (м, 2H), 7,82 (ддд, 1H), 8,00 (д, 1H), 8,33 (д, 1H), 8,35 (д, 1H), 8,57-8,61 (м, 1H), 9,57 (ушир.с, 1H).
Нижеследующие соединения синтезируют такими же способами, как в примере 19.
Пример 239
3-(2-Цианофенил)-1-(3-диметиламиноэтоксифенил)-5-(2-пиридил)-1,2-дигидропиридин-2-он
1H-ЯМР (400 МГц, CDCl3); (м.д.) 2,34 (с, 6H), 2,74 (т, 2H), 4,10 (т, 2H), 7,01-7,05 (м, 1H), 7,07-7,11 (м, 2H), 7,21 (ддд, 1H), 7,42 (дд, 1H), 7,45 (ддд, 1H), 7,59-7,66 (м, 2H), 7,72-7,81 (м, 3H), 8,30 (с, 2H), 8,58-8,61 (м, 1H).
Пример 240
3-(2-Цианофенил)-1-(3-пиперидиноэтоксифенил)-5-(2-пиридил)-1,2-дигидропиридин-2-он
1H-ЯМР (400 МГц, CDCl3); (м.д.) 1,39-1,48 (м, 2H), 1,56-1,64 (м, 4H), 2,46-2,56 (м, 4H), 2,78 (т, 2H), 4,14 (т, 2H), 6,99-7,03 (м, 1H), 7,06-7,11 (м, 2H), 7,21 (ддд, 1H), 7,41 (дд, 1H), 7,45 (ддд, 1H), 7,59-7,66 (м, 2H), 7,72-7,81 (м, 3H), 8,30 (с, 2H), 8,58-8,61 (м, 1H).
Пример 241
3-(2-Цианофенил)-1-(3-(пирролидиноэтоксифенил)-5-(2-пиридил)-1,2-дигидропиридин-2-он
1H-ЯМР (400 МГц, CDCl3); (м.д.) 1,76-1,86 (м, 4H), 2,57-2,70 (м, 4H), 2,92 (т, 2H), 4,16 (т, 2H), 7,03 (ддд, 1H), 7,06-7,11 (м, 2H), 7,21 (ддд, 1H), 7,41 (дд, 1H), 7,45 (ддд, 1H), 7,59-7,66 (м, 2H), 7,72-7,81 (м, 3H), 8,30 (с, 2H), 8,58-8,61 (м, 1H).
Пример 242
3-(2-Цианофенил)-1-(3-диизопропиламиноэтоксифенил)-5-(2-пиридил)-1,2-дигидропиридин-2-он
1H-ЯМР (400 МГц, CDCl3); (м.д.) 1,03 (д, 12H), 2,83 (т, 2H), 3,04 (гептет, 2H), 3,92 (т, 2H), 6,97-7,01 (м, 1H), 7,04 (дд, 1H), 7,07 (ддд, 1H), 7,21 (ддд, 1H), 7,41 (дд, 1H), 7,45 (ддд, 1H), 7,59-7,66 (м, 2H), 7,72-7,82 (м, 3H), 8,29-8,32 (м, 2H), 8,58-8,61 (м, 1H).
Пример 243
3-(2-Цианофенил)-1-(3-диметиламинопропоксифенил)-5-(2-пиридил)-1,2-дигидропиридин-2-он
1H-ЯМР (400 МГц, CDCl3); (м.д.) 1,96 (тт, 2H), 2,24 (с, 6H), 2,44 (т, 2H), 4,05 (т, 2H), 7,00 (ддд, 1H), 7,05-7,09 (м, 2H), 7,21 (ддд, 1H), 7,41 (дд, 1H), 7,45 (ддд, 1H), 7,59-7,66 (м, 2H), 7,72-7,81 (м, 3H), 8,30 (с, 2H), 8,58-8,61 (м, 1H).
Пример 244
3-(2-Цианофенил)-1-(3-пиперидинопропоксифенил)-5-(2-пиридил)-1,2-дигидропиридин-2-он
1H-ЯМР (400 МГц, CDCl3); (м.д.) 1,37-1,50 (м, 2H), 1,53-1,64 (м, 4H), 1,97 (тт, 2H), 2,30-2,45 (м, 4H), 2,47 (т, 2H), 4,04 (т, 2Н), 6,97-7,02 (м, 1Н), 7,04-7,09 (м, 2Н), 7,21 (ддд, 1Н), 7,41 (дд, 1Н), 7,45 (ддд, 1Н), 7,59-7,66 (м, 2Н), 7,70-7,82 (м, 3Н), 8,31 (с, 2Н), 8,58-8,62 (м, 1Н).
Пример 245
3-(2-Цианофенил)-1-(3-морфолиноэтоксифенил)-5-(2-пиридил)-1,2-дигидропиридин-2-он
1Н-ЯМР (400 МГц, CDCl3); (м.д.) 2,48-2,65 (м, 4Н), 2,81 (т, 2Н), 3,68-3,80 (м, 4Н), 4,15 (т, 2Н), 6,99-7,04 (м, 1Н), 7,06-7,13 (м, 2Н), 7,22 (ддд, 1Н), 7,42 (дд, 1Н), 7,46 (ддд, 1Н), 7,61 (дд, 1Н), 7,64 (ддд, 1Н), 7,74 (ддд, 1Н), 7,78 (дд, 2Н), 8,28-8,33 (м, 2Н), 8,58-8,62 (м, 1Н).
Пример 246
3-(2-Цианофенил)-1-(3-диэтиламиноэтоксифенил)-5-(2-пиридил)-1,2-дигидропиридин-2-он
1Н-ЯМР (400 МГц, CDCl3); (м.д.) 1,07 (т, 6Н), 2,64 (кв., 4Н), 2,89 (т, 2Н), 4,08 (т, 2Н), 7,01 (ддд, 1Н), 7,05-7,10 (м, 2Н), 7,21 (ддд, 1Н), 7,41 (дд, 1Н), 7,45 (ддд, 1Н), 7,59-7,66 (м, 2Н), 7,72-7,81 (м, 3Н), 8,31 (с, 2Н), 8,58-8,61 (м, 1Н).
Пример 247
3-(3-Диметиламиноэтоксифенил)-1-фенил-5-(2-пиридил)-1,2-дигидропиридин-2-он
1Н-ЯМР (400 МГц, CDCl3); (м.д.) 2,34 (с, 6Н), 2,74 (т, 2Н), 4,13 (т, 2Н), 6,92-6,98 (м, 1Н), 7,19-7,24 (м, 1Н), 7,33 (дд, 1Н), 7,37-7,42 (м, 1Н), 7,44-7,56 (м, 6Н), 7,57-7,62 (м, 1Н), 7,75 (ддд, 1Н), 8,25 (с, 2Н), 8,59-8,63 (м, 1Н).
Пример 248
3-(4-Диметиламиноэтоксифенил)-1-фенил-5-(2-пиридил)-1,2-дигидропиридин-2-он
1Н-ЯМР (400 МГц, CDCl3); (м.д.) 2,35 (с, 6Н), 2,76 (т, 2Н), 4,12 (т, 2Н), 6,95-7,00 (м, 2Н), 7,20 (ддд, 1Н), 7,43-7,54 (м, 5Н), 7,59 (ддд, 1Н), 7,73 (ддд, 1Н), 7,76-7,81 (м, 2Н), 8,17-8,20 (м, 2Н), 8,59-8,62 (м, 1Н).
Пример 249
3-(2-Цианофенил)-1-[3-(4-пиперидинобутокси)фенил]-5-(2-пиридил)-1,2-дигидропиридин-2-он
1Н-ЯМР (400 МГц, CDCl3); (м.д.) 1,38-1,46 (м, 2Н), 1,54-1,61 (м, 4Н), 1,62-1,71 (м, 2Н), 1,75-1,83 (м, 2Н), 2,30-2,43 (м, 6Н), 4,01 (т, 2Н), 6,97-7,01 (м, 1Н), 7,03-7,08 (м, 2Н), 7/21 (ддд, 1Н), 7,40 (дд, 1Н), 7,45 (ддд, 1Н), 7,59-7,66 (м, 2Н), 7,72-7,82 (м, 3Н), 8,30 (с, 2Н), 8,58-8,61 (м, 1Н).
Нижеследующие соединения синтезируют способами, аналогичными способу, или согласно способу примера 29.
Пример 250
3-(2-Цианофенил)-1-(3-пирролидинометилфенил)-5-(2-пиридил)-1,2-дигидропиридин-2-он
1Н-ЯМР (400 МГц, CDCl3); (м.д.) 1,74-1,84 (м, 4Н), 2,48-2,58 (м, 4Н), 3,69 (с, 2Н), 7,14-7,25 (м, 2Н), 7,38-7,51 (м, 4Н), 7,61 (д, 1Н), 7,63 (ддд, 1Н), 7,72-7,82 (м, 3Н), 8,30 (д, 1Н), 8,32 (д, 1Н), 8,58-8,62 (м, 1Н).
Пример 251
1-{3-[(4-Ацетилпиперазинометил)фенил]-3-(2-цианофенил)-5-(2-пиридил)-1,2-дигидропиридин-2-он
1H-ЯМР (400 МГц, CDCl3); (м.д.) 2,07 (с, 3H), 2,45 (дд, 4H), 3,45 (дд, 2H), 3,58 (с, 2H), 3,63 (дд, 2H), 7,22 (ддд, 1H), 7,40-7,54 (м, 5H), 7,60-7,67 (м, 2H), 7,73-7,80 (м, 3H), 8,29 (д, 1H), 8,33 (д, 1H), 8,58-8,62 (м, 1H).
Нижеследующие соединения синтезируют способами, аналогичными способу, или согласно способу примера 32.
Пример 252
3-(2-Цианофенил)-1-(4-нитрофенил)-5-(2-пиридил)-1,2-дигидропиридин-2-он
1H-ЯМР (400 МГц, CDCl3); (м.д.) 7,24-7,30 (м, 1H), 7,47-7,52 (м, 1H), 7,61-7,82 (м, 7H), 8,31 (дд, 2H), 8,42 (д, 2H), 8,60-8,63 (м, 1H).
Пример 253
1-Фенил-3-(2-пиразинил)-5-(2-пиридил)-1,2-дигидропиридин-2-он
1H-ЯМР (400 МГц, CDCl3); (м.д.) 7,21-7,25 (м, 1H), 7,49-7,59 (м, 5H), 7,72-7,79 (м, 2H), 8,46 (д, 1H), 8,54 (д, 1H), 8,61 (ддд, 1H), 8,65 (дд, 1H), 9,14 (д, 1H), 9,87 (д, 1H).
Пример 254
1-Фенил-3-(2-пиримидинил)-5-(2-пиридил)-1,2-дигидропиридин-2-он
1H-ЯМР (400 МГц, CDCl3); (м.д.) 7,20 (ддд, 1H), 7,25 (т, 1H), 7,44-7,54 (м, 5H), 7,66 (д, 1H), 7,75 (дт, 1H), 8,45 (д, 1H), 8,58-8,60 (м, 1H), 8,82 (д, 1H), 8,88 (с, 1H), 8,89 (с, 1H).
Пример 255
1-Фенил-5-(2-пиридил)-3-(2-тиазолил)-1,2-дигидропиридин-2-он
1H-ЯМР (400 МГц, CDCl3); (м.д.) 7,22-7,26 (м, 1H), 7,48-7,57 (м, 6H), 7,78-7,80 (м, 2H), 8,00 (дд, 1H), 8,52 (дд, 1H), 8,59-8,61 (м, 1H), 9,29 (д, 1H).
Пример 256
1-Фенил-3-(4-пиримидинил)-5-(2-пиридил)-1,2-дигидропиридин-2-он
1H-ЯМР (400 МГц, CDCl3); (м.д.) 7,22-7,26 (м, 1H), 7,48-7,59 (м, 5H), 7,77-7,82 (м, 2H), 8,53 (д, 1H), 8,60-8,62 (м, 1H), 8,73-8,77 (м, 2H), 9,27 (дд, 1H), 9,40 (д, 1H).
Пример 257
1-Фенил-3-(5-пиримидинил)-5-(2-пиридил)-1,2-дигидропиридин-2-он
1H-ЯМР (400 МГц, CDCl3); (м.д.) 7,24-7,27 (м, 1H), 7,48-7,61 (м, 7H), 7,77 (дт, 1H), 8,28 (д, 1H), 8,37 (д, 1H), 8,63 (ддд, 1H), 9,21 (д, 1H), 9,22 (с, 1H).
Пример 258
1-Фенил-3-(3-пиридазинил)-5-(2-пиридил)-1,2-дигидропиридин-2-он
1H-ЯМР (400 МГц, CDCl3); (м.д.) 7,22-7,25 (м, 1H), 7,48-7,58 (м, 6H), 8,55 (д, 1H), 8,60 (м, 1H), 8,78 (дд, 1H), 9,14 (дд, 1H), 9,34 (д, 1H).
Пример 259
1-Фенил-3-(4-пиридазинил)-5-(2-пиридил)-1,2-дигидропиридин-2-он
1H-ЯМР (400 МГц, CDCl3); (м.д.) 7,24-7,28 (м, 1H), 7,47-7,62 (м, 6H), 7,78 (дт, 1H), 8,16 (дд, 1H), 8,33 (д, 1H), 8,53 (д, 1H), 8,63-8,65 (м, 1H), 9,23 (дд, 1H), 9,62 (дд, 1H).
Пример 260
3-(6-Метоксипиридин-2-ил)-1-фенил-5-(2-пиридил)-1,2-дигидропиридин-2-он
1H-ЯМР (400 МГц, CDCl3); (м.д.) 4,07 (с, 3H), 6,73 (дд, 1H), 7,22 (ддд, 1H), 7,46-7,56 (м, 5H), 7,62-7,70 (м, 2H), 7,78 (ддд, 1H), 8,35 (дд, 1H), 8,39 (д, 1H), 8,66 (ддд, 1H), 9,21 (д, 1H).
Пример 261
3-(2-Цианофенил)-1-(3-пиридил)-5-(2-пиримидинил)-1,2-дигидропиридин-2-он
1H-ЯМР (400 МГц, CDCl3); (м.д.) 7,18 (т, 1H), 7,46-7,52 (м, 2H), 7,65 (дт, 1H), 7,71 (дд, 1H), 7,74-7,80 (м, 1H), 7,99 (ддд, 1H), 8,72-8,75 (м, 5H), 8,82 (дд, 1H).
Пример 262
3-(2-Фторпиридин-3-ил)-1-фенил-5-(2-пиримидинил)-1,2-дигидропиридин-2-он
1H-ЯМР (400 МГц, CDCl3); (м.д.) 7,16 (т, 1H), 7,24-7,27 (м, 2H), 7,48-7,57 (м, 5H), 8,19-8,23 (м, 2H), 8,69-8,76 (м, 3H).
Пример 263
3-(2-Фторпиридин-3-ил)-1-(3-пиридил)-5-(2-пиримидинил)-1,2-дигидропиридин-2-он
1H-ЯМР (400 МГц, CDCl3); (м.д.) 7,19 (т, 1H), 7,26-7,30 (м, 1H), 7,47-7,52 (м, 1H), 7,94 (ддд, 1H), 8,17 (ддд, 1H), 8,70-8,80 (м, 7H).
Пример 264
3-(2-Цианопиридин-3-ил)-1-фенил-5-(2-пиримидил)-1,2-дигидропиридин-2-он
1H-ЯМР (400 МГц, CDCl3); (м.д.) 7,17 (т, 1H), 7,47-7,56 (м, 6H), 8,14 (дд, 1H), 8,70 (дд, 1H), 8,72 (д, 2H), 8,80 (д, 1H), 8,85 (д, 1H).
Пример 265
3-(2-Цианопиридин-3-ил)-1-(3-пиридил)-5-(2-пиримидинил)-1,2-дигидропиридин-2-он
1H-ЯМР (400 МГц, CDCl3); (м.д.) 7,20 (т, 1H), 7,52 (ддд, 1H), 7,58 (дд, 1H), 7,97 (ддд, 1H), 8,11 (дд, 1H), 8,71-8,76 (м, 4H), 8,78 (д, 1H), 8,81 (дд, 1H), 8,66 (д, 1H).
Пример 266
3-(2-Цианофенил)-1-(3-нитрофенил)-5-(2-пиримидинил)-1,2-дигидропиридин-2-он
1H-ЯМР (400 МГц, CDCl3); (м.д.) 7,20 (т, 1H), 7,49 (ддд, 1H), 7,65-7,80 (м, 5H), 7,98 (ддд, 1H), 8,36 (ддд, 1H), 8,46 (т, 1H), 8,73-8,77 (м, 3H).
Пример 267
1-Фенил-5-(2-пиридил)-3-(тиазол-4-ил)-1,2-дигидропиридин-2-он
1H-ЯМР (400 МГц, CDCl3); (м.д.) 7,24-7,28 (м, 1H), 7,48-7,58 (м, 5H), 7,64 (тд, 1H), 7,79 (дт, 1H), 8,23 (д, 1H), 8,58 (д, 1H), 8,64-8,66 (м, 2H), 8,85 (д, 1H).
Пример 268
3-(3-Оксо-1-циклогексен-1-ил)-1-фенил-5-(2-пиридил)-1,2-дигидропиридин-2-он
1H-ЯМР (400 МГц, CDCl3); (м.д.) 2,09-2,16 (м, 2H), 2,48-2,51 (м, 2H), 2,87-2,91 (м, 2H), 6,53 (т, 1H), 7,22 (ддд, 1H), 7,43-7,57 (м, 6H), 7,75 (дт, 1H), 8,17 (д, 1H), 8,25 (д, 1H), 8,60 (ддд, 1H).
Пример 269
3-(5,6-Дигидро-1,4-диоксин-2-ил)-1-фенил-5-(2-пиридил)-1,2-дигидропиридин-2-он
1H-ЯМР (400 МГц, CDCl3); (м.д.) 4,18-4,20 (м, 2H), 4,30-4,32 (м, 2H), 7,19 (ддд, 1H), 7,41-7,54 (м, 5H), 7,63 (тд, 1H), 7,73 (дт, 1H), 8,02 (с, 1H), 8,10 (д, 1H), 8,28 (д, 1H), 8,58 (ддд, 1H).
Пример 270
3-(2-Нитрофенил)-1-фенил-5-(2-пиридил)-1,2-дигидропиридин-2-он
1H-ЯМР (400 МГц, CDCl3); (м.д.) 7,22 (ддд, 1H), 7,40-7,61 (м, 8H), 7,68 (ддд, 1H), 7,74 (ддд, 1H), 8,06 (дд, 1H), 8,22-8,25 (м, 2H), 8,60-8,63 (м, 1H).
Пример 271
3-(4-Бифенил)-1-фенил-5-(2-пиридил)-1,2-дигидропиридин-2-он
1H-ЯМР (400 МГц, CDCl3); (м.д.) 7,20-7,25 (м, 1H), 7,33-7,40 (м, 1H), 7,42-7,57 (м, 6H), 7,60-7,79 (м, 7H), 7,90-7,95 (м, 2H), 8,25 (д, 1H), 8,30 (д, 1H), 8,60-8,64 (м, 1H).
Пример 272
3-(2-Ацетилфенил)-5-(2-пиридил)-1-фенил-1,2-дигидропиридин-2-он
1Н-ЯМР (400 МГц, CDCl3); (м.д.) 2,59 (с, 3Н), 7,16-7,21 (м, 1Н), 7,40-7,60 (м, 9Н), 7,63-7,67 (м, 1Н), 7,68-7,75 (м, 1Н), 8,16 (д, 1Н), 8,22 (д, 1Н), 8,57-8,61 (м, 1Н).
Пример 273
3-(3-Нитрофенил)-1-фенил-5-(2-пиридил)-1,2-дигидропиридин-2-он
1Н-ЯМР (400 МГц, CDC13); (м.д.) 7,24 (ддд, 1Н), 7,46-7,64 (м, 7Н), 7,76 (ддд, 1Н), 8,20-8,26 (м, 2Н), 8,27 (д, 1Н), 8,37 (д, 1Н), 8,61-8,65 (м, 1Н), 8,69 (дд, 1Н).
Пример 274
1-Фенил-3-(4-пиридил)-5-(2-пиридил)-1,2-дигидропиридин-2-он
1Н-ЯМР (400 МГц, CDCl3); (м.д.) 7,24 (ддд, 1Н), 7,46-7,62 (м, 6Н), 7,73-7,81 (м, 3Н), 8,28 (д, 1Н), 8,39 (д, 1Н), 8,61-8,64 (м, 1Н), 8,66 (дд, 2Н).
Пример 275
3-(4-Нитрофенил)-1-фенил-5-(2-пиридил)-1,2-дигидропиридин-2-он
1H-ЯМР (400 МГц, CDCl3); (м.д.) 7,22-7,26 (м, 1Н), 7,47-7,58 (м, 5Н), 7,60 (ддд, 1Н), 7,76 (ддд, 1Н), 8,01-8,06 (м, 2Н), 8,26-8,31 (м, 3Н), 8,38 (д, 1Н), 8,61-8,65 (м, 1Н).
Пример 276
1-(3-Бензилоксифенил)-3-(2-цианофенил)-5-(2-пиридил)-1,2-дигидропиридин-2-он
1H-ЯМР (400 МГц, CDCl3); (м.д.) 5,10 (с, 2H), 7,05-7,14 (м, 2H), 7,17 (дд, 1H), 7,21 (ддд, 1H), 7,30-7,48 (м, 7H), 7,60 (ддд, 1H), 7,64 (ддд, 1H), 7,71-7,81 (м, 3H), 8,29-8,32 (м, 2H), 8,58-8,61 (м, 1H).
Пример 277
1-(3-Ацетилфенил)-3-(2-цианофенил)-5-(2-пиридил)-1,2-дигидропиридин-2-он
1H-ЯМР (400 МГц, CDCl3); (м.д.) 2,66 (с, 3H), 7,24 (ддд, 1H), 7,48 (ддд, 1H), 7,61-7,69 (м, 3H), 7,74-7,81 (м, 4H), 8,07 (ддд, 1H), 8,11 (ддд, 1H), 8,32 (д, 1H), 8,34 (д, 1H), 8,59-8,62 (м, 1H).
