|
|
(21), (22) Заявка: 2007142367/09, 19.04.2006
(24) Дата начала отсчета срока действия патента:
19.04.2006
(30) Конвенционный приоритет:
19.04.2005 KR 10-2005-0032433
(46) Опубликовано: 10.06.2009
(56) Список документов, цитированных в отчете о поиске:
RU 2000126671 А, 10.09.2002. RU 2066901 С1, 20.09.1996. RU 2193927 C2, 10.12.2002. RU 2213395 C2, 27.09.2003. KR 20030089750 A, 28.11.2003. JP 2004311237 A, 04.11.2004. KR 20030089750 A, 28.11.2003. KR 200010067222 A, 12.07.2001.
(85) Дата перевода заявки PCT на национальную фазу:
19.11.2007
(86) Заявка PCT:
KR 2006/001451 20060419
(87) Публикация PCT:
WO 2006/112658 20061026
Адрес для переписки:
129090, Москва, ул.Б.Спасская, 25, стр.3, ООО “Юридическая фирма Городисский и Партнеры”, пат.пов. А.В.Мицу, рег. 364
|
(72) Автор(ы):
ЛИ Санг-Йоунг (KR), КИМ Сеок-Коо (KR), СУК Дзунг-Дон (KR), ЙОНГ Хиун-Ханг (KR), ХОНГ Дзанг-Хиук (KR), АХН Соон-Хо (KR), КАНГ Йонг-Ку (KR), ЛИ Чанг-Дзин (KR)
(73) Патентообладатель(и):
ЭЛ ДЖИ КЕМ, ЛТД. (KR), КОРЕЯ РИСЕРЧ ИНСТИТЬЮТ ОФ КЕМИКАЛ ТЕКНОЛОДЖИ (KR)
|
(54) ЭЛЕКТРОД С ПОВЫШЕННОЙ БЕЗОПАСНОСТЬЮ, ИЗГОТОВЛЕННЫЙ ВВЕДЕНИЕМ СШИВАЕМОГО ПОЛИМЕРА, И ЭЛЕКТРОХИМИЧЕСКОЕ УСТРОЙСТВО, СОДЕРЖАЩЕЕ ТАКОЙ ЭЛЕКТРОД
(57) Реферат:
Изобретение относится к области электротехники, в частности к электроду, содержащему покровный слой из сшитого полимера, который сформирован на поверхности частиц электродного активного материала при сохранении пористой структуры, образованной частицами электродного активного материала, соединенных одни с другими в данном электроде. Также предложены способ изготовления данного электрода и электрохимическое устройство, содержащее такой электрод. Электрод, который содержит покровный слой из сшитого полимера, сформированный на поверхности частиц электродного активного материала, может повысить безопасность батареи при сведении к минимуму ухудшения качества батареи, что является техническим результатом изобретения. 3 н. и 9 з.п. ф-лы, 5 ил.
Область техники
Данное изобретение относится к электроду, который может повысить безопасность батареи без оказания неблагоприятного влияния на ее характеристики, способу его изготовления и электрохимическому устройству, содержащему такой электрод.
Предшествующий уровень техники
В последнее время имеет место возрастающий интерес к технологиям накопления энергии. Батареи широко используются в качестве источников энергии в портативных телефонах, видеокамерах с записью изображения, ноутбуках, персональных компьютерах и электромобилях, что обусловливает интенсивные научно-исследовательские и опытно-конструкторские работы в этой области. В связи с этим электрохимические устройства являются предметом повышенного интереса. В частности, в центре внимания находится разработка перезаряжаемых аккумуляторных батарей. В последнее время проведены многочисленные исследования в области разработки новых электродов и батарей, обладающих повышенным уровнем удельной емкости и удельной энергии.
Среди используемых в настоящее время аккумуляторных батарей литиевые аккумуляторные батареи, разработанные в начале 1990-х годов, имеют более высокое напряжение и удельную энергию по сравнению с обычными батареями с использованием водных электролитов (таких как Ni-MH батареи, Ni-Cd батареи и
H2SO4-Pb батареи) и соответственно выдвинуты на передний план в области аккумуляторных батарей. Однако литиевые аккумуляторные батареи имеют проблемы, связанные с их безопасностью, которые обусловлены возможностью воспламенения и взрыва вследствие использования в них органического электролита. Кроме того, литиевые аккумуляторные батареи обладают тем недостатком, что их изготавливают посредством сравнительно сложного производственного процесса.
Оценка и уверенность в безопасности батареи очень важны. Следует принимать во внимание в первую очередь то, что пользователи должны быть защищены от травм, обусловленных их неисправностью. Для обеспечения этого безопасность батарей строго регламентируется в отношении их воспламенения и взрыва нормами безопасности. Поэтому предпринимаются многочисленные попытки разрешения проблем, связанных с безопасностью батарей. Для предотвращения выделения тепла батареями предложены различные способы, включающие использование схемы защиты, использование поглощения тепла сепаратором и т.п. Однако использование схемы защиты обусловливает ограничения в уменьшении размеров и снижении стоимости батарейного источника питания. Механизм поглощения тепла сепаратором часто действует неэффективно, что имеет место в случае быстрого выделения тепла. В последнее время для решения вышеуказанных проблем предлагается также использование добавок к органическим электролитам. Однако предохранительные механизмы, обусловленные добавками к электролиту, имеют недостатки, связанные с тем, что выделение тепла (Дж) может изменяться в зависимости от зарядного тока или внутреннего сопротивления батареи при неравномерном изменении во времени. Поэтому такие предохранительные механизмы всегда приводят к ухудшению общего качества батареи.
