Патент на изобретение №2358716
|
|||||||||||||||||||||||||||||||||||||||||||||||||||||||||||||||||||||||||||||||||||||||||||||||||||||||||||||||||||||||||||||||||||||||||||||||||||||||||||
(54) ОРГАНИЧЕСКИЕ СОЕДИНЕНИЯ
(57) Реферат:
Изобретение относится к области фармацевтики и касается твердой фармацевтической композиции, пригодной для орального введения, которая содержит: (а) агонист рецептора S1P и (б) сахарный спирт. Изобретение обеспечивает однородное распределение активного компонента в твердой композиции и ее высокую стабильность. 17 з.п. ф-лы, 2 табл.
Настоящее изобретение относится к фармацевтическим композициям, содержащим агонист сфингозин-1 -фосфатного рецептора. Сфингозин-1-фосфат (ниже в настоящем описании обозначен как «S1P») представляет собой встречающийся в естественных условиях сывороточный липид. В настоящее время известно 8 рецепторов S1P, а именно S1P1 – S1P8. Агонисты рецептора S1P обладают способностями ускорять хоминг лимфоцитов. Агонисты рецептора S1P представляют собой иммуномодуляторы, которые вызывают лимфопению, обусловленную перераспределением, предпочтительно обратимым, лимфоцитов из кровотока во вторичную лимфатическую ткань, что приводит к генерализованной иммуносупрессии. Нестимулированные клетки подвергаются разрушению, происходит стимуляция миграции CD4- и CD8-T-клеток и В-клеток из кровотока в лимфатические узлы (ЛУ) и пейеровы бляшки (БП), в результате чего ингибируется инфильтрация клеток в трансплантированные органы. Различные известные агонисты рецептора S1P обладают структурным сходством, что вызывает связанные с этим проблемы при создании требуемого препарата. Прежде всего существует необходимость в создании содержащего агонист рецептора S1P препарата, хорошо приспособленного для орального введения в твердой форме, например в форме таблетки или капсулы. В соответствии с этим в настоящем изобретении предложена твердая фармацевтическая композиция для орального введения, содержащая агонист рецептора S1P и сахарный спирт. При создании изобретения неожиданно было установлено, что твердые композиции, содержащие сахарный спирт, позволяют создавать препараты, наиболее хорошо приспособленные для орального введения агонистов рецептора S1P. Композиции представляют собой удобное средство для системного введения агонистов рецептора S1P, не имеют недостатков, присущих жидким препаратам для инъекции или для орального применения, и обладают хорошими физико-химическими свойствами и способностью к хранению. Прежде всего, композиции, предлагаемые в настоящем изобретении, могут характеризоваться высоким уровнем однородности распределения агониста рецептора S1P в композиции, а также высокой стабильностью. Композиции, предлагаемые в изобретении, можно приготавливать на высокоскоростном автоматическом оборудовании и тем самым не требуется осуществлять капсуляцию вручную. Агонисты рецептора S1P как правило представляют собой аналоги сфингозина, такие как 2-замещенные 2-аминопропан-1,3-диольные или 2-аминопропанольные производные. Примерами пригодных агонистов рецептора S1P являются, например, соединения, описанные в ЕР 627406 А1, например соединение формулы I
в которой R1 обозначает прямую или разветвленную (С12-С22)-углеродную цепь, – причем указанная цепь может нести связь или гетероатом, выбранные из двойной связи, тройной связи, О, S, NR6, где R6 обозначает Н, алкил, аралкил, ацил или алкоксикарбонил, и карбонила, и/или – может иметь в качестве заместителя алкоксигруппу, алкенилоксигруппу, алкинилоксигруппу, аралкилоксигруппу, ацил, алкиламиногруппу, алкилтиогруппу, ациламиногруппу, алкоксикарбонил, алкоксикарбониламиногруппу, ацилоксигруппу, алкилкарбамоил, нитрогруппу, галоген, аминогруппу, гидроксииминогруппу, гидроксигруппу или карбоксигруппу; или R1 обозначает – фенилалкил, в котором алкил обозначает прямую или разветвленную (С6-С20)-углеродную цепь; или – фенилалкил, в котором алкил обозначает прямую или разветвленную (С1-С30)-углеродную цепь, где фенилалкил замещен – прямой или разветвленной (С6-С20)-углеродной цепью, необязательно замещенной галогеном, – С6-С20алкоксигруппой с прямой или разветвленной цепью, необязательно замещенной галогеном, – С6-С20алкенилоксигруппой с прямой или разветвленной цепью, – фенилалкоксигруппой, галофенилалкоксигруппой, фенилалкоксиалкилом, феноксиалкоксигруппой или феноксиалкилом, – циклоалкилом, замещенным С6-С20алкилом, – гетероарилалкилом, замещенным С6-С20алкилом, – гетероциклическим С6-С20алкилом, или – гетероциклическим алкилом, замещенным С6-С20алкилом, и где алкильная группа может нести – в углеродной цепи связь или гетероатом, выбранные из двойной связи, тройной связи. О, S, сульфинила, сульфонила или NR6, где R6 имеет указанные выше значения, и – в качестве заместителя алкоксигруппу, алкенилоксигруппу, алкинилоксигруппу, аралкилоксигруппу, ацил, алкиламиногруппу, алкилтиогруппу, ациламиногруппу, алкоксикарбонил, алкоксикарбониламиногруппу, ацилоксигруппу, алкилкарбамоил, нитрогруппу, галоген, аминогруппу, гидроксигруппу или карбоксигруппу; и R2, R3, R4 и R5 каждый независимо друг от друга обозначает Н, С1-С4алкил или ацил, или его фармацевтически приемлемая соль; – соединения, описанные в ЕР 1002792 А1, например соединение формулы II в которой m обозначает 1-9 и R’2, R’3, R’4 и R’5 каждый независимо друг от друга обозначает Н, алкил или ацил, или его фармацевтически приемлемая соль; – соединения, описанные в ЕР 0778263 А1, например соединение формулы III
