|
|
(21), (22) Заявка: 2007101715/09, 14.06.2005
(24) Дата начала отсчета срока действия патента:
14.06.2005
(30) Конвенционный приоритет:
18.06.2004 US 60/580,810
(43) Дата публикации заявки: 27.07.2008
(46) Опубликовано: 27.05.2009
(56) Список документов, цитированных в отчете о поиске:
WO 2004/032443 A1, 15.04.2004. RU 2216105 C2, 10.11.2003. WO 02/4936 A2, 20.06.2002. WO 02/33848 A2, 25.04.2002.
(85) Дата перевода заявки PCT на национальную фазу:
18.01.2007
(86) Заявка PCT:
US 2005/021056 20050614
(87) Публикация PCT:
WO 2006/009715 20060126
Адрес для переписки:
129090, Москва, ул. Б.Спасская, 25, стр.3, ООО “Юридическая фирма Городисский и Партнеры”, пат.пов. Ю.Д.Кузнецову, рег. 595
|
(72) Автор(ы):
СУТИВОНГ Арак (US), АГРАВАЛ Авниш (US)
(73) Патентообладатель(и):
КВЭЛКОММ ИНКОРПОРЕЙТЕД (US)
|
(54) МУЛЬТИПЛЕКСИРОВАНИЕ ДЛЯ СОТОВОЙ СИСТЕМЫ РАДИОСВЯЗИ С МНОЖЕСТВОМ НЕСУЩИХ
(57) Реферат:
Изобретение относится к передаче данных. Технический результат заключается в повышении пропускной способности системы. Для квазиортогонального мультиплексирования в системе OFDMA для каждой базовой станции определяется множество (М) совокупностей каналов трафика. Каналы трафика в каждой совокупности являются ортогональными относительно друг друга и могут быть псевдослучайными относительно каналов трафика в каждой из других совокупностей. Минимальное количество совокупностей каналов трафика (L) используется для поддержки заданного количества (U) терминалов, выбранных для передачи данных. Каждый терминал передает символы данных и пилот-сигналов в своем канале трафика. Базовая станция принимает передачи данных от всех терминалов и может выполнять пространственную обработку приемного устройства на принимаемых символах с помощью матрицы пространственной фильтрации для получения продетектированных символов данных. Матрица пространственной фильтрации для каждого поддиапазона может быть выведена на основе оценок характеристик каналов для всех терминалов, осуществляющих передачу в этом поддиапазоне. 13 н. и 33 з.п. ф-лы, 6 ил.
Перекрестная ссылка на родственные заявки
Данная заявка испрашивает приоритет предварительной патентной заявки США 60/580,810 от 18 июня 2004 г., которая полностью включена в настоящее описание посредством ссылки.
Область техники
Настоящее изобретение относится к передаче данных и более конкретно к передаче данных в системе связи множественного доступа с множеством несущих.
Предшествующий уровень техники
Система множественного доступа может одновременно поддерживать связь для множества терминалов по прямой и обратной линиям связи. Термин “прямая линия связи” (или “нисходящая линия связи”) относится к линии связи от базовых станций к терминалам, а термин “обратная линия связи” (или “восходящая линия связи”) относится к линии связи от терминалов к базовым станциям. Множество терминалов могут одновременно передавать данные по обратной линии связи и/или принимать данные по прямой линии связи. Это может быть достигнуто посредством мультиплексирования многочисленных передач данных в каждой линии связи таким образом, чтобы они были ортогональны друг к другу во времени, по частоте и/или коду. Полная ортогональность в большинстве случаев обычно не достигается из-за различных факторов, таких как состояния каналов, несовершенства приемных устройств и так далее. Тем не менее, ортогональное мультиплексирование гарантирует, что передача данных для каждого терминала в минимальной степени создает помехи передачам данных для других терминалов.
Система связи с множеством несущих для передачи данных использует множество несущих. Множество несущих могут быть обеспечены посредством мультиплексирования с ортогональным частотным разделением каналов (OFDM), цифровой многоканальной тональной модуляции (DMT), некоторых других методов модуляции с множеством несущих или некоторой другой структуры. OFDM эффективно разделяет полную ширину полосы системы на множество (K) ортогональных частотных поддиапазонов. Эти поддиапазоны также упоминаются как тональные сигналы, поднесущие, элементы дискретизации, частотные каналы и так далее. Каждый поддиапазон связан с соответствующей поднесущей, которая может быть модулирована данными.
Система множественного доступа с ортогональным частотным разделением каналов (OFDMA) представляет собой систему множественного доступа, которая использует OFDM. Система OFDMA может использовать мультиплексирование с временным и/или частотным разделением каналов для достижения ортогональности среди множества передач данных для множества терминалов. Например, различным терминалам могут быть выделены различные поддиапазоны, и передача данных для каждого терминала может пересылаться в поддиапазоне (поддиапазонах), выделенном этому терминалу. Благодаря использованию для различных терминалов не пересекающихся или не перекрывающихся поддиапазонов можно предотвращать или сокращать взаимные помехи среди множества терминалов и обеспечивать повышение эффективности.
Количество поддиапазонов, доступных для передачи данных, ограничено (до величины K) структурой OFDM, используемой для системы OFDMA. Ограниченное количество поддиапазонов устанавливает верхний предел для количества терминалов, которые могут осуществлять передачу одновременно без взаимных помех. В некоторых случаях может быть желательно обеспечить возможность большему количеству терминалов осуществлять передачу одновременно, например, чтобы лучше использовать доступную пропускную способность системы. Поэтому в технике имеется потребность в методах одновременной поддержки большего количества терминалов в системе OFDMA.
Сущность изобретения
В этом описании раскрыты методы, которые могут поддерживать одновременную передачу для большего количества терминалов, чем количество ортогональных элементов передачи (или ортогональных измерений), доступных в системе. Каждый такой “элемент передачи” может соответствовать группе из одного или более поддиапазонов в одном или более периодах символов и быть ортогональным ко всем другим элементам передачи по частоте и времени. Эти методы называются “квази-ортогональным мультиплексированием” и могут применяться для более полного использования дополнительной пропускной способности, которая может быть создана в пространственном измерении посредством использования множества антенн на базовой станции. Эти методы также могут снижать величину взаимных помех, воспринимаемых каждым терминалом, что может повысить эффективность.
В варианте осуществления квази-ортогонального мультиплексирования, которое является подходящим для системы OFDMA, для каждой базовой станции в системе определено множество (M) совокупностей каналов трафика. Каждая совокупность содержит множество (N) каналов трафика, например по одному каналу трафика для каждого ортогонального элемента передачи, доступного в системе. Каждый канал трафика связан с конкретным ортогональным элементом передачи (например, конкретными поддиапазонами) для использования в течение каждого интервала передачи. Для системы OFDMA со скачкообразным изменением частоты (FH-OFDMA) каждый канал трафика может быть связан с последовательностью скачкообразного изменения частоты (FH), которая псевдослучайно выбирает различные поддиапазоны в различных интервалах передачи или периодах скачкообразного изменения частоты. Каналы трафика в каждой совокупности являются ортогональными друг к другу и могут быть псевдослучайными относительно каналов трафика в каждой из других M-1 совокупностей. Тогда для использования в системе доступно общее количество M-N каналов трафика. Для поддержания требуемого количества (U) терминалов, выбранных для передачи данных, может быть использовано минимальное количество совокупностей каналов трафика (L). Каждому терминалу может быть выделен канал трафика, выбранный из L совокупностей каналов трафика.
Каждый терминал передает символы данных (которые являются символами модуляции для данных) в своем канале трафика. Каждый терминал также передает символы пилот-сигналов (которые являются символами модуляции для пилот-сигнала) в своем канале трафика, чтобы обеспечить возможность базовой станции оценивать характеристики беспроводного канала между терминалом и базовой станцией. U терминалов могут одновременно осуществлять передачу в своих выделенных каналах трафика.
Базовая станция принимает передачи данных от U терминалов и получает вектор принимаемых символов для каждого поддиапазона в каждом периоде символов. Базовая станция может вывести матрицу пространственной фильтрации для каждого поддиапазона на основе оценок характеристик каналов, полученных для всех терминалов, осуществляющих передачу в этом поддиапазоне. Базовая станция может выполнять пространственную обработку приемника на векторе принимаемых символов для каждого поддиапазона с помощью матрицы пространственной фильтрации для этого поддиапазона, чтобы получить продетектированные символы данных, которые являются оценками символов данных, переданных терминалами, использующими этот поддиапазон.
Ниже более подробно описаны различные аспекты и варианты осуществления изобретения.