Пример 278
3-[4-(трет-Бутиламиносульфонил)фенил]-1-фенил-5-(2-пиридил)-1,2-дигидропиридин-2-он
1H-ЯМР (400 МГц, CDCl3); (м.д.) 1,26 (с, 9H), 4,46 (с, 1H), 7,24 (ддд, 1H), 7,46-7,58 (м, 5H), 7,58-7,61 (м, 1H), 7,76 (ддд, 1H), 7,90-7,99 (м, 4H), 8,26 (д, 1H), 8,33 (д, 1H), 8,61-8,64 (м, 1H).
Пример 279
3-(1-Нафтил)-5-(2-пиридил)-1-(3-пиридил)-1,2-дигидропиридин-2-он
1H-ЯМР (400 МГц, CDCl3); (м.д.) 7,21 (дд, 1H), 7,42-7,50 (м, 3H), 7,51-7,61 (м, 3H), 7,71 (тд, 1H), 7,81-7,85 (м, 1H), 7,87-7,90 (м, 2H), 7,96-7,99 (м, 1H), 8,20 (д, 1H), 8,37 (д, 1H), 8,60 (д, 1H), 8,67 (д, 1H), 8,84 (д, 1H).
ЭРИ-МС; 376 [M++H].
Пример 280
3-(1-Нафтил)-5-(2-пиридил)-1-фенил-1,2-дигидропиридин-2-он
1H-ЯМР (400 МГц, CDCl3); (м.д.) 7,19 (ддд, 1H), 7,38-7,59 (м, 9H), 7,71 (тд, 2H), 7,84-7,89 (м, 3H), 8,18 (д, 1H), 8,39 (д, 1H), 8,59 (ддд, 1H).
ЭРИ-МС; 375 [M++H].
Пример 281
3-(8-Хинолинил)-5-(2-пиридил)-1-(3-пиридил)-1,2-дигидропиридин-2-он
1H-ЯМР (400 МГц, CDCl3); (м.д.) 7,18-7,23 (м, 1H), 7,38-7,56 (м, 3H), 7,84-7,58 (м, 3H), 7,86-8,01 (м, 3H), 8,19-8,23 (м, 1H), 8,30-8,36 (м, 2H), 8,56-8,62 (м, 1H), 8,66-8,70 (м, 1H), 8,91-8,97 (м, 1H).
ЭРИ-МС; 377 [M++H].
Пример 282
3-(8-Хинолинил)-5-(2-пиридил)-1-фенил-1,2-дигидропиридин-2-он
1H-ЯМР (400 МГц, CDCl3); (м.д.) 7,18 (дд, 1H), 7,39-7,54 (м, 4H), 7,55-7,65 (м, 3H), 7,66-7,73 (м, 2H), 7,85 (дд, 1H), 7,98 (дд, 1H), 8,2 (дд, 1H), 8,34 (д, 1H), 8,36 (д, 1H), 8,58 (д, 1H), 8,94 (дд, 1H).
ЭРИ-МС; 376 [M++H].
Пример 283
3-(2-Нафтил)-5-(2-пиридил)-1-(3-пиридил)-1,2-дигидропиридин-2-он
1H-ЯМР (400 МГц, CDCl3); (м.д.) 7,23-7,28 (м, 1H), 7,48-7,53 (м, 3H), 7,64 (дт, 1H), 7,78 (тд, 1H), 7,85-7,91 (м, 4H), 7,97 (ддд, 1H), 8,25 (д, 1H), 8,35 (с, 1H), 8,38 (д, 1H), 8,64 (ддд, 1H), 8,72 (д, 1H), 8,81 (д, 1H).
ЭРИ-МС; 376 [M++H].
Пример 284
3-(2-Нафтил)-5-(2-пиридил)-1-фенил-1,2-дигидропиридин-2-он
1H-ЯМР (400 МГц, CDCl3); (м.д.) 7,21 (дд, 1H), 7,44-7,50 (м, 4H), 7,53-7,56 (м, 3H), 7,62 (дд, 1H), 7,72-7,77 (м, 1H), 7,83-7,91 (м, 2H), 7,92 (тд, 2H), 8,25 (д, 1H), 8,37 (д, 1H), 8,39 (ушир.с, 1H), 8,61-8,64 (м, 1H).
Пример 285
3-(2-Пирролидинопиридин-5-ил)-5-(2-пиридил)-1-фенил-1,2-дигидропиридин-2-он
1H-ЯМР (400 МГц, CDCl3); (м.д.) 2,00-2,04 (м, 4H), 3,50 (т, 4H), 7,74-7,78 (м, 9H), 8,03 (д, 1H), 8,06 (д, 1H), 8,21 (д, 1H), 8,57-8,60 (м, 2H).
ЭРИ-МС; 396 [M++H].
Пример 286
3-(2-Формилтиофен-3-ил)-5-(2-пиридил)-1-фенил-1,2-дигидропиридин-2-он
1H-ЯМР (400 МГц, CDCl3); (м.д.) 7,21-7,29 (м, 2H), 7,46-7,57 (м, 6H), 7,73 (д, 1H), 7,75 (тд, 1H), 8,22 (д, 1H), 8,31 (д, 1H), 8,60-8,62 (м, 1H), 10,00 (с, 1H).
ЭРИ-МС; 359 [M++H].
Пример 287
3-(2-Хлорпиридин-5-ил)-5-(2-пиридил)-1-фенил-1,2-дигидропиридин-2-он
1H-ЯМР (400 МГц, CDCl3); (м.д.) 7,24 (ддд, 1H), 7,37 (д, 1H), 7,44-7,51 (м, 3H), 7,53-7,60 (м, 2H), 7,64-7,70 (м, 1H), 7,76 (тд, 1H), 8,24 (д, 1H), 8,26 (т, 1H), 8,31 (д, 1H), 8,62 (ддд, 1H), 8,75 (д, 1H).
ЭРИ-МС; 360 [M++H].
Пример 288
3-(2-Фторпиридин-5-ил)-5-(2-пиридил)-1-фенил-1,2-дигидропиридин-2-он
1H-ЯМР (400 МГц, CDCl3); (м.д.) 6,99 (дд, 1H), 7,24 (дд, 1H), 7,47-7,57 (м, 5H), 7,59 (дд, 1H), 7,76 (тдд, 1H), 8,25 (дд, 1H), 8,30 (дд, 1H), 8,37 (тд, 1H), 8,57-8,58 (м, 1H), 8,63 (дт, 1H).
Пример 289
3-(2-Этилтиопиридин-5-ил)-5-(2-пиридил)-1-фенил-1,2-дигидропиридин-2-он
1H-ЯМР (400 МГц, CDCl3); (м.д.) 1,39 (т, 3H), 3,20 (кв., 2H), 7,20-7,24 (м, 2H), 7,44-7,59 (м, 6H), 7,75 (тд, 1H), 8,08 (дд, 1H), 8,23 (д, 1H), 8,26 (д, 1H), 8,61 (ддд, 1H), 8,78 (д, 1H).
ЭРИ-МС; 386 [M++H].
Пример 290
3-(2-Цианофенил)-5-(2-пиридил)-1-(2-нафтил)-1,2-дигидропиридин-2-он
1H-ЯМР (400 МГц, CDCl3); (м.д.) 7,22 (ддд, 1H), 7,47 (тд, 1H), 7,53-7,60 (м, 2H), 7,62-7,67 (м, 3H), 7,76 (тд, 1H), 7,81 (тд, 2H), 7,88-7,94 (м, 2H), 7,98 (д, 1H), 7,99 (с, 1H), 8,34 (д, 1H), 8,43 (д, 1H), 8,60 (ддд, 1H).
ЭРИ-МС; 400 [M++H].
Пример 291
3-(2-Цианофенил)-5-(2-пиридил)-1-(1-нафтил)-1,2-дигидропиридин-2-он
1H-ЯМР (400 МГц, CDCl3); (м.д.) 7,21 (ддд, 1H), 7,45 (тд, 1H), 7,54-7,65 (м, 6H), 7,65-7,83 (м, 4H), 7,93-8,02 (м, 2H), 8,30 (д, 1H), 8,46 (д, 1H), 8,57 (ддд, 1H).
ЭРИ-МС; 400 [M++H].
Пример 292
3-(2-Цианофенил)-5-(2-пиридил)-1-(8-хинолинил)-1,2-дигидропиридин-2-он
1H-ЯМР (400 МГц, CDCl3); (м.д.) 7,18 (ддд, 1H), 7,43 (тд, 1H), 7,48 (дд, 1H), 7,61 (тд, 1H), 7,63 (д, 1H), 7,69 (дд, 1H), 7,72 (тд, 1H), 7,78 (дд, 1H), 7,86 (дд, 1H), 7,92 (дд, 1H), 7,98 (дд, 1H), 8,26 (дд, 1H), 8,36 (д, 1H), 8,43 (д, 1H), 8,55-8,57 (м, 1H), 8,95 (дд, 1H).
Пример 293
3-(1-Бензолсульфонилиндол-2-ил)-1-фенил-5-(2-пиридил)-1,2-дигидропиридин-2-он
1H-ЯМР (400 МГц, CDCl3); (м.д.) 6,95 (д, 1H), 7,21 (ддд, 1H), 7,22 (ддд, 1H), 7,26-7,33 (м, 3H), 7,42 (дт, 1H), 7,44-7,49 (м, 2H), 7,50-7,56 (м, 4H), 7,60 (дт, 1H), 7,71-7,77 (м, 3H), 8,07 (дд, 1H), 8,20 (д, 1H), 8,34 (д, 1H), 8,60 (ддд, 1H).
Пример 294
3-(2-Цианопиридин-3-ил)-5-(2-пиридил)-1-(3-пиридил)-1,2-дигидропиридин-2-он
1H-ЯМР (400 МГц, CDCl3); (м.д.) 7,20-7,28 (м, 1H), 7,51 (дд, 1H), 7,58 (дд, 1H), 7,64 (д, 1H), 7,79 (тд, 1H), 7,94-7,97 (м, 1H), 8,18 (дд, 1H), 8,35 (д, 1H), 8,44 (д, 1H), 8,60-8,63 (м, 1H), 8,72 (дд, 1H), 8,74 (дд, 1H), 8,81 (д, 1H).
ЭРИ-МС; 352 [M++H].
Пример 295
3-(2-Цианофенил)-5-(2-пиридил)-1-(пиррол-3-ил)-1,2-дигидропиридин-2-он
1H-ЯМР (400 МГц, CDCl3); (м.д.) 6,46-6,50 (м, 1H), 6,79 (дд, 1H), 7,21 (дд, 1H), 7,29-7,32 (м, 1H), 7,45 (т, 1H), 7,60-7,66 (м, 2H), 7,72-7,80 (м, 3H), 8,23 (д, 1H), 8,47 (д, 1H), 8,61 (д, 1H), 8,72 (ушир.с, 1H).
Нижеследующие соединения синтезируют способами, аналогичными способу, или согласно способу примера 162.
Пример 296
3-(2-Цианофенил)-5-(3-нитропиридин-2-ил)-1-фенил-1,2-дигидропиридин-2-он
1H-ЯМР (400 МГц, CDCl3); (м.д.) 7,43-7,54 (м, 1H), 7,62-7,67 (м, 1H), 7,73-7,76 (м, 2H), 8,03 (д, 1H), 8,24 (дд, 1H), 8,82 (дд, 1H).
Пример 297
3-(2-Цианофенил)-5-[2-(2,6-диметилпиррол-1-ил)пиридин-6-ил]-1-фенил-1,2-дигидропиридин-2-он
1H-ЯМР (400 МГц, CDCl3); (м.д.) 2,17 (с, 6H), 5,91 (с, 2H), 7,12 (дд, 1H), 7,45-7,56 (м, 6H), 7,61 (дд, 1H), 7,65 (дд, 1H), 7,78-7,80 (м, 2H), 7,88 (т, 1H), 8,35 (д, 1H), 8,40 (д, 1H).
Пример 298
5-(2-Аминопиридин-6-ил)-3-(2-цианофенил)-1-фенил-1,2-дигидропиридин-2-он
1H-ЯМР (400 МГц, CDCl3); (м.д.) 4,44 (ушир.с, 2H), 6,43 (дд, 1H), 6,96 (д, 1H), 7,42-7,54 (м, 7H), 7,63 (дт, 1H), 7,76-7,78 (м, 2H), 8,24 (д, 1H), 8,26 (д, 1H).
Пример 299
3-(2-Цианофенил)-5-(5-нитропиридин-2-ил)-1-фенил-1,2-дигидропиридин-2-он
1H-ЯМР (400 МГц, CDCl3); (м.д.) 7,47-7,59 (м, 6H), 7,67 (дт, 1H), 7,75-7,82 (м, 3H), 8,35 (д, 1H), 8,52 (дд, 1H), 8,55 (д, 1H), 9,39 (дд, 1H).
Пример 300
5-(6-Бромпиридин-2-ил)-3-(2-цианофенил)-1-фенил-1,2-дигидропиридин-2-он
1H-ЯМР (400 МГц, CDCl3); (м.д.) 7,39 (дд, 1H), 7,45-7,67 (м, 9H), 7,78-7,80 (м, 2H), 8,23 (д, 1H), 8,34 (д, 1H).
Пример 301
3-(2-Цианофенил)-1-фенил-5-(5-трифторметилпиридин-2-ил)-1,2-дигидропиридин-2-он
1H-ЯМР (400 МГц, CDCl3); (м.д.) 7,46-7,58 (м, 1H), 7,63-7,68 (м, 1H), 7,72 (д, 1H), 7,78-7,81 (м, 2H), 7,97 (ддд, 1H), 8,33 (д, 1H), 8,44 (д, 1H), 8,83-8,84 (м, 1H).
Пример 302
3-(2-Цианофенил)-5-(2-морфолинопиридин-6-ил)-1-фенил-1,2-дигидропиридин-2-он
1H-ЯМР (400 МГц, CDCl3); (м.д.) 3,55 (т, 4H), 3,83 (т, 4H), 6,57 (д, 1H), 6,97 (д, 1H), 7,43-7,66 (м, 8H), 7,77-7,80 (м, 2H), 8,18 (д, 1H), 8,31 (д, 1H).
Пример 303
3-(2-Цианофенил)-5-(2-метоксикарбонилпиридин-6-ил)-1-фенил-1,2-дигидропиридин-2-он
1H-ЯМР (400 МГц, CDCl3); (м.д.) 3,99 (с, 3H), 7,44-7,57 (м, 6H), 7,65 (дт, 1H), 7,78-7,81 (м, 3H), 7,91 (т, 1H), 8,04 (дд, 1H), 8,30 (д, 1H), 8,37 (д, 1H).
Нижеследующее соединение синтезируют способом, аналогичным способу, или согласно способу примера 164.
Пример 304
5-[4-(трет-Бутиламиносульфонил)фенил]-3-(2-цианофенил)-1-(3-пиридил)-1,2-дигидропиридин-2-он
1H-ЯМР (400 МГц, CDCl3); (м.д.) 1,25 (с, 9H), 4,72 (ушир.с, 1H), 7,47-7,54 (м, 2H), 7,60-7,71 (м, 4H), 7,73-7,83 (м, 2H), 7,93-8,02 (м, 4H), 8,73 (дд, 1H), 8,79 (д, 1H).
Нижеследующее соединение синтезируют способом, аналогичным способу, или согласно способу примера 167.
Пример 305
3-(2-Цианофенил)-4-метил-1-фенил-5-(2-пиридил)-1,2-дигидропиридин-2-он
1H-ЯМР (400 МГц, CDCl3); (м.д.) 2,12 (с, 3H), 7,28 (ддд, 1H), 7,38-7,52 (м, 8H), 7,59 (с, 1H), 7,66 (ддд, 1H), 7,75-7,80 (м, 2H), 8,66-8,70 (м, 1H).
Нижеследующие соединения синтезируют способами, аналогичными способу, или согласно способу примера 168.
Пример 306
1-Фенил-3-[N-(N’-фенилтиоуреиленил)]-5-(2-пиридил)-1,2-дигидропиридин-2-он
1H-ЯМР (400 МГц, CDCl3); (м.д.) 7,19-7,24 (м, 1H), 7,26-7,36 (м, 3H), 7,37-7,54 (м, 7H), 7,70 (д, 1H), 7,78 (ддд, 1H), 7,92 (ушир.с, 1H), 8,09 (д, 1H), 8,55-8,59 (м, 1H), 9,33 (ушир.с, 1H), 10,03 (д, 1H).
Пример 307
3-(2-Цианофенил)-1-фенил-5-[N-(N’-фенилуреиленил)]-1,2-дигидропиридин-2-он
1H-ЯМР (400 МГц, ДМСО-d6); (м.д.) 6,95 (дд, 1H), 7,25 (дд, 1H), 7,41-7,61 (м, 8H), 7,65 (д, 1H), 7,71 (д, 1H), 7,77 (дд, 1H), 7,92 (д, 1H), 8,03 (д, 1H), 8,56-8,66 (м, 1H), 9,02-9,10 (м, 1H).
Пример 308
3-{4[N-(N’-бутилуреиленил)фенил]}-1-фенил-5-(2-пиридил)-1,2-дигидропиридин-2-он
1H-ЯМР (400 МГц,ДМСО-d6); (м.д.) 0,90 (т, 3H), 1,32 (тт, 2H), 1,42 (тт, 2H), 3,09 (дт, 2H), 6,16 (ушир.т, 1H), 7,29 (дд, 1H), 7,44 (д, 2H), 7,47-7,54 (м, 1H), 7,54-7,60 (м, 4H), 7,69 (д, 2H), 7,82 (ддд, 1H), 8,02 (д, 1H), 8,35 (д, 1H), 8,39 (д, 1H), 8,53 (ушир.с, 1H), 8,58-8,61 (м, 1H).
Нижеследующие соединения синтезируют способами, аналогичными способу, или согласно способу примера 169.
Пример 309
3-(2-Цианофенил)-1-фенил-5-(2-пиридинкарбонил)амино-1,2-дигидропиридин-2-он
1H-ЯМР (400 МГц, CDCl3); (м.д.) 7,42-7,54 (м, 7H), 7,63 (ддд, 1H), 7,74-7,79 (м, 3H), 7,92 (ддд, 1H), 8,20 (д, 1H), 8,58 (д, 1H), 8,59-8,62 (м, 1H), 9,80 (ушир.с, 1H).
Пример 310
1-Фенил-3-[2-(1-пирролидино)ацетиламино]-5-(2-пиридил)-1,2-дигидропиридин-2-он
1H-ЯМР (400 МГц, CDCl3); (м.д.) 1,78-1,86 (м, 4H), 2,66-2,74 (м, 4H), 3,36 (с, 2H), 7,20 (ддд, 1H), 7,44-7,56 (м, 5H), 7,66 (д, 1H), 7,75 (ддд, 1H), 8,07 (д, 1H), 8,54-8,58 (м, 1H), 9,12 (д, 1H), 10,15 (ушир.с, 1H).
Пример 311
1-Фенил-3-{3-[1-(4-фенилпиперадино)]пропиониламино}-5-(2-пиридил)-1,2-дигидропиридин-2-он
1H-ЯМР (400 МГц, CDCl3); (м.д.) 2,66 (т, 2H), 2,69-2,76 (м, 4H), 2,80 (т, 2H), 3,30-3,36 (м, 4H), 6,81-6,86 (м, 1H), 6,90-6,97 (м, 2H), 7,18 (ддд, 1H), 7,22-7,29 (м, 2H), 7,40-7,53 (м, 5H), 7,62-7,67 (м, 1H), 7,73 (ддд, 1H), 8,03 (д, 1H), 8,53-8,57 (м, 1H), 9,11 (д, 1H), 10,56 (ушир.с, 1H).
Пример 312
3-(3-пирролидинопропионил)амино-1-фенил-5-(2-пиридил)-1,2-дигидропиридин-2-он
1H-ЯМР (400 МГц, CDCl3); (м.д.) 1,80-1,88 (м, 4H), 2,58-2,67 (м, 6H), 2,86 (т, 2H), 7,17 (ддд, 1H), 7,42-7,54 (м, 5H), 7,65 (д, 1H), 7,73 (ддд, 1H), 8,03 (д, 1H), 8,53-8,57 (м, 1H), 9,11 (д, 1H), 10,91 (ушир.с, 1H).
Нижеследующие соединения синтезируют способами, аналогичными способу, или согласно способу примера 170.
Пример 313
5-Бензиламино-3-(2-цианофенил)-1-фенил-1,2-дигидропиридин-2-он
1H-ЯМР (400 МГц, CDCl3); (м.д.) 4,15 (с, 2H), 6,70 (д, 1H), 7,30-7,36 (м, 1H), 7,36-7,43 (м, 8H), 7,43-7,49 (м, 3H), 7,59 (ддд, 1H), 7,72-7,77 (м, 2H).
Пример 314
3-Дибензиламино-1-фенил-5-(2-пиридил)-1,2-дигидропиридин-2-он
1H-ЯМР (400 МГц, CDCl3); (м.д.) 4,52 (с, 4H), 7,12 (ддд, 1H), 7,16-7,33 (м, 10H), 7,37-7,54 (м, 7H), 7,63 (ддд, 1H), 7,80 (д, 1H), 8,50-8,54 (м, 1H).
Пример 315
3-(2-Цианофенил)-1-(3-гидроксифенил)-5-(2-пиридил)-1,2-дигидропиридин-2-он
52 мг 1-(3-бензилоксифенил-3-(2-цианофенил)-5-(2-пиридил)-1,2-дигидропиридин-2-она и 20 мг 5% палладия-на-углероде добавляют к 3 мл метанола, с последующим перемешиванием при комнатной температуре в атмосфере водорода на протяжении ночи. После отфильтровывания полученного нерастворимого вещества фильтрат упаривают. Остаток очищают хроматографией на силикагеле (система этилацетат/гексан), получая 26 мг указанного в заголовке соединения.