Делаются попытки использования полимерного электролита для фундаментального решения вышеуказанных проблем. Обычно безопасность батареи увеличивается в следующем порядке: жидкий электролит < гелевый полимерный электролит < твердотельный полимерный электролит. С другой стороны, качество батареи снижается в том же самом порядке. Вследствие такого низкого качества батареи известно, что батареи, использующие твердотельные полимерные электролиты, даже не выпускаются серийно для продажи. Тем не менее, в последнее время компании Sony Corp. (Япония, см. Патент США 6509123) и Sanyo Corp. (Япония, см. выложенную заявку на патент Японии 2000-299129) разработали гелевый полимерный электролит, получаемый специфическим способом, и изготовили батареи с использованием такого электролита. В кратком изложении, каждый гелевый полимерный электролит обладает следующими характеристиками.
В случае батареи компании Sony в качестве полимера используется PVdF-co-HFP (сополимер поливинилидена и гексафторпропилена), а в качестве электролита используется LiPF6, растворенный в смешанном растворителе из EC (этиленкарбоната) и PC (пропиленкарбоната). Такой полимер и электролит смешивают в DMC (диметилкарбонате) в качестве растворителя, полученной смесью покрывают поверхность электрода и испаряют DMC, в результате чего получают электрод, содержащий введенный в него гелеобразный полимер. Затем, чтобы предоставить батарею, данный электрод наматывают вместе с сепаратором на базе полиолефина, который используется для предотвращения короткого замыкания в батарее.
В то же время в случае батареи компании Sanyo предварительно формируют гальванический элемент наматыванием катода, анода и сепаратора на базе полиолефина. Затем PVdF (поливинилиденфторид), PMMA (полиметилметакрилат) и PEGDMA (полиэтиленгликольдиметакрилат) и инициатор смешивают с подходящей смесью органического карбоната, и полученную смесь инжектируют в предварительно сформированный гальванический элемент, после чего сшивают в подходящих условиях, в результате чего получают гелевый полимерный электролит. В этом случае гелевый полимерный электролит формируется в батарее in situ после сборки батареи.
Однако известно, что в обоих случаях гелевый полимерный электролит приготавливают очень сложным способом, который проблематичен в отношении производительности. Кроме того, в большинстве случаев гелевые полимерные электролиты повышают безопасность батареи. Однако использование гелевых полимерных электролитов сопровождается ухудшением качества батареи.
Краткое описание чертежей
Указанные выше и другие цели, особенности и преимущества данного изобретения будут более очевидны из приведенного ниже подробного описания, представленного в сочетании с сопроводительными чертежами, на которых:
Фиг.1 представляет собой схему, показывающую способ изготовления электрода, содержащего сшитый полимер, введенный в него в соответствии с данным изобретением;
Фиг.2 – представляет собой схему, показывающую обычный способ приготовления гелевого полимерного электролита в соответствии с прототипом;
Фиг.3 – представляет собой фотографии катодов, изготовленных в примере 1 и сравнительном примере 1, которые получены при использовании сканирующего электронного микроскопа (СЭМ);
Фиг.4 – представляет собой график, показывающий теплотворную способность реакции между катодом и электролитом для каждой из батарей, изготовленных в примере 1 и сравнительных примерах 1 и 2; и
Фиг.5 – представляет собой график, показывающий зарядную/разрядную емкость каждой из батарей, изготовленных в примере 1 и сравнительных примерах 1 и 2.
Описание изобретения
Заявители данного изобретения нашли, что в случае формирования покровного слоя из сшитого полимера, который обладает способностью разбухания в электролите, на поверхности частиц электродного активного материала после изготовления электрода при сохранении пористой структуры, образованной частицами электродного активного материала в предварительно сформированном электроде, возможно повышение безопасности батареи в отсутствие неблагоприятного влияния на качество батареи.
Поэтому целью данного изобретения является представление электрода, имеющего покровный слой из вышеуказанного сшитого полимера, сформированный на всей поверхности частиц электродного активного материала или ее части, способ его изготовления и электрохимическое устройство, содержащее такой электрод.
В соответствии с другим аспектом данного изобретения представлен электрод, содержащий покровный слой из сшитого полимера, частично или полностью сформированный на поверхности частиц электродного активного материала, при сохранении пористой структуры, образованной частицами активного материала в электроде, которые связаны одни с другими в данном электроде. Также представлено электрохимическое устройство, предпочтительно литиевая аккумуляторная батарея, содержащее такой электрод.
В соответствии с еще одним аспектом данного изобретения представлен способ изготовления электрода, содержащего покровный слой из сшитого полимера, сформированный на всей поверхности частиц электродного активного материала или ее части, при сохранении пористой структуры, образованной частицами электродного активного материала; данный способ включает следующие стадии: (а) нанесение суспензии, содержащей электродный активный материал, на токовый коллектор и сушку суспензии с образованием электрода; (b) погружение электрода, полученного на стадии (а), в раствор, в котором растворены мономеры, образующие сшитый полимер, с последующей сушкой; и (с) отверждение электрода, покрытого данными мономерами.
Ниже данное изобретение будет разъяснено более подробно.
Данное изобретение отличается формированием покровного слоя из сшитого полимера на электроде, предварительно сформированном обычным способом, при этом покровный слой из сшитого полимера формируется на поверхности частиц электродного активного материала при сохранении пористой структуры, образованной частицами активного материала в электроде.
