|
|
(21), (22) Заявка: 2008108118/14, 03.03.2008
(24) Дата начала отсчета срока действия патента:
03.03.2008
(46) Опубликовано: 10.06.2009
(56) Список документов, цитированных в отчете о поиске:
БОВТЮШКО В.Г., ПОДДУБСКИЙ Г.А. Степень сопряжения функциональных систем как индикатор состояния здоровья человека. Физиол.журн. им. И.М.Сеченова. 1994, 6, с.99-105. RU 2315549 C1, 27.01.2008. RU 2308875 C1, 27.10.2007. RU 2313796 C1, 27.12.2007. RU 2315548 C1, 27.01.2008. RU 2241377 C1, 10.12.2004. RU 2306844 C1, 27.09.2007. RU 2191536 C2, 27.10.2002.
Адрес для переписки:
660022, г.Красноярск, ул. Партизана Железняка, 1, Медицинская академия, патентный отдел
|
(72) Автор(ы):
Домрачев Александр Анатольевич (RU), Домрачева Марина Яковлевна (RU), Медведев Валерий Серафимович (RU)
(73) Патентообладатель(и):
Государственное общеобразовательное учреждение высшего профессионального образования “Красноярская государственная медицинская академия Федерального агентства по здравоохранению и социальному развитию” (RU)
|
(54) СПОСОБ КОЛИЧЕСТВЕННОЙ ОЦЕНКИ ИНТЕГРАЦИИ ФУНКЦИОНАЛЬНЫХ СИСТЕМ ОРГАНИЗМА ПО ВЕЛИЧИНЕ КОЭФФИЦИЕНТА ФУНКЦИОНАЛЬНОГО УЧАСТИЯ
(57) Реферат:
Изобретение относится к области медицины, а именно к функциональной диагностике, и может быть использовано в физиологии, гигиене, спортивной медицине, профессиональной патологии, валеологии. Рассчитывают значения общего утомления организма по состоянию анализаторных систем, висцеральных систем, высшей нервной деятельности и общего утомления организма комплексным способом. Затем определяют разность значений между величиной общего утомления, рассчитанную комплексным способом, и величиной общего утомления, рассчитанную по параметрам анализаторных систем, между величиной общего утомления, рассчитанную комплексным способом, и величиной общего утомления, рассчитанную по параметрам висцеральных систем, между величиной общего утомления, рассчитанную комплексным способом, и величиной общего утомления, рассчитанную по параметрам высшей нервной деятельности. Значения трех рассчитанных разностей по модулю суммируют. Рассчитывают величину коэффициента функционального участия, в баллах, как отношение величины общего утомления, рассчитанного комплексным способом, умноженного на три, к сумме трех рассчитанных разностей. Величину коэффициента функционального участия менее 5 баллов оценивают как низкую (I) степень интеграции функциональных систем, от 5 баллов включительно и до 15 оценивают как среднюю (II) степень интеграции, от 15 баллов включительно до 25 как выраженную (III) степень интеграции, от 25 баллов включительно и выше как высокую (IV) степень интеграции. Способ позволяет по состоянию широкого круга параметров, относящихся к различным системам организма, количественно оценить интеграцию функциональных систем организма. 2 ил., 2 табл.
Изобретение относится к области медицины, а именно к функциональной диагностике, и может быть использовано в физиологии, гигиене, спортивной медицине, профессиональной патологии, валеологии.
Известно, что степень интеграции (объединения) функциональных систем организма для достижения полезного результата действия этого организма является показателем его функционального состояния [1]. Способы количественной оценки интеграции функциональных систем организма не известны.
Задача изобретения – количественно оценить интеграцию функциональных систем организма, используя коэффициент функционального участия.
Выполнение поставленной задачи осуществляют за счет того, что рассчитывают значения общего утомления организма по состоянию анализаторных систем, висцеральных систем, высшей нервной деятельности и общего утомления организма комплексным способом; определяют разность значений между величиной общего утомления, рассчитанную комплексным способом, и величиной общего утомления, рассчитанную по параметрам анализаторных систем, между величиной общего утомления, рассчитанную комплексным способом, и величиной общего утомления, рассчитанную по параметрам висцеральных систем, между величиной общего утомления, рассчитанную комплексным способом, и величиной общего утомления, рассчитанную по параметрам высшей нервной деятельности; значения трех рассчитанных разностей по модулю суммируют; рассчитывают величину коэффициента функционального участия (в баллах) как отношение величины общего утомления, рассчитанного комплексным способом, умноженного на три, к сумме трех рассчитанных разностей; величину коэффициента функционального участия менее 5 баллов оценивают как низкую (I) степень интеграции функциональных систем, от 5 баллов включительно и до 15 оценивают как среднюю (И) степень интеграции, от 15 баллов включительно до 25 как выраженную (III) степень интеграции, от 25 баллов включительно и выше как высокую (IV) степень интеграции.
