|
|
(21), (22) Заявка: 2005139124/12, 04.05.2004
(24) Дата начала отсчета срока действия патента:
04.05.2004
(30) Конвенционный приоритет:
16.05.2003 DE 10322003.8
(43) Дата публикации заявки: 10.05.2006
(46) Опубликовано: 10.06.2009
(56) Список документов, цитированных в отчете о поиске:
US 3764245 A, 09.10.1973. ЕР 0774551 A1, 21.05.1997. RU 2114958 C1, 10.07.1998. EP 1228977 A1, 07.08.2002. SU 996668 A, 15.02.1983.
(85) Дата перевода заявки PCT на национальную фазу:
16.12.2005
(86) Заявка PCT:
EP 2004/004704 20040504
(87) Публикация PCT:
WO 2004/101257 20041125
Адрес для переписки:
103064, Москва, а/я 88
|
(72) Автор(ы):
РЮБЕК Якоб (DE)
(73) Патентообладатель(и):
Байер Шит Юроп ГмбХ (DE)
|
(54) ПОКРЫТАЯ ПУТЕМ СОЭКСТРУЗИИ ПЛИТА С ПЕРЕГОРОДКАМИ БЕЗ ЭФФЕКТА ТРЕУГОЛЬНИКА
(57) Реферат:
Изобретение относится к способу изготовления бесклиновых, покрытых путем соэкструзии плит с перегородками и к изделиям, содержащим многослойную плиту с перегородками. Способ изготовления многослойной плиты с перегородками включает основной слой и, по меньшей мере, один соэкструдированный слой путем соэкструзии, при этом от потока материала, образующего основной слой, ответвляют отдельный поток, который направляется прямо в форму для перегородки и образует перегородки. Ответвление отдельного потока осуществляют через экструзионную головку для изготовления плиты с перегородками, имеющую одно отверстие. Отверстие предназначено для прямой подачи части материала, образующего основной слой, в форму для перегородки. Покрытая путем соэкструзии многослойная плита с перегородками обладает однородным соэкструдированным покрытием. Изобретение позволяет избежать клинообразования, т.е. эффекта треугольника. Таким образом, способ пригоден для изготовления плит с перегородками, снабженных как односторонним, так и двухсторонним покрытием. 3 н. и 5 з.п. ф-лы, 5 ил.
Настоящее изобретение относится к способу изготовления бесклиновых, покрытых путем соэкструзии плит с перегородками, специальным экструзионным головкам для изготовления таких плит и их применению для изготовления таких плит, а также к многослойным соэкструдированным плитам с перегородками без эффекта треугольника, включающим, по меньшей мере, один слой, содержащий термопласт, и, по меньшей мере, одно покрытие, и к другим изделиям, которые содержат такую плиту с перегородками.
Нередко одну или обе наружные стороны плит с перегородками соответственно снабжают соэкструдированным покрытием, которое может выполнять различные функции: например, речь может идти об УФ-защитном слое, предохраняющем плиту от воздействия ультрафиолетового излучения (в частности, от пожелтения), а также о слоях, выполняющих другие функции, например отражение инфракрасного излучения.
Ниже обобщается уровень техники в области подобных плит с перегородками.
Из европейской заявки на патент ЕР-А 0110221 известны плиты, состоящие из двух слоев поликарбоната, причем один слой содержит, по меньшей мере, 3 мас.% УФ-абсорбера. Согласно данной заявке такие плиты могут быть изготовлены путем соэкструзии.
Из европейской заявки на патент ЕР-А 0320632 известны формованные изделия, состоящие из двух слоев термопластичного полимера, предпочтительно поликарбоната, причем один слой содержит в качестве УФ-абсорберов особые замещенные бензотриазолы. В заявке сообщается также об изготовлении указанных формованных изделий путем соэкструзии.
Из европейской заявки на патент ЕР-А 0247480 известны многослойные плиты, которые, кроме слоя из термопластичного полимера, имеют слой из разветвленного поликарбоната, причем слой из поликарбоната содержит в качестве УФ-абсорберов особые замещенные бензотриазолы. Кроме того, из этой заявки известно об изготовлении указанных плит путем соэкструзии.
Из европейской заявки на патент ЕР-А 0500496 известны полимерные композиции, стабилизированные относительно воздействия УФ-излучения особыми триазинами, а также применение таких композиций в качестве наружного слоя многослойных систем. В качестве полимеров упоминаются поликарбонат, сложные полиэфиры, полиамиды, полиацетали, полифениленоксид и полифениленсульфид.
Однако любым, известным из уровня техники, снабженным покрытием плитам с перегородками присуща проблема, обусловленная так называемым эффектом треугольника, которая состоит в том, что при соэкструзии возникают клинья, состоящие из материала соэкструдируемого слоя, которые обусловливают определенную неровность поверхности плит.
Подобное клинообразование схематически показано на разрезе плиты с перегородками (фиг.1). Стрелками обозначено направление течения полимерного расплава в форме (1), предназначенной для формирования перегородки плиты, приводящее к возникновению клина (2) соэкструдируемого слоя.