Более конкретно, предварительно сформированный электрод погружают в раствор, содержащий мономеры, образующие сшитый полимер, т.е. способные к формированию трехмерной сетчатой структуры посредством образования поперечных связей в условиях, подходящих для их образования, чтобы сформировать покровный слой на электроде (см. Фиг.1). При этом данный раствор, содержащий мономеры, образующие сшитый полимер, легко проникает в электрод через пористую структуру, образованную частицами электродного активного материала в данном электроде, так что на поверхности частиц электродного активного материала, соединенных одни с другими, может быть сформирован равномерный и тонкий покровный слой при сохранении пористой структуры, образованной промежуточными пустотами между частицами электродного активного материала. Затем мономеры отверждают при подходящих условиях, чтобы сформировать покровный слой из сшитого полимера на поверхности электродного активного материала в данном электроде.
Электрод в соответствии с данным изобретением, имеющий вышеуказанные характеристики структуры, может повысить безопасность батареи при отсутствии неблагоприятного влияния на качество батареи, как это описано здесь ниже.
(1) Обычный электрод может реагировать с электролитом, обладающим высокой реакционной способностью, когда электродный активный материал находится в нестабильном состоянии вследствие экстремальных условий, таких как перезарядка или хранение при повышенной температуре. Вследствие этого электрод имеет увеличенное электрическое сопротивление и происходит растворение электродного активного материала, что приводит к ухудшению общего качества батареи.
В противоположность этому, в соответствии с электродом по данному изобретению поверхность электродного активного материала в электроде полностью окружена сшитым полимером. Поэтому даже после инжекции обычного электролита электродный активный материал не находится в непосредственном соприкосновении с электролитом, а соприкасается с полимером. В результате этого при экстремальных условиях, таких как перезарядка или хранение при повышенной температуре, активность побочных реакций между электродным активным материалом и электролитом существенно уменьшается. Поэтому возможно значительное повышение безопасности батареи, поскольку теплотворная способность, обусловленная побочными реакциями между электродом и электролитом, снижается, и сдерживается образование дендритов на поверхности электрода. Действительно, из представленных ниже экспериментальных результатов можно видеть, что электрод в соответствии с данным изобретением, может повысить термическую безопасность батареи посредством подавления побочных реакций между электродом и электролитом и посредством снижения теплотворной способности, обусловленной такими побочными реакциями (см. Фиг.3).
(2) Электрод в соответствии с данным изобретением изготавливают погружением предварительно сформированного электрода в раствор, содержащий мономеры, образующие сшитый полимер, чтобы сформировать покровный слой из сшитого полимера на поверхности частиц электродного активного материала, соединенных одни с другими, при сохранении пористой структуры, образованной частицами электродного активного материала. Соответственно при последующей инжекции электролита он может быстро проникать в поверхность каждого электродного активного материала и/или внутрь него. Кроме того, образованный тонкий полимерный слой толщиной 1 мкм или менее может минимизировать снижение литий-ионной проводимости и тем самым свести к минимуму ухудшение качества батареи, обусловленное формированием покровного слоя.
В соответствии с данным изобретением отсутствуют особые ограничения в отношении полимера для формирования покрытия на поверхности частиц электродного активного материала, соединенных одни с другими, если данный полимер отверждается и сшивается нагреванием или облучением светом. В частности, предпочтительно использование полимера, имеющего высокую степень разбухания в электролите, который разбухает в электролите после инжекции жидкого электролита и затем переходит в гелеобразное состояние. Другими словами, данный полимер, покрывающий поверхность частиц электродного активного материала в электроде по данному изобретению, может разбухать в электролите, и электролит, инжектированный после сборки батареи, проникает в полимер, так что данный полимер, содержащий электролит обладает проводимостью в отношении ионов электролита. Поэтому по сравнению с обычными проводящими полимерами или неорганическими материалами, не обладающими проводимостью в отношении ионов электролита, данный сшитый полимер, который способен разбухать в электролите, может предотвращать ухудшение качества батареи. Кроме того, поскольку данный сшитый полимер, обладающий способностью разбухания в электролите, проявляет очень высокое сродство к электролиту, то электрод, покрытый таким полимером, проявляет повышенное сродство к электролиту. Поэтому можно ожидать, что это обеспечит предоставление батареи повышенного качества.
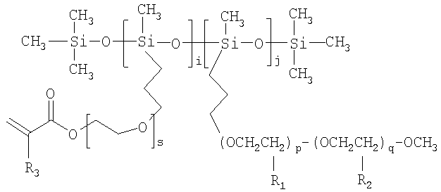
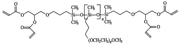
Конкретные примеры мономеров для образования такого сшитого полимера включают соединения формулы 1 и/или формулы 2, представленных ниже, однако не ограничиваются ими.
[Формула 1]

[Формула 2]

где каждая из групп R1, R2 и R3 независимым образом представляет собой атом водорода или группу низшего алкила C1-C6;
R4 представляет собой одиночную связь или ;
X представляет собой или ;
n и m представляют собой целые числа от 0 до 1000, p и q представляют собой целые числа от 0 до 20 при условии, что p и q не могут быть 0 одновременно, и r представляет собой целое число от 1 до 6; и
i и j представляют собой целые числа от l до 1000, а s представляет собой целое число от 1 до 20.