Способ осуществляют следующим образом. Объектом исследования явился личный состав караулов пожарных частей противопожарной службы МЧС РФ г.Красноярска, т.е. лица, непосредственно осуществляющие пожаротушение и оказание помощи при чрезвычайных ситуациях. Выбор объектов исследования обусловлен тем, что личный состав караулов имеет значительную – 24-часовую – продолжительность рабочего дня (РД) и это приводит к формированию общего утомления организма (ОУО), т.е. к изменению функционального состояния на протяжении РД, а следовательно, к изменению интеграции функциональных систем организма.
Обследование на протяжении РД осуществляли 4 раза: обследование I проводили в течение 1-2 часов РД (период суток – 800-1000), обследование II – в течение 8-9 часов, (период суток – 1500-1700), обследование III – в течение 16-17 часов (период суток –
2300-100), обследование IV – в течение 24-25 часов (период суток – 700-900). Все обследованные условно подразделялись на 4 группы: А, В, С, Д. К группе А относились пожарные, которые на протяжении РД не имели боевой нагрузки, т.е. не осуществляли выезды на пожары и пожаротушения. В группу В вошли пожарные, имевшие 1-2 выезда на пожаротушение, в группу С – 3-4, в группу Д – 5 и более выездов. Таким образом, ожидаемая степень интеграции функциональных систем должна нарастать в течение РД во всех группах сравнения и нарастать большими темпами по мере увеличения психофизической активности.
Для расчета значений ОУО по 4 способам оценивали 11 параметров (условное обозначение):
– 3 параметра анализаторных систем: 1) электрическая чувствительность сетчатки, мкА (Хэчс); 2) продолжительность восприятия камертона с частотой звучания 128 Гц при воздушной проводимости слуха, с (Хс128); 3) состояние тактильной чувствительности по Фалькельту, баллы (Хтакт);
– 4 параметра высшей нервной деятельности: 1) продолжительность сложной зрительно-моторной реакции, мс (Тсзмр); 2) состояние умственной работоспособности по тесту Крепелина 15-секундной продолжительности, условные единицы, (УР);); 3) ошибка воспроизведения временных периодов продолжительностью до 10 секунд, % (ОВВ); 4) ошибка воспроизведения расстояния в диапазоне 15-30 см, % (ОВР);
– 4 параметра висцеральных систем: 1) величина вегетативного индекса Кердо, условные единицы (ВИК); 2) содержание гемоглобина, г/л (Hb); 3) величина показателя деформируемости эритроцитов, % (ПДЭ); 4) продолжительность неферментативного фибринолиза, минуты (Тпнф).
Расчеты значений ОУО производились следующим образом:
1) оценка ОУО по способу комплексной оценки: ОУО1=(0,136*Хэчс+0,525*Хс128+0,059*Тсзмр+0,200*ОВВ+0,294*Hb+0,686*ОВР+1,182*ПДЭ) – (4,464*Хтакт+1,789*УР+0,292*ВИК+0,133*Тпнф) -18,45 (формула 1) [2];
2) оценка ОУО по параметрам висцеральных систем: ОУО2=0,809*Hb+3,247*ПДЭ – 0,804*ВИК – 0,365*Тпнф+20,89 (формула 2) [3];
3) оценка ОУО по параметрам анализаторных систем: ОУО3=0,497Хэчс+1,93 *Хс 128 – 16,31 *Хтакт – 81,9 (формула 3) [4];
4) оценка ОУО по параметрам ВНД: ОУО4=0,162*Тсзмр – 4,902*УР+0,55*ОВВ+1,887*ОВР – 11,817 (формула 4) [5].