1H-ЯМР (400 МГц, CDCl3); (м.д.) 6,76 (дд, 1H), 6,87-6,92 (м, 1H), 6,93 (дд, 1H), 7,22-7,30 (м, 2H), 7,44 (ддд, 1H), 7,60-7,67 (м, 2H), 7,73-7,80 (м, 3H), 8,25 (д, 1H), 8,32 (д, 1H), 8,33 (ушир.с, 1H), 8,59-8,63 (м, 1H).
Нижеследующие соединения синтезируют способами, аналогичными способу, или согласно способу примера 171.
Пример 316
1-Бензилоксиметил-3-(2-цианофенил)-5-(2-пиридил)-1,2-дигидропиридин-2-он
1H-ЯМР (400 МГц, CDCl3); (м.д.) 4,76 (с, 2H), 5,63 (с, 2H), 7,22 (ддд, 1H), 7,26-7,42 (м, 5H), 7,47 (ддд, 1H), 7,57 (д, 1H), 7,64-7,80 (м, 4H), 8,23 (д, 1H), 8,34 (д, 1H), 8,60-8,64 (м, 1H).
Пример 317
3-(2-Цианофенил)-1-циклопентилметил-5-(2-пиридил)-1,2-дигидропиридин-2-он
1H-ЯМР (400 МГц, CDCl3); (м.д.) 1,32-1,42 (м, 2H), 1,55-1,64 (м, 2H), 1,65-1,75 (м, 2H), 1,76-1,86 (м, 2H), 2,53 (ддд, 1Н), 4,10 (д, 2Н), 7,21 (ддд, 1Н), 7,45 (ддд, 1Н), 7,58 (д, 1Н), 7,64 (ддд, 1Н), 7,71-7,79 (м, 3Н), 8,16 (д, 1Н), 8,28 (д, 1Н), 8,59-8,63 (м, 1Н).
Пример 318
1-[1-(трет-бутоксикарбонил)пиперидин-4-ил]метил-3-(2-цианофенил)-5-(2-пиридил)-1,2-дигидропиридин-2-он
1Н-ЯМР (400 МГц, CDCl3); (м.д.) 1,22-1,35 (м, 2Н), 1,45 (с, 9Н), 1,68-1,78 (м, 2Н), 2,14-2,27 (м, 1Н), 2,61-2,76 (м, 2Н), 3,90-4,25 (м, 4Н), 7,22 (ддд, 1Н), 7,46 (ддд, 1Н), 7,58 (ддд, 1Н), 7,65 (ддд, 1Н), 7,73 (ддд, 2Н), 7,78 (дд, 1Н), 8,17 (д, 1Н), 8,21 (д, 1Н), 8,59-8,63 (м, 1Н).
Пример 319
1-(1-Бензилоксикарбонилпиперидин-4-ил)метил-3-(2-цианофенил)-5-(2-пиридил)-1,2-дигидропиридин-2-он
1Н-ЯМР (400 МГц, CDCl3); (м.д.) 1,25-1,38 (м, 2Н), 1,68-1,81 (м, 2Н), 2,17-2,30 (м, 1Н), 2,70-2,86 (м, 2Н), 3,92-4,08 (м, 2Н), 4,15-4,32 (м, 2Н), 5,12 (с, 2Н), 7,22 (ддд, 1Н), 7,28-7,38 (м, 5Н), 7,46 (ддд, 1Н), 7,57 (д, 1Н), 7,65 (ддд, 1Н), 7,69-7,79 (м, 3Н), 8,17 (д, 1Н), 8,20 (д, 1Н), 8,59-8,62 (м, 1Н).
Нижеследующие соединения синтезируют способами, аналогичными способу, или согласно способу примера 174.
Пример 320
3-(Пиррол-1-ил)-5-(2-пиридил)-1-фенил-1,2-дигидропиридин-2-он
1H-ЯМР (400 МГц, CDCl3); (м.д.) 6,33 (т, 2H), 7,22 (ддд, 1H), 7,36 (т, 2H), 7,45-7,57 (м, 6H), 7,74 (тд, 1H), 8,10 (д, 1H), 8,12 (д, 1H), 8,61 (ддд, 1H).
ЭРИ-МС; 314 [M++H].
Пример 321
3-(2-Цианофениламино)-5-(2-пиридил)-1-фенил-1,2-дигидропиридин-2-он
1H-ЯМР (400 МГц, CDCl3); (м.д.) 7,06 (ддд, 1H), 7,21 (ддд, 1H), 7,41-7,65 (м, 9H), 7,71 (тд, 1H), 7,76 (д, 1H), 7,88 (д, 1H), 8,60 (ддд, 1H).
ЭРИ-МС; 365 [M++H].
Пример 322
3-(2-Пиридиламино)-5-(2-пиридил)-1-фенил-1,2-дигидропиридин-2-он
1H-ЯМР (400 МГц, CDCl3); (м.д.) 6,80-6,86 (м, 2H), 7,20 (дд, 1H), 7,44-7,58 (м, 6H), 7,70 (д, 1H), 7,77 (тд, 1H), 7,87 (д, 1H), 7,96 (с, 1H), 8,37 (д, 1H), 8,59 (д, 1H), 9,29 (д, 1H).
ЭРИ-МС; 341 [M++H].
Пример 323
3-(1-Изохинолиламино)-5-(2-пиридил)-1-фенил-1,2-дигидропиридин-2-он
1H-ЯМР (400 МГц, CDCl3); (м.д.) 7,15-7,24 (м, 3H), 7,46-7,59 (м, 5H), 7,66 (т, 1H), 7,77 (д, 2H), 7,80 (тд, 1H), 7,97 (д, 1H), 8,10 (д, 1H), 8,25 (д, 1H), 8,61 (д, 1H), 9,11 (с, 1H), 9,60 (д, 1H).
ЭРИ-МС; 391 [M++H].
Пример 324
3-(1-Индазолил)-5-(2-пиридил)-1-фенил-1,2-дигидропиридин-2-он
1H-ЯМР (400 МГц, CDCl3); (м.д.) 6,52 (дт, 1H), 7,06 (ддд, 1H), 7,22 (ддд, 1H), 7,31 (тд, 1H), 7,36 (ддд, 1H), 7,43-7,57 (м, 7H), 7,75 (дт, 1H), 8,03 (с, 1H), 8,09 (д, 1H), 8,50 (дд, 1H).
ЭРИ-МС; 365 [M++H].
Пример 325
3-(9-Карбазолил)-5-(2-пиридил)-1-фенил-1,2-дигидропиридин-2-он
1H-ЯМР (400 МГц, CDCl3); (м.д.) 7,22-7,29 (м, 4H), 7,35-7,63 (м, 9H), 7,52-7,57 (м, 1H), 8,12 (дд, 2H), 8,43 (дд, 1H), 8,46 (дд, 1H), 8,61 (ддд, 1H).
Пример 326
3-(Индол-1-ил)-5-(2-пиридил)-1-фенил-1,2-дигидропиридин-2-он
1H-ЯМР (400 МГц, CDCl3); (м.д.) 6,68 (д, 1H), 7,17 (тд, 1H), 7,20-7,26 (м, 2H), 7,47-7,55 (м, 7H), 7,62 (д, 1H), 7,66 (д, 1H), 7,74 (тд, 1H), 8,27 (д, 1H), 8,34 (д, 1H), 8,61 (ддд, 1H).
ЭРИ-МС; 364 [M++H].
Пример 327
3-(2-Метил-5-фенилпиррол-1-ил)-5-(2-пиридил)-1-фенил-1,2-дигидропиридин-2-он
25 мг 3-амино-1-фенил-5-(2-пиридил)-1,2-дигидропиридин-2-она растворяют в 10 мл толуола. К смеси добавляют 20 мг 1-фенил-1,4-пентадиона и 0,2 мг п-толуолсульфоната (гидрата), с последующим нагреванием при температуре кипения с обратным холодильником в течение 1 часа. После охлаждения до комнатной температуры реакционную смесь выливают в насыщенный водный раствор гидрокарбоната натрия с последующей экстракцией этилацетатом. Органический слой промывают насыщенным раствором соли и сушат над безводным сульфатом магния. Растворитель выпаривают и остаток очищают хроматографией на силикагеле (система гексан/этилацетат), получая 12 мг указанного в заголовке соединения.
1H-ЯМР (400 МГц, CDCl3); (м.д.) 2,26 (с, 3H), 6,10 (д, 1H), 6,34 (д, 1H), 7,21 (тт, 1H), 7,17 (ддд , 1H), 7,21-7,27 (м, 2H), 7,28-7,32 (м, 3H), 7,39-7,54 (м, 5H), 7,66 (тд, 1H), 7,83 (д, 1H), 8,31 (д, 1H), 8,53 (ддд, 1H).
Нижеследующие соединения синтезируют способом, аналогичным способу, или согласно способу примера 327.
Пример 328
3-(2,5-Диметилпиррол-1-ил)-5-(2-пиридил)-1-фенил-1,2-дигидропиридин-2-он
1H-ЯМР (400 МГц, CDCl3); (м.д.) 2,16 (с, 6H), 5,92 (с, 2H), 7,22 (ддд, 1H), 7,56-7,43 (м, 6H), 7,75 (тд, 1H), 8,07 (д, 1H), 8,37 (д, 1H), 8,60 (ддд, 1H).
Пример 329
3-(2-Цианофенил)-1-(пиперидин-4-ил)метил-5-(2-пиридил)-1,2-дигидропиридин-2-он
Указанное в заголовке соединение (382 мг) получают каталитическим гидрированием 590 мг 1-[1-(бензилоксикарбонил)пиперидин-4-ил]метил-3-(2-цианофенил)-5-(2-пиридил)-1,2-дигидропиридин-2-она обычным способом, используя 10% палладий-на-углероде.
1H-ЯМР (400 МГц, CDCl3); (м.д.) 1,22-1,34 (м, 2H), 1,62-1,77 (м, 2H), 2,08-2,20 (м, 1H), 2,55-2,63 (м, 2H), 3,05-3,13 (м, 2H), 4,00 (д, 2H), 7,21 (ддд, 1H), 7,45 (ддд, 1H), 7,58 (ддд, 1H), 7,64 (ддд, 1H), 7,70-7,79 (м, 3H), 8,17 (д, 1H), 8,21 (д, 1H), 8,59-8,63 (м, 1H).
Нижеследующее соединение синтезируют способом, аналогичным способу, или согласно способу примера 329.
Пример 330
3-(2-Цианофенил)-1-[3-(4-пиперидилокси)]фенил-5-(2-пиридил)-1,2-дигидропиридин-2-он
1H-ЯМР (400 МГц, CDCl3); (м.д.) 1,60-1,73 (м, 2H), 1,98-2,07 (м, 2H), 2,69-2,77 (м, 2H), 3,08-3,17 (м, 2H), 4,39-4,46 (м, 1H), 6,98-7,02 (м, 1H), 7,04-7,09 (м, 2H), 7,21 (ддд, 1H), 7,38-7,48 (м, 2H), 7,58-7,67 (м, 2H), 7,72-7,81 (м, 3H), 8,29-8,32 (м, 2H), 8,58-8,61 (м, 1H).
Пример 331
1-(1-Бензоилпиперидин-4-ил)метил-3-(2-цианофенил)-5-(2-пиридил)-1,2-дигидропиридин-2-он
30 мг 3-(2-цианофенил)-1-(пиперидин-4-ил)метил-5-(2-пиридил)-1,2-дигидропиридин-2-она растворяют в 2 мл хлороформа. При охлаждении льдом к раствору добавляют 0,04 мл триэтиламина и 19 мг бензоилхлорида с последующим перемешиванием при комнатной температуре в течение 2 часов. Реакционный раствор разбавляют хлороформом и промывают насыщенным водным раствором гидрокарбоната натрия и насыщенным раствором соли. Органический слой сушат над сульфатом магния и затем упаривают и остаток очищают хроматографией на силикагеле (система этилацетат/гексан), получая 25 мг указанного в заголовке соединения.
1H-ЯМР (400 МГц, CDCl3); (м.д.) 1,22-1,52 (м, 2H), 1,65-1,78 (м, 1H), 1,80-1,98 (м, 1H), 2,28-2,41 (м, 1H), 2,70-2,86 (м, 1H), 2,88-3,06 (м, 1H), 3,70-3,88 (м, 1H), 3,90-4,23 (м, 2H), 4,65-4,87 (м, 1H), 7,22 (дд, 1H), 7,36-7,42 (м, 5H), 7,46 (дд, 1H), 7,55-7,60 (м, 1H), 7,62-7,72 (м, 2H), 7,72-7,79 (м, 2H), 8,16 (д, 1H), 8,22 (д, 1H), 8,59-8,63 (м, 1H).
Нижеследующие соединения синтезируют способами, аналогичными способу, или согласно способу примера 331.
Пример 332
1-(1-Ацетилпиперидин-4-ил)метил-3-(2-цианофенил)-5-(2-пиридил)-1,2-дигидропиридин-2-он
1H-ЯМР (400 МГц, CDCl3); (м.д.) 1,22-1,38 (м, 2H), 1,75-1,86 (м, 2H), 2,08 (с, 3H), 2,20-2,35 (м, 1H), 2,50-2,60 (м, 1H), 2,98-3,08 (м, 1H), 3,79-3,87 (м, 1H), 3,95 (дд, 1H), 4,05-4,15 (м, 1H), 4,61-4,70 (м, 1H), 7,23 (ддд, 1H), 7,47 (ддд, 1H), 7,58 (д, 1H), 7,63-7,71 (м, 2H), 7,72-7,80 (м, 2H), 8,17 (д, 1H), 8,21 (д, 1H), 8,59-8,63 (м, 1H).
Пример 333
1-[3-(N-ацетилпиперидин-4-илокси)фенил]-3-(2-цианофенил)-5-(2-пиридил)-1,2-дигидропиридин-2-он
1H-ЯМР (400 МГц, CDCl3); (м.д.) 1,77-2,02 (м, 4H), 2,12 (с, 3H), 3,37-3,45 (м, 1H), 3,59-3,72 (м, 2H), 3,75-3,83 (м, 1H), 4,57-4,62 (м, 1H), 7,01 (ддд, 1H), 7,07-7,12 (м, 2H), 7,22 (ддд, 1H), 7,43 (дд, 1H), 7,46 (ддд, 1H), 7,61 (ддд, 1H), 7,64 (ддд, 1H), 7,72-7,80 (м, 3H), 8,29 (д, 1H), 8,31 (д, 1H), 8,58-8,62 (м, 1H).
Пример 334
1-[3-(N-бензоилпиперидин-4-илокси)фенил]-3-(2-цианофенил)-5-(2-пиридил)-1,2-дигидропиридин-2-он
1H-ЯМР (400 МГц, CDCl3); (м.д.) 1,75-2,13 (м, 4H), 3,30-3,47 (м, 1H), 3,58-3,72 (м, 1H), 3,75-3,87 (м, 1H), 3,88-4,03 (м, 1H), 4,56-4,68 (м, 1H), 6,99-7,03 (м, 1H), 7,07-7,13 (м, 2H), 7,20-7,25 (м, 1H), 7,38-7,49 (м, 7H), 7,59-7,67 (м, 2H), 7,72-7,80 (м, 3H), 8,28 (д, 1H), 8,31 (д, 1H), 8,58-8,62 (м, 1H).
Пример 335
1-(1-Бензолсульфонилпиперидин-4-ил)метил-3-(2-цианофенил)-5-(2-пиридил)-1,2-дигидропиридин-2-он
30 мг 3-(2-цианофенил)-1-(пиперидин-4-ил)метил-5-(2-пиридил)-1,2-дигидропиридин-2-она растворяют в 2 мл хлороформа. При охлаждении льдом к раствору добавляют 0,04 мл триэтиламина и 23 мг бензолсульфонилхлорида с последующим перемешиванием при комнатной температуре в течение 2 часов. Реакционный раствор разбавляют хлороформом и промывают насыщенным водным раствором гидрокарбоната натрия и насыщенным раствором соли. Органический слой сушат над сульфатом магния и затем упаривают и остаток очищают хроматографией на силикагеле (система этилацетат/гексан), получая 30 мг указанного в заголовке соединения.
1Н-ЯМР (400 МГц, CDCl3); (м.д.) 1,41-1,60 (м, 2Н), 1,77-1,85 (м, 2Н), 1,95-2,06 (м, 1Н), 2,20-2,31 (м, 2Н), 3,80-3,88 (м, 2Н), 3,98 (д, 2Н), 7,22 (дд, 1Н), 7,45 (ддд, 1Н), 7,48-7,68 (м, 6Н), 7,70-7,79 (м, 4Н), 8,15 (д, 1Н), 8,17 (д, 1Н), 8,59-8, 63 (м, 1Н).
Нижеследующие соединения синтезируют способами, аналогичными способу, или согласно способу примера 335.
Пример 336
3-(2-Цианофенил)-1-(1-метилсульфонилпиперидин-4-ил)метил-5-(2-пиридил)-1,2-дигидропиридин-2-он
1Н-ЯМР (400 МГц, CDCl3); (м.д.) 1,43-1,56 (м, 2Н), 1,83-1,92 (м, 2Н), 2,17-2,30 (м, 1Н), 2,63-2,72 (м, 2Н), 2,77 (с, 3Н), 3,80-3,88 (м, 2Н), 4,03 (д, 2Н), 7,20-7,26 (м, 1Н), 7,44-7,51 (м, 1Н), 7,55-7,61 (м, 1Н), 7,63-7,72 (м, 2Н), 7,73-7,82 (м, 2Н), 8,17 (д, 1Н), 8,21 (д, 1Н), 8,59-8,64 (м, 1Н).
Пример 337
1-[3-(1-Бензолсульфонилпиперидин-4-илокси)фенил]-3-(2-цианофенил)-5-(2-пиридил)-1,2-дигидропиридин-2-он
1H-ЯМР (400 МГц, CDCl3); (м.д.) 1,90-2,10 (м, 4Н), 3,10-3,23 (м, 4Н), 4,38-4,45 (м, 1Н), 6,87-6,92 (м, 1Н), 6,98 (дд, 1Н), 7,05 (ддд, 1Н), 7,22 (ддд, 1Н), 7,38 (дд, 1Н), 7,46 (ддд, 1Н), 7,52-7,66 (м, 5Н), 7,72-7,80 (м, 5Н), 8,25-8,28 (м, 2Н), 8,57-8,60 (м, 1Н).
Пример 338
3-(2-Цианофенил)-1-[3-(1-(метилсульфонилпиперидин-4-илокси)фенил]-5-(2-пиридил)-1,2-дигидропиридин-2-он
1H-ЯМР (400 МГц, CDCl3); (м.д.) 1,98-2,10 (м, 4H), 2,81 (с, 3H), 3,30-3,41 (м, 4H), 4,56-4,62 (м, 1H), 6,98-7,02 (м, 1H), 7,08-7,13 (м, 2H), 7,23 (ддд, 1H), 7,44 (дд, 1H), 7,47 (ддд, 1H), 7,61 (ддд, 1H), 7,65 (ддд, 1H), 7,73-7,80 (м, 3H), 8,28 (д, 1H), 8,32 (д, 1H), 8,59-8,62 (м, 1H).
Пример 339
3-(2-Цианофенил)-1-(1-бензилпиперидин-4-ил)метил-5-(2-пиридил)-1,2-дигидропиридин-2-он
80 мг 3-(2-цианофенил)-1-(пиперидин-4-ил)метил-5-(2-пиридил)-1,2-дигидропиридин-2-она растворяют в 2 мл хлороформа. К смеси добавляют 73 мг бензальдегида, 97 мг триацетоксиборгидрида натрия и 41 мг уксусной кислоты с последующим перемешиванием при комнатной температуре в течение 4 часов. Реакционный раствор разбавляют хлороформом и промывают насыщенным водным раствором гидрокарбоната натрия и насыщенным раствором соли. Органический слой сушат над сульфатом магния. Затем смесь упаривают и остаток очищают хроматографией на NH-модифицированном силикагеле (система гексан/этилацетат), получая 80 мг указанного в заголовке соединения.
1H-ЯМР (400 МГц, CDCl3); (м.д.) 1,44 (ддд, 2H), 1,68-1,76 (м, 2H), 1,92-2,06 (м, 3H), 2,37-2,93 (м, 2H), 3,48 (с, 2H), 4,01 (д, 2H), 7,18-7,25 (м, 2H), 7,27-7,32 (м, 4H), 7,45 (ддд, 1H), 7,56 (д, 1H), 7,64 (ддд, 1H), 7,70-7,78 (м, 3H), 8,16 (д, 1H), 8,19 (д, 1H), 8,58-8,61 (м, 1H).
Нижеследующие соединения синтезируют способами, аналогичными способу, или согласно способу примера 339.
Пример 340
3-(2-Цианофенил)-1-(1-метилпиперидин-4-ил)метил-5-(2-пиридил)-1,2-дигидропиридин-2-он
1H-ЯМР (400 МГц, CDCl3); (м.д.) 1,38-1,50 (м, 2H), 1,65-1,80 (м, 2H), 1,88-2,05 (м, 3H), 2,25 (с, 3H), 2,82-2,92 (м, 2H), 4,01 (д, 2H), 7,19-7,24 (м, 1H), 7,43-7,49 (м, 1H), 7,56-7,60 (м, 1H), 7,62-7,68 (м, 1H), 7,70-7,80 (м, 3H), 8,17 (д, 1H), 8,20 (д, 1H), 8,59-8,63 (м, 1H).
Пример 341
1-[3-(N-метилпиперидин-4-илокси)фенил]-3-(2-цианофенил)-5-(2-пиридил)-1,2-дигидропиридин-2-он
1H-ЯМР (400 МГц, CDCl3); (м.д.) 1,80-1,93 (м, 2H), 1,97-2,08 (м, 2H), 2,23-2,37 (м, 5H), 2,60-2,73 (м, 2H), 4,33-4,42 (м, 1H), 6,97-7,02 (м, 1H), 7,04-7,10 (м, 2H), 7,19-7,24 (м, 1H), 7,38-7,49 (м, 2H), 7,58-7,68 (м, 2H), 7,72-7,82 (м, 3H), 8,28-8,33 (м, 2H), 8,58-8,62 (м, 1H).
