|
|
(21), (22) Заявка: 2007142635/02, 19.11.2007
(24) Дата начала отсчета срока действия патента:
19.11.2007
(46) Опубликовано: 10.06.2009
(56) Список документов, цитированных в отчете о поиске:
JANE S AMMUNITION, HANDBOOK EDITET BY LELAND NESS AND ANTHONY G WILLIAMS FOURTCENTH EDITION, 2005-2006 г., р.119. RU 2222765 C1, 27.01.2004. RU 2079087 C1, 10.05.1997. RU 2258198 C2, 10.08.2005. US 3687078 A, 29.08.1972. US 3575113 A, 13.04.1971.
Адрес для переписки:
300001, г.Тула, Щегловская засека, Государственное унитарное предприятие “Конструкторское бюро приборостроения”
|
(72) Автор(ы):
Абрамов Юрий Борисович (RU), Баранов Геннадий Николаевич (RU), Кириллов Юрий Николаевич (RU), Новиков Евгений Валериевич (RU), Худяков Владимир Иванович (RU)
(73) Патентообладатель(и):
Государственное унитарное предприятие “Конструкторское бюро приборостроения” (RU)
|
(54) ПАТРОН
(57) Реферат:
Патрон предназначен для использования в ручных и автоматических гранатометах. Патрон содержит гранату и скрепленную с ней разрушаемой при выстреле связью гильзу с камерами высокого и низкого давления, средством инициирования и пороховым метательным зарядом, размещенными в камере высокого давления, перфорацией в перегородке, разделяющей камеры, и форсажной заглушкой, перекрывающей перфорацию со стороны метательного заряда. Между зарядом и форсажной заглушкой размещена прилегающая к последней и перекрывающая перфорацию металлическая сетка. Увеличивается дульная скорость гранаты и кучность стрельбы. 2 з.п. ф-лы, 4 ил.
Изобретение относится к военной технике, а именно к патронам для ручных и автоматических гранатометов, однако может быть использовано в патронах для других видов оружия, содержащих двухкамерные гильзы.
В ручных и автоматических гранатометах для сокращения длины ствола, увеличения дульной скорости гранаты и сокращения ее разбросов применяют патроны с гильзами, как правило, содержащими камеры высокого давления, где размещен метательный заряд, и низкого давления, где размещена, скрепленная с гильзой разрушаемой при выстреле связью донная часть гранаты (обычно до ведущего пояска последней). Эти камеры соединены друг с другом перфорацией (отверстиями), которая выполнена в разделяющей их перегородке (стенке камеры высокого давления) и перекрыта со стороны метательного заряда медной заглушкой, повторяющей форму перегородки.
Примером таких патронов могут быть американские патроны М684 для автоматических и М576 для ручных гранатометов, выбранные авторами и заявителем настоящего предлагаемого изобретения его аналогом и прототипом соответственно и описанные в «Jane’s Ammunition Handbook 2005-2006 Edited by Leland Ness and Anthony G Williams Fourtcenth Edition» на стр.120 и 119 соответственно.
Гильзы этих патронов имеют практически одинаковую двухкамерную конструкцию и отличаются только формой камер высокого давления и, следовательно, формой перегородок между камерами:
– в аналоге камера высокого давления имеет полусферическую форму, и в такой же по форме ее стенке выполнена перфорация, поэтому заглушка перфорации в ней, повторяющая форму этой стенки, названа медным колпачком;
– в прототипе камера высокого давления имеет цилиндрическую форму, а перфорация выполнена в плоской торцевой ее стенке, поэтому заглушка перфорации в ней названа медным диском.
Аналог и прототип имеют одинаковый основной недостаток, а именно существенный разброс дульной скорости их гранат, обусловленный следующими обстоятельствами.
