|
|
(21), (22) Заявка: 2007126814/04, 09.12.2005
(24) Дата начала отсчета срока действия патента:
09.12.2005
(30) Конвенционный приоритет:
15.12.2004 KR 10-2004-0106553 10.09.2005 KR 10-2005-0084411
(43) Дата публикации заявки: 27.01.2009
(46) Опубликовано: 10.06.2009
(56) Список документов, цитированных в отчете о поиске:
WO 03076366 A2, 18.09.2003. KIM DONG WOOK et al. A new nucleophilic fluorine-18 labeling method for aliphatic mesylates, Nuclear Medicine and Biology, 2003, 30(4), р.345-350. KIM DONG WOOK et al. New method of fluorination using potassium fluoride in ionic liquid, Journal of the American chemical society, 2002, 124(35), р.10278-10279. RU 2165266 C1, 20.04.2001. US 4985588 A, 15.01.1991.
(85) Дата перевода заявки PCT на национальную фазу:
16.07.2007
(86) Заявка PCT:
KR 2005/004228 20051209
(87) Публикация PCT:
WO 2006/065038 20060622
Адрес для переписки:
129090, Москва, ул. Б.Спасская, 25, стр.3, ООО “Юридическая фирма Городисский и Партнеры”, пат.пов. Е.Е.Назиной
|
(72) Автор(ы):
МООН Дае Хиук (KR), ТИ Дае Йоон (KR), КИМ Донг Воок (KR), ОХ Сеунг Дзун (KR), РИУ Дзин-соок (KR)
(73) Патентообладатель(и):
ФЬЮЧЕРКЕМ КО., ЛТД. (KR), ДЗЕ ЭЙШН ФАУНДЕЙШН (KR)
|
(54) СПОСОБ ПОЛУЧЕНИЯ [18F]ФТОРОРГАНИЧЕСКИХ СОЕДИНЕНИЙ В СПИРТОВЫХ РАСТВОРИТЕЛЯХ
(57) Реферат:
Изобретение относится к способу получения [18F]фторорганических соединений путем взаимодействия [18F]фторида с соответствующим галогенидом или сульфонатом в присутствии в качестве растворителя спирта формулы 1

в которой R1, R2 и R3 представляют атом водорода или С1-С18 алкил. Технический результат – возможность проведения процесса в мягких условиях, снижение продолжительности реакции и получение высокого выхода продукта. 20 з.п. ф-лы, 2 табл., 2 ил.
Область техники, к которой относится изобретение
Настоящее изобретение относится способу получения фторорганических соединений, содержащих фтор-18, радиоактивный изотоп фтора. Конкретнее, настоящее изобретение относится к способу получения фторорганических соединений с обеспечением фторорганических соединений с высоким выходом взаимодействием фторида, содержащего радиоактивный фтор-18, с алкилгалогенидом или алкилсульфонатом в присутствии спирта формулы 1 в качестве растворителя.
Формула 1

(в которой R1, R2 и R3 представляют атом водорода или С1-С18 алкил).
Уровень техники
Атом фтора обладает высокой полярностью и гидрофобными свойствами и имеет почти такой же размер, как атом водорода. Такие фторорганические соединения, содержащие атомы фтора, обладают уникальными химическими и физиологическими свойствами по сравнению с вообще органическими соединениями и применяются в области медицины, в качестве агрохимикатов, красителей, полимеров и тому подобное [Gerstenberger M.R.С., Haas A., Angew. Chem., Int. Ed. Engl. 1981, 20, 647; Filler R., In Organofluorine Compounds in Medicinal Chemistry and Biomedical Applications; Filler R., Ed., Studies in Organic Chemistry 48, Elsevier, New York, NY, 1993, p.1-23].
Как правило, фторорганические соединения получают по реакции замещения атома фтора взаимодействием алкилгалогенида или алкилсульфоната с фторидом, как представлено на схеме реакции 1.
Схема реакции 1

Галогенид в алкилгалогениде выбран из группы, состоящей из Cl, Br и I, за исключением F. Сульфонат в алкилсульфонате представляет собой SO3R12, где R12 является алкилом или арилом. Алкил предпочтительно представляет С1-С12 алкилгалогенид или С1-С12 алкилсульфонат.Например, алкилсульфонат выбран из группы, состоящей из метансульфоната, этансульфоната, изопропансульфоната, хлорметансульфоната, трифторметансульфоната и хлорэтансульфоната. Арил предпочтительно выбран из группы, состоящей из фенила, С1-С4 алкилфенила, галогенфенила, С1-С4 алкоксифенила и нитрофенила. Предпочтительными примерами являются метилфенилсульфонат, этилфенилсульфонат, хлорфенилсульфонат, бромфенилсульфонат, метоксифенилсульфонат или нитрофенилсульфонат.
Фторид (MFn), в качестве источника атомов фтора, выбран из группы, состоящей из фторида щелочных металлов, содержащего щелочные металлы, такие как литий, натрий, калий, рубидий или цезий; и фторида щелочно-земельных металлов, содержащего щелочно-земельные металлы, такие как магний, кальций, стронций или барий; и фторида аммония, содержащего аммоний или его производные, такие как тетраалкиламмоний.
Как правило, реакцию нуклеофильного фторирования проводят в полярном апротонном растворителе, таком как ацетонитрил (CH3CN), ДМФА или ДМСО, для повышения растворимости фторида и реакционной способности фторида. Известно, что спирт, будучи протонным растворителем, не подходит для проведения реакции нуклеофильного фторирования. Также известно, что спирт образует водородные связи с фторидом, который является источником атомов фтора, и тем самым снижает его реакционную способность в реакции нуклеофильного фторирования [Smith M.D.; March J. Advanced Organic Chemistry, 5th ed., Wiley Interscience: New York, NY, 2001, pp.389-674].
Сообщалось, что в способе получения вышеуказанных фторорганических соединений алкилфторид получают взаимодействием фторида калия с алкилгалогенидом в растворителе этиленгликоле [Hoffmann, F.W., J. Am. Chem. Soc., 1948, 70, 2596]. Однако данный способ получения имеет недостатки, заключающиеся в низком выходе и большой продолжительности реакции при высокой температуре реакции выше 140°С за счет низкой реакционной способности в результате низкой растворимости фторида калия.
Сообщалось, что 18-краун-6-эфир, который образует сильные связи с ионами металлов, использовали в качестве катализатора для получения фторорганических соединений для повышения растворимости фторида и реакционной способности фторида при относительно низкой температуре в пределах 80-90°С и мягких условиях реакции, и при этом выход продукта был высоким [Liotta, C.L.; Harris H.P., J. Am. Chem. Soc., 1974, 96, 2250]. Однако данный способ имеет недостатки, заключающиеся в том, что 18-краун-6-эфир является дорогостоящим соединением, требуется большая продолжительность реакции, и образуется большое количество алкена в качестве побочного продукта, поскольку фторид функционирует в качестве основания.
Известно, что, когда фторид используется в получении фторорганических соединений, то имеет место побочная реакция, представленная в схеме реакции 2.
Схема реакции 2