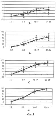
Значения ОУО, рассчитанные по 4 вариантам формул, во временных точках сравнения приведены на фиг.1. Значения ОУО, рассчитанные по формуле 1, обозначены линией « »; по формуле 2 – « »; по формуле 3 – « »; по формуле 4 – « ». На фиг.1А приведены данные для группы А, на фиг.1Б – для группы В, на фиг.1С – для группы С, на фиг.1Д-для группы Д. По оси абсцисс представлены временные точки замера (в часах рабочего дня), по оси ординат – величина ОУО. На фоне увеличения значений ОУО на протяжении РД прослеживается и другой момент: по мере увеличения психофизической активности в группах сравнения (от группы А к группе С) графики «сближаются» между собой.
Для подтверждения данного предположения значения ОУО во временных точках замера, рассчитанных по способу комплексной оценки, были приняты за исходные значения и определена разность значений со значениями ОУО (по модулю), рассчитанными по трем другим способам. Результаты суммирования разности значений в каждой группе (табл.1.) подтверждают ранее высказанное предположение о том, что по мере увеличения психофизической активности в группах сравнения (от группы А к группе С) графики «сближаются» между собой: если сумма разностей значений ОУО за сутки в группе с минимальной психофизической активностью (группа А) имела наибольшую величину (101 балл), то в группе с наибольшей психофизической активностью (группе Д) – наименьшую величину (34 балла).
Табл. 1. Сумма разности значений в группах сравнения на протяжении рабочего дня |
| Группы сравнения |
Сумма разностей значений ОУО в группах сравнения (баллы) |
 |
время 1 |
время 2 |
время 3 |
время 4 |
Всего за сутки |
| А |
1 |
20 |
36 |
44 |
101 |
| В |
2 |
24 |
28 |
23 |
77 |
| С |
0 |
28 |
15 |
20 |
64 |
| Д |
6 |
12 |
9 |
7 |
34 |
Для решения задачи изобретения и определения величины коэффициента функционального участия (КФУ) можно использовать следующую формулу: КФУ=3*ОУО1/([ОУО1-ОУО2]+[ОУО1-ОУО3]+[ОУО1-ОУО4]) (формула 5),
где КФУ – величина коэффициента функционального участия (баллы), ОУО1 величина ОУО, рассчитанная по способу комплексной оценки ОУО; ОУО2 – величина ОУО, рассчитанная по параметрам висцеральных систем; ОУО3 – величина ОУО, рассчитанная по параметрам анализаторных систем; ОУО4 – величина ОУО, рассчитанная по параметрам ВНД.
Расчетные значения КФУ в группах сравнения на протяжении РД суточной продолжительности (фиг.2.) свидетельствуют о том, что данный показатель имел тенденцию прироста на протяжении РД во всех группах и тем большую, чем большая психофизическая активность реализовывалась в ходе трудовой деятельности. Значения КФУ в группе Д обозначены линией « »; в группе С – « »; в группе В – « »; в группе А – « ». По оси абсцисс представлены временные точки замера (в часах рабочего дня), по оси ординат – величина КФУ.
Следовательно, использование КФУ позволяет количественно определять степень интеграции функциональных систем между собой в процессе реализации психофизической активности с целью достижения полезного результата.
Характеристику интеграции функциональных систем организма по величине КФУ можно осуществлять следующим образом (табл.2.).
Такой прием позволяет говорить о том, что лица всех четырех групп сравнения на момент обследования «1-2 час РД» имели близкие значения и в пределах низкой (I) степени интеграции функциональных систем. На протяжении РД степень интеграции функциональных систем у лиц групп сравнения нарастала, достигая наибольших значений в группе Д (т.е. группе, имевшей наибольшую психофизическую активность) и соответствуя высокой (IV) степени интеграции. Наименьшая интеграции (I степень) на момент времени «23-24 час РД» отмечались в группе А (лица без боевых выездов), промежуточные значения – в группах В и С.
Таким образом, использование вышеописанных приемов позволяет решить поставленную задачу.
Использование данного способа отвечает ряду требований:
1) позволяет реализовать количественную оценку интеграции функциональных систем по расчетной величине коэффициента функционального участия;
2) коэффициент функционального участия отражает сущность исследуемой проблемы, т.к. рассчитывается по значениям общего утомления организма в отдельных группах (блоках) функциональных систем, состояние которых непосредственно определяет и формирует функциональное состояние организма;
3) методы определения 11 параметров, необходимых для расчета значений общего утомления организма, а в последующем КФУ, не предполагают использования сложного оборудования или дорогостоящих расходных материалов и доступны для большинства научно-исследовательских или клинических лабораторий.