Известно, что чем большая часть порохового заряда одновременно воспламеняется и сгорает в условиях высокого и постоянного расчетного давления в камере сгорания любого порохового устройства, тем выше и стабильнее энерговыделение и, следовательно, применительно к гранатометам и к их патронам, выше и стабильнее дульная скорость гранаты и короче ствол оружия. Поэтому в таких устройствах принимают соответствующие меры, которые в известных патронах реализованы в недостаточном объеме. Так, например, применение медных заглушек в них, в силу достаточно высокой термореактивности меди, позволяет существенно увеличить как при плюсовых, так и минусовых температурах часть метательного заряда, воспламенившуюся к моменту разрушения заглушек и вскрытия перфорации, перекрытой ими. Однако после вскрытия перфорации этот положительный момент существенно снижается из-за выноса большой и нестабильной части метательного заряда в виде образующих его воспламенившихся и невоспламенившихся (примыкающих к заглушкам и стенкам камеры высокого давления, т.е. находящихся в застойных для течения пороховых газов зонах) пороховых элементов сначала в камеру низкого давления гильзы, а затем и в ствол гранатомета, где они либо догорают в нерасчетном режиме (при более низком давлении), либо загасают (если были недостаточно полно воспламенены) при взаимодействии с холодными стенками гильзы и ствола, либо так и остаются не воспламененными. Вынос пороховых элементов через перфорацию вызван малыми размерами первых, например, зерна отечественного пороха П-200, применяемого в патронах для гранатометов, имеют минимальный размер 0,6 мм, и высокой сложностью, а порой и невозможностью изготовления в достаточно толстостенных и высокопрочных стальных камерах высокого давления большого количества отверстий диаметром, меньше минимального размера пороховых элементов метательного заряда. Поэтому на практике идут на компромисс между разбросом дульной скорости гранаты и стоимостью изготовления перфорации, т.е. выбирают достаточно технологичный вариант изготовления отверстий перфорации и подбирают под нее толщину заглушки, совместно обеспечивающие приемлемые разбросы дульной скорости гранаты. Это вызывает в аналоге и прототипе дополнительные недостатки:
– пламенность при стрельбе из-за догорания пороховых элементов в стволе гранатомета;
– высокую зависимость скорости гранаты от температуры матчасти;
– необходимость иметь в производстве патронов специальный по толщине и механическим свойствам листовой медный прокат для заглушек.
Технической задачей настоящего предлагаемого изобретения является повышение дульной скорости гранаты, уменьшение ее разбросов и зависимости от температуры при одновременном сокращении стоимости изготовления.
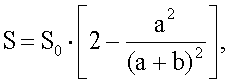
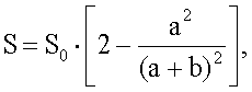
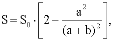
Согласно настоящему предлагаемому изобретению решение поставленной технической задачи достигается тем, что в патроне, содержащем гранату и скрепленную с ней разрушаемой при выстреле связью гильзу с камерами высокого и низкого давления, средством инициирования и пороховым метательным зарядом, размещенными в камере высокого давления, перфорацией в перегородке, разделяющей камеры, форсажной заглушкой, перекрывающей перфорацию со стороны метательного заряда, между пороховым метательным зарядом и форсажной заглушкой размещена прилегающая к последней и перекрывающая перфорацию металлическая сетка, размеры ячейки которой меньше минимальных размеров пороховых элементов, образующих пороховой метательный заряд, при этом площадь перфорации определяется по зависимости:

где:
S0 – расчетная площадь перфорации без металлической сетки;
а – размер ячейки металлической сетки;
b – толщина проволоки металлической сетки.
В частном случае, когда перфорация в перегородке представлена одним соосным гильзе отверстием, металлическая сетка скреплена с форсажной заглушкой вокруг этого отверстия точечной сваркой или клеем.
Суть изобретения поясняется чертежами, где на фиг.1, 2, 3 и 4 представлены фрагменты вариантов патронов с двухкамерными гильзами, имеющими различные по конструкции камеры высокого давления, на которых показаны:
1 – граната;
2 – двухкамерная гильза, скрепленная с гранатой 1, например, клеем;
3 – камера низкого давления гильзы;
4 – камера высокого давления гильзы, стенка которой является перегородкой, отделяющей ее полость от камеры низкого давления. Эта камера может иметь полусферическую форму (фиг.1) или цилиндрическую (фиг.2, 3, 4);
5 – пороховой мелкозернистый заряд, расположенный в камере высокого давления гильзы 4;
6 – отверстия, образующие перфорацию в перегородке, разделяющей камеры 3 и 4 гильзы 2. Эти отверстия могут быть радиальными (фиг.1 и 4) или расположенными вдоль оси гильзы 2 (фиг.2 и 3). Площадь этих отверстий составляет.