В качестве примера, сообщалось об использовании фторида тетрабутиламмония в качестве фторида, для получения фторорганических соединений с высоким выходом в мягких условиях реакции [Cox, D.P.; Terpinsky, J.; Lawrynowicz, W.J. Org. Chem. 1984, 49, 3216]. Однако для фторида тетрабутиламмония гидрата свойственна проблема, заключающаяся в том, что образуется большое количество спирта, который является побочным продуктом, вызванным присутствием воды, и образуется алкен в качестве другого побочного продукта за счет высокой основности фторида тетрабутиламмония.
Следовательно, для получения фторорганических соединений взаимодействием фторида с алкилгалогенидом или алкилсульфонатом требуется способ получения, который может привести к снижению продолжительности реакции за счет повышения реакционной способности фторида и может уменьшить образование побочных продуктов, таких как алкен или спирт, посредством устранения влияния влаги и сведения до минимума основности самого фторида.
Заявители попытались решить указанные выше проблемы. В способе получения фторорганических соединений взаимодействием алкилгалогенида или алкилсульфоната с фторидом заявители установили, что настоящее изобретение следует рассматривать как следующее из реакции, представленной на фигуре 1, но теоретически не всегда ограничивающееся этим. Заявители обнаружили, что спиртовой растворитель повышает реакционную способность фторида к нуклеофильному замещению посредством ослабления ионных связей во фториде между катионами металла и анионами фтора за счет образования водородных связей с фторидами металла и снижает побочные реакции за счет подавления влияния основности на реакцию фторирования путем уменьшения основности фторида через образование водородных связей фторида, и так было выполнено настоящее изобретение.
Раскрытие
Техническое решение
Целью настоящего изобретения является обеспечение способа получения фторорганических соединений с высоким выходом посредством взаимодействия фторида с алкилгалогенидом или алкилсульфонатом при повышении растворимости фторида за счет ослабления ионных связей во фториде между катионами металла и анионами фтора и одновременном уменьшении продолжительности реакции в результате повышенной реакционной способности фторида. Способ получения может привести к повышению реакционной способности фторида к нуклеофильному замещению и одновременному уменьшению образования побочных продуктов устранением влияния влаги или снижением основности самого фторида.
Преимущественные эффекты настоящего изобретения
По настоящему изобретению фторорганические соединения можно избирательно получить, в качестве основных продуктов, с выходом, составляющим более 90%, посредством подавления образования побочных продуктов при использовании спирта в качестве растворителя реакции. Спиртовой растворитель повышает реакционную способность фторида к нуклеофильному замещению посредством ослабления ионных связей между катионами металла и анионами фтора за счет образования водородных связей с фторидами металла, посредством чего можно преодолеть проблему низкой реакционной способности в результате сильных ионных связей атома фтора обычным способом, сократить время реакции за счет повышения реакционной способности и скорости реакции фторида и уменьшить образование побочных продуктов за счет подавления влияния основности посредством ослабления основности фторида через образование водородных связей фторида.
Описание чертежей
Фигура 1 представляет схематичное изображение принципа того, как спирт приводит к ослаблению ионных связей между катионами металла и анионами фтора посредством образования водородных связей с фторидом металла согласно примерному варианту осуществления настоящего изобретения.
Фигура 2 представляет схематичное изображение одноразовой кассеты согласно примерному варианту осуществления настоящего изобретения.
Описание предпочтительного варианта осуществления
Настоящее изобретение относится к способу получения фторорганических соединений применением спирта формулы 1 в качестве растворителя, в котором фторорганические соединения получают взаимодействием фторида с алкилгалогенидом или алкилсульфонатом.
Формула 1

(в которой R1, R2 и R3 представляют атом водорода или С1-С18 алкил).
Фторорганические соединения в настоящем изобретении представляют фторорганические соединения, содержащие фтор-18 и/или фтор-19.
В способе получения фторорганических соединений по настоящему изобретению предпочтительно R1 представляет атом водорода или С1-С18 алкил, предпочтительно
R2 является атомом водорода или С1-С18 алкилом, предпочтительно R3 представляет атом водорода или С1-С18 алкил, более предпочтительно R1 является метилом или этилом, более предпочтительно R2 представляет метил или этил, более предпочтительно R3 является метилом или этилом.
В способе получения фторорганических соединений по настоящему изобретению спирт формулы 1 предпочтительно выбран из группы, состоящей из первичных спиртов, таких как метанол, этанол, н-пропанол, н-бутанол, амиловый спирт, н-гексиловый спирт, н-гептанол или н-октанол; вторичных спиртов, таких как изопропанол, изобутанол, изоамиловый спирт, 3-пентанол; и третичных спиртов, таких как трет-бутанол, трет-амиловый спирт, 2,3-диметил-2-бутанол, 2-(трифторметил)-2-пропанол, 3-метил-3-пентанол, 3-этил-3-пентанол, 2-метил-2-пентанол, 2,3-диметил-3-пентанол, 2,4-диметил-2-пентанол, 2-метил-2-гексанол, 2-циклопропил-2-пропанол, 2-циклопропил-2-бутанол, 2-циклопропил-3-метил-2-бутанол, 1-метилциклопентанол, 1-этилциклопентанол, 1-пропилциклопентанол, 1-метилциклогексанол, 1-этилциклогексанол и 1-метилциклогептанол. Более предпочтительно спирт выбран из группы, состоящей из третичных спиртов, таких как трет-бутанол, трет-амиловый спирт, 2,3-диметил-2-бутанол и 2-(трифторметил)-2-пропанол.
Соль фторида предпочтительно выбрана из группы, состоящей из фторидов щелочных металлов, содержащих щелочные металлы, выбранные из группы, состоящей из лития, натрия, калия, рубидия и цезия; фторидов щелочно-земельных металлов, содержащих щелочно-земельные металлы, выбранные из группы, состоящей из магния, кальция, стронция и бария; и фторида аммония. Более предпочтительно в способе получения фторорганических соединений по настоящему изобретению желательными являются фторид цезия и фторид аммония.
Указанный выше фторид аммония предпочтительно выбран из группы, состоящей из фторидов четвертичного аммония, включающих фторид тетрабутиламмония и фторид бензилтриметиламмония; фторидов третичного аммония, включающих фторид триэтиламмония и фторид трибутиламмония; фторидов вторичного аммония, включающих фторид дибутиламмония и фторид дигексиламмония; и фторидов первичного аммония, включающих фторид бутиламмония и фторид гексиламмония, более предпочтительно в способе получения фторорганических соединений по настоящему изобретению желательным является фторид тетрабутиламмония.
В способе получения фторорганических соединений по настоящему изобретению фторид тетраалкиламмония или фторид щелочного металла, включая цезий, предпочтительно адсорбирован на подложках, выбранных из группы, состоящей из целита, молекулярного сита, оксида алюминия и силикагеля.
В способе получения фторорганических соединений по настоящему изобретению в наиболее предпочтительной комбинации фторида и спирта фторид представляет собой фторид металла или фторид тетраалкиламмония, конкретнее фторид цезия или фторид тетрабутиламмония, и предпочтительным спиртом является третичный спирт, такой как трет-бутанол и трет-амиловый спирт.
В способе получения фторорганических соединений по настоящему изобретению количество указанного выше фторида предпочтительно составляет 1,0-10 экв. к алкилгалогениду или алкилсульфонату.
В способе получения фторорганических соединений по настоящему изобретению фторорганическое соединение, полученное с использованием спирта формулы 1 в качестве растворителя, представляет [18F]фтордезоксиглюкозу формулы 2.
Формула 2

В способе получения фторорганических соединений по настоящему изобретению фторорганическое соединение, полученное с использованием спирта формулы 1 в качестве растворителя, представляет [18F]фтормизонидазол формулы 3.
Формула 3

В способе получения фторорганических соединений по настоящему изобретению фторорганическое соединение, полученное с использованием спирта формулы 1 в качестве растворителя, представляет [18F]фторэстрадиол формулы 4.
Формула 4