Исходя из уровня техники, в основу настоящего изобретения была положена задача предложить плиту с перегородками, при необходимости снабженную несколькими наносимыми путем соэкструзии покрытиями, которая не обладает присущим уровню техники эффектом треугольника.
В случае плит с односторонним покрытием указанную задачу можно было бы решить путем изменения подачи соэкструдируемого материала, а именно путем более интенсивной подачи материала с непокрываемой стороны плиты, благодаря чему можно было бы избежать образования клина с покрываемой стороны плиты.
На разрезе плиты с перегородками схематически показано (фиг.2), каким образом можно было бы реализовать подобный способ.
Вследствие усиления потока полимерного расплава в направлении от нижней непокрываемой стороны (3) плиты с перегородками происходит перераспределение потока в направлении покрываемой стороны, благодаря чему образуется соответствующий соэкструдированный слой (4) без клина.
Однако указанный способ не пригоден для изготовления плит с двухсторонним покрытием. В этом случае более интенсивная подача расплава в направлении от нижней стороны плиты сопровождалась бы усилением клинообразования с этой стороны плиты, то есть выигрыш, полученный на одной стороне плиты, обернулся бы ущербом для другой ее стороны.
На представленном на фиг.3 разрезе плиты с перегородками схематически показан результат, который был бы получен при обозначенной позицией (5) подаче полимерного расплава: на верхнем соэкструдированном покрытии (6) клин отсутствует, в то время как на нижнем соэкструдированном покрытии (7) образуется большой клин.
Неожиданно было обнаружено, что можно практически полностью избежать клинообразования, соответственно эффекта треугольника с любой из сторон плиты, если модифицировать потоки экструдируемого материала таким образом, чтобы от потока, обычно огибающего гребень экструзионной головки, ответвлялся отдельный поток, направляемый прямо в среднюю часть формы, предназначенной для формирования перегородки плиты. Гребень экструзионной головки обычно делит материальный поток на верхний и нижний ручьи, которые сливаются в формах для перегородки, образуя соответствующую перегородку. Однако такое слияние верхнего и нижнего ручьев приводит к возникновению характерной «воронки слива», которая заполняется стекающим с соэкструдируемой стороны материалом, используемым в качестве соэкструдата. Вследствие этого образуется показанный на фиг.1 клин. Благодаря тому что согласно изобретению часть материала поступает непосредственно в формы для перегородки (8), материальный поток, соответствующий верхнему и нижнему ручьям, уменьшается или даже вовсе прекращается (смотри фиг.4), и вероятность образования «воронки слива», а следовательно, клина (эффекта треугольника) сводится к минимуму, предпочтительно даже полностью устраняется. Таким образом, предлагаемый в изобретении способ пригоден для изготовления плит с перегородками, снабженных как односторонним, так и двухсторонним покрытием.
На разрезе плиты с перегородками (фиг.4) схематически показано осуществление предлагаемого в изобретении способа.
Благодаря дополнительной подаче полимерного расплава (8), например, через отверстие в форме для перегородки оба соэкструдированных покрытия (9) и (10) не имеют клиньев.
Полной неожиданностью явилось то обстоятельство, что существовавшую столь долгое время проблему удалось решить благодаря реализации столь простого мероприятия.
Таким образом, предметом настоящего изобретения является специальный способ изготовления покрытий плит с перегородками путем соэкструзии, а также получаемые этим способом плиты, характеризующиеся отсутствием клиньев, соответственно эффекта треугольника. Подобные плиты обладают особенно ровной поверхностью и однородными, то есть не имеющими клиньев соэкструдированными покрытиями. В предпочтительном варианте осуществления изобретения плита с перегородками обладает двухсторонним покрытием.
Таким образом, другим предметом настоящего изобретения является специальная экструзионная головка, с помощью которой осуществляют предлагаемый в изобретении способ.
Кроме обычных отверстий, прорезей и форм, необходимых для достижения тех или иных целей, гребень экструзионной головки дополнительно имеет отверстия, через которые часть направляемого в экструзионную головку материала поступает прямо в форму для перегородки. При этом в одном из предпочтительных вариантов осуществления изобретения материал направляется прямо в форму для перегородки из задней части экструзионной головки.
Один из возможных вариантов конструктивного исполнения предлагаемой в изобретении экструзионной головки (формы для перегородки плиты) схематически показан на фиг.5 в виде соответствующего поперечного сечения.
Позицией (12) обозначена подача полимерного расплава. Расплав поступает в форму для перегородки (14) через отверстия (13). Позицией (15) обозначена форма, предназначенная для формирования покрытия верхней, соответственно нижней, стороны плиты, а позицией (16) – выходное отверстие плиты.
Кроме того, предметом настоящего изобретения является изделие, содержащее указанные плиты с перегородками. При этом предлагаемое в изобретении изделие, содержащее, например, указанную выше многослойную плиту, предпочтительно выбрано из группы, включающей остекления окон, теплицы, зимние сады, веранды, навесы для автомобилей, автобусные остановки, перекрытия, перегородки, кассовые кабинки и солнечные коллекторы.