Пример 342
1-[3-(N-бензилпиперидин-4-илокси)фенил]-3-(2-цианофенил)-5-(2-пиридил)-1,2-дигидропиридин-2-он
1H-ЯМР (400 МГц, CDCl3); (м.д.) 1,78-1,88 (м, 2H), 1,97-2,06 (м, 2H), 2,26-2,35 (м, 2H), 2,58-2,76 (м, 2H), 3,52 (с, 2H), 4,33-4,41 (м, 1H), 6,97-7,01 (м, 1H), 7,04-7,08 (м, 2H), 7,21 (ддд, 1H), 7,24-7,28 (м, 1H), 7,30-7,34 (м, 4H), 7,40 (дд, 1H), 7,46 (ддд, 1H), 7,60 (ддд, 1H), 7,64 (ддд, 1H), 7,72-7,80 (м, 3H), 8,30 (с, 2H), 8,58-8,61 (м, 1H).
Пример 343
3-(4-Сульфамоилфенил)-1-фенил-5-(2-пиридил)-1,2-дигидропиридин-2-он
80 мг 3-[4-(трет-бутиламиносульфонил)фенил]-1-фенил-5-(2-пиридил)-1,2-дигидропиридин-2-она растворяют в 3 мл трифторуксусной кислоты с последующим нагреванием при температуре кипения с обратным холодильником в течение 1 часа. Реакционную смесь оставляют охлаждаться до комнатной температуры и затем ее разбавляют смесью этилацетат/тетрагидрофуран и промывают насыщенным водным раствором гидрокарбоната натрия и насыщенным раствором соли. Органический слой сушат над сульфатом магния и затем упаривают. Полученные неочищеные кристаллы промывают этилацетатом, получая 60 мг указанного в заголовке соединения.
1H-ЯМР (400 МГц, ДМСО-d6); (м.д.) 7,31 (ддд, 1H), 7,49-7,61 (м, 5H), 7,82-7,90 (м, 3H), 7,97-8,02 (м, 2H), 8,03-8,07 (м, 1H), 8,48 (д, 1H), 8,54 (д, 1H), 8,59-8,62 (м, 1H).
Нижеследующие соединения синтезируют способами, аналогичными способу, или согласно способу примера 181.
Пример 344
3-Циклогексиламинокарбонил-5-(2-пиридил)-1-фенил-1,2-дигидропиридин-2-он
1H-ЯМР (400 МГц, CDCl3); (м.д.) 1,12-2,10 (м, 10H), 3,97-4,04 (м, 1H), 7,23 (ддд, 1H), 7,43-7,58 (м, 1H), 7,49-7,59 (м, 4H), 7,74-7,77 (м, 1H), 7,79 (тд, 1H), 8,55-8,56 (м, 1H), 8,57 (д, 1H), 9,18 (д, 1H), 9,64 (д, 1H).
ЭРИ-МС; 374 [M++H].
Пример 345
3-(2-Цианофенил)-5-(1-адамантиламинокарбонил)-1-фенил-1,2-дигидропиридин-2-он
1H-ЯМР (400 МГц, CDCl3); (м.д.) 1,77-1,56 (м, 7H), 1,97-2,15 (м, 8H), 5,63 (с, 1H), 7,42-7,54 (м, 6H), 7,63 (тд, 1H), 7,74-7,78 (м, 2H), 7,88 (д, 1H), 8,12 (д, 1H).
Пример 346
3-(1-Адамантиламинокарбонил)-5-(2-пиридил)-1-фенил-1,2-дигидропиридин-2-он
1H-ЯМР (400 МГц, CDCl3); (м.д.) 1,50-1,72 (м, 12H), 1,99-2,15 (м, 3H), 7,21-7,29 (м, 1H), 7,43-7,49 (м, 2H), 7,48-7,60 (м, 4H), 7,75-7,80 (м, 1H), 8,47 (д, 1H), 8,55 (д, 1H), 8,60 (ддд, 1H).
Пример 347
3-{1-[4-(2-Цианофенил)пиперадино]карбонил}-5-(2-пиридил)-1-фенил-1,2-дигидропиридин-2-он
1H-ЯМР (400 МГц, CDCl3); (м.д.) 3,12-3,31 (м, 4H), 3,59-3,79 (м, 4H), 6,99-7,06 (м, 2H), 7,22 (дд, 1H), 7,27-7,62 (м, 8H), 7,75 (тд, 1H), 8,29 (д, 1H), 8,37 (д, 1H), 8,58 (ддд, 1H).
ЭРИ-МС; 462 [M++H].
Пример 348
3-[(2-Фенилгидразино)карбонил]-5-(2-пиридил)-1-фенил-1,2-дигидропиридин-2-он
1H-ЯМР (400 МГц, CDCl3); (м.д.) 6,53 (д, 1H), 6,89 (т, 1H), 6,94 (д, 2H), 7,20-7,30 (м, 3H), 7,62-7,47 (м, 5H), 7,71-7,77 (м, 1H), 7,80 (дд, 1H), 8,56-8,57 (м, 1H), 8,64 (д, 1H), 9,16 (д, 1H), 11,23 (д, 1H).
ЭРИ-МС; 383 [M++H].
Пример 349
3-Фениламинокарбонил-5-(2-пиридил)-1-фенил-1,2-дигидропиридин-2-он
1H-ЯМР (400 МГц, CDCl3); (м.д.) 7,06-7,17 (м, 1H), 7,23-7,28 (м, 1H), 7,31-7,37 (м, 2H), 7,46-7,62 (м, 5H), 7,73-7,83 (м, 4H), 8,58 (ддд, 1H), 8,63 (д, 1H), 9,29 (д, 1H), 11,86 (ушир.с, 1H).
Пример 350
(350A) 3-(2-Хлорфенил)-5-(4-хлорбензолсульфинил)-1-(3-пиридил)-1,2-дигидропиридин-2-он
(350B) 3-(2-Хлорфенил)-5-(4-хлорбензолсульфонил)-1-(3-пиридил)-1,2-дигидропиридин-2-он
38 мг 3-(2-хлорфенил)-5-(4-хлорфенилтио)-1-(3-пиридил)-1,2-дигидропиридин-2-она растворяют в 10 мл дихлорметана. При охлаждении льдом к смеси добавляют 15,4 мг м-хлорпербензойной кислоты с последующим перемешиванием при той же самой температуре в течение 1 часа. Затем к смеси добавляют еще 10 мг м-хлорпербензойной кислоты с последующим перемешиванием в течение 2 часов при охлаждении льдом. Затем смесь разбавляют 30 мл этилацетата и промывают водным раствором 1N гидроксида натрия. Органический слой промывают насыщенным раствором соли и затем сушат над безводным сульфатом магния. Растворитель выпаривают и остаток очищают хроматографией на силикагеле (система гексан/этилацетат), получая 9 мг 3-(2-хлорфенил)-5-(4-хлорбензолсульфинил)-1-(3-пиридил)-1,2-дигидропиридин-2-она и 6 мг 3-(2-хлорфенил)-5-(4-хлорбензолсульфонил)-1-(3-пиридил)-1,2-дигидропиридин-2-она в качестве указанных в заголовке соединений.
(350A)
1H-ЯМР (400 МГц, CDCl3); (м.д.) 7,27-7,33 (м, 3H), 7,36 (д, 1H), 7,40-7,44 (м, 1H), 7,48-7,57 (м, 3H), 7,63-7,67 (м, 2H), 7,87-7,92 (м, 1H), 7,97 (д, 1H), 8,70-8,76 (м, 2H).
ЭРИ-МС; 441 [M++H].
(350B)
1H-ЯМР (400 МГц, CDCl3); (м.д.) 7,30-7,37 (м, 2H), 7,44-7,52 (м, 3H), 7,56 (т, 1H), 7,58 (т, 1H), 7,34 (д, 1H), 7,84-7,88 (м, 1H), 7,89 (т, 1H), 7,92 (т, 1H), 8,24 (д, 1H), 8,71 (дд, 1H), 8,75 (дд, 1H).
ЭРИ-МС; 457 [M++H].
Нижеследующие соединения синтезируют способами, аналогичными способу, или согласно способу примера 182.
Пример 351
3-(2-Цианофенил)-5-(5-метил-1H-бензимидазол-2-ил)-1-фенил-1,2-дигидропиридин-2-он
1H-ЯМР (400 МГц, CDCl3); (м.д.) 2,45 (с, 3H), 7,05 (д, 1H), 7,34-7,43 (м, 7H), 7,57 (тд, 2H), 7,62 (ддд, 1H), 7,68 (ддд, 1H), 8,18 (д, 1H), 8,27 (д, 1H).
ЭРИ-МС; 403 [M++H].
Пример 352
3-(2-Цианофенил)-5-(4-метил-1H-бензимидазол-2-ил)-1-фенил-1,2-дигидропиридин-2-он
1H-ЯМР (400 МГц, CDCl3); (м.д.) 2,50 (ушир.с, 1,5H), 2,63 (ушир.с, 1,5H), 7,02 (д, 1H), 7,14 (т, 1H), 7,30-7,40 (м, 7H), 7,52-7,58 (м, 2H), 7,65 (д, 1H), 8,18-8,23 (м, 1H), 8,24 (д, 1H).
ЭРИ-МС; 403 [M++H].
Пример 353
3-(2-Цианофенил)-5-(5,6-дихлор-1H-бензимидазол-2-ил)-1-фенил-1,2-дигидропиридин-2-он
1H-ЯМР (400 МГц, CDCl3); (м.д.) 7,39-7,49 (м, 6H), 7,52-7,54 (м, 1H), 7,60-7,66 (м, 2H), 7,70-7,72 (м, 1H), 7,72-7,74 (м, 1H), 8,21 (д, 1H), 8,37 (д, 1H).
ЭРИ-МС; 457 [M++H].
Пример 354
3-(5,6-Дихлор-1H-бензимидазол-2-ил)-5-(2-пиридил)-1-фенил-1,2-дигидропиридин-2-он
1H-ЯМР (400 МГц, CDCl3); (м.д.) 7,27 (ддд, 1H), 7,48-7,63 (м, 6H), 7,82 (тд, 1H), 7,83-7,89 (м, 2H), 8,59 (д, 1H), 8,60 (дт, 1H), 9,38 (д, 1H), 12,15 (с, 1H).
ЭРИ-МС; 433 [M++H].
Пример 355
3-(6-Хлор-1H-бензимидазол-2-ил)-5-(2-пиридил)-1-фенил-1,2-дигидропиридин-2-он
1H-ЯМР (400 МГц, CDCl3); (м.д.) 7,22-7,28 (м, 2H), 7,50-7,63 (м, 6H), 7,78-7,88 (м, 3H), 8,58 (дд, 1H), 8,61 (ддд, 1H), 9,40 (д, 1H).
ЭРИ-МС; 399 [M++H].
Пример 356
3-[1-(Пиридин-4-ил)бензимидазол-2-ил]-5-(2-пиридил)-1-фенил-1,2-дигидропиридин-2-он
1H-ЯМР (400 МГц, CDCl3); (м.д.) 7,10-7,13 (м, 2H), 7,22-7,28 (м, 2H), 7,31-7,46 (м, 8H), 7,69 (дт, 1H), 7,77 (тд, 1H), 7,91 (дт, 1H), 8,43 (д, 1H), 8,59 (ддд, 1H), 8,73-8,75 (м, 2H).
ЭРИ-МС; 442 [M++H].
Пример 357
3-[1-(1-Бензилпиперидин-4-ил)бензимидазол-2-ил]-5-(2-пиридил)-1-фенил-1,2-дигидропиридин-2-он
1H-ЯМР (400 МГц, CDCl3); (м.д.) 2,01-2,20 (м, 4H), 2,56-2,66 (м, 2H), 3,02-3,07 (м, 2H), 3,58 (с, 2H), 4,09-4,18 (м, 1H), 7,21 (ддд, 1H), 7,24-7,30 (м, 3H), 7,31-7,36 (м, 2H), 7,45-7,50 (м, 4H), 7,52-7,60 (м, 3H), 7,64 (д, 1H), 7,74 (тд, 1H), 7,77-7,84 (м, 2H), 8,48 (д, 1H), 8,49 (д, 1H), 8,58 (ддд, 1H).
ЭРИ-МС; 538 [M++H].
Пример 358
3-(2-Цианофенил)-5-(5,6-дигидро-4H-имидазо[4,5,1-i,j]хинолин-2-ил)-1-фенил-1,2-дигидропиридин-2-он
1H-ЯМР (400 МГц, CDCl3); (м.д.) 2,30 (кв., 2H), 3,02 (т, 2H), 4,47 (т, 2H), 7,04 (дд, 1H), 7,20 (дд, 1H), 7,45-7,57 (м, 7H), 7,65 (тд, 1H), 7,79 (дд, 1H), 7,81 (дд, 1H), 8,10 (д, 1H), 8,22 (д, 1H).
ЭРИ-МС; 429 [M++H].
Пример 359
3-(5,6-Дигидро-4H-имидазо[4,5,1-i,j]хинолин-2-ил)-5-(2-пиридил)-1-фенил-1,2-дигидропиридин-2-он
1H-ЯМР (400 МГц, CDCl3); (м.д.) 2,20 (кв., 2H), 2,98 (т, 2H), 4,35 (т, 1H), 7,03 (д, 1H), 7,18-7,23 (м, 2H), 7,44-7,58 (м, 5H), 7,62 (д, 1H), 7,70 (д, 1H), 7,75 (дт, 1H), 8,52 (д, 1H), 8,57 (ддд, 1H), 8,70 (д, 1H).
ЭРИ-МС; 405 [M++H].
Пример 360
3-(1-Фенилбензимидазол-2-ил)-5-(2-пиридил)-1-фенил-1,2-дигидропиридин-2-он
1H-ЯМР (400 МГц, CDCl3); (м.д.) 7,05-7,21 (м, 3H), 7,25-7,45 (м, 6H), 7,47-7,65 (м, 7H), 8,10 (д, 1H), 8,54-8,59 (м, 1H), 8,85-8,95 (м, 1H), 9,22 (д, 1H).
ЭРИ-МС; 441 [M++H].
Пример 361
3-(2-Хлорфенил)-5-(6-хлор-1H-бензимидазол-2-ил)-1-фенил-1,2-дигидропиридин-2-он
1H-ЯМР (400 МГц, CDCl3); (м.д.) 6,92 (тд, 1H), 6,97-7,07 (м, 4H), 7,11-7,14 (м, 2H), 7,18-7,24 (м, 3H), 7,25-7,29 (м, 2H), 7,94 (д, 1H), 8,24 (д, 1H).
ЭРИ-МС; 432 [M++H].
Пример 362
3-(2-Цианофенил)-5-(1H-имидазо[4,5-c]пиридин-2-ил)-1-фенил-1,2-дигидропиридин-2-он
1H-ЯМР (400 МГц, CDCl3); (м.д.) 7,04-7,09 (м, 1H), 7,28-7,31 (м, 1H), 7,44-7,60 (м, 5H), 7,66-7,70 (м, 2H), 7,74-7,78 (м, 1H), 7,80 (д, 1H), 7,93-7,96 (м, 1H), 8,01 (д, 1H), 8,40 (д, 1H), 8,51 (д, 1H).
ЭРИ-МС; 390 [M++H].
Пример 363
3-(6-Метил-1H-бензимидазол-2-ил)-5-(2-пиридил)-1-фенил-1,2-дигидропиридин-2-он
1H-ЯМР (400 МГц, CDCl3); (м.д.) 2,50 (с, 3H), 7,08-7,15 (м, 1H), 7,23-7,26 (м, 1H), 7,45-7,69 (м, 7H), 7,81 (тд, 1H), 7,88 (д, 1H), 8,56 (д, 1H), 8,59 (ддд, 1H), 9,40 (д, 1H), 11,95-12,07 (м, 1H).
ЭРИ-МС; 379 [M++H].
Пример 364
3-(5-Метил-1H-бензимидазол-2-ил)-5-(2-пиридил)-1-фенил-1,2-дигидропиридин-2-он
1H-ЯМР (400 МГц, CDCl3); (м.д.) 2,49 (с, 3H), 7,12 (т, 1H), 7,24-7,27 (м, 1H), 7,31-7,72 (м, 7H), 7,80 (тд, 1H), 7,87 (д, 1H), 8,56 (д, 1H), 8,59 (ддд, 1H), 9,40 (д, 1H), 11,94-12,07 (м, 1H).
ЭРИ-МС; 379 [M++H].
Пример 365
3-(2-Цианофенил)-5-[1-(1-бензилпиперидин-4-ил)бензимидазол-2-ил]-1-фенил-1,2-дигидропиридин-2-он
1H-ЯМР (400 МГц, CDCl3); (м.д.) 1,92 (дд, 2H), 2,36 (т, 2H), 2,75 (ддд, 2H), 3,05 (д, 2H), 3,62 (с, 2H), 4,58 (тт, 1H), 7,26-7,41 (м, 7H), 7,44-7,51 (м, 2H), 7,52-7,56 (м, 4H), 7,65 (тд, 1H), 7,70 (дд, 1H), 7,72 (д, 1H), 7,73-7,81 (м, 3H), 8,01 (д, 1H).
ЭРИ-МС; 562 [M++H].
Пример 366
3-(2-Цианофенил)-5-(5-метокси-1H-бензимидазол-2-ил)-1-фенил-1,2-дигидропиридин-2-он
1H-ЯМР (400 МГц, CDCl3); (м.д.) 3,83 (с, 3H), 6,85 (дд, 1H), 7,24-7,47 (м, 8H), 7,50 (д, 2H), 7,60 (дт, 1H), 8,15 (с, 1H), 8,16 (с, 1H).
ЭРИ-МС; 419 [M++H].
Пример 367
3-(1H-Имидазо[4,5-c]пиридин-2-ил)-5-(2-пиридил)-1-фенил-1,2-дигидропиридин-2-он
1H-ЯМР (400 МГц, CDCl3); (м.д.) 7,19-7,28 (м, 1H), 7,48-7,63 (м, 4H), 7,69-7,90 (м, 2H), 8,08 (д, 1H), 8,12 (д, 1H), 8,16-8,22 (м, 1H), 8,34 (д, 1H), 8,59 (д, 1H), 8,58-8,62 (м, 1H), 9,44 (д, 1H), 12,20 (ушир.с, 1H).
ЭРИ-МС; 366 [M++H].
Пример 368
3-(2-Цианофенил)-5-[1-(пиридин-4-ил)бензимидазол-2-ил]-1-фенил-1,2-дигидропиридин-2-он
1H-ЯМР (400 МГц, CDCl3); (м.д.) 7,29-7,34 (м, 4H), 7,35-7,51 (м, 8H), 7,59 (тд, 1H), 7,69 (д, 1H), 7,73 (дд, 1H), 7,82 (д, 1H), 7,84 (дт, 1H), 8,91 (дд, 2H).
ЭРИ-МС; 466 [M++H].
Нижеследующие соединения синтезируют способами, аналогичными способу, или согласно способу примера 183.
Пример 369
3-(2-Хлорфенил)-5-(5-трифторметилбензотиазол-2-ил)-1-фенил-1,2-дигидропиридин-2-он
1H-ЯМР (400 МГц, CDCl3); (м.д.) 7,32-7,37 (м, 2H), 7,47-7,58 (м, 7H), 7,61 (ддд, 1H), 7,99 (д, 1H), 8,14 (д, 1H), 8,21-8,23 (м, 1H), 8,39 (д, 1H).
ЭРИ-МС; 483 [M++H].
Пример 370
3-(5-Трифторметилбензотиазол-2-ил)-5-(2-пиридил)-1-фенил-1,2-дигидропиридин-2-он
1H-ЯМР (400 МГц, CDCl3); (м.д.) 7,26-7,30 (м, 1H), 7,51-7,64 (м, 6H), 7,81-7,87 (м, 2H), 8,08 (д, 1H), 8,39 (с, 1H), 8,63 (д, 1H), 8,64 (т, 1H), 9,50 (д, 1H).
ЭРИ-МС; 450 [M++H].
Пример 371
3-(2-Бензотиазолил)-5-(2-пиридил)-1-фенил-1,2-дигидропиридин-2-он
1H-ЯМР (400 МГц, CDCl3); (м.д.) 7,26-7,30 (м, 1H), 7,41 (т, 1H), 7,50-7,60 (м, 6H), 7,84 (т, 1H), 7,88-7,94 (м, 1H), 7,98 (д, 1H), 8,12 (д, 1H), 8,60-8,63 (м, 2H), 9,48-9,52 (м, 1H).
ЭРИ-МС; 382 [M++H].
Пример 372
5-(2-Бензотиазолил)-3-[2-(2-бензотиазолил)фенил]-1-фенил-1,2-дигидропиридин-2-он
1H-ЯМР (400 МГц, CDCl3); (м.д.) 7,09-7,14 (м, 2H), 7,25-7,33 (м, 4H), 7,37 (тд, 1H), 7,42 (тд, 1H), 7,46-7,52 (м, 4H), 7,80 (ддт, 2H), 7,90 (ддт, 2H), 7,95 (д, 1H), 8,12 (д, 1H), 8,30 (д, 1H).
ЭРИ-МС; 514 [M++H].
Нижеследующие соединения синтезируют способами, аналогичными способу, или согласно способу примера 184.
Пример 373
5-(2-Бензоксазол)-3-[2-(2-бензоксазолил)фенил]-1-фенил-1,2-дигидропиридин-2-он
1H-ЯМР (400 МГц, CDCl3); (м.д.) 7,22-7,42 (м, 7H), 7,44-7,73 (м, 9H), 8,26 (д, 1H), 8,34 (д, 1H), 8,48 (д, 1H).
ЭРИ-МС; 482 [M++H].