7 – форсажная заглушка, перекрывающая перфорацию со стороны порохового метательного заряда;
8 – металлическая сетка, отделяющая пороховой метательный заряд от форсажной заглушки, прилегающая к последней и перекрывающая перфорацию, с размером ячейки меньше минимального размера пороховых элементов метательного заряда 5. Такие мелкоячеистые сетки в общем случае имеют квадратную ячейку со стороной а и образованы переплетением металлической проволоки диаметром b. Они хорошо гнутся, штампуются, свариваются и склеиваются, поэтому им легко придать форму перегородки, отделяющей камеры 3 и 4 гильзы 2 друг от друга. На фиг.1 показана сетка, имеющая полусферическую форму, на фиг.2 и 4 – форму диска и на фиг.3 – форму цилиндра, образованного лентой из сетки, стык которой размещен в окружном направлении между отверстиями перфорации.
Сетка 8 на фиг.4 скреплена с форсажной заглушкой вокруг отверстия 6 точечной сваркой или клеем, что исключает ее вынос напором пороховых газов через одно большое отверстие перфорации в камеру низкого давления 3.
Работа патрона по настоящему предлагаемому изобретению состоит в следующем.
При воспламенении метательного заряда 5 капсюлем-воспламенителем патрона первые же пороховые газы проходят между его пороховыми элементами, затем через ячейки сетки 8 и через отверстия 6 перфорации входят в камеру низкого давления, быстро воспламеняя на своем пути большую часть заряда. При этом сетка 8 удерживает элементы заряда 5 от их выноса в камеру низкого давления 3, и так продолжается до тех пор, пока все пороховые элементы заряда не сгорят до размеров ячейки сетки 6. Таким образом, до указанного момента, истечение пороховых газов в камеру низкого давления 3 носит критический характер, и в этих условиях горят все элементы заряда. После этого пороховые газы начинают их выносить из камеры высокого давления 4 в камеру низкого давления 3, но уже надежно воспламененными и устойчиво горящими. К этому моменту в камере низкого давления 3, несмотря на увеличение ее объема за счет отсоединения гранаты 1 от гильзы 2 и ее движения по стволу гранатомета, избыточное давление горячих пороховых газов достигает значительных значений, и существенно повышается температура поверхностей гильзы и канала ствола гранатомета, благодаря чему вынесенные из камеры высокого давления 4 остатки пороховых элементов заряда 5 надежно догорают хотя и в нерасчетном, но достаточно стабильном режиме.
Благодаря этому существенно снижается разброс дульной скорости гранаты, зависимость этой скорости от температуры, снижается пламенность выстрела и появляется дополнительная возможность либо для увеличения дульной скорости гранаты, либо для уменьшения длины ствола гранатомета. Кроме того, применение металлической сетки позволяет существенно повысить технологичность гильз как за счет увеличения размеров отверстий перфорации для компенсации уменьшения их проходного сечения сеткой, так и за счет сокращения их количества, вплоть до одного. Однако в последнем случае необходимо предпринимать меры, исключающие вынос сетки давлением пороховых газов в камеру низкого давления, т.е. крепить ее вокруг отверстия к перегородке точечной сваркой или клеем. Поэтому в каждом конкретном случае, прежде чем сделать окончательный выбор следует оценить, что выгоднее: изготовить несколько достаточно технологичных отверстий перфорации или одно высокотехнологичное по сравнению с ними отверстие, но при этом снизить технологичность конструкции в целом за счет крепления металлической сетки к перегородке. В основном это будет зависеть от прочности материала перегородки, ее формы и размеров: чем выше прочность материала, проще форма и больше размеры перегородки, тем больше предпосылок к изготовлению перфорации в виде одного осевого отверстия.
Формула изобретения
1. Патрон, содержащий гранату и скрепленную с ней разрушаемой при выстреле связью гильзу с камерами высокого и низкого давления, средством инициирования и пороховым метательным зарядом, размещенными в камере высокого давления, разделяющей камеры перегородкой с перфорацией, и форсажной заглушкой, перекрывающей перфорацию со стороны метательного заряда, отличающийся тем, что между пороховым метательным зарядом и форсажной заглушкой размещена прилегающая к последней и перекрывающая перфорацию металлическая сетка, размеры ячейки которой меньше минимальных размеров пороховых элементов, образующих пороховой метательный заряд.
2. Патрон по п.1, отличающийся тем, что площадь перфорации в перегородке определяется по зависимости:  где S0 – расчетная площадь перфорации без металлической сетки, а – размер ячейки металлической сетки, b – диаметр проволоки металлической сетки.
3. Патрон по п.1, отличающийся тем, что перфорация в перегородке выполнена в виде одного соосного гильзе отверстия, а металлическая сетка скреплена с форсажной заглушкой вокруг этого отверстия.
РИСУНКИ
|
|