Как использовано здесь, термин «низший» относится к радикалу, атомной группе или соединению, которые имеют самое большее шесть атомов углерода, предпочтительно не более пяти атомов углерода.
Термин «низшая алкильная группа» означает линейный или разветвленный низший насыщенный алифатический углеводород, частные примеры которого включают группы метила, этила, н-пропила, изопропила, н-бутила, втор-бутила, изобутила, трет-бутила и н-пентила.
Соединения формулы 1 и/или формулы 2 содержат в качестве базовой каркасной структуры полиалкилсилоксановый полимер, в котором алкиленоксидная группа введена в виде бокового ответвления, а акриловая функциональная группа, обладающая возможностью образования химической поперечной связи, расположена на обоих концах или в качестве бокового ответвления. Поэтому данные соединения могут образовывать покровный слой из сшитого полимера, имеющий трехмерную сетчатую структуру при условиях, подходящих для образования поперечных связей, и соответственно могут увеличить безопасность батареи, как описано выше. Кроме того, данный сшитый полимер отличается тем, что он сшит при отверждении нагреванием или облучением светом, как описано выше. Следовательно, данный сшитый полимер может проявлять очень высокие механические свойства, включая ориентационные и изгибные характеристики. Далее, введение низкомолекулярного полиалкиленоксида и других полярных составных боковых ответвлений, которые, как известно в данной области техники, повышают проводимость, приводит к превосходным химическим свойствам и механическим характеристикам, включая повышенную ионную проводимость. Поэтому данное соединение может присутствовать в стабильном состоянии в батарее без повреждений даже при повторяющихся циклах зарядки/разрядки.
В дополнение к соединениям формулы 1 и/или формулы 2, указанным выше, в объем данного изобретения также включены соединения формулы 1 и/или формулы 2, которые также содержат замещающую функциональную группу (например, полярную группу), известную специалистам в данной области техники как группу для улучшения проводимости.
Предпочтительно покровный слой из сшитого полимера присутствует на поверхности взаимно соединенных частиц электродного активного материала и на поверхности связующего, которое обеспечивает взаимное соединение частиц электродного активного материала и фиксирование их одних с другими в виде независимой одиночной фазы без физического и/или химического смешивания с указанными поверхностями при сохранении пористой структуры, образованной частицами электродного активного материала. Кроме того, хотя отсутствуют особые ограничения по толщине полимерного покровного слоя, данный полимерный покровный слой предпочтительно имеет толщину от 1 нм до 10 мкм. Если полимерный покровный слой имеет толщину меньше 1 нм, то невозможно в достаточной мере контролировать теплоту реакции между электродным активным материалом и электролитом. Если полимерный покровный слой имеет толщину более 10 мкм, то снижается литий-ионная проводимость, что приводит к ухудшению общего качества батареи.
При этом сшитый полимер может присутствовать при таком объемном содержании, что поры электрода полностью заполнены сшитым полимером. Однако содержание сшитого полимера может контролироваться с учетом взаимосвязи между безопасностью батареи и ее качеством. Кроме того, сшитый полимер может быть использован в количестве, контролируемом независимым образом для катода и анода. Сшитый полимер, разбухший в электролите, присутствует в количестве по меньшей мере 0,01 мас.%, предпочтительно в интервале между 0,01 и 50 мас.%, в расчете на массу электродного активного материала.
Электрод, включающий сшитый полимер, который размещен на поверхности электродного активного материала, обладает более низкой пористостью по сравнению с электродом, не содержащим сшитого полимера. Пористость, обусловленная порами, которые образованы частицами электродного активного материала в электроде, содержащем сшитый полимер, предпочтительно регулируют в интервале между 1% и 50%. Поры электрода представляют собой участки, которые должны быть заполнены электролитом. Если пористость электрода составляет менее 1%, то отношение электролита (E) к электродному активному материалу (M), т.е. E/M, слишком низкое, посредством чего снижается качество батареи вследствие недостаточной литий-ионной проводимости. Если пористость электрода больше 50%, то чрезмерно интенсивно протекают побочные реакции между электролитом и электродным активным материалом при перезарядке или хранении при повышенной температуре, вследствие чего снижается безопасность батареи.
Электрод, содержащий сшитый полимер, который покрывает поверхность частиц электродного активного материала, при сохранении пористой структуры, образованной частицами электродного активного материала, в соответствии с данным изобретением может быть изготовлен следующим способом.
Например, способ изготовления электрода в соответствии с данным изобретением включает следующие этапы: нанесение суспензии, содержащей электродный активный материал, опционально со связующим и/или проводящим агентом, приготовленной обычным способом, на токовый коллектор с последующей сушкой с образованием электрода; погружение данного электрода в раствор, в котором диспергированы или растворены мономеры, образующие сшитый полимер, для формирования покровного слоя на электроде, как показано Фиг.1; и испарение растворителя с последующей сушкой покрытого электрода.
Хотя в отношении растворителя, используемого в вышеуказанном способе, отсутствуют какие-либо особые ограничения, предпочтительно, чтобы данный растворитель имел параметр растворимости, сходный с его величиной для используемых мономеров, и низкую температуру кипения. Это обусловлено тем, что такие растворители могут быть равномерно смешаны с мономерами и могут быть легко удалены после нанесения покрытия из полимера. Неограничивающие примеры растворителей, которые могут быть использованы, включают ацетон, тетрагидрофуран, метиленхлорид, хлороформ, диметилформамид, N-метил-2-пирролидон, циклогексан, воду и их смеси.
