|
|
(21), (22) Заявка: 2005115877/09, 24.10.2003
(24) Дата начала отсчета срока действия патента:
24.10.2003
(30) Конвенционный приоритет:
25.10.2002 US 60/421,309 31.05.2003 US 10/448,801
(43) Дата публикации заявки: 10.10.2005
(46) Опубликовано: 10.06.2009
(56) Список документов, цитированных в отчете о поиске:
KOUSA M. et al. Multichannel adaptive system forward error-corretion system. IEE PROCEEDINGS I. SOLID-STATE & ELECTRON DEVICES, INSTITUTION OF ELECTRICAL ENGINEERS. STEVENAGE, GB, vol.140, 5, PART 1. 01.10.1993, p.357-364. US 2002126803 A1, 12.09.2002. US 6144711 A, 07.11.2000. US 6292917 B1, 18.09.2001. EP 1207645 A1, 22.05.2002.
(85) Дата перевода заявки PCT на национальную фазу:
25.05.2005
(86) Заявка PCT:
US 03/34570 20031024
(87) Публикация PCT:
WO 2004/038986 20040506
Адрес для переписки:
129090, Москва, ул. Б.Спасская, 25, стр.3, ООО “Юридическая фирма Городисский и Партнеры”, пат.пов. Ю.Д.Кузнецову, рег. 595
|
(72) Автор(ы):
УОЛТОН Джей Родни (US), УОЛЛЭЙС Марк С. (US), КЕТЧУМ Джон У. (US), ГОВАРД Стивен Дж. (US)
(73) Патентообладатель(и):
КВЭЛКОММ ИНКОРПОРЕЙТЕД (US)
|
(54) РЕГУЛИРОВАНИЕ СКОРОСТИ ЗАМКНУТЫМ КОНТУРОМ, ПРЕДНАЗНАЧЕННОЕ ДЛЯ МНОГОКАНАЛЬНОЙ СИСТЕМЫ СВЯЗИ
(57) Реферат:
Изобретение относится к технологиям для выполнения регулирования скорости передачи данных по многочисленным параллельным каналам в многоканальной системе связи. Регулирование выполняется замкнутым контуром. Внутренний контур оценивает канальные условия для линии связи и выбирает подходящую скорость передачи данных для каждого из многочисленных параллельных каналов на основании оценок канала. Для каждого параллельного канала принимаемое отношение сигнал/шум (SNR) вычислено на основании оценок канала, рабочее SNR вычислено на основании принимаемого SNR и SNR-компенсации для параллельного канала. Скорость передачи данных выбрана на основании рабочего SNR для параллельного канала и множества требуемых SNR для множества скоростей передачи данных, поддерживаемых системой. Внешний контур оценивает качество передаваемых сигналов данных, принятых по многочисленным параллельным каналам и настраивает работу внутреннего контура. Например, SNR-компенсация для каждого параллельного канала настроена на основании статуса пакетов, принятых по такому параллельному каналу. 10 н. и 53 з.п. ф-лы, 12 ил., 2 табл.
ОБЛАСТЬ ТЕХНИКИ, К КОТОРОЙ ОТНОСИТСЯ ИЗОБРЕТЕНИЕ
Настоящее изобретение в целом относится к передаче данных, более конкретно к технологиям для выполнения регулирования скорости передачи данных по многочисленным параллельным каналам в многоканальной системе связи.
УРОВЕНЬ ТЕХНИКИ
Система многоканальной связи использует многочисленные параллельные каналы для передачи данных. Эти параллельные каналы могут быть сформированы во временной области, частотной области, пространственной области или их сочетании. Например, многочисленные параллельные каналы могут быть сформированы разными временными интервалами в системах связи с мультиплексной передачей с временным разделением или уплотнением каналов (TDM), разными частотными поддиапазонами в системе связи с мультиплексной передачей с частотным разделением или уплотнением каналов (FDM), разными непересекающимися множествами поддиапазонов в системе связи с ортогональным мультиплексированием деления частоты (OFDM) или разными пространственными каналами в системе связи со многими входами и многими выходами (MIMO). Системы с TDM, FDM, OFDM и MIMO описаны ниже более подробно.
Многочисленные параллельные каналы могут подвергаться разным канальным условиям (например, разным эффектам замирания, многолучевого распространения и взаимных помех) и могут достигать различных отношений сигнал/шум (SNR). SNR параллельного канала определяет его пропускную способность, которая типично количественно определена конкретной скоростью передачи данных, с которой они могут быть надежно переданы по параллельному каналу. Если SNR меняется от параллельного канала к параллельному каналу, то поддерживаемая скорость передачи данных также должна меняться от канала к каналу. Более того, поскольку канальные условия типично меняются со временем, то скорости передачи данных, поддерживаемые многочисленными параллельными каналами также меняются со временем.
Регулирование скорости является значительной проблемой в многоканальной системе связи, которая непрерывно испытывает изменение канальных условий. Регулирование скорости влечет за собой регулирование скорости передачи данных каждого из многочисленных параллельных каналов на основании состояния канальных условий. Целью регулирования скорости может быть максимизация суммарной пропускной способности по многочисленным параллельным каналам при соответствии определенным требованиям качества, которые могут быть количественно определены конкретной частотой появления ошибок пакета (PER) или каким-либо другим критерием.
Следовательно, в данной области техники существует необходимость в технологиях для эффективного выполнения регулирования скорости многочисленных параллельных каналов, имеющих изменяющиеся SNR.
РАСКРЫТИЕ ИЗОБРЕТЕНИЯ
В настоящем патентном документе описаны технологии по выполнению регулирования скорости замкнутым контуром для передачи данных по многочисленным параллельным каналам. Управление скоростью замкнутым контуром может быть успешно выполнено посредством одного или более контуров. Внутренний контур оценивает канальные условия для линии связи и выбирает подходящую скорость передачи данных для каждого из многочисленных параллельных каналов (например, чтобы достигать высокой общей пропускной способности). Внешний контур (который является необязательным) оценивает качество пересылок данных, принимаемых по многочисленным параллельным каналам, и настраивает действие внутреннего контура.
Для внутреннего контура, канальные оценки изначально получены для многочисленных параллельных каналов (например, на основании принимаемых контрольных символов). Оценки канала могут включать в себя оценки коэффициента усиления канала для многочисленных поддиапазонов каждого параллельного канала, оценку минимального уровня шума на приемном устройстве и так далее. Подходящий режим передачи затем выбран для каждого параллельного канала на основании (1) мощности передачи, выделенной для параллельного канала, (2) оценок канала для параллельного канала, (3) SNR-компенсации, предусмотренной внешним контуром для параллельного канала и (4) другой информацией, предусмотренной внешним контуром. Режим передачи указывает, среди прочего, определенную скорость передачи данных для использования по параллельному каналу. SNR-компенсация служит признаком величины запаса для использования в параллельном канале и влияет на выбор режима передачи для параллельного канала. Другая информация из внешнего контура может предписывать внутреннему контуру выбирать режим передачи со скоростью передачи данных, меньшей чем нормально выбираемая для параллельного канала, например, если чрезмерное количество ошибок пакета принято для параллельного канала. Передатчик и приемник обрабатывают данные для каждого параллельного канала в соответствии с режимом передачи, выбранным для параллельного канала. Для внешнего контура, приемник оценивает качество пересылок данных, принятых посредством многочисленных параллельных каналов. Например, приемник может определять статус каждого принятого пакета данных (например, как хороший или плохой, как описано ниже), получать метрики декодера для каждого потока данных, оценивать принимаемое SNR для каждого параллельного канала и так далее. Внешний контур затем настраивает работу внутреннего контура для каждого параллельного канала на основании оцененного принимаемого качества для этого параллельного канала. Например, внешний контур может настраивать SNR-компенсацию для каждого параллельного канала, чтобы достигать запланированной интенсивности ошибок пакета (PER) для такого параллельного канала. Внешний контур может также предписывать внутреннему контуру выбирать режим передачи с меньшей скоростью передачи данных для параллельного канала, если чрезмерное количество ошибок пакета обнаружено для такого параллельного канала.
Различные аспекты и варианты осуществления изобретения также описаны ниже более подробно.
КРАТКОЕ ОПИСАНИЕ ЧЕРТЕЖЕЙ
Признаки, сущность и преимущества настоящего изобретения будут становиться более очевидными из подробного описания, изложенного ниже, при восприятии в соединении с чертежами, на которых сходные номера позиций соответственно идентифицируют по всему объему описания, и на которых:
Фиг. 1 показывает передатчик и приемник в многоканальной системе связи с регулированием скорости замкнутым контуром для NC параллельных каналов;
Фиг. 2 показывает механизм регулирования скорости замкнутым контуром.
Фиг. 3 показывает примерную последовательность операций для передачи NC потоков данных по NC параллельным каналам, используя NC режимов передачи, выбранных регулированием скорости замкнутым контуром;
Фиг. 4 показывает примерную последовательность операций для внешнего контура;
Фиг. 5 показывает примерную TDD-систему с MIMO-OFDM;
Фиг. 6 показывает структуру кадра, используемую в TDD-системе с MIMO-OFDM;
Фиг. 7 показывает последовательность операций для передачи многочисленных потоков данных на многочисленных широкополосных собственных модах по нисходящей и восходящей линиям связи в TDD-системе с MIMO-OFDM;
Фиг. 8 показывает последовательность операций для выбора NS режимов передачи для NS широкополосных собственных мод;
Фиг. 9A и 9B показывают точку доступа и пользовательское оконечное устройство в TDD-системе с MIMO-OFDM для передачи по нисходящей и восходящей линиям связи соответственно;
Фиг. 10 показывает передающую подсистему;
Фиг. 11 показывает принимающую подсистему; и
Фиг. 12A и 12B показывают примерные временные диаграммы для регулирования скорости замкнутым контуром для нисходящей и восходящей линий связи соответственно.
ОСУЩЕСТВЛЕНИЕ ИЗОБРЕТЕНИЯ
Слово примерный использовано в данном патентном документе, чтобы обозначать служащий в качестве примера, отдельного случая или иллюстрации . Любой вариант осуществления или конструктивное решение, описанные в настоящем патентном документе в качестве примерных не обязательно должны быть истолкованы как предпочтительные или полезные в сравнении с другими вариантами осуществления или конструктивными решениями.
В качестве используемого в настоящем патентном описании, регулирование скорости определяет порядок регулирования скорости передачи данных каждого из параллельных каналов на основании канальных условий. Скорость передачи данных для каждого параллельного канала определена режимом передачи, выбранным для использования по такому параллельному каналу. Регулирование скорости, таким образом, может быть успешно выполнено управлением режимами передачи, используемыми для многочисленных параллельных каналов.
Фиг. 1 показывает структурную схему передатчика 110 и приемника 150 в многоканальной системе 100 связи с регулированием скорости замкнутым контуром для NC параллельных каналов, где NC > 1. NC параллельных каналов могут быть сформированы различными способами, как описано ниже. Для передачи по нисходящей линии связи (от базовой станции к подвижному объекту), передатчик 110 является точкой доступа, приемник 150 является пользовательским оконечным устройством, первая линия 148 связи является нисходящей линией связи (то есть, прямой линией), и вторая линия 152 связи является восходящей линией связи (то есть, обратной линией). Для передачи по восходящей линии связи, передатчик 110 является пользовательским оконечным устройством, приемник 150 является точкой доступа, а первая и вторая линии связи являются восходящей и нисходящей линиями связи соответственно.
На передатчике 110, передающее (TX) устройство обработки 120 данных принимает NC потоков данных, один поток для каждого из NC параллельных каналов. Каждый параллельный канал ассоциативно связан с точно определенным режимом передачи, служащим признаком множества параметров передачи, для использования для такого параллельного канала. Режим передачи может служить признаком (или может быть ассоциативно связан с) конкретной скорости передачи данных, конкретной схемы кодирования или степени кодирования (отношения длины исходного блока данных к длине его кодированного представления), конкретной схемы уплотнения и так далее, которые должны быть использованы для передачи данных. Примерное множество режимов передачи предоставлено далее в таблице 2. Для каждого параллельного канала, скорость передачи данных указана регулировкой скорости передачи данных, схема кодирования указана регулировкой кодирования и схема модуляции указана регулировкой модуляции. Эти регулировки предоставлены контроллером 130 и выработаны на основании режима передачи, выбранного для каждого параллельного канала, используя информацию обратной связи, полученную от приемника 150 и, возможно, другой информации (например, оценок канала), полученной передатчиком 110.
TX-устройство 120 обработки данных кодирует, уплотняет и модулирует каждый поток данных в соответствии с режимом передачи, выбранным для его параллельного канала, чтобы предоставлять соответствующий поток символов модуляции. TX-устройство 120 обработки данных предоставляет NC потоков символов модуляции для NC потоков данных. Блок 122 передачи (TMTR) затем обрабатывает NC потоков символов модуляции способом, заданным системой. Например, блок 122 передачи может выполнять OFDM-обработку для системы с OFDM, пространственную обработку для системы с MIMO, или обе пространственную и OFDM обработки для системы с MIMO-OFDM (которая является системой с MIMO, употребляющей OFDM). Контрольный сигнал также передан, чтобы способствовать приемнику 150 в выполнении числа функций, таких как оценка, захват, частотная и временная синхронизация, когерентная демодуляция канала и так далее. Передающий Блок 122 мультиплексирует символы контрольного сигнала с символами модуляции для каждого параллельного канала, обрабатывает мультиплексированные символы и предоставляет модулированные сигналы каждой антенне, используемой для передачи данных. Каждый модулированный сигнал затем передан посредством первой линии 148 связи приемнику 150. Первая линия 148 связи искажает каждый модулированный сигнал согласно частотной характеристике конкретного канала и дополнительно портит модулированный сигнал (1) аддитивным гауссовым шумом (шумом с нормальным распределением), имеющим дисперсию N0 и (2), возможно, взаимными помехами от других передатчиков.
На приемнике 150, переданный сигнал(ы) принят одной или множеством антенн, и принятый сигнал от каждой антенны предоставлен принимающему (RCVR) блоку 160. Принимающий блок 160 приводит в нужное состояние и оцифровывает каждый принятый сигнал, чтобы предоставлять соответствующий поток отсчетов. Принимающий блок 160 дополнительно обрабатывает отсчеты способом, который является комплиментарным по отношению к выполненному передающим блоком 122, чтобы предоставлять NC потоков восстановленных сигналов, которые являются оценками NC потоков модулированных символов, посланных передатчиком 110.
Приемное (RX) устройство 162 обработки данных затем обрабатывает NC восстановленных потоков символов в соответствии с NC режимами передачи, выбранными для NC параллельных каналов, чтобы получать NC декодированных потоков данных, которые являются оценками NC потоков данных, посланных передатчиком 110. Обработка RX-устройством 162 обработки данных может включать в себя демодуляцию, разуплотнение и декодирование. RX-устройство 162 обработки данных может дополнительно предоставлять статус каждого принятого пакета данных и/или метрик декодера для каждого декодированного потока данных.
