|
|
(21), (22) Заявка: 2007149539/09, 27.12.2007
(24) Дата начала отсчета срока действия патента:
27.12.2007
(46) Опубликовано: 10.06.2009
(56) Список документов, цитированных в отчете о поиске:
ВАКИН С.А., ШУСТОВ Л.Н. Основы радиопротиводействия и радиотехнической разведки. – М.: Советское Радио, 1968, с.316, рис.8.7. RU 2270459 C1, 20.02.2006. RU 2002130175 A, 10.05.2004. RU 2287168 C1, 10.11.2006. US 6133865 A, 17.10.2000. US 7081846 B1, 25.07.2006. US 7123182 B1, 17.10.2006. GB 2342983 A, 26.04.2000.
Адрес для переписки:
443022, г.Самара, пр. Кирова, 24, Федеральное государственное унитарное предприятие “НИИ “Экран”
|
(72) Автор(ы):
Климашин Геннадий Евгеньевич (RU), Белозеров Валентин Гаврилович (RU), Радаев Сергей Матвеевич (RU)
(73) Патентообладатель(и):
Федеральное государственное унитарное предприятие “НИИ “Экран” (RU)
|
(54) РАДИОЛОКАЦИОННАЯ ЛОВУШКА
(57) Реферат:
Изобретение относится к технике радиоэлектронной борьбы и радиолокационного противодействия. Достигаемый технический результат заключается в обеспечении устойчивой работы (без возбуждения) малоразмерной радиолокационной ловушки при значительных изменениях коэффициента усиления от воздействия дестабилизирующих факторов. Для этого коэффициент усиления автоматически поддерживается ниже величины электромагнитной развязки между приемной и передающей антеннами, благодаря чему реализуется максимально возможный коэффициент усиления без возбуждения, близкий к величине уровня развязки, достигнутого на конкретном образце радиолокационной ловушки. 1 ил.
Изобретение относится к технике радиоэлектронной борьбы и радиолокационного противодействия. Радиолокационная ловушка, выполненная в соответствии с предложенным техническим решением, может использоваться для построения радиоэлектронной ложной цели или ловушки, защищающей летательный аппарат от самонаводящейся ракеты с радиолокационной головкой самонаведения (РГС) путем перенацеливания ее на ловушку.
Известно устройство [1], содержащее приемную антенну, парафазный генератор стробирующих импульсов, последовательно соединенные предварительный усилитель со стробирующим входом управления, линию задержки – элемент памяти, усилитель мощности со стробирующим входом управления, передающую антенну, два элемента ИЛИ, ждущий мультивибратор, компаратор напряжения, два интегратора напряжения, делитель напряжения с коэффициентом деления <2, переключатель напряжения на два направления, амплитудный детектор и разветвитель с одним входом и двумя выходами.
Недостатком известного устройства [1] является относительная сложность схемотехнического и конструктивного построения.
Известно устройство [2], содержащее приемную антенну, предварительный усилитель, усилитель мощности и передающую антенну, в котором может быть применен общеизвестный способ автоматической регулировки коэффициента усиления предварительного усилителя по управляющему входу, реализованный на основе преобразователя некоторой части мощности выходного сигнала в управляющее напряжение (например, на основе амплитудного детектора СВЧ-сигнала).
Недостатком существующего технического решения [2] (прототип) является сложность обеспечения устойчивой работы (без возбуждения) радиолокационной ловушки из-за существеного изменения величины общего коэффициента усиления Ку СВЧ-тракта в широком диапазоне дестабилизирующих факторов при достижимой (ограниченной) величине электромагнитной развязки R между передающей и приемной антеннами на малоразмерных ловушках с реальными размерами (0.5-1.0) м, например, авиационной ложной цели (АЛЦ) или буксируемой радиолокационной ловушке.
Целью изобретения является обеспечение устойчивой работы радиолокационной ловушки при конечной величине электромагнитной развязки между приемной и передающей антеннами в условиях дестабилизирующих факторов за счет автоматической установки коэффициента усиления (ретрансляции) на границе возбуждения ретранслятора.
Поставленная цель достигается тем, что в устройство, содержащее передающую антенну, амплитудный детектор СВЧ, последовательно соединенные приемную антенну, предварительный усилитель с управляющим входом по коэффициенту усиления и усилитель мощности, выход которого соединен с передающей антенной и входом амплитудного детектора, введены сумматор напряжения на три входа, синхронный детектор, генератор модулирующих импульсов и интегратор напряжения, выход которого через первый вход сумматора напряжения соединен с управляющим входом предварительного усилителя, а вход интегратора соединен с выходом амплитудного детектора и сигнальным входом синхронного детектора, выход которого соединен со вторым входом сумматора напряжения, третий вход которого соединен с выходом генератора модулирующих импульсов и входом опорного сигнала синхронного детектора.
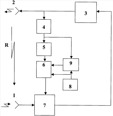
На чертеже представлена структурная схема радиолокационной ловушки.