В способе получения фторорганических соединений по настоящему изобретению фторорганическое соединение, полученное с использованием спирта формулы 1 в качестве растворителя, представляет [18F]фторпропилкарбометокситропан формулы 5.
Формула 5

В способе получения фторорганических соединений по настоящему изобретению фторорганическое соединение, полученное с использованием спирта формулы 1 в качестве растворителя, представляет [18F]фторDDNP формулы 6.
Формула 6

В способе получения фторорганических соединений по настоящему изобретению фторорганическое соединение, полученное с использованием спирта формулы 1 в качестве растворителя, представляет [18F]фтортимидин формулы 7.
Формула 7

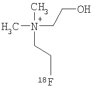
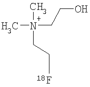
В способе получения фторорганических соединений по настоящему изобретению фторорганическое соединение, полученное с использованием спирта формулы 1 в качестве растворителя, представляет [18F]фторхолин формулы 8.
Формула 8

В способе получения фторорганических соединений по настоящему изобретению фторорганическое соединение, полученное с использованием спирта формулы 1 в качестве растворителя, представляет [18F]фторэтилхолин формулы 9.
Формула 9

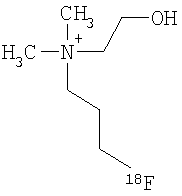
В способе получения фторорганических соединений по настоящему изобретению фторорганическое соединение, полученное с использованием спирта формулы 1 в качестве растворителя, представляет [18F]фторпропилхолин формулы 10.
Формула 10