Принимающий блок 160 предоставляет принятые по NC параллельным каналам контрольные символы устройству 164 оценки канала. Устройство 164 оценки канала обрабатывает эти принятые контрольные символы, чтобы получать оценки канала для NC параллельных каналов. Оценки канала могут включать в себя, например, оценки коэффициента усиления, оценку дисперсии N0 шума и так далее. Дисперсия N0 шума, которая является минимальным уровнем шумов, наблюдаемым на приемнике 150, включает в себя канальный шум, шум цепей приемника, взаимную помеху (то есть перекрестную помеху) от других передающих сущностей и так далее.
Устройство 166 выбора режима передачи (TM) принимает оценки канала от устройства 164 оценки канала и, возможно, статус пакета и/или метрики декодера от TX-устройства 162 обработки данных. Устройство 166 выбора режима передачи вычисляет рабочий уровень SNR для каждого из NC параллельных каналов на основании оценок канала и SNR-компенсации для такого параллельного канала. Устройство 166 выбора режима передачи затем выбирает подходящий режим передачи для каждого параллельного канала на основании рабочего уровня SNR и информации внешнего контура для параллельного канала. Выбор режима передачи подробно описан ниже.
Контроллер 170 принимает NC выбранных режимов передачи, с TM 1 по TM NC, из устройства 166 выбора режима передачи и статус пакета из RX-устройства обработки данных (не показано). Контроллер 170 затем компонует информацию обратной связи для передатчика 110. Информация обратной связи может включать в себя NC выбранных режимов передачи для NC параллельных каналов, уведомления (ACK) и/или отрицательные уведомления (NAK) для принятых пакетов данных, контрольный сигнал и/или другую информацию. Информация обратной связи затем послана через вторую линию 152 связи передатчику 110. Передатчик 110 использует информацию обратной связи, чтобы настраивать обработку NC потоков данных, посылаемых приемнику 150. Например, передатчик 110 может настраивать скорость передачи данных, схему кодирования, схему модуляции или любые их сочетания для каждого из NC потоков данных, посылаемых по NC параллельным каналам приемнику 150. Информация обратной связи использована, чтобы увеличить эффективность системы посредством предоставления возможности данным быть переданными при наилучших известных настройках, поддерживаемых первой линией 148 связи.
В варианте осуществления, показанном на фиг. 1, оценка канала и выбор режима передачи выполнены приемником 150, и NC режимов передачи, выбранных для NC параллельных каналов, отправлены обратно передатчику 110. В других вариантах осуществления, оценка канала и выбор режима передачи могут быть выполнены (1) передатчиком 110 на основании информации обратной связи, полученной от приемника 150 и/или другой информации полученной передатчиком 110, или (2) совместно обоими передатчиком 110 и приемником 150.
Фиг. 2 показывает структурную схему варианта осуществления механизма 200 регулирования скорости замкнутым контуром, который включает в себя внутренний контур 210, который работает в соединении с другим внешним контуром 220. Для простоты, работа внутреннего контура 210 и внешнего контура 220 показана только для одного параллельного канала х на фиг. 2. Вообще, та же обработка может быть выполнена независимо для каждого из NC параллельных каналов.
Для внутреннего контура 210, устройство 164x оценки канала оценивает канальные условия для параллельного канала х и предоставляет оценки канала (например, оценки коэффициента усиления канала и оценку минимального уровня шума). Устройство 174 выбора в пределах устройства 166x выбора вычисляет принимаемое SNR для параллельного канала x на основании (1) оценок канала из устройства 164х оценки канала и (2) SNR-компенсации и/или настройку режима передачи для параллельного канала х из устройства 172 оценки качества. Для ясности, принимаемый SNR символически показан в качестве являющегося предоставляемым устройством 164х оценки канала устройству 174 выбора на фиг. 2. Устройство 174 выбора затем выбирает режим передачи для параллельного канала x на основании принятой информации, как описано ниже. Выбранный режим передачи для параллельного канала x включен в информацию обратной связи, посланную контроллером 170 передатчику. На передатчике, контроллер 130 принимает выбранный режим передачи для параллельного канала x и определяет регулировки скорости передачи данных, кодирования и модуляции для параллельного канала х. Данные затем обработаны в соответствии с этими регулировками TX-устройством 120х обработки данных, дополнительно мультиплексированы с символами контрольного сигнала и приведены в необходимое состояние передающим блоком 122х, и посланы приемнику. Оценка канала и выбор режима передачи могут быть выполнены периодически, в запланированные моменты времени, всякий раз, когда обнаружены изменения в линии связи, только когда необходимо (например, до или во время передачи данных) или в другое время.
Внешний контур 220 оценивает качество передачи данных, принимаемых по параллельному каналу х, и настраивает работу внутреннего контура 210 для параллельного канала х. Принятые символы данных для параллельного канала х обработаны RX-устройством 162х обработки данных, и статус каждого принятого пакета по параллельному каналу х и/или метрики декодера предоставлены устройству 172 оценки качества. Метрики декодера могут включать в себя закодированную частоту появления ошибок символа (SER), закодированную метрику мощности, модифицированную метрику Ямомото (для сверточного декодера), минимальное или усредненное логарифмическое отношение подобия (LLR) среди битов в декодированном пакете (для быстрого декодера) и так далее. Закодированной SER является частота появления ошибок среди принимаемых символов от принимающего блока 160 и закодированных символов, получаемых посредством обработки (например, перекодирования, ремодуляции и так далее) декодированных данных из RX-устройства 162 обработки данных. Модифицированная метрика Ямомото служит признаком доверия декодированным данным и получена на основании различия между выбранным (наилучшим) путем через решетку для сверточного декодирования и следующим ближайшим путем через решетку. Минимальное или усредненное LLR может также быть использовано в качестве признака доверия к декодированным данным. Эти метрики декодера, которые служат признаком доверия качества передачи данных, принятых по параллельному каналу х, известны в данной области техники.
Внешний контур 220 может предусматривать разные типы информации, используемой, чтобы регулировать работу внутреннего контура 210. Например, внешний контур 220 может предусматривать SNR-компенсацию для каждого параллельного канала. SNR-компенсация использована в вычислении рабочего SNR для параллельного канала, как описано ниже. Рабочее SNR затем предоставлено таблице соответствия (LUT) 176 и использовано для выбора режима передачи по параллельному каналу. SNR-компенсация таким образом влияет на выбор режима передачи. Внешний контур 220 может также предусматривать настройку режима передачи для каждого параллельного канала. Эта настройка может предписывать внутреннему контуру 210 выбрать режим передачи с более низкой скоростью передачи данных для параллельного канала. Настройка режима передачи непосредственно воздействует на выбор режима передачи. SNR-компенсация и настройка режима передачи – это два механизма для управления работой внутреннего контура 210. Внешний контур 220 может также быть предназначен для предоставления других типов настроек для внутреннего контура 210. Для простоты, только SNR-компенсация и настройка режима передачи описаны ниже. Внешний контур 220 может настраивать SNR-компенсацию и/или режим передачи разными способами, некоторые из которых описаны ниже.
В первом варианте осуществления, SNR-компенсация и/или режим передачи для каждого параллельного канала настроены на основании ошибок пакета, обнаруженных для потока данных, принятого по такому параллельному каналу. Поток данных может быть передан пакетами, блоками, кадрами или некоторыми другими единицами данных. (Для простоты, пакет использован в настоящем патентном документе вместо единицы данных.) Каждый пакет может быть кодирован кодом с обнаружением ошибки (например, код контроля при помощи циклического избыточного кода (CRC)), который предоставляет приемнику возможность обнаруживать, был ли пакет декодирован верно или с ошибкой. Каждый параллельный канал может быть ассоциативно связан с конкретной целевой частотой появления ошибок пакета (PER) (например, PER 1%). Устройство 172 оценки качества принимает статус каждого принятого пакета и целевую PER для параллельного канала х и настраивает SNR-компенсацию для параллельного канала х соответственно. Например, SNR-компенсация для параллельного канала х может быть инициализирована нулем в начале передачи данных по параллельному каналу х. SNR-компенсация может впоследствии быть уменьшена на DN для каждого хорошего пакета и увеличена на UP для каждого плохого пакета, где DN и UP могут быть выбраны на основании целевой PER и желаемой постоянной времени (времени отклика) для внешнего контура. SNR-компенсация типично является положительным значением или нулем, но также может быть и отрицательным значением (например, чтобы принимать во внимание высокую начальную оценку принимаемого SNR). В качестве альтернативы или дополнительно, устройство 172 оценки качества может предусматривать указание на настройку режима передачи для параллельного канала х на следующую более низкую скорость передачи данных, например, если последовательность ошибок пакета обнаружена на параллельном канале х. SNR-компенсация и/или настройка режима передачи из устройства 172 оценки качества использованы устройством 174 выбора, чтобы выбирать режим передачи для параллельного канала х.
Во втором варианте осуществления SNR-компенсация и/или режим передачи для каждого параллельного канала настроены на основании метрик декодера для такого параллельного канала. Метрики декодера для каждого параллельного канала могут быть использованы, чтобы оценивать качество передачи данных, принимаемых по такому параллельному каналу. Если конкретная метрика декодера для данного параллельного канала хуже чем пороговая величина, выбранная для такой метрики, то SNR-компенсация и/или режим передачи для такого параллельного канала могут быть настроены соответственно.
В третьем варианте осуществления, SNR-компенсация и/или режим передачи для каждого параллельного канала настроены на основании принятого SNR и требуемого SNR для такого параллельного канала. Принимаемое SNR для каждого параллельного канала может быть определено на основании принимаемых символов контрольного сигнала для такого параллельного канала. Система может поддерживать множество режимов передачи (например, которые показаны в таблице 2), и каждый поддерживаемый режим передачи требует разного минимального SNR, чтобы достигать целевой PER. Устройство 172 оценки качества может определять допустимое отклонение SNR для параллельного канала х, которое является разницей между принятым SNR и требуемым SNR для параллельного канала х. Если допустимое отклонение SNR для параллельного канала х является отрицательным значением, то режим передачи может быть настроен на следующую более низкую скорость передачи данных.
Третий вариант осуществления может также быть использован для конструктивного решения, посредством которого пакет демультиплексируется и передается через многочисленные параллельные каналы. Если пакет принят с ошибкой, то может быть невозможным определить (только из принятого пакета) какой или какие из параллельных каналов являются причиной того, что пакет принимается с ошибкой. Если никакая другая информация не доступна, то может быть необходимым настраивать NC SNR-компенсаций и/или NC режимов передачи для всех NC параллельных каналов, например так, что следующая более низкая скорость передачи данных использована для каждого параллельного канала. Это может иметь результатом чрезмерную величину понижения в общей скорости передачи данных. Однако, используя третий вариант осуществления, параллельный канал с наименьшим отклонением SNR может быть допущен в качестве явившегося причиной ошибки пакета, и режим передачи для этого параллельного канала может быть настроен на следующую более низкую скорость передачи данных.
Внешний контур может также настраивать работу внутреннего контура другими способами, и это находится в пределах объема изобретения. Вообще, внешний контур работает на скорости, которая может быть выше или ниже, чем скорость внутреннего контура. Например, настройка SNR-компенсации внешним контуром может быть зависимой от многих принятых пакетов. Внешний контур может также настраивать скорость передачи данных в пределах регулярно запланированных вычислений внутреннего контура. Таким образом, в зависимости от своего определенного конструктивного решения и способа работы, внешний контур типично имеет большее влияние на работу внутреннего контура для более длительных передач данных. Для пульсирующих передач, внешний контур может не иметь значительного или какого-либо влияния на работу внутреннего контура.
Фиг. 3 показывает блок схему последовательности 300 операций для передачи NC потоков данных по NC параллельных каналов, использующей NC режимов передачи, выбранных регулированием скорости замкнутым контуром. Последовательность 300 операций может быть реализована, как показано на фиг. 1 и 2. В исходном положении, приемник оценивает коэффициенты усиления канала и минимального уровня шума, N0, для NC параллельных каналов (этап 312). Приемник затем выбирает режим передачи для каждого из NC параллельных каналов на основании оценок коэффициента усиления, оценки минимального уровня шумов, и информации внешнего контура (если имеет место) для каждого параллельного канала (этап 314). Информация внешнего контура может включать в себя SNR-компенсацию и/или настройку режима передачи для каждого из NC параллельных каналов. Выбор режима передачи описан ниже. Приемник посылает NC выбранных режимов передачи для NC параллельных каналов, в качестве информации обратной связи, передатчику (этап 316).
Передатчик кодирует и модулирует NC потоков данных в соответствии с NC выбранными режимами передачи (полученными от приемника), чтобы предоставлять NC потоков символов модуляции (этап 322). Передатчик затем обрабатывает и передает NC потоков символов модуляции по NC параллельным каналам приемнику (этап 324).
Приемник обрабатывает передаваемые сигналы данных, принятые по NC параллельным каналам от передатчика, и получает NC потоков восстановленных символов (этап 332). Приемник дополнительно обрабатывает NC потоков восстановленных символов в соответствии с NC выбранными режимами передачи, чтобы получить NC потоков декодированных данных (этап 334). Приемник также оценивает качество передачи данных, принимаемых по каждому из NC параллельных каналов, например, на основании статуса пакета, метрик декодера, принимаемых SNR и так далее (этап 336). Приемник затем предоставляет информацию внешнего контура для каждого из NC параллельных каналов на основании оцененного качества для передачи данных, принимаемых по такому параллельному каналу (этап 338). На фиг. 3, этапы с 312 по 324 включительно могут быть рассмотрены как часть внутреннего контура, а этапы с 332 по 338 включительно могут быть рассмотрены как часть внешнего контура.
Фиг. 4 показывает блок-схему примерной последовательности 400 операций, которая может быть выполнена для внешнего контура. Статус пакетов данных, принятых по каждому из NC параллельных каналов получен и использован, чтобы настраивать SNR-компенсацию и/или режим передачи для такого параллельного канала (этап 412). Метрики декодера для каждого из NC параллельных каналов могут также быть получены и использованы, чтобы настраивать SNR-компенсацию и/или режим передачи для такого параллельного канала (этап 414). Принимаемое SNR для каждого из NC параллельных каналов может также быть получено для каждого параллельного канала и использовано для вычисления допустимого отклонения SNR для такого параллельного канала. Допустимые отклонения SNR для NC параллельных каналов могут быть использованы, чтобы настраивать режимы передачи для параллельных каналов, если обнаружены ошибки пакета (этап 416). Внешний контур может реализовывать любой из или любое сочетание этапов, показанных на фиг. 4, в зависимости от его определенного конструктивного решения.
Технологии регулирования скорости замкнутым контуром, описанные в данном патентном документе, могут быть использованы для различных типов многоканальных систем связи, имеющих многочисленные параллельные каналы, которые могут быть использованы для передачи данных. Например, эти технологии могут быть использованы для систем с TDM, систем с FDM, OFDM-ориентированных систем, систем с MIMO, систем c MIMO, которые употребляют OFDM (то есть, систем с MIMO-OFDM), и так далее.
