|
|
(21), (22) Заявка: 2007131055/09, 14.08.2007
(24) Дата начала отсчета срока действия патента:
14.08.2007
(46) Опубликовано: 10.06.2009
(56) Список документов, цитированных в отчете о поиске:
RU 2258315 С1, 10.08.2005. US 5613004 А, 18.03.1997. RU 2144269 С1, 10.01.2000. RU 2212770 С2, 20.09.2003. RU 2183348 С2, 10.06.2002.
Адрес для переписки:
194064, Санкт-Петербург, Тихорецкий пр., 3, ВОЕННАЯ АКАДЕМИЯ СВЯЗИ, бюро изобретательства
|
(72) Автор(ы):
Оков Игорь Николаевич (RU), Дворников Сергей Викторович (RU)
(73) Патентообладатель(и):
ВОЕННАЯ АКАДЕМИЯ СВЯЗИ Министерство обороны РФ (RU)
|
(54) СПОСОБ ФОРМИРОВАНИЯ И ПРОВЕРКИ ЗАВЕРЕННОГО ЦИФРОВЫМ ВОДЯНЫМ ЗНАКОМ ЭЛЕКТРОННОГО ТЕКСТОВОГО СООБЩЕНИЯ
(57) Реферат:
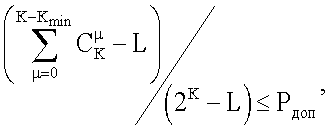
Изобретение относятся к области электросвязи и информационных технологий. Технический результат заключается в повышении защищенности электронного сообщения (ЭС). Сущность изобретения заключается в том, что предварительно формируют первую и вторую двоичные последовательности (ДП) секретного ключа и устанавливают для символов (ЭС) совокупность заменяющих символов, не меняющих его визуального восприятия. Заверяют у отправителя цифровым водяным знаком ЭС с помощью функции хэширования и последовательностей секретного ключа и передают его получателю, где проверяют подлинность принятого получателем ЭС с помощью тех же функций. Считают К очередных принятых групп ДП ЭС подлинными при достижении числа совпадений значений вычисленной из очередных принятых групп функции хэширования Kc Kmin. Минимально допустимое число Kmin подлинных групп двоичных последовательностей электронного текстового сообщения из К принятых групп определяют из условия 
где Рдоп – предварительно заданная допустимая вероятность принятия подлинными К принятых групп двоичных последовательностей электронного текстового сообщения, являющихся неподлинными, относятся к области электросвязи и информационных технологий. Технический результат заключается в повышении защищенности электронного сообщения (ЭС). Сущность изобретения заключается в том, что предварительно формируют первую и вторую двоичные последовательности (ДП) секретного ключа и устанавливают для символов (ЭС) совокупность заменяющих символов, не меняющих его визуального восприятия. Заверяют у отправителя цифровым водяным знаком ЭС с помощью функции хэшитрования и последовательностей секретного ключа и передают его получателю, где проверяют подлинность принятого получателем ЭС с помощью тех же функций. Считают К очередных принятых групп ДП ЭС подлинными при достижении числа совпадений значений вычисленной из очередных принятых групп функции хэширования Кс Кmin. Минимально допустимое число Kmin подлинных групп двоичных последовательностей электронного текстового сообщения из К принятых групп определяют из условия где Рдоп – предварительно заданная допустимая вероятность принятия подлинными К принятых групп двоичных последовательностей электронного текстового сообщения, являющихся неподлинными, Сµ К – число сочетаний из К по µ а L – число известных злоумышленнику заверенных электронных текстовых сообщений. 2 з.п. ф-лы, 9 ил.
Изобретение относятся к области электросвязи и информационных технологий, а именно к технике защиты подлинности электронных текстовых сообщений, создаваемых электронными текстовыми редакторами, такими как Word, Write, Notepad и т.п. Под подлинным электронным текстовым сообщением понимается такое буквенно-цифровое сообщение, созданное отправителем и принятое получателем, в котором отсутствуют неавторизованные изменения его содержания.
Заявленный способ может быть использован для установления подлинности электронных текстовых сообщений, передаваемых в современных информационно-телекоммуникационных системах.
Известны способы контроля подлинности электронных сообщений на основе вычисления отправителем и проверки получателем имитозащищенной вставки этого сообщения. Эти способы относятся к криптографическим способам контроля подлинности электронных сообщений и описаны, например, в государственном стандарте 28147-89. Системы обработки информации. Защита криптографическая. Алгоритм криптографического преобразования. – М.: Госстандарт СССР. 1989. В данных способах двоичную последовательность электронного сообщения разбивают у отправителя на последовательные блоки длиной n бит, где обычно n=64. По функции зашифрования с использованием заранее сформированной для отправителя и получателя двоичной последовательности секретного ключа последовательно от каждого блока с учетом предыдущего зашифрованного блока формируется зашифрованный текущий блок до тех пор, пока поступает двоичная последовательность электронного сообщения. Из последнего зашифрованного блока выделяют двоичную последовательность длиной l
Недостатками указанных аналогов является необходимость дополнительной передачи имитозащищенной вставки электронного сообщения, что приводит к дополнительному расходу пропускной способности каналов передачи или емкости запоминающих устройств, а также низкая защищенность заверенных криптографической имитовставкой электронных сообщений от воздействия случайных или преднамеренных ошибок канала передачи. При возникновении одной и более ошибок канала передачи заново сформированная имитозащищенная вставка принятого электронного сообщения будет существенно отличаться от сформированной на передающей стороне и принятое электронное сообщение будет признано получателем неподлинным, даже если в этом сообщении его смысл при воздействии ошибок не изменился.
Также известны способы формирования и проверки заверенного цифровым водяным знаком электронного сообщения. Такие способы в последние годы разрабатываются в рамках стеганографических методов защиты информации. Эти способы описаны, например, в книге: В.Г.Грибунин, И.Н.Оков, И.В.Туринцев. Цифровая стеганография. М.: Солон-Р, 2002, страница 6-17. Основная идея этих способов заключается во встраивании в заверяемое электронное сообщение специальной метки – цифрового водяного знака (ЦВЗ) с использованием секретного ключа. Данный ЦВЗ является уникальным идентификатором и факт извлечения этого ЦВЗ из принятого электронного сообщения с использованием секретного ключа позволяет получателю убедиться, что содержание заверенного данным водяным знаком сообщения не изменено и не сформировано в результате злоумышленных действий. По аналогии с водяными знаками, заверяющими подлинность денежных знаков на бумажном носителе, данные идентификаторы получили название цифровой водяной знак электронного сообщения. Цифровые водяные знаки сообщений могут быть визуально воспринимаемыми, например, изображение зарегистрированного товарного знака фирмы-производителя или изображение лица отправителя, и визуально невоспринимаемыми, например двоичная последовательность, зарегистрированная как персональный идентификационный номер (ПИН) отправителя электронных сообщений.
Встраивание в заверяемое электронное сообщение цифрового водяного знака отправителя выполняется при использовании секретного ключа, неизвестного потенциальному злоумышленнику. На этапе проверки из принятого электронного сообщения с использованием этого же секретного ключа извлекается цифровой водяной знак, который сличается с исходным цифровым водяным знаком и при их совпадении выносится решение об отсутствии искажений в принятом электронном сообщении. Злоумышленник, которому известен цифровой водяной знак, но неизвестен секретный ключ, не способен сформировать электронное сообщение, заверенное цифровым водяным знаком, которое при проверке получатель признает подлинным.
3. Они заключаются в предварительном формировании для отправителя и получателя двоичной последовательности цифрового водяного знака длиной К бита и двоичной последовательности секретного ключа длиной N>К бита. Двоичная последовательность цифрового водяного знака является одной и той же для любых заверяемых отправителем электронных сообщений. Для заверения у отправителя электронного сообщения его двоичная последовательность разбивается на блоки символов длиной N символов. В двоичном представлении символов электронного сообщения имеются неиспользуемые при обычных операциях обработки этих сообщений двоичные разряды. Для формирования заверенного цифровым водяным знаком электронного сообщения выделяют текущий блок электронного сообщения. Если i-й бит, где i=1, 2, , N, двоичной последовательности секретного ключа имеет единичное значение, то в неиспользуемый двоичный разряд i-го символа текущего блока электронного сообщения записывается значение очередного бита двоичной последовательности цифрового водяного знака. После записи последнего бита последовательности цифрового водяного знака текущий блок электронного сообщения как заверенный цифровым водяным знаком передают получателю. Выделяют следующий блок электронного сообщения и выполняют последующие за ним действия до тех пор, пока поступает двоичная последовательность электронного сообщения.