Кроме того, предпочтительно, чтобы раствор полимера также содержал небольшое количество инициатора образования поперечных связей, обычно известного специалистам в данной области техники, чтобы обеспечить отверждение нагреванием или облучением светом.
Если мономеры (сшивающие агенты) растворены в растворителе, то содержание мономеров в растворе должно контролироваться таким образом, чтобы оно не превышало такую величину концентрации, при которой поры на поверхности электрода полностью заполнены мономерами. Если содержание мономеров, образующих сшитый полимер, чрезмерно велико, то вязкость раствора повышается, и соответственно сшивающие агенты не могут проникнуть в поры электрода, однако могут присутствовать на поверхности электрода. Вследствие этого трудно контролировать реакцию между электродом и электролитом. Более того, слой, дополнительно сформированный на поверхности электрода, который служит в качестве резистивного слоя, вызывает ухудшение качества батареи. С другой стороны, если содержание сшивающих агентов в растворе чрезмерно низкое, то количество мономеров, присутствующих на поверхности электродного активного материала, также мало. Вследствие этого содержания сшивающих агентов недостаточно для контролирования реакции между электродом и электролитом. Хотя содержание сшивающего агента в растворе может варьироваться в зависимости от вида используемого мономера или растворителя, вязкости раствора и пористости электрода, оно предпочтительно регулируется в интервале между 0,1 и 90 мас.%.
Чтобы покрыть электрод раствором полимера, может быть использован любой способ, известный специалистам в данной области техники. Возможно использование различных способов, включая нанесение покрытия погружением, нанесение с использованием формы, нанесение валком, нанесение с использованием ракеля и валка и комбинации таких способов.
Затем электрод, имеющий покровный слой из мономеров, образующих сшитый полимер, как описано выше, сшивают при адекватных условиях, например нагреванием или облучением УФ, чтобы сформировать трехмерно сшитый покровный слой на поверхности частиц электродного активного материала. В то же время, в случае сшиваемого гелевого полимерного электролита в соответствии с прототипом (SANYO, JP 2000-299129) электролит, содержащий сшиваемые мономеры, инжектируют в батарею после ее сборки и затем сшивают при адекватных условиях для выполнения in situ формирования гелевого полимерного электролита в батарее. Следовательно, объем в электроде батареи полностью заполнен гелеобразным полимерным электролитом в соответствии с прототипом (см. Фиг.2). В противоположность этому, в случае электрода в соответствии с данным изобретением, сшитый полимерный покровный слой присутствует в виде равномерной и одиночной фазы на поверхности частиц электродного активного материала, которая в противном случае может вызвать побочные реакции с электролитом, при сохранении пористой структуры, образованной промежуточными пустотами между частицами электродного активного материала (см. Фиг.3). Поэтому возможно повышение безопасности и качества батареи.
Кроме того, в соответствии с прототипом электродный активный материал покрывают проводящим полимером или неорганическими частицами перед изготовлением электрода. В противоположность этому, в соответствии с данным изобретением электрод изготавливают вначале обычным способом, а затем данный электрод погружают в раствор, содержащий полимер, чтобы сформировать на электроде покровный слой. Поэтому не происходит агрегации электродных активных материалов или отделения связующего, покрывающего активный материал. Кроме того, поскольку могут в основном поддерживаться распределение и структура составных элементов электрода, то базовые свойства батареи, такие как емкость или качество, а также структурная устойчивость батареи также могут сохраняться в течение длительного времени.
В соответствии с еще одним аспектом данного изобретения представлено электрохимическое устройство, содержащее катод, анод, сепаратор, расположенный между катодом и анодом, и электролит, в котором катод и/или анод покрыты сшитым полимером, покрывающим поверхность частиц электродного активного материала, которые соединены одни с другими, при сохранении пористой структуры, образованной частицами электродного активного материала.
При этом указанный электрод может быть катодом или анодом или же катодом и анодом. Предпочтительно электрод является катодом. Другими словами, когда электрод в соответствии с данным изобретением, который имеет покровный слой из сшитого полимера, сформированный на поверхности частиц электродного активного материала, соединенных одни с другими, при сохранении пористой структуры, образованной частицами электродного активного материала, является катодом, возможно повышение безопасности батареи посредством контролирования теплоты реакции, генерируемой побочными реакциями между катодным активным материалом и электролитом, благодаря полимерному покровному слою на катоде. Кроме того, анод образует пленочную поверхность раздела твердого электролита (SEI), когда он находится в соприкосновении с обычным электролитом и осуществляет обычные электрохимические реакции в батарее. Следовательно, возможно сведение к минимуму ухудшения качества батареи, обусловленного введением полимерного покровного слоя. Поэтому возможно улучшение безопасности батареи при отсутствии неблагоприятного влияния на качество батареи.
Данное электрохимическое устройство включает любые устройства, в которых происходят электрохимические реакции, и их частные примеры включают все виды первичных батарей, аккумуляторных батарей, топливных гальванических элементов, солнечных гальванических элементов или конденсаторов.
Для изготовления данного электрохимического устройства посредством использования электрода в соответствии с данным изобретением может быть использован любой обычный способ, известный специалистам в данной области техники. В одном из вариантов осуществления способа электродный узел получают посредством использования электродов в соответствии с данным изобретением и сепаратора, размещенного между обоими электродами, при последующей инжекции электролита.