Система с TDM может передавать данные в кадрах, каждый из которых может быть с конкретной временной длительностью. Каждый кадр может включать в себя многочисленные (NTS) сегменты, которые могут быть назначены разными признаками сегмента. NC параллельных каналов могут быть сформированы NTS сегментами в каждом кадре, где NC NTS. Каждый из NC параллельных каналов может включать в себя один или многочисленные сегменты. NC каналов считаются параллельными , даже если они не передаются одновременно.
Система с FDM может передавать данные в (NSB) частотных поддиапазонах, которые могут быть произвольно расположены с интервалами. Каждый из NC параллельных каналов может быть сформирован посредством NSB поддиапазонов, где NС NSB. Каждый из NС параллельных каналов может включать в себя один или многочисленные поддиапазоны.
Система с OFDM использует OFDM, чтобы эффективно сегментировать полный частотный диапазон системы на многочисленные (NF) ортогональные поддиапазоны, которые могут также быть указаны ссылкой как тональные, сборные и частотные каналы. Каждый поддиапазон ассоциативно связан с соответственной несущей, которая может быть модулирована данными. NC параллельных каналов могут быть сформированы посредством NF поддиапазонов, где NC NF. NC параллельных каналов сформированы посредством NC непересекающихся множеств из одного или более поддиапазонов. NC множеств расчленены так, что каждый из NF поддиапазонов назначены только одному множеству (и таким образом одному параллельному каналу), если вообще назначен. Система с OFDM может быть рассмотрена как специальный тип системы с FDM.
Система с MIMO применяет многочисленные (NT) передающие антенны и многочисленные (NR) приемные антенны для передачи данных и обозначена как (NT, NR)-система. MIMO-канал, сформированный посредством NT передающих и NR приемных антенн, составлен из пространственных каналов, которые могут быть использованы для передачи данных, где NS min {NT,NR}. Количество пространственных каналов определено характеристической матрицей H канала, которая описывает зависимость между NT передающими и NR приемными антеннами. Для простоты, последующее описание допускает, что характеристическая матрица H является полноранговой. В этом случае, количество пространственных каналов установлено как NS = NT NR. NC параллельных каналов могут быть сформированы посредством NS пространственных каналов, где NС NS. Каждый из NС параллельных каналов может включать в себя один или многочисленные пространственные каналы.
Система с MIMO-OFDM имеет NS пространственных каналов для каждого из NF поддиапазонов. NC параллельных каналов могут быть сформированы посредством NS пространственных каналов, каждый из NF поддиапазонов, где NС NF · NS. Каждый из NС параллельных каналов может включать в себя один или многочисленные пространственные каналы из одного или многочисленных поддиапазонов (то есть, любую комбинацию из пространственных каналов и поддиапазонов). Для систем с MIMO и с MIMO-OFDM, NС параллельных каналов могут также быть сформированы посредством NT передающих антенн, где NС NT. Каждый из NС параллельных каналов может быть ассоциативно связан с одним или многочисленными передающими антеннами для передачи данных.
Для систем с MIMO и с OFDM, данные могут быть переданы по NS пространственным каналам различными способами. Для системы с MIMO с частичной информацией о состоянии канала (частичной CSI), данные переданы по NS пространственным каналам без какой-либо пространственной обработки на передатчике и с пространственной обработкой на приемнике. Для систем с MIMO с полной CSI, данные переданы по NS пространственным каналам с пространственной обработкой и на передатчике, и на приемнике. Для систем с MIMO полной CSI, разложение по собственным значениям или разложение по особым значениям могут быть выполнены по характеристической матрице H канала, чтобы получить NS собственных мод MIMO-канала. Данные переданы на NS собственных модах, которые являются ортогональными пространственными каналами.
Технологии регулирования скорости замкнутым контуром, описанные в настоящем патентном документе, могут быть использованы для дуплексных систем с временным разделением (TDD-систем), так же как и для дуплексных систем с частотным разделением (FDD-систем). Для TDD-системы, нисходящая и восходящая линии связи разделяют использование одного и того же частотного диапазона и, вероятно, должны наблюдать сходные эффекты замирания и многолучевого распространения. Таким образом, частотная характеристика канала каждой линии может быть оценена на основании контрольного сигнала, принятого либо по одной, либо по другой линии. Для FDD-системы, нисходящая и восходящая линии связи используют различные частотные диапазоны и, вероятно, должны наблюдать разные эффекты замирания и многолучевого распространения. Частотная характеристика для каждой линии может быть оценена на основании контрольного сигнала такой линии.
Технологии регулирования скорости замкнутым контуром могут быть использованы для систем с MIMO как с частичной CSI, так и с полной CSI. Эти технологии тоже могут быть использованы для нисходящей линии связи так же, как и для восходящей.
Технологии регулирования скорости замкнутым контуром далее описаны подробно для примерной многоканальной системы связи, которая является TDD-системой с MIMO-OFDM с полной CSI. Для простоты, в последующем описании, термин собственная мода и широкополосная собственная мода использованы, чтобы отмечать случай, когда сделана попытка ортоганализировать пространственные каналы, даже если это не может быть полностью успешным из-за, например, несовершенной оценки канала.
I. TDD-система с MIMO-OFDM
Фиг. 5 показывает примерную TDD-систему 500 с MIMO-OFDM с некоторым количеством точек доступа 500 (AP), которые поддерживают связь для количества пользовательских оконечных устройств 520 (UT). Для простоты, только две точки доступа, 510a и 510b, показаны на фиг. 5. Точка доступа может также быть указана ссылкой как базовая станция, базовая приемо-передающая система, узел B, или некоторой другой терминологией. Пользовательское оконечное устройство может быть стационарным или мобильным и также может быть указано ссылкой как терминал доступа, мобильная станция, оборудование пользователя (UE), беспроводное устройство или некоторой другой терминологией. Каждое пользовательское оконечное устройство может связываться с одной или, возможно, с многочисленными точками доступа по нисходящей и/или восходящей линиям связи в любой заданный момент. Системный контроллер 530 присоединяется к точкам 510 доступа и предусматривает координирование и управление для этих точек доступа.
Фиг. 6 показывает примерную структуру 600 кадра, которая может быть использована в TDD-системе 500 с MIMO-OFDM. Передача данных происходит по элементам TDD-кадров, каждый из которых захватывает конкретную длительность времени (например, 2 мс). Каждый TDD-кадр разделен на фазу нисходящей и фазу восходящей линий связи, и каждая фаза дополнительно разделена на многочисленные сегменты для многочисленных транспортных каналов. В варианте осуществления, показанном на фиг. 6, транспортные каналы нисходящей линии связи включают в себя широковещательный канал (BCH), прямой канал управления (FCCH) и прямой канал (FCH), а транспортные каналы восходящей линии связи включают в себя обратный канал (RCH) и канал с произвольным доступом (RACH).
В фазе нисходящей линии связи, BCH-сегмент 610 использован, чтобы передавать BCH-модуль 612 данных протокола (PDU), который включает в себя контрольный сигнал 614 вызова, контрольный MIMO-сигнал 616 и BCH-сообщение 618. Контрольный сигнал вызова является контрольным сигналом, передаваемым от всех антенн, и использован для временного и частотного захвата. Контрольный MIMO-сигнал является контрольным сигналом, передаваемым от всех антенн, но с разными ортогональными кодами для каждой антенны, для того чтобы предоставить возможность пользовательским оконечным устройствам по отдельности идентифицировать антенны. Контрольный сигнал MIMO использован для оценки канала. BCH-сообщение несет параметры системы для пользовательских оконечных устройств. FCCH-сегмент 620 использован, чтобы передавать один PDU FCCH, который несет назначения для ресурсов нисходящей и восходящей линий связи (например, выбранные режимы передачи для нисходящей и восходящей линий связи) и другую сигнализацию для пользовательских оконечных устройств. FCH-сегмент 630 использован, чтобы передавать один или более PDU FCH 632 по нисходящей линии связи. Разные типы PDU FCH могут быть определены. Например, PDU FCH 632a включает в себя управляемый опорный сигнал 634a и пакет данных 636a, а PDU FCH 632b включает в себя только пакет данных 636b. Управляемый опорный сигнал является контрольным сигналом, который передан по специальной широкополосной собственной моде (как описано ниже) и использован для оценки канала.
В фазе восходящей линии связи, RCH-сегмент 640 использован, чтобы передавать один или более PDU RCH 642 по восходящей линии связи. Разные типы PDU RCH могут также быть определены. Например, PDU RCH 642a включают в себя только пакет данных 646a, а PDU RCH 642b включает в себя управляемый опорный сигнал 644b и пакет данных 646b. RACH-сегмент 650 использован пользовательским оконечным устройством, чтобы получать доступ к системе и посылать короткие сообщения по восходящей линии связи. PDU RACH 652 может быть послан в RACH-сегменте 650 и включает в себя контрольный сигнал (например, управляемый опорный сигнал) 654 и сообщение 656.
Фиг. 6 показывает примерную структуру кадра для TDD-системы. Другие структуры кадра могут также быть использованы, и это находится в пределах объема изобретения.
1. Пространственная обработка
Для системы с MIMO OFDM, частотная характеристика канала между точкой доступа и пользовательским оконечным устройством может быть охарактеризована множеством характеристических матриц канала H(k), для k K, где K представляет множество всех интересующих поддиапазонов (например, К = {1,…, NF}). Для TDD-системы с MIMO-OFDM с совместно используемым частотным диапазоном, частотным характеристикам канала нисходящей и восходящей линий связи может быть допущено быть обратимыми по отношению друг к другу. Это значит, что если H(k) представляет характеристическую матрицу канала от антенного массива A к антенному массиву B для поддиапазона k, то обратимый канал предполагает, что сопряжение от массива B к массиву A задано посредством HT(k), где AT означает транспонирование A.
Однако, частотные характеристики передающих и принимающих звеньев в точке доступа типично отличаются от частотных характеристик передающих и принимающих звеньев на пользовательском оконечном устройстве. Может быть выполнена калибровка, чтобы получить поправочные матрицы, используемые для учета различий в частотных характеристиках. С помощью этих поправочных матриц калиброванная характеристика канала нисходящей линии связи, Hcdn(k), соблюдаемая пользовательским оконечным устройством, является транспонированием калиброванной характеристики канала восходящей линии связи, Hcup(k), соблюдаемой точкой доступа, то есть Hcdn(k) = HT cup(k), для k K. Для простоты, последующее описание допускает, что частотные характеристики канала нисходящей и восходящей линий связи калиброваны и обратимы по отношению друг к другу.
По нисходящей линии связи, контрольный MIMO-сигнал может быть передан точкой доступа (например, в BCH-сегменте 610) и использован пользовательским оконечным устройством, чтобы получать оценку калиброванной частотной характеристики канала нисходящей линии связи, , для k K. Пользовательское оконечное устройство может оценивать калиброванную частотную характеристику канала восходящей линии связи как Пользовательское оконечное устройство может выполнять разложение по особым значениям матрицы для каждого поддиапазона k, как изложено ниже:
для k K, рав. (1)
где – унитарная матрица левых собственных векторов матрицы 
– – диагональная матрица особых значений матрицы 
– унитарная матрица правых собственных векторов матрицы 
AH – сопряженное транспонирование A;
Nap – количество антенн в точке доступа; и
Nut – количество антенн на пользовательском оконечном устройстве.
Подобным образом, разложение по особым значениям матрицы может быть выражено как:
, для k K, рав. (2)
где и унитарные матрицы соответственно левых и правых собственных векторов матрицы , и * означает комплексное сопряжение. Разложение по особым значениям описано Гилбертом Странгом (Gilbert Strang) в книге, озаглавленной Linear Algebra and Its Applications , Second Edition, Academic Press, 1980 ( Линейная алгебра и ее приложения , второе издание, научное издательство, 1980).
Как показано в равенствах (1) и (2), матрицы из левых и правых собственных векторов для одной линии являются комплексным сопряжением матриц соответственно из правых и левых собственных векторов для другой линии. Матрицы и могут быть использованы точкой доступа и пользовательским оконечным устройством соответственно для пространственной обработки и обозначены как таковые своими нижними индексами. Матрица включает в себя оценки особого значения, которые представляют коэффициенты усиления пространственных каналов (или собственных мод) характеристической матрицы канала для каждого поддиапазона k.
Разложение по особым значениям может быть выполнено независимо для характеристической матрицы для каждого поддиапазона k, чтобы
определить NS собственных мод такого поддиапазона. Оценки особого значения для каждой диагональной матрицы могут быть упорядочены, так что { … }, где – наибольшая оценка особого значения, а – наименьшая оценка особого значения для поддиапазона k. Когда оценки особого значения для каждой диагональной матрицы упорядочены, собственные векторы (или столбцы) ассоциативно связанных матриц и тоже соответственно упорядочены. Широкополосная собственная мода может быть определена как множество тождественно упорядоченных собственных мод всех поддиапазонов после упорядочивания. Таким образом, m-я широкополосная собственная мода включает в себя m-е собственные моды всех поддиапазонов. Главная широкополосная собственная мода является ассоциативно связанной с наибольшей оценкой особого значения в матрице для каждого из поддиапазонов. NS параллельных каналов могут быть сформированы посредством NS широкополосных собственных мод.
Пользовательское оконечное устройство может передавать управляемый опорный сигнал по восходящей линии связи (например, в RCH-сегменте 640 или RACH-сегменте 650 по фиг. 6). Управляемый опорный сигнал восходящей линии связи для широкополосной собственной моды может быть выражен как:
для k K, рав. (3)
где xup,sr,m(k) – вектор из Nut символов, присылаемых от Nut антенн пользовательских оконечных устройств для поддиапазона k широкополосной собственной моды m для управляемого опорного сигнала;
– m-й столбец матрицы для поддиапазона k, где
=[ … ], и
p(k) – контрольный символ, посылаемый по поддиапазону k.
Управляемый опорный сигнал для всех NS широкополосных собственных мод могут быть переданы в NS символьных OFDM-периодах, или меньше чем в NS символьных OFDM-периодах, используя мультиплексирование поддиапазонов. Управляемый опорный сигнал для каждой широкополосной собственной моды может также быть передан по многочисленным символьным OFDM-периодам.
Принимаемый опорный сигнал восходящей линии связи в точке доступа может быть выражен как:
для k K, рав. (4)
где rup,sr,m(k) – вектор из Nap символов, принимаемых по Nap антеннам точек доступа для поддиапазона k широкополосной собственной моды m для управляемого опорного сигнала;
– m-й столбец матрицы для поддиапазона k, где
=[ … ];
– оценка особого значения для поддиапазона k широкополосной собственной моды m, то есть m-й диагональный элемент матрицы и
nup(k) – аддитивный гауссовский белый шум (AWGN) для поддиапазона k на восходящей линии связи.
Как показано в равенстве (4), в точке доступа принимаемый управляемый опорный сигнал (в отсутствие шума) приближенно равен . Точка доступа может таким образом получать оценки и , и для каждого поддиапазона k на основании принятого управляемого опорного сигнала для поддиапазона. Оценка для поддиапазона k широкополосной собственной моды m, может быть выражена как:
, для k K и m M, рав. (5)
где означает квадратичную норму a;
– i-й элемент вектора rup,sr,m(k); и
M представляет интересующее множество широкополосных собственных мод, например, M = {1,…,NS}.