Краткое описание чертежей
Признаки и сущность настоящего изобретения поясняются в приведенном ниже подробном описании, иллюстрируемом чертежами, на которых одинаковые ссылочные позиции обозначают сходные элементы на всех чертежах, на которых представлено следующее:
фиг.1 – множество терминалов и базовая станция в системе OFDMA;
фиг.2 – иллюстрация скачкообразного изменения частоты в системе OFDMA;
фиг.3 – М совокупностей последовательностей FH для квази-ортогонального мультиплексирования;
фиг.4 – процесс распределения последовательностей FH для U терминалов;
фиг.5 – блок-схема терминала с одной антенной и терминала с множеством антенн; и
фиг.6 – блок-схема базовой станции.
Подробное описание
Термин “примерный” используется в этом описании для обозначения “служащий в качестве примера, образца или иллюстрации”. Какой-либо вариант осуществления или структура, представленные в описании как “примерные”, не должны рассматриваться обязательно, как предпочтительные или выгодные по сравнению с другими вариантами осуществления или структурами.
Методы квази-ортогонального мультиплексирования, раскрытые в описании, могут использоваться для различных систем связи с множеством несущих, например, для системы на основе OFDM, такой как система OFDMA. Эти методы могут использоваться для систем с одной антенной и с множеством антенн. Система с одной антенной использует одну антенну для передачи и приема данных. Система с множеством антенн использует одну или множество антенн для передачи данных и множество антенн для приема данных. Эти методы также могут использоваться для дуплексной системы с временным разделением (TDD) и дуплексной системы с частотным разделением (FDD), для прямой и обратной линий связи, и со скачкообразным изменением частоты или без него. Для ясности, ниже описано квази-ортогональное мультиплексирование для обратной линии связи в системе FH-OFDMA с множеством антенн.
Фиг.1 изображает множество терминалов 110a-110u и базовую станцию 120 в системе 100 OFDMA. Базовая станция в общем случае является стационарной станцией, которая осуществляет связь с терминалами и также может упоминаться как пункт доступа, или может использоваться некоторая другая терминология. Терминал может быть стационарным или подвижным и также может упоминаться как мобильная станция, беспроводное устройство, или может использоваться некоторая другая терминология. Термины “терминал” и “пользователь” в описании используются взаимозаменяемым образом. Базовая станция 120 оборудована множеством (R) антенн для передачи и приема данных. Терминал может быть оборудован одной антенной (например, терминал 110a) или множеством антенн (например, терминал 110u) для передачи и приема данных. R антенн на базовой станции 120 представляют множество входов (MI) для передач в прямой линии связи и множество выходов (МО) для передач в обратной линии связи. Если выбрано множество терминалов для одновременной передачи, то множество антенн для этих выбранных терминалов вместе представляют множество выходов для передач в прямой линии связи и множество входов для передач в обратной линии связи.
Фиг.2 иллюстрирует схему 200 передачи со скачкообразным изменением частоты (FH), которая может использоваться для системы OFDMA. Скачкообразное изменение частоты может обеспечивать частотное разнесение для противодействия вредным эффектам в тракте передачи и рандомизации взаимных помех. При скачкообразном изменении частоты каждому терминалу/пользователю может быть выделена отличающаяся последовательность FH, которая указывает конкретный поддиапазон (поддиапазоны) для использования в каждом периоде “скачкообразного изменения частоты”. Последовательность FH также может называться шаблоном скачкообразного изменения частоты или может использоваться некоторая другая терминология. Период скачкообразного изменения частоты представляет собой количество времени, затрачиваемого в данном поддиапазоне, который может охватывать один или множество периодов символов, и может также называться интервалом времени передачи, или может использоваться некоторая другая терминология. Каждая последовательность FH может псевдослучайно выбирать поддиапазоны для терминала. Частотное разнесение достигается благодаря выбору различных поддиапазонов по K суммарным поддиапазонам в различные периоды скачкообразного изменения частоты. Последовательности FH и каналы трафика могут рассматриваться в качестве удобного способа выражения распределения поддиапазонов.
Последовательности FH для различных пользователей, осуществляющих связь с одной и той же базовой станцией, обычно ортогональны друг к другу, так что никакие два пользователя не используют один и тот же поддиапазон в каком-либо данном периоде скачкообразного изменения частоты. Это позволяет избегать взаимных помех “внутри сотовой ячейки” или “внутри сектора” среди терминалов, осуществляющих связь с одной и той же базовой станцией (предполагая, что ортогональность не нарушается некоторым другим фактором). Последовательности FH для каждой базовой станции могут быть псевдослучайными относительно последовательностей FH для близлежащих базовых станций. Взаимные помехи между двумя пользователями, осуществляющими связь с двумя различными базовыми станциями, возникают всякий раз, когда последовательности FH для этих пользователей выбирают один и тот же поддиапазон в одном и том же периоде скачкообразного изменения частоты. Однако эти взаимные помехи “между сотовыми ячейками” или “между секторами” рандомизированы благодаря псевдослучайному характеру последовательностей FH.
Для варианта осуществления, показанного на фиг.2, поддиапазоны, используемые для передачи данных, расположены в N группах. Каждая группа содержит S поддиапазонов, где в общем N>1, S 1 и N·S K. Поддиапазоны в каждой группе могут быть непрерывными, как показано на фиг.2. Поддиапазоны в каждой группе также могут состоять из нескольких несмежных участков, например они могут быть равномерно распределены по всем K поддиапазонам и равномерно разделены S поддиапазонами. Каждому пользователю может выделяться одна группа из S поддиапазонов в каждом периоде скачкообразного изменения частоты. Символы данных могут мультиплексироваться с разделением по времени с символами пилот-сигналов, которые априорно известны и терминалу, и базовой станции, как показано на фиг.2.
Взаимные помехи могут предотвращаться или снижаться между всеми пользователями, осуществляющими связь с одной и той же базовой станцией, если их последовательности FH ортогональны друг другу. В этом случае пользователям выделяются не перекрывающиеся группы поддиапазонов или, эквивалентным образом, поддиапазон используется только одним пользователем в течение любого заданного времени. Полная ортогональность обычно не достигается вследствие условий каналов, несовершенства приемных устройств, несинхронизированного согласования во времени в терминалах и так далее. Потеря ортогональности может вызывать взаимные помехи между несущими (ИМН) и межсимвольную взаимные помехи (МСИ). Однако ИМН и МСИ могут быть малы по сравнению с интерференцией, которая может наблюдаться, если пользователям не выделяются ортогональные последовательности FH.
Количество групп поддиапазонов, доступных для передачи данных, для показанного на фиг.2 варианта осуществления, ограничено, например, величиной N. Если для каждого пользователя выделяется одна группа поддиапазонов, то больше чем N пользователей могут поддерживаться с помощью мультиплексирования с разделением времени (TDM) пользователей и обеспечения возможности различным совокупностям до N пользователей осуществлять передачу на поддиапазонах, составляющих до N групп, в различные периоды скачкообразного изменения частоты. Таким образом, в частотных и временных областях могут быть созданы больше, чем N ортогональных элементов передачи данных, где каждый элемент передачи данных является ортогональным ко всем другим элементам передачи данных по частоте и времени. Элементы передачи данных также можно рассматривать, как ортогональные измерения. Мультиплексирование с разделением времени пользователей может быть нежелательным, поскольку оно снижает количество времени, доступное для передачи данных, что может ограничить скорости передачи данных, достигаемые пользователями.
В некоторых случаях может быть желательно поддерживать большее количество пользователей, чем количество доступных ортогональных элементов передачи данных. Например, дополнительная пропускная способность может быть создана в пространственном измерении с использованием множества антенн на базовой станции. Базовая станция тогда будет в состоянии поддерживать большее количество пользователей с помощью дополнительной пропускной способности. Однако количество ортогональных элементов передачи данных, доступных в системе OFDMA, определяется структурой системы и обычно является ограниченной и конечной для данной ширины полосы системы и данной временной длительности. Для простоты, последующее описание предполагает, что мультиплексирование с разделением времени не используется и в системе доступны N ортогональных элементов передачи данных, хотя это не является необходимым для квази-ортогонального мультиплексирования. Как только все доступные элементы передачи данных были распределены пользователям, больше невозможно поддерживать дополнительных пользователей, при этом ортогональность между всеми пользователями все еще поддерживается.
Квази-ортогональное мультиплексирование может обеспечивать возможность большему количеству пользователей одновременно осуществлять связь на обратной линии связи, например более полно используя дополнительную пропускную способность, обеспечиваемую множеством антенн на базовой станции. В варианте осуществления, для каждой базовой станции определено множество (M) совокупностей последовательностей FH. Каждая совокупность содержит N последовательностей FH или по одной последовательности FH для каждого ортогонального элемента передачи данных, доступного в системе. Тогда для использования в системе доступно общее количество М · N последовательностей FH.
