|
(21), (22) Заявка: 2007134623/28, 18.09.2007
(24) Дата начала отсчета срока действия патента:
18.09.2007
(46) Опубликовано: 10.06.2009
(56) Список документов, цитированных в отчете о поиске:
SU 693096 А, 25.10.1979. RU 2084211 С1, 20.07.1997. RU 2077684 С1, 20.04.1997. JP 6-234320 А, 23.08.1994. JP 9-96484 А, 08.04.1997. JP 8-121898 А, 13.05.1996. JP 7-260287 А, 13.10.1995.
Адрес для переписки:
115569, Москва, ул. Шипиловская, 5, кв.182, О.И. Брик
|
(72) Автор(ы):
Штерн Юрий Исаакович (RU), Кожевников Яков Серафимович (RU), Боженарь Дмитрий Александрович (RU), Штерн Максим Юрьевич (RU)
(73) Патентообладатель(и):
Государственное образовательное учреждение высшего профессионального образования “Московский государственный институт электронной техники (технический университет) (RU), Закрытое Акционерное общество “ТЭРИФ-Н” (RU)
|
(54) ТЕРМОЭЛЕКТРИЧЕСКОЕ УСТРОЙСТВО
(57) Реферат:
Изобретение относится к термоэлектрическим устройствам, работающим на основе эффекта Пельтье. Сущность: термоэлектрическое устройство содержит теплопровод из материала, имеющего высокий коэффициент теплопроводности. Теплопровод устанавливается между холодным спаем термоэлектрического модуля и холодным теплообменником. Теплопровод имеет форму прямоугольного параллелепипеда и соединен одним из своих оснований через теплопроводные пасту или клей с поверхностью теплообменной пластины холодных спаев термоэлектрического модуля. Другим основанием теплопровод соединен с теплообменником холодных спаев. Высота теплопровода определяется в зависимости от градиента температуры между основаниями теплопровода, площади основания теплопровода, коэффициента теплопроводности материала теплопровода и от холодопроизводительности термоэлектрического модуля. Технический результат: уменьшение теплопритока с горячего теплообменника на холодный, увеличение разности температур, создаваемой термоэлектрическим устройством между охлаждаемым объектом и окружающей средой, и уменьшение потребляемой мощности термоэлектрического устройства. 1 з.п. ф-лы. 4 ил.
Изобретение относится к термоэлектрической технике и касается конструкции термоэлектрического устройства, работающего на основе эффекта Пельтье и используемого в системах нагрева и охлаждения.
Известно термоэлектрическое устройство, включающее термоэлектрические батареи, на одних спаях которых установлены с помощью теплопроводной пасты проточные жидкостные теплообменники, а на других спаях с помощью теплопроводной пасты установлены тепловые трубы, частично заполненные теплоносителем (см. RU 2112908 С1, 1998 г.).
В последние годы в производстве термоэлектрических устройств наблюдается тенденция к применению термоэлектрических модулей. В настоящее время 90% модулей, работающих на эффекте Пельтье, имеют высоту 3-6 мм. Это объясняется, во-первых, экономией термоэлектрического материала и соответственно существенным снижением себестоимости термоэлектрических модулей (т.к. стоимость термоэлектрического материала составляет не менее 30% от стоимости термоэлектрического модуля) и, во-вторых, необходимостью повышения механический прочности модуля, увеличивающейся с уменьшением его высоты.
Ближайшим аналогом к заявляемому изобретению является термоэлектрическое устройство, включающее теплообменник горячих спаев, теплообменник холодных спаев, расположенный в охлаждаемом объеме, и термоэлектрический модуль, содержащий полупроводниковые ветви n-типа и p-типа проводимости и установленный поверхностью теплообменной пластины горячих спаев на теплообменник горячих спаев (см. RU 2142178, 1999 г.).
В связи с переходом на модули (которые, в частности, использованы и в патенте RU 2142178) в термоэлектрических устройствах увеличиваются теплонатекания с горячего теплообменника на холодный. Это обстоятельство усугубляется еще и тем, что площади поверхностей теплообменников, на которые устанавливаются теплоэлектрические модули, как правило, значительно больше рабочих площадей модулей. В связи с этим для повышения эффективности термоэлектрического устройства целесообразно увеличить расстояние между теплообменниками и тем самым увеличить толщину изоляции между ними. Для этого в конструкцию термоэлектрического устройства целесообразно вводить дополнительный элемент – теплопровод. Необходимым условием применения теплопровода является высокая удельная теплопроводность материала, из которого он изготовлен.
Возможны два варианта размещения теплопровода в конструкции термоэлектрического устройства:
– между горячей поверхностью термоэлектрического модуля и горячим теплообменником;
– между холодной поверхностью термоэлектрического модуля и холодным теплообменником.
Целесообразным является второй вариант, т.к. тепловой поток от холодного теплообменника к холодной поверхности термоэлектрического модуля всегда меньше теплового потока с горячей поверхности термоэлектрического модуля на горячий теплообменник, а чем меньше тепловой поток, тем меньше будет паразитный градиент температуры, создаваемый теплопроводом.
Для того чтобы обозначить проблему, которая стояла перед заявителем при разработке заявляемого устройства, предлагается рассмотреть два предельных случая работы термоэлектрического устройства (см. фиг.2). Предположим, что в первом случае термоэлектрический модуль работает в режиме максимальной холодопроизводительности. При этом T (разность температур между спаями модуля) стремится к нулю и соответственно разность температур между горячим и холодным теплообменниками также стремится к нулю. В данном случае использование теплопровода является нецелесообразным, так как он создает только дополнительное тепловое сопротивление в термоэлектрическом устройстве.
Во втором случае, когда разность температур между спаями модуля соответствует Тmax, разность температур между горячим и холодным теплообменниками имеет также максимальное значение. Тепловой поток из охлаждаемого объема, проходящий через холодный теплообменник и теплопровод, будет близок нулю. В этом случае необходимо увеличивать расстояние между теплообменниками для того, чтобы свести к минимуму тепловые потоки с горячего теплообменника на холодный. Поэтому в данном режиме высота теплопровода может быть неограниченно большой, так как он практически не вносит дополнительного теплового сопротивления.
Однако абсолютное большинство термоэлектрических устройств не работает в рассмотренных выше предельных режимах. Следовательно, в любом промежуточном случае существует определенная оптимальная высота теплопровода, позволяющая максимально повысить эффективность термоэлектрического устройства.
В известных источниках информации не ставится и не решается вопрос оптимизации высоты используемого в термоэлектрическом устройстве теплопровода для повышения эффективности термоэлектрического устройства.
Технический результат, который может быть достигнут при использовании заявляемого термоэлектрического устройства, заключается в уменьшения теплопритоков с горячего теплообменника на холодный, в увеличении разности температур, создаваемой термоэлектрическим устройством, между охлаждаемым объектом и окружающей средой, в уменьшении потребляемой мощности термоэлектрического устройства, если разность температур между охлаждаемым объектом и окружающей средой будет поддерживаться постоянной.
Для достижения указанного технического результата предлагается термоэлектрическое устройство, включающее теплообменник горячих спаев, теплообменник холодных спаев, расположенный в охлаждаемом объеме, и термоэлектрический модуль. Термоэлектрический модуль содержит полупроводниковые ветви n-типа и p-типа проводимости и установлен поверхностью теплообменной пластины горячих спаев через теплопроводные пасту или клей на теплообменник горячих спаев. Между термоэлектрическим модулем и теплообменником холодных спаев установлен теплопровод, выполненный из материала с высоким коэффициентом теплопроводности и имеющий форму прямоугольного параллелепипеда
Теплопровод соединен одним из своих противолежащих оснований через теплопроводные пасту или клей с поверхностью теплообменной пластины холодных спаев термоэлектрического модуля, а другим основанием с теплообменником холодных спаев. Высота теплопровода определяется из выражения:

где
h – высота теплопровода, м;
ТП – градиент температуры между основаниями теплопровода, K;
SП – площадь основания теплопровода, м2;
П – коэффициент теплопроводности материала теплопровода, 
Q0 – тепловой поток, проходящий через теплопровод (тепло, откачиваемое термоэлектрическим модулем – холодопроизводительность термоэлектрического модуля), Вт.
Изобретение иллюстрируется чертежами, где
на фиг.1 изображена конструкция предлагаемого термоэлектрического устройства;
на фиг.2 – график нагрузочной характеристики термоэлектрического модуля;
на фиг.3 – график зависимости градиента температуры между охлаждаемым объемом и окружающей средой от высоты теплопровода;
на фиг.4 – график зависимости потребляемой мощности термоэлектрической системы от высоты теплопровода.
Термоэлектрическое устройство содержит термоэлектрический блок и охлаждаемый объем 1, заключенный в теплоизоляцию 2. Термоэлектрический блок включает термоэлектрический модуль 3, который состоит из термоэлементов, образованных полупроводниковыми ветвями n-типа и p-типа проводимости.
Поверхность теплообменной пластины 3′ горячих спаев термоэлектрического модуля 3 установлена через теплопроводную пасту или теплопроводный клей на горячем теплообменнике 4 (теплообменнике горячего контура протока жидкости).
Между горячим теплообменником 4 и холодным теплообменником 5 расположен изолирующий слой 7, в который встроен теплопровод 6, выполненный из материала, имеющего высокий коэффициент теплопроводности, например из меди или сплавов алюминия.
Теплопровод 6 имеет форму прямоугольного параллелепипеда.
При этом поверхность теплообменной пластины 3″ холодных спаев термоэлектрического модуля 3 установлена через теплопроводную пасту или теплопроводный клей на верхнем основании 6′ теплопровода 6. В свою очередь, противолежащее нижнее основание 6″ теплопровода 6 установлено на холодном теплообменнике 5 (теплообменнике холодного контура протока жидкости), который размещен в охлаждаемом объеме 1.
Принцип расчета теплопровода рассматривается ниже.
Пусть электрическая мощность, подаваемая на термоэлектрический модуль 3 постоянна, а все габариты термоэлектрического устройства, за исключением высоты теплопровода 6, и свойства материалов известны. Рассматриваемая термоэлектрическая система находится в состоянии термодинамического равновесия. В этом случае тепло, откачиваемое термоэлектрическим устройством, компенсируется теплонатеканиями, поступающими в охлаждаемый объем 1. Эти теплонатекания необходимо разделить на две составляющие:
– теплонатекания от внешней среды через стенки охлаждаемого объема 1;
– теплонатекания с горячего теплообменника 4 через изолирующий слой 7 на холодный теплообменник 5.
В абсолютном большинстве случаев градиент температуры между горячим теплообменником 4 и холодным теплообменником 5 значительно больше градиента между окружающей средой и охлаждаемым объемом 1.
Уравнение теплового баланса для рассматриваемого термоэлектрического устройства имеет следующий вид:

где
QO – тепловой поток, проходящий через теплопровод (тепло, откачиваемое термоэлектрическим модулем – холодопроизводительность термоэлектрического модуля) – Вт;
QH – теплонатекания через стенки охлаждаемого объема – Вт;
QT – тепловой поток через изолирующий слой между горячим и холодным теплообменниками – Вт.
Согласно уравнению Фурье QH определяется следующим образом:

где
QН – теплонатекания через стенки охлаждаемого объема – Вт;
SH – суммарная площадь поверхности теплоизоляции между охлаждаемым объемом и окружающей средой – м2;
ТН – градиент температуры между охлаждаемым объемом и окружающей средой – К;
Н – удельная теплопроводность материала изолирующего слоя – Вт/м·К;
hН – толщина изоляции – м.
QТ можно определить из выражения:

где
QT – тепловой поток через изолирующий слой между горячим и холодным теплообменниками – Вт;
ST – площадь поверхности между горячим и холодным теплообменниками, не занятая термоэлектрическим модулем – м2;
TH – градиент температуры между охлаждаемым объемом и окружающей средой – К;
t – дополнительная разность температур – К;
T – удельная теплопроводность материала изолирующего слоя между горячим и холодным теплообменниками – Вт/м·К;
h – высота теплопровода – м;
hM – высота модуля – м.
Величина t показывает, на сколько градиент температуры между горячим 4 и холодным 5 теплообменниками больше градиента температуры между охлаждаемым объемом и окружающей средой. Для реальных термоэлектрических систем t составляет 10-25°С (при использовании горячего теплообменника с воздушным охлаждением)
Тепловой поток Q0, проходя через теплопровод 6, создает температурный градиент между его основаниями 6′ и 6″:

где
ТП – градиент температуры между основаниями теплопровода;
Q0 – тепловой поток, проходящий через теплопровод (тепло, откачиваемое термоэлектрическим модулем – холодопроизводительность термоэлектрического модуля);
h – высота теплопровода;
SП – площадь основания теплопровода;
П – коэффициент теплопроводности материала теплопровода;
Отсюда:

Так как термоэлектрическая система находится в состоянии термодинамического равновесия, то мощность, откачиваемая модулем, должна удовлетворять уравнению теплового баланса и согласно нагрузочной характеристике термоэлектрического модуля (фиг.2) будет определяться следующим образом:

где
– тангенс угла наклона нагрузочной прямой используемого термоэлектрического модуля;
P – координата пересечения нагрузочной характеристики с осью ординат.
Электрическая мощность, подаваемая на модуль, остается постоянной, следовательно, и Р – const и однозначно определяются нагрузочной характеристикой термоэлектрического модуля.
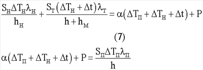
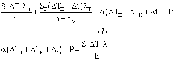
Объединив уравнения (2), (3), (1), (4) или (4″), (5) в систему, решим эту систему уравнений относительно ТН как функции от h.


Функция TН=f(h) будет выглядеть следующим образом:

Построим график этой функции. Для этого по одной оси отложим высоту h теплопровода, а по другой – градиент температуры ТН между охлаждаемым объемом и окружающей средой (фиг.3).
В случае отсутствия в термоэлектрическом устройстве теплопровода градиент температуры равен ТНо. Максимуму этой функции ТHmax соответствует некоторое значение hopt, которое и является оптимальной высотой теплопровода. Разность ТHmax и ТHo равна – эффекту при установке теплопровода оптимальной высоты. На практике составляет обычно 2-6°С, т.е. является значительной величиной, чтобы ею пренебрегать. Для определения hopt найдем производную функции ТH=f(h) и приравняем ее к нулю:


где f(h), g(h) – многочлен в числителе и знаменателе функции ТH=f(h) соответственно.
Корнем полученного уравнения в интервале от 0 до + и будет оптимальная высота теплопровода. Однако процесс вычисления корней этого уравнения является довольно сложным, поэтому на практике значительно проще и наглядней определять высоту теплопровода графически. Как видно из графика (фиг.3) величина ТH незначительно уменьшается при изменении h в окрестности hopt. Это обстоятельство дает возможность при проектировании термоэлектрических устройств выбирать значение высоты, близкое к hopt, с учетом конкретных конструктивных решений.
В термоэлектрическом устройстве, показанном на фиг.1, в стационарном режиме поддерживается некоторый постоянный градиент температуры между охлаждаемым объемом 1 и окружающей средой. Очевидно, что термоэлектрическое устройство в данном режиме потребляет определенную мощность. Найдем зависимость потребляемой мощности от высоты теплопровода 6 и покажем, что она минимальна при некоторой оптимальной высоте теплопровода.
Это утверждение объясняется тем, что высота теплопровода 6 коррелирует с толщиной теплоизоляции. При снижении высоты теплопровода h увеличиваются теплопритоки с горячего теплообменника 4, т.е. для поддержания заданной температуры необходимо увеличивать мощность, подаваемую на термоэлектрический модуль. При большой величине h теплопровод вносит значительный паразитный градиент температуры, который также должен компенсироваться увеличением мощности.
Допустим, что горячий теплообменник является идеальным, т.е. поддерживает постоянную температуру горячего спая модуля независимо от выделяемой им мощности. Это условие в данном случае является вполне приемлемым, т.к. выделяемая мощность при изменении высоты теплопровода меняется незначительно. Температуру холодного теплообменника будем поддерживать постоянной за счет изменения электрической мощности, подаваемой на термоэлектрический модуль. Так как температура холодного теплообменника и температура окружающей среды являются постоянными, то QH, определяемые по формуле (2), будут также постоянными. В расчетах термоэлектрических систем обычно задают TH и геометрические параметры устройства, поэтому QH, как и в нашем случае, известно.
Тепловой баланс рассматриваемого термоэлектрического устройства определяется уравнением (1), а тепловой поток с горячего теплообменника на холодный уравнением (3).
Тепловой поток QO, откачиваемый из охлаждаемого объема, проходя через теплопровод, создает градиент температуры между его основаниями 6′ и 6″, определяемый формулой (4).
Учитывая тот факт, что термоэлектрическая система находится в состоянии термодинамического равновесия, тепло, откачиваемое модулем, должно удовлетворять уравнению теплового баланса и согласно нагрузочной характеристике термоэлектрического модуля (фиг.2) определяться по формуле (5).
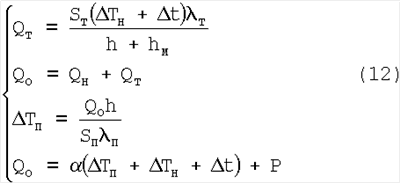
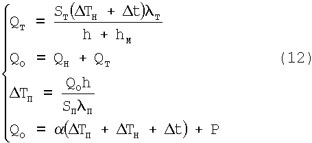
Таким образом, рассмотренное термоэлектрическое устройство, находящееся в состоянии равновесия, может быть описано следующей системой уравнений:

Преобразуем систему уравнений (12) в функцию Р=f(h), которая выглядит следующим образом:

где переменная h – высота теплопровода, а остальные обозначения константы.
Графическая функция Р=f(h) представляет собой кривую, имеющую минимум при некотором значении hopt (фиг.4), которое соответствует наименьшей потребляемой мощности термоэлектрической системы. Для нахождения численного значения оптимальной высоты теплопровода необходимо найти минимум данной функции Р=f(h) в области допустимых значений h(h 0). Для этого продифференцируем функцию Р по h

Решив уравнение P'(h)=0 для h в интервале от 0 до , определим оптимальную высоту теплопровода. Однако на практике решение такого уравнения задача достаточно трудоемкая. Гораздо удобнее определять оптимальную высоту теплопровода графически.
Любой нагрузочной характеристике термоэлектрического модуля (фиг.2) соответствует определенная потребляемая мощность устройства, а также определенное значение функции Р, которое графически является максимальной холодопроизводительностью модуля. Таким образом, функцию Р=f(h) можно, в том числе, рассматривать как зависимость потребляемой мощности термоэлектрического модуля от высоты теплопровода. При некоторой высоте hopt теплопровода потребляемая мощность термоэлектрического устройства становится минимальной.
Как показывают расчеты, подтвержденные испытаниями, использование теплопровода оптимальной высоты в реальных термоэлектрических устройствах позволяет уменьшить их потребляемую мощность на 10-30% при фиксированном значении градиента температуры между охлаждаемым объектом и окружающей средой.
Таким образом, использование в конструкции термоэлектрического устройства теплопровода и определение в соответствии с заявляемым изобретением оптимальной высоты теплопровода позволит значительно повысить эффективность термоэлектрической системы, так как дает возможность: увеличить разность температур между окружающей средой и охлаждаемым объемом и минимизировать потребляемую мощность.
Формула изобретения
1. Термоэлектрическое устройство, включающее теплообменник горячих спаев, теплообменник холодных спаев, расположенный в охлаждаемом объеме, и термоэлектрический модуль, содержащий полупроводниковые ветви n-типа и p-типа проводимости и установленный поверхностью теплообменной пластины горячих спаев через теплопроводные пасту или клей на теплообменник горячих спаев, при этом между термоэлектрическим модулем и теплообменником холодных спаев установлен теплопровод, выполненный из материала с высоким коэффициентом теплопроводности, имеющий форму прямоугольного параллелепипеда и соединенный одним из своих противолежащих оснований через теплопроводные пасту или клей с поверхностью теплообменной пластины холодных спаев термоэлектрического модуля, а другим основанием с теплообменником холодных спаев, причем высота теплопровода определяется из выражения
, где h – высота теплопровода;
ТП – градиент температуры между основаниями теплопровода; SП – площадь основания теплопровода;
П – коэффициент теплопроводности материала теплопровода; Qo – тепловой поток, проходящий через теплопровод (тепло, откачиваемое термоэлектрическим модулем – холодопроизводительность термоэлектрического модуля).
2. Термоэлектрическое устройство по п.1, характеризующееся тем, что теплопровод выполнен из меди или сплавов алюминия.
РИСУНКИ
|