Источники информации
6. – С.99-105.
2. Способ комплексной количественной оценки общего утомления организма / Полож. решение о выдаче патента РФ от 04.07.07 по приор. справке на изобретение 2006128720 от 07.08.06. (в соавт. с. Л.А. Михайловой, М.Я. Домрачевой, И.В. Михайловым).
3. Способ количественной оценки общего утомления организма по состоянию висцеральных систем / Патент РФ 2313796 от 27.12.07. – Опубл. БИПМ 27.12.07. – Бюл. 36 (в соавт. с Л.А. Михайловой, М.Я. Домрачевой, И.В. Михайловым).
4. Способ количественной оценки общего утомления организма по состоянию анализаторных систем / Патент РФ 2308875. – Опубл. БИПМ 27.10.07. – Бюл. 33 (в соавт. с Л.А. Михайловой, М.Я.Домрачевой, И.В. Михайловым).
5. Способ количественной оценки общего утомления организма по состоянию ВНД / Полож. решение о выдаче патента РФ от 03.07.07 по приор. справке на изобретение 20061266267 от 19.07.06. (в соавт. с Л.А.Михайловой, М.Я.Домрачевой, И.В.Михайловым).
Формула изобретения
Способ количественной оценки интеграции функциональных систем организма по величине коэффициента функционального участия, заключающийся в том, что рассчитывают значения общего утомления организма по состоянию анализаторных систем, висцеральных систем, высшей нервной деятельности и общего утомления организма комплексным способом, для чего определяют электрическую чувствительность сетчатки, мкА (Хэчс); продолжительность восприятия камертона с частотой звучания 128 Гц при воздушной проводимости слуха, с (Хс128); продолжительность сложной зрительно-моторной реакции, мс (Тсзмр); ошибку воспроизведения временных периодов продолжительностью до 10 с, % (ОВВ); содержание гемоглобина, г/л (Hb); ошибку воспроизведения расстояния в диапазоне 15-30 см, % (ОВР); величину показателя деформируемости эритроцитов, % (ПДЭ); состояние тактильной чувствительности по Фалькельту, баллы (Хтакт); состояние умственной работоспособности по тесту Крепелина 15-секундной продолжительности, условные единицы (УР); величину вегетативного индекса Кердо, условные единицы (ВИК); продолжительность неферментативного фибринолиза, минуты (Тпнф); далее вычисляют величину общего утомления организма (ОУО) комплексным способом по формуле: ОУО1=(0,136·Хэчс+0,525·Хс128+0,059·Тсзмр+0,200·ОВВ+0,294·Hb+0,686·ОВР+1,182·ПДЭ)-(4,464·Хтакт+1,789·УР+0,292·ВИК+0,133·Тпнф)-18,45, величину общего утомления организма по состоянию висцеральных систем вычисляют по формуле: ОУО2=0,809·Hb+3,247·ПДЭ-0,804·ВИК-0,365·Тпнф+20,89; величину общего утомления организма по состоянию анализаторных систем вычисляют по формуле: ОУО3=0,497Хэчс+1,93·Хс128-16,31·Хтакт-81,9; величину общего утомления организма по состоянию высшей нервной деятельности вычисляют по формуле: ОУО4=0,162·Тсзмр-4,902·УР+0,55·ОВВ+1,887·ОВР-11,817, затем определяют разность значений между величиной общего утомления, рассчитанной комплексным способом, и величиной общего утомления, рассчитанной по параметрам анализаторных систем, между величиной общего утомления, рассчитанной комплексным способом, и величиной общего утомления, рассчитанной по параметрам висцеральных систем, между величиной общего утомления, рассчитанной комплексным способом, и величиной общего утомления, рассчитанной по параметрам высшей нервной деятельности; значения трех рассчитанных разностей по модулю суммируют; рассчитывают величину коэффициента функционального участия в баллах, как отношение величины общего утомления, рассчитанной комплексным способом, умноженной на три, к сумме трех рассчитанных разностей; величину коэффициента функционального участия менее 5 баллов оценивают как низкую (I) степень интеграции функциональных систем, от 5 баллов включительно и до 15 оценивают как среднюю (II) степень интеграции, от 15 баллов включительно до 25 как выраженную (III) степень интеграции, от 25 баллов включительно и выше как высокую (IV) степень интеграции.
РИСУНКИ
|
|