Фиг.3 изображает М совокупностей последовательностей FH, которые могут использоваться для квази-ортогонального мультиплексирования. Первая последовательность FH в каждой совокупности обозначена затемненными прямоугольниками на частотно-временной плоскости для этой совокупности. Остальные N-1 последовательности FH в каждой совокупности могут представлять собой сдвинутые по вертикали и по кругу версии первой последовательности FH в совокупности. N последовательностей FH в каждой совокупности являются ортогональными друг к другу. Таким образом, не наблюдаются взаимные помехи между N передачами данных, посылаемых одновременно N пользователями, которым выделены N последовательностей FH в любой заданной совокупности (предполагая, что нет потери ортогональности из-за других факторов). Последовательности FH в каждой совокупности также могут быть псевдослучайными относительно последовательностей FH для каждой из М-1 других совокупностей. В этом случае передачи данных, посылаемые одновременно с использованием последовательностей FH в любой совокупности, будут воспринимать рандомизированную взаимную помеху от передач данных, посылаемых с использованием последовательностей FH в других М-1 совокупностях. М совокупностей из N последовательностей FH могут генерироваться различными способами.
В одном варианте осуществления, N последовательностей FH для каждой совокупности получают на основании кода псевдослучайных чисел (ПСЧ), выделенного для этой совокупности. Например, могут использоваться короткие 15-разрядные коды ПСЧ, определяемые IS-95 и IS-2000. Код ПСЧ может быть реализован с помощью линейного сдвигового регистра с обратной связью (ЛСРОС). Для каждого периода скачкообразного изменения частоты ЛСРОС обновляется, и используется содержание ЛСРОС, чтобы выбирать поддиапазоны для N последовательностей FH в совокупности. Например, двоичное число, соответствующее В наименьшим значащим битам (НЗБ) в ЛСРОС, может быть обозначено как PNl(t), где В=log2(N), l – индекс М совокупностей последовательностей FH, а t – индекс для периода скачкообразного изменения частоты. Тогда N последовательностей FH в совокупности l могут быть определены как:
fl,i(t)=([PNl(t)+i]modN)+1 для l=1…М и i=1…N, (1)
где i – индекс для N последовательностей FH в каждой совокупности; и
fl,i(t) – i-ая последовательность FH в совокупности l.
Выражение +1 в уравнении (1) учитывает схему индексации, которая начинается с ‘1’ вместо ‘0’. Последовательность FH fl,i(t) указывает конкретный поддиапазон (поддиапазоны) для использования в течение каждого периода t скачкообразного изменения частоты.
Для упрощения реализации М кодов FH, используемые для М совокупностей последовательностей FH, могут быть определены так, чтобы они имели различные временные сдвиги общего кода FH. В этом случае каждой совокупности выделяется уникальный временной сдвиг, и код FH для этой совокупности может быть идентифицирован этим выделенным временным сдвигом. Общий код FH может быть обозначен как PN(t), временной сдвиг, выделенный для совокупности l, может быть обозначен как Tl, а двоичное число в ЛСРОС для совокупности l может быть записано как PN(t+ Tl). N последовательностей FH в совокупности l могут быть тогда определены как:
fl,i(t)=([PN(t+ Tl)+i]modN)+1, для l=1…М и i=1…N (2)
В другом варианте осуществления М совокупностей последовательностей FH определяются на основании М различных таблиц отображения по одной таблице для каждой совокупности. Каждая таблица отображения может реализовывать случайную перестановку входного сигнала. Каждая таблица отображения принимает индекс i для i-й последовательности FH в совокупности, связанной с таблицей, и обеспечивает поддиапазон (поддиапазоны) для использования с этой последовательностью FH в каждом периоде t скачкообразного изменения частоты. Каждая таблица отображения может быть определена так, чтобы быть псевдослучайной относительно другой из М-1 таблиц отображения.
М совокупностей из N последовательностей FH также могут определяться и генерироваться другими способами, что также находится в пределах объема изобретения.
Последовательности FH могут быть выделены для пользователей таким способом, чтобы снижать величину взаимных помех внутри ячеек, воспринимаемых всеми пользователями. Для простоты, в последующем описании предполагается, что для каждого пользователя, выбранного для передачи, выделяется один ортогональный элемент передачи данных. Если количество пользователей, выбранных для передачи данных (U), меньше или равно количеству ортогональных элементов передачи данных (или U N), то U пользователям могут быть выделены ортогональные последовательности FH в одной совокупности. Если количество пользователей больше, чем количество ортогональных элементов передачи данных (или U>N), то могут использоваться дополнительные последовательности FH из одной или более других совокупностей. Поскольку последовательности FH из различных совокупностей не являются ортогональными друг к другу и таким образом приводят к интерференции внутри ячеек, в любой данный момент должно использоваться наименьшее количество совокупностей. Минимальное количество совокупностей (L), необходимых для поддержки U пользователей, может быть выражено как

где “ ” обозначает оператор наименьшего целого числа, обеспечивающий целочисленное значение, которое равно или больше, чем x.
Если L совокупностей последовательностей FH используются для U пользователей, то каждый пользователь будет воспринимать взаимные помехи в лучшем случае от L-1 других пользователей в любой данный момент времени и будет ортогонален по меньшей мере к U-(L-1) другим пользователям. Если U намного больше, чем L, что обычно имеет место, то каждый пользователь в любой данный момент воспринимает взаимные помехи от небольшого количества пользователей. Тогда U пользователей можно рассматривать как в некоторой степени ортогональные или “квази-ортогональные” друг с другом.
Фиг.4 изображает блок-схему процесса 400 распределения последовательностей FH пользователям с квази-ортогональным мультиплексированием. Первоначально определяется количество пользователей, выбранных для передачи данных (U) (блок 412). Затем определяется минимальное количество совокупностей последовательностей FH (L), необходимых для поддержки всех выбранных пользователей (блок 414). Если каждому выбранному пользователю выделяется одна последовательность FH и если каждая совокупность содержит N последовательностей FH, то минимальное количество совокупностей может быть определено, как показано в уравнении (3). Затем выбираются L совокупностей последовательностей FH из числа доступных для использования М совокупностей последовательностей FH (блок 416). Затем каждому выбранному пользователю выделяется одна (или, возможно, множество) последовательностей FH из L совокупностей последовательностей FH (блок 418).
U выбранным пользователям могут распределяться последовательности FH из L совокупностей различными способами. В одном варианте осуществления пользователям со сходным качеством принимаемого сигнала выделяются последовательности FH в одной и той же совокупности. Качество принимаемого сигнала может быть определено количественно с помощью измерения отношения сигнала-к-помехе-и-шуму (ОСПШ) или некоторого другого измерения. Для этого варианта осуществления U пользователей могут ранжироваться на основании их отношений ОСПШ, например от самого высокого ОСПШ до самого низкого ОСПШ. Одновременно может обрабатываться один пользователь в последовательном порядке, основанном на ранжировании, и ему может быть выделена последовательность FH из первой совокупности последовательностей FH. Другая совокупность последовательностей FH используется всякий раз, когда выделены все последовательности FH в первой совокупности. Этот вариант осуществления может отображать пользователей со сходными состояниями канала в одну и ту же совокупность последовательностей FH. Например, пользователи, расположенные ближе к базовой станции, могут реализовывать более высокие значения ОСПШ, и им могут быть выделены последовательности FH в одной совокупности. Пользователи, расположенные дальше от базовой станции (или пользователи “на краю сектора”), могут реализовывать более низкие значения ОСПШ, и им могут быть выделены последовательности FH в другой совокупности. Этот вариант осуществления может также облегчать управление мощностью пользователей. Например, пользователи на краю сектора могут создавать более высокие взаимные помехи для пользователей в других секторах, и для них может выполняться управление для осуществления передачи на более низких уровнях мощности.
В другом варианте осуществления пользователям с различными значениями ОСПШ приема выделяются последовательности FH в одной и той же совокупности. Этот вариант осуществления может улучшать характеристики обнаружения для пользователей, осуществляющих передачу одновременно с использованием последовательностей FH в одной и той же совокупности. Еще в одном варианте осуществления пользователи классифицируются на основании их “запасов регулирования”. Запас регулирования представляет собой разность между принимаемым ОСПШ и требуемым ОСПШ для данной скорости передачи и фиксирует избыточное ОСПШ, доступное для этой скорости передачи. Для пользователей с большими запасами регулирования декодирование с большей вероятностью будет выполнено правильно, в отличие от пользователей с более низкими запасами регулирования. Пользователям с различными запасами регулирования могут быть выделены последовательности FH в различных совокупностях, что может улучшить вероятность разделения пользователей. Например, пользовательские передачи с большими запасами регулирования могут обнаруживаться и декодироваться первыми, взаимные помехи, вызываемые этими пользователями, могут оцениваться и компенсироваться, затем могут обнаруживаться и декодироваться следующие пользовательские передачи с более низкими запасами регулирования, и так далее. Еще в одном варианте осуществления, пользователи мультиплексируются на основании их пространственных сигнатур. Пользователи с некоррелированными сигнатурами могут легче селектироваться с использованием пространственной обработки приемного устройства, как описано ниже, даже если эти пользователи могут перекрываться по времени и частоте. Могут быть оценены различные комбинации пространственных сигнатур для различных групп пользователей, чтобы идентифицировать некоррелированные сигнатуры. Пользователи также могут классифицироваться и мультиплексироваться другими способами.