Пример 374
3-(2-Бензоксазолил)-5-(2-пиридил)-1-фенил-1,2-дигидропиридин-2-он
1H-ЯМР (400 МГц, CDCl3); (м.д.) 7,22-7,28 (м, 1H), 7,29-7,32 (м, 2H), 7,42-7,46 (м, 2H), 7,48-7,50 (м, 3H), 7,54-7,58 (м, 1H), 7,70-7,80 (м, 3H), 8,55-8,60 (м, 2H), 9,03 (д, 1H).
ЭРИ-МС; 366 [M++H].
Пример 375
3-(2-Хлорфенил)-5-(5-хлорбензоксазол-2-ил)-1-фенил-1,2-дигидропиридин-2-он
1H-ЯМР (400 МГц, CDCl3); (м.д.) 7,27-7,35 (м, 3H), 7,41-7,51 (м, 4H), 7,52-7,57 (м, 4H), 7,67 (д, 1H), 8,25 (д, 1H), 8,49 (д, 1H).
ЭРИ-МС; 433 [M++H].
Пример 376
3-(5-Хлорбензоксазол-2-ил)-5-(2-пиридил)-1-фенил-1,2-дигидропиридин-2-он
1H-ЯМР (400 МГц, CDCl3); (м.д.) 7,26 (ддд, 1H), 7,33 (дд, 1H), 7,47-7,58 (м, 6H), 7,72 (дт, 1H), 7,79 (д, 1H), 7,79 (тд, 1H), 8,55 (д, 1H), 8,62 (ддд, 1H), 9,12 (д, 1H).
ЭРИ-МС; 340 [M++H].
Нижеследующие соединения синтезируют способами, аналогичными способу, или согласно способу примера 315.
Пример 377
3-[1-(Пиперидин-4-ил)бензимидазол-2-ил]-5-(2-пиридил)-1-фенил-1,2-дигидропиридин-2-он
1H-ЯМР (400 МГц, CDCl3); (м.д.) 2,01-2,15 (м, 2H), 2,42-2,52 (м, 2H), 2,66-2,84 (м, 2H), 3,20-3,30 (м, 2H), 4,21-4,40 (м, 1H), 7,19-7,83 (м, 12H), 8,49 (д, 1H), 8,52 (д, 1H), 8,56-8,59 (м, 1H).
ЭРИ-МС; 448 [M++H].
Пример 378
(378A) 3-(2-Цианофенил)-5-[1-(пиперидин-4-ил)бензимидазол-2-ил]-1-фенил-1,2-дигидропиридин-2-он
(378B) 3-(2-Цианофенил)-5-[1-(1-метилпиперидин-4-ил]бензимидазол-2-ил]-1-фенил-1,2-дигидропиридин-2-он
(378A)
1H-ЯМР (400 МГц, CDCl3); (м.д.) 1,90-2,02 (м, 2H), 2,65 (ддд, 2H), 3,01 (т, 2H), 3,28 (д, 2H), 4,69 (тт, 1H), 7,27-7,29 (м, 2H), 7,47-7,55 (м, 6H), 7,67 (тд, 1H), 7,71 (д, 1H), 7,67-7,83 (м, 4H), 8,05 (д, 1H).
ЭРИ-МС; 472 [M++H].
(378B)
1H-ЯМР (400 МГц, CDCl3); (м.д.) 1,90-2,00 (м, 2H), 2,35-2,40 (м, 2H), 2,41 (с, 3H), 2,73-2,87 (м, 2H), 3,00-3,10 (м, 2H), 4,51-4,62 (м, 1H), 7,26-7,30 (м, 2H), 7,44-7,54 (м, 6H), 7,65 (тд, 1H), 7,70-7,83 (м, 5H), 8,03 (д, 1H).
ЭРИ-МС; 486 [M++H].
Пример 379
(379A) 3-(2-Цианофенил)-5-(2-пиридил)-1-(пиперидин-3-ил)-1,2-дигидропиридин-2-он
(379B) 3-(2-Цианофенил)-5-(2-пиридил)-1-(N-бензилпиперидин-3-ил)-1,2-дигидропиридин-2-он
(379A)
1H-ЯМР (400 МГц, CDCl3); (м.д.) 1,90-2,05 (м, 2H), 2,13-2,22 (м, 1H), 2,35-2,44 (м, 1H), 2,70 (тд, 1H), 3,05-3,12 (м, 1H), 3,37 (д, 1H), 3,60-3,72 (м, 1H), 4,97-5,05 (м, 1H), 7,21 (ддд, 1H), 7,45 (тд, 1H), 7,57 (д, 1H), 7,64 (тд, 1H), 7,68-7,78 (м, 3H), 8,13 (д, 1H), 8,48 (д, 1H), 8,62 (ддд, 1H).
ЭРИ-Мс; 357 [M++H].
(379B)
1H-ЯМР (400 МГц, CDCl3); (м.д.) 1,65-1,75 (м, 2H), 1,92-2,05 (м, 2H), 2,45-2,60 (м, 2H), 2,70-2,80 (м, 1H), 2,97 (дд, 1H), 3,55 (с, 2H), 5,15-5,20 (м, 1H), 7,22 (ддд, 1H), 7,27-7,32 (м, 1H), 7,40-7,49 (м, 4H), 7,52-7,58 (м, 2H), 7,61-7,77 (м, 5H), 8,15 (д, 1H), 8,65 (ддд, 1H).
ЭРИ-МС; 447 [M++H].
Пример 380
3-(2-Цианофенил)-5-(N-метилпиперидин-2-ил)-1-фенил-1,2-дигидропиридин-2-он
1H-ЯМР (400 МГц, CDCl3); (м.д.) 1,24-1,39 (м, 2H), 1,73-1,85 (м, 2H), 2,04-2,14 (м, 3H), 2,16 (с, 3H), 2,63 (дд, 1H), 3,00 (д, 1H), 7,37-7,56 (м, 5H), 7,59 (тд, 1H), 7,64-7,70 (м, 2H), 7,72-7,74 (м, 1H), 7,74-7,76 (м, 2H).
ЭРИ-МС; 370 [M++H].
Нижеследующее соединение синтезируют способом, аналогичным способу примера 7.
Пример 381
3-(2-Цианофенил)-5-(2-пиридил)-1-(3-нитро-4-метилфенил)-1,2-дигидропиридин-2-он
1H-ЯМР (400 МГц, CDCl3); (м.д.) 2,69 (с, 3H), 7,23-7,28 (м, 1H), 7,48 (тд, 1H), 7,51-7,56 (м, 1H), 7,62 (д, 1H), 7,66 (т, 1H), 7,74-7,81 (м, 4H), 8,21 (д, 1H), 8,30 (д, 1H), 8,32 (д, 1H), 8,61 (д, 1H).
Пример 382
(382A) 3-(4-Хлорбензолсульфинил)-5-(2-пиридил)-1-фенил-1,2-дигидропиридин-2-он
(382B) 3-(4-Хлорбензолсульфонил)-5-(2-пиридил)-1-фенил-1,2-дигидропиридин-2-он
6 мг 3-(4-хлорфенилтио)-5-(2-пиридил)-1-фенил-1,2-дигидропиридин-2-она растворяют в 3 мл дихлорметана. При охлаждении льдом в полученный раствор добавляют 3 мг м-хлорпербензойной кислоты с последующим перемешиванием при той же температуре в течение 30 минут. После перемешивания при комнатной температуре в течение 5 часов смесь разбавляют 10 мл этилацетата и промывают 1N водным раствором гидроксида натрия. Органический слой промывают насыщенным раствором соли и затем сушат над безводным сульфатом магния. Растворитель выпаривают и остаток очищают хроматографией на силикагеле (система гексан/этилацетат), получая 1,2 мг 3-(4-хлорбензолсульфинил)-5-(2-пиридил)-1-фенил-1,2-дигидропиридин-2-она и 1,5 мг 3-(4-хлорбензолсульфонил)-5-(2-пиридил)-1-фенил-1,2-дигидропиридин-2-она в качестве указанных в заголовке соединений.
(382A)
1H-ЯМР (400 МГц, CDCl3); (м.д.) 7,23-7,29 (м, 2H), 7,37-7,54 (м, 6H), 7,72 (дт, 1H), 7,79 (тд, 1H), 7,87 (т, 1H), 7,89 (т, 1H), 8,44 (д, 1H), 8,57-8,60 (м, 1H), 8,69 (д, 1H).
ЭРИ-МС; 407 [M++H].
(382B)
1H-ЯМР (400 МГц, CDCl3); (м.д.) 7,22-7,30 (м, 2H), 7,37-7,40 (м, 2H), 7,42-7,52 (м, 4H), 7,67 (дт, 1H), 7,80 (тд, 1H), 8,09 (т, 1H), 8,11 (т, 1H), 8,58 (д, 1H), 8,60 (ддд, 1H), 9,06 (д, 1H).
ЭРИ-МС; 423 [M++H].
Нижеследующие соединения синтезируют способами, аналогичными способу, или согласно способу примера 382.
Пример 383
(383A) 3-(2-Этилсульфинилпиридин-5-ил)-5-(2-пиридил)-1-фенил-1,2-дигидропиридин-2-он
(383B) 3-(2-Этилсульфонилпиридин-5-ил)-5-(2-пиридил)-1-фенил-1,2-дигидропиридин-2-он
(383A)
1H-ЯМР (400 МГц, CDCl3); (м.д.) 1,24 (т, 3H), 2,96 (дт, 1H), 3,21 (дт, 1H), 7,23-7,27 (м, 1H), 7,48-7,58 (м, 5H), 7,60 (д, 1H), 7,77 (тд, 1H), 8,03 (д, 1H), 8,28 (д, 1H), 8,38 (д, 1H), 8,44 (дд, 1H), 8,64 (ддд, 1H), 9,04 (д, 1H).
ЭРИ-МС; 402 [M++H].
(383B)
1H-ЯМР (400 МГц, CDCl3); (м.д.) 1,33 (т, 3H), 3,44 (кв., 2H), 7,25-7,28 (м, 1H), 7,49-7,62 (м, 6H), 7,78 (дд, 1H), 8,14 (д, 1H), 8,31 (д, 1H), 8,41 (д, 1H), 8,51 (дд, 1H), 8,64 (ддд, 1H), 9,13 (д, 1H).
ЭРИ-МС; 418 [M++H].
Пример 384
3-(2-Этилпиридин-5-ил)-5-(2-пиридил)-1-фенил-1,2-дигидропиридин-2-он
13 мг 3-(2-хлорпиридин-5-ил)-5-(2-пиридил)-1-фенил-1,2-дигидропиридин-2-она растворяют в 20 мл диметилформамида с последующим добавлением 10 мг карбоната калия и 2 мг тетракистрифенилфосфин-палладия. При перемешивании при комнатной температуре в атмосфере азота в смесь по каплям добавляют триэтилборан (1,0M раствор в тетрагидрофуране) с последующим нагреванием при перемешивании при 100°C в течение 1 часа в атмосфере азота. После охлаждения реакционной смеси до комнатной температуры к смеси добавляют воду и экстрагируют этилацетатом. Органический слой промывают насыщенным раствором соли и затем сушат над безводным сульфатом магния. Растворитель выпаривают и остаток очищают хроматографией на силикагеле (система гексан/этилацетат), получая 4 мг указанного в заголовке соединения.
1H-ЯМР (400 МГц, CDCl3); (м.д.) 1,33 (т, 3H), 2,87 (кв., 2H), 7,20-7,24 (м, 2H), 7,44-7,60 (м, 5H), 7,64-7,70 (м, 1H), 7,75 (тд, 1H), 8,18 (дд, 1H), 8,25 (д, 1H), 8,26 (д, 1H), 8,60-8,62 (м, 1H), 8,84 (д, 1H).
Пример 385
3-(2-Хлорфенил)-5-(4-хлорфенилтио)-1-(3-пиридил)-1,2-дигидропиридин-2-он
Указанное в заголовке соединение синтезируют способом, аналогичным способу примера 188.
1H-ЯМР (400 МГц, CDCl3); (м.д.) 7,23-7,50 (м, 8H), 7,52 (д, 1H), 7,55-7,58 (м, 1H), 7,72 (д, 1H), 7,86-7,93 (м, 1H), 8,66-8,76 (м, 2H).
Пример 386
3-(2-Цианофенил)-5-(1H-бензимидазол-2-ил)-1-фенил-1,2-дигидропиридин-2-он
Вышеупомянутое соединение синтезируют способом, аналогичным способу примера 190.
1H-ЯМР (400 МГц, CDCl3); (м.д.) 7,22-7,28 (м, 2H), 7,32-7,50 (м, 7H), 7,54-7,76 (м, 4H), 8,20-8,21 (м, 1H), 8,28-8,34 (м, 1H).
ЭРИ-МС; 389 [M++H].
Пример 387
3-(2-Адамантил)-5-(2-пиридил)-1-фенил-1,2-дигидропиридин-2-он
Вышеупомянутое соединение синтезируют способом, аналогичным способу примера 178.
1H-ЯМР (400 МГц, CDCl3); (м.д.) 1,21-2,06 (м, 12H), 2,48 (с, 2H), 3,25 (с, 1H), 7,18 (ддд, 1H), 7,33-7,52 (м, 5H), 7,54 (д, 1H), 7,72 (тд, 1H), 8,09 (д, 1H), 8,11-8,13 (м, 1H), 8,60 (ддд, 1H).
Пример 388
3-(2-Цианофенил)-5-(4-метилимидазо[4,5-b]пиридин-2-ил)-1-фенил-1,2-дигидропиридин-2-он
3 мг 3-(2-цианофенил)-5-(1H-имидазо[4,5-c]пиридин-2-ил)-1-фенил-1,2-дигидропиридин-2-она растворяют в 3 мл ацетона. К смеси добавляют 2 мл метилиодида, с последующим перемешиванием при комнатной температуре на протяжении ночи. Смесь упаривают и остаток разбавляют 1 мл воды. К смеси добавляют 20 мг гидроксида натрия с последующим перемешиванием при комнатной температуре в течение 4 часов. Реакционный раствор экстрагируют этилацетатом. Органический слой промывают водой и насыщенным раствором соли, сушат над безводным сульфатом магния и фильтруют. Фильтрат упаривают и остаток очищают хроматографией на силикагеле (NH-модифицированный силикагель) (система гексан/этилацетат), получая 2 мг указанного в заголовке соединения.
1H-ЯМР (400 МГц, CDCl3); (м.д.) 4,31 (с, 3H), 7,07 (дд, 1H), 7,43-7,61 (м, 7H), 7,64 (тд, 1H), 7,72 (дд, 1H), 7,76 (дд, 1H), 8,09 (д, 1H), 8,71 (д, 1H), 8,73 (д, 1H).
ЭРИ-МС; 404 [M++H].
Пример 389
3-(2-Цианофенил)-1-фенил-5-(3-фенил-1,2,4-оксадиазол-5-ил)-1,2-дигидропиридин-2-он
31 мг карбоновой кислоты, полученной гидролизованием 3-(2-цианофенил)-5-(метоксикарбонил)-1-фенил-1,2-дигидропиридин-2-она, растворяют в 20 мл дихлорметана с последующим добавлением по каплям раствора 20 мг оксалилхлорида в дихлорметане при охлаждении льдом. К смеси добавляют каталитическое количество диметилформамида с последующим перемешиванием при комнатной температуре в течение 1 часа в атмосфере азота. Реакционный раствор упаривают и остаток растворяют в дихлорметане. Смесь добавляют по каплям в раствор 16 мг бензамидоксима и 0,05 мл триэтиламина в толуоле при охлаждении льдом. После нагревания до комнатной температуры смесь перемешивают в атмосфере азота на протяжении ночи. Затем смесь нагревают до 100°C в течение 1 часа, охлаждают до комнатной температуры и затем промывают водой. Органический слой промывают насыщенным раствором соли и затем сушат над безводным сульфатом магния. Растворитель выпаривают и 28 мг остатка растворяют в 10 мл толуола с последующим нагреванием при температуре кипения с обратным холодильником в течение 5 часов. После охлаждения до комнатной температуры растворитель выпаривают, получая 24 мг указанного в заголовке соединения в виде белых кристаллов.
1H-ЯМР (400 МГц, CDCl3); (м.д.) 7,40-7,66 (м, 9H), 7,68 (дд, 2H), 7,80 (дд, 1H), 8,12 (дд, 2H), 8,32 (дд, 1H), 8,52 (дд, 1H).
Пример 390
3-(3-Фенил-1,2,4-оксадиазол-5-ил)-1-фенил-5-(2-пиридил)-1,2-дигидропиридин-2-он
Вышеупомянутое соединение синтезируют способом, аналогичным способу примера 389.
1H-ЯМР (400 МГц, CDCl3); (м.д.) 7,25-7,29 (м, 2H), 7,46-7,59 (м, 7H), 7,70 (д, 1H), 7,81 (тд, 1H), 8,20-8,23 (м, 2H), 8,59 (д, 1H), 8,63 (ддд, 1H), 9,14 (д, 1H).
Пример 391
3-(2-Цианотиофен-3-ил)-5-(2-пиридил)-1-фенил-1,2-дигидропиридин-2-он
22 мг 3-(2-формилтиофен-3-ил)-5-(2-пиридил)-1-фенил-1,2-дигидропиридин-2-она растворяют в 20 мл этанола. К смеси добавляют 6,4 мг гидрохлорида гидроксиламина и 10,1 мг ацетата натрия, с последующим нагреванием при 80°C в течение 3 часов. После охлаждения реакционной смеси до комнатной температуры ее выливают в насыщенный водный раствор гидрокарбоната натрия с последующей экстракцией этилацетатом. Органический слой промывают насыщенным раствором соли и затем сушат над безводным сульфатом магния. Растворитель выпаривают и полученный остаток (25 мг), полученный в виде соединения оксима, растворяют в 10 мл диметилформамида, с последующим добавлением 0,02 мл триэтиламина. При охлаждении льдом к смеси добавляют 43 мг 1,1′-карбонилдиимидазола с последующим перемешиванием при 60°C в течение 1 часа. Затем реакционную смесь охлаждают до комнатной температуры, в нее добавляют воду и смесь экстрагируют этилацетатом. Органический слой промывают насыщенным раствором соли и затем сушат над безводным сульфатом магния. Растворитель выпаривают и остаток очищают хроматографией на силикагеле (система гексан/этилацетат), получая 15 мг указанного в заголовке соединения в виде белых кристаллов.
1H-ЯМР (400 МГц, CDCl3); (м.д.) 7,23 (ддд, 1H), 7,46-7,58 (м, 5H), 7,59 (д, 1H), 7,65 (д, 1H), 7,77 (тд, 1H), 7,78 (д, 1H), 8,38 (д, 1H), 8,57 (д, 1H), 8,59 (ддд, 1H).
ЭРИ-МС; 356 [M++H].
Пример 392
3-[2-(5-Оксазолил)фенил]-1-фенил-5-(2-пиридил)-1,2-дигидропиридин-2-он
13 мг 3-(2-формилфенил)-5-(2-пиридил)-1-фенил-1,2-дигидропиридин-2-она растворяют в 10 мл метанола. К смеси добавляют 11 мг тозилметилизоцианида и 8 мг карбоната калия с последующим нагреванием при температуре кипения с обратным холодильником на протяжении ночи. После охлаждения реакционного раствора до комнатной температуры в него добавляют воду и смесь экстрагируют этилацетатом. Органический слой промывают водой и насыщенным раствором соли и затем сушат над безводным сульфатом магния, фильтруют через NH-модифицированный силикагель и силикагель и фильтрат упаривают. Полученный осадок промывают простым эфиром и сушат, получая 9 мг указанного в заголовке соединения.
1H-ЯМР (400 МГц, CDCl3); (м.д.) 6,98 (с, 1H), 7,20 (ддд, 1H), 7,36-7,51 (м, 7H), 7,54 (дт, 2H), 7,72 (ддд, 2H), 7,84 (с, 1H), 8,11 (д, 1H), 8,30 (д, 1H), 8,59 (ддд, 1H).
Пример 393
3-[2-(5-Оксазолил)тиофен-3-ил]-1-фенил-5-(2-пиридил)-1,2-дигидропиридин-2-он
Указанное в заголовке соединение синтезируют способом, аналогичным способу примера 392.
1H-ЯМР (400 МГц, CDCl3); (м.д.) 7,14 (с, 1H), 7,16-7,76 (м, 10H), 7,82 (с, 1H), 8,16 (д, 1H), 8,29 (д, 1H), 8,58 (д, 1H).
Пример 394
3-(2-Цианофенил)-5-(2-пиридинкарбонил)-1-фенил-1,2-дигидропиридин-2-он
(394a) -(2-Метоксипиридин-5-ил)-2-пиридинметанол
50 мл тетрагидрофуранового раствора, содержащего 3,00 г 2-метокси-5-бромпиридина, охлаждают до -78°C, с последующим добавлением по каплям 10 мл н-бутиллития (1,6M гексановый раствор). После завершения добавления капельным способом в смесь тотчас же добавляют 1,70 г пиколинового альдегида с последующим перемешиванием при -78°C в течение 1 часа, медленно возвращая смесь к комнатной температуре. К смеси добавляют насыщенный водный раствор хлорида аммония и затем смесь экстрагируют этилацетатом. Этилацетатный слой промывают водой и насыщенным раствором соли и затем сушат над сульфатом магния. Растворитель выпаривают и полученный остаток очищают хроматографией на силикагеле (этилацетат), получая 1,53 г указанного в заголовке соединения в виде бледно-желтого твердого вещества.
1H-ЯМР (400 МГц, CDCl3); (м.д.) 3,93 (с, 3H), 5,87 (ушир.с, 1H), 6,72 (д, 1H), 7,24 (д, 1H), 7,31-7,36 (м, 1H), 7,55-7,59 (м, 1H), 7,74-7,80 (м, 1H), 8,21 (д, 1H), 8,62 (д, 1H).
(394b) 5-(2-Пиридинкарбонил)-2-метоксипиридин
К раствору 0,83 г -(2-метоксипиридин-5-ил)-2-пиридинметанола в 20 мл ацетона добавляют 1,70 г активированного диоксида марганца с последующим энергичным перемешиванием при комнатной температуре в течение 30 минут. Полученный осадок отфильтровывают и промывают ацетоном. Затем фильтрат концентрируют, получая 0,80 г указанного в заголовке соединения в виде белого твердого вещества.