Для проверки подлинности принятого получателем электронного сообщения, начиная с первого символа, двоичная последовательность принятого электронного сообщения разбивается на принятые блоки длиной N символов. Выделяют текущий принятый блок электронного сообщения. Если i-й бит, где i=1, 2, , N, двоичной последовательности секретного ключа имеет единичное значение, то из неиспользуемого двоичного разряда i-го символа текущего принятого блока электронного сообщения считывается значение очередного бита принятой последовательности цифрового водяного знака и сравнивается со значением очередного бита последовательности цифрового водяного знака. Если при проверке подлинности все значения очередных битов принятой двоичной последовательности цифрового водяного знака совпали со значениями очередных битов двоичной последовательности цифрового водяного знака, то текущий принятый блок электронного сообщения признается получателем подлинным. Затем повторяют действия по проверке подлинности следующего принятого блока электронного сообщения и так до завершения приема всей двоичной последовательности принятого электронного сообщения. Если при проверке подлинности все принятые блоки электронного сообщения признаны подлинными, то все принятое электронное сообщение считают подлинным.
Недостатком известных способов формирования и проверки заверенного цифровым водяным знаком электронного сообщения является низкая защищенность заверенного цифровым водяным знаком сообщения от преднамеренных действий злоумышленника по изменению содержания сообщения. При преднамеренном изменении содержания заверенного цифровым водяным знаком электронного сообщения, злоумышленник может изменить любые двоичные разряды символов блоков электронного сообщения, кроме неиспользуемого двоичного разряда. Получатель измененного сообщения, выполняя описанные действия проверки, ошибочно признает принятое сообщение подлинным. Тем самым злоумышленник имеет возможность переделать заверенное цифровым водяным знаком электронное сообщение в ложное сообщение. Следовательно, известные способы не обеспечивают защищенность заверенного цифровым водяным знаком электронного сообщения к атаке подмены сообщения первого порядка.
Наиболее близким по своей технической сущности к заявленному способу формирования и проверки заверенного цифровым водяным знаком электронного текстового сообщения является способ формирования и проверки заверенного цифровым водяным знаком электронного сообщения по патенту РФ 2258315, МПК7 H04L 9/00, от 10.08.05. Способ-прототип формирования и проверки заверенного цифровым водяным знаком электронного сообщения заключается в предварительном формировании для отправителя и получателя двоичной последовательности секретного ключа и функции хэширования с двоичным выходным значением. Устанавливают минимально допустимое число Kmin подлинных групп двоичных последовательностей электронного сообщения в группе из К принятых. А также устанавливают максимально допустимое значение вероятности Рош ошибочного выделения отсчета, соответствующего первому биту двоичной последовательности цифрового водяного знака у отправителя электронного сообщения.
Для заверения у отправителя цифровым водяным знаком электронного сообщения считывают последовательно k-й, где k=1, 2, , К, бит двоичной последовательности цифрового водяного знака, двоичную последовательность очередного отсчета электронного сообщения и двоичную последовательность секретного ключа. Хэшируют двоичную последовательность очередного отсчета электронного сообщения с использованием двоичной последовательности секретного ключа по предварительно сформированной функции хэширования и сравнивают хэшированное значение с k-м битом двоичной последовательности цифрового водяного знака.
При совпадении хэшированного значения с k-м битом двоичной последовательности цифрового водяного знака передают получателю двоичную последовательность очередного отсчета электронного сообщения в качестве заверенной, а при несовпадении хэшированного значения с k-м битом двоичной последовательности цифрового водяного знака преобразуют последовательно двоичную последовательность очередного отсчета электронного сообщения путем изменения ее младших битов, для чего преобразуют двоичную последовательность очередного отсчета электронного сообщения путем последовательного изменения ее одного, двух, трех и так далее младших битов, хэшируют после каждого преобразования преобразованную двоичную последовательность очередного отсчета электронного сообщения с использованием двоичной последовательности секретного ключа по предварительно сформированной функции хэширования и сравнивают хэшированное значение с k-м битом двоичной последовательности цифрового водяного знака.
Выполняют преобразование двоичной последовательности очередного отсчета электронного сообщения до совпадения хэшированного значения преобразованной двоичной последовательности очередного отсчета электронного сообщения с k-м битом двоичной последовательности цифрового водяного знака, после чего передают получателю последнюю преобразованную двоичную последовательность очередного отсчета электронного сообщения в качестве заверенной.
После заверения двоичной последовательности очередного отсчета электронного сообщения с использованием К-го бита двоичной последовательности цифрового водяного знака повторно считывают, начиная с первого и до К-го, k-й бит двоичной последовательности цифрового водяного знака, и двоичную последовательность очередного отсчета электронного сообщения и выполняют последующие действия по заверению у отправителя цифровым водяным знаком сообщения до тех пор, пока поступают двоичные последовательности очередных отсчетов электронного сообщения.
После передачи заверенного цифровым водяным знаком электронного сообщения выделяют из принимаемых двоичных последовательностей очередных отсчетов электронного сообщения отсчет, соответствующий первому биту двоичной последовательности цифрового водяного знака у отправителя электронного сообщения, для чего хэшируют принятые получателем двоичные последовательности очередных отсчетов электронного сообщения с использованием двоичной последовательности секретного ключа по предварительно сформированной функции хэширования и сравнивают последовательно хэшированные значения с соответствующими, начиняя с первого, значениями битов двоичной последовательности цифрового водяного знака до достижения М их совпадений подряд.
При достижении М совпадений подряд принимают первый отсчет из К последовательно принятых двоичных последовательностей очередных отсчетов электронного сообщения соответствующим первому биту двоичной последовательности цифрового водяного знака у отправителя электронного сообщения.
Для проверки у получателя подлинности принятого электронного сообщения считывают последовательно К двоичных последовательностей очередных отсчетов электронного сообщения и хэшируют по предварительно сформированной функции хэширования двоичные последовательности очередных отсчетов электронного сообщения с использованием двоичной последовательности секретного ключа. Сравнивают k-е хэшированное значение с k-м битом двоичной последовательности цифрового водяного знака и вычисляют число Кс хэшированных двоичных последовательностей очередных отсчетов электронного сообщения из К принятых отсчетов, совпавших со значениями соответствующих им битов двоичной последовательности цифрового водяного знака.
При Кс Kmin считают подлинными К принятые двоичные последовательности очередных отсчетов электронного сообщения, после чего повторяют действия по проверке подлинности очередной группы из К принятых двоичных последовательностей очередных отсчетов электронного сообщения, причем действия по проверке у получателя принятого электронного сообщения повторяют до завершения приема всех двоичных последовательностей его очередных отсчетов.
Недостатком прототипа заявленного способа формирования и проверки заверенного цифровым водяным знаком электронного сообщения является низкая защищенность сообщения, заверенного цифровым водяным знаком отправителя, от преднамеренных действий злоумышленника по изменению содержания сообщения. Это обусловлено тем, что злоумышленник способен изменять содержание сообщения в виде атаки подмены большого порядка L. В этой атаке злоумышленник наблюдает большое число L электронных сообщений, заверенных с использованием одних и тех же цифрового водяного знака и двоичной последовательности секретного ключа электронных сообщений. При несекретном цифровом водяном знаке злоумышленник способен узнать большое число порядка L·К заверенных двоичных последовательностей отсчетов электронных сообщений. У него появляется возможность из этого множества заверенных двоичных последовательностей отсчетов сформировать ложное электронное сообщение, которое при описанных действиях проверки у получателя будет ошибочно принято как подлинное. Тем самым злоумышленник имеет возможность переделать электронное сообщение, заверенное цифровым водяным знаком отправителя, в ложное электронное сообщение, причем при описанных преднамеренных действиях злоумышленника ему не требуется знание двоичной последовательности секретного ключа длиной К бит. Следовательно, прототип заявленного способа не обеспечивает защищенность сообщения, заверенного цифровым водяным знаком отправителя, к атаке подмены большого порядка L электронного сообщения.
Целью изобретения заявленного технического решения является разработка способа формирования и проверки заверенного цифровым водяным знаком электронного текстового сообщения, обеспечивающего повышение защищенности сообщения, заверенного цифровым водяным знаком отправителя, от преднамеренных действий злоумышленника по изменению его содержания.
