|
|
(21), (22) Заявка: 2007104240/15, 05.07.2005
(24) Дата начала отсчета срока действия патента:
05.07.2005
(30) Конвенционный приоритет:
06.07.2004 US 60/585,073
(43) Дата публикации заявки: 20.08.2008
(46) Опубликовано: 20.06.2009
(56) Список документов, цитированных в отчете о поиске:
ЕР 0302701 А, 08.02.1989. WO 88/07326 А, 06.10.1988. WO 90/03112 A, 05.04.1990.
(85) Дата перевода заявки PCT на национальную фазу:
06.02.2007
(86) Заявка PCT:
EP 2005/007256 20050705
(87) Публикация PCT:
WO 2006/002984 20060112
Адрес для переписки:
101000, Москва, М.Златоустинский пер., 10, кв.15, “ЕВРОМАРКПАТ”, пат.пов. Н.В.Кузенковой
|
(72) Автор(ы):
ФИНЧ Чарлз У. (US), БИРН Томас (US), ОЛУМИ-САДЕГХИ Хассан (US)
(73) Патентообладатель(и):
БАСФ АКЦИЕНГЕЗЕЛЬШАФТ (DE)
|
(54) ЖИДКИЕ ПЕСТИЦИДНЫЕ КОМПОЗИЦИИ
(57) Реферат:
Изобретение относится к сельскому хозяйству. Жидкая пестицидная концентрированная композиция включает: а) от 1 до 60 мас.% по меньшей мере одного органического пестицидного соединения С, имеющего растворимость в воде не более 1 г/л при 25°С/1013 мбар, b) от 20 до 80 мас.% по меньшей мере одного органического растворителя S, имеющего растворимость в воде по меньшей мере 10 г/л при 25°С/1013 мбар и способного растворять пестицидное соединение С, или смесь по меньшей мере одного органического растворителя S с водой, при условии, что массовое соотношение воды к растворителю S составляет не более 1:2, с) от 10 до 80 мас.% по меньшей мере одного неионного блоксополимера Р, содержащего по меньшей мере один полиэтиленоксидный остаток ПЭО и по меньшей мере один гидрофобный остаток простого полиэфира, состоящий из повторяющихся звеньев, выбранных из С3-С10-алкиленоксидов и оксида стирола, d) необязательно от 0,1 до 10 мас.% одного или нескольких неполимерных поверхностно-активных веществ, в которой массовое соотношение неионного блоксополимера к органическому пестицидному соединению Р:С составляет от 0,6:1 до 10:1 и где компоненты а), b), с) и необязательно d) составляют по меньшей мере 95% композиции. Композицию применяют для защиты растений и неживого материала от вредителей. Изобретение позволяет повысить стабильность композиции. 3 н. и 12 з.п. ф-лы, 19 табл.
Текст описания приведен в факсимильном виде.                                                                      
Формула изобретения
1. Жидкая пестицидная концентрированная композиция, которая включает: a) от 1 до 60 мас.%, в перерасчете на общую массу композиции, по меньшей мере одного органического пестицидного соединения С, имеющего растворимость в воде не более 5 г/л при 25°С/1013 мбар, b) от 20 до 80 мас.%, в перерасчете на общую массу композиции, по меньшей мере одного органического растворителя S, имеющего растворимость в воде по меньшей мере 10 г/л при 25°С/1013 мбар и способного растворять пестицидное соединение С, c) от 10 до 80 мас.%, в перерасчете на общую массу композиции, по меньшей мере одного неионного блоксополимера Р, содержащего по меньшей мере один полиэтиленоксидный остаток ПЭО и по меньшей мере один остаток простого полиэфира ПАО, состоящий из повторяющихся звеньев производных С3-С10-алкиленоксидов и/или оксида стирола, причем неионный блоксополимер Р характеризуется показателем ГЛБ в пределах от 5 до 20, d) необязательно от 0,1 до 10 мас.% одного или нескольких неполимерных поверхностно-активных веществ, в которой массовое отношение неионного блоксополимера к органическому пестицидному соединению Р:С составляет от 0,6:1 до 10:1, и где компоненты а), b), с) и необязательно d) составляют по меньшей мере 95% композиции, при условии, что если вода содержится в композиции, то массовое отношение воды к растворителю S не превышает 1:5.