в которой W обозначает Н; C1-С6алкил, С2-С6алкенил или С2-С6алкинил; незамещенный или замещенный ОН-группой фенил; R”4O(CH2)n; или С1-С6алкил, замещенный 1-3 заместителями, выбранными из ряда, включающего галоген, С3-С8циклоалкил, фенил и фенил, замещенный ОН; Х обозначает Н или незамещенный или замещенный алкил с прямой цепью, несущий р атомов углерода, или незамещенную или замещенную алкоксигруппу с прямой цепью, несущую (р-1) атомов углерода, например замещенную 1-3 заместителями, выбранными из ряда, включающего C1-С6алкил, ОН, C1-С6алкоксигруппу, ацилоксигруппу, аминогруппу, C1-С6алкиламиногруппу, ациламиногруппу, оксогруппу, галоC1-С6алкил, галоген, незамещенный фенил и фенил, замещенный 1-3 заместителями, выбранными из ряда, включающего C1-С6алкил, ОН, C1-С6алкоксигруппу, ацил, ацилоксигруппу, аминогруппу, C1-С6алкиламиногруппу, ациламиногруппу, галоС1-С6алкил и галоген; Y обозначает Н, C1-С6алкил, ОН, С1-С6алкоксигруппу, ацил, ацилоксигруппу, аминогруппу, C1-С6алкиламиногруппу, ациламиногруппу, галоС1-С6алкил или галоген; Z2 обозначат простую связь или алкилен с прямой цепью, несущий q атомов углерода, где р и q каждый независимо друг от друга обозначает целое число от 1 до 20 при условии, что 6 или его фармацевтически приемлемая соль; – соединения, описанные в WO 02/18395, например соединение формулы IVa или IVb в котором Ха обозначает О, S, NRis или группу -(СН2)na-, где группа является незамещенной или замещена 1-4 атомами галогена; nа обозначает 1 или 2, R1s обозначает Н или С1-С4алкил, где алкил является незамещенным или замещен галогеном; R1a обозначает Н, ОН, С1-С4алкил или O(С1-С4)алкил, где алкил является незамещенным или замещен 1-3 атомами галогена; R1b обозначает Н, ОН или (С1-С4)алкил, где алкил является незамещенным или замещен галогеном; R2a каждый независимо друг от друга выбран из Н или С1-С4алкила, где алкил является незамещенным или замещен галогеном; R3a обозначает Н, ОН, галоген или O(С1-С4)алкил, где алкил является незамещенным или замещен галогеном; и R3b обозначает Н, ОН, галоген, С1-С4алкил, где алкил является незамещенным или замещен гидроксигруппой, или O(С1-С4)алкил, где алкил является незамещенным или замещен галогеном; Ya обозначает -CH2-, -C(O)-, -СН(ОН)-, -C(=NOH)-, О или S, и R4a обозначает С4-С14алкил или С4-С14алкенил; или его фармацевтически приемлемая соль или гидрат; – соединения, описанные в WO 02/076995, например соединение формулы V в которой mc обозначает 1, 2 или 3; Ха обозначает О или прямую связь; R1c обозначает Н, C1-С6алкил, необязательно замещенный ОН, ацилом, галогеном, С3-С10циклоалкилом, фенилом или гидроксифениленом; С3-С6алкенил; С2-С6алкинил; или фенил, необязательно замещенный ОН; R2c обозначает
в которой R5c обозначает Н, С1-С4алкил, необязательно замещенный 1, 2 или 3 атомами галогена, и R6c обозначает Н или С1-С4алкил, необязательно замещенный галогеном; R3c и R4c каждый независимо друг от друга обозначает Н, С1-С4алкил, необязательно замещенный галогеном, или ацил, и Rc обозначает С13-С20алкил, который необязательно может нести в цепи атом кислорода и который необязательно может быть замещен нитрогруппой, галогеном, аминогруппой, гидроксигруппой или карбоксигруппой; или группу формулы (а)
в которой R7c обозначает Н, C1-C4алкил или С1-С4алкоксигруппу, и R8c обозначает замещенный C1-С20алканоил, фенилС1-С14алкил, где С1-С14алкил необязательно замещен галогеном или ОН, циклоалкилС1-С14алкоксигруппу или фенилС1-С14алкоксигруппу, где циклоалкильное или фенильное кольцо необязательно замещено галогеном, С1-С4алкилом и/или С1-С4алкоксигруппой, фенилС1-С14алкоксиС1-С14алкил, феноксиС1-С14алкоксигруппу или феноксиС1-С14алкил, Rc обозначает также группу формулы (а), в котором R8c обозначает C1-С14алкоксигруппу, когда R1c обозначает С1-С4алкил, С2-С6алкенил или C2-С6алкинил, или соединение формулы VI в которой nx обозначает 2, 3 или 4 R1x обозначает Н, C1-С6алкил, необязательно замещенный ОН, ацилом, галогеном, циклоалкилом, фенилом или гидроксифениленом; С2-С6алкенил; С2-С6алкинил; или фенил, необязательно замещенный ОН; R2x обозначает Н; С1-С4алкил или ацил R3x и R4x каждый независимо друг от друга обозначает Н, С1-С4алкил, необязательно замещенный галогеном или ацилом, R5x обозначает Н, С1-С4алкил или С1-С4алкоксигруппу, и R6x обозначает С1-С20алканоил, замещенный циклоалкилом; циклоалкилС1-С14алкоксигруппу, где циклоалкильное кольцо необязательно замещено галогеном, С1-С4алкилом и/или С1-С4алкоксигруппой; фенилС1-С14алкоксигруппу, где фенильное кольцо необязательно замещено галогеном, С1-С4алкилом и/или С1-С4алкоксигруппой, R6x может обозначать также С4-С14алкоксигруппу, когда R1x обозначает С2-С4алкил, замещенный ОН, или пентилоксигруппу или гексилоксигруппу, когда R1x обозначает С1-С4алкил, при условии, что R6x не обозначает фенилбутиленоксигруппу, когда либо R5x обозначает Н, либо R1x обозначает метил, или его фармацевтически приемлемая соль. – соединения, описанные в WO 02/06268 A1, например соединение формулы VII в которой R1d и R2d каждый независимо друг от друга обозначает Н или аминозащитную группу; R3d обозначает водород, гидроксизащитную группу или группу формулы