При этом, когда электролит инжектируют в электродный узел, который включает электрод, покрытый сшитым полимером (предпочтительно сшитым полимером, способным к разбуханию в электролите), покрывающим поверхность частиц электродного активного материала, соединенных одни с другими, и сепаратор, то данный сшитый полимер разбухает в электролите в зависимости от физических свойств полимера, покрывающего поверхность электродного активного материала. Когда сшитый полимер разбухает вследствие инжекции электролита и содержит растворитель, то содержание растворителя в полимере предпочтительно находится в интервале 0,1-20 мас.%, в расчете на массу полимера перед инжекцией электролита. Однако содержание растворителя не ограничивается вышеуказанным интервалом. Содержание растворителя может регулироваться в зависимости от используемого полимера, вида растворителя, вязкости раствора и пористости электрода, пока поры, образованные между частицами электродного активного материала, не заполнены полностью результирующим полимеров.
Кроме того, когда сшитый полимер, покрывающий поверхность электродного активного материала, является полимером, который разбухает в электролите, то данный полимер имеет высокое сродство к электролиту, и соответственно электрод, покрытый таким полимером, также обладает повышенным сродством к электролиту. Поэтому, краевой угол между электродом, покрытым сшитым полимером, и электролитом уменьшается, предпочтительно на 1° или более, по сравнению с электродом, не включающим сшитый полимер.
Кроме того, предпочтительно, чтобы электрод, покрытый сшитым полимером, проявлял теплотворную способность по отношению к электролиту, пониженную на 0,01 Дж/г или более по сравнению с теплотворной способностью электрода, не включающего сшитый полимер, к тому же самому электролиту. Также предпочтительно, чтобы температура пика, при которой теплотворная способность электрода по отношению к электролиту достигает максимальной величины при возрастании внешней температуры, увеличивалась на 0,01°C или выше по сравнению с электрохимическим устройством в соответствии с прототипом.
Предпочтительно, электрохимическое устройство, изготовленное как описано выше, является литиевой аккумуляторной батареей, включая литий-металлическую аккумуляторную батарею, литий-ионную аккумуляторную батарею, литий-полимерную аккумуляторную батарею или литий-ион-полимерную аккумуляторную батарею.
При этом электрод, который покрыт слоем из сшитого полимера, может быть сформирован нанесением электродного активного материала на токовый коллектор способом, известным специалистам в данной области техники. В частности, катодный активный материал может включать любой общепринятый катодный активный материал, используемый в настоящее время в катоде обычного электрохимического устройства. Частные неограничивающие примеры катодного активного материала включают материалы с интеркалированным литием, такие как оксиды лития-марганца, оксиды лития-кобальта, оксиды лития-никеля, оксиды лития-железа или их сложные оксиды. Кроме того, анодный активный материал может включать любой общепринятый анодный активный материал, используемый в настоящее время в аноде обычного электрохимического устройства. Частные неограничивающие примеры анодного активного материала включают материалы с интеркалированным литием, такие как металлический литий, литиевые сплавы, углерод, нефтяной кокс, активированный уголь, графит или другие углеродистые материалы. Неограничивающие примеры катодного токового коллектора включают фольгу, изготовленную из алюминия, никеля или их комбинации. Неограничивающие примеры анодного токового коллектора включают фольгу, изготовленную из меди, золота, никеля, медных сплавов или их комбинации.
Электролит, который может быть использован в данном изобретении, включает соль формулы A+B–, при этом A+ представляет собой катион щелочного металла, который выбран из группы, состоящей из Li+, Na+, K+ и их комбинаций, а B– представляет собой анион, который выбран из группы, состоящей из PF6 –, BF4 –, Cl–, Br–, I–, ClO4 –, ASF6 –, CH3CO2 –, CF3SO3 –, N(CF3SO2)2 –, C(CF2SO2)3 – и их комбинаций; данная соль растворяется или диссоциирует в органическом растворителе, который выбран из группы, состоящей из пропиленкарбоната (PC), этиленкарбоната (EC), диэтилкарбоната (DEC), диметилкарбоната (DMC), дипропилкарбоната (DPC), диметилсульфоксида, ацетонитрила, диметоксиэтана, диэтоксиэтана, тетрагидрофурана, N-метил-2-пирролидона (NMP), этилметилкарбоната (EMC), гамма-бутиролактона ( -бутиролактона) и их смесей. Однако электролит, который может быть использован в данном изобретении, не ограничивается вышеуказанными примерами.
Более конкретно, электролит может быть инжектирован на подходящей стадии изготовления электрохимического устройства, в соответствии со способом изготовления конечного продукта и желательных свойств. Другими словами, электролит может быть инжектирован перед сборкой электрохимического устройства или на конечном этапе сборки электрохимического устройства.
Хотя отсутствуют особые ограничения в отношении сепаратора, который может быть использован в данном изобретении, может быть использован пористый сепаратор, и его конкретные примеры включают пористые сепараторы на базе полипропилена, полиэтилена и полиолефина.
Кроме того, хотя отсутствуют особые ограничения в отношении внешней формы электрохимического устройства, изготовленного вышеуказанным способом, данное электрохимическое устройство может быть цилиндрическим, призматическим электрохимическим устройством или устройством в виде пакета или монеты.
Лучший вариант осуществления данного изобретения
Теперь будут представлены в деталях примеры предпочтительных вариантов осуществления данного изобретения. Следует понимать, что эти примеры приведены лишь для пояснения, и данное изобретение не ограничивается ими.