Важное преимущество предлагаемого в изобретении способа состоит в отсутствии эффекта треугольника, обычно приводящего к таким негативным последствиям, как клинообразование и обусловленный клинообразованием бессмысленный расход материалов, а также неровная поверхность формуемых плит. Бесполезно расходуемый вследствие клинообразования материал, как правило, содержит ценные термопласты с дорогостоящими добавками. Благодаря экономии этих материалов можно обеспечить существенное снижение издержек производства.
Предлагаемый в изобретении способ пригоден для изготовления самых разных соэкструдируемых покрытий и в принципе любых мыслимых функциональных слоев, в том числе в виде соответствующих комбинаций (сверху УФ-защитное покрытие и функциональный слой, например, для отражения инфракрасного излучения, снизу УФ-защитное покрытие), причем способ особенно пригоден для изготовления плит с перегородками, снабженных двухсторонним УФ-защитным покрытием.
Предлагаемые в изобретении многослойные изделия, такие как плиты с перегородками, обладают и другими преимуществами по сравнению с уровнем техники. Предлагаемые в изобретении многослойные изделия, такие как плиты с перегородками, могут быть изготовлены путем соэкструзии. Отсюда вытекают преимущества этих изделий по сравнению с аналогичными изделиями с лаковым покрытием. Так, например, для осуществления соэкструзии не нужны растворители, обычно используемые при нанесении лаковых покрытий.
Кроме того, лаки не подлежат длительному хранению. При использовании соэкструзии этот недостаток отсутствует.
Недостатком лаковых покрытий является также необходимость использования для их нанесения дорогостоящих технических средств. Так, например, для нанесения лаков необходимы соответствующие взрывозащищенные устройства и должен быть обеспечен рецикл растворителей, а это требует крупных капиталовложений в технологическое оборудование. Использование соэкструзии позволяет исключить этот недостаток.
В одном из предпочтительных вариантов осуществления настоящего изобретения изготавливают многослойную плиту с перегородками, основной и соэкструдируемый слои которой могут быть выполнены из разных или одинаковых материалов, причем основным компонентом обоих слоев предпочтительно является одинаковый материал.
В качестве пригодных термопластичных формовочных масс можно использовать любые формовочные массы, содержащие, например, поликарбонат, сложный полиэфир, полиэфиркарбонаты, сложные полиэфиры, полиметилметакрилаты, полистиролы, и/или сополимеры стирола с акрилонитрилом, и/или смеси, состоящие из поликарбоната и сложных полиэфиров с полиметилметакрилатами, полистиролами и/или сополимерами стирола с акрилонитрилом.
Предпочтительными являются формовочные массы, содержащие прозрачные термопласты, такие как поликарбонат и/или сложный полиэфир, а также смеси, в состав которых входит, по меньшей мере, один из указанных термопластов. Особенно предпочтительно используют поликарбонат и сложный полиэфир, еще более предпочтительно поликарбонат.
Синтез указанных термопластов хорошо известен специалистам, и его осуществляют известными методами.
Согласно изобретению предпочтительными являются многослойные изделия, соэкструдированный слой которых дополнительно содержит от 1 до 20 мас.% УФ-абсорберов и обладает толщиной от 5 до 200 мкм, предпочтительно от 30 до 100 мкм.
Плиты с перегородками могут быть двойными, тройными, четверными и более. Плиты с перегородками могут обладать также различными профилями, например Х-образным, соответственно ХХ-образным профилем. Кроме того, плиты с перегородками могут быть волнистыми.
Одним из предпочтительных вариантов осуществления настоящего изобретения является плита с перегородками, снабженная двухсторонним соэкструдированным покрытием, причем основной слой плиты и оба соэкструдированных слоя состоят из поликарбоната.
Предлагаемые в изобретении многослойные изделия в зависимости от типа используемых для их изготовления термопластов и добавок могут быть полупрозрачными, матовыми или прозрачными.
В особенно предпочтительном варианте многослойные изделия являются прозрачными.
Как в основном слое, так и в соэкструдированном покрытии (соэкструдированных покрытиях) предлагаемых в изобретении плит с перегородками могут содержаться добавки.
Соэкструдированное покрытие прежде всего может содержать УФ-абсорбер и смазку для извлечения готового изделия.
При этом концентрация УФ-абсорбера или смесей УФ-абсорберов составляет от 0 до 20 мас.%. Их предпочтительная концентрация составляет от 0,1 до 20 мас.%, особенно предпочтительная от 2 до 10 мас.%, еще более предпочтительная от 3 до 8 мас.%. Если имеются два или более соэкструдированных покрытия, они могут содержать разные количества УФ-абсорбера.
Ниже приведены примеры УФ-абсорберов, которые могут быть использованы согласно изобретению.
а) Производные бензотриазола формулы (I)

в которой
R и Х одинаковые или разные и означают водород, алкил или алкиларил.