1H-ЯМР (400 МГц, CDCl3); (м.д.) 4,04 (с, 3H), 6,84 (дд, 1H), 7,48-7,54 (м, 1H), 7,89-7,95 (м, 1H), 8,09 (д, 1H), 8,36-8,40 (м, 1H), 8,70-8,74 (м, 1H), 9,09 (д, 1H).
(394c) 5-(2-Пиридинкарбонил)-1,2-дигидропиридин-2(1H)-он
0,79 г 5-(2-пиридинкарбонил)-2-метоксипиридина растворяют в 5,0 мл 48% бромистоводородной кислоты и смесь перемешивают при 70°C в течение 30 минут. Смесь охлаждают льдом, разбавляют водой и нейтрализуют карбонатом калия. Полученный осадок собирают фильтрованием, промывают водой и гексаном и сушат, получая 0,51 г указанного в заголовке соединения в виде белого порошка.
1H-ЯМР (400 МГц,ДМСО-d6); (м.д.) 6,45 (д, 1H), 7,65-7,70 (м, 1H), 7,95-8,00 (м, 1H), 8,05-8,20 (м, 2H), 8,68-8,75 (м, 2H), 12,17 (ушир.с, 1H).
(394d) 5-(2-Пиридинкарбонил)-3-бром-1,2-дигидропиридин-2(1H)-он
К раствору 0,23 г 5-(2-пиридинкарбонил)-1,2-дигидропиридин-2(1H)-она в 2,0 мл диметилформамида добавляют 0,21 г N-бромсукцинимида при комнатной температуре с последующим перемешиванием в течение 1 часа. Смесь разбавляют водой и полученный осадок собирают фильтрованием, промывают водой и сушат, получая 0,26 г указанного в заголовке соединения в виде бледно-желтого порошка.
1H-ЯМР (400 МГц,ДМСО-d6); (м.д.) 7,67-7,71 (м, 1H), 7,99-8,03 (м, 1H), 8,04-8,08 (м, 1H), 8,47 (д, 1H), 8,73-8,75 (м, 1H), 8,79 (ушир.с, 1H), 12,72 (ушир.с, 1H).
(394e) 5-(2-Пиридинкарбонил)-1-фенил-3-бром-1,2-дигидропиридин-2-он
Суспензию 0,24 г 5-(2-пиридинкарбонил)-3-бром-1,2-дигидропиридин-2(1H)-она, 0,23 г фенилбороновой кислоты, 0,30 г ацетата меди и 1 мл триэтиламина в 10 мл тетрагидрофурана перемешивают при комнатной температуре на протяжении ночи. К смеси добавляют концентрированный водный раствор аммиака (3 мл), воду (30 мл) и этилацетат (100 мл), чтобы отделить органический слой. Последний промывают водой и насыщенным раствором соли и затем сушат над сульфатом магния. Растворитель выпаривают и остаток очищают хроматографией на силикагеле (смесь этилацетат/гексан), получая 0,21 г указанного в заголовке соединения в виде белого порошка.
1H-ЯМР (400 МГц,ДМСО-d6); (м.д.) 7,50-7,60 (м, 5H), 7,64-7,68 (м, 1H), 8,02-8,09 (м, 1H), 8,57 (д, 1H), 8,66-8,70 (м, 1H), 9,00 (д, 1H).
(394f) 3-(2-Цианофенил)-5-(2-пиридинкарбонил)-1-фенил-1,2-дигидропиридин-2-он
К смешанной жидкости 200 мг 5-(2-пиридинкарбонил)-1-фенил-3-бром-1,2-дигидропиридин-2-она, 130 мг 2-(2-цианофенил)-1,3,2-диоксаборината, 400 мг карбоната цезия и 6 мл диметилформамида добавляют 60 мг тетракистрифенилфосфин-палладия с последующим перемешиванием при 130°C в течение 5 часов в атмосфере азота. После охлаждения до комнатной температуры туда добавляют этилацетат. Экстракт промывают водой и насыщенным раствором соли и сушат над сульфатом магния. Растворитель выпаривают и остаток очищают хроматографией на силикагеле (смесь этилацетат/гексан), получая 45 г указанного в заголовке соединения в виде бледно-желтого порошка.
1H-ЯМР (400 МГц, CDCl3); (м.д.) 7,40-7,58 (м, 8H), 7,62-7,68 (м, 1H), 7,75-7,78 (м, 1H), 7,89-7,94 (м, 1H), 8,11-8,15 (м, 1H), 8,47 (д, 1H), 8,65-8,68 (м, 1H), 9,16 (д, 1H).
Пример 395
5-(2-Пиридинкарбонил)-1-фенил-3-фенил-1,2-дигидропиридин-2-он
Смешанную жидкость 10 мг 5-(2-пиридинкарбонил)-1-фенил-3-бром-1,2-дигидропиридин-2-она, 10 мг фенилбороновой кислоты, 40 мг карбоната цезия, 6 мг тетракистрифенилфосфин-палладия и 1 мл диметилформамида перемешивают при 130°C в течение 2 часов в атмосфере азота. После охлаждения до комнатной температуры к смеси добавляют этилацетат. Экстракт промывают водой и насыщенным раствором соли и сушат над сульфатом магния. Растворитель выпаривают и остаток очищают хроматографией на силикагеле (смесь этилацетат/гексан), получая 6 мг указанного в заголовке соединения в виде бледно-желтого порошка.
1H-ЯМР (400 МГц, CDCl3); (м.д.) 7,32-7,58 (м, 8H), 7,75-7,79 (м, 2H), 7,88-7,94 (м, 1H), 8,09-8,13 (м, 1H), 8,42 (д, 1H), 8,63-8,66 (м, 1H), 9,01 (д, 1H).
Пример 396
3-(2-Цианофенил)-5-( -гидрокси-2-пиколил)-1-фенил-1,2-дигидропиридин-2-он
К раствору 25 мг 3-(2-цианофенил)-5-(2-пиридинкарбонил)-1-фенил-1,2-дигидропиридин-2-она в 5 мл метанола добавляют 2 мг боргидрида натрия при охлаждении льдом. Спустя 30 минут смесь разбавляют насыщенным водным раствором гидрокарбоната натрия с последующей экстракцией этилацетатом. Этилацетатный слой промывают водой и насыщенным раствором соли и сушат над сульфатом магния. Растворитель выпаривают и остаток очищают хроматографией на силикагеле (этилацетат), получая 15 мг указанного в заголовке соединения в виде бледно-желтого порошка.
1H-ЯМР (400 МГц, CDCl3); (м.д.) 5,72 (ушир.с, 1H), 7,32-7,72 (м, 13H), 7,80-7,92 (м, 1H), 8,57-8,65 (м, 1H).
Пример 397
3-(2-Цианофенил)-5-(2-пиридин-2-илвинил)-1-фенил-1,2-дигидропиридин-2-он
Смешанную жидкость 100 мг 3-(2-цианофенил)-1-фенил-5-бром-1,2-дигидропиридин-2-она, 100 мг 2-винилпиридина, 6 мг ацетата палладия, 17 мг три-(o-толил)фосфина и 3 мл триэтиламина перемешивают при 130°C в течение 2 часов в атмосфере азота. После охлаждения до комнатной температуры к смеси добавляют этилацетат. Экстракт промывают водой и насыщенным раствором соли и сушат над сульфатом магния. Растворитель выпаривают и остаток очищают хроматографией на силикагеле (смесь этилацета/гексан), получая 16 мг указанного в заголовке соединения в виде белого порошка.
1H-ЯМР (400 МГц, CDCl3); (м.д.) 6,95-7,00 (м, 1H), 7,16-7,21 (м, 1H), 7,26-7,35 (м, 1H), 7,44-7,60 (м, 7H), 7,62-7,81 (м, 5H), 8,03 (д, 1H), 8,57-8,61 (м, 1H).
Пример 398
3-(2-Этоксикарбонилвинилтиофен-3-ил)-5-(2-пиридил)-1-фенил-1,2-дигидропиридин-2-он
К раствору 7,5 мг этилдиэтилфосфоноацетата в тетрагидрофуране добавляют 1,3 мг гидрида натрия в атмосфере азота при охлаждении льдом с последующим добавлением по каплям раствора 10 мг 3-(2-формилтиофен-3-ил)-5-(2-пиридил)-1-фенил-1,2-дигидропиридин-2-она в тетрагидрофуране. После перемешивания смеси при комнатной температуре в течение 1 часа в атмосфере азота в нее добавляют воду. Затем смесь экстрагируют этилацетатом. Органический слой промывают насыщенным раствором соли и затем сушат над безводным сульфатом магния. Растворитель выпаривают и остаток очищают хроматографией на силикагеле (смесь гексан/этилацетат), получая 4 мг указанного в заголовке соединения.
1H-ЯМР (400 МГц, CDCl3); (м.д.) 1,28 (т, 3H), 4,21 (кв., 2H), 6,34 (д, 1H), 7,19-7,23 (м, 2H), 7,34-7,41 (м, 2H), 7,43-7,56 (м, 5H), 7,74 (тд, 1H), 7,88 (д, 1H), 8,00 (д, 1H), 8,30 (д, 1H), 8,58-8,60 (м, 1H).
ЭРИ-МС; 429 [M++H].
Пример 399
5-Бром-2-метоксипиридин

2,5-Дибромпиридин (200 г) и 28% метанольный раствор метоксида натрия (1535 г) нагревают при температуре кипения с обратным холодильником в течение 30 минут с последующим охлаждением до комнатной температуры. Смесь распределяют между водой (1,6 л) и трет-бутилметиловым эфиром (1,6 л). Полученный органический слой промывают насыщенным раствором соли (1 л) за 3 раза и затем сушат над безводным сульфатом магния на протяжении ночи. Осушенный органический слой упаривают при 65°C, получая 160 г (96%) указанного в заголовке соединения в виде коричневого масла.
1H-ЯМР (400 МГц, CDCl3); (м.д.) 3,91 (3H, с), 6,66 (1H, д), 7,64 (1H, дд), 8,20 (1H, д).
МС: MH+ 188, 190.
Пример 400
6-Метокси-3-пиридилбороновая кислота

5-Бром-2-метоксипиридин (152 г) растворяют в безводном тетрагидрофуране (1520 мл) при перемешивании в атмосфере азота с последующим охлаждением до -75,1°С как среднемассовой температуры. При охлаждении и перемешивании к смеси добавляют по каплям 380 мл 2,46 моль/л раствора бутиллития, с последующим добавлением по каплям 192 мл триметоксиборана. Баню для охлаждения удаляют спустя 30 минут после завершения капельного добавления и смесь перемешивают при комнатной температуре на протяжении ночи. На следующий день в смесь добавляют 1,5 л 2 моль/л водного раствора хлористоводородной кислоты с последующим перемешиванием в течение 1,5 часов. Затем смесь нейтрализуют 460 мл 5 моль/л водного раствора гидроксида натрия. Затем смесь экстрагируют 1 л этилацетата и полученный водный слой снова экстрагируют 1 л этилацетата. Объединенный органический слой промывают дважды 1 л 10% солевого водного раствора, сушат над безводным сульфатом магния и затем упаривают, получая 105 г (88%) указанного в заголовке соединения в виде слегка желтоватого белого твердого вещества.
1Н-ЯМР (CDCl3, 400 МГц): 3,83 (3Н, с), 6,74 (1Н, д), 7,98 (1Н, дд), 8,10 (2Н, с), 8,50 (1Н, с).
Пример 401
2-Метокси-5-(пиридин-2-ил)пиридин

6-Метокси-3-пиридилбороновую кислоту (105 г), 2-бромпиридин (90 г), ацетат палладия (3,21 г), трифенилфосфин (15 г), карбонат калия (237 г), 1,2-диметоксиэтан (900 мл) и воду (900 мл) нагревают при температуре кипения с обратным холодильником в течение 5 часов и 40 минут при перемешивании. После охлаждения реакционного раствора в него добавляют этилацетат (1 л) для экстракции. Органический слой промывают 1 л 10% водного раствора хлорида аммония, 1 л 10% водного раствора аммиака и 1 л 10% солевым раствором и затем упаривают, получая 126 г (87%) указанного в заголовке соединения.
1H-ЯМР (CDCl3, 400 МГц): 4,00 (3H, с), 6,85 (1H, д), 7,21-7,26 (1H, м), 7,67 (1H, д), 7,75 (1H, дт), 8,25 (1H, дд), 8,66-8,70 (1H, м), 8,74 (1H, д).
МС: MH+ 187.
Пример 402
5-(Пиридин-2-ил)-2(1H)-пиридон

Смесь 2-метокси-5-(пиридин-2-ил)пиридина (550 г) и 4 моль/л водного раствора хлористоводородной кислоты (2,4 л) нагревают при температуре кипения с обратным холодильником в течение 3 часов. После охлаждения реакционного раствора промывают трет-бутилметиловым эфиром (2,2 л). К водному слою добавляют 8 моль/л водный раствор гидроксида натрия (1,1 л) при охлаждении смесью лед-вода и затем смесь промывают дважды трет-бутилметиловым эфиром (2,2 л). Затем доводят до рН 8 концентрированной хлористоводородной кислотой (310 мл) и 8 моль/л водным раствором гидроксида натрия (100 мл), с последующим распределением между 1-бутанолом (4,5 л) и насыщенным раствором соли (1,8 л). Водный слой снова экстрагируют 1-бутанолом (4,5 л) и объединенный органический слой упаривают при 45-50°C. К полученному остатку добавляют трет-бутилметиловый эфир (2,2 л), получая кристаллы. Полученные кристаллы собирают фильтрацией при пониженном давлении и подвергают воздушной сушке при 60°C. Затем к ним добавляют воду (1,6 л), чтобы растворить при нагревании. Затем смесь охлаждают водой и перекристаллизовывают. Полученные кристаллы собирают фильтрацией при пониженном давлении и подвергают воздушной сушке при 60°C, получая 188 г (66%) указанного в заголовке соединения в виде серовато-белых кристаллов.
1H-ЯМР (ДМСО-d6, 400 МГц): 6,42 (1H, д), 7,19-7,26 (1H, м), 7,74-7,81 (2H, м), 8,11 (1H, д), 8,17 (1H, дд), 8,52-8,55 (1H, м).
МС: MH+ 173.
Пример 403
1-Фенил-5-(пиридин-2-ил)-2(1H)-пиридон

При перемешивании 5-(пиридин-2-ил)-2(1H)-пиридона (185 г), фенилбороновой кислоты (261 г), ацетата меди (19,4 г), пиридина (173 мл) и диметилформамида (1480 мл) при комнатной температуре через смесь продувают воздух при скорости 2,0 л/минута, чтобы инициировать реакции. Так как 26% реагирующего вещества остается непрореагировавшим спустя 7 часов после инициирования реакции, поток воздуха прекращают, чтобы приостановить реакции. На следующий день в раствор опять подают воздух, чтобы вновь запустить реакции, после чего реагирующее вещество расходуется до 0,57% от своей начальной массы через 5,5 часов. Реакционный раствор выливают в охлаждаемый льдом 10% водный раствор аммиака (7,5 л), получая осадок. Полученный осадок собирают фильтрованием при пониженном давлении и промывают водой (3 л). Полученные кристаллы суспендируют в 10% водном растворе аммиака (3,6 л) при перемешивании при комнатной температуре в течение 1 часа. Затем кристаллы собирают фильтрацией при пониженном давлении и промывают водой (2 л). Полученные кристаллы подвергают воздушной сушке на протяжении ночи, получая 187 г (68%) указанного в заголовке соединения в виде коричневых кристаллов.
1H-ЯМР (CDCl3, 400 МГц): 6,77 (1H, д), 7,19 (1H, дд), 7,42-7,48 (3H, м), 7,49-7,55 (3H, м), 7,72 (1H, дт), 8,04 (1H, дд), 8,21 (1H, д), 8,57-8,59 (1H, м).
МС: MH+ 249.
Пример 404
3-Бром-1-фенил-5-(пиридин-2-ил)-2(1H)-пиридон

1-Фенил-5-(пиридин-2-ил)-2(1H)-пиридон (186 г), N-бромсукцинимид (141,7 г) и N,N-диметилформамид (900 мл) перемешивают при комнатной температуре. Спустя 2,5 час к смеси добавляют 6,45 г N-бромсукцинимида. После того как подтверждается расход (исчерпывание) реагирующего вещества, реакционный раствор выливают в воду (4,5 л) при охлаждении льдом, с последующим перемешиванием в холодной комнате (приблизительно 4°C) на протяжении ночи. Полученные кристаллы собирают фильтрованием при пониженном давлении с последующим растворением в изопропаноле (3,25 л) и воде (650 мл) при нагревании. После подтвержения завершения растворения раствор оставляют для постепенного охлаждения и затем охлаждают льдом. Затем смесь перемешивают в холодной комнате на протяжении ночи. Полученные кристаллы собирают фильтрованием при пониженном давлении и подвергают воздушной сушке при 60°C, получая 191 г (81%) указанного в заголовке соединения.
1H-ЯМР (CDCl3, 400 МГц): 7,19-7,24 (1H, м), 7,42-5,56 (6H, м), 7,74 (1H, дт), 8,19 (1H, д), 8,51 (1H, д), 8,58-8,61 (1H, м).
МС: MH+ 327, 329.