Радиолокационная ловушка содержит приемную антенну 1, передающую антенну 2, усилитель мощности 3, амплитудный детектор 4, интегратор напряжения 5, сумматор напряжения 6, предварительный усилитель 7 с управляющим входом, генератор модулирующих импульсов 8 и синхронный детектор 9. На чертеже буквенное обозначение R условно указывает на наличие электромагнитной связи между передающей и приемной антеннами.
Принцип работы устройства с автоматической регулировкой усиления (АРУ), обеспечивающей линейный режим работы усилительного тракта, основан на формировании сигнала (при самовозбуждении) для дополнительной регулировки усиления путем изменения (модуляции) коэффициента усилении Ку в “небольших” пределах “(5 10%)” сигналом модулирующего генератора с частотой на 1-2 порядка выше значений амплитудно-частотной характеристики кольца обратной связи системы АРУ (например, при постоянной времени зарядной цепи АРУ десятки миллисекунд и постоянной времени разрядной цепи сотни миллисекунд и более, период модулирующих импульсов сотни микросекунд и менее). Поскольку при самовозбуждении выполняется условие Ку=R, модуляция коэффициента усиления будет периодически создавать условия срыва процесса самовозбуждения (Ку10%, что существенно ниже уровня сигнала, характерного для случая режима самовозбуждения, и выходной сигнал синхронного детектора практически не оказывает дополнительного влияния на коэффициент ретрансляции.),>
Таким образом, в устройстве автоматически устанавливается значение коэффициента усиления на границе возбуждения, определяемой достигнутым уровнем минимальной развязки на конкретном образце ловушки, т.е. автоматически обеспечиваются условия устойчивой работы радиолокационной ловушки (без возбуждения) при всех изменениях коэффициента усиления из-за дестабилизирующих факторов. Описанный процесс периодически повторяется с периодом, определяемым временем памяти интегрирующих цепей АРУ и синхронного детектора, а в случае применения цифровой техники максимальное время памяти может быть задано априори.
Радиолокационная ловушка работает следующим образом.
При условии отсутствия самовозбуждения (Ку
При условии Ку>R происходит самовозбуждение СВЧ-тракта, при этом система АРУ, уменьшая коэффициент усиления предварительного усилителя, выводит выходной усилитель из режима насыщения. В “линейном” режиме работы СВЧ-тракта дополнительная модуляция коэффициента усиления приводит к периодическому срыву процесса самовозбуждения с частотой сигнала модулирующего генератора 8. С выхода детектора 4 переменный сигнал с амплитудой, соответствующей размаху амплитудной характеристики выходного усилителя мощности, поступает на сигнальный вход синхронного детектора 9, преобразуется в постоянное напряжение и в виде дополнительного управляющего сигнала через сумматор 6 уменьшает коэффициент усиления усилителя 7 до момента срыва автогенерации (Ку
Заявленное техническое решение реализует автоматическое поддержание коэффициента усиления СВЧ-тракта на границе возбуждения, обеспечивая условие устойчивой (нормальной) работы радиолокационной ловушки в широком диапазоне дестабилизирующих факторов, и за счет этого увеличивает эффективность применения малоразмерных радиоэлектронных средств радиопротиводействия.
При реализации заявленного устройства входящие функциональные устройства – интегратор напряжения и синхронный детектор могут быть выполнены на основе цифровой техники, позволяющей время памяти выходных цепей интегратора и синхронного детектора сделать сколь угодно большим. В качестве СВЧ-усилителей могут быть применены монолитные интегральные схемы (МИС) на основе арсенид-галлиевых полевых транзисторов.
Результаты экспериментальной проверки режимов работы усилительного тракта на границе самовозбуждения подтверждают работоспособность устройства.
Источники информации
1. Описание изобретения к патенту Российской Федерации RU 2270459, G01S 7/38, бюл. 5, 20.02.2006.
2. Вакин С.А., Шустов Л.Н. Основы радиопротиводействия и радиотехнической разведки. М., изд-во “Советское радио”, 1968 (стр.316, рис.8.7, прототип).
Формула изобретения
Радиолокационная ловушка, содержащая передающую антенну, амплитудный детектор, последовательно соединенные приемную антенну, предварительный усилитель с управляющим входом и усилитель мощности, выход которого соединен с передающей антенной и входом амплитудного детектора, отличающаяся тем, что в нее введены сумматор напряжения на три входа, синхронный детектор, генератор модулирующих импульсов и интегратор напряжения, выход которого через первый вход сумматора напряжения соединен с управляющим входом предварительного усилителя, а вход интегратора напряжения соединен с выходом амплитудного детектора и сигнальным входом синхронного детектора, выход которого соединен со вторым входом сумматора напряжения, третий вход которого соединен с выходом генератора импульсов и входом опорного сигнала синхронного детектора.
РИСУНКИ
).>
)>
|
|