Предпочтительными соединениями формулы (I) являются:
Tinuvin 329 с X = 1,1,3,3-тетраметилбутил, и R = водород,
Tinuvin 350 с Х = трет-бутил и R = 2-бутил,
Tinuvin 234 с Х = R=1,1-диметил-1-фенил.
b) Димерные производные бензотриазола формулы (II)

в которой
R1 и R2 одинаковые или разные и означают водород, галоген, алкил с 1-10 атомами углерода, циклоалкил с 5-10 атомами углерода, аралкил с 7-13 атомами углерода, арил с 6-14 атомами углерода, -OR5 или -(CO)-O-R5 с R5, означающим водород или алкил с 1-4 атомами углерода,
R3 и R4 также одинаковые или разные и означают водород, алкил с 1-4 атомами углерода, циклоалкил с 5-6 атомами углерода, бензил или арил с 6-14 атомами углерода,
m означает 1, 2 или 3 и
n означает 1, 2, 3 или 4.
Предпочтительным соединением формулы (II) является Tinuvin 360 с R1=R3=R4=водород, n=4, R2=1,1,3,3-тетраметилбутил и m=1.
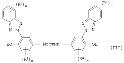
b1) Димерные производные бензотриазола формулы (III)

в которой
«мостик» означает

R1, R2, m и n такие, как указано в формуле (II),
p означает целое число от 0 до 3,
q означает целое число от 1 до 10,
Y означает -CH2-CH2-, -(CH2)3-, -(CH2)4-, -(CH2)5-, -(CH2)6– или СН(СН3)-СН2– и
R3 и R4 такие, как указано в формуле (II).
Предпочтительным соединением формулы (III) является Tinuvin 840 с R1=водород, n=4, R2=трет-бутил, m=1, гидроксильной группой, находящейся в ортоположении к R2, R3=R4=водород, p=2, Y=-(СН2)5– и q=1.
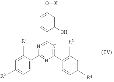
с) Производные триазина формулы (IV)

в которой
R1, R2, R3, R4 одинаковые или разные и означают водород, алкил, CN или галоген и
Х означает алкил.
Предпочтительными соединениями формулы (IV) являются
Tinuvin 1577 с R1=R2=R3=R4=водород, Х = гексил и
Cyasorb UV-1164 с R1=R2=R3=R4=метил, X = октил.
d) Производные триазина формулы (IVa)

в которой
R1 означает алкил с 1-17 атомами углерода,
R2 означает водород или алкил с 1-4 атомами углерода и
n означает 0-20.
е) Димерные производные триазина формулы (V)

в которой
R1, R2, R3, R4, R5, R6, R7, R8 могут быть одинаковыми или разными и означают водород, алкил, CN или галоген и
Х означает алкил или -(СН2СН2-O-)n-С(=O).
f) Диарилцианоакрилаты формулы (VI)

в которой
R1-R40 могут быть одинаковыми или разными и означают водород, алкил, CN или галоген.
При этом предпочтительным является Uvinul 3030 с остатками R1-R40, означающими водород.
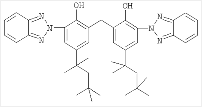
Особенно предпочтительными являются УФ-абсорберы, выбранные из группы, включающей Tinuvin 360, Tinuvin 1577 и Uvinul 3030.
Tinuvin 360

Tinuvin 1577

Uvinul 3030

Указанные УФ-абсорберы являются коммерчески доступными продуктами.
Дополнительно, а также вместо УФ-абсорберов, образующие плиту с перегородками слои могут содержать также другие обычные технологические добавки, прежде всего смазки для извлечения готовых изделий и средства для улучшения текучести, а также обычные, используемые в составе поликарбонатов добавки, например стабилизаторы, прежде всего термостабилизаторы, красители, оптические осветлители и неорганические пигменты.
Предпочтительными термопластами, пригодными для предлагаемых в изобретении изделий, являются любые известные поликарбонаты.
Такие поликарбонаты могут быть гомополикарбонатами, сополикарбонатами и термопластичными полиэфиркарбонатами.
Предпочтительная среднемассовая молекулярная масса (Mw) используемых поликарбонатов, определенная методом гельпроникающей хроматографии с калибровкой по поликарбонату, составляет от 18000 до 40000, предпочтительно от 26000 до 36000 и прежде всего от 28000 до 35000.
Синтез поликарбонатов описан, например, в Schnell, Chemistry and Physics of Polycarbonats, Polymer Reviews, Vol.9, Interscience Publishers, New York, London, Sydney 1964; D.C.Prevorsek, B.T.Debona and Y.Kesten, Corporate Research Center, Allied Chemical Corporation, Morristown, New Jersey 07960, “Synthesis of Poly(ester)carbonate Copolymers” in Journal of Polymer Science, Polymer Chemistry Edition, Vol.19, 75-90 (1980); D.Freitag, U.Grigo, P.R.Müller, N.Nouvertne, Bayer AG, “Polycarbonates” in Encyclopedia of Polymer Science and Engineering, Vol.11, Second Edition, 1988, Seiten 648-718; Dres.U.Grigo, K.Kircher, P.R.Müller, “Polycarbonate” in Becker/Braun, Kunststoff-Handbuch, Band 3/1, Polycarbonate, Polyacetale. Polyester, Celluloseester, Carl Hanser Verlag München, Wien 1992, 117-299.