Квази-ортогональное мультиплексирование может использоваться с управлением мощностью или без него. Управление мощностью может быть реализовано различными способами. В одной схеме управления мощностью передаваемая мощность каждого пользователя регулируется таким образом, что принимаемый ОСПШ для пользователя, измеряемый на базовой станции, поддерживается на целевом значении ОСПШ или около него. Целевое значение ОСПШ может, в свою очередь, регулироваться так, чтобы обеспечивать конкретный уровень эффективности, например, частоты появления ошибок в пакетах (ЧПОП), составляющей 1%. Эта схема управления мощностью регулирует величину мощности передачи, используемой для данной передачи данных, таким образом, чтобы взаимная помеха была снижена до минимума в то же время при достижении желательного уровня эффективности. В другой схеме управления мощностью, принимаемое ОСПШ для каждого пользователя поддерживается в пределах диапазона значений ОСПШ. Еще в одной схеме управления мощностью мощность принимаемого сигнала для каждого пользователя поддерживается вблизи целевого значения или в пределах диапазона значений.
Множественный доступ с квази-ортогональным частотным разделением со скачкообразным изменением частоты (FH-QOFDMA) представляет собой схему множественного доступа, которая использует квази-ортогональное мультиплексирование (или М совокупностей из N последовательностей FH), чтобы одновременно поддерживать U пользователей, где U может быть больше, чем N. FH-QOFDMA имеет некоторые преимущества по сравнению с традиционным FH-OFDMA, который использует только одну совокупность из N последовательностей FH для всех пользователей. Для небольшого количества пользователей с U N необходима только одна совокупность последовательностей FH, и FH-QOFDMA вырождается в традиционный FH-OFDMA и становится идентичным ему. Однако FH-OFDMA ограничен только одной совокупностью последовательностей FH и не может обеспечить возможность более полного использования дополнительной пропускной способности, создаваемой в пространственном измерении использованием множества антенн на базовой станции. В противоположность этому, FH-QOFDMA может использовать множество совокупностей последовательностей FH для поддерживания большего количества пользователей для получения преимуществ дополнительной пропускной способности. Хотя U пользователей строго не являются ортогональными друг другу в частотной и временной областях при FH-QOFDMA, когда U>N, могут использоваться различные способы, чтобы смягчить вредные воздействия взаимных помех внутри ячеек, как описано ниже.
Если базовая станция оборудована множеством антенн для приема данных, то передачи данных от U пользователей могут быть разделены с использованием различных методов пространственной обработки приемных устройств. Согласно фиг.1 канал с одним входом и множеством выходов (SIMO) сформирован между терминалом 110a с одной антенной и базовой станцией 120 с множеством антенн. Канал SIMO для терминала 110a может быть охарактеризован вектором hа(k,t) характеристик каналов R × 1 для каждого поддиапазона, который может быть выражен как

где k – индекс для поддиапазона, а ha,i(k,t), для i=1 … R является связью или комплексным коэффициентом усиления канала между одной антенной в терминале 110a и R антеннами на базовой станции 120 для поддиапазона k в периоде t скачкообразного изменения частоты.
Канал с множеством входов и множеством выходов (MIMO) сформирован между терминалом 110u с множеством антенн и базовой станцией 120 с множеством антенн. Канал MIMO для терминала 110u может быть охарактеризован матрицей R×T характеристик каналов Hu(k,t) для каждого поддиапазона, которая может быть выражена как

где hu,j(k,t), для j=1…T является вектором характеристик каналов между антенной j в терминале 110u и R антеннами на базовой станции 120 для поддиапазона k в периоде t скачкообразного изменения частоты. Каждый вектор характеристик каналов hu,j(k,t) содержит R элементов и имеет форму, показанную в уравнении (4).
В общем, каждый терминал может быть оборудован одной или множеством антенн и ему могут быть выделены S поддиапазонов в каждом периоде скачкообразного изменения частоты, где S 1. Каждый терминал тогда может иметь одну совокупность векторов характеристик каналов для каждой антенны, где каждая совокупность векторов содержит S векторов характеристик каналов для S поддиапазонов, выделенных для терминала в течение периода t скачкообразного изменения частоты. Например, если терминалу m выделены S поддиапазонов с индексами от k до k+S-1 в периоде t скачкообразного изменения частоты, то совокупность векторов для каждой антенны j терминала m может содержать S векторов характеристик каналов hm,j(k,t)-hm,j(k+S-1,t) для поддиапазонов от k до k+S-1 соответственно. Эти S векторов характеристик каналов указывают на характеристики каналов между антенной j в терминале m и R антеннами на базовой станции для S поддиапазонов, выделенных для терминала m. Индекс k поддиапазона для терминала m изменяется в каждом периоде скачкообразного изменения частоты и определяется последовательностью FH, выделенной терминалу m.
Векторы характеристик каналов для U терминалов, выбранных для одновременной передачи данных, обычно отличаются друг от друга и могут рассматриваться как “пространственные сигнатуры” для этих U терминалов. Базовая станция может оценивать векторы характеристик каналов для каждого терминала, основываясь на символах пилот-сигналов, принимаемых от терминала, которые могут мультиплексироваться с разделением времени с символами данных, как показано на фиг.2.
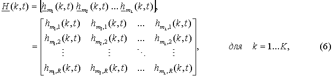
Для простоты, в последующем описании предполагается, что L=U/N, и L терминалов m1–mL с одной антенной выделены для каждой группы поддиапазонов в каждом периоде скачкообразного изменения частоты. Матрица R×L характеристик каналов H(k,t) может быть сформирована для каждого поддиапазона k в каждом периоде t скачкообразного изменения частоты, основываясь на L векторах характеристик каналов для L терминалов, использующих поддиапазон k в периоде t скачкообразного изменения частоты, следующим образом:

где hml(k,t) для l=1…L является вектором характеристик каналов для l-ого терминала, использующего поддиапазон k в периоде t скачкообразного изменения частоты. Матрица H(k,t) характеристик каналов для каждого поддиапазона в каждом периоде скачкообразного изменения частоты зависит от конкретной совокупности терминалов, выделенных для этого поддиапазона и периода скачкообразного изменения частоты.
“Принимаемые” символы на базовой станции для каждого поддиапазона k в каждом периоде n символов каждого периода t скачкообразного изменения частоты могут быть выражены как

где x(k,t,n) – вектор с L “передаваемыми” символами, посылаемыми L терминалами в поддиапазоне k в периоде n символов периода t скачкообразного изменения частоты;
r(k,t,n) – вектор с R принимаемыми символами, полученными через R антенн на базовой станции для поддиапазона k в периоде n символов периода t скачкообразного изменения частоты; и
n(k,t,n) – вектор помех для поддиапазона k в периоде n символов периода t скачкообразного изменения частоты.
Для простоты предполагается, что матрица характеристик каналов H(k,t) является постоянной для всего периода скачкообразного изменения частоты и не зависит от периода n символов. Также для простоты можно предположить, что помехи являются аддитивным белым гауссовым шумом (АБГШ) с нулевым вектором средних значений и ковариационной матрицей nn= 2·I, где 2 – дисперсия помех, а I – единичная матрица.
K векторов передаваемых символов, x(k,t,n) для k=1…K, формируются для K поддиапазонов в каждом периоде символов каждого периода скачкообразного изменения частоты. Поскольку различные совокупности терминалов могут быть назначены для различных поддиапазонов в данном периоде скачкообразного изменения частоты, как определено их последовательностями FH, K векторов передаваемых символов x(k,t,n) в течение каждого периода символов каждого периода скачкообразного изменения частоты могут быть сформированы посредством различных совокупностей терминалов. Каждый вектор x(k,t,n) содержит L передаваемых символов, посылаемых L терминалами, использующими поддиапазон k в периоде n символов периода t скачкообразного изменения частоты. В общем, каждый передаваемый символ может быть символом данных, символом пилот-сигналов или “нулевым” символом (который является сигнальным значением нуля).
K векторов принимаемых символов, r(k,t,n) для k=1…K, получают для K поддиапазонов в каждом периоде символов каждого периода скачкообразного изменения частоты. Каждый вектор r(k,t,n) содержит R принимаемых символов, полученных через R антенн на базовой станции для одного поддиапазона в одном периоде символов. Для данного поддиапазона k, периода n символов и периода t скачкообразного изменения частоты j-й передаваемый символ в векторе x(k,t,n) умножается на j-й вектор/столбец матрицы характеристик каналов H(k,t) для формирования вектора rj(k,t,n). L передаваемых символов в x(k,t,n), которые посылаются L различными терминалами, умножаются на L столбцов H(k,t) для формирования L векторов r1(k,t,n)-rL(k,t,n) по одному вектору rj(k,t,n) для каждого терминала. Вектор r(k,t,n), полученный базовой станцией, состоит из L векторов r1(k,t,n)-rL(k,t,n) или

Каждый принимаемый символ в r(k,t,n), таким образом, содержит компонент каждого из L передаваемых символов в x(k,t,n). L передаваемых символов, посылаемых одновременно L терминалами в каждом поддиапазоне k в каждом периоде n символов каждого периода t скачкообразного изменения частоты, таким образом создают взаимные помехи друг другу на базовой станции.
