Патент на изобретение №2358609
|
||||||||||||||||||||||||||
(54) СПОСОБ ПРОИЗВОДСТВА КОНСЕРВОВ “МОРКОВЬ ГАРНИРНАЯ”
(57) Реферат:
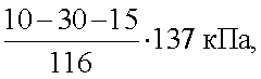
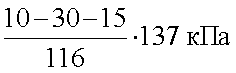
Изобретение относится к консервной промышленности. Нарезанную морковь после предварительной подготовки и расфасовки в банки заливают на 2-3 мин горячей водой с температурой не ниже 90°С. Затем воду сливают и заменяют заливкой с температурой не ниже 95°С. Закатывают и стерилизуют в автоклаве по режиму где 10 – продолжительность нагрева воды в автоклаве до 116°С, мин; 30 – продолжительность собственной стерилизации, мин; 15 – продолжительность охлаждения, мин. Изобретение позволяет уменьшить продолжительность стерилизации и снизить неравномерность тепловой обработки.
Предлагаемый способ на изобретение относится к консервной промышленности, а именно к способам консервирования консервов “Морковь гарнирная” в жестяной банке Источники, по которым был приведен поиск по данному способу, показали, что прототипом его является способ [1], сущность которого заключается в том, что подготовленные банки с продуктом после расфасовки, заливки и закатки подвергают тепловой стерилизации в автоклаве по режиму
где 20 – продолжительность нагрева воды в автоклаве до 116°С, мин; 30 – продолжительность собственной стерилизации, мин; 15 – продолжительность охлаждения, мин. Основными недостатками этого способа являются: – большая продолжительность процесса тепловой обработки продукта; – неравномерность тепловой обработки продукта в банках; – относительно большой расход тепловой энергии. Целью предлагаемого способа является сокращение продолжительности процесса тепловой обработки, снижение неравномерности тепловой обработки, повышение качества готовой продукции и экономия тепловой энергии. Поставленная цель достигается за счет того, что по предлагаемому способу подготовленную нарезанную морковь закладывают в банки и на 2-3 мин заливают горячей водой температурой не ниже 90°С с последующей заменой ее заливкой температурой не ниже 95°С и стерилизацией в автоклаве по новому режиму. Пример осуществления способа В банки закладывают нарезанную морковь, подготовленную в соответствии с технологической инструкцией включительно до процесса расфасовки. Далее по действующей технологической инструкции банки заливают заливкой температурой не ниже 90°С, закатывают и банки поступают на стерилизацию. Нами предлагается расфасованную в банки нарезанную морковь на 2-3 мин залить горячей водой температурой не ниже 90°С с последующей заменой ее заливкой температурой не ниже 95°С, далее банки закатываются и направляются на стерилизацию. После выдержки в течение 25 мин (допускаемая продолжительность выдержки закатанных банок до стерилизации) температура в центре банки составила 60°С, а при консервировании по способу действующей технологической инструкции температура продукта в центре банки составляет 45°С. Таким образом, начальная температура продукта по предлагаемому способу перед началом стерилизации составляет 60°С, т.е. на 15°С больше по сравнению со способом консервирования по действующей технологической инструкции. В центре банки температура 60°С при стерилизации по режиму действующей технологической инструкции достигается только через 8-10 мин после начала процесса тепловой стерилизации. Кроме того, при стерилизации по режиму действующей технологической инструкции температурный перепад между центральной и периферийной точками продукта в банке после 10 мин с момента начала стерилизации уже составляет 7÷8°С, который в дальнейшем еще увеличивается, достигая 12-13°С, а соответственно и величины стерилизующих эффектов для этих точек получаются разными. При стерилизации по предлагаемому способу нагрев продукта в автоклаве начинается с практически одинаковой в центре и периферии температуры, равной 60°, и при дальнейшем нагреве температурный перепад между центром и периферией достигается в пределах 9÷10°С. Существенными отличительными признаками предлагаемого способа являются предварительный подогрев моркови в банках горячей водой температурой не ниже 90°С в течение 2-3 мин с последующей заменой ее на заливку температурой не ниже 95°С и стерилизацию консервов проводят в автоклаве по новому режиму. Стерилизацию консервов “Морковь гарнирная” при консервировании по предлагаемому способу производят по режиму
Режим обеспечивает промышленную стерильность консервов. Предлагаемый способ уменьшает продолжительность процесса тепловой стерилизации консервов, обеспечивает экономию тепловой энергии за счет того, что в банки наливается заливка температурой не ниже 95°С, снижает неравномерность тепловой обработки продукта и тем самым повышает качество готового продукта. Литература 1. Сборник технологических инструкций по производству консервов, т.1, – М.: Пищевая промышленность, 1977.
Формула изобретения
Способ консервирования моркови, характеризующийся тем, что нарезанную морковь после предварительной подготовки и расфасовки в банки заливают на 2-3 мин горячей водой с температурой не ниже 90°С, после чего ее заменяют заливкой с температурой не ниже 95°С, закатывают и стерилизуют в автоклаве по режиму
|
||||||||||||||||||||||||||


13

,