R4d обозначает (низш.)алкил; nd обозначает целое число от 1 до 6; Xd обозначает этилен, винилен, этинилен, группу формулы -D-CH2– (в которой D обозначает карбонил, -СН(ОН)-, О, S или N), арил или арил, имеющий вплоть до трех заместителей, выбранных из указанной ниже группы а; Yd обозначает простую связь, C1-С10алкилен, C1-С10алкилен, имеющий вплоть до трех заместителей, выбранных из групп а и б, C1-С10алкилен, несущий О или S в середине или на конце углеродной цепи, или C1-С10алкилен, несущий О или S в середине или на конце углеродной цепи, который имеет вплоть до трех заместителей, выбранных из групп а и б; R5d обозначает водород, циклоалкил, арил, гетероцикл, циклоалкил, имеющий вплоть до трех заместителей, выбранных из групп а и б, арил, имеющий вплоть до трех заместителей, выбранных из групп а и б, или гетероцикл, имеющий вплоть до трех заместителей, выбранных из групп а и б; R6d и R7d каждый независимо друг от друга обозначает Н или заместитель, выбранный из группы а; R6d и R9d каждый независимо друг от друга обозначает Н или C1-C4алкил, необязательно замещенный галогеном; «группа а» включает галоген, (низш.)алкил, галоген(низш.)алкил, (низш.)алкоксигруппу, (низш.)алкилтиогруппу, карбоксил, (низш.)алкоксикарбонил, гидроксигруппу, алифатический (низш.)ацил, аминогруппу, моно(низш.)алкиламиногруппу, ди(низш.)алкиламиногруппу, алифатическую (низш.)ациламиногруппу, цианогруппу или нитрогруппу; и «группа б» включает циклоалкил, арил, гетероцикл, каждый из которых необязательно имеет вплоть до трех заместителей, выбранных из группы а; при условии, что когда R5d обозначает водород, Yd не обозначает простую связь и линейный C1-С10алкилен, или его фармакологически приемлемая соль или сложный эфир; – соединения, описанные в JP-14316985 (JP 2002316985), например соединение формулы VIII в котором R1e, R2e, R3e, R4e, R5e, R6e, R7e, ne, Хе И Ye имеют значения, указанные в JP-14316985; или его фармакологически приемлемая соль или сложный эфир; – соединения, описанные в WO 03/29184 и WO 03/29205, например соединение формулы IX в которой Xf обозначает О или S и R1f, R2f, R3f и nf имеют значения, указанные в WO 03/29184 и WO 03/29205, R4f и R5f каждый независимо друг от друга обозначает Н или группу формулы
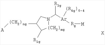
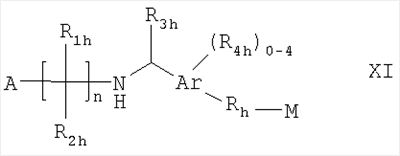
в которой R8f и R9f каждый независимо друг от друга обозначает Н или C1-С4алкил, необязательно замещенный галогеном; например 2-амино-2-[4-(3-бензилоксифенокси)-2-хлорфенил]пропил-1,3-пропандиол или 2-амино-2-[4-(бензилоксифенилтио)-2-хлорфенил]пропил-1,3-пропандиол, или его фармакологическая соль. – соединения, описанные в WO 03/062252 А1, например соединение формулы Х в которой Ar обозначает фенил или нафтил; mg и ng каждый независимо друг от друга обозначают 0 или 1; А выбран из СООН, РО3Н2, РО2Н, SO3Н, РО(С1-С3алкил)ОН и 1H-тетразол-5-ила; R1g и R2g каждый независимо друг от друга обозначает Н, галоген, ОН, СООН или С1-С4алкил, необязательно замещенный галогеном; R3g обозначает Н или С1-С4алкил, необязательно замещенный галогеном или ОН; R4g каждый независимо друг от друга обозначает галоген или необязательно замещенные галогеном С1-С4алкил или C1-С3алкоксигруппу; и Rg и М имеют одно из значений, указанных для В и С соответственно в WO 03/062252 A1; – соединения, описанные в WO 03/062248 A2, например соединение формулы XI в которой Ar обозначает фенил или нафтил; n обозначает 2, 3 или 4; А обозначает СООН, 1H-тетразол-5-ил, РО3Н2, PO2Н2, -SO3Н или PO(R5h)OH, где R5h выбран из C1-С4алкила, гидроксиС1-С4алкила, фенила, -СО-С1-С3алкоксигруппы и -СН(ОН)фенила, где фенил или фенильная группа необязательно являются замещенными; R1h и R2h каждый независимо друг от друга обозначает Н, галоген, ОН, СООН или необязательно замещенный галогеном C1-С6алкил или фенил; R3h обозначает Н или С1-С4алкил, необязательно замещенный галогеном и/или ОН; R4h каждый независимо друг от друга обозначает галоген, ОН, СООН, С1-С4алкил, S(O)(С1-С3)0,2 или 3алкил, C1-С3алкоксигруппу, С3-С6циклоалкоксигруппу, арил или аралкоксигруппу, где арильные группы необязательно могут быть замещены 1-3 атомами галогена; и Rg и М каждый имеют одно из значений, указанных для В и С соответственно в WO 03/062248 A2. Согласно следующему варианту осуществления изобретения агонист рецептора S1P, который применяют в комбинации, предлагаемой в настоящем изобретении, может представлять собой также соединение, обладающее избирательным действием в отношении рецептора S1P1, например соединение, действие которого в отношении рецептора S1P1 превосходит его действие в отношении рецептора S1P3 по меньшей мере в 20 раз, например в 100, 500, 1000 или 2000 раз, что оценивали на основе соотношения значения ЕС50 для рецептора S1P1 и значения ЕС50 для рецептора S1P3, полученных с помощью анализа