Оценка для поддиапазона k широкополосной собственной моды m, может быть выражена как:
для k K и m M, рав. (6)
Двойная крышка для и указывает, что они являются оценками оценок, то есть оценками, полученными точкой доступа для оценок и , полученных пользовательским оконечным устройством. Если управляемый опорный сигнал для каждой широкополосной собственной моды передан по многочисленным OFDM-периодам символа, то точка доступа может усреднять принятый управляемый опорный сигнал по каждой широкополосной собственной моде, чтобы получить более точную оценку и .
Таблица 1 резюмирует пространственную обработку в точке доступа и пользовательском оконечном устройстве для передачи и приема данных на многочисленных широкополосных собственных модах.
В таблице 1, s(k) – вектор данных из модулированных символов (полученный из символьного преобразования в передатчике), x(k) передаваемый вектор из передаваемых символов (полученный после пространственной обработки), r(k) – принимаемый вектор из принимаемых символов (полученный после OFDM-обработки на приемнике), и – оценка вектора s(k) (полученная после пространственной обработки на приемнике), где все вектора для поддиапазона k. Подстрочные индексы dn и up для этих векторов означают нисходящую и восходящую линии связи соответственно. В таблице 1, – диагональная матрица, определенная как 
Управляемый опорный сигнал может быть передан для одной широкополосной моды за раз пользовательским оконечным устройством или может быть передан для многочисленных широкополосных собственных мод одновременно, используя ортогональный базис (например, коды Уолша). Управляемый опорный сигнал для каждой широкополосной моды может быть использован точкой доступа, чтобы получать , для k K, для такой широкополосной собственной моды. Если векторов получены отдельно (и по символам разных OFDM-периодов)
для NS собственных мод каждого поддиапазона, то, из-за шума и других источников деградации в беспроводной линии, векторов матрицы для каждого поддиапазона k возможно не будут ортогональными друг другу. В этом случае, NS векторов матрицы для каждого поддиапазона k могут быть приведены к ортогональному виду, используя QR-факторизацию, полярное разложение или некоторые другие способы.
В точке доступа, оценка принимаемого SNR для поддиапазона k широкополосной собственной моды m, ap,m(k), может быть выражена как:
для k K, m M, рав. (7)
где Pup,m(k) – передаваемая мощность, используемая пользовательским оконечным устройством для поддиапазона k широкополосной собственной моды m по восходящей линии связи; и
N0,ap – минимальный уровень шума в точке доступа.
На пользовательском оконечном устройстве, оценка принимаемого SNR для поддиапазона k широкополосной собственной моды m, ut,m(k), может быть выражена как:
для k K, m M, рав. (8)
где Pdn,m(k) – передаваемая мощность, используемая точкой доступа для поддиапазона k широкополосной собственной моды m по нисходящей линии связи; и
N0,ut – минимальный уровень шума на пользовательском оконечном устройстве.
Как показано в равенствах (7) и (8), принимаемый SNR для каждого поддиапазона каждой широкополосной моды, m(k), зависим от коэффициента усиления канала (которым является или ), минимального уровня шумов приемника
N0 и передаваемой мощности Pm(k). Принимаемое SNR может быть различным для разных поддиапазонов и собственных мод.
Фиг. 7 показывает блок-схему последовательности 700 операций для передачи многочисленных потоков данных по многочисленным широкополосным собственным модам по нисходящей и восходящей линиям связи в TDD-системе с MIMO-OFDM. Последовательность 700 операций допускает, что калибровка уже была выполнена и что канальные частотные характеристики нисходящей и восходящей линий связи являются транспозициями друг друга, то есть . Для последовательности 700 операций оценка канала выполнена на этапе 710, выбор режима передачи выполнен на этапе 730 и передача/прием данных выполнены на этапе 760.
Для оценки канала, точка доступа передает контрольный MIMO-сигнал по нисходящей линии связи (например, по BCH) (этап 712). Пользовательское оконечное устройство принимает и обрабатывает контрольный MIMO-сигнал, чтобы получить оценку калиброванной частотной характеристики канала нисходящей линии связи, , для k K (этап 714). Пользовательское оконечное устройство затем оценивает калиброванную частотную характеристику канала восходящей линии связи как и выполняет разложение по особым значениям (SVD) , чтобы получить матрицы и , для k K, как показано в равенстве (1) (этап 716). Пользовательское оконечное устройство затем передает управляемый опорный сигнал восходящей линии связи (например, по RACH или RCH), используя матрицы , для k K, как показано в равенстве (3) (этап 718). Точка доступа принимает и обрабатывает управляемый опорный сигнал восходящей линии связи, чтобы получить матрицы для k K, как описано выше (этап 720).
Для передачи данных по нисходящей линии связи, пользовательское оконечное устройство выбирает режим передачи (с наивысшей поддерживаемой скоростью передачи данных) для каждой широкополосной собственной моды по нисходящей линии связи на основании диагональной матрицы минимального уровня шумов
N0,ut на пользовательском оконечном устройстве и информации внешнего контура нисходящей линии связи (например, SNR-компенсации и/или настройках режима передачи для нисходящей линии связи) (этап 740). Выбор режима передачи описан ниже. Пользовательское оконечное устройство затем посылает информацию обратной связи, которая включает в себя NS режимов передачи, выбранных пользовательским оконечным устройством для нисходящей линии связи, и может дополнительно включать в себя минимальный уровень шумов N0,ut на пользовательском оконечном устройстве (этап 742). (Управляемый опорный сигнал, переданный на этапе 718, может также быть рассмотрен как информация обратной связи, посылаемая пользовательским оконечным устройством.)
Для передачи данных по восходящей линии связи, точка доступа выбирает NS режимов передачи для NS широкополосных собственных мод по восходящей линии связи на основании диагональной матрицы минимальном уровне шумов в точке доступа и информации внешнего замкнутого контура (например, SNR-компенсации и/или настройках режима передачи для восходящей линии связи) (этап 750). Точка доступа дополнительно выбирает NS режимов передачи для NS широкополосных собственных мод по нисходящей линии связи на основании информации обратной связи, принимаемой от пользовательского оконечного устройства (этап 752). Точка доступа затем посылает выбранные режимы передачи и для нисходящей и для восходящей линий связи (например, по FCCH) (этап 754). Пользовательское оконечное устройство принимает выбранные режимы передачи для обоих линий связей (этап 756).
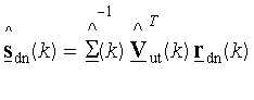
Для передачи данных по нисходящей линии связи, точка доступа (1) кодирует и модулирует данные для каждой широкополосной собственной моды нисходящей линии связи в соответствии с режимом передачи, выбранным для такой широкополосной собственной моды, (2) пространственно обрабатывает вектор данных sdn(k) матрицей , как показано в таблице 1, чтобы получать передаваемый вектор xdn(k), и (3) передает вектор xdn(k) по нисходящей линии связи (этап 762). Пользовательское оконечное устройство (1) принимает передачу по нисходящей линии связи, (2) выполняет согласованную фильтрацию принятого вектора rdn(k) матрицей , как показано в таблице 1, чтобы получить вектор для k K, и (3) демодулирует и декодирует принятые символы в соответствии с режимом передачи, выбранным для каждой собственной моды нисходящей линии связи (этап 764).
Для передачи данных по восходящей линии связи, пользовательское оконечное устройство (1) кодирует и модулирует данные для каждой широкополосной собственной моды восходящей линии связи в соответствии с режимом передачи, выбранным для такой широкополосной собственной моды, (2) пространственно обрабатывает вектор данных sup(k) матрицей , чтобы получить передаваемый вектор xup(k) для k K, и (3) передает вектор xup(k) по восходящей линии связи (этап 772). Точка доступа (1) принимает передачу по восходящей линии связи, (2) выполняет фильтрацию принятого вектора rup(k) матрицей , чтобы получить вектор , и (3) демодулирует и декодирует восстановленные символы в соответствии с режимом передачи, выбранным для каждой широкополосной собственной моды восходящей линии связи (этап 774). Для простоты, работа замкнутого контура и настройка режима передачи внешним контуром не показана на фиг. 7.
Фиг. 7 показывает специальный вариант осуществления последовательности операций, которая может быть использована для передачи данных по нисходящей и восходящей линий связи в примерной TDD-системе с MIMO-OFDM. Также могут быть реализованы другие последовательности операций, посредством которых могут быть выполнены оценка канала, выбор режима передачи и/или передача/прием данных некоторыми другими способами.
2. Выбор режима передачи
Фиг. 8 показывает блок-схему последовательности 800 операций для выбора NS режимов передачи для NS широкополосных собственных мод. Последовательность 800 операций может быть использована для этапов 740 и 750 по фиг. 7. В исходном положении, полная мощность передачи, Ptotal, имеющаяся в распоряжении на передатчике для передачи данных, распределена по NS широкополосным собственным модам на основании схемы распределения мощности (шаг 812). Передаваемая мощность Pm, выделенная каждой широкополосной собственной моде, затем распределена по NF поддиапазонам этой широкополосной собственной моды на основании той же самой или другой схемы распределения мощности (этап 814). Распределение мощности параллельно по NS широкополосным собственным модам и распределение мощности параллельно по NF поддиапазонам каждой широкополосной собственной моды может быть выполнено как описано ниже.
Рабочее SNR для каждой широкополосной собственной моды, op,m(k), вычислено на основании (1) выделенных передаваемых мощностей Pm(k) и коэффициентов усиления канала m(k) для поддиапазонов такой широкополосной собственной моды, (2) минимального уровня шумов N0 на приемнике, (3) SNR-компенсации для каждой широкополосной собственной моды (этап 816). Вычисление рабочего SNR описано ниже. Подходящий режим передачи qm затем выбран для каждой широкополосной собственной моды на основании рабочего SNR для такой широкополосной собственной моды и таблицы соответствия (этап 818). Избыточная мощность для каждой широкополосной собственной моды определена, и общая избыточная мощность для всех широкополосных собственных мод перераспределена по одной или более широкополосным собственным модам, чтобы повысить эффективность (этап 820). Режим передачи для каждой широкополосной собственной моды может быть настроен (например, на следующую более низкую скорость передачи данных), если это предписано внешним контуром информацией (этап 822). Каждый из этапов по фиг. 8 описан подробно ниже.
A. Распределение мощности по широкополосным собственным модам
Для этапа 812 по фиг. 8, общая передаваемая мощность, Ptotal, может быть распределена по NS широкополосным собственным модам, используя различные схемы. Некоторые из этих схем распределения мощности описаны ниже.
В равномерной схеме распределения мощности, полная передаваемая мощность, Ptotal, равномерно распределена по NS широкополосным собственным модам, так что им всем выделена равная мощность. Передаваемая мощность Pm, выделенная каждой широкополосной собственной моде m может быть выражена как:
для m M. рав. (9)
В схеме распределения мощности с разбавлением, полная передаваемая мощность, Ptotal, распределена по NS широкополосным собственным модам на основании процедуры разбавления или заполнения . Процедура разбавления распределяет полную передаваемую мощность, Ptotal, по NS широкополосным собственным модам так, что общая спектральная плотность доведена до максимума. Разбавление описано Робертом Дж.Галагером в книге Information Theory and Reliable Communication , John Wiley and Sons, 1968 ( Теория информации и надежная связь , 1968 г). Разбавление для NS широкополосных собственных мод может быть выполнено различными способами, некоторые из которых описаны ниже.
В первом варианте осуществления, полная передаваемая мощность, Ptotal первоначально распределена по NSNF поддиапазонам/собственным модам, используя разбавление и на основании принятых отношений SNR, , для k K, m M. Принимаемые SNR, m(k) могут быть вычислены как показано в рав. (7) или (8), с допущением, что Ptotal является равномерно распределенной по NSNF поддиапазонам/собственным модам. Результатом этого распределения мощности является начальная передаваемая мощность , для каждого поддиапазона/собственной моды. Передаваемая мощность Pm, выделенная каждой собственной моде поддиапазона затем получена суммированием начальных передаваемых мощностей, , выделенных
NF поддиапазонам такой собственной моде поддиапазона, как изложено ниже:
для m M. рав. (10)
Во втором варианте осуществления, полная передаваемая мощность, Ptotal, распределена по NS широкополосным собственным модам на основании усредненных SNR, вычисленных для этих широкополосных собственных мод. Первоначально, усредненное SNR, avg,m, вычислено для каждой широкополосной собственной моды m на основании принятых SNR для NF поддиапазонов такой широкополосной собственной моды, как изложено ниже:
рав. (11)
где avg,m вычислено как описано выше для первого варианта осуществления. Затем выполнено разбавление, чтобы распределить полную передаваемую мощность Ptotal по NS широкополосным собственным модам на основании их усредненных SNR, avg,m, для m M.
В третьем варианте осуществления, полная передаваемая мощность, Ptotal, распределена по NS широкополосным собственным модам на основании усредненных SNR для этих широкополосных собственных мод, после того как инверсия канала применена для каждой широкополосной моды. Для этого варианта осуществления, полная передаваемая мощность, Ptotal, сначала распределена равномерно по NS широкополосным собственным модам. Инверсия канала затем выполнена (как описано ниже) независимо для каждой широкополосной собственной моды, чтобы определить назначение первоначальной мощности, , для каждого поддиапазона такой широкополосной собственной моды. После инверсии канала, принимаемое SNR является таким же, как по всем поддиапазонам каждой широкополосной моды. Усредненное SNR для каждой широкополосной собственной моды затем приравнивается принимаемому SNR для любого одного из поддиапазонов такой широкополосной собственной моды. Принимаемое SNR, , для одного поддиапазона каждой широкополосной собственной моды может быть определено на основании назначения первоначальной мощности, , как показано в равенствах (7) и (8). Полная передаваемая мощность, Ptotal, затем распределена по NS широкополосным собственным модам, используя разбавление и на основании их усредненных SNR, , для m M.
Другие схемы также могут быть использованы, чтобы распределять полную передаваемую мощность по NS широкополосным собственным модам, и это находится в пределах объема изобретения.
B. Размещение мощности по поддиапазонам в каждой широкополосной собственной моде
Для этапа 814 на фиг. 8, передаваемая мощность, выделенная каждой широкополосной собственной моде, Pm, может быть распределена по NF поддиапазонам такой широкополосной собственной моды, используя различные схемы. Некоторые из этих схем распределения мощности описаны ниже.
В схеме равномерного распределения мощности, передаваемая мощность для каждой широкополосной собственной моды, Pm, распределена равномерно параллельно по NF поддиапазонам, так что им всем выделена равная мощность. Передаваемая мощность Pm(k), выделенная каждому поддиапазону может быть выражена как:
Pm(k)= для k K и m M. рав. (12)
Для равномерной схемы распределения мощности, принятые SNR для NF поддиапазонов каждой широкополосной собственной моды вероятно должны отличаться по поддиапазонам.