Пример 1
Изготовление электрода, содержащего сшитый полимер, и литиевая аккумуляторная батарея, содержащая такой электрод
Изготовление катода
К N-метил-2-пирролидону (NMP), используемому в качестве растворителя, добавляли 94 мас.% сложного оксида лития-кобальта (LiCoO2) в качестве катодного активного материала, 3 мас.% углеродной сажи в качестве проводящего агента и 3 мас.% PVDF (поливинилиденфторида) в качестве связующего, чтобы образовать суспензию для катода. Данную суспензию наносили на алюминиевую (Al) фольгу толщиной 20 мкм, используемую в качестве катодного коллектора, и сушили, чтобы образовать катод.
Сшивающий агент TA10 указанной ниже формулы 3 и AIBN (азо-бисизобутиронитрил) в качестве инициатора образования поперечных связей растворяли в ацетоне при примерно 30°C в течение 1 часа для приготовления раствора. При этом сшивающий агент TA10 и AIBN использовали в количестве 10 мас.% и 0,2 мас.% соответственно. Затем предварительно изготовленный, как описано выше, катод погружали в данный раствор на примерно 1-3 минуты, аналогично нанесению покрытия окунанием, до тех пор, пока не удалялись полностью пузырьки, присутствующие в порах. Затем покрытый катод сушили в вакууме при комнатной температуре. После сушки выполняли отверждение при нагревании горячим воздухом при 90°C в течение 10 минут, получая катод, покрытый сшитым полимером.
Изготовление анода
К N-метил-2-пирролидону (NMP), используемому в качестве растворителя добавляли 96 мас.% угольного порошка в качестве анодного активного материала, 3 мас.% PVDF (поливинилиденфторида) в качестве связующего и 1 мас.% углеродной сажи в качестве проводящего агента, чтобы образовать смешанную суспензию для анода. Данную суспензию наносили на медную (Cu) фольгу толщиной 10 мкм, используемую в качестве анодного коллектора, и сушили, чтобы образовать анод.
Сборка батареи
Катод и анод, изготовленный описанным выше образом, располагали один на другом при использовании сепаратора, содержащего три слоя из полипропилена/полиэтилена/полипропилена (PP/PE/PP), для образования электродного узла. Затем в него инжектировали электролит (этиленкарбонат (EC)/пропиленкарбонат (PC)/диэтилкарбонат (DEC) = 30/20/50 (мас.%), содержащий 1 M гексафторфосфата лития (LiPF6)), получая батарею.
[Формула 3]

TA10 (n=10, p=3)
Сравнительные примеры 1-2
Сравнительный пример 1
Повторяли пример 1 для изготовления литиевой аккумуляторной батареи, за исключением того, что катод изготавливали обычным способом без использования какого-либо полимера.
Сравнительный пример 2
Электродный узел (включающий катод, анод и сепаратор) изготавливали обычным образом. Затем смешанный раствор, содержащий диэтиленгликольдиакрилат в качестве мономера и AIBN (азо-бисизобутиронитрил) в качестве инициатора, смешивали с таким же электролитом, который был использован в примере 1, в количестве 10 мас.%, и образованную смесь инжектировали в электродный узел. Затем выполняли отверждение нагреванием в печи при 80°C в течение 1 часа, чтобы получить батарею.
Экспериментальный пример 1. Анализ поверхности электрода
Для анализа поверхности электрода в соответствии с данным изобретением выполняли следующий тест.
Образец, использованный в этом тесте, представлял собой электрод, полученный в соответствии с примером 1. Для контроля был использован катод по сравнительному примеру 1, изготовленный обычным способом.
При анализе поверхности электрода при использовании сканирующего электронного микроскопа (СЭМ) электрод, покрытый сшитым полимером, в соответствии с данным изобретением показал пористую структуру, подобную пористой структуре катода в соответствии со сравнительным примером 1, который был получен обычным способом и не имел покровного слоя. Поэтому видно, что электрод в соответствии с данным изобретением может сохранять пористую структуру, образованную частицами электродного активного материала (см. Фиг.3).
Экспериментальный пример 2
Оценка безопасности литиевой аккумуляторной батареи
Следующий тест выполняли для оценки безопасности литиевой аккумуляторной батареи, содержащей электрод, покрытый сшитым полимером, в соответствии с данным изобретением.
Образец, использованный в этом тесте, представлял собой электрод, полученный в соответствии с примером 1. Для контроля использовали каждый из катодов в соответствии со сравнительными примерами 1 и 2, полученных обычным способом. После зарядки каждой из батарей до 4,2 В батарею разбирали для отделения катода и оценивали термическую безопасность до температуры 400°C DSC (дифференциальной сканирующей калориметрией).
После теста литиевая аккумуляторная батарея примера 1, содержащая электрод со сшитым полимером на его поверхности, показала теплотворную способность, которая была существенно уменьшена по сравнению с теплотворной способностью батарей в соответствии со сравнительными примерами 1 и 2, содержащих электроды, изготовленные обычным способом (см. Фиг.4). Поэтому из представленных выше результатов видно, что покровный слой из сшитого полимера значительно сдерживает побочные реакции между электродным активным материалом и электролитом и, соответственно, улучшает термическую безопасность батареи.
Экспериментальный пример 3
Оценка качества литиевой аккумуляторной батареи
Следующий тест выполняли для оценки емкостных характеристик литиевой аккумуляторной батареи, содержащей электрод, покрытый сшитым полимером, в соответствии с данным изобретением.