связывания 358-ГТФ или В каждом случае, когда даны ссылки на заявки на патент, подразумевается, что тем самым их сущность, касающаяся соединений, включена в настоящее описание в качестве ссылки. Ацил может представлять собой группу Ry-CO-, в которой Ry обозначает C1-С6алкил, С3-С6циклоалкил, фенил или фенилС1-С4алкил. Если не указано иное, алкил, алкоксигруппа, алкенил или алкинил могут иметь прямую или разветвленную цепь. Когда в соединениях формулы I углеродная цепь, представляющая собой R1, является замещенной, то предпочтительно она замещена галогеном, нитрогруппой, аминогруппой, гидроксигруппой или карбоксигруппой. Когда углеродная цепь несет необязательно замещенный фенилен, то углеродная цепь предпочтительно является незамещенной. Когда фениленовая группа является замещенной, то предпочтительно она замещена галогеном, нитрогруппой, аминогруппой, метоксигруппой, гидроксигруппой или карбоксигруппой. Предпочтительными соединениями формулы I являются соединения, в которых R1 обозначает С13-С20алкил, необязательно замещенный нитрогруппой, галогеном, аминогруппой, гидроксигруппой или карбоксигруппой, и более предпочтительно соединения, в которых R1 обозначает фенилалкил, замещенный С6-С14алкильной цепью, необязательно замещенной галогеном, и алкильная группа обозначает C1-С6алкил, необязательно замещенный гидроксигруппой. Более предпочтительно R1 обозначает фенилС1-С6алкил, замещенный на фенильной группе прямой или разветвленной, предпочтительно прямой С6-С14алкильной цепью. С6-С14алкильная цепь может находиться в орто-, мета- или пара-положении, предпочтительно в пара-положении. Предпочтительно R2-R5 каждый обозначают Н. Предпочтительным соединением формулы I является 2-амино-2-тетрадецил-1,3-пропандиол. Наиболее предпочтительным агонистом рецептора S1P формулы I является FTY720, т.е. 2-амино-2-[2-(4-октилфенил)этил]пропан-1,3-диол в свободной форме или в форме фармацевтически приемлемой соли (ниже в настоящем описании обозначен как соединение А), например в форме гидрохлорида приведенной ниже формулы Предпочтительным соединением формулы II является соединение, в котором R’2-R’5 каждый обозначают Н и m обозначает 4, т.е. 2-амино-2-{2-[4-(1-оксо-5-фенилпентил)фенил]этил}пропан-1,3-диол, в свободной форме или в форме его фармацевтически приемлемой соли (ниже в настоящем описании обозначено как соединение Б), например в форме гидрохлорида. Предпочтительным соединением формулы III является соединение, в котором W обозначает СН3, R”1-R”3 каждый обозначают Н, Z2 обозначает этилен, Х обозначает гептилоксигруппу и Y обозначает Н, т.е. 2-амино-4-(4-гептилоксифенил)-2-метилбутанол, в свободной форме или в форме его фармацевтически приемлемой соли (ниже в настоящем описании обозначено как соединение В), например в форме гидрохлорида. Наиболее предпочтительным является R-энантиомер. Предпочтительным соединением формулы IVa является PTY720-фосфат (R2a обозначает Н, R3а обозначает ОН, Ха обозначает О, R1a и R1b обозначают ОН). Предпочтительным соединением формулы IVб является фосфат соединения В (R2a обозначает Н, R3b обозначает ОН, Ха обозначает О, R1a и R1b обозначают ОН, Ya обозначает О и R4a обозначает гептил). Предпочтительным соединением формулы V является фосфат соединения Б. Предпочтительным соединением формулы V является моно[(R)-2-амино-2-метил-4-(4-пентилоксифенил)бутиловый]эфир фосфорной кислоты. Предпочтительным соединением формулы VIII является (2R)-2-амино-4-[3-(4-циклогексилоксибутил)бензо[b]тиен-6-ил]-2-метилбутан-1-ол. Когда соединения формул I-XIII имеют один или несколько асимметричных центров в молекуле, то под объем изобретения подпадают различные оптические изомеры, а также рацематы, диастереоизомеры и их смеси. Примеры фармацевтически приемлемых солей соединений формул I-XIII включают соли с неорганическими кислотами, такие как гидрохлорид, гидробромид и сульфат, соли с органическими кислотами, такие как ацетат, фумарат, малеат, бензоат, цитрат, малат, метансульфонат и бензолсульфонат, или при необходимости соли с металлами, такими как натрий, калий, кальций и алюминий, соли с аминами, такими как триэтиламин, и соли с двухосновными аминокислотами, такими как лизин. Под объем соединений и солей, предлагаемых в настоящем изобретении, подпадают формы в виде гидратов и сольватов. Связывание с рецепторами S1P можно оценивать с помощью следующих методов анализа. А. Аффинность к связыванию агонистов рецептора S1P с индивидуальными человеческими рецепторами S1P. Кратковременная трансфекция человеческими рецепторами S1P клеток линии НЕК293 Клонировали рецепторы S1P и протеины G1, смешивали равные количества четырех кДНК, кодирующих рецептор EDG, Gi– Анализ связывания ГТФ Эксперименты по оценке связывания ГТФ 0,1 нМ [35S] ГТФ Композиция, предлагаемая в изобретении, предпочтительно содержит от 0,01 до 20 мас.% агонистов рецептора S1P, более предпочтительно от 0,1 до 10 мас.%, например от 0,5 до 5 мас.