В способе получения по настоящему изобретению спиртовой растворитель образует водородные связи с фторидом и тем самым усиливает реакцию нуклеофильного замещения фторида. Таким образом, можно преодолеть проблему низкой реакционной способности фторида за счет образования теионных связей во фториде между катионами металла и анионами фтора, можно уменьшить время реакции и можно получить конечный продукт фторорганического соединения с высоким выходом при одновременном подавлении побочных реакций.
Способ по изобретению
Ниже будут подробно описаны примерные варианты осуществления настоящего изобретения.
В способе получения фторорганического соединения посредством взаимодействия фторида с алкилгалогенидом или алкилсульфонатом спирт формулы 1 используют в качестве растворителя. Предпочтительно реакцию проводят при 0-150°С в течение 0,5-24 ч, более предпочтительно реакцию проводят в течение 1-10 ч при 20-120°С, еще более предпочтительно реакцию проводят при 40-100°С в течение 1,5-6 ч.
Точка кипения, сродство к воде, химическая стабильность и реакционная способность спирта зависят от состава алкильной группы в спирте формулы 1.
По мере возрастания числа атомов углерода в спирте и алкильных заместителей точка кипения и плавления спирта увеличивается. Спирт, имеющий высокую точку кипения и плавления, не подходит в качестве растворителя или находится в твердом состоянии. Спирт, имеющий низкое число атомов углерода в алкиле или меньшее количество алкильных заместителей, не подходит в качестве растворителя, поскольку реакционная способность самого спирта возрастает за счет уменьшения стерического препятствия спирта.
С учетом данных эффектов R1 предпочтительно представляет атом водорода или С1-С18 алкил, более предпочтительно С1-С6 алкил, еще более предпочтительно метил или этил.
R2 предпочтительно является атомом водорода или С1-С18 алкилом, более предпочтительно С1-С6 алкилом, еще более предпочтительно метилом или этилом.
R3 предпочтительно представляет атом водорода или С1-С18 алкил, более предпочтительно С1-С6 алкил, еще более предпочтительно метил или этил.
В качестве примеров спирта, описанного выше, предпочтительно спирт выбран из группы, состоящей из первичных спиртов, таких как метанол, этанол, н-пропанол, н-бутанол, амиловый спирт, н-гексиловый спирт, н-гептанол или н-октанол; и вторичных спиртов, таких как изопропанол, изобутанол, изоамиловый спирт, 3-пентанол; и третичных спиртов, таких как трет-бутанол, трет-амиловый спирт, 2,3-диметил-2-бутанол, 2-(трифторметил)-2-пропанол, 3-метил-3-пентанол, 3-этил-3-пентанол, 2-метил-2-пентанол, 2,3-диметил-3-пентанол, 2,4-диметил-2-пентанол, 2-метил-2-гексанол, 2-циклопропил-2-пропанол, 2-циклопропил-2-бутанол, 2-циклопропил-3-метил-2-бутанол, 1-метилциклопентанол, 1-этилциклопентанол, 1-пропилциклопентанол, 1-метилциклогексанол, 1-этилциклогексанол и 1-метилциклогептанол. Более предпочтительно спирт выбран из группы, состоящей из третичных спиртов, таких как трет-бутанол, трет-амиловый спирт, 2,3-диметил-2-бутанол и 2-(трифторметил)-2-пропанол.
Спиртовой растворитель по настоящему изобретению повышает реакционную способность фторида к нуклеофильному замещению ослаблением ионных связей во фториде между катионами металла и анионами фтора посредством образования водородных связей с фторидом металла и фторидом тетраалкиламмония и также подавляет образование побочных продуктов за счет ослабления основности фторида.
Способ по настоящему изобретению следует рассматривать в соответствии со схемой реакций, представленной на фигуре 1, но теоретически не всегда ограничивающийся этим. Кроме того, было установлено, что реакция с алкилсульфонатом является более эффективной по сравнению с алкилгалогенидом, поскольку спирт образует водородные связи с алкилсульфонатом.
В способе получения фторорганических соединений по настоящему изобретению фторид, являющийся источником ионов фтора, можно выбрать из группы, состоящей из фторидов щелочных металлов, содержащих щелочные металлы, выбранные из группы, состоящей из лития, натрия, калия, рубидия и цезия; и фторидов щелочно-земельных металлов, содержащих щелочно-земельные металлы, выбранные из группы, состоящей из магния, кальция, стронция и бария; и фторида аммония.
Указанный выше фторид аммония предпочтительно выбран из группы, состоящей из фторидов четвертичного аммония, таких как фторид тетрабутиламмония и фторид бензилтриметиламмония; и фторидов третичного аммония, таких как фторид триэтиламмония и фторид трибутиламмония; фторидов вторичного аммония, таких как фторид дибутиламмония и фторид дигексиламмония; и фторидов первичного аммония, таких как фторид бутиламмония и фторид гексиламмония, наиболее предпочтительно можно использовать фторид цезия или фторид тетрабутиламмония.
Фторид щелочного металла, включая цезий, и фторид тетраалкиламмония можно использовать в формах, адсорбированных на различных подложках. Например, фторид цезия и фторид тетрабутиламмония адсорбируют на подложках, таких как целит, молекулярное сито, оксид алюминия и силикагель. Когда используют фтор-19, то количество фторида предпочтительно составляет 1,0-10 экв. к алкилгалогениду или алкилсульфонату, более предпочтительно 3,0-6,0 экв. Когда добавляют меньшее количество фторида, чем указанные пределы, то выход реакции становится меньше. Когда добавляют большее количество фторида, чем указанные пределы, то выход реакции становится выше, но имеет место перерасход фторида.
По той же причине в случае фтора-18 предпочтительно используют следовое количество [18F]фторида в качестве фторида по сравнению с количеством алкилгалогенида или алкилсульфоната. Более предпочтительно используют 1 пкг-100 нг [18F]фторида на 1 мг алкилгалогенида или алкилсульфоната.
С другой стороны, можно получить фторорганическое соединение, включающее метку фтор-18, взаимодействием алкилгалогенида или алкилсульфоната с фторидом с испускающим позитроны радиоактивным изотопом фтором-18. В данном случае фтор во фториде, который является радиоактивным изотопом, представляет фтор-18, конкретнее [18F]фторид.
В способе получения фторорганического соединения взаимодействием фторида с алкилгалогенидом или алкилсульфонатом фторорганическое соединение избирательно получают с высоким выходом, составляющим более 90%, в качестве основного продукта при подавлении побочных реакций и использовании третичного спирта в качестве растворителя реакции.
В противоположность согласно варианту осуществления настоящего изобретения, в случае ацетонитрила или ДМФА, представляющих собой полярные апротонные растворители, обычно применяемые для получения фторорганических соединений, выход является низким за счет низкой растворимости фторида. Когда реакцию проводят при использовании 1,4-диоксана или бензола, которые являются неполярными растворителями, то вообще не получают фторорганические соединения (смотри таблицу 1).
В заключение спиртовой растворитель, используемый в настоящем изобретении, приводит к повышению реакционной способности фторида к нуклеофильному замещению посредством ослабления ионных связей между катионами металла и анионами фтора за счет образования водородных связей с фторидом щелочных металлов и фторидом тетраалкиламмония, и таким образом обычным способом можно преодолеть проблему низкой реакционной способности фторида в результате сильных ионных связей во фториде, сократить время реакции повышением реакционной способности и скорости реакции фторида и получить фторорганическое соединение по настоящему изобретению с высоким выходом.
Кроме того, спирт, будучи протонным растворителем, может подавлять образование побочных продуктов за счет влияния на основность во время реакции фторирования путем снижения основности фторида в результате образования водородных связей с фторидом. Следовательно, может снизиться образование побочных продуктов, таких как спирты и алкены.
По настоящему изобретению с использованием способа получения фторорганических соединений при применении спирта формулы 1 в качестве растворителя можно получить фторорганические соединения с более высоким выходом, при меньшей продолжительности реакции и в более мягких условиях по сравнению с обычным способом получения. Было показано, что фторорганические соединения можно получить с высоким выходом с помощью другого способа получения, уже раскрытого заявителями (Kim, D.W.; Song, C.E.; Chi, D.Y. J. Am. Chem. Soc., 2002, 124, 10278-10279). Однако способ, описанный в приведенной выше работе, имеет экономические недостатки, поскольку необходима дорогостоящая ионная жидкость, в то время как в настоящем изобретении используются дешевые спирты.
Представленный выше обычный способ является очень пригодным для получения неполярных фторорганических соединений. Например, можно получить 18F-меченные фторорганические соединения с высоким выходом (Kim, D.W.; Choe, Y.S.; Chi, D.Y. Nucl. Med. Biol., 2003, 30, 345-350). В тех случаях, когда действительно синтезируют 18F-меченные радиоактивные лекарственные препараты, то данный способ имеет недостаток, заключающийся в том, что очень затруднительно их отделение от ионной жидкости, поскольку большинство 18F-меченных радиоактивных лекарственных препаратов являются полярными. Следовательно, приведенный выше способ нельзя использовать для получения 18F-меченных радиоактивных лекарственных препаратов.
В этом отношении настоящее изобретение имеет большую применимость в получении 18F-меченных радиоактивных лекарственных препаратов. Настоящее изобретение обеспечивает различные применения для получения 18F-меченных радиоактивных лекарственных препаратов. Примерные варианты осуществления по настоящему изобретению предназначены для применений в отношении существующих 18F-меченных радиоактивных лекарственных препаратов.
Настоящее изобретение будет более подробно описано при обращении к последующим примерам. Последующие варианты осуществления являются примерами настоящего изобретения, и настоящее изобретение не следует рассматривать как ограничивающееся представленными ниже вариантами осуществления; а в большей степени данные варианты осуществления представлены для описания принципа изобретения для специалистов в данной области. Очевидно, специалистам в данной области понятно, что можно сделать различные изменения, касающиеся формы и деталей, не отступая от сущности и объема изобретения, определенных прилагаемой формулой изобретения.
Пример 1
Получение фторорганических соединений 1
280 мг (1,0 ммоль) 2-(3-метансульфонилоксипропокси)нафталина и 456 мг (3,0 ммоль) фторида цезия добавляют к растворителю, 4,0 мл трет-бутанола. Реакционную смесь перемешивают в течение 6 ч при 80°С. В реакционную смесь вносят 7 мл простого этилового эфира для удаления солей металлов. После фильтрования фильтрат концентрируют при пониженном давлении. 188 мг (выход 92%) 2-(3-фторпропокси)нафталина получают колоночной хроматографией (смесь этилацетат:н-гексан = 1:20).
Пример 2
Получение фторорганических соединений 2-7
Реакции проводят таким же способом, как описан в примере 1, за исключением того, что спиртовые растворители, температура реакции и время являются такими, как представлены в таблице 1. Фторорганические соединения получают, как представлено в таблице 1. На схеме реакции 3 показаны 2-(3-фторпропокси)нафталин (А), 2-(3-гидроксипропокси)нафталин (В), 2-(3-аллилокси)нафталин (С) и 2-(3-алкоксипропокси)нафталин (D), которые являются продуктами, полученными при получении фторорганических соединений.
Сравнительный пример 1
Получение фторорганических соединений 1
280 мг (1,0 ммоль) 2-(3-метансульфонилоксипропокси)нафталина и 456 мг (3,0 ммоль) фторида цезия добавляют к 4,0 мл ацетонитрила, используемого вместо спирта. Реакционную смесь перемешивают в течение 6 ч при 80°С.
Реакция почти не протекает, и таким образом показана важная роль спирта для получения фторорганических соединений.
Сравнительный пример 2
Получение фторорганических соединений 2
280 мг (1,0 ммоль) 2-(3-метансульфонилоксипропокси)нафталина и 456 мг (3,0 ммоль) фторида цезия добавляют к 4,0 мл ДМФА, используемого вместо спирта. Реакционную смесь перемешивают в течение 6 ч при 80°С.
После реакции по-прежнему остается 33% реагирующих веществ. Образуется большое количество спирта и алкена в качестве побочных продуктов. Показана важная роль спирта для получения фторорганических соединений.
Сравнительные примеры 3-4
Получение фторорганических соединений 3-4
280 мг (1,0 ммоль) 2-(3-метансульфонилоксипропокси)нафталина и 456 мг (3,0 ммоль) фторида цезия добавляют к 4,0 мл бензола или 1,4-диоксана, используемым вместо спирта. Реакционную смесь перемешивают в течение 6 ч при 80°С.
Реакция почти не протекает, и таким образом показана важная роль спирта для получения фторорганических соединений.
Сравнительные примеры 5-6
Получение фторорганических соединений 5-6
Для подтверждения повышения реакционной способности за счет образования водородных связей между фторидом и спиртом реакцию проводят таким же способом, как описан в примере 1, с использованием бромида калия, который не образует водородные связи со спиртом, вместо фторида.
Реакция бромирования почти не протекает, и таким образом показано, что образование водородных связей между спиртом и фторидом является важным для повышения реакционной способности фторида.