Синтез поликарбонатов предпочтительно осуществляют на границе раздела фаз или переэтерификацией в расплаве, и ниже он рассмотрен на примере первого из указанных методов.
Предпочтительно используемыми исходными соединениями являются бисфенолы общей формулы
HO-Z-OH,
в которой Z означает двухвалентный органический остаток с 6-30 атомами углерода, содержащий одну или несколько ароматических групп.
Примерами таких соединений являются бисфенолы из группы дигидроксидифенилов, бис(гидроксифенил)алканов, инданбисфенолов, простых бисгидроксифениловых эфиров, бис(гидроксифенил)сульфонов, бис-(гидроксифенил)кетонов, 1,3-бис(гидроксифенилпропил)бензолов или 1,4-бис(гидроксифенилпропил)бензолов.
Особенно предпочтительньми бисфенолами из указанной группы соединений являются бисфенол-А, тетраалкилбисфенол-А, 1,3-бис[2-(4-гидроксифенил)-2-пропил]бензол (бисфенол М), 1,4-бис[2-(4-гидроксифенил)-2-пропил]бензол, 1,1-бис(4-гидроксифенил)-3,3,5-триметилциклогексан (бисфенол-ТМС), а также при необходимости их смеси.
Используемые согласно изобретению бисфенольные соединения предпочтительно подвергают взаимодействию с производными угольной кислоты, прежде всего фосгеном, или, в случае переэтерификации в расплаве, с дифенилкарбонатом, соответственно диметилкарбонатом.
Полиэфиркарбонаты предпочтительно получают путем взаимодействия указанных выше бисфенолов, по меньшей мере, с одной ароматической дикарбоновой кислотой и при необходимости эквивалентами угольной кислоты. Пригодными ароматическими дикарбоновыми кислотами являются, например, фталевая, терефталевая, изофталевая, 3,3′-дифенилдикарбоновая или 4,4′-дифенилдикарбоновая кислота и бензофенондикарбоновые кислоты. Определенная часть содержащихся в поликарбонатах карбонатных групп, которая не превышает 80 мас.%, предпочтительно составляя от 20 до 50 мас.%, может быть заменена группами сложных эфиров ароматических дикарбоновых кислот.
Инертными органическими растворителями, используемыми в соответствии с методом синтеза поликарбонатов на границе раздела фаз, являются, например, дихлорметан, различные производные дихлорэтана и хлорпропана, тетрахлорметан, трихлорметан, хлорбензол и хлортолуол, предпочтительно хлорбензол или дихлорметан, соответственно смеси дихлорметана с хлорбензолом.
Взаимодействие на границе раздела фаз может быть ускорено благодаря использованию таких катализаторов, как третичные амины, прежде всего N-алкилпиперидины или ониевые соли. Предпочтительными катализаторами являются трибутиламин, триэтиламин и N-этилпиперидин. Если синтез поликарбоната осуществляют методом переэтерификации в расплаве, то предпочтительно используют катализаторы, указанные в немецкой заявке на патент DE-A 4238123.
Поликарбонаты могут быть подвергнуты целенаправленному и контролируемому разветвлению благодаря использованию небольших количеств агентов разветвления. Пригодными агентами разветвления являются флороглюцин, 4,6-диметил-2,4,6-три(4-гидроксифенил)гептен-2, 4,6-диметил-2,4,6-три(4-гидроксифенил)гептан, 1,3,5-три(4-гидроксифенил)-бензол, 1,1,1-три(4-гидроксифенил)этан, три(4-гидроксифенил)фенил-метан, 2,2-бис[4,4-бис(4-гидроксифенил)циклогексил]пропан, 2,4-бис(4-гидроксифенилизопропил)фенол, 2,6-бис(2-гидрокси-5′-метилбензил)-4-метилфенол, 2-(4-гидроксифенил)-2-(2,4-дигидроксифенил)пропан, сложный эфир гекса(4-(4-гидроксифенилизопропил)-фенил)ортотерефталевой кислоты, тетра(4-гидроксифенил)метан, тетра-(-4-(4-гидроксифенилизопропил)фенокси)метан, 1,3,5-трис[2-(4-гидроксифенил)-2-пропил]бензол, 2,4-дигидроксибензойная кислота, тримезиновая кислота, цианурхлорид, 3,3-бис(3-метил-4-гидроксифенил)-2-оксо-2,3-дигидроиндол, 1,4-бис(4′,4”-дигидрокситрифенил)метил)бензол и прежде всего 1,1,1-три(4-гидроксифенил)этан и бис(3-метил-4-гидроксифенил)-2-оксо-2,3-дигидроиндол.