Среди вышеупомянутых примеров особенно предпочтительные соединения включают 3-(2-цианофенил)-5-(2-метилсульфониламинофенил)-1-фенил-1,2-дигидропиридин-2-он;
3-(2-хлор-3-пиридил)-5-(2-пиридил)-1-фенил-1,2-дигидропиридин-2-он; 3-(2-цианофенил)-5-(2-пиридил)-1-фенил-1,2-дигидропиридин-2-он; 3-(2-цианофенил)-5-(2-пиридил)-1-(3-нитрофенил)-1,2-дигидропиридин-2-он; 3-(2-цианофенил)-5-(2-пиридил)-1-(3-аминофенил)-1,2-дигидропиридин-2-он; 3-(2-цианофенил)-5-(2-пиридил)-1-(3-метилсульфониламинофенил)-1,2-дигидропиридин-2-он; 3-(2-цианофенил)-5-(2-пиридил)-1-(3-метиламинофенил)-1,2-дигидропиридин-2-он; 3-(2-цианофенил)-5-(2-пиридил)-1-(3-диметиламинофенил)-1,2-дигидропиридин-2-он; 3-(2-цианофенил)-5-(2-пиридил)-1-[3-(5-метоксиметил-2-оксазолидинон-3-ил)фенил]-1,2-дигидропиридин-2-он; 3-(2-цианофенил)-5-(2-пиридил)-1-(3-метоксикарбонилфенил)-1,2-дигидропиридин-2-он; 3-(2-цианофенил)-5-(2-пиридил)-1-(3-метиламинокарбонилфенил)-1,2-дигидропиридин-2-он; 3-(2-циано-3-пиридил)-5-(2-пиридил)-1-фенил-1,2-дигидропиридин-2-он; 3-(2-хлорфенил)-5-(2-пиридил)-1-(4-гидроксифенил)-1,2-дигидропиридин-2-он; 3-(2-хлорфенил)-5-(2-пиридил)-1-(4-диметиламиноэтоксифенил)-1,2-дигидропиридин-2-он;
3-(2-цианофенил)-5-(2-пиридил)-1-(3-формилфенил)-1,2-дигидропиридин-2-он; 3-(2-цианофенил)-5-(2-пиридил)-1-(3-гидроксиметилфенил)-1,2-дигидропиридин-2-он; 3-(2-цианофенил)-5-(2-пиридил)-1-(3-цианометилфенил)-1,2-дигидропиридин-2-он;
3-(2-цианофенил)-5-(2-пиридил)-1-(3-ацетиламинометилфенил)-1,2-дигидропиридин-2-он; 3-(2-цианофенил)-5-(2-пиридил)-1-(3-метилсульфониламинометилфенил)-1,2-дигидропиридин-2-он;
3-(2-цианофенил)-5-(2-пиридил)-1-(3-ацетоксиметилфенил)-1,2-дигидропиридин-2-он; 3-(2-цианофенил)-5-(2-пиридил)-1-(4-метилтиофенил)-1,2-дигидропиридин-2-он; 3-(2-цианофенил)-5-(2-пиридил)-1-(4-метилсульфонилфенил)-1,2-дигидропиридин-2-он;
3-(2-цианофенил)-5-(2-формилтиофен-3-ил)-1-фенил-1,2-дигидропиридин-2-он; 3-(2-цианофенил)-5-(2-диэтиламинометилтиофен-3-ил)-1-фенил-1,2-дигидропиридин-2-он;
3-(2-цианофенил)-5-(2-гидроксиметилтиофен-3-ил)-1-фенил-1,2-дигидропиридин-2-он; 3-(2-цианофенил)-5-(2-пиридил)-1-бензил-1,2-дигидропиридин-2-он; 3-(2-цианофенил)-5-(2-пиридил)-1-(3-пиридил)-1,2-дигидропиридин-2-он; 3-(2-цианофенил)-5-фенил-(2-пиридил)-1,2-дигидропиридин-2-он; 3-(2-цианофенил)-1,5-дифенил-1,2-дигидропиридин-2-он; 3-(2-цианофенил)-5-(2-метоксифенил)-1-фенил-1,2-дигидропиридин-2-он; 3-(2-цианофенил)-5-(3,4-диметоксифенил)-1-фенил-1,2-дигидропиридин-2-он; 3-(2-цианофенил)-5-(тиофен-3-ил)-1-фенил-1,2-дигидропиридин-2-он;
3-(2-цианофенил)-5-(2-фторфенил)-1-фенил-1,2-дигиропиридин-2-он; 3-(2-цианофенил)-5-(тиофен-2-ил)-1-фенил-1,2-дигидропиридин-2-он; 3-(2-цианофенил)-5-(3-фурил)-1-фенил-1,2-дигидропиридин-2-он; 3-(2-цианофенил)-5-(2-фурил)-1-фенил-1,2-дигидропиридин-2-он; 3-(2-хлорфенил)-5-(2-пиридил)-1-фенил-1,2-дигидропиридин-2-он, 3-(2-метоксикарбонилфенил)-5-(2-пиридил)-1-фенил-1,2-дигидропиридин-2-он; 3-фенил-5-(2-пиридил)-1-фенил-1,2-дигидропиридин-2-он; 3-(2-фторфенил)-5-(2-пиридил)-1-фенил-1,2-дигидропиридин-2-он; 3-(2-хлорфенил)-5-(2-пиридил)-1-(3-метоксифенил)-1,2-дигидропиридин-2-он; 3-(2-фтор-3-пиридил)-5-(2-пиридил)-1-фенил-1,2-дигидропиридин-2-он; 3-(2-метокси-5-пиридил)-5-(2-пиридил)-1-фенил-1,2-дигидропиридин-2-он; 3-(2-фтор-3-пиридил)-5-(2-пиридил)-1-(3-метоксифенил)-1,2-дигидропиридин-2-он; 3-(2-фтор-3-пиридил)-5-(2-пиридил)-1-(3-фторфенил)-1,2-дигидропиридин-2-он; 3-(2-цианофенил)-5-(2-пиридил)-1-(4-фторфенил)-1,2-дигидропиридин-2-он; 3-(2-цианофенил)-5-(2-пиридил)-1-(3-фторфенил)-1,2-дигидропиридин-2-он; 3-(2-цианофенил)-5-(2-пиридил)-1-(4-метоксифенил)-1,2-дигидропиридин-2-он; 3-(2-цианофенил)-5-(2-пиридил)-1-(3-метоксифенил)-1,2-дигидропиридин-2-он; 3-фенил-5-(2-пиридил)-1-(3-фторфенил)-1,2-дигидропиридин-2-он; 3-(2-хлорфенил)-5-(2-пиридил)-1-(4-фторфенил)-1,2-дигидропиридин-2-он; 3-(2-цианофенил)-5-(2-пиридил)-1-(4-формилфенил)-1,2-дигидропиридин-2-он; 3-(2-цианофенил)-5-(2-пиридил)-1-(2-формилфенил)-1,2-дигидропиридин-2-он; 3-(2-цианофенил)-5-(2-пиридил)-1-(3-хлорфенил)-1,2-дигидропиридин-2-он; 3-(2-цианофенил)-5-(2-пиридил)-1-(3-толил)-1,2-дигидропиридин-2-он; 3-(2-цианофенил)-5-(2-пиридил)-1-(3-трифторметилфенил)-1,2-дигидропиридин-2-он; 3-(2-цианофенил)-5-(2-пиридил)-1-(тиофен-3-ил)-1,2-дигидропиридин-2-он; 3-(2-цианофенил)-5-(2-пиридил)-1-(3-фурил)-1,2-дигидропиридин-2-он; 3-(2-цианофенил)-5-(2-пиридил)-1-(4-толил)-1,2-дигидропиридин-2-он; 3-(2-цианофенил)-5-(2-пиридил)-1-(4-трифторметилфенил)-1,2-дигидропиридин-2-он; 3-(2-цианофенил)-5-(2-пиридил)-1-(2-метоксипиридин-5-ил)-1,2-дигидропиридин-2-он; 3-(2-цианофенил)-5-(2-пиридил)-1-(пиримидин-5-ил)-1,2-дигидропиридин-2-он; 3-(2-цианофенил)-5-(2-пиридил)-1-(3-бензилоксиметилпиридин-5-ил)-1,2-дигидропиридин-2-он; 3-(2-цианофенил)-5-(2-пиридил)-1-(2-этилтиопиридин-5-ил)-1,2-дигидропиридин-2-он; 3-(2-цианофенил)-5-(2-пиридил)-1-(4-пиридил)-1,2-дигидропиридин-2-он; 3-(2-цианофенил)-5-(2-пиридил)-1-(3-метоксипиридин-5-ил)-1,2-дигидропиридин-2-он; 3-(2-цианофенил)-5-(2-пиридил)-1-(2-хлорпиридин-5-ил)-1,2-дигидропиридин-2-он; 3-(2-цианофенил)-5-(2-пиридил)-1-(2-фторпиридин-5-ил)-1,2-дигидропиридин-2-он; 3-(2-цианофенил)-5-(2-пиридил)-1-(2-метоксифенил)-1,2-дигидропиридин-2-он; 3-фенил-5-(2-пиридил)-1-(3-пиридил)-1,2-дигидропиридин-2-он; 3-(2-хлорфенил)-5-(2-пиридил)-1-(3-пиридил)-1,2-дигидропиридин-2-он; 3-(тиофен-3-ил)-5-(2-пиридил)-1-(3-пиридил)-1,2-дигидропиридин-2-он; 3-(2,6-диметилфенил)-5-(2-пиридил)-1-(3-пиридил)-1,2-дигидропиридин-2-он; 3-(2-цианотиофен-3-ил)-5-(2-пиридил)-1-(3-пиридил)-1,2-дигидропиридин-2-он; 3-(2-фтор-3-пиридил)-5-(2-пиридил)-1-(3-пиридил)-1,2-дигидропиридин-2-он; 3-(2-хлорфенил)-5-(2-пиридил)-1-(3-гидроксифенил)-1,2-дигидропиридин-2-он;
3-(2-хлорфенил)-5-(2-пиридил)-1-(3-диметиламиноэтоксифенил)-1,2-дигидропиридин-2-он; 3-(2-хлорфенил)-5-(2-пиридил)-1-(3-диметиламинопропоксифенил)-1,2-дигидропиридин-2-он;
3-(2-цианофенил)-5-(2-пиридил)-1-(2-гидроксиметилфенил)-1,2-дигидропиридин-2-он; 3-(2-цианофенил)-5-(2-пиридил)-1-(4-цианометилфенил)-1,2-дигидропиридин-2-он; 3-(2-цианофенил)-5-(2-пиридил)-1-(2-цианометилфенил)-1,2-дигидропиридин-2-он;
3-(2-цианофенил)-5-(6-диэтиламинометил-2-пиридил)-1-фенил-1,2-дигидропиридин-2-он; 3-(2-цианофенил)-1-фенил-5-(2-пиримидинил)-1,2-дигидропиридин-2-он; 3-(2-гидроксипиридин-6-ил)-1-фенил-5-(2-пиридил)-1,2-дигидропиридин-2-он; 1-(2-аминобензотиазол-6-ил)-3-(2-цианофенил)-5-(2-пиридил)-1,2-дигидропиридин-2-он;
3-(2-цианофенил)-5-(2-пиридил)-1-(1-бензил-1,2,5,6-тетрагидропиридин-3-ил)-1,2-дигидропиридин-2-он; 3-[2-(5-метил-1,2,4-оксадиазол-3-ил)фенил]-1-фенил-5-(2-пиридил)-1,2-дигидропиридин-2-он; 3-(2-цианофенил)-5-(6-метилпиридин-2-ил)-1-фенил-1,2-дигидропиридин-2-он; 3-(2-цианофенил)-5-(5-метилпиридин-2-ил)-1-фенил-1,2-дигидропиридин-2-он;
3-(2-цианофенил)-5-(3-гидроксипиридин-2-ил)-1-фенил-1,2-дигидропиридин-2-он; 3-(2-цианофенил)-1-фенил-5-(2-тиазолил)-1,2-дигидропиридин-2-он; 3-(2-цианофенил)-5-(6-метоксипиридин-2-ил)-1-фенил-1,2-дигидропиридин-2-он; 1-(4-аминофенил)-3-(2-цианофенил)-5-(2-пиридил)-1,2-дигидропиридин-2-он;
1-(3-аминофенил)-3-(2-цианофенил)-5-(2-пиримидинил)-1,2-дигидропиридин-2-он; 3-(2-цианофенил)-5-(2-пиридил)-1-(3-амино-4-метилфенил)-1,2-дигидропиридин-2-он; 3-(2-цианофенил)-1-(3-диметиламиноэтоксифенил)-5-(2-пиридил)-1,2-дигидропиридин-2-он; 3-(2-цианофенил)-1-(3-пиперидиноэтоксифенил)-5-(2-пиридил)-1,2-дигидропиридин-2-он; 3-(2-цианофенил)-1-(3-пирролидиноэтоксифенил)-5-(2-пиридил)-1,2-дигидропиридин-2-он; 3-(2-цианофенил)-1-(3-диизопропиламиноэтоксифенил)-5-(2-пиридил)-1,2-дигидропиридин-2-он; 3-(2-цианофенил)-1-[3-(4-пиперидинобутокси)фенил]-5-(2-пиридил)-1,2-дигидропиридин-2-он; 3-(2-цианофенил)-1-(4-нитрофенил)-5-(2-пиридил)-1,2-дигидропиридин-2-он; 1-фенил-5-(2-пиридил)-3-(2-тиазолил)-1,2-дигидропиридин-2-он; 3-(2-цианофенил)-1-(3-пиридил)-5-(2-пиримидинил)-1,2-дигидропиридин-2-он; 3-(2-фторпиридин-3-ил)-1-фенил-5-(2-пиримидинил)-1,2-дигидропиридин-2-он;
3-(2-цианопиридин-3-ил)-1-фенил-5-(2-пиримидинил)-1,2-дигидропиридин-2-он; 3-(2-цианофенил)-1-(3-нитрофенил)-5-(2-пиримидинил)-1,2-дигидропиридин-2-он; 3-(2-нитрофенил)-1-фенил-5-(2-пиридил)-1,2-дигидропиридин-2-он; 3-(2-формилтиофен-3-ил)-5-(2-пиридил)-1-фенил-1,2-дигидропиридин-2-он; 3-(2-цианофенил)-5-(2-пиридил)-1-(2-нафтил)-1,2-дигидропиридин-2-он;
3-(2-цианофенил)-5-(2-пиридил)-1-(1-нафтил)-1,2-дигидропиридин-2-он; 5-(2-аминопиридин-6-ил)-3-(2-цианофенил)-1-фенил-1,2-дигидропиридин-2-он; 5-(6-бромпиридин-2-ил)-3-(2-цианофенил)-1-фенил-1,2-дигидропиридин-2-он; 3-(2-цианофенил)-5-(2-морфоринопиридин-6-ил)-1-фенил-1,2-дигидропиридин-2-он;
3-(2-цианофенил)-1-(3-гидроксифенил)-5-(2-пиридил)-1,2-дигидропиридин-2-он; 3-(2-цианофенил)-1-[3-(4-пиперидилокси)]фенил-5-(2-пиридил)-1,2-дигидропиридин-2-он;
1-[3-(N-ацетилпиперидин-4-илокси)фенил]-3-(2-цианофенил)-5-(2-пиридил)-1,2-дигидропиридин-2-он; 3-(2-цианофенил)-1-[3-(1-метилсульфонилпиперидин-4-илокси)фенил]-5-(2-пиридил)-1,2-дигидропиридин-2-он;
1-[3-(N-метилпиперидин-4-илокси)фенил]-3-(2-цианофенил)-5-(2-пиридил)-1,2-дигидропиридин-2-он;
3-(6-хлор-1H-бензимидазол-2-ил)-5-(2-пиридил)-1-фенил-1,2-дигидропиридин-2-он; 3-(2-цианофенил)-5-(2-пиридил)-1-(3-нитро-4-метилфенил)-1,2-дигидропиридин-2-он; 3-(2-цианотиофен-3-ил)-5-(2-пиридил)-1-фенил-1,2-дигидропиридин-2-он;
3-[2-(5-оксазолил)фенил]-1-фенил-5-(2-пиридил)-1,2-дигидропиридин-2-он; 3-[2-(5-оксазолил)тиофен-3-ил]-1-фенил-5-(2-пиридил)-1,2-дигидропиридин-2-он; и
3-(2-этоксикарбонилвинилтиофен-3-ил)-5-(2-пиридил)-1-фенил-1,2-дигидропиридин-2-он.






























ПРИМЕРЫ IN VIVO
Далее настоящее изобретение будет описано посредством примеров in vivo, ссылаясь на сопровождающие их чертежи, где:
ФИГ.1 демонстрирует, что антагонист рецептора AMPA, (2-цианофенил)-1-(фенил-5-(2-пиридил)-1,2-дигидропиридин-2-он (пример 7), в комбинации с интерфероном- снижает тяжесть паралича во время EAE у крыс. Соединение примера 7 (10 мг/кг, перорально, один раз в день; 7-16 дпи), комбинированное с интерфероном- (1×106 Единиц/крыса, подкожно), значительно снижает пиковое значение оценки заболевания по сравнению с наполнителем и либо лечением соединением примера 7, как таковым, либо только интерфероном- . Результаты представляют среднее значение ± ССО(SEM) оценки болезни (n=8/группа).
ФИГ.2 демонстрирует, что антагонист рецептора AMPA, (2-цианофенил)-1-(фенил-5-(2-пиридил)-1,2-дигидропиридин-2-он (пример 7) (10 мг/кг, перорально, один раз в день; 7-16 дпи), в комбинации с интерфероном- (1×106 Единиц/крыса, подкожно) снижает потерю массы тела (г) во время течения EAE у крыс. Результаты представляют среднее значение ± ССО(SEM) оценки болезни (n=8/группа).
In vivo Пример 1
Экспериментальный аллергический энцефаломиелит (EAE), индуцируемая аутоиммунная болезнь, представляет собой наилучшим образом описанную животную модель демиелинизирующего расстройства, причем оказалось, что лекарственные средства, активные для этой модели, являются активными и для людей (Pender MP (1996). Experimental autoimmune encephalomyelitis, In Autoimmune Neurological Disease, Editors Pender MP and McCombe PA, Cambridge University Press, pp.26-88).
В данном примере заявителями описывается неожиданно обнаруженное ими ярко выраженное уменьшение неврологических расстройств во время острого EAE у крыс после лечения средством, не обладающим иммуномодуляторным и противовоспалительным действием, а именно средством, представляющим собой комбинацию антагониста рецептора AMPA примера 7 и интерферона- .
Животные
Крыс-самок линии Lewis (массой 200 + 10 г), полученных от Charles River, Kent, UK, размещали попарно в условиях контролирования окружающей среды (цикл свет/темнота, 6:00 утра – 6:00 вечера); 22-24°C; влажность 45-55%) и предоставляли им свободный доступ к пище и воде. Экспериментальные группы состояли из 8 животных.
Индуцирование острого активного EAE у крыс линии Lewis
Крыс иммунизировали в каждую заднюю лапу 15 мкл инокулята, содержащего 15 мкг основного миелинового белка морской свинки (MBP, полученного способом по Dunkley и Carnegie (1974); конечная концентрация 2 мг/мл), эмульгированного в полном адъюванте Фрейнда (CFA; Sigma, UK), содержащего Mycobacterium tuberculosis H37Ra (конечная концентрация 5,5 мг/мл; Difco Laboratories, UK).
Оценка клинического EAE у крыс линии Lewis
Животных взвешивали и осуществляли за ними наблюдение ежедневно; состояние клинической болезни оценивали как (0) нет клинических признаков; (1) дряблый хвост и потеря массы тела; (2) гипотония задних конечностей с дальнейшей потерей массы тела; (3) полный паралич задних конечностей; (4) параплегия и (5) смерть. Кроме того, были предусмотрены промежуточные оценки состояния для животных, которые демонстрировали потерю тонуса в дистальной половине хвоста (оценка = 0,5), паралич одной задней конечности (оценка = 2,5) или полный паралич задних конечностей со слабостью передних конечностей (оценка = 3,5). В течение периода введения соединения (7-16 дни постиммунизации; дпи) для того, чтобы избежать любого резкого действия лечения на оценку состояния болезни, производили оценку состояния животных через 15 час после инъекции наполнителя, соединения примера 7 или интерферона- .
Схема введения (лекарственного средства)
3-(2-Цианофенил)-1-фенил-5-(2-пиридил)-1,2-дигидропиридин-2-он (пример 7) суспендировали в 0,5% растворе метилцеллюлозы (MC), получая концентрацию соединения 4 мг/мл. Интерферон- растворяли в PBS (фосфатно-буферный раствор), получая концентрацию соединения 5×106 Единиц/мл. Крысы получали дозу один раз в день (9 утра) по дням 7-16 постиммунизации либо наполнителя (метилцеллюлоза перорально и PBS подкожно), только одного соединения при дозе 10 мг/кг (перорально плюс наполнитель PBS подкожно), только одного интерферона- при дозе 1×106 Единиц/крыса (подкожно плюс метилцеллюлоза перорально) или соединения примера 7 при дозе 10 мг/кг (перорально), комбинированного с интерфероном- при дозе 1×106 Единиц/крыса (подкожно).
Результаты
Влияние соединения примера 7 и интерферона- на развитие болезни при наличии EAE у крыс линии Lewis
После иммунизации посредством MBP неврологическое расстройство развивалось у 8/8 обработанных наполнителем животных, у каждого из которых обнаруживали паралич обеих задних конечностей; среднее начало болезни и продолжительность составляли 11,8 дпи и 4,3 дней соответственно (фиг.1 и таблица 1). Аналогично, неврологическое расстройство развивалось у 8/8 обработанных интерфероном- животных, у каждого из которых обнаруживали паралич обеих задних конечностей; среднее начало болезни и продолжительность составляли 12,4 дпи и 4,5 дней соответственно (фиг.1 и таблица 1). Одноразовая ежедневная обработка, начиная с 7-го дня по 16 постиммунизации, используя соединение примера 7, значимо замедляло начало болезни, сокращало продолжительность болезни и уменьшало пиковую и кумулятивную оценку болезни по сравнению с животными, обработанными как наполнителем, так и интерфероном- (фиг.1 и таблица 1). Соединение в комбинации с интерфероном- обеспечивало ярко выраженную защиту, по величине больше, чем наблюдаемая в случае лечения либо наполнителем, интерфероном- , либо только одним соединением. Одноразовая ежедневная обработка, начиная с дня 7 по 16 постиммунизации, используя соединение в комбинации с интерфероном- , полностью предотвращала развитие паралича у 7 крыс из 8, при этом только одно животное демонстрировало неполную потерю (мышечного) тонуса хвоста (оценка 0,75) на протяжении только одного дня. Таким образом, соединение примера 7 в комбинации с интерфероном- значительно снижало продолжительность болезни (p<0,0001) и пиковую и кумулятивную оценку болезни по сравнению с обработкой наполнителем, интерфероном- и только соединением. Кроме того, соединение в комбинации с интерфероном- защищало в отношении потери массы тела, значимо уменьшая процентную потерю массы тела на 18 дпи по сравнению с животными, обработанными наполнителем (p<0,05 фиг.2 и таблица 1).

Значения в таблице представляют среднее значение и диапазон, где n=8; **p<0,01 и  p<0,0001 против наполнителя, интерферона- и примера 7; *p<0,05 против наполнителя; критерий Стьюдента или U-тест Mann-Whitney для параметрических и непараметрических данных соответственно. Пояснение: a ; n=1 для соединения + интерферон- . b ; Кумулятивная оценка болезни, рассчитанная путем суммирования индивидуальных ежедневных оценок состояния болезни. c ; Рассчитано, как масса тела на 18 дпи, выраженная как процент от максимальной массы тела до начала болезни.
Пример испытания 1
Супрессивное действие соединений настоящего изобретения на приток кальция в нервные клетки, индуцированный AMPA, исследовали, используя систему первичной культуры нервных клеток коры головного мозга эмбриона крысы.
Условия культивирования
Кору головного мозга вырезали из головного мозга крысы со сроком беременности 18 дней и обрабатывали трипсином и DNase, чтобы диспергировать клетки. Клетки извлекали MEM, содержащей 10% сыворотки, высевали в культуральных флаконах и астроциты пролиферировали. Астроциты вновь диспергировали трипсином и высевали в 96-луночный планшет. После инкубации в течение одной недели подтверждалось, что астроциты покрыли все дно, и тогда нервные клетки коры головного мозга, которая была диспергирована вышеупомянутым способом, высевали вслед за этим. После инкубации в течение 24 часов среду заменяли, осуществляли инкубацию в течение одной недели и после этого среду заменяли на среду, содержащую 1 мкМ МК-801. Использовали нервные клетки, которые были инкубированы на протяжении не менее чем 8-10 дней.
Подавляющее действие на приток кальция в нервные клетки, индуцированный AMPA
Приток кальция в нервные клетки измеряли, используя Fura2-AM, который представлял флуоресцентный краситель, чувствительный к кальцию. Его обрабатывали в среде, содержащей Fura2-AM, в течение 1 часа, внедряли в клетки, заменяли на раствор Tyrode, содержащий 1 мкМ MK-801, и стимуляцию осуществляли, используя 2 мкМ AMPA. Изменение в количестве кальция, поступившего в клетки, измеряли по изменению флуоресцентной интенсивности при возбуждении светом с длиной волны 340/380 нм. Влияние испытываемого соединения оценивали, используя в качестве контроля реакцию, возникшую в результате добавления AMPA к раствору Tyrode, не содержащему соединения. Результаты представлены в таблицах 1-3.
В качестве контрольного соединения использовали GYKI 52446 (Le Peillet, et al., Brain Res., 571, 115, 1992). IC50 GYKI 52466 составляла 9,02 мкМ.
Пример испытания 2
Противосудорожное действие, индуцированное AMPA
Испытываемое соединение суспендируют в 0,5% растворе метилцеллюлозы или в кунжутном масле и вводят орально (25 мг/кг) мышам-самцам штамма ddy. Спустя 30 минут или 1 час после орального введения в боковой желудочек (головного мозга) непрерывно инъецируют AMPA (2 нмоль/5 мкл/минута/мышь), чтобы индуцировать судороги. Эффект оценивали по растянутому во времени действию до момента возникновения судорог при непрерывной инъекции AMPA.
Результаты
Соединение, представленное вышеупомянутой формулой (I) согласно настоящему изобретению, показало превосходное противосудорожное действие. Например, соединения Примеров 4, 7, 9, 12, 16, 32, 41, 47, 57, 61, 76, 78, 91, 126, 128, 137, 139, 164, 199, 261, 262, 264, 270 и 298 продемонстрировали существенное противосудорожное действие.