Схема реакции 3

Данные, представленные в таблице 1, показывают, что 2-(3-фторпропокси)нафталин (А) получают (выход 92%), когда используют фторид цезия в качестве источника атомов фтора, и третичные спирты, трет-бутанол или трет-амиловый спирт используют в качестве растворителя (примеры 1, 3 и 4).
В тех случаях, когда в качестве источника атомов фтора используют фторид тетрабутиламмония вместо фторида цезия, то выход основного продукта составляет более 90% (пример 7). Когда используют фторид рубидия, то реакция фторирования протекает, но для реакции требуется большее время (пример 5).
В случае сравнительных примеров 1 и 2 при использовании полярного апротонного растворителя, который обычно применяют для получения фторорганических соединений, и в случае использования неполярного растворителя реакционную смесь обрабатывают в течение 6 ч. Реакция совсем не протекает или образуются большие количества побочных продуктов, и выход продукта составляет только 48%. Данный результат свидетельствует, что использование спирта является важным для получения фторорганических соединений. 2-(3-н-бутоксипропокси)нафталин (D), побочный продукт эфир, образуется (30%), когда в качестве растворителя используют н-бутанол, первичный спирт. Данный результат показывает, что применение третичного спирта вместо первичного или вторичного спиртов подавляет образование эфиров в качестве побочных продуктов.
В сравнительных примерах 5 и 6 бромид калия, не способный к образованию водородных связей, используют вместо фторида для подтверждения повышения реакционной способности за счет образования водородных связей между спиртом и фторидом. Установлено, что реакция бромирования почти не протекает, и образование водородных связей между спиртом и фторидом является важным для повышения реакционной способности фторида при получении фторорганических соединений.
Пример 8
Получение фторорганических соединений 8
356 мг (1,0 ммоль) 2-(3-толуолсульфонилоксипропокси)нафталина и 456 мг (3,0 ммоль) фторида цезия добавляют к 4,0 мл трет-амилового спирта в реакционном сосуде. Реакционную смесь перемешивают в течение 2 ч при 90°С. Добавляют 7 мл простого этилового эфира для удаления соли металла. После фильтрования фильтрат концентрируют при пониженном давлении. 190 мг (выход 93%) 2-(3-фторпропокси)нафталина получают колоночной хроматографией (смесь этилацетат:н-гексан = 1:20).
Примеры 9-14
Получение фторорганических соединений 9-14
Реакции проводят таким же способом, как описан в примере 8, за исключением того, что используют 1,0 ммоль нескольких алкилгалогенидов или алкилсульфонатов, представленных в таблице 2, вместо 2-(3-толуолсульфонилоксипропокси)нафталина.
Как представлено в таблице 2, реакции проводят в течение 1,5-24 ч при 25-110°С в зависимости от используемых алкилгалогенидов или алкилсульфонатов. Установлено, что фторорганические соединения получают с высоким выходом.
Пример 15
Получение фторорганических соединений 15
Получение [18F]фтордезоксиглюкозы (FDG)
Способ получения [18F]фтордезоксиглюкозы представлен на схеме реакции 4. 10 мкКи [18F]фторида адсорбируют на ионообменной смоле. Адсорбированный [18F]фторид элюируют в реакционный сосуд смешанным раствором карбоната цезия (16 мг в 300 мкл воды) и Kryptofix 222 (22 мг в 300 мкл ацетонитрила) или раствором тетрабутиламмония. [18F]фторид высушивают ацетонитрилом (500 мкл × 3). К раствору добавляют 20 мг трифлата маннозы. И затем к реакционной смеси добавляют смешанный раствор из 300 мкл трет-бутилового спирта или трет-амилового спирта и 300 мкл ацетонитрила. Реакцию проводят при 100°С в течение 15 мин. Растворитель удаляют при 95°С с использованием газообразного азота и затем вносят 500 мкл 2 н. раствора NaOH. Гидролиз проводят в течение 2 мин при комнатной температуре и затем вносят 3 мл воды для разбавления. Реакционную смесь последовательно пропускают через картридж с нейтральным оксидом алюминия, картридж tC18 и картридж IC-H+ с получением чистой [18F]фтордезоксиглюкозы. В опыте, проведенном в указанных выше условиях, с поправкой на ослабление радиохимический выход составляет 95,1±2,7%, и радиохимическая чистота равняется 98,2±1,3%.
Схема реакции 4

Пример 16
Получение фторорганических соединений 16
Автоматизированное получение [18F]фтордезоксиглюкозы (FDG)
Автоматизированное получение [18F]фтордезоксиглюкозы проводят в условиях реакции, описанных в примере 15. Устройство для автоматизированного получения представляет собой GE TracerLab MX, и рабочую программу модифицируют для получения [18F]фтордезоксиглюкозы. Используют одноразовую кассету для получения, и схематичное изображение кассеты показано на фигуре 2.
После вставки одноразового картриджа для GE TracerLab MX в автоматическое оборудование вносят химические реактивы следующим образом: 7 мл ацетонитрила во флакон V1 емкостью 10 мл, 20 мг трифлата маннозы (1,2 мл трет-бутилового спирта или трет-амилового спирта и 0,8 мл ацетонитрила) во флакон V2 емкостью 10 мл, 5 мл этанола во флакон V3 емкостью 10 мл, 5 мл 1 н. раствора HCl и буфер во флакон V4 и 2 мл 2 н раствора NaOH в шприц объемом 2 мл.
1,000 мкКи [18F]фторида получают из меченной кислородом-18 воды в циклотроне и затем [18F]фторид переносят в автоматическое устройство GE TracerLab MX под давлением газообразного гелия. Перенесенный [18F]фторид адсорбируют на картридже с ионообменной смолой и кислород-18 удаляют в резервуар для меченной кислородом-18 воды. Адсорбированный [18F]фторид элюируют в реакционный сосуд смешанным раствором карбоната цезия (16 мг в 300 мкл воды) и Kryptofix 222 (22 мг в 300 мкл ацетонитрила) или раствором тетрабутиламмония. Элюированный [18F]фторид полностью высушивают 1 мл ацетонитрила во флаконе V1. После добавления трифлата маннозы во флаконе V2 в реакционный сосуд, содержащий высушенный [18F]фторид, реакцию проводят при 100°С в течение 15 мин, и затем растворитель полностью удаляют. В реакционный сосуд добавляют 1 мл ацетонитрила во флаконе V1 и затем смесь переносят в шприц 1 на фигуре 2. Промежуточный продукт реакции разбавляют добавлением 25 мл воды и затем адсорбируют на картридже tC18. После добавления 2 н. раствора NaOH в 2 мл шприце к адсорбированному промежуточному продукту для гидролиза чистую [18F]фтордезоксиглюкозу получают после очистки пропусканием через картридж с нейтральным оксидом алюминия и картридж tC18. Когда автоматизированное получение проводят в указанных выше условиях, то с поправкой на ослабление радиохимический выход составляет 75,1±7,4%, и радиохимическая чистота равняется 98,2±1,2%.
Пример 17
Получение фторорганических соединений 17
Получение [18F]фтормизонидазола (FMISO) 1
Способ получения [18F]фтормизонидазола представлен на схеме реакции 5. 10 мкКи [18F]фторида адсорбируют на ионообменной смоле. Адсорбированный [18F]фторид элюируют в реакционный сосуд смешанным раствором карбоната цезия (2 мг в 300 мкл воды) и Kryptofix 222 (22 мг в 300 мкл ацетонитрила) или раствором тетрабутиламмония. [18F]фторид высушивают ацетонитрилом (500 мкл×3). К данному раствору добавляют 10 мг 1-(1,2-эпоксипропил)-2-нитроимидазола. После добавления смешанного раствора, содержащего 500 мкл трет-бутилового спирта или трет-амилового спирта и 100 мкл ацетонитрила, к указанной выше реакционной смеси реакцию проводят при 100°С в течение 15 мин. Растворитель удаляют с использованием газообразного азота при 95°С и затем в реакционный сосуд вносят 200 мкл ацетонитрила и 1000 мкл воды. Чистый [18F]фтормизонидазол получают высокоэффективной жидкостной хроматографией (ВЭЖХ). Условия проведения ВЭЖХ являются следующими: используют колонку Alltech Econosil C18, смесь вода:этанол = 95:5 используют со скоростью потока 5 мл/мин, и прибор имеет УФ-детектор при 254 нм и радиоактивный детектор. В опыте, проведенном в указанных выше условиях, с поправкой на ослабление радиохимический выход составляет 75,4±3,1%, и радиохимическая чистота равняется 98,1±0,7%.
Схема реакции 5