Базовая станция может использовать различные методы пространственной обработки приемных устройств для разделения передач данных, посылаемых одновременно L терминалами в каждом поддиапазоне в каждом периоде символов. Эти методы пространственной обработки приемных устройств включают в себя метод обращения в нуль незначащих коэффициентов (ОННК), метод минимальной среднеквадратической ошибки (МСКО), метод объединения максимальных отношений (ОМО) и так далее.
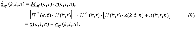
Для метода обращения в нуль незначащих коэффициентов базовая станция может выводить матрицу пространственной фильтрации Мzf(k,t) для каждого поддиапазона k в каждом периоде t скачкообразного изменения частоты следующим образом:

где символ “H” обозначает сопряженное транспонирование. Базовая станция оценивает матрицу характеристик каналов H(k,t) для каждого поддиапазона, например, основываясь на пилот-сигналах, передаваемых терминалами. Затем базовая станция использует оцененную матрицу характеристик каналов (k,t), чтобы вывести матрицу пространственной фильтрации. Для ясности, в последующем описании предполагается отсутствие погрешности оценки, так что (k,t)=H(k,t). Поскольку H(k,t) полагается постоянной в течение всего периода t скачкообразного изменения частоты, одна и та же матрица пространственной фильтрации Мzf(k,t) может использоваться для всех периодов символов в периоде t скачкообразного изменения частоты.
Базовая станция может выполнять обработку обращения в нуль незначащих коэффициентов для каждого поддиапазона k в каждом периоде n символов каждого периода t скачкообразного изменения частоты следующим образом:

где – вектор с L “выявленными” символами данных для поддиапазона k в периоде n символов периода t скачкообразного изменения частоты; и
nzf(k,t,n) – помехи после обработки обращения в нуль незначащих коэффициентов.
Выявленный символ данных представляет собой оценку символа данных, посылаемого терминалом.
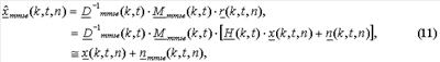
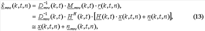
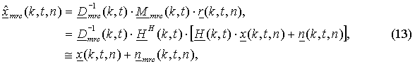
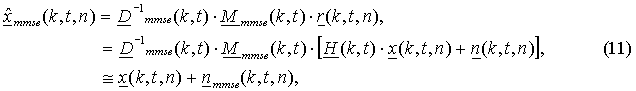
Для метода МСКО базовая станция может выводить матрицу пространственной фильтрации Мmmse(k,t) для каждого поддиапазона k в каждом периоде скачкообразного изменения частоты t следующим образом:

Если ковариационная матрица nn помех известна, то эта ковариационная матрица может использоваться в уравнении (10) вместо 2·I.
Базовая станция может выполнять обработку МСКО для каждого поддиапазона k в каждом периоде n символов каждого периода t скачкообразного изменения частоты следующим образом:

где Dmmse(k,t) – диагональный вектор, содержащий диагональные элементы матрицы и
nmmse(k,t,n) – помехи после обработки МСКО.
Оценки символов из пространственной фильтрации Мmmse(k,t) являются ненормализованными оценками передаваемых символов в х(k,t,n). Перемножение с масштабирующей матрицей D-1 mmse(k,t) обеспечивает нормализованные оценки передаваемых символов.
Для метода ОМО базовая станция может выводить матрицу пространственной фильтрации Мmrc(k,t) для каждого поддиапазона k в каждом периоде t скачкообразного изменения частоты следующим образом:
Базовая станция может осуществлять обработку ОМО для каждого поддиапазона k в каждом периоде n символов каждого периода t скачкообразного изменения частоты следующим образом:

где Dmrc(k,t) – диагональный вектор, содержащий диагональные элементы матрицы и
nmrc(k,t,n) – помехи после обработки ОМО.
В общем, различные совокупности терминалов могут быть назначены для различных групп поддиапазонов в данном периоде скачкообразного изменения частоты, как определено их последовательностями FH. N совокупностей терминалов для N групп поддиапазонов в данном периоде скачкообразного изменения частоты могут содержать одинаковые или различные количества терминалов. Кроме того, каждая совокупность терминалов может содержать терминалы с одной антенной, терминалы с множеством антенн или комбинацию обоих. Различные совокупности терминалов (которые могут содержать одинаковые или различные количества терминалов) также могут назначаться для данного поддиапазона в различных периодах символов скачкообразного изменения частоты. Матрица характеристик каналов H(k,t) для каждого поддиапазона в каждом периоде скачкообразного изменения частоты определяется совокупностью терминалов, использующих этот поддиапазон в том же периоде скачкообразного изменения частоты, и содержит один или более векторов/столбцов для каждого терминала, осуществляющего передачу в этом поддиапазоне в том же периоде скачкообразного изменения частоты. Матрица H(k,t) может содержать множество векторов для терминала, использующего множество антенн, чтобы осуществлять передачу различных символов данных на базовую станцию.
Как показано выше, многочисленные передачи данных, посылаемые одновременно от терминалов в количестве до L на каждом поддиапазоне k в каждом периоде n символов каждого периода t скачкообразного изменения частоты, могут разделяться базовой станцией на основании их некоррелированных пространственных сигнатур, которые задаются их векторами характеристик каналов hml(k,t). Это обеспечивает возможность для FH-QOFDMA получать более высокую пропускную способность, когда количество антенн, используемых для приема данных, увеличивается. Кроме того, FH-QOFDMA снижает величину взаимных помех внутри ячеек, наблюдаемых в каждом поддиапазоне в каждом периоде скачкообразного изменения частоты для обеспечения лучшего использования дополнительной пропускной способности, создаваемой в пространственном измерении.
Фиг.5 изображает блок-схему варианта осуществления терминала 110a с одной антенной и терминала 110u с множеством антенн. В терминале с одной антенной 110a кодер/модулятор 514a принимает данные трафика/пакетированные данные (обозначенные как {da}) от источника 512a данных, и, возможно, служебные данные/данные сигнализации от контроллера 540a, обрабатывает (например, кодирует, перемежает и посимвольно отображает) данные, основываясь на одной или более схем кодирования и модуляции, выбранных для терминала 110a, и обеспечивает символы данных (обозначенные как {ха}) для терминала 110a. Каждый символ данных представляет собой символ модуляции, который является комплексным значением для точки в совокупности сигналов для схемы модуляции (например, М-ФМП (многоуровневая фазовая манипуляция) или М-КАМ (многоуровневая квадратурная амплитудная модуляция)).
Устройство 520a отображения символов на поддиапазоны принимает символы данных и символы пилот-сигналов и обеспечивает эти символы для надлежащего поддиапазона (поддиапазонов) в каждом периоде символов каждого периода скачкообразного изменения частоты, как определено управлением FH от генератора 522a FH. Генератор 522a FH может обеспечивать управление FH на основе последовательности FH или канала трафика, выделенного для терминала 110a. Генератор 522a FH может быть реализован с помощью таблиц преобразования, генераторов ПСЧ и так далее. Устройство 520a отображения также обеспечивает нулевой символ для каждого поддиапазона, не используемого для передачи пилот-сигналов или данных. В течение каждого периода символов устройство 520a отображения выводит K передаваемых символов для K суммарных поддиапазонов, где каждый передаваемый символ может быть символом данных, символом пилот-сигналов или нулевым символом.
Модулятор 530a OFDM принимает K передаваемых символов в течение каждого периода символов и генерирует соответствующий символ OFDM в течение этого периода символов. Модулятор 530a OFDM включает в себя модуль 532 обратного быстрого преобразования Фурье (ОБПФ) и генератор 534 циклических префиксов. В течение каждого периода символов модуль 532 ОБПФ преобразует K передаваемых символов во временную область с использованием K-точечного ОБПФ, чтобы получить “преобразованный” символ, который содержит K выборок временной области. Каждая выборка представляет собой комплексное значение, подлежащее передаче в одном периоде выборок. Генератор 534 циклических префиксов повторяет часть каждого преобразованного символа, чтобы сформировать символ OFDM, который содержит N+C выборок, где C – количество повторяемых выборок. Повторяемая часть часто называется циклическим префиксом и используется для противодействия МСИ, вызываемой частотно-селективным замиранием. Период символов OFDM (или просто период символов) представляет собой продолжительность одного символа OFDM и равен N+C периодам выборок. Модулятор 530a OFDM выдает поток символов OFDM в модуль 536a передатчика (ПРД). Модуль 536a передатчика обрабатывает (например, преобразует в аналоговую форму, фильтрует, усиливает и преобразует с повышением частоты) поток символов OFDM для генерации модулированного сигнала, который передается от антенны 538a.