Поставленная цель достигается тем, что в известном способе формирования и проверки заверенного цифровым водяным знаком электронного сообщения, заключающемся в предварительном формировании для отправителя и получателя двоичной последовательности секретного ключа и функции хэширования с двоичным выходным значением, устанавливают минимально допустимое число Кmin подлинных групп двоичных последовательностей электронного сообщения из К принятых групп и из двоичной последовательности электронного сообщения выделяют К Кmin групп двоичных последовательностей.
Заверяют у отправителя цифровым водяным знаком электронное сообщение с помощью предварительно сформированных функций хэширования и секретного ключа и передают его получателю, где проверяют подлинность принятого получателем электронного сообщения с помощью предварительно сформированных функций хэширования и секретного ключа, дополнительно предварительно для отправителя и получателя формируют секретный ключ в виде первой и второй двоичных последовательностей и устанавливают для символов электронного текстового сообщения совокупность заменяющих символов, не меняющих визуального восприятия электронного сообщения, а в качестве электронного сообщения используют электронное текстовое сообщение. Минимально допустимое число Кmin подлинных групп двоичных последовательностей электронного текстового сообщения из К принятых групп определяют из условия
,
где Рдоп – предварительно заданная допустимая вероятность принятия подлинными К принятых групп двоичных последовательностей электронного текстового сообщения, являющихся неподлинными, – число сочетаний из К по µ, a L – число известных злоумышленнику заверенных цифровым водяным знаком электронных текстовых сообщений. Также предварительно устанавливают максимально допустимое значение вероятности Рош ошибочного выделения символа, соответствующего первой двоичной последовательности первой заверенной цифровым водяным знаком группы двоичных последовательностей, и устанавливают значение , где операция означает округление значения -log2Рош до ближайшего целого.
Для заверения у отправителя цифровым водяным знаком электронного текстового сообщения выделяют К групп двоичных последовательностей из двоичной последовательности электронного текстового сообщения с использованием первой двоичной последовательности секретного ключа. Последовательно k-ю, где k=1, 2, , К, группу двоичных последовательностей разделяют на первую и вторую части, каждую из которых хэшируют по функции хэширования и второй двоичной последовательности секретного ключа и сравнивают хэшированные значения первой и второй частей k-й группы двоичных последовательностей. При их совпадении устанавливают в качестве очередного бита цифрового водяного знака электронного текстового сообщения совпавшие хэшированные значения первой и второй части k-й группы двоичных последовательностей электронного текстового сообщения и передают получателю k-ю группу двоичных последовательностей в качестве заверенной цифровым водяным знаком.
В противном случае последовательно заменяют в k-й группе двоичных последовательностей ее символы на заменяющие из предварительно установленной совокупности заменяющих символов, после чего повторно хэшируют первую и вторую части k-й преобразованной группы двоичных последовательностей по функции хэширования и второй двоичной последовательности секретного ключа и затем сравнивают хэшированные значения первой и второй частей k-й преобразованной группы двоичных последовательностей.
Действия по замене символов, хэшированию и сравнению первой и второй частей k-ой преобразованной группы двоичных последовательностей выполняют до совпадения их хэшированных значений, после чего устанавливают в качестве очередного бита цифрового водяного знака электронного текстового сообщения совпавшие первые и вторые хэшированные значения первой и второй частей k-й преобразованной группы двоичных последовательностей и передают получателю k-ю преобразованную группу двоичных последовательностей в качестве заверенной цифровым водяным знаком.
Действия по заверению у отправителя цифровым водяным знаком электронного текстового сообщения повторяют до тех пор, пока поступает его двоичная последовательность.
После передачи заверенного цифровым водяным знаком электронного текстового сообщения из принятой получателем двоичной последовательности электронного текстового сообщения выделяют символ, соответствующий первой двоичной последовательности первой заверенной цифровым водяным знаком группы двоичных последовательностей, для чего из принятой двоичной последовательности электронного текстового сообщения, начиная с очередного символа, выделяют с использованием первой двоичной последовательности секретного ключа К принятых групп двоичных последовательностей. Затем k-ю принятую группу двоичных последовательностей разделяют на первую и вторую части, каждую из которых хэшируют по функции хэширования и второй двоичной последовательности секретного ключа и сравнивают хэшированные значения первой и второй части k-й принятой группы двоичных последовательностей.
Выделенный символ принимают в качестве символа, соответствующего первой двоичной последовательности первой заверенной цифровым водяным знаком группы двоичных последовательностей, при достижения М совпадений хэшированных значений первой и второй частей принятых групп двоичных последовательностей. В противном случае в качестве очередного принимают следующий символ принятой двоичной последовательности электронного текстового сообщения и повторяют действия по выделению из нее символа, соответствующего первой двоичной последовательности первой заверенной цифровым водяным знаком группы двоичных последовательностей.
После выделения символа, соответствующего первой двоичной последовательности первой заверенной цифровым водяным знаком группы двоичных последовательностей, проверяют у получателя подлинность принятого электронного текстового сообщения. Для этого выделяют с использованием первой двоичной последовательности секретного ключа К принятых групп двоичных последовательностей, k-ю принятую группу двоичных последовательностей разделяют на первую и вторую части, каждую из которых хэшируют по функции хэширования и второй двоичной последовательности секретного ключа и сравнивают хэшированные значения первой и второй частей k-й принятой группы двоичных последовательностей.
Считают К принятых групп двоичных последовательностей электронного текстового сообщения подлинными при достижении числа совпадений Кс Кmin, после чего повторяют действия по проверке подлинности очередных К принятых групп двоичных последовательностей до завершения приема всей двоичной последовательности электронного текстового сообщения.
Указанная новая совокупность выполняемых действий за счет непредсказуемой для злоумышленника зависимости двоичной последовательности заверенного цифровым водяным знаком электронного текстового сообщения от первой и второй двоичных последовательностей секретного ключа, а также зависимости цифрового водяного знака от двоичной последовательности электронного текстового сообщения и первой и второй двоичных последовательностей секретного ключа позволяет повысить защищенность сообщения, заверенного цифровым водяным знаком отправителя к преднамеренным действиям злоумышленника по изменению его содержания. Данная непредсказуемость при неизвестных для злоумышленника первой и второй двоичных последовательностей секретного ключа обеспечивается выделением К групп двоичных последовательностей из двоичной последовательности электронного текстового сообщения с использованием первой двоичной последовательности секретного ключа, разделением их на первую и вторую части, которые хэшируют по предварительно сформированной функции хэширования с двоичным выходным значением и второй двоичной последовательности секретного ключа. Предварительно сформированная функция хэширования с двоичным выходным значением для злоумышленника неотличима от случайной функции, то есть вероятность правильного определения ее выходного значения при неизвестной для злоумышленника второй двоичной последовательности секретного ключа равна 1/2, то есть равна вероятности случайного угадывания. Поэтому указанная новая совокупность выполняемых действий позволяет повысить защищенность электронного текстового сообщения, заверенного цифровым водяным знаком отправителя, к атаке подмены большого порядка L сообщения.
Проведенный заявителем анализ уровня техники позволил установить, что аналоги, характеризующиеся совокупностями признаков, тождественных всем признакам заявленного способа формирования и проверки заверенного цифровым водяным знаком электронного текстового сообщения, отсутствуют. Следовательно, заявленное изобретение соответствует условию патентоспособности “Новизна”.
Результаты поиска известных решений в данной и смежных областях техники с целью выявления признаков, совпадающих с отличительными от прототипов признаками заявленного изобретения, показали, что они не следуют явным образом из уровня техники. Из определенного заявителем уровня техники не выявлена известность влияния предусматриваемых существенными признаками заявленного изобретения на достижение указанного технического результата. Следовательно, заявленное изобретение соответствует условию патентоспособности “Изобретательский уровень”.