% в пересчете на массу всей композиции. Сахарный спирт может действовать в качестве разбавителя, носителя, наполнителя или агента для увеличения объема и в качестве него удобно применять маннит, мальтит, инозит, ксилит или лактит, предпочтительно практически негигроскопический сахарный спирт, например маннит (D-маннит). Можно применять сахарный спирт индивидуально или использовать смесь двух или большего количества сахарных спиртов, например смесь маннита и ксилита, например в соотношении от 1:1 до 4:1. В наиболее предпочтительном варианте осуществления изобретения сахарный спирт приготавливают из высушенной распылением композиции, например композиции маннита, которая обладает большой удельной площадью поверхности. Применение композиции маннита такого типа может способствовать обеспечению однородного распределения агониста рецептора S1P в манните в композиции. Большую площадь поверхности можно получать путем создания препарата сахарного спирта, например маннита, состоящего из частиц, которые имеют меньший средний размер и/или более шероховатую поверхность каждой частицы. Было установлено также, что применение высушенного распылением сахарного спирта, например маннита, со средним размером частиц 300 мкм или менее позволяет улучшать сжимаемость и твердость таблеток, изготовленных из композиции. Предпочтительно удельная площадь поверхности одной частицы препарата сахарного спирта, например маннита, составляет от 1 до 7, например от 2 до 6 или от 3 до 5 м2/г. Пригодный препарат маннита может иметь средний размер частиц от 100 до 300, например от 150 до 250 мкм, и насыпную плотность от 0,4 до 0,6, например от 0,45 до 0,55 г/мл. Пригодным маннитом с большой площадью поверхности является Parteck M200, поступающий в продажу от фирмы E.Merck. Композиция предпочтительно содержит от 75 до 99,99 мас.% сахарного спирта, более предпочтительно от 85 до 99,9, например от 90 до 99,5 мас.% в пересчете на массу всей композиции. Композиция предпочтительно содержит также замасливатель. Пригодными замасливателями являются стеариновая кислота, стеарат магния, стеарат кальция, стеарат цинка, глицерилпальмитостеарат, натрийстеарилфумарат, масло канолы, гидрогенизированное растительное масло, такое как гидрогенизированное касторовое масло (например, Cutina® или Lubriwax® 101), минеральное масло, натрийлаурилсульфат, оксид магния, коллоидный диоксид кремния, кремнийорганическая жидкость, полиэтиленгликоль, поливиниловый спирт, бензоат натрия, тальк, полоксамер или смесь любых из указанных выше веществ. Предпочтительно замасливатель представляет собой стеарат магния, гидрогенизированное касторовое масло или минеральное масло. Менее предпочтительными в качестве замасливателя являются коллоидный диоксид кремния и полиэтиленгликоль. Композиция предпочтительно содержит от 0,01 до 5 мас.% замасливателя, более предпочтительно от 1 до 3, например примерно 2 мас.% в пересчете на массу всей композиции. Композиция может содержать один или несколько других эксципиентов, таких как носители, связующие вещества или разбавители. В частности, композиция может содержать микрокристаллическую целлюлозу (например Avicel®), метилцеллюлозу, гидроксипропилцеллюлозу, гидроксипропилметилцеллюлозу, крахмал (например, кукурузный крахмал) или дикальцийфосфат, предпочтительно в количестве от 0,1 до 90, например от 1 до 30 мас.% в пересчете на массу всей композиции. Если применяют связующее вещество, например микрокристаллическую целлюлозу, метилцеллюлозу, гидроксипропилцеллюлозу, гидроксипропилметилцеллюлозу, ее предпочтительно включают в количестве от 1 до 8, например от 3 до 6 мас.% в пересчете на массу всей композиции. Применение связующего вещества повышает прочность гранул препарата, что очень важно для тонких гранулятов. Микрокристаллическую целлюлозу и метилцеллюлозу наиболее предпочтительно применяют в том случае, когда требуется высокая твердость таблеток и/или более длительное время дезинтеграции. Гидроксипропилцеллюлозу предпочтительно применяют в том случае, когда требуется более быстрая дезинтеграция. При необходимости можно добавлять также ксилит в качестве дополнительного связующего вещества, например в дополнение к микрокристаллической целлюлозе, например в количестве вплоть до 20 мас.% в пересчете на сахарный спирт, например ксилит. В одном из вариантов осуществления изобретения композиция дополнительно содержит стабилизатор, предпочтительно глицин-HCl или бикарбонат натрия. Стабилизатор может присутствовать в количестве, например от 0,1 до 30, предпочтительно от 1 до 20 мас.%. Композиция может находиться в форме порошка, гранулы или пеллетов или в форме стандартной дозы, например в виде таблетки или капсулы. Композиции, предлагаемые в настоящем изобретении, хорошо приспособлены для инкапсуляции в оболочку, предназначенную для орального введения капсулы, прежде всего в твердую желатиновую оболочку. В альтернативном варианте композиции можно спрессовывать в таблетки. На таблетки необязательно можно наносить покрытие, например из талька или полисахарида (например, целлюлозы), или покрытие из гидроксипропилметилцеллюлозы. Если фармацевтическая капсула представляет собой стандартную дозу, то удобно, чтобы каждая стандартная доза содержала от 0,5 до 10 мг агониста рецептора S1P. Композиции, предлагаемые в изобретении, могут иметь хорошие характеристики стабильности, что продемонстрировано