Агенты разветвления, соответственно их смеси, при необходимости добавляемые в количестве от 0,05 до 2 мол.% в расчете на используемые дифенолы, могут использоваться совместно с дифенолами, а также могут быть добавлены на более поздней стадии синтеза.
В качестве агентов обрыва полимерных цепей предпочтительно используют фенолы, например фенол, алкилфенолы, например крезол и 4-трет-бутилфенол, хлорфенол, бромфенол, кумилфенол или их смеси в количестве от 1 до 20 мол.%, предпочтительно от 2 до 10 мол.%, на моль бисфенола. Предпочтительными агентами обрыва цепей являются фенол, 4-трет-бутилфенол, соответственно кумилфенол.
Агенты обрыва и разветвления полимерных цепей можно добавлять в реакционную смесь отдельно или вместе с бисфенолом.
Синтез поликарбонатов методом переэтерификации в расплаве известен, например, из немецкой заявки на патент DE-A 4238123.
Согласно изобретению предпочтительными поликарбонатами являются гомополикарбонат на основе бисфенола А, гомополикарбонат на основе 1,1-бис(4-гидроксифенил)-3,3,5-триметилциклогексана, сополикарбонаты на основе двух мономеров, а именно бисфенола А и 1,1-бис(4-гидроксифенил)-3,3,5-триметилциклогексана, и сополикарбонаты на основе двух мономеров, а именно бисфенола-А и 4,4′-дигидроксидифенила.
Особенно предпочтительным является гомополикарбонат на основе бисфенола А.
Используемый полимер может содержать стабилизаторы. Пригодными стабилизаторами являются, например, фосфины, фосфиты или кремнийсодержащие стабилизаторы и другие описанные в европейской заявке на патент ЕР-А 0500496 соединения. Примерами пригодных стабилизаторов являются трифенилфосфиты, дифенилалкилфосфиты, фенилдиалкилфосфиты, трис(нонилфенил)фосфит, тетра-кис(2,4-дитрет-бутилфенил)-4,4′-бифенилендифосфонит и триарилфосфит. Особенно предпочтительными стабилизаторами являются трифенилфосфин и трис(2,4-дитрет-бутилфенил)фосфит.
Указанные стабилизаторы можно использовать в составе любых слоев предлагаемой в изобретении плиты с перегородками. Таким образом, их можно использовать в составе как основного слоя плиты, так и соэкструдированного покрытия (соэкструдированных покрытий). В каждом слое могут присутствовать разные стабилизаторы соответственно в разных концентрациях.
Кроме того, предлагаемая в изобретении плита с перегородками может содержать от 0,01 до 0,5 мас.% сложных эфиров или неполных сложных эфиров спиртов, обладающих атомностью от 1 до 6, прежде всего сложных эфиров глицерина, пентаэритрита или гвербетовых спиртов.
Одноатомными спиртами являются, например, стеариловый спирт, пальмитиловый спирт или гвербетовые спирты.
Двухатомным спиртом является, например, гликоль.
Трехатомным спиртом является, например, глицерин.
Четырехатомными спиртами являются, например, пентаэритрит и мезоэритрит.
Пятиатомными спиртами являются, например, арабит, рибит и ксилит.
Шестиатомными спиртами являются, например, маннит, глюцит (сорбит) и дульцит.
Сложные эфиры предпочтительно являются сложными моноэфирами, диэфирами, триэфирами, тетраэфирами, пентаэфирами и гексаэфирами или их смесями, прежде всего статистическими смесям, полученными из насыщенных алифатических монокарбоновых кислот с 10-36 атомами углерода и при необходимости гидроксимонокарбоновых кислот, предпочтительно из насыщенных алифатических монокарбоновых кислот с 14-32 атомами углерода и при необходимости гидроксимонокарбоновых кислот.
Имеющиеся в продаже сложные эфиры алифатические кислот прежде всего на основе пентаэритрита и глицерина могут содержать менее 60% различных неполных сложных эфиров, что обусловлено спецификой синтеза подобных соединений.
Насыщенными алифатическими монокарбоновыми кислотами с 10-36 атомами углерода являются, например, каприновая, лауриновая, миристиновая, пальмитиновая, стеариновая, гидроксистеариновая, арахиновая, бегеновая, лигноцериновая, церотиновая и монтановая кислоты.
Предпочтительными насыщенными алифатическими монокарбоновыми кислотами с 14-22 атомами углерода являются, например, миристиновая, пальмитиновая, стеариновая, гидроксистеариновая, арахиновая и бегеновая кислоты.
Особенно предпочтительными являются такие насыщенные алифатические монокарбоновые кислоты, как пальмитиновая, стеариновая и гидроксистеариновая кислоты.
Насыщенные алифатические монокарбоновые кислоты с 10-36 атомами углерода и сложные эфиры алифатических кислот известны из литературы или могут быть синтезированы известными из литературы методами. Примерами сложных эфиров пентаэритрита и алифатических кислот являются сложные эфиры монокарбоновых кислот, указанных выше в качестве особенно предпочтительных.