В терминале 110u с множеством антенн кодер/модулятор 514u принимает данные трафика/пакетированные данные (обозначенные как {du}) от источника 512u данных, и, возможно, служебные данные/данные сигнализации от контроллера 540u, обрабатывает данные, основываясь на одной или более схем кодирования и модуляции, выбранных для терминала 110u, и обеспечивает символы данных (обозначенные как {xu}) для терминала 110u. Демультиплексор 516u демультиплексирует символы данных в T потоков для T антенн в терминале 110u, по одному потоку символов данных {xu,j} для каждой антенны, и выдает каждый поток символов данных на соответствующее устройство 520u отображения символов на поддиапазоны. Каждое устройство 520u отображения принимает символы данных и символы пилот-сигналов для своей антенны и обеспечивает эти символы для надлежащего поддиапазона (поддиапазонов) в каждом периоде символов каждого периода скачкообразного изменения частоты, как определено управлением FH, обеспечиваемым генератором 522u FH на основе последовательности FH или канала трафика, выделенного для терминала 110u. От T антенн в каждом периоде символов в каждом поддиапазоне, выделенном для терминала 110u, может быть послано до T различных символов данных или символов пилот-сигналов. Каждое устройство 520u отображения также обеспечивает нулевой символ для каждого поддиапазона, не используемого для передачи пилот-сигналов или данных, и в течение каждого периода символов выводит K передаваемых символов для K суммарных поддиапазонов на соответствующий модулятор 530u OFDM.
Каждый модулятор 530u OFDM принимает K передаваемых символов в течение каждого периода символов, выполняет модуляцию OFDM на K передаваемых символах и генерирует соответствующий символ OFDM в течение периода символов. T модуляторов 530ua-530ut OFDM выдают T потоков символов OFDM на T модулей 536ua-536ut передатчиков соответственно. Каждый модуль 536u передатчика обрабатывает свой поток символов OFDM и генерирует соответствующий модулированный сигнал. T модулированных сигналов от модулей 536ua-536ut передатчиков передаются от T антенн 538ua-538ut, соответственно.
Контроллеры 540a и 540u управляют функционированием в терминалах 110a и 110u соответственно. Модули 542a и 542u памяти обеспечивают хранение кодов программ и данных, используемых контроллерами 540a и 540u соответственно.
Фиг.6 изображает блок-схему варианта осуществления базовой станции 120. Модулированные сигналы, передаваемые U терминалами, выбранными для передачи данных, принимаются R антеннами 612a-612r, и каждая антенна выдает принятый сигнал в соответствующий модуль 614 приемника (ПРМ). Каждый модуль 614 приемника обрабатывает (например, фильтрует, усиливает, преобразует с понижением частоты и преобразует в цифровую форму) свой принимаемый сигнал и выдает поток входных выборок на соответствующий демодулятор 620 OFDM. Каждый демодулятор 620 OFDM обрабатывает свои входные выборки и обеспечивает принятые символы. Каждый демодулятор 620 OFDM обычно включает в себя модуль удаления циклических префиксов и модуль быстрого преобразования Фурье (БПФ). Модуль удаления циклических префиксов удаляет циклический префикс в каждом принимаемом символе OFDM, чтобы получить принятый преобразованный символ. Модуль БПФ преобразует каждый принимаемый преобразованный символ в частотную область с помощью K-точечного БПФ, чтобы получить K принимаемых символов для K поддиапазонов. В течение каждого периода символов R демодуляторов 620a-620r OFDM обеспечивают R совокупностей из K принимаемых символов для R антенн для приемного (ПРМ) пространственного процессора 630.
Приемный (ПРМ) пространственный процессор 630 включает в себя K пространственных процессоров 632a-632k поддиапазонов для K поддиапазонов. В ПРМ пространственном процессоре 630 принимаемые символы от демодуляторов 620a-620r OFDM в течение каждого периода символов демультиплексируются в K векторов принимаемых символов, r(k,t,n) для k=1…K, которые выдаются на K пространственных процессоров 632. Каждый пространственный процессор 632 также принимает матрицу пространственной фильтрации М(k,t) для своего поддиапазона, осуществляет пространственную обработку приемного устройства на r(k,t,n) с помощью М(k,t), как описано выше, и обеспечивает вектор продетектированных символов данных. Для каждого периода символов, K пространственных процессоров 632-632k выдают K совокупностей продетектировавших символов данных в K векторах для K поддиапазонов на устройства 640 обратного отображения поддиапазонов в символы.
Устройство 640 обратного отображения получает K совокупностей продетектированных символов данных в течение каждого периода символов и обеспечивает полученные символы данных для каждого терминала m в потоке { m} для этого терминала, где m {a…u}. Поддиапазоны, используемые каждым терминалом, определяются управлением FH, генерируемым генератором 642 FH на основе последовательности FH или канала трафика, выделенного для этого терминала. Демодулятор/декодер 650 обрабатывает (например, выполняет обратное отображение, обратное перемежение и декодирование символов) продетектированные символы данных { m} для каждого терминала и обеспечивает декодированные данные { m} для терминала.
Устройство 634 оценки каналов получает принятые символы пилот-сигналов от демодуляторов 620a-620r OFDM и выводит вектор характеристик каналов для каждой антенны каждого терминала, осуществляющего передачу на базовую станцию 120, на основе принятых символов пилот-сигналов для терминала. Модуль 636 вычисления матрицы пространственной фильтрации формирует матрицу H(k,t) характеристик каналов для каждого поддиапазона в каждом периоде скачкообразного изменения частоты, основываясь на векторах характеристик каналов всех терминалов, использующих этот поддиапазон и период скачкообразного изменения частоты. Затем модуль 636 вычисления выводит матрицу М(k,t) пространственной фильтрации для каждого поддиапазона каждого периода скачкообразного изменения частоты, основываясь на матрице H(k,t) характеристик каналов для этого поддиапазона и периода скачкообразного изменения частоты и дополнительно используя метод обращения в нуль незначащих коэффициентов, МСКО или ОМО, как описано выше. Модуль 636 вычисления обеспечивает K матриц пространственной фильтрации для K поддиапазонов в каждом периоде скачкообразного изменения частоты для K пространственных процессоров 632a-632k поддиапазонов.
Контроллер 660 управляет функционированием на базовой станции 120. Модуль 662 памяти обеспечивает хранение кодов и данных программ, используемых контроллером 660.
Для ясности, квази-ортогональное мультиплексирование было описано конкретно для обратной линии связи системы OFDMA со скачкообразным изменением частоты. Квази-ортогональное мультиплексирование также можно использовать для других систем связи с множеством несущих, причем множество поддиапазонов могут быть обеспечены некоторыми средствами иными, чем OFDM.
Квази-ортогональное мультиплексирование также можно использовать для прямой линии связи. Например, терминал, оборудованный множеством антенн, может принимать данные, передаваемые от множества базовых станций (например, по одному символу данных от каждой из множества базовых станций в каждом поддиапазоне в каждом периоде символов). Каждая базовая станция может осуществлять передачу на терминал с использованием отличающейся последовательности FH, которую базовая станция выделила терминалу. Последовательности FH, используемые различными базовыми станциями для терминала, могут быть не ортогональными друг к другу. Множество базовых станций могут передавать на терминал множество символов данных в одном и том же поддиапазоне в одном и том же периоде символов всякий раз в случаях столкновения этих последовательностей FH. Терминал может использовать пространственную обработку приемника для разделения множества символов данных, посылаемых одновременно множеством базовых станций в одном и том же поддиапазоне в одном и том же периоде символов.
Описанные методы квази-ортогонального мультиплексирования могут быть реализованы с помощью различных средств. Например, эти методы могут быть реализованы в аппаратном обеспечении, программном обеспечении или их комбинации. Для реализации в аппаратном обеспечении, устройства обработки данных, используемые для квази-ортогонального мультиплексирования в передающем объекте (например, как показано на фиг.5), могут быть реализованы на одной или более интегральных схемах прикладной ориентации (ИСПО), процессорах цифровой обработки сигналов (ПЦОС), устройствах цифровой обработки сигналов (УЦОС), программируемых логических устройствах (ПЛУ), программируемых пользователем вентильных матрицах (ППВМ), процессорах, контроллерах, микроконтроллерах, микропроцессорах, других электронных модулях, предназначенных для выполнения описанных функций или их комбинации. Устройства обработки данных, используемые для квази-ортогонального мультиплексирования в приемном объекте (например, как показано на фиг.6), также могут быть реализованы на одной или более ИСПО, ПЦОС и так далее.