Образец, использованный в этом тесте, представлял собой электрод, полученный в соответствии с примером 1. Для контроля использовали каждый из катодов в соответствии со сравнительными примерами 1 и 2, полученных обычным способом. Каждую из батарей, имеющих емкость 760 мА·ч, подвергали циклическим испытаниям при токе разрядке, составляющем 0,2C, 0,5C, 1C и 2C при его выражении как доли номинальной емкости (C). Разрядную емкость каждой из батарей выражали как функцию от величины тока, представленной в виде доли от номинальной емкости (C).
После данного теста литиевая аккумуляторная батарея примера 1, содержащая электрод, покрытый сшитым полимером, в соответствии с данным изобретением показала емкостные характеристики, сравнимые с характеристиками батареи в соответствии со сравнительным примером 1, содержащей обычный электрод, до величины тока разрядки 1C, за исключением небольшого ухудшения характеристик при токе разрядки 2C. При этом батарея в соответствии со сравнительным примером 2, в которой сшивание происходило полностью по всей батарее, показывает значительное ухудшение емкостных характеристик при токе разрядки более 1C (см. Фиг.5).
Применяемость в производственных условиях
Как можно видеть из представленного выше описания, электрод в соответствии с данным изобретением, который содержит покровный слой из сшитого полимера, сформированный на поверхности частиц электродного активного материала, может улучшить безопасность батареи при сведении к минимуму ухудшения качества батареи.
Несмотря на то, что это изобретение описано в сочетании с рассматриваемым в настоящее время как наиболее важным в практическом отношении и предпочтительным вариантом осуществления, следует понимать, что данное изобретение не ограничивается изложенным вариантом осуществления и представленными чертежами. В противоположность этому оно предназначено для охватывания различных модификаций и вариантов в пределах сущности и объема прилагаемой формулы изобретения.
Формула изобретения
1. Электрод, содержащий покровный слой из сшитого полимера, который сформирован на поверхности частиц электродного активного материала, при сохранении пористой структуры, образованной частицами электродного активного материала, соединенных одни с другими в данном электроде, где мономер, образующий сшитый полимер, является по меньшей мере одним мономером, который выбран из группы, состоящей из соединений следующей формулы 1 и формулы 2 [Формула 1]
 [Формула 2]
 где каждая из групп R1, R2 и R3 независимым образом представляет собой атом водорода или группу низшего алкила С1-С6; R4 представляет собой одиночную связь или ; X представляет собой или ; n и m представляют собой целые числа от 0 до 1000, p и q представляют собой целые числа от 0 до 20 при условии, что p и q не могут быть 0 одновременно, и r представляет собой целое число от 1 до 6; и i и j представляют собой целые числа от 1 до 1000, a s представляет собой целое число от 1 до 20.
2. Электрод по п.1, в котором покровный слой из сшитого полимера присутствует в виде независимой фазы на поверхности частиц электродного активного материала и на поверхности связующего для взаимного соединения и фиксирования частиц электродного активного материала.
3. Электрод по п.1, который изготовлен погружением предварительно сформированного электрода в раствор, в котором растворены мономеры, образующие сшитый полимер, чтобы сформировать покровный слой из сшитого полимера, образованного мономерами, на поверхности частиц электродного активного материала, соединенных одни с другими, и сшиванием мономеров отверждением.
4. Электрод по п.1, в котором сшитый полимер разбухает в электролите батареи.
5. Электрод по п.1, в котором сшитый полимер присутствует в количестве 0,01-50 мас.% в расчете на 100 мас.% электродного активного материала.
6. Электрод по п.1, в котором покровный слой из сшитого полимера имеет толщину 0,001-10 мкм.
7. Электрод по п.1, который имеет пористость 1-50%.
8. Электрохимическое устройство, содержащее катод, анод, сепаратор, размещенный между катодом и анодом, и электролит, в котором катод и/или анод является электродом по любому из пп.1-7.
9. Электрохимическое устройство по п.8, которое является литиевой аккумуляторной батареей.
10. Способ изготовления электрода по любому из пп.1-7, данный способ содержит следующие этапы: (a) нанесение суспензии, содержащей электродный активный материал, на токовый коллектор и сушку суспензии с образованием электрода; (b) погружение электрода, полученного на этапе (а), в раствор, в котором растворены мономеры, образующие сшитый полимер, с последующей сушкой, и (c) отверждение электрода, покрытого данными мономерами, где мономер, образующий сшитый полимер, является по меньшей мере одним мономером, который выбран из группы, состоящей из соединений следующей формулы 1 и формулы 2 [Формула 1]
 [Формула 2]
 где каждая из групп R1, R2 и R3 независимым образом представляет собой атом водорода или группу низшего алкила С1-С6; R4 представляет собой одиночную связь или ; Х представляет собой или ; n и m представляют собой целые числа от 0 до 1000, p и q представляют собой целые числа от 0 до 20 при условии, что p и q не могут быть 0 одновременно, и r представляет собой целое число от 1 до 6; и i и j представляют собой целые числа от 1 до 1000, a s представляет собой целое число от 1 до 20.
11. Способ по п.10, в котором мономеры, образующие сшитый полимер, присутствуют в количестве 0,1-90 мас.% в расчете на 100 мас.% раствора, используемого на этапе (b).
12. Способ по п.11, в котором раствор, используемый на этапе (b), также содержит термический инициатор или УФ инициатор.
РИСУНКИ
|
|