Заявленный способ поясняется чертежами, на которых показаны:
– на фиг.1 – алгоритм формирования заверенного цифровым водяным знаком электронного текстового сообщения;
– на фиг.2 – временные диаграммы формирования заверенного цифровым водяным знаком электронного текстового сообщения;
– на фиг.3 – пример представления фрагмента электронного текстового сообщения в виде двоичных последовательностей символов стандарта KOI8-R;
– на фиг.4 – типовой пример результатов хэширования первой или второй части группы двоичных последовательностей по функции хэширования и второй двоичной последовательности секретного ключа;
– на фиг.5 – алгоритм выделения из принятой получателем двоичной последовательности электронного текстового сообщения символа, соответствующего первой двоичной последовательности первой заверенной цифровым водяным знаком группы двоичных последовательностей;
– на фиг.6 – временные диаграммы выделения из принятой получателем двоичной последовательности электронного текстового сообщения символа, соответствующего первой двоичной последовательности первой заверенной цифровым водяным знаком группы двоичных последовательностей;
– на фиг.7 – алгоритм проверки подлинности принятого электронного текстового сообщения, засинхронизированного относительно заверенного цифровым водяным знаком электронного текстового сообщения;
– на фиг.8 – временные диаграммы проверки подлинности принятого электронного текстового сообщения, засинхронизированного относительно заверенного цифровым водяным знаком электронного текстового сообщения;
– на фиг.9 – графики, показывающие эффект заявляемого способа.
Реализация заявленного способа заключается в следующем.
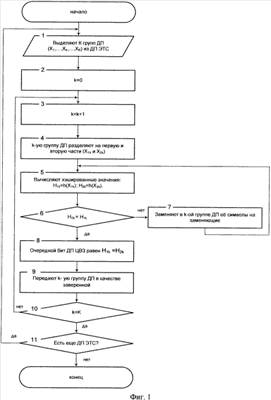
Для защиты подлинности электронных текстовых сообщений, передаваемых по современным информационно-телекоммуникационным сетям, из двоичной последовательности электронного текстового сообщения с использованием первой и второй двоичных последовательностей секретного ключа вычисляется и в заверяемое сообщение встраивается информация контроля подлинности, называемая цифровым водяным знаком сообщения. Алгоритм формирования заверенного цифровым водяным знаком электронного текстового сообщения показан на фигуре 1.
Вид первой и второй двоичных последовательностей секретного ключа показан на фигуре 2(a) и 2(б) соответственно. Единичные значения битов на фигурах показаны в виде заштрихованных импульсов, нулевые значения битов – в виде незаштрихованных импульсов. К первой и второй двоичным последовательностям секретного ключа предъявляются требование невозможности их вычисления злоумышленником, которому могут быть известны заверенные с их использованием электронные текстовые сообщения.
Вид двоичной последовательности электронного текстового сообщения показан на фигуре 2(в). Двоичная последовательность электронного текстового сообщения в соответствии с правилами ее представления в компьютерных системах разделена на последовательные двоичные последовательности, начиная с первой и до последней, каждая из которых кодирует один символ электронного текстового сообщения. Известные правила кодирования символов английского и других алфавитов, включая русский, а также цифр, знаков препинания, служебных символов и т.п., такие как ANSII, Windows-1251, KOI8-R, определены в международных стандартах RFC-2822, RFC-1489, ISO-8859-5, что описано, например, в книге М.Мамаева, С.Петренко. Технологии защиты информации в Интернете. Специальный справочник. – СПб.: Питер, 2002, с.50-51. В двоичных последовательностях символов младший бит записывают первым (слева на фигуре 2(в), старший бит записывают в последовательности последним (справа на фигуре 2(в).
Известные способы формирования и проверки заверенного цифровым водяным знаком электронного сообщения побитно встраивают предварительно сформированную двоичную последовательность цифрового водяного знака в наименьшие значащие биты двоичных последовательностей сообщения, что описано, например, в книге А.П.Романцев. Статистический метод выявления стеганографического скрытия информации в звуковых файлах: Материалы Международного форума информатизации МФИ-2000. – М.: ЗАО “Информсвязьиздат”, 2000, с.203-204.
Злоумышленник может пытаться разрушить встроенный в заверенное электронное сообщение цифровой водяной знак или сделать его необнаруживаемым известными способами проверки заверенных цифровыми водяными знаками электронных сообщений. Если злоумышленник сумел разрушить встроенный цифровой водяной знак или сделать его необнаруживаемым, то получатель принятое электронное сообщение считает неподлинным, даже если его содержание не изменилось.
Для определения номера двоичной последовательности электронного сообщения, начиная с которого при проверке цифрового водяного знака необходимо начать извлечение двоичной последовательности цифрового водяного знака, в известных способах формирования и проверки заверенного цифровым водяным знаком электронного сообщения до встраивания собственно цифрового водяного знака в электронное сообщение встраивается двоичная последовательность метки цифрового водяного знака. Если при проверке цифрового водяного знака в принятом электронном сообщении идентифицирована двоичная последовательность метки цифрового водяного знака, то однозначно определено начало встроенной в это сообщение двоичной последовательности цифрового водяного знака.
Следовательно, если при воздействии случайных ошибок передачи или преднамеренно злоумышленником будут искажены один или несколько битов двоичной последовательности заверенного электронного сообщения, в которую встроена двоичная последовательность метки цифрового водяного знака, то при проверке цифрового водяного знака метка не будет обнаружена и вследствие этого цифровой водяной знак не будет считан. Двоичная последовательность метки цифрового водяного знака обычно является общеизвестной, поэтому легко обнаруживается и искажается злоумышленником в заверенном электронном сообщении. Повышение устойчивости к преднамеренным действиям злоумышленника может быть достигнуто, если не использовать специальную двоичную последовательность метки цифрового водяного знака и определять начало встроенной в электронное сообщение двоичной последовательности цифрового водяного знака по самой двоичной последовательности цифрового водяного знака с использованием известных получателю первой и второй двоичных последовательностей секретного ключа.
Если будут искажены двоичные последовательности заверенного электронного сообщения, в которые встроена двоичная последовательность цифрового водяного знака, то в известных способах при проверке извлеченная из этого сообщения двоичная последовательность цифрового водяного знака не будет идентифицирована с эталонной двоичной последовательностью цифрового водяного знака электронное сообщения, так как они требуют их совпадения с точностью до бита. Поэтому повышение устойчивости к преднамеренным действиям злоумышленника может быть достигнуто, если использовать цифровой водяной знак, который можно идентифицировать с эталонным цифровым водяным знаком электронное сообщения при наличии искажений в одном или нескольких битах двоичной последовательности заверенного цифровым водяным знаком электронного сообщения.
В заявленном способе для обеспечения формирования и проверки заверенного цифровым водяным знаком электронного текстового сообщения, повышающего защищенность сообщения, заверенного цифровым водяным знаком, к преднамеренным действиям злоумышленника по изменению содержания сообщения, реализуется следующая последовательность действий.
Предварительное формирование для отправителя и получателя первой и второй двоичных последовательностей секретного ключа заключается в следующем. Данные последовательности формируются с использованием генератора случайных импульсов, формирующие случайные равновероятные импульсы, независимые друг от друга. При этом первая двоичная последовательность секретного ключа независима от второй двоичной последовательности секретного ключа. Первую и вторую двоичные последовательности секретного ключа формируют случайным выбором последовательности двоичных символов, описанным, например, в книге Д.Кнут. Искусство программирования на ЭВМ. – М.: Мир, 1977, т.2, стр.22. Длина первой и второй двоичных последовательностей секретного ключа должна быть не менее 64 бит, что описано, например, в книге М.Д.Смид, Д.К.Бранстед. Стандарт шифрования данных: Прошлое и будущее. ТИИЭР, 1988, – т.76, 5, стр.45.
Предварительное формирование для отправителя и получателя функции хэширования с двоичным выходным значением заключается в следующем. Известные способы предварительного формирования функции хэширования описаны, например, в книге М.Д.Смид, Д.К.Бранстед. Стандарт шифрования данных: Прошлое и будущее. ТИИЭР, 1988, – т.76, 5, стр.49. Они заключаются в формирования функции хэширования по второй двоичной последовательности секретному ключу, используя алгоритм шифрования данных DES в режиме обратной связи по шифртексту или в режиме обратной связи по выходу. Однако данные способы предварительного формирования функции хэширования формируют функции хэширования с выходным значением длиной 64 бита. Поэтому для формирования функции хэширования с двоичным выходным значением предлагается выходное значение длиной 64 бита функции хэширования, сформированной в известных способах, преобразовать вычислением по модулю 2. В результате этого преобразования четные выходные значения длиной 64 бита примут нулевые значения, а нечетные выходные значения длиной 64 бита примут единичные значения. Преобразование двоичной последовательности вычислением по модулю 2 описано, например, в книге Б.А.Калабеков. Микропроцессоры и их применение в системах передачи и обработки сигналов. – М.: Радио и связь, 1988, стр.10.