Для реализации в программном обеспечении методы квази-ортогонального мультиплексирования могут быть реализованы с помощью модулей (например, процедур, функций и так далее), которые осуществляют описанные функции. Программные коды могут сохраняться в модуле памяти (например, модуле 542a или 542u памяти на фиг.5 или модуле 662 памяти на фиг.6) и выполняться процессором (например, контроллером 540a или 540u на фиг.5 или контроллером 660 на фиг.6). Модуль памяти может быть реализован в процессоре или внешним образом относительно процессора.
Предыдущее описание раскрытых вариантов осуществления обеспечено для того, чтобы дать возможность специалисту в данной области техники выполнять или использовать настоящее изобретение. Различные модификации к этим вариантам осуществления будут очевидны специалистам в данной области техники, а общие принципы, определенные в этом описании, могут применяться к другим вариантам осуществления, без отклонения от объема или сущности данного изобретения. Таким образом, настоящее изобретение не предназначено для ограничения представленными в описании вариантами осуществления, а должно соответствовать самому широкому объему, совместимому с раскрытыми принципами и новыми признаками.
Формула изобретения
1. Способ распределения частотных поддиапазонов в системе связи, использующей мультиплексирование с ортогональным частотным разделением каналов (МОЧРК), содержащий определение L совокупностей каналов информационного обмена, подлежащих использованию для U терминалов, выбранных для передачи данных, где каждая из величин L и U равна единице или больше, причем каждая совокупность включает в себя некоторое количество каналов информационного обмена, которые являются ортогональными друг к другу, и в котором каналы информационного обмена в каждой совокупности не являются ортогональными с каналами информационного обмена в каждой из других L-1 совокупностей, и выделение U терминалам каналов информационного обмена в L совокупностях, в котором каждый канал информационного обмена связан с одним или больше частотными поддиапазонами, подлежащими использованию для передачи данных в каждом интервале передачи, и в котором передачи данных для U терминалов посылаются с использованием каналов информационного обмена, выделенных для этих U терминалов.
2. Способ по п.1, в котором система использует скачкообразную перестройку частоты (СПЧ), каждый канал информационного обмена в каждой совокупности связан с соответствующей последовательностью СПЧ, которая псевдослучайно выбирает различные частотные поддиапазоны в различных интервалах передачи для этого канала информационного обмена.
3. Способ по п.1, в котором каналы информационного обмена в каждой совокупности используют частотные поддиапазоны, которые являются псевдослучайными относительно частотных поддиапазонов, используемых каналами информационного обмена в каждой из L-1 других совокупностей.
4. Способ по п.1, в котором L представляет собой минимальное количество совокупностей для поддерживания U терминалов.
5. Способ по п.1, в котором каждая совокупность включает в себя N каналов информационного обмена, где N больше, чем один, а L, умноженное на N, равно или больше, чем U.
6. Способ по п.5, в котором выбирается одна совокупность каналов информационного обмена, если U меньше или равно N.
7. Способ по п.5, в котором , где обозначает оператор наименьшего целого числа, обеспечивающий целочисленное значение, равное или больше, чем х.
8. Способ по п.1, дополнительно содержащий упорядочивание U терминалов в L групп терминалов, по одной группе терминалов для каждой из L совокупностей каналов информационного обмена, в котором каждой группе терминалов выделяются каналы информационного обмена из соответствующей совокупности каналов информационного обмена.
9. Способ по п.8, в котором U терминалов упорядочиваются в L групп на основании качеств принимаемого сигнала, достигаемых для U терминалов.
10. Способ по п.9, в котором каждая группа включает в себя терминалы, имеющие подобные качества принимаемого сигнала.
11. Способ по п.8, в котором U терминалов упорядочиваются в L групп на основании запасов управления, достигаемых U терминалами, в котором запас управления для терминала является показательным для разности между качеством принимаемого сигнала, достигаемым терминалом, и требуемым качеством сигнала для терминала.
12. Способ по п.8, в котором U терминалов упорядочиваются в L групп на основании пространственных сигнатур U терминалов, в котором пространственная сигнатура для терминала определена характеристикой канала для терминала.
13. Способ по п.2, в котором L совокупностей каналов информационного обмена связаны с L кодами псевдослучайных чисел (ПСЧ), по одному коду ПСЧ для каждой совокупности каналов информационного обмена, и в котором последовательности СПЧ для каналов информационного обмена в каждой совокупности генерируются на основе кода ПСЧ для совокупности.
14. Способ по п.13, в котором L кодов ПСЧ для L совокупностей каналов информационного обмена представляют собой различные сдвиги во времени общего кода ПСЧ.
15. Способ по п.1, в котором частотные поддиапазоны, подлежащие использованию для каждой совокупности каналов информационного обмена, определяются на основании соответствующей таблицы отображения.
16. Устройство распределения частотных поддиапазонов в системе связи, использующее мультиплексирование с ортогональным частотным разделением каналов (МОЧРК), содержащее контроллер, действующий для определения L совокупностей каналов информационного обмена, подлежащих использованию для U терминалов, выбранных для передачи данных, где каждая из величин L и U равна единице или больше, в котором каждая совокупность включает в себя множество каналов информационного обмена, которые являются ортогональными друг к другу, и каналы информационного обмена в каждой совокупности не являются ортогональными с каналами информационного обмена в каждой из L-1 других совокупностей, и выделения U терминалам каналов информационного обмена в L совокупностях, в котором каждый канал информационного обмена связан с одним или больше частотными поддиапазонами, подлежащими использованию для передачи данных в каждом интервале передачи, и в котором передачи данных для U терминалов посылаются с использованием каналов информационного обмена, выделенных для U терминалов.
17. Устройство по п.16, в котором система использует скачкообразное изменение частоты (СПЧ), и в котором каждый канал информационного обмена в каждой совокупности связан с соответствующей последовательностью СПЧ, которая псевдослучайно выбирает различные частотные поддиапазоны в различных интервалах передачи для канала информационного обмена.
18. Устройство распределения частотных поддиапазонов в системе связи, использующей мультиплексирование с ортогональным частотным разделением каналов (МОЧРК), содержащее средство для определения L совокупностей каналов информационного обмена, подлежащих использованию для U терминалов, выбранных для передачи данных, каждая из величин L и U равна единице или больше, в котором каждая совокупность включает в себя множество каналов информационного обмена, которые являются ортогональными друг к другу, и в котором каналы информационного обмена в каждой совокупности не являются ортогональными с каналами информационного обмена в каждой из L-1 других совокупностей, и средство для выделения U терминалам каналов информационного обмена в L совокупностях, в котором каждый канал информационного обмена связан с одним или больше частотными поддиапазонами, подлежащими использованию для передачи данных в каждом интервале передачи, и в котором передачи данных для U терминалов посылаются с использованием каналов информационного обмена, выделенных для U терминалов.
19. Устройство по п.18, в котором система использует скачкообразную перестройку частоты (СПЧ), и в котором каждый канал информационного обмена в каждой совокупности связан с соответствующей последовательностью СПЧ, которая псевдослучайно выбирает различные частотные поддиапазоны в различных интервалах передачи для канала информационного обмена.
20. Способ передачи данных в системе связи, использующей мультиплексирование с ортогональным частотным разделением каналов (МОЧРК), содержащий получение канала информационного обмена, подлежащего использованию для передачи данных, в котором канал информационного обмена выбирается из числа L совокупностей каналов информационного обмена, где L составляет один или больше, в котором каждая совокупность включает в себя множество каналов информационного обмена, которые являются ортогональными друг к другу, в котором каналы информационного обмена в каждой совокупности не являются ортогональными с каналами информационного обмена в каждой из L-1 других совокупностей, и в котором канал информационного обмена связан с одним или больше частотными поддиапазонами, подлежащими использованию для передачи данных в каждом интервале передачи, и отображение символов данных на один или больше частотных поддиапазонов, принадлежащих каналу информационного обмена.
21. Способ по п.20, в котором система использует скачкообразную перестройку частоты (СПЧ), и в котором каждый канал информационного обмена в каждой совокупности связан с соответствующей последовательностью СПЧ, которая псевдослучайно выбирает различные частотные поддиапазоны в различных интервалах передачи для канала информационного обмена.
22. Способ по п.20, в котором каждая совокупность включает в себя N каналов информационного обмена, и в котором L представляет собой минимальное количество совокупностей для поддержки U терминалов, выбранных для передачи данных, где N больше, чем один, U составляет один или больше, a L, умноженное на N, равно или больше, чем U.
23. Способ по п.20, дополнительно содержащий отображение символов контрольных сигналов на один или больше частотных поддиапазонов, принадлежащих каналу информационного обмена, в котором символы данных и контрольных сигналов передаются с использованием мультиплексирования с разделением времени (МРВ).
24. Способ по п.23, в котором символы данных и контрольных сигналов передаются от одной антенны.
25. Способ по п.20, дополнительно содержащий демультиплексирование символов данных на множество потоков для множества антенн, и в котором символы данных для каждого потока отображаются на один или больше частотные поддиапазоны, принадлежащие каналу информационного обмена, и дополнительно передаются от связанной антенны.