2. Композиция по п.1, в которой неионный блоксополимер имеет среднечисельную молекулярную массу MN в диапазоне от 1,000 до 100,000 дальтон.
3. Композиция по п.1, в которой ПЭО и ПАО остатки составляют по меньшей мере 80 мас.% неионного блоксополимера Р.
4. Композиция по п.1, в которой массовое отношение ПЭО остатков к ПАО остаткам в неионном блоксополимере находится в диапазоне от 1:10 до 10:1.
5. Композиция по п.1, в которой неионный блоксополимер выбран из группы полимеров имеющих следующие формулы Р1-Р5:




 где n означает 0 или 1, А, А’ – означают бивалентный органический радикал имеющий от 2 до 20 углеродных атомов, который может нести 1 или 2 гидроксигруппы и/или 1, 2, 3 или 4 остатка простого эфира и который может также нести 1 или 2 радикала формулы R2-ПЭО-ПАО- ПАО, ПАО’ – означают гидрофобные остатки простого полиэфира ПАО, как определено в п.1, ПЭО, ПЭО’ означают полиэтиленоксидные остатки, R означают С1-С20 алкил или радикал R2-ПЭО-ПАО-, R1 означают С1-С20 алкил или C1-С20 алкилфенил, R2, R3, R4 каждый независимо друг от друга означает водород, C1-C8алкил, C1-C8алкилкарбонил, или бензил, и Ra, Rb каждый независимо друг от друга означает водород, C1-C8алкил или радикал R2-ПЭО-ПАО-.
6. Композиция по п.1, которая содержит соединение С в количестве от 5 до 50 мас.%, в перерасчете на общую массу композиции.
7. Композиция по п.1, которая содержит неионный блоксополимер Р в количестве от 15 до 50 мас.%, в перерасчете на общую массу композиции.
8. Композиция по п.1, которая содержит менее чем 0,1 мас.% неполимерного поверхностно-активного вещества, в перерасчете на общую массу композиции.
9. Композиция по п.1, в которой пестицидное соединение С выбрано из фунгидидов, инсектицидов, акарицидов, нематоцидов и гербицидов.
10. Композиция по п.9, в которой пестицидное соединение С, включает по меньшей мере одно инсектицидное соединение.
11. Композиция по п.10, в которой инсектицидное соединение С выбрано из соединений формулы А
 где R11 и R12 каждый независимо друг от друга означает водород, галоген, CN, C1-C4алкил, C1-C4алкокси, C1-C4галоалкил или C1-C4галоалкокси и R13 означает C1-C4алкокси, C1-C4галоалкил или C1-C4галоалкокси.
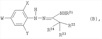
12. Композиция по п.10, в которой инсектицидное соединение С выбрано из соединений формулы В
 где W означает хлор или трифторметил; Х и Y каждый независимо друг от друга означает хлор или бром; R21 означает C1-С6-алкил, С3-С6-алкенил, С3-С6-алкинил, или С3-С6-циклоалкил, который может быть замещен 1-3 атомами галогена, или C2-C4-алкил, который замещен С1-С4-алкокси; R22 и R23 означают C1-С6-алкил или могут вместе с атомом углерода, к которому они присоединены, образовывать С3-С6-циклоалкил, который может быть незамещенным или замещен 1-3 атомами галогена; R24 означает водород или С1-С6-алкил, включая их энантиомеры и соли.
13. Композиция по п.9, где пестицидное соединение С включает по меньшей мере одно фунгицидное соединение.
14. Применение композиции по п.1, для защиты растений.
15. Применение композиции по п.1, для защиты неживого материала от поражения или заражения вредителями.
РИСУНКИ
|
|