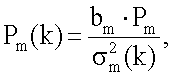
В схеме с инверсией канала, передаваемая мощность для каждой широкополосной собственной моды, Pm, распределена неравномерно по NF поддиапазонам, так что они достигают подобия принимаемым SNR на приемнике. В последующем описании, m(k) означает оцененный коэффициент усиления канала, который равен для нисходящей линии связи и для восходящей линии связи. Для схемы с инверсией канала, нормализация bm первоначально вычислена для каждой широкополосной собственной моды, как приведено ниже:
bm= для m M. рав. (13)
Передаваемая мощность Pm(k), выделенная для каждого поддиапазона каждой широкополосной собственной моды может затем быть вычислена как:
для k K и m M. рав. (14)
Удельный вес передачи, Wm(k), может быть вычислен для каждого поддиапазона каждой широкополосной моды, как приведено ниже:
для k K и m M. рав. (15)
Удельные веса передачи использованы, чтобы масштабировать символы модуляции на передатчике. Для схемы с инверсией канала, все NF поддиапазонов использованы для каждой широкополосной собственной моды, и принимаемые SNR для поддиапазонов примерно равны.
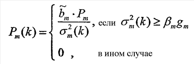
В схеме с селективной инверсией канала, передаваемая мощность для каждой широкополосной моды, Pm, распределена неравномерно по выбранным некоторым из NF поддиапазонов, так что выбранные поддиапазоны становятся подобными принимаемым SNR на приемнике. Выбранные поддиапазоны – это поддиапазоны с коэффициентами усиления каналов, равными или большими, чем пороговый коэффициент усиления. Для этой схемы, общий коэффициент усиления мощности, gm, первоначально вычислен для каждой широкополосной собственной моды, как описано ниже:
для m M. рав. (16)
Нормализация затем вычислена для каждой широкополосной собственной моды, как приведено ниже:

где mgm – пороговое значение коэффициента усиления и m – масштабирующий коэффициент, который может быть выбран, чтобы довести до максимального значения полную проходную мощность или на основании некоторого другого критерия. Передаваемая мощность, выделенная каждому поддиапазону каждой широкополосной собственной моды, Pm(k), может быть выражена как:
, для k K и m M. рав. (18)
Для схемы с селективной инверсией канала, NF или меньше поддиапазонов могут быть выбраны для использования для каждой широкополосной собственной моды и принимаемые SNR для выбранных поддиапазонов примерно равны.
Также могут быть использованы другие схемы для распределения передаваемой мощности Pm по NF поддиапазонам каждой широкополосной собственной моды, и это попадает в пределы объема изобретения.
C. Выбор режима передачи для каждой широкополосной собственной моды
Для этапа 816 на фиг. 8, рабочее SNR вычислено для каждой широкополосной собственной моды. Рабочее SNR показывает пропускную способность канала широкополосной собственной моды. Различные способы могут быть использованы для этапа 816, в зависимости от того сходны или различны принимаемые SNR по диапазонам каждой широкополосной собственной моды. В последующем описании, отношения SNR даны в единицах децибел (dB).
Если инверсия канала или селективная инверсия канала выполнена, то принимаемые SNR для поддиапазонов каждой широкополосной собственной моды, m(k), для k K, сходны. Принимаемое SNR для поддиапазона k широкополосной собственной моды m, m(k), может быть вычислено как:
, для k K, m M. (dB) рав. (19)
Рабочее SNR для каждой широкополосной собственной моды, op,m, равно принимаемому SNR для любого одного из поддиапазонов такой широкополосной собственной моды за вычетом SNR-компенсации для такой широкополосной собственной моды, как приведено ниже:
op,m= m(k)- os,m, для любого k K и m M, (dB)рав. (20)
где m(k), op,m и os,m даны в единицах dB в равенствах (19) и (20).
Если передаваемая мощность Pm для каждой широкополосной собственной моды равномерно распределена по поддиапазонам, то принимаемые SNR для поддиапазонов каждой широкополосной собственной моды вероятно будут различаться. В этом случае, рабочее SNR для каждой широкополосной собственной моды, op,m, может быть вычислено как:
op,m= avg,m– bo,m– os,m, (dB)рав. (21)
где avg,m – усреднение принимаемых SNR для NF поддиапазонов широкополосной собственной моды m; и
bo,m – коэффициент обратной связи, который учитывает принимаемые SNR, который может быть функцией изменения принимаемых SNR.
Для этапа 818 по фиг. 8, подходящий режим передачи выбран для каждой широкополосной собственной моды на основании рабочего SNR для такой широкополосной собственной моды. Система может быть предназначена для поддержки множества режимов передачи. Режим передачи, имеющий индекс 0, предназначен для нулевой скорости передачи данных (то есть, когда нет передачи данных). Каждый поддерживаемый режим передачи ассоциативно связан с конкретным минимальным SNR, требуемым для достижения желаемого уровня пропускной способности (например, PER в 1%). Таблица 2 перечисляет примерное множество из 14 режимов передачи, поддерживаемых системой, которые идентифицированы индексами режима передачи от 0 до 13. Каждый режим передачи ассоциативно связан с конкретной спектральной плотностью, конкретным коэффициентом кодирования, конкретной схемой модуляции и минимальным SNR, требуемым для достижения PER в 1% для незамирающего канала c AWGN. Спектральная плотность имеет отношение к скорости передачи данных (то есть информационной скорости передачи в битах), нормированной полосой пропускания системы, и дана в единицах бит в секунду на герц (бит / сек/Гц). Спектральная плотность для каждого режима передачи определена схемой кодирования и схемой модуляции для такого режима передачи. Степень кодирования и схема модуляции для каждого режима передачи по таблице 2 характерны для проектного решения примерной системы.
Для каждого поддерживаемого режима передачи с ненулевой скоростью передачи данных, требуемое SNR получено на основании определенного конструктивного решения системы (то есть конкретной степени кодирования, схемы уплотнения, схемы модуляции и так далее, используемых системой для такого режима передачи) и для канала с AWGN. Требуемое SNR может быть получено посредством машинного моделирования, эмпирических измерений и так далее, как известно в данной области техники). Таблица соответствия может быть использована, чтобы хранить множество поддерживаемых режимов передачи и их требуемых SNR.
Рабочее SNR для каждой широкополосной собственной моды, op,m может быть предоставлено таблице соответствия, которая затем предоставляет режим передачи qm такой широкополосной собственной моде. Этот режим передачи qm поддержан режимом передачи с наивысшей скоростью передачи данных и требуемым SNR, req,m, которое меньше чем или равно рабочей SNR (то есть, req,m op,m). Таблица соответствия таким образом выбирает наивысшую возможную скорость передачи данных для каждой широкополосной собственной моды на основании рабочего SNR для такой широкополосной собственной моды.
D. Переразмещение передаваемой мощности
Для этапа 820 по фиг. 8, избыточная передаваемая мощность для каждой широкополосной собственной моды определена и перераспределена, чтобы улучшить пропускную способность. Последующие термины использованы для дальнейшего описания:
– активная широкополосная собственная мода – широкополосная собственная мода с ненулевой скоростью передачи данных (то есть режимом передачи, имеющим индекс от 1 до 13 включительно по таблице 2);
– насыщенная широкополосная собственная мода – широкополосная собственная мода с максимальной скоростью передачи данных (то есть режим передачи, имеющий индекс 13); и
– ненасыщенная широкополосная собственная мода – активная широкополосная собственная мода с ненулевой скоростью передачи данных, меньшей чем максимальная скорость передачи данных (то есть режим передачи, имеющий индекс от 1 до 12 включительно).
Рабочее SNR для широкополосной собственной моды может быть меньшим, чем наименьшее требуемое SNR в таблице соответствия (то есть op,m<-1,8 dB для режимов передачи, показанных в таблице 2). В этом случае, широкополосная собственная мода может быть выключена (то есть не используема), и передаваемая мощность для этой широкополосной собственной моды может быть перераспределена по другим широкополосным собственным модам.
Выбранный режим передачи qm для каждой активной широкополосной моды ассоциативно связан с требуемым SNR, req,m, которое равно или меньше чем рабочее SNR, то есть req,m op,m. Минимальная передаваемая мощность, требуемая для каждой активной широкополосной собственной моды Preq,m, может быть вычислена как:
для m M. рав. (22)
Требуемая передаваемая мощность равна нулю (Preq,m=0) для каждой широкополосной собственной моды, которая выключена (то есть с режимом передачи, имеющим индекс 0 в таблице 2).
Избыточная мощность для каждой широкополосной собственной моды, Pexcess,m, является величиной выделенной мощности, которая превышает минимальную мощность, необходимую для достижения требуемого SNR (то есть Pexcess,m = Pm – Preq,m). Общая избыточная мощность для всех широкополосных собственных мод, Pexcess, может быть вычислена как:
. |
 |
| рав. (23) |
Общая избыточная мощность, Pexcess, может быть перераспределена разными способами. Например, общая избыточная мощность, Pexcess, может быть перераспределена по одной или более широкополосным собственным модам, так что достигнута более высокая суммарная пропускная способность. В одном из вариантов осуществления, общая избыточная мощность, Pexcess, распределена по одной ненасыщенной широкополосной собственной моде за раз, начиная с самой лучшей, имеющей наивысшую скорость передачи данных, чтобы переместить широкополосную собственную моду на следующую более высокую скорость передачи данных. В другом варианте осуществления, общая избыточная мощность, Pexcess, перераспределена по широкополосной собственной моде, которая может достигать самого высокого увеличения скорости передачи данных с наименьшей величиной передаваемой мощности.
Если все широкополосные собственные моды задействованы на самой высокой скорости передачи данных, или если остаточная избыточная мощность не может увеличить скорость передачи данных ни одной широкополосной собственной моды, то остаточная избыточная мощность может быть перераспределена по одной, многочисленным или всем активным широкополосным собственным модам, чтобы улучшить допустимые пределы SNR для этих широкополосных собственных мод.
E. Настройка режима передачи
Для этапа 822 на фиг. 8, режим передачи для каждой широкополосной собственной моды может быть настроен на основании информации из внешнего контура. Выбранные режимы передачи для широкополосных собственных мод нисходящей и восходящей линий связи могут быть настроены, используя технологии, описанные выше по фиг. 2. Например, если чрезмерные ошибки пакета приняты по заданной широкополосной собственной моде, то внешний контур может предоставлять настройку режима передачи такой широкополосной собственной моде. В качестве еще одного примера, скользящее среднее принимаемых SNR может быть поддержано в рабочем состоянии для каждой широкополосной собственной моды и использовано, чтобы вычислять предельное отклонение SNR для такой широкополосной собственной моды. Если предельное отклонение SNR для данной широкополосной собственной моды отрицательно, то режим передачи для широкополосной собственной моды может быть настроен на следующую более низкую скорость передачи данных. Если пакет передан на многочисленных широкополосных собственных модах, то режим передачи для широкополосной собственной моды с худшим отклонением SNR может быть настроен на следующую более низкую скорость передачи данных всякий раз, когда обнаружены ошибки пакета. В любом случае, настройка режима передачи может предписывать выбор другого режима передачи с более низкой скоростью передачи данных, чем тот, который выбран на этапе 818.
II. Система с MIMO-OFDM
Фиг. 9A показывает структурную схему варианта осуществления точки доступа 510х и пользовательского оконечного устройства 520х в TDD-системе с MIMO-OFDM. Точка доступа 510х является одной из точек доступа 510 по фиг. 5, а пользовательское оконечное устройство 520х является одним из пользовательских оконечных устройств 520. Фиг. 9A показывает обработку для передачи по нисходящей линии связи. В этом случае, точка доступа 510х является передатчиком 110 по фиг. 1, а пользовательское оконечное устройство 520х является приемником 150.
Для передачи по нисходящей линии связи, в точке доступа 510х, данные потока обмена информацией предоставлены от источника 912 данных в TX-устройство 920 обработки данных, который демультиплексирует данные потока обмена информацией в NC потоков данных, где NC > 1. Данные потока обмена информацией могут поступать от многочисленных источников данных (например, один источник данных для каждого высокоуровневого приложения), и демультиплексирование может не быть необходимым. Для простоты, только один источник 912 данных показан на фиг. 9A. TX-устройство 920 обработки данных форматирует, кодирует, уплотняет, модулирует и масштабирует каждый поток данных в соответствии с режимом передачи, выбранным для такого потока данных, чтобы предоставлять поток соответствующих масштабированных символов модуляции. Скорость передачи данных, кодирование и модуляция для каждого потока данных может быть определена регулировкой скорости передачи данных, регулировкой кодирования и регулировкой модуляции соответственно, предоставленных контроллером 940. TX-устройство 920 обработки данных предоставляет NC потоков масштабированных символов модуляции TX-устройству 928 пространственной обработки.
TX-устройство 928 пространственной обработки обрабатывает NC потоков масштабированных символов модуляции на основании выбранной схемы передачи, мультиплексирует в контрольные символы и предоставляет Nap потоков передаваемых символов Nap передающим (TMTR) блокам от 930a до 930ap. Выбранная схема передачи может быть для разнесения передачи, пространственного мультиплексирования или управления диаграммой направленности. Разнесение передачи влечет за собой передачу данных избыточно от многочисленных антенн и/или по многочисленным поддиапазонам, чтобы получать разнесение и улучшение надежности. Пространственно-временное разнесение передачи (STTD) может быть использовано для разнесения передачи. Управление диаграммой направленности влечет за собой передачу данных по одиночному (самому лучшему) пространственному каналу на полной мощности, используя информацию управления фазой для главной собственной моды. Пространственное мультиплексирование влечет за собой передачу данных по многочисленным пространственным каналам, чтобы достигать наивысшей спектральной плотности. Пространственная обработка для пространственного мультиплексирования показана в таблице 1. Каждый передающий блок 930 выполняет OFDM-обработку над собственным потоком передаваемых символов, чтобы предоставлять соответствующий поток OFDM-символов, который дополнительно обработан для выработки модулированного сигнала. Nap модулированных сигналов от передающих блоков с 930a по 930ap затем переданы посредством Nap антенн с 932a по 932ap соответственно.
На пользовательском оконечном устройстве 520х, Nap переданных сигналов приняты каждой из Nut антенн с 952a по 952ut, и принятый сигнал от каждой антенны, предоставлен ассоциативно связанному принимающему блоку 954 (RCVR). Каждый принимающий блок 954 приводит в определенное состояние и оцифровывает свой принятый сигнал, чтобы предоставлять поток отсчетов, который дополнительно обработан, чтобы предусмотреть соответствующий поток принимаемых символов. Принимающие блоки с 954a по 954ut предоставляют Nut принимаемых потоков символов RX-устройству 962 пространственной обработки, которое выполняет пространственную обработку на основании выбранной схемы передачи (например, как показано в таблице 1 для пространственного мультиплексирования). RX-устройство 962 пространственной обработки предусматривает NC восстановленных потоков символов, которые являются оценками NC потоков символов модуляции, переданных точкой доступа 510х. RX-устройство 964 обработки данных затем демодулирует, разуплотняет и декодирует каждый восстановленный поток символов в соответствии с выбранным режимом передачи, чтобы предоставлять соответствующие декодированные потоки данных, которые являются оценками потоков данных, переданных точкой доступа 510х. Обработка RX-устройством 962 пространственной обработки и RX-устройством 964 обработки данных являются комплиментарными по отношению к выполненным в точке доступа 510х TX-устройством 928 пространственной обработки и TX-устройством 920 обработки данных соответственно.