Предварительное установление для символов электронного текстового сообщения совокупности заменяющих символов, не меняющих визуального восприятия этого сообщения, заключается в следующем. В русском, английском и других алфавитах есть ряд символов, имеющих одинаковое начертание, например, символы “о”, “е”, “а”, “к” и т.д. Однако в соответствии с правилами кодирования символов алфавитов в компьютерных системах, таких как, например, ANSII, Windows-1251, KOI8-R, двоичные последовательности этих символов в электронных текстовых сообщениям различаются, что описано, например, в книге М.Мамаева, С.Петренко. Технологии защиты информации в Интернете. Специальный справочник. – СПб.: Питер, 2002, с.50-51. Поэтому для таких символов электронного текстового сообщения, не меняющих визуального восприятия этого сообщения при их чтении с экрана оптико-электронного устройства или с отпечатанной бумажной копии, заранее устанавливаются один или несколько заменяющих символов.
Предварительное установление для отправителя и получателя минимально допустимого числа Kmin подлинных групп двоичных последовательностей электронного текстового сообщения из К принятых групп заключается в следующем. Минимально допустимое число Kmin подлинных групп двоичных последовательностей электронного текстового сообщения из К принятых групп определяют из условия ,
где Рдоп – предварительно заданная допустимая вероятность принятия подлинными К принятых групп двоичных последовательностей электронного текстового сообщения, являющихся неподдинными, – число сочетаний из К по µ, a L – число известных злоумышленнику заверенных цифровым водяным знаком электронных текстовых сообщений. Например, величину допустимой вероятности принятия подлинными К принятых групп двоичных последовательностей электронного текстового сообщения, являющихся неподлинными, устанавливают равной Рдоп=10-9, что рекомендуется, например, в государственном стандарте 28147-89. Системы обработки информации. Защита криптографическая. Алгоритм криптографического преобразования. – М.: Госстандарт СССР. 1989. Следовательно, задав величину порядка атаки подмены, например, L=106 и величину К=100, что рекомендуется в книге Окова И.Н. Аутентификация речевых сообщений и изображений в каналах связи. / Под ред. проф. В.Ф.Комаровича. – Издательство Санкт-Петербургского политехнического университета, 2006, стр.198, целесообразно установить величину Кmin не менее 82.
Для заверения у отправителя цифровым водяным знаком электронного текстового сообщения выделяют К групп двоичных последовательностей из двоичной последовательности электронного текстового сообщения с использованием первой двоичной последовательности секретного ключа. Известные способы выделения К групп двоичных последовательностей из двоичной последовательности электронного текстового сообщения с использованием первой двоичной последовательности секретного ключа описаны, например, в книге Menezes A.J., Oorschot Р.С., Vanstone S.A. Handbook of applied cryptography. CRC Press, 1996. p.345. Суть этих способов заключается в том, что первая двоичная последовательность секретного ключа определяет, какие двоичные последовательности символов из двоичной последовательности электронного текстового сообщения распределяются между каждой из К групп двоичных последовательностей.
В качестве примера электронного текстового сообщения представлен фрагмент текста на русском языке “дорогая_редакция!_подтверждаю_подлинность_данного_текста. подпись: авторы”, где символ “_” есть пробел. На фигуре 3 показан пример представления начала данного фрагмента электронного текстового сообщения в виде двоичных последовательностей символов, закодированных в соответствии со стандартом KOI8-R.
На фигуре 2(г) показан типовой пример выделения К групп двоичных последовательностей из двоичной последовательности электронного текстового сообщения с использованием первой двоичной последовательности секретного ключа. Видно, что в соответствии с первой двоичной последовательностью секретного ключа первая группа двоичных последовательностей сформирована из 4 двоичных последовательностей, вторая группа двоичных последовательностей – из 5 двоичных последовательностей и т.д.
Последовательно k-ю, где k=1, 2, , К, группу разделяют на первую и вторую части. Известные способы последовательного разделения k-й, где k=1, 2, , К, группы двоичных последовательностей на первую и вторую части описаны, например, в книге Б.А.Калабеков. Микропроцессоры и их применение в системах передачи и обработки сигналов, – М.: Радио и связь, 1988, стр.70. Начиная с начала, из k-ой группы двоичных последовательностей последовательно считывают заданное число двоичных последовательностей в первую часть, а оставшиеся двоичные последовательности последовательно считывают во вторую часть. При четном числе групп двоичных последовательностей длина первой и второй частей устанавливается, например, равной, а при нечетной – заранее оговаривается, какая часть будет больше на одну двоичную последовательность символов.
На фигуре 2(г) показан типовой пример разделения на первую и вторую части первой, второй и K-й групп двоичных последовательностей. В первой группе двоичных последовательностей первая и вторая части включают по 2 двоичных последовательностей. Во второй группе двоичных последовательностей первая часть включает 2 двоичные последовательности, а вторая часть – 3 двоичные последовательности. Аналогично, в К-й группе двоичных последовательностей первая часть включает 2 двоичные последовательности, а вторая часть – 3 двоичные последовательности.
Каждую из первых и вторых частей k-й, где k=1, 2, , К, группы двоичных последовательностей хэшируют по функции хэширования и второй двоичной последовательности секретного ключа. Для этого, например, хэшируемую часть k-й группы двоичных последовательностей шифруют по алгоритму шифрования данных DES в режиме обратной связи по шифртексту с использованием второй двоичной последовательности секретного ключа. Алгоритм шифрования данных DES в режиме обратной связи по шифртексту с использованием второй двоичной последовательности секретного ключа описан, например, в книге М.Д.Смид, Д.К.Бранстед. Стандарт шифрования данных: Прошлое и будущее. ТИИЭР, 1988, – т.76, 5, стр.49. В алгоритме указано, что если длина шифруемых данных не кратна стандартной длине шифруемого блока 64 бита, то неполный блок дополняется до стандартной длины нулевыми двоичными символами справа. Затем выходное значение длиной 64 бита функции хэширования преобразуют вычислением по модулю 2. Преобразование выходного значения вычислением по модулю 2 описано, например, в книге Б.А.Калабеков. Микропроцессоры и их применение в системах передачи и обработки сигналов. – М.: Радио и связь, 1988, стр.10.
На фигуре 4 показан типовой пример хэширования первой и второй частей k-й группы двоичных последовательностей по функции хэширования и второй двоичной последовательности секретного ключа. Для удобства описания первые и вторые части k-й группы двоичных последовательностей представлены в десятичном виде, например, двоичная последовательность 0010011101110111 первой части первой группы двоичных последовательностей в десятичном представлении соответствует числу 228×238=54264 и ее хэшированное значение равно единичному значению. Хэшированное значение первой части k-й группы двоичных последовательностей Х1k по функции хэширования h() и второй двоичной последовательности секретного ключа V2 в фигуре 1 записывается в виде H1k=hV2(X1k), а хэшированное значение второй части k-й группы двоичных последовательностей Х2k по функции хэширования h() и второй двоичной последовательности секретного ключа V2 записывается в виде Н2k=hV2(X2k).
На фигуре 2(д) показан типовой пример результатов хэширования первых и вторых частей первой, второй и K-й групп двоичных последовательностей по функции хэширования и второй двоичной последовательности секретного ключа. Хэшированные значения первой и второй частей первой группы двоичных последовательностей на этом примере принимают единичное значение, хэшированное значения первой части второй группы двоичных последовательностей имеет единичное, а второй части второй группы – нулевое значение. Хэшированные значения первой и второй частей K-й группы двоичных последовательностей на этом примере принимают нулевые значения. В среднем, хэшированные значения первой и второй частей k-й группы двоичных последовательностей принимают нулевое или единичное значение с вероятностью, близкой к 1/2.
Сравнивают хэшированные значения первой и второй частей k-й группы двоичных последовательностей. Известные способы сравнения хэшированных значений первой и второй частей k-й группы двоичных последовательностей описаны, например, в книге У.Питерсон, Э.Уэлдон. Коды исправляющие ошибки. М.: Мир, 1976, стр.52. Результатом сравнения может быть их совпадение или несовпадение. Например, на фигуре 2(д) показано, что в первой и K-й группах двоичных последовательностей хэшированные значения первых и вторых частей совпали, а во второй группе – нет.