Пример 18
Получение фторорганических соединений 18
Получение [18F]фтормизонидазола (FMISO) 2
Другой способ получения [18F]фтормизонидазола представлен на схеме реакции 6. 10 мкКи [18F]фторида адсорбируют на ионообменной смоле. Адсорбированный [18F]фторид элюируют в реакционный сосуд смешанным раствором карбоната цезия (16 мг в 300 мкл воды) и Kryptofix 222 (22 мг в 300 мкл ацетонитрила) или раствором тетрабутиламмония. [18F]фторид высушивают ацетонитрилом (500 мкл × 3). К данному раствору добавляют 10 мг 1-(2-нитро-1-имидазоил)-2-О-тетрагидропиранил-3-О-толуолсульфонилоксипропандиола. После добавления смешанного раствора, содержащего 500 мкл трет-бутилового спирта или трет-амилового спирта и 100 мкл ацетонитрила, к указанной выше реакционной смеси реакцию проводят при 100°С в течение 10 мин. Растворитель полностью удаляют с использованием газообразного азота при 95°С и затем в реакционный сосуд вносят 200 мкл ацетонитрила и 500 мкл 1 н. раствора HCl. Гидролиз проводят при 100°С в течение 5 мин. Чистый [18F]фтормизонидазол получают ВЭЖХ. Условия проведения ВЭЖХ являются следующими: используют колонку Alltech Econosil C18, смесь вода:этанол = 95:5 используют со скоростью потока 5 мл/мин, и прибор имеет УФ-детектор при 254 нм и радиоактивный детектор. В опыте, проведенном в указанных выше условиях, с поправкой на ослабление радиохимический выход составляет 82,1±1,1%, и радиохимическая чистота равняется 98,1±1,5%.
Схема реакции 6

Пример 19
Получение фторорганических соединений 19
Получение [18F]фторэстрадиола (FES)
Способ получения [18F]фторэстрадиола представлен на схеме реакции 7.
10 мкКи [18F]фторида адсорбируют на ионообменной смоле. Адсорбированный [18F]фторид элюируют в реакционный сосуд смешанным раствором карбоната цезия (16 мг в 300 мкл воды) и Kryptofix 222 (22 мг в 300 мкл ацетонитрила) или раствором тетрабутиламмония. [18F]фторид высушивают ацетонитрилом (500 мкл × 3). К раствору добавляют 3 мг 3-О-метоксиметил-16 ,17 -эпиэстриол-О-циклосульфона. После добавления смешанного раствора, содержащего 400 мкл трет-бутилового спирта или трет-амилового спирта и 100 мкл ацетонитрила, к указанной выше реакционной смеси реакцию проводят при 100°С в течение 15 мин.
Растворитель полностью удаляют с использованием газообразного азота при 95°С и затем в реакционный сосуд вносят 200 мкл ацетонитрила и 50 мкл 1 н. раствора HCl и гидролиз проводят в атмосфере азота при 100°С в течение 5 мин. Указанную выше методику проводят три раза. Чистый [18F]фторэстрадиол получают ВЭЖХ. Условия проведения ВЭЖХ являются следующими: используют колонку Nucleosil C18 120-5А С18, смесь вода:этанол = 40:60 используют со скоростью потока 4 мл/мин, и прибор имеет УФ-детектор при 280 нм и радиоактивный детектор. В опыте, проведенном в указанных выше условиях, с поправкой на ослабление радиохимический выход составляет 72,1±1,1%, и радиохимическая чистота равняется 98,4±1,2%.
Схема реакции 7

Пример 20
Получение фторорганических соединений 20
Автоматизированное получение [18F]фторэстрадиола (FES)
Автоматизированное получение [18F]фторэстрадиола проводят в условиях реакции, описанных в примере 19. Устройство для автоматизированного получения представляет собой GE TracerLab MX, и рабочую программу модифицируют для получения [18F]фторэстрадиола. Используют одноразовую кассету для получения, и схематичное изображение кассеты показано на фигуре 2.
После вставки одноразового картриджа для GE TracerLab MX в автоматическое оборудование вносят химические реактивы следующим образом: 7 мл ацетонитрила во флакон V1 емкостью 10 мл, 3 мг 3-О-метоксиметил-16 ,17 -эпиэстриол-О-циклосульфона (1,5 мл трет-бутилового спирта или трет-амилового спирта и 0,5 мл ацетонитрила) во флакон V2 емкостью 10 мл, 3 мл этанола и смешанный раствор 500 мкл 2 н. раствора NaOH и 1 мл воды во флакон V3 емкостью 10 мл, 0,63 мл 2 н. раствора HCl и 6 мл ацетонитрила во флакон V4 и флаконы помещают в одноразовую кассету.
1,0 Ки [18F]фторида получают из меченной кислородом-18 воды в циклотроне и затем полученный [18F]фторид переносят в автоматическое устройство GE TracerLab MX под давлением газообразного гелия. Перенесенный [18F]фторид адсорбируют на картридже с ионообменной смолой и кислород-18 удаляют в резервуар для меченной кислородом-18 воды. Адсорбированный [18F]фторид элюируют в реакционный сосуд смешанным раствором карбоната цезия (16 мг в 300 мкл воды) и Kryptofix 222 (22 мг в 300 мкл ацетонитрила) или раствором тетрабутиламмония. Элюированный [18F]фторид полностью высушивают 1 мл ацетонитрила во флаконе V1. После добавления 3-О-метоксиметил-16 ,17 -эпиэстриол-О-циклосульфона во флаконе V2 в реакционный сосуд, содержащий высушенный [18F]фторид, реакцию проводят при 95°С в течение 5 мин и затем растворитель удаляют. Гидролиз проводят при 90°С добавлением смешанного раствора 2 мл HCl и ацетонитрила во флаконе V4 в реакционный сосуд. Данную методику повторяют три раза. Растворители удаляют после гидролиза. Смешанный раствор во флаконе V3 добавляют в реакционный сосуд для растворения реакционной смеси. Чистый [18F]фторэстрадиол получают ВЭЖХ. Условия проведения ВЭЖХ являются следующими: используют колонку Nucleosil C18 120-5А С18, смесь вода:этанол = 40:60 используют со скоростью потока 4 мл/мин, и прибор имеет УФ-детектор при 280 нм и радиоактивный детектор. В опыте, проведенном в указанных выше условиях, с поправкой на ослабление радиохимический выход составляет 42,1±5,1%, и радиохимическая чистота равняется 98,0±1,1%.
Пример 21
Получение фторорганических соединений 21
Получение [18F]фторпропилкарбометокситропана (FP-CIT)1
Способ получения [18F]фторпропилкарбометокситропана представлен на схеме реакции 8. 10 мкКи [18F]фторида адсорбируют на ионообменной смоле. Адсорбированный [18F]фторид элюируют в реакционный сосуд смешанным раствором карбоната цезия (16 мг в 300 мкл воды) и Kryptofix 222 (22 мг в 300 мкл ацетонитрила) или раствором тетрабутиламмония. [18F]фторид высушивают ацетонитрилом (500 мкл × 3). К данному раствору добавляют 10 мг 1,3-дитозилпропана. После добавления смешанного раствора, содержащего 500 мкл трет-бутилового спирта или трет-амилового спирта и 100 мкл ацетонитрила, к указанной выше реакционной смеси реакцию проводят при 95°С в течение 15 мин. Растворитель удаляют с использованием газообразного азота при 95°С и затем вносят 5 мг нор- -CIT в смеси 300 мкл ацетонитрила и 500 мкл трет-бутилового спирта. Реакцию проводят при 135°С в течение 40 мин. Чистый [18F]фторпропилкарбометокситропан получают ВЭЖХ. Условия проведения ВЭЖХ являются следующими: используют колонку µ-Bondapack C18, смесь фосфорная кислота:ацетонитрил = 40:60 используют со скоростью потока 5 мл/мин, и прибор имеет УФ-детектор при 220 нм и радиоактивный детектор. В опыте, проведенном в указанных выше условиях, с поправкой на ослабление радиохимический выход составляет 25,3±2,1%, и радиохимическая чистота равняется 97,2±1,3%.
Схема реакции 8