Устройство 974 оценки канала получает оценки одной или большего количества характеристик канала нисходящей линии связи и предоставляет оценки канала контроллеру 970. Оценки канала могут быть для коэффициентов усиления канала, минимального уровня шумов N0,ut и так далее. RX-устройство 964 обработки данных может предусматривать статус каждого принятого пакета данных. На основании различных типов информации, принимаемой от устройства 974 оценки канала и RX-устройства 964 обработки данных, контроллер 970 определяет режим передачи для каждого из многочисленных параллельных каналов по нисходящей линии связи, используя технологии, описанные ниже. Каждый параллельный канал может соответствовать широкополосной собственной моде (как описано выше) или некоторому другому сочетанию поддиапазонов и собственных мод. Контроллер 970 предусматривает информацию обратной связи, которая может включать в себя NC выбранных режимов передачи для нисходящей линии связи, оценок канала, минимального уровня шумов оконечного устройства, уведомлений ACK и/или NAK для принимаемых пакетов данных и так далее, или любого их сочетания. Информация обратной связи обработана TX-устройством 978 обработки данных и TX-устройством 980 пространственной обработки, мультиплексированы с управляемым опорным сигналом, приведены в определенное состояние передающими блоками с 954a по 954ut и переданы посредством антенн с 952a по 952ut в точку доступа 510х.
В точке доступа 510х, Nut передаваемых сигналов от пользовательского оконечного устройства 520х приняты антеннами с 932a по 932ap, приведены к определенному виду принимающими блоками с 930a по 930ap и обработаны RX-устройством 934 пространственной обработки и RX-устройством 936 обработки данных, чтобы восстановить информацию обратной связи, посланную пользовательским оконечным устройством 520х. Информация обратной связи затем предоставлена контроллеру 940 и использована, чтобы управлять обработкой NC потоков данных, отправленных на пользовательское оконечное устройство 520х. Например, скорость передачи данных, кодирование и модуляция каждого потока данных нисходящей линии связи могут быть определены на основании режима передачи, выбранного пользовательским оконечным устройством 520х. Принимаемое ACK/NAK может быть использовано, чтобы инициировать либо полную передачу, либо пошаговую передачу каждого пакета данных, принятого с ошибкой пользовательским оконечным устройством 520х. Для пошаговой передачи, небольшая порция пакета данных, принятая с ошибкой, передана, чтобы предоставить пользовательскому оконечному устройству 520х возможность восстановить пакет.
Устройство 944 оценки канала получает оценки коэффициента усиления канала на основании принимаемого управляемого опорного сигнала. Оценки коэффициента усиления канала предоставлены контроллеру 940 и использованы (возможно вместе с оценкой минимального уровня шумов N0,ut пользовательского оконечного устройства), чтобы выводить весовые коэффициенты передачи для нисходящей линии связи. Контроллер 940 предоставляет регулировки скорости передачи данных для источника 912 данных и TX-устройства 920 обработки данных. Контроллер 940 дополнительно предоставляет регулировки кодирования и модуляции, и весовые коэффициенты передачи TX-устройству 920 обработки данных. Оценка канала и режим передачи для передачи по нисходящей линии связи могут быть выполнены как описано выше.
Контроллеры 940 и 970 управляют работой в точке доступа 510х и на пользовательском оконечном устройстве 520х соответственно. Блоки 942 и 972 памяти предоставляют хранилище для программных кодов и данных, используемых контроллерами 940 и 970 соответственно.
Фиг. 9B показывает точку доступа 510х и пользовательское оконечное устройство 520х для передачи по восходящей линии связи. В этом случае, пользовательское оконечное устройство 520х является передатчиком 110 по фиг. 1, а точка доступа 510х является приемником 150. Оценка канала и выбор режима передачи для передачи по восходящей линии связи могут быть выполнены как описано выше. Обработка данных в точке доступа 510х и пользовательское оконечное устройство 520х для передачи по восходящей линии связи могут быть выполнены способом, подобным описанному выше для передачи по нисходящей линии связи. Пространственная обработка в точке доступа 510х и на пользовательском оконечном устройстве 520х для восходящей линии связи может быть выполнена как показано в таблице 1.
A. Передающая и принимающая подсистемы
Для ясности, обработка в точке доступа 510х и на пользовательском оконечном устройстве для передачи по нисходящей линии связи описана более детально ниже.
Фиг. 10 показывает структурную схему подсистемы 1000 передатчика, которая является вариантом реализации передающей части точки доступа 510х. Для этого варианта осуществления, TX-устройство 920 обработки данных включает в себя демультиплексор 1010 (Demux), NC кодирующий устройств с 1012а по 1012s, NC устройств уплотнения с 1014a по 1014s канала, NC блоков с 1016a по 1016s преобразования символа и NC блоков с 1018a по 1018s масштабирования сигнала (то есть одно множество из кодирующего устройства, устройства уплотнения канала, блока преобразования символа и блока масштабирования сигнала для каждого из NC потоков данных). Демультиплексор 1010 демультиплексирует данные потока передачи информации (то есть биты информации) в NC потоков данных, где каждый поток данных предоставлен на скорости передачи данных, указанных регулированием скорости передачи данных. Демультиплексор 1010 может быть не включен в состав, если данные потока обмена уже предоставлены в качестве NC потоков данных.
Каждое кодирующее устройство 1012 принимает и кодирует соответственный поток данных на основании выбранной схемы кодирования (как указано регулировкой кодирования), чтобы предусмотреть кодовые биты. Каждый поток данных может переносить один или более пакетов данных, а каждый пакет данных типично кодирован отдельно, чтобы получить кодированный пакет данных. Кодирование увеличивает надежность передачи данных. Выбранная схема кодирования может включать в себя любое сочетание CRC-кодирования, сверточного кодирования, быстрого кодирования, блочного кодирования и так далее. Кодовые биты от каждого кодирующего устройства 1012 предоставлены соответственному устройству 1014 уплотнения канала, которое уплотняет кодовые биты на основании конкретной схемы уплотнения. Если уплотнение зависимо от режима передачи, то контроллер 940 предоставляет регулировку уплотнения (как указано пунктирной линией) устройству 1014 уплотнения канала. Уплотнение предусматривает временное, частотное и/или пространственное разнесение для кодовых битов.
Уплотненные биты из каждого устройства 1014 уплотнения канала предоставлены соответственному блоку 1016 преобразования символа, который преобразует уплотненные биты на основании выбранной схемы модуляции (как указано регулировкой модуляции), чтобы предоставлять символы модуляции. Блок 1016 группирует каждое множество B уплотненных бит в форме B-битного двоичного значения, где B 1, и дополнительно преобразует каждое B-битное значение в специальный символ модуляции на основании выбранной схемы модуляции (например, QPSK – фазовой манипуляции с четвертичными сигналами, M-PSK – фазовой M-манипуляции, или M-QAM -квадратурной M-модуляции, в которых M = 2B). Каждый символ модуляции является комплексным значением в разложении сигнала, определенном выбранной схемой модуляции. Символы манипуляции из каждого блока 1016 преобразования символа затем предоставляются в соответственный блок 1018 масштабирования сигнала, который масштабирует символы модуляции весовыми коэффициентами передачи, Wm(k) для k K, чтобы успешно выполнять инверсию канала и распределение мощности. Блоки с 1018a по 1018s предоставляют NC потоков масштабированных символов.
Каждый поток данных передан по соответственному параллельному каналу, который может включать в себя любое количество и любое сочетание поддиапазонов, передающих антенн и пространственных каналов. Например, один поток данных может быть передан по всем возможным для использования поддиапазонам каждой широкополосной собственной моды, как описано выше. TX-устройство 928 пространственной обработки выполняют требуемую пространственную обработку, если она имеет место, по NC потокам масштабированных символов модуляции и предусматривает Nap передаваемых потоков символов. Пространственная обработка может быть выполнена, как показано в таблице 1.
Для схемы передачи, посредством которой один поток данных передан по всем поддиапазонам каждой широкополосной моды (для системы с MIMO с полной CSI, как описано выше), NS множеств из кодирующего устройства 1012, устройства 1014 уплотнения канала, блока 1016 преобразования символа и блок 1018 масштабирования сигнала могут быть использованы, чтобы обрабатывать Ns потоков данных (где NC = NS = Nap Nut), чтобы предоставлять Nap потоков масштабированных символов модуляции. TX-устройство 928 пространственной обработки затем выполняет пространственную обработку над Nap потоков масштабированных символов модуляции, как показано в таблице 1, чтобы предоставлять Nap потоков передаваемых символов.
Для каждой схемы, посредством которой один поток данных передан по всем поддиапазонам каждой передающей антенны (для системы с MIMO с частичной CSI), Nap множеств из кодирующего устройства 1012, устройства 1014 уплотнения канала, блока 1016 преобразования символа и блока 1018 масштабирования сигнала могут быть использованы для обработки Nap потоков данных (где NC = Nap), чтобы предоставлять Nap потоков масштабированных символов модуляции. TX-устройство 928 пространственной обработки затем просто пересылает каждый поток масштабированных символов модуляции в качестве потока передаваемых символов. Когда пространственная обработка не выполнена для этой схемы передачи, каждый передаваемый символ является символом модуляции.
Вообще, TX-устройство 928 пространственной обработки выполняет надлежащее демультиплексирование и/или пространственную обработку масштабированных символов модуляции, чтобы получать передаваемые символы для параллельного канала, используемого для каждого потока данных. TX-устройство 928 пространственной обработки дополнительно мультиплексирует контрольные символы с передаваемыми символами, например, используя мультиплексную передачу с временным разделением (TDM) или мультиплексную передачу с кодовым разделением (CDM). Контрольные символы могут быть посланы на всех или подмножестве поддиапазонов/собственных мод, используемых, чтобы передавать данные потока обмена. TX-устройство 928 пространственной обработки предоставляет Nap потоков передаваемых символов Nap передающим блокам с 930a по 930ap.
Каждый передающий блок 930 выполняет OFDM-обработку над соответственным потоком передаваемых символов и предоставляет соответствующий модулированный сигнал. OFDM-обработка типично включает в себя (1) преобразование каждого множества из NF передаваемых символов во временной интервал, используя NF– дискретное обратное преобразование Фурье, чтобы получать преобразованные символы, которые содержат в себе NF отсчетов, и (2) повторение порции каждого преобразованного символа, чтобы получать OFDM-символ, который содержит NF + Ncp отсчетов. Повторенная порция указывается ссылкой как циклический префикс, а Ncp указывает количество отсчетов, являющихся повторяемыми. OFDM-символы дополнительно обработаны (например, конвертированные в один или более аналоговых сигналов, усиленных, отфильтрованных и частотно перестроенных) передающим блоком 930, чтобы вырабатывать модулированный сигнал. Другие конструктивные решения для подсистемы 1000 передатчика также могут быть реализованы и они находятся в пределах объема изобретения.
Контроллер 940 может выполнять различные функции, имеющие отношение к регулированию скорости замкнутым контуром для нисходящей и восходящей линий связи (например, выбор режима передачи для восходящей линии связи и вычисление весовых коэффициентов передачи для нисходящей линии связи). Для передачи по восходящей линии связи, контроллер 940 может выполнять последовательность операций 800 по фиг. 8 и выбирать режим передачи для каждого из многочисленных параллельных каналов по восходящей линии связи. В пределах контроллера 940 блок 1042 назначения мощности распределяет общую передаваемую мощность, Ptotal,up, по многочисленным параллельным каналам (например, на основании оценок коэффициента усиления канала, , и оценки минимального уровня шумов, N0,ap, для точки доступа). Блок 1044 инверсии канала выполняет инверсию канала для каждого параллельного канала. Устройство 1046 выбора режима передачи (TM) выбирает подходящий режим передачи для каждого параллельного канала. Блок 942 памяти может сохранять таблицу соответствия 1048 для поддерживаемых режимов передачи и их требуемых SNR (например, как показано в таблице 2). Для передачи по нисходящей линии связи, контроллер 940 может также выполнять последовательность операций 800 по фиг. 8, чтобы определять передаваемую мощность для каждого поддиапазона каждой широкополосной собственной моды, и вычисляет весовые коэффициенты передачи, используемые для масштабирования символов модуляции перед передачей по нисходящей линии связи.
Фиг. 11 показывает структурную схему подсистемы 1100 приемника, которая является вариантом осуществления приемной части пользовательского оконечного устройства 520х. Nap переданных сигналов из точки доступа 510х приняты антеннами с 952a по 952ut, и принятый сигнал от каждой антенны предоставлен в соответственный принимающий блок 954. Каждый принимающий блок 954 приводит в необходимое состояние и оцифровывает свой принятый сигнал, чтобы получить поток отсчетов, и дополнительно выполняет OFDM-обработку над отсчетами. OFDM-обработка на приемнике типично включает в себя (1) удаление циклического префикса в каждом принятом OFDM-символе, чтобы получать принятый преобразованный символ, и (2) преобразование каждого принятого преобразованного символа в частотную область, используя быстрое преобразование Фурье (FFT – БПФ), чтобы получать множество из NF принятых символов для NF поддиапазонов. Принятые символы являются оценками передаваемых символов, посланных точкой доступа 510х. Блоки с 954a по 954ut предоставляют Nut потоков принятых символов RX-устройству 962 пространственной обработки.
RX-устройство 962 пространственной обработки выполняет пространственную или пространственно-временную обработку над Nut потоками принятых символов, чтобы предоставлять NC потоков восстановленных символов. RX-устройство 962 пространственной обработки может реализовывать линейный нуль-корректор (ZF-корректор – корректор, обращающий в нуль незначащие спектральные составляющие частотного сигнала) (который также указан ссылкой как корректор матричного обращения корреляционной функции канала (CCMI)), корректор минимальной среднеквадратической ошибки (MMSI), линейный MMSE-корректор (MMSE-LE), корректор с решающей обратной связью (DFE) или другой корректор.
RX-устройство 964 обработки данных принимает NC потоков восстановленных символов из RX-устройства 962 пространственной обработки. Каждый поток восстановленных символов предоставлен соответственному блоку 1132 обратного преобразования символа, который демодулирует восстановленные символы в соответствии со схемой модуляции, используемой для такого потока, как указано настройкой демодуляции, предусмотренной контроллером 970. Поток демодулированных данных из каждого блока 1132 обратного преобразования символа разуплотнен ассоциативно связанным устройством 1134 разуплотнения канала способом, комплиментарным выполненному в точке доступа 510х для такого потока данных. Если уплотнение зависимо от режима передачи, то контроллер 970 предоставляет настройку разуплотнения устройству 1134 разуплотнения канала, как указано пунктирной линией. Разуплотненные данные из каждого устройства 1134 разуплотнения канала декодированы ассоциативно связанным декодирующим устройством 1136 способом, комплиментарным выполненному в точке доступа 510х, как указано настройкой декодирования, предоставленной контроллером 970. Например, устройство быстрого декодирования или устройство декодирования по алгоритму Витерби могут быть использовано для декодирующего устройства 1136, если быстрое или сверточное кодирование соответственно выполнены в точке доступа 510х. Декодирующее устройство 1136 может также предоставлять статус каждого принятого пакета данных (например, указывающего, был ли пакет принят правильно, или с ошибкой). Декодирующее устройство 1136 может дополнительно сохранять демодулированные данные для пакетов, декодированных с ошибкой, так что эти данные могут быть комбинированы с дополнительными данными из последующей частичной передачи и декодированы.