При совпадении хэшированных значений первой и второй частей k-й группы двоичных последовательностей устанавливают в качестве очередного бита цифрового водяного знака электронного текстового сообщения совпавшие хэшированные значения первой и второй частей k-й группы двоичных последовательностей электронного текстового сообщения и передают получателю k-ю группу двоичных последовательностей в качестве заверенной цифровым водяным знаком. Способы передачи получателю k-й группы двоичных последовательностей в качестве заверенной цифровым водяным знаком известны и описаны, например, в книге А.Г.Зюко, Д.Д.Кловский, М.В.Назаров, Л.М.Финк. Теория передачи сигналов. – М.: Радио и связь, 1986, стр.11.
На фигуре 2(з) в качестве примера показано, что в результате совпадения первой и второй частей первой и K-й группы двоичных последовательностей устанавливают первый бит двоичной последовательности цифрового водяного знака электронного текстового сообщения в единичное значение, а К-й бит – в нулевое значение. Соответственно, на фигуре 2(и) показано, что первая и К-я заверенные группы двоичных последовательностей равны исходным значениям своих групп и в этом виде передаются получателю.
В противном случае последовательно заменяют в k-й группе двоичных последовательностей ее символы на заменяющие из предварительно установленной совокупности заменяющих символов. Для этого в k-й группе двоичных последовательностей отыскивается первый символ, для которого предварительно установлены заменяющие символы, и этот символ меняются на заменяющий. При этом соответствующая этому символу двоичная последовательность заменяется на двоичную последовательность заменяющего его символа. При необходимости отыскивается второй, третий и т.д. символы, для которых предварительно установлены заменяющие их символы. Известные способы замены одной двоичной последовательности на другую описаны, например, в книге М.И.Жалдак, Н.Н.Морзе. Основы информатики и вычислительной техники. К.: Вища школа, 1985, страница 47.
Например, на фигуре 2(e) показано, что в первой части второй группы двоичных последовательностей двоичная последовательность символа “а” русского алфавита заменяется на двоичную последовательность символа “а” английского алфавита.
Повторно хэшируют первую и вторую части k-й преобразованной группы двоичных последовательностей по функции хэширования и второй двоичной последовательности секретного ключа. Для этого, например, хэшируемую часть k-й преобразованной группы двоичных последовательностей шифруют по алгоритму шифрования данных DES в режиме обратной связи по шифртексту с использованием второй двоичной последовательности секретного ключа. Алгоритм шифрования данных DES в режиме обратной связи по шифртексту с использованием второй двоичной последовательности секретного ключа описан, например, в книге М.Д.Смид, Д.К.Бранстед. Стандарт шифрования данных: Прошлое и будущее. ТИИЭР, 1988, – т.76, 5, стр.49. В алгоритме указано, что если длина шифруемых данных не кратна стандартной длине шифруемого блока 64 бита, то неполный блок дополняется до стандартной длины нулевыми двоичными символами справа. Затем выходное значение длиной 64 бита функции хэширования преобразуют вычислением по модулю 2. Преобразование выходного значения вычислением по модулю 2 описано, например, в книге Б.А.Калабеков. Микропроцессоры и их применение в системах передачи и обработки сигналов. – М.: Радио и связь, 1988, стр.10.
На фигуре 2(ж) показан типовой пример результатов хэширования первой и второй частей второй преобразованной группы двоичных последовательностей по функции хэширования и второй двоичной последовательности секретного ключа.
Затем сравнивают хэшированные значения первой и второй частей k-й преобразованной группы двоичных последовательностей. Известные способы сравнения хэшированных значений первой и второй частей преобразованной группы двоичных последовательностей двоичной последовательности описаны, например, в книге: У.Питерсон, Э.Уэлдон. Коды, исправляющие ошибки. М.: Мир, 1976, стр.52. Результатом сравнения может быть их совпадение или несовпадение. Например, на фигуре 2(ж) показано, что во второй преобразованной группе двоичных последовательностей хэшированные значения первых и вторых частей совпали. Поэтому второй бит двоичной последовательности цифрового водяного знака устанавливается в нулевое значение.
Действия по замене символов, хэшированию и сравнению первой и второй частей k-й преобразованной группы двоичных последовательностей выполняют до совпадения их хэшированных значений, после чего устанавливают в качестве очередного бита цифрового водяного знака электронного текстового сообщения совпавшие первые и вторые хэшированные значения первой и второй частей k-й преобразованной группы двоичных последовательностей и передают получателю k-ю преобразованную группу двоичных последовательностей в качестве заверенной цифровым водяным знаком. Способы передачи получателю k-й преобразованной группы двоичных последовательностей в качестве заверенной цифровым водяным знаком известны и описаны, например, в книге А.Г.Зюко, Д.Д.Кловский, М.В.Назаров, Л.М.Финк. Теория передачи сигналов. – М.: Радио и связь, 1986, стр.11.
Например, на фигуре 2(и) показано, что в результате совпадения хэшированных значений первой и второй частей второй преобразованной группы двоичных последовательностей показано, что в качестве второй заверенной цифровым водяным знаком передаются получателю вторая преобразованная группа двоичных последовательностей.
Действия по заверению у отправителя цифровым водяным знаком электронного текстового сообщения повторяют до тех пор, пока поступает его двоичная последовательность. Длина двоичной последовательности электронного текстового сообщения может быть произвольно большой. С ростом ее длины пропорционально растет и число К групп двоичных последовательностей, в каждой из которых получателем производится проверка подлинности принятого сообщения. Следовательно, чем длиннее сообщение, тем сложнее злоумышленнику изменить его содержание. Если злоумышленник разделит заверенное электронное текстовое сообщение на несколько частей, то благодаря заверению отправителем каждой К группы двоичных последовательностей получатель любой части заверенного сообщения, состоящей не менее чем из К групп двоичных последовательностей, способен выполнить проверку ее подлинности.
После передачи заверенного цифровым водяным знаком электронного текстового сообщения из принятой получателем двоичной последовательности этого сообщения выделяют символ, соответствующий первой двоичной последовательности первой заверенной цифровым водяным знаком группы двоичных последовательностей. Алгоритм выделения из принятой получателем двоичной последовательности электронного текстового сообщения символа, соответствующего первой двоичной последовательности первой заверенной цифровым водяным знаком группы двоичных последовательностей, представлен на фигуре 5. Для выделения из принятой получателем двоичной последовательности символа, соответствующего первой двоичной последовательности первой заверенной цифровым водяным знаком группы двоичных последовательностей, предварительно устанавливают максимально допустимое значение вероятности Рош ошибочного выделения этого символа. Значение вероятности Рош может быть установлено, например, порядка 10-1 10-2. Если в результате ошибок канала передачи или преднамеренных искажений злоумышленником заверенного сообщения получатель не сможет выделить символ, соответствующий первой двоичной последовательности первой заверенной цифровым водяным знаком группы двоичных последовательностей, то получатель будет искать требуемый символ в следующей принятой двоичной последовательности и так до тех пор, пока требуемый символ не будет выделен. Вероятность невыделения требуемого символа в последовательных группах из К двоичных последовательностей равна Р ош. Так как с ростом числа вероятность Р ош очень быстро приближается к нулю, то обеспечивается гарантированное выделение получателем символа, соответствующего первой двоичной последовательности первой заверенной цифровым водяным знаком группы двоичных последовательностей.
Для выделения получателем символа, соответствующего первой двоичной последовательности первой заверенной цифровым водяным знаком группы двоичных последовательностей, из принятой двоичной последовательности электронного текстового сообщения, начиная с очередного символа, выделяют с использованием первой двоичной последовательности секретного ключа К принятых групп двоичных последовательностей. Известные способы выделения К принятых групп двоичных последовательностей из двоичной последовательности электронного текстового сообщения с использованием первой двоичной последовательности секретного ключа описаны, например, в книге Menezes A.J., Oorschot Р.С., Vanstone S.A. Handbook of applied cryptography. CRC Press, 1996. p.345. Например, на фигуре 6(в) показано, что принятая двоичная последовательность электронного текстового сообщения смещена на один символ “пробел”, а в первом бите K-й заверенной цифровым водяным знаком двоичной последовательности в процессе передачи произошла ошибка и принимаемый символ “я” ошибочно преобразовался в символ “о”. Соответственно, на фигуре 6(г) показаны выделенные К принятые группы двоичных последовательностей в виде двоичных последовательностей символов “_дорогая_редакци”.