Пример 22
Получение фторорганических соединений 22
Получение [18F]фторпропилкарбометокситропана (FP-CIT)2
Способ получения [18F]фторпропилкарбометокситропана представлен на схеме реакции 9. 10 мкКи [18F]фторида адсорбируют на ионообменной смоле. Адсорбированный [18F]фторид элюируют в реакционный сосуд смешанным раствором карбоната цезия (16 мг в 300 мкл воды) и Kryptofix 222 (22 мг в 300 мкл ацетонитрила).
[18F]фторид высушивают ацетонитрилом (500 мкл × 3). К реакционному раствору добавляют 5 мг (3-метансульфонилоксипропил)-2 -карбометокси-3 -(4-йодфенил)тропана или (3-толуолсульфонилоксипропил)-2 -карбометокси-3 -(4-йодфенил)тропана и смешанный раствор, содержащий 100 мкл ацетонитрила и 500 мкл трет-бутилового спирта или трет-амилового спирта. Реакцию проводят при 95°С в течение 10 мин. Растворитель полностью удаляют с использованием газообразного азота при 95°С и затем в реакционный сосуд вносят 300 мкл ацетонитрила и 500 мкл воды. Чистый [18F]фторпропилкарбометокситропан получают ВЭЖХ. Условия проведения ВЭЖХ являются следующими: используют колонку µ-Bondapack C18, смесь фосфорная кислота:ацетонитрил = 40:60 используют со скоростью потока 5 мл/мин, и прибор имеет УФ-детектор при 220 нм и радиоактивный детектор. В опыте, проведенном в указанных выше условиях, с поправкой на ослабление радиохимический выход составляет 25,3±2,1%, и радиохимическая чистота равняется 97,2±1,3%.
Схема реакции 9

Пример 23
Получение фторорганических соединений 23
Получение [18F]фторDDNP (FDDNP)
Способ получения [18F]фторDDNP представлен на схеме реакции 10. 10 мкКи [18F]фторида адсорбируют на ионообменной смоле. Адсорбированный [18F]фторид элюируют в реакционный сосуд смешанным раствором карбоната цезия (16 мг в 300 мкл воды) и Kryptofix 222 (22 мг в 300 мкл ацетонитрила) или раствором тетрабутиламмония. [18F]фторид высушивают ацетонитрилом (500 мкл × 3). К раствору добавляют 4 мг тозил-предшественника, представленного на схеме реакции 9. После добавления смешанного раствора, содержащего 500 мкл трет-бутилового спирта или трет-амилового спирта и 100 мкл ацетонитрила, к указанной выше реакционной смеси реакцию проводят при 95°С в течение 10 мин. Растворитель удаляют с использованием газообразного азота при 95°С. Реакционную смесь растворяют в ацетонитриле и радиохимический выход продукта определяют с использованием радиоизотопной ТСХ. В опыте, проведенном в указанных выше условиях, с поправкой на ослабление радиохимический выход составляет 42,3±4,1%, и радиохимическая чистота равняется 97,2±1,3%.
Схема реакции 10

Пример 24
Получение фторорганических соединений 24
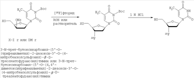
Получение [18F]фтортимидина (FLT)
Другой способ получения [18F]фтортимидина представлен на схеме реакции 11. 10 мкКи [18F]фторида адсорбируют на ионообменной смоле. Адсорбированный [18F]фторид элюируют в реакционный сосуд смешанным раствором карбоната цезия (16 мг в 300 мкл воды) и Kryptofix 222 (22 мг в 300 мкл ацетонитрила) или раствором тетрабутиламмония. [18F]фторид высушивают ацетонитрилом (500 мкл × 3). К раствору добавляют 10-40 мг 3-N-трет-бутоксикарбонил-(5′-О-(4,4′-диметокситрифенилметил)-2-дезокси-3′-О-(4-нитробензолсульфонил)- -D-треопентофуранозил)тимина или 3-N-трет-бутоксикарбонил-(5′-О-(трифенилметил)-2-дезокси-3′-О-(4-нитробензолсульфонил)- -D-треопентофуранозил)тимина и затем добавляют смесь 100 мкл ацетонитрила и 500 мкл трет-бутилового спирта или трет-амилового спирта. Реакцию проводят при 100-150°С в течение 10 мин. Растворитель удаляют с использованием газообразного азота при 95°С и затем добавляют 200 мкл ацетонитрила и 500 мкл 1 н. раствора HCl. Гидролиз проводят при 100°С в течение 5 мин. Чистый [18F]фтортимидин получают ВЭЖХ. Условия проведения ВЭЖХ являются следующими: используют колонку Alltech Econosil C18, смесь вода:этанол = 90:10 используют со скоростью потока 5 мл/мин, и прибор имеет УФ-детектор при 267 нм и радиоактивный детектор. В опыте, проведенном в указанных выше условиях, с поправкой на ослабление радиохимический выход составляет 85,6±3,1%, и радиохимическая чистота равняется 98,5±1,2%.
Схема реакции 11

Пример 25
Получение фторорганических соединений 25
Получение [18F]фторхолина (Fхолина)
Другой способ получения [18F]фторхолина представлен на схеме реакции 12. 10 мкКи [18F]фторида адсорбируют на ионообменной смоле. Адсорбированный [18F]фторид элюируют в реакционный сосуд смешанным раствором карбоната цезия (16 мг в 300 мкл воды) и Kryptofix 222 (22 мг в 300 мкл ацетонитрила) или раствором тетрабутиламмония. [18F]фторид высушивают ацетонитрилом (500 мкл × 3). К раствору добавляют 10 мг 1,1-ди-п-толуолсульфонилоксиметана и затем добавляют смешанный раствор, содержащий 500 мкл трет-бутилового спирта или трет-амилового спирта и 100 мкл ацетонитрила. Реакцию проводят при 100-150°С в течение 10 мин. После окончания реакции добавляют N,N-диметиламиноэтанол для алкилирования. Чистый [18F]фторхолин получают ВЭЖХ. В опыте, проведенном в указанных выше условиях, с поправкой на ослабление радиохимический выход составляет 75,7±3,1%, и радиохимическая чистота равняется 97,5±1,2%.
Схема реакции 12