в стандартных опытах по оценке стабильности, например они сохраняют стабильность при хранении в течение периода времени вплоть до одного, двух или трех лет и даже дольше. Характеристики стабильности можно определять, например, путем оценки продуктов разложения с помощью ЖХВР-анализа после хранения в течение конкретных периодов времени при конкретных температурах, например при 20, 40 или 60°С. Фармацевтические композиции, предлагаемые в настоящем изобретении, можно получать стандартными методами, например с использованием общепринятых методов смешения, грануляции, нанесения сахарного покрытия, растворения или лиофилизации. Процедуры, которые можно использовать для этого, являются известными в данной области техники, например они описаны у L.Lachman и др., The Theory and Practice of Industrial Pharmacy, 3-е изд., 1986, H.Sucker и др., Pharmazeutische Technology, изд-во Thieme, 1991, Hagers Handbuch der pharmazeutischen Praxis, 4-е изд., изд-во Springer, 1971 и Remington’s Pharmaceutical Sciences, 13-е изд., изд-во Mack Publ. Co., 1970 или в более поздних изданиях. Одним из объектов настоящего изобретения является способ получения фармацевтической композиции, который заключается в том, что (а) смешивают агонист рецептора S1P с сахарным спиртом; (б) размалывают и/или гранулируют смесь, полученную на стадии (а); и (в) смешивают размолотую и/или гранулированную смесь, полученную на стадии (б), с замасливателем. С использованием этого способа получают препараты, имеющие высокий уровень содержания и однородности смеси (т.е. практически однородное распределение агониста рецептора S1P в композиции), требуемое время растворения и стабильность. Перед осуществлением стадии (а) агонист рецептора S1P, т.е. гидрохлорид 2-амино-2-[2-(4-октилфенил)этил]пропан-1,3-диола, необязательно можно тонко измельчать и/или предварительно просеивать через сито с размером ячеек от 400 до 500 мкм для удаления комков. Стадию смешения (а) можно осуществлять путем смешения агониста рецептора S1P и сахарного спирта, например маннита, в любом пригодном смесителе или миксере в течение, например, 100-400 оборотов. Способ можно осуществлять путем сухого смешения компонентов. В этом варианте осуществления изобретения на стадии смешения (б) можно пропускать полученную на стадии (а) смесь через сито, предпочтительно имеющее размер отверстий от 400 до 500 мкм. На стадии (а) способа можно осуществлять стадию смешения всего количества агониста рецептора S1P сначала с небольшим количеством сахарного спирта, составляющего, например, от 5 до 25 мас.% от общей массы сахарного спирта, для приготовления премикса. Затем к премиксу добавляют остальную часть сахарного спирта. Стадия (а) может включать также стадию добавления к смеси раствора связующего вещества, например метилцеллюлозы и/или ксилита, например в виде водного раствора. В альтернативном варианте связующее вещество добавляют к смеси в сухом виде и на стадии грануляции добавляют воду. Размолотую смесь, полученную на стадии (б), необязательно можно еще раз перемешивать перед смешением с замасливателем. Перед смешением замасливатель, например стеарат магния, предпочтительно просеивают, например, через сито с размером отверстий от 800 до 900 мкм. В альтернативном варианте применяют метод мокрой грануляции. В этом варианте осуществления изобретения агонист рецептора S1P предпочтительно сначала смешивают в сухом состоянии с требуемым сахарным спиртом, например маннитом, и затем полученную смесь сахарный спирт/агонист рецептора S1P смешивают в сухом состоянии со связующим веществом, таким как гидроксипропилцеллюлоза или гидроксипропилметилцеллюлоза. Затем добавляют воду и смесь гранулируют, например с использованием автоматического гранулятора. Затем гранулят сушат и размалывают. При необходимости на стадии (в) к смеси, полученной на стадии (б), можно добавлять дополнительное количество связующего вещества. Способ может включать дополнительную стадию таблетирования или капсулирования смеси, полученной на стадии (в), например, в твердую желатиновую капсулу с использованием автоматического капсулирующего устройства. Капсулы можно окрашивать или маркировать для придания индивидуального внешнего вида и для быстрого распознавания. Применение красителей может служить как для улучшения внешнего вида, так и для идентификации капсул. Красители, пригодные для применения в фармацевтике, как правило включают каротиноиды, оксиды железа и хлорофилл. Предпочтительно капсулы, предлагаемые в изобретении, маркируют с использованием кода. Фармацевтические композиции, предлагаемые в настоящем изобретении, можно применять либо индивидуально, либо в сочетании с другими действующими веществами для лечения и предупреждения состояний, например описанных в US 5604229, WO 97/24112, WO 01/01978, US 6004565, US 6274629 и JP-14316985, содержание которых включено в настоящее описание в качестве ссылки. Фармацевтические композиции можно применять прежде всего для а) лечения и предупреждения отторжения трансплантата органа или ткани, например, для лечения реципиентов трансплантатов сердца, легкого, комбинированных трансплантатов сердце-легкое, печени, почек, поджелудочной железы, кожи или роговицы, и для предупреждения реакции трансплантат против хозяина, которая иногда возникает после трансплантации костного мозга; прежде всего для лечения острого или хронического отторжения алло- и ксенотрансплантата или при трансплантации инсулинпродуцирующих клеток, например островковых клеток поджелудочной железы; б) лечения и предупреждения аутоиммунного заболевания или воспалительных состояний, например рассеянного склероза, артрита (например, ревматоидного артрита), воспалительного заболевания кишечника, гепатита и т.