Затем k-ю принятую группу двоичных последовательностей разделяют на первую и вторую части. Известные способы последовательного разделения k-й принятой группы двоичных последовательностей на первую и вторую части описаны, например, в книге Б.А.Калабеков. Микропроцессоры и их применение в системах передачи и обработки сигналов. – М.: Радио и связь, 1988, стр.70. Начиная с начала, из k-й принятой группы двоичных последовательностей последовательно считывают заданное число двоичных последовательностей в первую часть, а оставшиеся двоичные последовательности последовательно считывают во вторую часть. При четном числе групп двоичных последовательностей длина в битах первой и второй частей устанавливается, например, равной, а при нечетной – заранее оговаривается, какая часть будет больше на одну группу двоичных последовательностей по правилу, идентичному правилу для разделения у отправителя на первую и вторую части k-й группы двоичных последовательностей. Для примера, на фигуре 6(г) показано, что выделенные К принятые группы двоичных последовательностей представлены в виде: первая часть и вторая части первой принятой группы двоичных последовательностей состоят из двоичных последовательностей символов “_д” и “ор”, второй принятой группы – “ог” и “ая_”, и т.д.
Первые и вторые части k-й принятой группы двоичных последовательностей хэшируют по функции хэширования и второй двоичной последовательности секретного ключа. Для этого, например, хэшируемую часть k-й принятой группы двоичных последовательностей шифруют по алгоритму шифрования данных DES в режиме обратной связи по шифртексту с использованием второй двоичной последовательности секретного ключа. Алгоритм шифрования данных DES в режиме обратной связи по шифртексту с использованием второй двоичной последовательности секретного ключа описан, например, в книге М.Д.Смид, Д.К.Бранстед. Стандарт шифрования данных: Прошлое и будущее. ТИИЭР, 1988, – т.76, 5, стр.49. В алгоритме указано, что если длина шифруемых данных не кратна стандартной длине шифруемого блока 64 бита, то неполный блок дополняется до стандартной длины нулевыми двоичными символами справа. Затем выходное значение длиной 64 бита функции хэширования преобразуют вычислением по модулю 2. Преобразование выходного значения вычислением по модулю 2 описано, например, в книге Б.А.Калабеков. Микропроцессоры и их применение в системах передачи и обработки сигналов. – М.: Радио и связь, 1988, стр.10. Например, на фигуре 6(д) показано, что хэшированные значения первой и второй частей первой принятой группы двоичных последовательностей равны нулевому значению, хэшированные значения первой и второй частей второй принятой группы равны единичному и нулевому значениям соответственно, а хэшированные значения первой и второй частей К-й принятой группы равны нулевому и единичному значениям соответственно.
Сравнивают хэшированные значения первой и второй частей k-й принятой группы двоичных последовательностей. Известные способы сравнения хэшированных значений первой и второй частей k-й принятой группы двоичных последовательностей описаны, например, в книге У.Питерсон, Э.Уэлдон. Коды, исправляющие ошибки. М.: Мир, 1976, стр.52. Результатом сравнения может быть их совпадение или несовпадение. Например, на фигуре 6(д) показано, что в первой принятой группе двоичных последовательностей хэшированные значения первых и вторых частей совпали, а во второй и К-й принятых группах – не совпали. Поэтому на фигуре 6(e) показано, что при совпадении число совпадений Q увеличивается на единицу, а при несовпадении – число Q остается без изменений.
При достижения М совпадений хэшированных значений первой и второй частей принятых групп двоичных последовательностей выделенный символ принимают в качестве символа, соответствующего первой двоичной последовательности первой заверенной цифровым водяным знаком группы двоичных последовательностей.
В противном случае в качестве очередного принимают следующий символ принятой двоичной последовательности электронного текстового сообщения и повторяют действия по выделению из нее символа, соответствующего первой двоичной последовательности первой заверенной цифровым водяным знаком группы двоичных последовательностей. Например, на фигуре 6(e) показано, что из-за сдвига принятой двоичной последовательности электронного текстового сообщения происходит ее сдвиг на один символ и так до засинхронирования принятой двоичной последовательности электронного текстового сообщения с заверенной на стороне отправителя цифровым водяным знаком двоичной последовательностью электронного текстового сообщения.
После выделения символа, соответствующего первой двоичной последовательности первой заверенной цифровым водяным знаком группы двоичных последовательностей, проверяют у получателя подлинность принятого электронного текстового сообщения. Алгоритм проверки подлинности принятого электронного текстового сообщения, засинхронизированного относительно заверенного цифровым водяным знаком электронного текстового сообщения представлен на фигуре 7. Для этого выделяют с использованием первой двоичной последовательности секретного ключа К принятых групп двоичных последовательностей. Известные способы выделения К принятых групп двоичных последовательностей из двоичной последовательности электронного текстового сообщения с использованием первой двоичной последовательности секретного ключа описаны, например, в книге Menezes A.J., Oorschot Р.С., Vanstone S.A. Handbook of applied cryptography. CRC Press, 1996. p.345.
Например, на фигуре 8(в) показано, что принятая двоичная последовательность электронного текстового сообщения засинхронизирована с заверенной на стороне отправителя цифровым водяным знаком двоичной последовательностью электронного текстового сообщения. В первом бите K-й заверенной цифровым водяным знаком двоичной последовательности в процессе передачи произошла ошибка и принимаемый символ “я” ошибочно преобразовался в символ “о”. Соответственно, на фигуре 8(г) показаны выделенные К принятые группы двоичных последовательностей в виде двоичных последовательностей символов “дорогая_редакцио”.
Затем k-ю принятую группу двоичных последовательностей разделяют на первую и вторую части. Известные способы последовательного разделения k-й принятой группы двоичных последовательностей на первую и вторую части описаны, например, в книге Б.А.Калабеков. Микропроцессоры и их применение в системах передачи и обработки сигналов. – М.: Радио и связь, 1988, стр.70. Начиная с начала, из k-й принятой группы двоичных последовательностей последовательно считывают заданное число двоичных последовательностей в первую часть, а оставшиеся двоичные последовательности последовательно считывают во вторую часть. При четном числе групп двоичных последовательностей длина в битах первой и второй частей устанавливается, например, равной, а при нечетной – заранее оговаривается, какая часть будет больше на одну группу двоичных последовательностей по правилу, идентичному правилу для разделения у отправителя на первую и вторую части k-й группы двоичных последовательностей.
Для примера, на фигуре 8(г) показано, что выделенные К принятые группы двоичных последовательностей разделены на части вида: первая и вторая части первой принятой группы двоичных последовательностей состоят из двоичных последовательностей символов “до” и “ро”, второй принятой группы – “га” и “я_р”, и т.д.
Первые и вторые части k-й принятой группы двоичных последовательностей хэшируют по функции хэширования и второй двоичной последовательности секретного ключа. Для этого, например, хэшируемую часть k-й принятой группы двоичных последовательностей шифруют по алгоритму шифрования данных DES в режиме обратной связи по шифртексту с использованием второй двоичной последовательности секретного ключа. Алгоритм шифрования данных DES в режиме обратной связи по шифртексту с использованием второй двоичной последовательности секретного ключа описан, например, в книге М.Д.Смид, Д.К.Бранстед. Стандарт шифрования данных: Прошлое и будущее. ТИИЭР, 1988, – т.76, 5, стр.49. В алгоритме указано, что если длина шифруемых данных не кратна стандартной длине шифруемого блока 64 бита, то неполный блок дополняется до стандартной длины нулевыми двоичными символами справа. Затем выходное значение длиной 64 бита функции хэширования преобразуют вычислением по модулю 2. Преобразование выходного значения вычислением по модулю 2 описано, например, в книге Б.А.Калабеков. Микропроцессоры и их применение в системах передачи и обработки сигналов. – М.: Радио и связь, 1988, стр.10. Например, на фигуре 8(д) показано, что хэшированные значения первой и второй частей первой и второй принятых групп двоичных последовательностей равны единичному значению, а хэшированные значения первой и второй частей К-й принятой группы равны нулевому и единичному значениям соответственно.
Сравнивают хэшированные значения первой и второй частей k-й принятой группы двоичных последовательностей. Известные способы сравнения хэшированных значений первой и второй частей k-й принятой группы двоичных последовательностей описаны, например, в книге: У.Питерсон, Э.Уэлдон. Коды, исправляющие ошибки. М.: Мир, 1976, стр.52. Результатом сравнения может быть их совпадение или несовпадение. Например, на фигуре 8(д) показано, что в первой и второй принятых группах двоичных последовательностей хэшированные значения первых и вторых частей совпали, а в К-й группе – не совпали. Поэтому на фигуре 8(з) показано, что при совпадении число совпадений Кс увеличивается на единицу, а при несовпадении – число Кс остается без изменений.