Особенно предпочтительными являются сложные эфиры, образованные пентаэритритом и глицерином со стеариновой и пальмитиновой кислотами.
Особенно предпочтительными являются также сложные эфиры, образованные гвербетовыми спиртами и глицерином со стеариновой и пальмитиновой кислотами и при необходимости гидроксистеариновой кислотой.
Указанные сложные эфиры могут присутствовать как в основном слое, так и в соэкструдированном покрытии или соэкструдированных покрытиях плиты. Каждый слой может содержать разные сложные эфиры соответственно в разных концентрациях.
Предлагаемые в изобретении плиты с перегородками могут содержать антистатики.
Примерами используемых антистатиков являются катионоактивные соединения, например четвертичные соли аммония, фосфония или сульфония, анионактивные соединения, например алкилсульфонаты, алкилсульфаты, алкилфосфаты, карбоксилаты в виде солей щелочных или щелочно-земельных металлов, неионогенные соединения, например сложные эфиры полиэтиленгликоля, простые эфиры полиэтиленгликоля, сложные эфиры алифатических кислот, этоксилированные алифатические амины. Предпочтительными антистатиками являются неионогенные соединения.
Указанные антистатики могут присутствовать как в основном слое, так и в соэкструдированном покрытии или соэкструдированных покрытиях плиты. Каждый слой может содержать разные антистатики соответственно в разных концентрациях. Антистатики предпочтительно используют в составе соэкструдированного покрытия или соэкструдированных покрытий.
Предлагаемые в изобретении плиты с перегородками могут содержать органические красители, цветные неорганические пигменты, флуоресцентные красители и особенно предпочтительно оптические осветлители.
Указанные красящие средства могут присутствовать как в основном слое, так и в соэкструдированном покрытии или соэкструдированных покрытиях плиты. Каждый слой может содержать разные красящие средства соответственно в разных концентрациях.
Все формовочные массы, используемые для изготовления предлагаемой в изобретении плиты с перегородками, в процессе изготовления и хранения могут быть загрязнены соответствующими примесями, причем следует стремиться к использованию как можно более чистых исходных продуктов.
Смешивание отдельных составных частей можно осуществлять известными методами, вводя их в смесь как поочередно, так и одновременно, как при комнатной, так и при повышенной температуре.
Введение добавок, прежде всего УФ-абсорберов и других указанных выше вспомогательных веществ, в состав формовочных масс, используемых для изготовления предлагаемых в изобретении плит с перегородками, предпочтительно осуществляют известными методами путем перемешивания гранулированного полимера с добавками, осуществляемого при температуре от 200 до 330°С в обычных перемешивающих устройствах, таких как закрытые смесители, одночервячные и двухчервячные экструдеры, например, путем компаундирования или экструзии расплава или путем перемешивания растворов полимера с растворами добавок и последующего испарения растворителей, осуществляемого известными методами. Содержание добавок в составе формовочной массы можно варьировать в широких пределах, и оно зависит от желаемых свойств формовочной массы. Общее содержание добавок в составе формовочной массы предпочтительно не превышает 20 мас.%, предпочтительно составляет от 0,2 до 12 мас.%, в расчете на массу формовочной массы.
УФ-абсорберы можно вводить в состав формовочных масс также путем перемешивания растворов УФ-абсорберов и при необходимости других указанных выше добавок с растворами полимеров в соответствующих органических растворителях, таких как дихлорметан, галогенсодержащие алканы, галогенсодержащие ароматические углеводороды, хлорбензол и ксилолы. Затем полученные смеси растворов известными методами, предпочтительно путем экструзии гомогенизируют, и из гомогенизированных смесей известными методами, предпочтительно путем испарения и последующей экструзии, удаляют растворитель, например компаундируют их.
Предлагаемые в изобретении плиты с перегородками могут быть обработаны, например, путем глубокой вытяжки или поверхностной отделки, например, путем нанесения стойких к царапанию лаков, водоотталкивающих и подобных им покрытий, причем обработанные указанным образом изделия также являются предметом настоящего изобретения.
Сама по себе соэкструзия известна из литературы (смотри, например, европейские заявки на патент ЕР-А 0110221 и ЕР-А 0110238). В рассматриваемом случае соэкструзию предпочтительно осуществляют следующим образом. К соэкструзионному адаптеру присоединены экструдеры, предназначенные для изготовления сердцевинного слоя и наружного покрытия (наружных покрытий). Адаптер обладает конструкцией, которая обеспечивает нанесение на сердцевинный слой образующего наружное покрытие (наружные покрытия) расплава в виде прилипающего к расплавленной сердцевине тонкого слоя. Полученной многослойной расплавленной стренге в присоединенной к адаптеру экструзионной головке придают желаемую форму (форму плиты с перегородками). Затем расплавленную стренгу (в виде плиты с перегородками) известным методом подвергают охлаждению путем выполняемой в контролируемых условиях вакуумной калибровки и разрезают на заданную длину. Для устранения внутренних напряжений калиброванное изделие при необходимости может быть помещено в печь для отжига. Вместо монтирования адаптера перед экструзионной головкой последнюю можно выполнить таким образом, чтобы совмещение расплавов происходило в ней.