д. в) лечения и предупреждения вирусного миокардита и вирусных заболеваний, связанных с вирусным миокардитом, включая гепатит и СПИД. Следовательно, следующими объектами настоящего изобретения являются следующие 1. Указанная выше композиция, предназначенная для лечения или предупреждения указанного выше заболевания или состояния. 2. Способ лечения индивидуума, нуждающегося в иммуномодуляции, заключающийся в том, что индивидууму вводят эффективное количество указанной выше композиции. 3. Способ лечения или предупреждения указанного выше заболевания или состояния, заключающийся в том, что индивидууму вводят указанную выше композицию. 4. Применение указанной выше фармацевтической композиции для приготовления лекарственного средства, предназначенного для предупреждения или лечения указанного выше заболевания или состояния. Ниже изобретение описано со ссылкой на следующие конкретные варианты осуществления изобретения. Пример 1 Просеивают через сито тонкоизмельченное соединение А, например гидрохлорид 2-амино-2-[2-(4-октилфенил)этил]пропан-1,3-диола (FTY720) и 116,7 г просеянного соединения смешивают с 9683,3 г маннита (Parteck M200, фирма Е.Merck). Затем смесь размалывают в устройстве типа Frewitt MGI (фирма Key International Inc. USA) с использованием сита с номером 30 меш. Стеарат магния просеивают через сито с номером 20 меш. и 200 г просеянного соединения смешивают со смесью FTY720/маннит, получая композицию продукта. Затем композицию продукта спрессовывают с помощью таблеточного пресса с использованием пуансона размером 7 мм с получением таблеток массой по 120 мг, каждая из которых содержит:
Пример 2 В следующем примере повторяют процесс, описанный в примере 1, за исключением того, что вместо стеарата магния используют Cutina® (гидрогенизированное касторовое масло). Пример 3 Соединение А, например FTY720, и маннит (Parteck M200, фирма Е. Merck) каждое по отдельности просеивают через сито с номером 18 меш. 1,9 г просеянного FTY720 смешивают с 40 г просеянного маннита в смесителе при 32 об/мин в течение 120 оборотов. Затем смесь PTY720/маннит просеивают через сито с номером 35 меш. Просеянную смесь FTY720/маннит вносят в гранулятор вместе с еще 340,1 г маннита и 12 г гидроксипропилцеллюлозы. Смесь перемешивают в течение 3 мин. Затем добавляют воду со скоростью 100 мл/мин и смесь гранулируют в течение 2 мин. Гранулят переносят в лотковую сушилку и сушат при 50°С в течение 150 мин. Затем смесь размалывают в устройстве типа Frewitt MGI с использованием сита с размером 35 меш. Просеивают стеарат магния и 6 г просеянного соединения смешивают в течение 90 оборотов при 32 об/мин со смесью FTY720/маннит с получением композиции продукта, имеющей практически однородное распределение агониста рецептора S1P в манните в смеси. Затем композицией продукта заполняют с помощью капсулирующего устройства типа Hoflinger & Karg 400 твердые желатиновые оболочки размера 3. В каждую капсулу вносят по 120 мг композиции продукта. Таким образом, каждая капсула содержит:
Пример 4 В следующем примере повторяют процесс, описанный в примере 3, за исключением того, что вместо стеарата магния используют Cutina® (гидрогенизированное касторовое масло). Пример 5 В следующем примере повторяют процесс, описанный в примере 3, за исключением того, что вместо гидроксипропилцеллюлозы используют гидроксипропилметилцеллюлозу. Пример 6а Тонкоизмельченное соединение А, например FTY720, просеивают с использованием сита с размером ячеек 400 мкм (40 меш.). 58,35 г просеянного соединения смешивают с 4841,65 г маннита (Parteck M200, фирма Е.Merck) в бункерном смесителе типа Bohle объемом 25 л в течение 240 оборотов. Затем смесь размалывают в устройстве типа Frewitt MGI с использованием сита с размером отверстий 400 мкм и размолотую смесь перемешивают еще один раз. Просеивают стеарат магния и 100 г просеянного продукта смешивают со смесью PTY720/маннит с получением композиции продукта, имеющей практически однородное распределение агониста рецептора S1P в манните в смеси. Затем композицией продукта заполняют с помощью капсулирующего устройства типа Hoflinger & Karg 400 твердые желатиновые оболочки размера 3. В каждую капсулу вносят по 120 мг композиции продукта. Таким образом, каждая капсула содержит:
Пример 6б В альтернативном варианте осуществления изобретения капсулы изготавливают с использованием компонентов и их количеств, указанных в примере 6а, но сначала FTY720 смешивают с 14 мг маннита (до просеивания). Затем смесь просеивают как описано выше. После этого просеянную смесь смешивают с оставшейся частью маннита и добавляют стеарат магния, после чего осуществляют дополнительное смешение и заполнение капсул. Примеры 7 и 8 В следующих примерах капсулы получают согласно методу, описанному в примере 6, за исключением того, что каждая капсула содержит следующие количества каждого компонента:
Примеры 9-11 В следующих примерах капсулы получают согласно методу, описанному в примерах 6-8, за исключением того, что в каждом случае стеарат магния заменяют на Cutina® (гидрогенизированное касторовое масло). Примеры 12-22 В следующих примерах капсулы или таблетки получают согласно методу, описанному в примерах 1-11, за исключением того, что в каждом случае вместо FTY720 используют гидрохлорид 2-амино-2-{2-[4-(1-оксо-5-фенилпентил)фенил]этил} пропан-1,3-диола. Примеры 23 и 24 Капсулы, содержащие следующие ингредиенты, получают путем взвешивания каждого компонента и смешения в ступке, после чего смесью заполняют капсулы:
Примеры 25-27 Получают фармацевтические композиции, содержащие следующие ингредиенты:
FTY720 и часть D-маннита, масса которой равна двум массам FTY720, смешивают в смесителе типа Microspeed Mixer MS-5 (фирма Palmer, США) в течение 2 мин при 1200 об/мин. К смеси добавляют оставшуюся часть D-маннита и смешивают в течение еще 2 мин. Из бункера добавляют 80 или 60 мл 5%-ного раствора метилцеллюлозы SM-25 и гранулируют в тех же самых условиях. Смесь экструдируют через сито с размером отверстий 0,4 мм с использованием экструдера типа RG-5. Экструдированный продукт сушат при 65°С в грануляторе с псевдоожиженным слоем типа STREA I (фирма Patheon, Канада) и затем просеивают через сито с номером 24 меш. Удаляют мелкие частицы, прошедшие через сито с номером 60 меш. Полученными мелкими гранулами заполняют капсулы с помощью машины для заполнения капсул типа Zuma (100 мг на капсулу). Примеры 28-31 Получают таблетки, содержащие следующие ингредиенты (в мг):
FTY720, D-маннит и ксилит вносят в гранулятор с псевдоожиженным слоем (модель МР-01, фирма Powrex), смешивают в течение 5 мин и гранулируют в распыляемом растворе связующего вещества, после чего сушат до тех пор, пока температура на выходе не достигнет 40°С. Условия грануляции приведены ниже. Высушенный порошок пропускают через сито 24 меш., добавляют к определенному количеству наполнителя и замасливателя и смешивают в смесителе (Tubular Mixer, фирма WAB) в течение трех минут с получением порошка, предназначенного для прессования. Полученный порошок спрессовывают с помощью таблетировочной машины (типа Cleanpress correct 12 HUK, фирма Kikushui Seasakusho) с использованием пуансона размером 7 мм (внутренний диаметр) ×7,5 мм R при силе сжатия 9800 Н. Условия грануляции:
Примеры 32-39 Получают таблетки, содержащие следующие ингредиенты (в мг):
Формула изобретения
1. Твердая фармацевтическая композиция, пригодная для орального введения, которая содержит 2. Композиция по п.1, в которой агонист рецептора S1P выбран из 2-амино-2-[2-(4-октилфенил)этил]пропан-1,3-диола или его фармацевтически приемлемой соли. 3. Композиция по п.2, в которой соль представлена гидрохлоридом. 4. Композиция по одному из пп.1-3, в которой сахарный спирт представляет собой негигроскопический сахарный спирт или их смеси. 5. Композиция по п.4, в которой сахарный спирт представляет собой маннит. 6. Композиция по одному из пп.1-5, дополнительно содержащая замасливатель. 7. Композиция по п.6, в которой замасливатель представляет собой стеарат магния. 8. Композиция по одному из пп.1-7, которая содержит от 0,01 до 20 мас.% агониста рецептора S1P. 9. Композиция по одному из пп.1-8, содержащая от 0,5 до 5 мас.% агониста рецептора S1P. 10. Композиция по одному из пп.1-9, которая содержит от 75 до 99,99 мас.% сахарного спирта. 11. Композиция по одному из пп.1-10, содержащая от 90 до 99,5 мас.% сахарного спирта. 12. Композиция по одному из пп.6-11, которая содержит от 0,01 до 5 мас.% замасливателя. 13. Композиция по одному из пп.6-9, содержащая от 1,5 до 2,5 мас.% замасливателя. 14. Композиция по одному из пп.1-13, в которой агонист рецептора S1P является измельченным. 15. Композиция по одному из пп.1-14, в которой агонист рецептора S1P является предварительно просеянным через сито с размерами ячеек от 400 до 500 мкм. 16. Композиция по одному из пп.1-15, находящаяся в форме таблетки или капсулы. 17. Композиция по одному из пп.1-16, предназначенная для использования при изготовлении лекарственного средства для предупреждения или лечения отторжения трансплантата органа или ткани, реакции трансплантат против хозяина, аутоиммунного заболевания, воспалительных состояний, вирусного миокардита и вирусных заболеваний, связанных с вирусным миокардитом. 18. Композиция по одному из пп.1-16, предназначенная для использования при изготовлении лекарственного средства для лечения рассеянного склероза.
|
|||||||||||||||||||||||||||||||||||||||||||||||||||||||||||||||||||||||||||||||||||||||||||||||||||||||||||||||||||||||||||||||||||||||||||||||||||||||||||

11


p+q












S, при этом значение ЕС50 указанного соединения при связывании с рецептором S1P1 составляло примерно 100нМ или менее по данным анализа связывания 358-ГТФ


, Gi–
и Gi–