26. Устройство передачи данных в системе связи, использующей мультиплексирование с ортогональным частотным разделением каналов (МОЧРК), содержащее контроллер, действующий для получения канала информационного обмена, подлежащего использованию для передачи данных, в котором канал информационного обмена выбирается из числа L совокупностей каналов информационного обмена, где L составляет один или больше, в котором каждая совокупность включает в себя множество каналов информационного обмена, которые являются ортогональными друг к другу, в котором каналы информационного обмена в каждой совокупности не являются ортогональными с каналами информационного обмена в каждой из L-1 других совокупностей, и в котором канал информационного обмена связан с одним или больше частотными поддиапазонами, подлежащими использованию для передачи данных в каждом интервале передачи, и модуль отображения, действующий для отображения символов данных на один или больше частотные поддиапазоны, принадлежащие каналу информационного обмена.
27. Терминал, содержащий устройство по п.26.
28. Базовая станция, содержащая устройство по п.26.
29. Устройство передачи данных в системе связи, использующей мультиплексирование с ортогональным частотным разделением каналов (МОЧРК), содержащее средство для получения канала информационного обмена, подлежащего использованию для передачи данных, в котором канал информационного обмена выбирается из числа L совокупностей каналов информационного обмена, где L составляет один или больше, в котором каждая совокупность включает в себя множество каналов информационного обмена, которые являются ортогональными друг к другу, в котором каналы информационного обмена в каждой совокупности не являются ортогональными с каналами информационного обмена в каждой из L-1 других совокупностей, и в котором канал информационного обмена связан с одним или больше частотными поддиапазонами, подлежащими использованию для передачи данных в каждом интервале передачи, и средство для отображения символов модуляции данных на один или больше частотные поддиапазоны, принадлежащие каналу информационного обмена.
30. Способ приема данных в системе связи, использующей мультиплексирование с ортогональным частотным разделением каналов (МОЧРК), содержащий определение каналов информационного обмена, выделенных для U терминалов, выбранных для передачи данных, в котором канал информационного обмена выделяется для каждого терминала и выбирается из числа L совокупностей каналов информационного обмена, где каждая из величин L и U равна единице или больше, в котором каждая совокупность включает в себя множество каналов информационного обмена, которые являются ортогональными друг к другу, и в котором каналы информационного обмена в каждой совокупности не являются ортогональными с каналами информационного обмена в каждой из L-1 других совокупностей, и обработку передач данных, принимаемых на каналах информационного обмена, выделенных для U терминалов.
31. Способ по п.30, в котором система использует скачкообразную перестройку частоты (СПЧ), и в котором каждый канал информационного обмена в каждой совокупности связан с соответствующей последовательностью СПЧ, которая псевдослучайно выбирает различные частотные поддиапазоны в различных интервалах передачи для канала информационного обмена.
32. Способ по п.30, в котором каждая совокупность включает в себя N каналов информационного обмена, где N больше, чем один, a L, умноженное на N, равно или больше, чем U, и в котором L представляет собой минимальное количество совокупностей для поддерживания U терминалов.
33. Способ по п.30, в котором обработка передач данных содержит получение группы принимаемых символов для каждого из К частотных поддиапазонов, используемых для передачи данных, причем каждая группа включает в себя R принимаемых символов для R антенн, где каждая величина из R и К больше, чем единица, выполнение пространственной обработки на группе принимаемых символов для каждого частотного поддиапазона с целью получения группы выявляемых символов данных для частотного поддиапазона и демультиплексирование К групп выявляемых символов данных для К частотных поддиапазонов в каждом периоде символов с целью получения выявляемых символов данных для каждого из U терминалов.
34. Способ по п.33, дополнительно содержащий получение оценки каналов для каждого из U терминалов, основываясь на символах контрольных сигналов, принимаемых от терминала, и в котором пространственная обработка выполняется на основании оценок каналов для этих U терминалов.
35. Способ по п.33, дополнительно содержащий формирование матрицы характеристик каналов для каждого из К частотных поддиапазонов, на основании оценок каналов для группы из одного или больше терминалов, использующих частотный поддиапазон, и выведение матрицы пространственной фильтрации для каждого из К частотных поддиапазонов, основываясь на матрице характеристик каналов для частотного поддиапазона, и в котором пространственная обработка для каждого частотного поддиапазона выполняется с помощью матрицы пространственной фильтрации для частотного поддиапазона.
36. Способ по п.35, в котором матрица пространственной фильтрации для каждого частотного поддиапазона дополнительно выводится на основании технического приема обращения в нуль незначащих коэффициентов (ОННК).
37. Способ по п.35, в котором матрица пространственной фильтрации для каждого частотного поддиапазона дополнительно выводится на основании технического приема минимальной среднеквадратичной ошибки (МСКО).
38. Способ по п.35, в котором матрица пространственной фильтрации для каждого частотного поддиапазона дополнительно выводится на основании технического приема объединения максимальных отношений (ОМО).
39. Устройство приема данных в системе связи, использующей мультиплексирование с ортогональным частотным разделением каналов (МОЧРК), содержащее контроллер, действующий для определения каналов информационного обмена, выделяемых для U терминалов, выбранных для передачи данных, в котором канал информационного обмена выделяется для каждого терминала и выбирается из числа L совокупностей каналов информационного обмена, где каждая из величин L и U равна единице или больше, в котором каждая совокупность включает в себя множество каналов информационного обмена, которые являются ортогональными друг к другу, и в котором каналы информационного обмена в каждой совокупности не являются ортогональными с каналами информационного обмена в каждой из L-1 других совокупностей, и устройство обработки данных, действующее для обработки передач данных, принимаемых на каналах информационного обмена, выделенных для U терминалов.
40. Устройство по п.39, в котором устройство обработки данных содержит пространственный процессор, действующий для получения группы принимаемых символов для каждого из К частотных поддиапазонов, используемых для передачи данных, и для выполнения пространственной обработки на группе принимаемых символов для каждого частотного поддиапазона, чтобы получить группу выявляемых символов данных для этого частотного поддиапазона, в котором каждая группа принимаемых символов включает в себя R принимаемых символов для R антенн, где каждая величина из R и К больше единицы, и демультиплексор, действующий для демультиплексирования К групп выявляемых символов данных для К частотных поддиапазонов в каждом периоде символов, с целью получения выявляемых символов данных для каждого из U терминалов.
41. Устройство по п.40, дополнительно содержащее устройство оценки каналов, действующее для формирования матрицы характеристик каналов для каждого из К частотных поддиапазонов, основываясь на оценках каналов для группы из одного или больше терминалов, использующих этот частотный поддиапазон, и модуль вычисления, действующий для выведения матрицы пространственной фильтрации для каждого из К частотных поддиапазонов, основываясь на матрице характеристик каналов для частотного поддиапазона, и в котором пространственный процессор действует для выполнения пространственной обработки на группе принимаемых символов для каждого частотного поддиапазона с помощью матрицы пространственной фильтрации для этого частотного поддиапазона.
42. Базовая станция, содержащая устройство по п.39.
43. Терминал, содержащий устройство по п.39.
44. Устройство приема данных в системе связи, использующей мультиплексирование с ортогональным частотным разделением каналов (МОЧРК), содержащее средство для определения каналов информационного обмена, выделяемых для U терминалов, выбранных для передачи данных, в котором канал информационного обмена выделяется для каждого терминала и выбирается из числа L совокупностей каналов информационного обмена, где каждая из величин L и U равна единице или больше, в котором каждая совокупность включает в себя множество каналов информационного обмена, которые являются ортогональными друг к другу, и в котором каналы информационного обмена в каждой совокупности не являются ортогональными с каналами информационного обмена в каждой из L-1 других совокупностей, и средство для обработки передач данных, принимаемых на каналах информационного обмена, выделенных для этих U терминалов.
45. Устройство по п.44, в котором средство для обработки содержит средство для получения группы принимаемых символов для каждого из К частотных поддиапазонов, используемых для передачи данных, причем каждая группа включает в себя R принимаемых символов для R антенн, где каждая из величин R и К больше, чем единица, средство для выполнения пространственной обработки на группе принимаемых символов для каждого частотного поддиапазона с целью получения группы выявляемых символов данных для частотного поддиапазона, и средство для демультиплексирования К групп выявляемых символов данных для К частотных поддиапазонов в каждом периоде символов с целью получения выявляемых символов данных для каждого из этих U терминалов.
46. Устройство по п.45, дополнительно содержащее средство для формирования матрицы характеристик каналов для каждого из К частотных поддиапазонов, основываясь на оценках каналов для группы из одного или больше терминалов, использующих этот частотный поддиапазон, и средство для выведения матрицы пространственной фильтрации для каждого из К частотных поддиапазонов, основываясь на матрице характеристик каналов для этого частотного поддиапазона, и в котором пространственная обработка для каждого частотного поддиапазона выполняется с помощью матрицы пространственной фильтрации для этого частотного поддиапазона.
РИСУНКИ
|
|