При достижении числа совпадений Кс Кmin считают К принятых групп двоичных последовательностей электронного текстового сообщения подлинными. При невыполнении данного неравенства подлинность К принятых групп двоичных последовательностей электронного текстового сообщения не подтверждается. Затем повторяют действия по проверке подлинности очередных К принятых групп двоичных последовательностей до завершения приема всей двоичной последовательности электронного текстового сообщения.
Например, на фигуре 8(з) показано, что в К принятых группах двоичных последовательностей произошло К-1 совпадений. Соответственно, при Кmin К-1 подлинность К принятых групп двоичных последовательностей электронного текстового сообщения подтверждается. В принятом сообщении изменен только один символ, что не меняет смысла принятого электронного текстового сообщения.
Аналогично обрабатываются следующие К принятые группы двоичных последовательностей электронного текстового сообщения. Если при проверке подлинности все К принятые группы двоичных последовательностей электронного текстового сообщения признаны подлинными, то все принятое электронное текстовое сообщение считают подлинным.
Проверка теоретических предпосылок заявленного способа формирования и проверки заверенного цифровым водяным знаком сообщения проверялась путем его аналитических исследований.
Вероятность принятия подлинными К принятых групп двоичных последовательностей электронного текстового сообщения, являющихся неподлинными, равна , где – число сочетаний из К по µ, a L – число известных злоумышленнику заверенных цифровым водяным знаком электронных текстовых сообщений. Для электронных текстовых сообщений предварительно задается Рдоп – допустимая вероятность принятия подлинными К принятых групп двоичных последовательностей электронного текстового сообщения, являющихся неподлинными. В системах передачи электронных текстовых сообщений устанавливается Рнепод Рдоп. Обычно величина Рдоп=10-9.
На фигуре 9 показана зависимость Рнепод от значений К-Кmin в для различных значений К при фиксированной величине L=106. Исследования проводились при значениях K=500, К=200 и К=50. Из рисунка видно, что минимально допустимое число Kmin должно быть установлено таким, чтобы выполнялось соотношение Рнепод Рдоп, то есть при К=500 величина Кmin должна быть не менее 320, при K=200 – не менее 154, а при К=50 – не менее 46.
Проведенные исследования подтверждают, что при использовании предлагаемого способа формирования и проверки заверенного цифровым водяным знаком электронного текстового сообщения обеспечивается повышение его защищенности к преднамеренным действиям злоумышленников по изменению его содержания.
Формула изобретения
1. Способ формирования и проверки заверенного цифровым водяным знаком электронного текстового сообщения, заключающийся в том, что предварительно формируют для отправителя и получателя двоичную последовательность секретного ключа и функцию хэширования с двоичным выходным значением, устанавливают минимально допустимое число Kmin подлинных групп двоичных последовательностей электронного сообщения из К принятых групп, из двоичной последовательности электронного сообщения выделяют K Kmin групп двоичных последовательностей, заверяют у отправителя цифровым водяным знаком электронное сообщение с помощью предварительно сформированных функции хэширования и секретного ключа и передают его получателю, проверяют подлинность принятого получателем электронного сообщения с помощью предварительно сформированных функции хэширования и секретного ключа, отличающийся тем, что в качестве электронного сообщения используют электронное текстовое сообщение и формируют секретный ключ в виде первой и второй двоичных последовательностей, устанавливают для символов электронного текстового сообщения совокупность заменяющих символов, не меняющих визуального восприятия этого сообщения, причем для заверения у отправителя цифровым водяным знаком электронного текстового сообщения выделяют К групп двоичных последовательностей из двоичной последовательности электронного текстового сообщения с использованием первой двоичной последовательности секретного ключа, последовательно k-ую, где k=1, 2, К, группу двоичных последовательностей разделяют на первую и вторую части, каждую из которых хэшируют по функции хэширования и второй двоичной последовательности секретного ключа, сравнивают хэшированные значения первой и второй частей k-й группы двоичных последовательностей и при их совпадении устанавливают в качестве очередного бита цифрового водяного знака электронного текстового сообщения совпавшие хэшированные значения первой и второй части k-й группы двоичных последовательностей электронного текстового сообщения и передают получателю k-ую группу двоичных последовательностей в качестве заверенной цифровым водяным знаком, в противном случае последовательно заменяют в k-й группе двоичных последовательностей ее символы на заменяющие из предварительно установленной совокупности заменяющих символов, после чего повторно хэшируют первую и вторую части k-й преобразованной группы двоичных последовательностей по функции хэширования и второй двоичной последовательности секретного ключа, затем сравнивают хэшированные значения первой и второй частей k-й преобразованной группы двоичных последовательностей, причем действия по замене символов, хэшировании и сравнении первой и второй частей k-й преобразованной группы двоичных последовательностей выполняют до совпадения их хэшированных значений, после чего устанавливают в качестве очередного бита цифрового водяного знака электронного текстового сообщения совпавшие первые и вторые хэшированные значения первой и второй части k-й преобразованной группы двоичных последовательностей и передают получателю k-ую преобразованную группу двоичных последовательностей в качестве заверенной цифровым водяным знаком, а действия по заверению у отправителя цифровым водяным знаком электронного текстового сообщения повторяют до тех пор, пока поступают его двоичные последовательности, после передачи заверенного цифровым водяным знаком электронного текстового сообщения из принятой получателем двоичной последовательности электронного текстового сообщения выделяют символ, соответствующий первой двоичной последовательности первой заверенной цифровым водяным знаком группы двоичных последовательностей, для чего из принятой двоичной последовательности электронного текстового сообщения, начиная с очередного символа, выделяют с использованием первой двоичной последовательности секретного ключа К принятых групп двоичных последовательностей, после чего k-ую принятую группу двоичных последовательностей разделяют на первую и вторую части, каждую из которых хэшируют по функции хэширования и второй двоичной последовательности секретного ключа, сравнивают хэшированные значения первой и второй части k-й принятой группы двоичных последовательностей и при достижения М совпадений хэшированных значений первой и второй частей принятых групп двоичных последовательностей выделенный символ принимают в качестве символа, соответствующего первой двоичной последовательности первой заверенной цифровым водяным знаком группы двоичных последовательностей, в противном случае в качестве очередного принимают следующий символ принятой двоичной последовательности электронного текстового сообщения и повторяют действия по выделению из нее символа, соответствующего первой двоичной последовательности первой заверенной цифровым водяным знаком группы двоичных последовательностей, после выделения символа, соответствующего первой двоичной последовательности первой заверенной цифровым водяным знаком группы двоичных последовательностей, проверяют у получателя подлинность принятого электронного текстового сообщения, для чего выделяют с использованием первой двоичной последовательности секретного ключа К принятых групп двоичных последовательностей, k-ую принятую группу двоичных последовательностей разделяют на первую и вторую части, каждую из которых хэшируют по функции хэширования и второй двоичной последовательности секретного ключа, сравнивают хэшированные значения первой и второй частей k-й принятой группы двоичных последовательностей, причем при достижении числа совпадений Kc Kmin считают К принятых групп двоичных последовательностей электронного текстового сообщения подлинными, после чего повторяют действия по проверке подлинности очередных К принятых групп двоичных последовательностей до завершения приема всей двоичной последовательности электронного текстового сообщения.
2. Способ по п.1, отличающийся тем, что минимально допустимое число Kmin подлинных групп двоичных последовательностей электронного текстового сообщения из К принятых групп определяют из условия
 где Рдоп – предварительно заданная допустимая вероятность принятия подлинными К принятых групп двоичных последовательностей электронного текстового сообщения, являющихся неподлинными, – число сочетаний из К по µ, a L – число известных злоумышленнику заверенных цифровым водяным знаком электронных текстовых сообщений.
3. Способ по п.1, отличающийся тем, что предварительно устанавливают максимально допустимое значение вероятности Рош ошибочного выделения символа, соответствующего первой двоичной последовательности первой заверенной цифровым водяным знаком группы двоичных последовательностей, и устанавливают значение , а действие означает округление значения -log2Рош, до ближайшего целого.
РИСУНКИ
|
|