В варианте осуществления, показанном на фиг. 11, устройство 974 оценки канала оценивает частотную характеристику канала и минимальный уровень шумов на пользовательском оконечном устройстве 520х (например, на основании принятых контрольных символов), и предоставляет оценки канала контроллеру 970. Контроллер 970 выполняет различные функции, имеющие отношение к регулированию скорости замкнутым контуром и для нисходящей и для восходящей линий связи (например, выбор режима передачи для нисходящей линии связи и вычисление весовых коэффициентов передачи для восходящей линии связи). Для передачи по нисходящей линии связи, контроллер 970 может выполнять последовательность 800 операций по фиг. 8. В пределах контроллера 970, блок 1172 размещения мощности распределяет полную передаваемую мощность, Ptotal,dn, по многочисленным параллельным каналам (например, на основании оценок коэффициента передачи и оценки минимального уровня шумов N0,ut для пользовательского оконечного устройства). Блок 1174 инверсии канала выполняет инверсию для каждого из многочисленных параллельных каналов. Устройство 1176 выбора режима передачи выбирает подходящий режим передачи для каждого параллельного канала. Блок 972 памяти может сохранять таблицу 1178 соответствия для поддерживаемых режимов передачи и их требуемых SNR (например, как показано в таблице 2). Контроллер 970 предусматривает NC выбранных режимов передачи
для NC параллельных каналов по нисходящей линии связи, которые могут быть частью информации обратной связи, посланной в точку доступа 510х. Для передачи по восходящей линии связи, контроллер 970 может выполнять последовательность 800 операций по фиг. 8, чтобы определять передаваемую мощность для каждого поддиапазона каждой широкополосной собственной моды, и вычислять весовые коэффициенты передачи, используемые для масштабирования символов модуляции перед передачей по восходящей линии связи.
Для ясности, подсистема 1000 передатчика была описана для точки доступа 510х и подсистема 1100 приемника была описана для пользовательского оконечного устройства 520х. Подсистема 1000 передатчика также может быть использована для передающей части пользовательского оконечного устройства 520х, а подсистема 1100 приемника также может быть использована для принимающей части точки доступа 510х.
B. Регулирование скорости восходящей и нисходящей линий связи
Фиг. 12A показывает последовательность операций для регулирования скорости замкнутым контуром для нисходящей связи на основании структуры кадра, показанной на фиг.6. PDU BCH передан в первом сегменте каждого TDD-кадра (см. фиг. 6) и включает в себя контрольный MIMO-сигнал, который может быть использован пользовательским оконечным устройством, чтобы оценивать и отслеживать нисходящую линию связи. Управляемый опорный сигнал может также быть послан в начальной части PDU FCH, посланной пользовательскому оконечному устройству. Пользовательское оконечное устройство оценивает нисходящую линию связи на основании контрольного MIMO-сигнала и/или управляемого опорного сигнала и выбирает подходящий режим передачи (с наивысшей поддерживаемой скоростью передачи данных) для каждой широкополосной собственной моды нисходящей линии связи (то есть каждого параллельного канала). Пользовательское оконечное устройство затем посылает эти режимы в качестве предлагаемых режимов передачи для нисходящей линии связи в PDU RCH, посланном в точку доступа.
Точка доступа принимает предлагаемые режимы передачи от пользовательского оконечного устройства и планирует передачу данных по нисходящей линии связи в последующем TDD-кадре(ах). Точка доступа выбирает режимы передачи для нисходящей линии связи, которые могут быть принятыми от пользовательского оконечного устройства или некоторыми другими режимами передачи (с более низкой скоростью передачи данных), в зависимости от загрузки системы и других факторов. Точка доступа посылает информацию задания для пользовательского оконечного устройства (которая включает в себя режимы передачи, выбранные точкой доступа для передачи по нисходящей линии связи) по FCCH. Точка доступа затем передает данные по FCCH пользовательскому оконечному устройству, используя выбранные режимы передачи. Пользовательское оконечное устройство принимает информацию задания и получает режимы передачи, выбранные точкой доступа. Пользовательское оконечное устройство затем обрабатывает передачу по нисходящей линии связи в соответствии с выбранным режимом передачи. Для варианта осуществления, показанного на фиг. 12A, задержка между оценкой канала, выбором режима передачи пользовательским оконечным устройством и использованием этих режимов передачи для нисходящей линии связи типично является длительностью одного TDD-кадра, но может быть разной в зависимости от приложений, конфигураций системы и других факторов.
Фиг. 12B показывает последовательность операций для регулирования скорости замкнутым контуром для восходящей линии связи на основании структуры кадра, показанной на фиг. 6. Пользовательское оконечное устройство передает управляемый опорный сигнал по RACH во время доступа к системе и по RCH при являющихся назначенными FCH/RCH-ресурсах (см. фиг. 6) Точка доступа оценивает восходящую линию связи на основании принятого управляемого опорного сигнала и выбирает подходящий режим передачи для каждой широкополосной собственной моды восходящей линии связи. Точка доступа посылает информацию задания для пользовательского оконечного устройства (которая включает в себя режимы передачи, выбранные для передачи по восходящей линии связи) по FCCH. Пользовательское оконечное устройство передает данные по RCH в точку доступа, используя выбранные режимы передачи. Точка доступа обрабатывает передачу по восходящей линии связи в соответствии с выбранными режимами передачи.
Технологии регулирования скорости замкнутым контуром, описанные в данном патентном документе, могут быть реализованы различным способом. Например, эти технологии могут быть реализованы в аппаратных средствах, программном обеспечении или их сочетания. Для аппаратной реализации, элементы, использованные для регулирования скорости замкнутым контуром в передатчике и приемнике (например, контроллеры 940 и 970) могут быть реализованы в пределах одной или более специализированных интегральных схем (ASIC), цифровых сигнальных процессоров (DSP – ЦСП), устройств цифровой обработки сигналов (DSPD), устройств программируемых логических схем (PLD), программируемых вентильных матриц, устройств обработки данных, контроллеров, микроконтроллеров, других электронных компонентов, спроектированных, чтобы выполнять функции, описанные в данном патентном документе, или их сочетанием.
Для программной реализации, части регулирования скорости замкнутым контуром могут быть реализованы модулями (например, процедурами, функциями и так далее), которые выполняют функции, описанные в данном патентном документе. Коды программного обеспечения могут быть сохранены в блоке памяти (например, блоке 942 или 972 памяти по фиг.9A и 9B) и приведены в исполнение посредством устройства обработки данных (например, контроллером 940 или 970). Блок памяти может быть реализован в пределах устройства обработки данных или быть внешним по отношению к устройству обработки данных, в случае которого, оно может быть по связи соединено с устройством обработки данных посредством различных средств, которые известны в данной области техники.
Заголовки включены в данный патентный документ для ссылки и чтобы содействовать нахождению определенных разделов. Эти заголовки не имеют намерением ограничвать объем концепций, описанных в данном патентном документе, и эти концепции могут обладать применимостью в других разделах на всем протяжении всего патентного описания.
Предшествующее описание раскрытых вариантов осуществления предусмотрено, чтобы предоставить возможность любому специалисту в данной области техники изготовить или использовать настоящее изобретение. Различные изменения этих вариантов осуществления будут без труда очевидны специалистам в данной области техники, и определенные признаками принципы, описанные в данном патентном документе, могут быть применены для других вариантов осуществления, не выходя за пределы сущности или объема изобретения. Таким образом, настоящее изобретение не подразумевалось быть ограниченным вариантами осуществления, показанными в данном патентном документе, но подразумевалось быть предоставленным наиболее широким объемом, не противоречащим принципам и новым признакам, описанным в данном патентном документе.
Формула изобретения
1. Способ передачи данных по множеству параллельных каналов в системе беспроводной связи, содержащий этапы на которых: получают оценки канала для каждого из множества параллельных каналов; выбирают режим передачи для каждого из множества параллельных каналов на основании оценок канала для параллельного канала, в котором упомянутый выбранный режим передачи для каждого из множества параллельных каналов определяет скорость передачи данных для параллельного канала; посылают упомянутый выбранный режим передачи для каждого из множества параллельных каналов передающей сущности, в котором данные для каждого из множества параллельных каналов обрабатывают в передающей сущности в соответствии с режимом передачи, выбранным для параллельного канала, и передают по каждому параллельному каналу при скорости передачи данных, определенной упомянутым режимом передачи, выбранным для параллельного канала.
2. Способ по п.1, дополнительно содержащий этапы, на которых: принимают передаваемые сигналы данных по множеству параллельных каналов от передающей сущности; и обрабатывают передаваемые сигналы данных в соответствии с режимом передачи, выбранным для каждого из множества параллельных каналов, чтобы восстанавливать данные, посланные по параллельному каналу.
3. Способ по п.1, в котором оценки канала для каждого из множества параллельных каналов включают в себя по меньшей мере одну оценку коэффициента усиления и оценку минимального уровня шума канала для параллельного канала.
4. Способ по п.1, в котором выбор включает в себя: определение принимаемого отношения сигнал/шум (SNR) для каждого из множества параллельных каналов на основании оценок канала для параллельного канала, и в котором режим передачи для каждого из множества параллельных каналов выбран на основании принимаемого SNR для параллельного канала.
5. Способ по п.4, в котором выбор дополнительно включает в себя определение SNR-компенсации для каждого из множества параллельных каналов, и в котором режим передачи для каждого из множества параллельных каналов дополнительно выбран на основании SNR-компенсации для параллельного канала.
6. Способ по п.5, в котором выбор дополнительно включает в себя определение рабочего SNR для каждого из множества параллельных каналов на основании принимаемого SNR и SNR-компенсации для параллельного канала, и в котором режим передачи для каждого из множества параллельных каналов выбран на основании рабочего SNR для параллельного канала.
7. Способ по п.6, в котором режим передачи для каждого из множества параллельных каналов дополнительно выбран на основании множества требуемых SNR для множества режимов передачи, поддерживаемых системой.
8. Способ по п.1, дополнительно содержащий этап, на котором: оценивают качество передачи данных, принимаемых по каждому из множества параллельных каналов, и в котором режим передачи для каждого из множества параллельных каналов дополнительно выбран на основании оцененного качества передачи данных, принятых по параллельному каналу.
9. Способ по п.5, дополнительно содержащий этап, на котором: настраивают SNR-компенсацию для каждого из множества параллельных каналов на основании статуса пакетов данных, принятых по параллельному каналу.
10. Способ по п.5, дополнительно содержащий этап, на котором: настраивают SNR-компенсацию для каждого из множества параллельных каналов на основании по меньшей мере метрики декодера, поддерживаемой в рабочем состоянии для параллельного канала.
11. Способ по п.1, дополнительно содержащий этапы, на которых: обнаруживают ошибки пакета для каждого из множества параллельных каналов; и настраивают режим передачи для каждого из множества параллельных каналов на основании ошибок пакета для параллельного канала.
12. Способ по п.4, дополнительно содержащий этапы, на которых: определяют допустимое отклонение SNR для каждого из множества параллельных каналов на основании принимаемого SNR и требуемого SNR для параллельного канала; и настраивают режим передачи для каждого из множества параллельных каналов на основании допустимых отклонений SNR для множества параллельных каналов.
13. Способ по п.6, дополнительно содержащий этап, на котором: распределяют полную передаваемую мощность по множеству параллельных каналов, и в котором рабочее SNR для каждого из множества параллельных каналов дополнительно определено на основании передаваемой мощности, распределенной по параллельному каналу.
14. Способ по п.13, в котором полная передаваемая мощность равномерно распределена по множеству параллельных каналов.
15. Способ по п.13, в котором полная передаваемая мощность распределена по множеству параллельных каналов, используя процедуру “water-filling”.
16. Способ по п.13, дополнительно содержащий этапы, на которых: определяют избыточную мощность для каждого из множества параллельных каналов на основании рабочего SNR для параллельного канала, требуемого SNR для режима передачи, выбранного для параллельного канала, и передаваемой мощности, распределенной по параллельному каналу; накапливают избыточную мощность для каждого из множества параллельных каналов, чтобы получать полную избыточную мощность для множества параллельных каналов; и перераспределяют полную избыточную мощность по меньшей мере по одному из множества параллельных каналов.
17. Способ по п.16, в котором полная избыточная мощность распределена поровну по ненасыщенным параллельным каналам из числа множества параллельных каналов, где ненасыщенные параллельные каналы имеют скорости передачи данных больше нуля и меньше максимальной скорости передачи данных.
18. Способ по п.16, в котором полная избыточная мощность перераспределена на один параллельный канал, выбранный из числа множества параллельных каналов, который может достигать самого высокого увеличения скорости передачи данных с помощью полной избыточной мощности.
19. Способ по п.13, в котором каждый из множества параллельных каналов включает в себя множество поддиапазонов, способ дополнительно содержит этап на котором: распределяют передаваемую мощность для каждого из множества параллельных каналов по множеству поддиапазонов параллельного канала, для достижения сходных принимаемых SNR для множества поддиапазонов.
20. Способ по п.13, в котором каждый из множества параллельных каналов включает в себя множество поддиапазонов, способ дополнительно содержит этап, на котором: распределяют передаваемую мощность для каждого из множества параллельных каналов равномерно по множеству поддиапазонов параллельного канала.
21. Способ по п.1, в котором система беспроводной связи является системой связи с мультиплексированием с ортогональным делением частот (OFDM), и в котором множество параллельных каналов сформированы множеством непересекающихся множеств поддиапазонов.
22. Способ по п.1, в котором система беспроводной связи является системой связи с мультиплексной передачей с частотным разделением каналов, и в которой множество параллельных каналов сформированы множеством частотных поддиапазонов.
23. Способ по п.1, в котором система беспроводной связи является системой связи с мультиплексированием с временным разделением каналов, и в котором множество параллельных каналов сформированы множеством временных интервалов.
24. Способ по п.1, в котором система беспроводной связи является системой связи со многими входами и многими выходами (MIMO), и в котором множество параллельных каналов сформированы множеством пространственных каналов.
25. Способ по п.1, в котором система беспроводной связи является системой связи со многими входами и многими выходами (MIMO) с мультиплексированием с ортогональным делением частот (OFDM).
26. Способ по п.25, в котором множество параллельных каналов сформированы множеством широкополосных пространственных каналов, и в котором каждый из множества параллельных каналов включает в себя множество поддиапазонов.