Пример испытания 3
Модель окклюзии среднемозговых артерий
Полезность соединения, относящегося к настоящему изобретению, в лечении инсульта (мозговой удар) была подтверждена нижеследующим испытанием. А именно церебральный кровоток среднемозговых артерий блокировали наложением шва нейлоновой хирургической нитью 4-0 спецификации, край которой был разрушен пламенем, на 17 мм от ветви внутренней сонной артерии, через внутреннюю сонную артерию к наружной сонной артерии крысы-самца линии Sprange Dawley, и таким образом получали церебральный инфаркт (Zea Longa et al., Stroke 20:84-91, 1989). Величину зоны мозга, пораженной инфарктом, оценивали, получая перекрестный срез мозга, имеющий толщину 2 мм, и измеряя зону участка, которая оказалась неокрашенной при окрашивании ТТС. Действие испытываемого вещества на этой модели оценивали путем сравнения размера зоны, пораженной инфарктом, между группой, обработанной растворителем, и группой, обработанной испытываемым веществом.
В результате было установлено, что соединение настоящего изобретения проявляет превосходное действие как терапевтическое средство при инсульте.
Пример испытания 4
Противометамфетаминное действие
(S)-(+)-N, -диметилфенетиламин (в дальнейшем, называемый как метамфетамин ) дозировали интраперитонеально крысе или мыши, которой была введена доза испытываемого соединения, и измеряли количество активного движения, используя прибор для измерения активного движения (SCANET SV-10; производимого TOYO Sangyo Co., Ltd.). Активность терапевтического средства для лечения шизофрении оценивали, контролируя активное движение, используя гипердинамический эффект, вызванный метамфетамином, в качестве индикатора (K.E. Vanover, Psychopharmacology 136: 123-131, 1998). Действие испытываемого вещества было подтверждено регулируемым воздействием на количество активного движения в сравнении с группой, которая получала дозу растворителя.
В результате было установлено, что соединение, связанное с настоящим изобретением, обнаружило превосходное противометамфетаминное действие.
Пример испытания 5
Модель ригидности intercaruncle мышцы, вызванной провокационной аблацией
Животную модель, в которой провоцируют миотонию переднезадних конечностей, получают воздействием электрического разряда между верхней и нижней частями стопы крысы. Миорелакционный эффект оценивают, исходя из действия регулирования увеличения расслабления мышц, которое генерируется, когда задние конечности в этой модели начинают двигаться взад-вперед. Действие испытываемого вещества подтверждается количественными изменениями мышечного расслабления до и после дозирования испытываемого вещества.
Установлено, что соединение настоящего изобретения обнаруживает превосходное миорелакционное действие.
Пример испытания 6
Испытание свет-темнота
Мышь помещают в темный отсек коробки, которая состоит из двух светлых и темных отсеков, которые соединены туннелем, и после этого регистрируют поведение мыши в течение 5 минут согласно приведенным ниже пунктам.
1. Время пребывания в светлом и темном отсеках (коробки).
2. Время, в течение которого мышь ходит и возвращается назад между светлым и темным отсеками коробки.
3. Время, в течение которого мышь доходит до входа в светлый бокс.
Анксиолитическое действие испытываемого соединения было выявлено как пролонгация (удлинение) времени пребывания в светлом и темном отсеках, увеличение времени, в течение которого мышь ходила и возвращалась назад между светлым и темным отсеками коробки, и увеличение времени, в течение которого мышь бродила до входа в светлый бокс, в сравнении с группой, получавшей дозу растворителя (Hascoet M., Bourin M., Pharm. Biochem. Behav. 60:645-653, 1998).
Согласно данному испытанию, получено подтверждение, что соединение, связанное с настоящим изобретением, обладает превосходным транквилизирующим действием.
Пример испытания 7
Модель разрушения индуцированной 6-оксидопамином субстанции нигрос
10 мг/кг L-дигидроксифенилаланина (L-DOPA) (дважды в день) дозировали каждый день в брюшную полость крысы, одну сторону невроцита с участком черной пигментации которой разрушили путем инъекции 6-оксидопамина (6-OHDA) в участок с пигментацией, в результате чего было спровоцировано увеличение вращательного движения в обратную сторону энцефалопатии (C. Marin et al., Synapse 36(4):267-274, 2000). Было изучено влияние предварительно введенной крысе дозы растворителя или испытываемого соединения на вышеупомянутое спровоцированное вращательное движение. Было установлено, что испытываемое соединение замедляет время вращения до тех пор, пока исходное вращательное движение не достигнет максимального значения после дозирования L-DOPA, и увеличивает время проявляющегося вращения, которое составляет половину или больше от максимального количества вращения.
Пример испытания 8
Метод модели судорожного состояния, индуцированного уксусной кислотой
Состояние страдания (боли), при котором нижняя половина тела крысы скрючена, ее брюшная полость вдавлена и задние лапки вытянуты, провоцируют путем инъекции 0,6% раствора уксусной кислоты в физиологическом растворе в брюшную полость крыс. После введения животным дозы испытываемого соединения или растворителя в их брюшную полость вводят путем инъекции солевой раствор уксусной кислоты и проводят оценку аналгезирующего действия путем сравнения времен проявления вышеописанных аномальных действий в пределах заданного времени наблюдения (5 до 15 минут после введения дозы уксусной кислоты), которые возникают после дозирования (Basic Pharmacology Experiment, edited by Kazuhiko Kubota, pages 45-47, Nankoh-do).
В результате может быть подтверждено, что соединение, связанное с настоящим изобретением, в значительной степени регулирует времена проявления аномальных действий и имеет превосходное аналгезирующее (болеутоляющее) действие.
Пример испытания 9
Модель рвоты, индуцируемой цисплатином
Катетер для внутривенного введения вводили хорьку, и ему давали возможность восстановиться после операции. Затем вызывали рвотную реакцию путем инъекции 10 мг/кг цис-диаминдихлорплатины (цисплатин) (A. Fink-Jensen et al., Neuroscience Letters 137:173-177, 1992). Цисплатин (10 мг/кг) вводили путем инъекции хорьку, которого предварительно обрабатывали испытываемым соединением или растворителем, затем хорька помещали в клетку для наблюдения и измеряли на протяжении периода наблюдения 240 минут время (инкубационный период) и времена до возникновения ритмического сокращения брюшной полости (определяемого как рвота).
Установлено, что соединение, связанное с настоящим изобретением, продлевает инкубационный период и в значительной степени сокращает время проявления рвоты.
Пример испытания 10
Экспериментальная модель аутоиммунного энцефаломиелита
Крыс-самок линии Lewis (205 ± 10 г), полученных от Charles River, Kent, UK, размещали попарно в условиях контролирования окружающей среды (цикл свет/темнота) (6:00 утра-6:00 вечера; 22-24oC; влажность 45-55%) и предоставляли им свободный доступ к пище и воде. Экспериментальные группы состояли из 9-12 животных. Крыс иммунизировали в каждую заднюю лапу 20-50 мкл инокулята, содержащего 50 мкг основного миелинового белка морской свинки (MBP; конечная концентрация 2 мг/мл), эмульгированного в полном адъюванте Фрейнда (CFA; Sigma, UK), содержащем Mycobacterium tuberculosisH37Ra (конечная концентрация 5,5 мг/мл; Difco Laboratories, UK). Животных взвешивали и контролировали ежедневно; клиническую болезнь оценивали как: (0) нет клинических признаков; (1) дряблый хвост и потеря массы тела; (2) гипотония задних конечностей с дальнейшей потерей массы тела; (3) полный паралич задних конечностей; (4) параплегия и (5) смерть. Кроме того, были предусмотрены промежуточные оценки для животных, которые демонстрировали потерю тонуса в дистальной половине хвоста (оценка = 0,5), паралич одной задней конечности (оценка = 2,5) или полный паралич задних конечностей со слабостью передних конечностей (оценка = 3,5). В течение периода введения соединения (10–16 дни постиммунизации; дпи) для того, чтобы избежать любого острого действия лечения на оценку состояния болезни, животных оценивали через 15 час после инъекции наполнителя или соединения. Соединения растворяли/суспендировали в 0,5% растворе метилцеллюлозы, используя ручной гомогенизатор Polytron (PT1200; 2 мин). Крысы получали дозу, перорально, либо наполнителя-метилцеллюлозы (2,5 мл/кг), либо соединения при дозе 5, 10 и 20 мг/кг.
Результаты: соединение изобретения имеет улучшенное терапевтическое воздействие на EAE. Соединения примеров 7, 32, 76, 139, 164, 261, 262 и 264, например, обеспечивают превосходное (терапевтическое) действие в сравнении с группой, которой вводили наполнитель.
| Таблица 1 |
| Пример |
IC50 (мкМ) |
Пример |
IC50 (мкМ) |
Пример |
IC50 (мкМ) |
| 1 |
0,8 |
42 |
0,2 |
92 |
0,05 |
| 2 |
1,8 |
43 |
0,5 |
93 |
1,9 |
| 3 |
0,3 |
44 |
0,3 |
94 |
1,5 |
| 4 |
0,1 |
45 |
0,2 |
95 |
0,3 |
| 5 |
0,6 |
46 |
0,4 |
96 |
0,06 |
| 6 |
9,3 |
47 |
0,6 |
97 |
0,4 |
| 7 |
0,1 |
48 |
0,04 |
98 |
0,6 |
| 8 |
0,1 |
49 |
0,2 |
99 |
0,1 |
| 9 |
0,03 |
52 |
1,1 |
100 |
0,4 |
| 10 |
0,05 |
55 |
0,8 |
101 |
0,2 |
| 11 |
0,06 |
56 |
3,2 |
102 |
0,02 |
| 12 |
0,1 |
57 |
0,2 |
103 |
0,03 |
| 13 |
0,2 |
58 |
0,1 |
104 |
0,2 |
| 14 |
0,1 |
60 |
1,7 |
105 |
0,03 |
| 15 |
0,05 |
61 |
0,2 |
106 |
0,07 |
| 16 |
0,1 |
62 |
3,1 |
107 |
0,07 |
| 17 |
0,7 |
63 |
1,1 |
108 |
0,03 |
| 18 |
0,02 |
64 |
2,8 |
109 |
0,01 |
| 19 |
0,08 |
65 |
0,6 |
110 |
2,0 |
| 20 |
0,04 |
66 |
2,4 |
111 |
0,4 |
| 21 |
0,03 |
67 |
6,5 |
112 |
0,6 |
| 22 |
0,06 |
69 |
0,9 |
113 |
1,2 |
| 23 |
0,2 |
70 |
3,1 |
114 |
0,6 |
| 24 |
0,2 |
71 |
0,05 |
115 |
0,06 |
| 25 |
0,03 |
72 |
0,7 |
116 |
0,2 |
| 26 |
0,02 |
73 |
1,2 |
117 |
0,4 |
| 27 |
0,05 |
74 |
0,2 |
118 |
0,1 |
| 28 |
0,2 |
76 |
0,1 |
119 |
1,7 |
| 29 |
0,1 |
77 |
0,02 |
120 |
0,2 |
| 30 |
0,04 |
78 |
1,4 |
121 |
0,6 |
| 31 |
0,1 |
79 |
2,6 |
123 |
0,2 |
| 32 |
0,1 |
80 |
0,3 |
124 |
0,7 |
| 33 |
0,7 |
81 |
2,7 |
126 |
0,3 |
| 34 |
3,7 |
82 |
0,8 |
127 |
0,4 |
| 35 |
3,1 |
84 |
0,9 |
128 |
0,07 |
| 36 |
1,1 |
86 |
1,9 |
129 |
2,6 |
| 37 |
0,7 |
87 |
1,2 |
130 |
0,9 |
| 38 |
6,3 |
88 |
0,3 |
131 |
37 |
| 39 |
0,3 |
90 |
0,7 |
132 |
3,1 |
| 41 |
0,08 |
91 |
0,05 |
133 |
0,3 |
| Таблица 2 |
| Пример |
IC50 (мкМ) |
Пример |
IC50 (мкМ) |
Пример |
IC50 (мкМ) |
| 135 |
0,04 |
199 |
0,7 |
251 |
0,9 |
| 137 |
0,05 |
200 |
2,0 |
252 |
0,3 |
| 139 |
0,3 |
201 |
0,2 |
253 |
4,7 |
| 140 |
6,6 |
202 |
0,7 |
255 |
0,5 |
| 141 |
0,7 |
204 |
1,6 |
256 |
1,2 |
| 142 |
2,2 |
206 |
0,5 |
257 |
3,7 |
| 143 |
0,1 |
209 |
7,0 |
259 |
2,0 |
| 144 |
0,01 |
210 |
5,2 |
260 |
2,7 |
| 146 |
0,2 |
211 |
3,6 |
261 |
0,08 |
| 147 |
1,6 |
215 |
0,1 |
262 |
0,3 |
| 148 |
0,8 |
216 |
2,4 |
263 |
1,0 |
| 149 |
0,1 |
217 |
1,3 |
264 |
0,05 |
| 150 |
0,3 |
218 |
0,1 |
265 |
0,7 |
| 151 |
0,3 |
219 |
3,7 |
266 |
0,1 |
| 152 |
4,0 |
220 |
0,6 |
267 |
1,0 |
| 154 |
5,0 |
221 |
7,1 |
268 |
4,2 |
| 157 |
0,5 |
222 |
0,2 |
269 |
1,9 |
| 159 |
1,6 |
226 |
9,5 |
270 |
0,14 |
| 163 |
8,2 |
227 |
1,8 |
272 |
3,3 |
| 164 |
0,08 |
228 |
2,7 |
275 |
6,1 |
| 165 |
0,4 |
229 |
4,2 |
276 |
1,9 |
| 166 |
0,3 |
230 |
4,0 |
277 |
0,6 |
| 171 |
2,3 |
232 |
4,3 |
278 |
2,8 |
| 173 |
4,2 |
234 |
0,9 |
279 |
3,71 |
| 174 |
3,3 |
235 |
4,4 |
280 |
1,3 |
| 176 |
5,4 |
236 |
0,6 |
282 |
9,0 |
| 178 |
2,0 |
237 |
1,5 |
284 |
2,8 |
| 180 |
0,5 |
238 |
0,6 |
285 |
7,2 |
| 182 |
6,0 |
239 |
0,3 |
286 |
0,3 |
| 184 |
2,3 |
240 |
0,1 |
287 |
5,6 |
| 185 |
1,7 |
241 |
0,4 |
288 |
1,2 |
| 187 |
6,1 |
242 |
0,5 |
290 |
0,2 |
| 188 |
8,5 |
243 |
1,2 |
291 |
0,14 |
| 190 |
0,6 |
244 |
1,8 |
292 |
3,3 |
| 192 |
1,1 |
245 |
1,2 |
293 |
3,3 |
| 193 |
0,4 |
246 |
1,1 |
294 |
0,6 |
| 195 |
0,2 |
247 |
3,6 |
297 |
4,2 |
| 196 |
0,3 |
248 |
3,4 |
298 |
0,3 |
| 197 |
2,9 |
249 |
0,3 |
299 |
4,4 |
| 198 |
0,3 |
250 |
0,9 |
300 |
0,3 |
| Таблица 3 |
| Пример |
IC50 (мкМ) |
Пример |
IC50 (мкМ) |
Пример |
IC50 (мкМ) |
| 302 |
0,3 |
334 |
0,6 |
367 |
0,6 |
| 303 |
0,9 |
337 |
0,7 |
371 |
0,6 |
| 307 |
2,0 |
338 |
0,4 |
379-B |
6,4 |
| 308 |
1,6 |
341 |
0,2 |
381 |
0,4 |
| 309 |
4,1 |
342 |
1,3 |
382-B |
2,3 |
| 313 |
5,9 |
342 |
3,2 |
385 |
1,1 |
| 314 |
4,6 |
344 |
4,7 |
386 |
3,5 |
| 315 |
0,08 |
346 |
3,7 |
387 |
7,0 |
| 316 |
2,1 |
351 |
3,3 |
388 |
2,9 |
| 317 |
0,6 |
352 |
1,6 |
390 |
1,0 |
| 318 |
3,1 |
354 |
1,5 |
391 |
0,1 |
| 319 |
2,0 |
355 |
0,2 |
392 |
0,1 |
| 320 |
2,3 |
356 |
2,1 |
393 |
0,3 |
| 321 |
4,0 |
358 |
1,4 |
394 |
1,4 |
| 326 |
0,9 |
359 |
2,3 |
395 |
0,9 |
| 327 |
8,0 |
360 |
3,1 |
398 |
0,2 |
| 330 |
0,4 |
362 |
3,7 |
 |
 |
| 333 |
0,3 |
365 |
2,7 |
 |
 |
Представленное выше описание изобретения носит только иллюстративный характер, и поэтому следует иметь в виду, что в настоящее изобретение могут быть внесены различные изменения и модификации, не выходящие за рамки существа или объема изобретения, сформулированные в прилагаемой ниже формуле изобретения.
В тех случаях, когда предпочтительные или необязательные (альтернативные) признаки излагаются в связи с конкретными аспектами настоящего изобретения, если в контексте не оговорено особо, то следует считать, что они применимы, с соответствующими изменениями, и к другим аспектам изобретения.
Все цитируемые здесь документы входят составной частью в настоящее описание путем ссылки, так как в вышеупомянутых документах имеются материалы, имеющие отношение к данной заявке.
Формула изобретения
1. Композиция, предназначенная для профилактики или лечения нейродегенеративных заболеваний, содержащая I) эффективное количество 3-(2-цианофенил)-1-фенил-5-(2-пиридил)-1,2-дигидропиридин-2-она его соли или гидрата; и II) эффективное количество интерферон-бета.
2. Композиция по п.1, дополнительно содержащая фармацевтически приемлемый носитель или наполнитель.
3. Композиция по п.1, где интерфероном-бета является IFN-бета-1a или IFN-бета-1b.
4. Композиция по п.3, где IFN-бета-1a представляет Ребиф или Авонекс или IFN-бета-1b представляет Бетасерон или Бетаферон.
5. Композиция по п.1, где нейродегенеративная болезнь представляет демиелинизирующее расстройство.
6. Фармацевтическая композиция по п.5, где демиелинизирующее расстройство представляет энцефалит, острый рассеянный энцефаломиелит, острую демиелинизирующую полинейропатию (синдром Гийена-Барре), хроническую воспалительную демиелинизирующую полинейропатию, рассеянный склероз, болезнь Маркиафавы-Биньями, миелинолиз центрального пути варолиева моста мозга, синдром Девика, болезнь Бало, ВИЧ-миелопатию; обусловленную вирусом человеческого Т-клеточного лейкоза миелопатию; прогрессирующую многоочаговую лейкоэнцефалопатию или вторичное демиелинизирующее расстройство.
7. Композиция по п.6, где вторичной демиелинизирующей болезнью является красная волчанка с поражением ЦНС, нодозный (узелковый) полиартериит, синдром Шегрена, саркоидная гранулема, изолированный церебральный васкулит.
8. Способ профилактики или лечения нейродегенеративной болезни, включающий введение пациенту композиции по п.1 или 2.
9. Способ по п.8, где нейродегенеративной болезнью является демиелинизирующее расстройство.
10. Набор, предназначенный для профилактики или лечения нейродегенеративных заболеваний, включающий первый контейнер, содержащий 3-(2-цианофенил)-1-фенил-5-(2-пиридил)-1,2-дигидропиридин-2-он, его соль или гидрат, и второй контейнер, содержащий интерферон-бета, необязательно с инструкциями для применения.
11. Набор по п.10, где одно или оба из соединений по п.1 и интерферон-бета дополнительно включают фармацевтически приемлемый носитель или наполнитель.
12. Набор по п.10, где нейродегенеративной болезнью является демиелинизирующее расстройство.
13. Набор по любому одному из пп.10, 11 или 12, где соединение и интерферон-бета вводят раздельно, одновременно или последовательно.
14. Комбинация, предназначенная для профилактики или лечения нейродегенеративного заболевания, включающая 3-(2-цианофенил)-1-фенил-5-(2-пиридйл)-1,2-дигидропиридин-2-он, его соль или гидрат и интерферон-бета для раздельного, одновременного или последовательного введения.
15. Комбинация по п.14, дополнительно содержащая фармацевтически приемлемый носитель или наполнитель.
16. Комбинация по п.14, где интерфероном-бета является IFN-бета-1а или IFN-бета-1b.
17. Комбинация по п.16, где IFN-бета-1a представляет Ребиф или Авонекс или IFN-бета-1b представляет Бетасерон или Бетаферон.
18. Комбинация по п.14, где нейродегенеративная болезнь представляет демиелинизирующее расстройство.
19. Комбинация по п.18, где демиелинизирующее расстройство представляет энцефалит, острый рассеянный энцефаломиелит, острую демиелинизирующую полинейропатию (синдром Гийена-Барре), хроническую воспалительную демиелинизирующую полинейропатию, рассеянный склероз, болезнь Маркиафавы-Биньями, миелинолиз центрального пути варолиева моста мозга, синдром Девика, болезнь Бало, ВИЧ-миелопатию; обусловленную вирусом человеческого Т-клеточного лейкоза миелопатию; прогрессирующую многоочаговую лейкоэнцефалопатию или вторичное демиелинизирующее расстройство.
20. Комбинация по п.19, где вторичной демиелинизирующей болезнью является красная волчанка с поражением ЦНС, нодозный (узелковый) полиартериит, синдром Шегрена, саркоидная гранулема, изолированный церебральный васкулит.
21. Способ профилактики или лечения нейродегенеративных заболеваний, включающий введение пациенту комбинации по п.14.
22. Способ по п.21, где нейродегенеративное заболевание представляет собой демиелинизирующее расстройство.
23. Способ по п.21, где 3-(2-цианофенил)-1-фенил-5-(пиридил)-1,2-дигидропиридин-2-он и интерферон- , его соль или гидрат вводят раздельно, одновременно или последовательно.
РИСУНКИ
|
|