В предлагаемом в изобретении способе указанную технологию реализуют, используя описанную выше (фиг.5) модифицированную экструзионную головку, которая снабжена отверстием для прямой подачи материала в форму для перегородки. Таким образом, предметом настоящего изобретения является также применение предлагаемой в изобретении экструзионной головки для изготовления бесклиновой покрытой плиты с перегородками.
Нижеследующие примеры служат для более подробного пояснения настоящего изобретения, не ограничивая его объема. Примеры выполнены исключительно в соответствии с предпочтительными вариантами осуществления изобретения.
Ниже перечислены оборудование и устройства, используемые для изготовления многослойной монолитной плиты. В их состав входят:
– главный экструдер с червяком длиной от 25 до 36 D и диаметром от 70 до 200 мм, с зоной дегазации и без зоны дегазации,
– один или несколько соэкструдеров для нанесения покрытий с червяком длиной от 25 до 36 D, причем D означает диаметр экструдера, и диаметром D от 25 до 70 мм, с зоной дегазации и без зоны дегазации,
– соэкструзионный адаптер,
– специальная головка для экструзии плит с перегородками,
– калибрующее устройство,
– устройство для вытяжки,
– роликовый транспортер,
– устройство для резки на заданную длину (пила),
– приемный стол.
Гранулированный поликарбонат в качестве материала для основного слоя вводили в загрузочную воронку главного экструдера, а соэкструдируемый материал – в загрузочную воронку соэкструдера. В зонах пластикации соответствующих экструдеров (зазоре между цилиндром и червяком) происходило плавление и перемещение соответствующих материалов. Оба расплавленных материала вводили в соэкструзионный адаптер и головку для экструзии плит с перегородками, и после выхода из головки и последующего остывания в калибрующем устройстве они образовывали комбинированный материал. Остальные устройства служили для перемещения, резки на заданную длину и раскладки экструдированных плит.
В заключение выполняли внешнюю оценку полученных плит.
Изготовлены поликарбонатные плиты с перегородками без видимых клиньев (то есть без эффекта треугольника), которые обладали следующими размерами:
двойная плита с перегородками, толщина 10 мм, расстояние между перегородками 11 мм, ширина 2100 мм, 1,7 кг/см2 (SN2 10/11-2100 1,7 кг/см2),
двойная плита с перегородками, толщина 10 мм, расстояние между перегородками 11 мм, ширина 2100 мм, 2,0 кг/см2 (SS2 10/11-2100 2,0 кг/см2),
двойная плита с перегородками, толщина 8 мм, расстояние между перегородками 11 мм, ширина 2100 мм, 1,5 кг/см2 (SN2 8/11-2100 1,5 кг/см2),
двойная плита с перегородками, толщина 8 мм, расстояние между перегородками 11 мм, ширина 2100 мм, 1,7 кг/см2 (SS2 8/11-2100 1,7 кг/см2).
В этих опытах для соэкструзии в качестве материала основного слоя использовали следующие поликарбонаты:
– Makrolon® 1243, разветвленный поликарбонат на основе бисфенола-А с 0,3 мол.% изатинбискрезола в качестве разветвляющего агента и среднемассовой молекулярной массой (Mw) 29234, а также относительной вязкостью раствора 0,5 г/100 мл,
– Makrolon® 3103, линейный поликарбонат на основе бисфенола-А со среднемассовой молекулярной массой (Mw) 31887, а также относительной вязкостью раствора 0,5 г/100 мл,
а также
– DPI-1816, линейный поликарбонат на основе бисфенола А со среднемассовой молекулярной массой (Mw) 33560 и добавками для защиты от ультрафиолета.
Формула изобретения
1. Способ изготовления многослойной плиты с перегородками, включающей основной слой и, по меньшей мере, один соэкструдированный слой путем соэкструзии, отличающийся тем, что от потока материала, образующего основной слой, ответвляют отдельный поток, направляемый прямо в форму для перегородки и образующий перегородки.
2. Способ по п.1, отличающийся тем, что ответвление отдельного потока осуществляют через экструзионную головку для изготовления плиты с перегородками, имеющую, по меньшей мере, одно отверстие, предназначенное для прямой подачи части материала, образующего основной слой, в форму для перегородки.
3. Покрытая путем соэкструзии многослойная плита с перегородками, обладающая однородным соэкструдированным покрытием.
4. Плита с перегородками по п.3, отличающаяся тем, что она содержит прозрачные термопласты.
5. Плита с перегородками по п.3, отличающаяся тем, что основным компонентом всех слоев являются термопласты.
6. Плита с перегородками по п.3, отличающаяся тем, что она состоит из поликарбоната.
7. Плита с перегородками по п.3, отличающаяся тем, что соэкструдированные покрытия предназначены для защиты от ультрафиолета.
8. Изделие, содержащее многослойную плиту с перегородками по пп.3-7.
РИСУНКИ
|
|