Пример 26
Получение фторорганических соединений 26
Получение [18F]фторэтилхолина (FEхолина)
Другой способ получения [18F]фторэтилхолина представлен на схеме реакции 13. 10 мкКи [18F]фторида адсорбируют на ионообменной смоле. Адсорбированный [18F]фторид элюируют в реакционный сосуд смешанным раствором карбоната цезия (16 мг в 300 мкл воды) и Kryptofix 222 (22 мг в 300 мкл ацетонитрила) или раствором тетрабутиламмония. [18F]фторид высушивают ацетонитрилом (500 мкл × 3). К раствору добавляют 10 мг 1,2-ди-п-толуолсульфонилоксиметана и затем добавляют смешанный раствор, содержащий 500 мкл трет-бутилового спирта или трет-амилового спирта и 100 мкл ацетонитрила. Реакцию проводят при 100-150°С в течение 10 мин. После окончания реакции добавляют N,N-диметиламиноэтан для алкилирования. Чистый [18F]фторэтилхолин получают ВЭЖХ. В опыте, проведенном в указанных выше условиях, с поправкой на ослабление радиохимический выход составляет 67,7±8,1%, и радиохимическая чистота равняется 98,2±2,3%.
Схема реакции 13

Пример 27
Получение фторорганических соединений 27
Получение [18F]фторпропилхолина (FPхолина)
Способ получения [18F]фторпропилхолина представлен на схеме реакции 14. 10 мкКи [18F]фторида адсорбируют на ионообменной смоле. Адсорбированный [18F]фторид элюируют в реакционный сосуд смешанным раствором карбоната цезия (16 мг в 300 мкл воды) и Kryptofix 222 (22 мг в 300 мкл ацетонитрила) или раствором тетрабутиламмония. [18F]фторид высушивают ацетонитрилом (500 мкл × 3). К раствору добавляют 10 мг 1,3-ди-п-толуолсульфонилоксипропана и затем добавляют смешанный раствор, содержащий 500 мкл трет-бутилового спирта или трет-амилового спирта и 100 мкл ацетонитрила. Реакцию проводят при 100-150°С в течение 10 мин. После окончания реакции добавляют N,N-диметиламиноэтанол для алкилирования. Чистый [18F]фторпропилхолин получают ВЭЖХ. В опыте, проведенном в указанных выше условиях, с поправкой на ослабление радиохимический выход составляет 72,4±6,1%, и радиохимическая чистота равняется 98,1±1,3%.
Схема реакции 14

Формула изобретения
1. Способ получения [18F]фторорганических соединений взаимодействием [18F]фторида с соответствующим галогенидом или сульфонатом в присутствии спирта формулы 1 в качестве растворителя Формула 1
 (в которой R1, R2 и R3 представляют атом водорода или C1-C18 алкил).
2. Способ по п.1, в котором R1 представляет атом водорода или C1-C18 алкил; R2 является атомом водорода или C1-C18 алкилом; и R3 представляет атом водорода или C1-C18 алкил.
3. Способ по п.1, в котором R1 представляет метил или этил; R2 представляет метил или этил; и R3 является метилом или этилом.
4. Способ по п.1, в котором спирт формулы 1 выбран из группы, состоящей из первичных спиртов, таких как метанол, этанол, н-пропанол, н-бутанол, амиловый спирт, н-гексиловый спирт, н-гептанол или н-октанол; вторичных спиртов, таких как изопропанол, изобутанол, изоамиловый спирт и 3-пентанол; и третичных спиртов, таких как трет-бутанол, трет-амиловый спирт, 2,3-диметил-2-бутанол, 2-(трифторметил)-2-пропанол, 3-метил-3-пентанол, 3-этил-3-пентанол, 2-метил-2-пентанол, 2,3-диметил-3-пентанол, 2,4-диметил-2-пентанол, 2-метил-2-гексанол, 2-циклопропил-2-пропанол, 2-циклопропил-2-бутанол, 2-циклопропил-3-метил-2-бутанол, 1-метилциклопентанол, 1-этилциклопентанол, 1-пропилциклопентанол, 1-метилциклогексанол, 1-этилциклогексанол и 1-метилциклогептанол.
5. Способ по п.1, в котором спирт формулы 1 выбран из группы, состоящей из трет-бутанола, трет-амилового спирта, 2,3-диметил-2-бутанола и 2-(трифторметил)-2-пропанола.
6. Способ по п.1, в котором [18F]фторид представляет [18F]фторид цезия или [18F]фторид тетраалкиламмония, и спирт выбран из группы, состоящей из трет-бутанола, трет-амилового спирта, 2,3-диметил-2-бутанола и 2-(трифторметил)-2-пропанола.
7. Способ по п.1, в котором [18F]фторид предпочтительно выбран из группы, состоящей из [18F]фторидов щелочных металлов, включающих щелочные металлы, выбранные из группы, состоящей из лития, натрия, калия, рубидия и цезия; [18F]фторидов щелочно-земельных металлов, включающих щелочно-земельные металлы, выбранные из группы, состоящей из магния, кальция, стронция и бария; и [18F]фторида аммония.
8. Способ по п.7, в котором [18F]фторид аммония предпочтительно выбран из группы, состоящей из [18F]фторидов четвертичного аммония, включая [18F]фторид тетрабутиламмония и [18F]фторид бензилтриметиламмония; [18F]фторидов третичного аммония, включая [18F]фторид триэтиламмония и [18F]фторид трибутиламмония; [18F]фторидов вторичного аммония, включая [18F]фторид дибутиламмония и [18F]фторид дигексиламмония; и [18F]фторидов первичного аммония, включая [18F]фторид бутиламмония и [18F]фторид гексиламмония.
9. Способ по п.1, в котором [18F]фторид представляет [18F]фторид цезия или [18F]фторид тетраалкиламмония.
10. Способ по п.9, в котором [18F]фторид цезия или [18F]фторид тетраалкиламмония адсорбирован на подложках, выбранных из группы, состоящей из целита, молекулярного сита, оксида алюминия и силикагеля.
11. Способ по п.1, в котором количество [18F]фторида является следовым количеством [18F]фторида к соответствующему галогениду или сульфонату.
12. Способ по п.11, в котором используют 1 пкг – 100 нг [18F]фторида на 1 мг соответствующего галогенида или сульфоната.
13. Способ по п.1, в котором [18F]фторорганическое соединение представляет [18F]фтордезоксиглюкозу формулы 2. Формула 2

14. Способ по п.1, в котором [18F]фторорганическое соединение представляет [18F]фтормизонидазол формулы 3. Формула 3

15. Способ по п.1, в котором [18F]фторорганическое соединение представляет [18F]фторэстрадиол формулы 4. Формула 4

16. Способ по п.1, в котором [18F]фторорганическое соединение представляет [18F]фторпропилкарбометокситропан формулы 5. Формула 5

17. Способ по п.1, в котором [18F]фторорганическое соединение представляет [18F]фторDDNP формулы 6. Формула 6

18. Способ по п.1, в котором [18F]фторорганическое соединение представляет [18F]фтортимидин формулы 7. Формула 7

19. Способ по п.1, в котором [18F]фторорганическое соединение представляет [18F]фторхолин формулы 8. Формула 8

20. Способ по п.1, в котором [18F]фторорганическое соединение представляет [18F]фторэтилхолин формулы 9. Формула 9

21. Способ по п.1, в котором [18F]фторорганическое соединение представляет [18F]фторпропилхолин формулы 10. Формула 10

РИСУНКИ
|
|