27. Способ по п.25, в котором оценки канала для каждого из множества параллельных каналов получены на основании контрольного сигнала, переданного с каждой из множества антенн передающей сущностью.
28. Способ по п.25, в котором оценки канала для каждого из множества параллельных каналов получены на основании управляемого опорного сигнала, переданного с множества антенн передающей сущностью.
29. Устройство передачи данных по множеству параллельных каналов в системе беспроводной связи, содержащее: средство для получения оценок канала для каждого из множества параллельных каналов; средство для выбора режима передачи для каждого из множества параллельных каналов на основании оценок канала для параллельного канала, в котором упомянутый выбранный режим передачи для каждого из множества каналов определяет скорость передачи данных для параллельного канала; и средство для осуществления посылки упомянутого выбранного режима передачи для каждого из множества параллельных каналов передающей сущности, в котором данные для каждого из множества каналов обрабатывают в передающей сущности в соответствии с режимом передачи, выбранным для параллельного канала, и передают по каждому параллельному каналу при скорости передачи данных, определенной упомянутым режимом передачи, выбранным для параллельного канала.
30. Устройство по п.29, дополнительно содержащее: средство для приема передаваемых сигналов данных по множеству параллельных каналов от передающей сущности; и средство для обработки принятых передаваемых сигналов данных в соответствии с режимом передачи, выбранным для каждого из множества параллельных каналов, чтобы восстанавливать данные, посланные по параллельному каналу.
31. Устройство по п.29, в котором средство для выбора включает в себя средство для определения принимаемого отношения сигнал/шум (SNR) для каждого из множества параллельных каналов на основании оценок канала для параллельного канала, и в котором режим передачи для каждого из множества каналов выбран на основании принимаемого SNR для параллельного канала.
32. Устройство по п.29, дополнительно содержащее: средство для оценки качества передачи данных, принимаемых по каждому из множества параллельных каналов, и в котором режим передачи для каждого из множества параллельных каналов дополнительно выбран на основании оцененного качества передачи данных, принятых по параллельному каналу.
33. Устройство для передачи данных по множеству параллельных каналов в системе беспроводной связи, содержащее: устройство оценки канала, выполненное с возможностью получения оценки канала для каждого из множества параллельных каналов; и контроллер, выполненный с возможностью выбора режима передачи для каждого из множества параллельных каналов на основании оценок канала для параллельного канала, в котором упомянутый выбранный режим передачи для каждого из множества параллельных каналов определяет скорость передачи данных для параллельного канала, и в котором данные для каждого из множества параллельных каналов обрабатывают в передающей сущности в соответствии с режимом передачи, выбранным для параллельного канала, и передают по каждому параллельному каналу при скорости передачи данных, определенной упомянутым режимом передачи, выбранным для параллельного канала.
34. Устройство по п.33, дополнительно содержащее: приемное (RX) устройство обработки данных, выполненное с возможностью приема передаваемых сигналов данных по множеству параллельных каналов и обрабатывать принятые передаваемые сигналы данных в соответствии с режимом передачи, выбранным для каждого из множества параллельных каналов, чтобы восстанавливать данные, посланные по параллельному каналу.
35. Устройство по п.33, в котором контроллер способен: определять принимаемое отношение сигнал/шум (SNR) для каждого из множества параллельных каналов на основании оценок канала для параллельного канала и выбирать режим передачи для каждого параллельного канала на основании принимаемого SNR для параллельного канала.
36. Устройство по п.33, в котором контроллер способен получать оценку качества передачи данных, принятых по каждому из множества параллельных каналов, и настраивать режим передачи для каждого параллельного канала на основании оцененного качества передачи данных, принимаемых по параллельному каналу.
37. Способ передачи данных по множеству параллельных каналов в системе беспроводной связи, содержащий этапы, на которых: принимают информацию обратной связи от принимающей сущности, в котором информация обратной связи является показывающей качество множества параллельных каналов; выбирают режим передачи для каждого из множества параллельных каналов на основании информации обратной связи, в котором упомянутый выбранный режим передачи для каждого из множества параллельных каналов определяет скорость передачи данных для параллельного канала; обрабатывают данные для каждого из множества параллельных каналов в соответствии с упомянутым выбранным режимом передачи для параллельного канала; и передают обработанные данные для каждого из множества параллельных каналов по параллельному каналу принимающей сущности при скорости передачи данных, определенной упомянутым режимом передачи, выбранным для параллельного канала.
38. Способ по п.37, в котором режим передачи для каждого из множества каналов выбран принимающей сущностью на основании оценок канала, полученных для параллельного канала, и в котором информация обратной связи включает в себя множество режимов передачи, выбранных принимающей сущностью для множества параллельных каналов.
39. Способ по п.37, дополнительно содержащий этап, на котором: получают оценки коэффициента усиления канала для каждого из множества параллельных каналов, и в котором режим передачи для каждого из множества параллельных каналов определен на основании оценок коэффициента усиления для параллельного канала и оценки минимального уровня шума для параллельного канала, включенных в информацию обратной связи от принимающей сущности.
40. Способ по п.39, в котором оценки коэффициента усиления канала для каждого из множества параллельных каналов получены на основании управляемого опорного сигнала, принятого от принимающей сущности.
41. Способ по п.37, дополнительно содержащий этапы, на которых: принимают настройку на режим передачи для первого параллельного канала из числа множества параллельных каналов; и обрабатывают данные для первого параллельного канала в соответствии с настройкой режима передачи для первого параллельного канала.
42. Способ по п.41, в котором настройка на режим передачи для первого параллельного канала определена на основании ошибок пакета, обнаруженных для первого параллельного канала.
43. Способ по п.41, в котором настройка на режим передачи для первого параллельного канала определена на основании принимаемого отношения сигнал/шум (SNR) и требуемого SNR для первого параллельного канала.
44. Способ по п.37, дополнительно содержащий этапы, на которых: вычисляют для каждого из множества параллельных каналов множество весовых коэффициентов передачи для множества поддиапазонов параллельного канала, в котором множество весовых коэффициентов передачи достигает подобия принимаемым отношениям сигнал/шум (SNR) для множества поддиапазонов параллельного канала; и масштабируют обработанные данные множества параллельных каналов множеством весовых коэффициентов передачи для параллельного канала, и в котором масштабированные и обработанные данные для каждого из множества параллельных каналов переданы по параллельному каналу.
45. Устройство для передачи данных по множеству параллельных каналов в системе беспроводной связи, содержащее: средство для приема информации обратной связи от принимающей сущности, в котором информация обратной связи является показывающим качество множества параллельных каналов; средство для выбора режима передачи для каждого из множества параллельных каналов на основании информации обратной связи, в котором упомянутый выбранный режим передачи для каждого из множества параллельных каналов определяет скорость передачи данных для параллельного канала; средство для обработки данных для каждого из множества параллельных каналов в соответствии с режимом передачи, выбранным для параллельного канала; и средство для передачи обработанных данных для каждого из множества параллельных каналов по параллельному каналу при скорости передачи данных, определенной упомянутым режимом передачи, выбранным для параллельного канала.
46. Устройство по п.45, дополнительно содержащее: средство для получения оценок коэффициента усиления канала для каждого из множества параллельных каналов, и в котором режим передачи для каждого из множества параллельных каналов определен на основании оценок коэффициента усиления для параллельного канала и оценки минимального уровня шума для параллельного канала, включенных в информацию обратной связи от принимающей сущности.
47. Устройство по п.45, дополнительное содержащее: средство для приема настройки на режим передачи для первого параллельного канала из числа множества параллельных каналов; и средство для обработки данных для первого параллельного канала в соответствии с настройкой на режим передачи для первого параллельного канала.
48. Устройство для передачи данных по множеству параллельных каналов в системе беспроводной связи, содержащее: контроллер, выполненный с возможностью выбора режима передачи для каждого из множества параллельных каналов на основании информации обратной связи, принимаемой от принимающей сущности, в котором информация обратной связи является показывающей качество множества параллельных каналов, и в котором упомянутый выбранный режим передачи для каждого из множества параллельных каналов определяет скорость передачи данных для параллельного канала; передающее (ТХ) устройство обработки данных, выполненное с возможностью обработки данных для каждого из множества параллельных каналов в соответствии с упомянутым выбранным режимом передачи для параллельного канала; и по меньшей мере одного передающего блока, выполненного с возможностью передачи обработанных данных для каждого из множества параллельных каналов по параллельному каналу при скорости передачи данных определенной упомянутым режимом передачи, выбранным для параллельного канала.
49. Устройство по п.48, в котором контроллер способен получать оценки коэффициента усиления канала для каждого из множества параллельных каналов и определять режим передачи для каждого из множества параллельных каналов на основании оценок коэффициента передачи канала для параллельного канала и оценки минимального уровня шума для параллельного канала, включенных в информацию обратной связи от принимающей сущности.
50. Устройство по п.48, в котором контроллер способен получать настройку на режим передачи для первого параллельного канала из числа множества параллельных каналов, и в котором ТХ – устройство обработки данных выполнено с возможностью обработки данных для первого параллельного канала в соответствии с настройкой на режим передачи для первого параллельного канала.
51. Способ передачи данных по множеству параллельных каналов в системе беспроводной связи, содержащий этапы, на которых: получают оценки канала для каждого из множества параллельных каналов; вычисляют принимаемое отношение сигнал/шум (SNR) для каждого из множества параллельных каналов на основании оценок канала для параллельного канала; вычисляют рабочее SNR для каждого из множества параллельных каналов на основании принимаемого SNR и SNR-компенсации для параллельного канала; выбирают режим передачи для каждого из множества параллельных каналов на основании рабочего SNR для параллельного канала и множества требуемых SNR для множества режимов передачи, поддерживаемых системой, в котором режим передачи для каждого из множества параллельных каналов определяет скорости передачи данных для параллельного канала; и обрабатывают данные для каждого из множества параллельных каналов в соответствии с режимом передачи, выбранным для параллельного канала, таким образом, что данные передаются через каждый параллельный канал при скорости передачи данных, определенной упомянутым режимом передачи, выбранным для параллельного канала.
52. Способ по п.51, дополнительно содержащий этапы, на которых: оценивают качество передачи данных, принимаемых по каждому из множества параллельных каналов; и настраивают SNR-компенсацию для каждого из множества параллельных каналов на основании оцененного качества передачи данных, принятых по параллельному каналу.
53. Способ по п.52, в котором качество передачи данных, принимаемых по каждому из множества параллельных каналов, оценено на основании статуса пакетов, принятых по параллельному каналу.
54. Способ по п.52, дополнительно содержащий этап, на котором: настраивают режим передачи для каждого из множества параллельных каналов на основании оцененного качества передачи данных, принятых по параллельному каналу.
55. Устройство для передачи данных по множеству параллельных каналов в системе беспроводной связи, содержащее: средство для получения оценок канала для каждого из множества параллельных каналов; средство для вычисления принимаемого отношения сигнал/шум (SNR) для каждого из множества параллельных каналов на основании оценок канала для параллельного канала; средство для вычисления рабочего (SNR) для каждого из множества параллельных каналов на основании принимаемого SNR и SNR-компенсации для параллельного канала; средство для выбора режима передачи для каждого из множества параллельных каналов на основании рабочего SNR для параллельного канала и множества требуемых SNR для множества режимов передачи, поддерживаемых системой, в котором упомянутый выбранный режим передачи для каждого из множества параллельных каналов определяет скорость передачи данных для параллельного канала; и средство для обработки данных для каждого из множества параллельных каналов в соответствии с режимом передачи, выбранным для параллельного канала, таким образом, что данные передаются через каждый параллельный канал при скорости передачи данных, определенной упомянутым режимом передачи, выбранным для параллельного канала.
56. Устройство по п.55, дополнительно содержащее средство: средство для оценки качества передачи данных, принимаемых по каждому из множества параллельных каналов; и средство для настройки SNR-компенсации для каждого из множества параллельных каналов на основании оцененного качества передачи данных, принимаемых по параллельному каналу.
57. Устройство по п.56, дополнительно содержащее: средство для настройки режима передачи для каждого из множества параллельных каналов на основании оцененного качества передачи данных, принятых по параллельному каналу.
58. Устройство для передачи данных по множеству параллельных каналов в системе беспроводной связи, содержащее: устройство оценки канала, выполненное с возможностью предоставления оценки коэффициента усиления канала для каждого из множества параллельных каналов; устройство выбора, выполненное с возможностью вычисления отношения сигнал/шум (SNR) для каждого из множества параллельных каналов на основании оценок канала для параллельного канала, вычислять рабочее SNR для каждого из множества параллельных каналов на основании принимаемого SNR и SNR-компенсации для параллельного канала, и выбирать режим передачи для каждого из множества параллельных каналов на основании рабочего SNR для параллельного канала и множества требуемых SNR для множества режимов передачи, поддерживаемых системой, в котором упомянутый выбранный режим передачи для каждого из множества параллельных каналов определяет скорость передачи данных для параллельного канала; и устройство обработки данных, выполненное с возможностью обработки данных для каждого из множества параллельных каналов в соответствии с режимом передачи, выбранным для параллельного канала, таким образом, что данные передаются через каждый параллельный канал при скорости передачи данных, определенной упомянутым режимом передачи, выбранным для параллельного канала.
59. Устройство по п.58, в котором устройство выбора выполнено с возможностью приема оценки качества передачи данных, принимаемых по каждому из множества параллельных каналов, и настраивать SNR-компенсацию для каждого из множества параллельных каналов на основании оцененного качества передачи данных, принимаемых по параллельному каналу.
60. Устройство по п.59, в котором устройство оценки дополнительно выполнено с возможностью настойки режима передачи для каждого из множества параллельных каналов на основании оцененного качества передачи данных, принимаемых по параллельному каналу.
61. Пригодная для чтения устройством обработки среда для хранения инструкций, способных: получать оценки коэффициента усиления канала для каждого из множества параллельных каналов в системе беспроводной связи; вычислять принимаемое отношение сигнал/шум (SNR) для каждого из множества параллельных каналов на основании оценок канала для параллельного канала; вычислять рабочее SNR для каждого из множества параллельных каналов на основании принимаемого SNR и SNR-компенсации для параллельного канала; и выбирать режим передачи для каждого из множества параллельных каналов на основании рабочего SNR для параллельного канала и множества требуемых SNR для множества режимов передачи, поддерживаемых системой, в которых упомянутый выбранный режим передачи для каждого из множества параллельных каналов определяет скорость передачи данных для параллельного канала, и в которых данные посланы по каждому из множества каналов в соответствии с режимом передачи, выбранным для параллельного канала, и на скорости передачи данных, определяемой режимом передачи, выбранным для параллельного канала.
62. Пригодная для чтения устройством обработки среда по п.61, и дополнительно хранящая инструкции, способные: настраивать SNR-компенсацию для каждого из множества параллельных каналов на основании оценки качества передачи данных, принимаемых по параллельному каналу.
63. Пригодная для чтения устройством обработки среда по п.62, и дополнительно хранящая инструкции, способные: настраивать режим передачи для каждого из множества параллельных каналов на основании оцененного качества передачи данных, принимаемых по параллельному каналу.
РИСУНКИ
|
|