|
|
(21), (22) Заявка: 2007129457/03, 31.07.2007
(24) Дата начала отсчета срока действия патента:
31.07.2007
(46) Опубликовано: 27.05.2009
(56) Список документов, цитированных в отчете о поиске:
ГОСТ 30247.1-94. Конструкции строительные. Методы испытаний на огнестойкость. Несущие и ограждающие конструкции. – М.: 1995, с.7. RU 2112961 C1, 10.06.1998. RU 2035728 C1, 20.05.1995. СНиП II-22-81. Каменные и арокаменные конструкции. Нормы проектирования. – М.: Стройиздат, 1983, с.40.
Адрес для переписки:
443001, г.Самара, ул. Молодогвардейская, 194, СГАСУ, патентный отдел
|
(72) Автор(ы):
Ильин Николай Алексеевич (RU), Тюрников Владимир Викторович (RU), Эсмонт Сергей Викторович (RU)
(73) Патентообладатель(и):
Государственное образовательное учреждение высшего профессионального образования “Самарский государственный архитектурно-строительный университет” (СГАСУ) (RU)
|
(54) СПОСОБ ОПРЕДЕЛЕНИЯ ОГНЕСТОЙКОСТИ КАМЕННЫХ СТОЛБОВ С СЕТЧАТЫМ АРМИРОВАНИЕМ
(57) Реферат:
Изобретение относится к области пожарной безопасности зданий, в частности оно может быть использовано для классификации каменных столбов и простенков по показателям сопротивления их воздействию пожара. Способ определения огнестойкости каменных столбов с сетчатым армированием путем испытания включает проведение технического осмотра, установление вида кладки, марок кирпича, камня и раствора кладки, вида армирования, марки стали, класса арматуры по прочности на растяжение, выявление условий опирания и крепления каменных столбов, установление их предельного состояния по огнестойкости, определение времени наступления предельного состояния по огнестойкости каменных столбов с сетчатым армированием под нормативной нагрузкой. Испытание каменных столбов с сетчатым армированием проводят без разрушения, используя комплекс единичных показателей качества каменных столбов, назначают число и место расположения участков, в которых определяют показатели качества, технический осмотр дополняют инструментальными измерениями геометрических размеров каменных столбов в опасных сечениях, измерениями диаметров стержней сетчатого армирования, устанавливают прочность камня и раствора, размеры и форму камней, толщину швов каменной кладки и качество их заполнения, определяют площади сечения кладки и поперечной арматуры; выявляют схему нагрева опасных сечений каменных столбов при пожаре; экспериментально определяют показатели плотности и влажности, теплопроводности и теплоемкости кладки в естественном состоянии, показатели тепловой диффузии кладки в условиях пожара; находят временное сопротивление сжатию кладки; процент армирования опасных сечений каменных столбов; устанавливают величину нормативной нагрузки на каменные столбы при испытании на огнестойкость, величину интенсивности силовых напряжений в опасных сечениях. Технический результат: определение огнестойкости каменных столбов с сетчатым армированием без натурного теплового воздействия, повышение достоверности статистического контроля качества и неразрушающих испытаний, снижение экономических затрат. 13 з.п. ф-лы, 2 ил., 2 табл.
Изобретение относится к области пожарной безопасности зданий и сооружений (далее – зданий). В частности, оно может быть использовано для классификации каменных столбов с сетчатым армированием по показателям сопротивления их воздействию пожара. Это дает возможность обоснованного использования существующих каменных столбов с фактическим пределом огнестойкости в зданиях различных классов по их конструктивной пожарной опасности.
Необходимость определения показателей огнестойкости армированных каменных столбов и простенков возникает при реконструкции здания, усилении его частей и элементов, приведении огнестойкости каменных столбов здания в соответствие с требованиями современных норм, при проведении экспертизы и/или восстановлении каменных столбов после пожара.
При реконструкции капитального здания возможно переустройство и перепланировка помещений, изменение их функционального назначения, замена каменных столбов и оборудования. Это влияет на изменение требуемой огнестойкости здания и его несущих конструкций.
Известен способ определения огнестойкости каменных столбов здания по результатам изучения последствий натурного пожара. Этот способ включает определение положения столбов в здании, оценку состояния столбов путем осмотра и измерения, изготовление контрольных образцов камня, определение времени наступления предельного состояния по потере несущей способности конструкции, то есть обрушения в условиях пожара / Ильин Н.А. Последствия огневого воздействия на железобетонные конструкции. – М.: Стройиздат, 1979. С.34-35; 90 / [1].
К причинам, препятствующим достижению указанного ниже технического результата при использовании известного способа относится то, что в известном способе пределы огнестойкости определяют приближенно по результатам исследования последствий прошедшего пожара. Детальное исследование предопределяет длительную работу эксперта. При этом невозможно определить огнестойкость натурных каменных столбов, имеющих другие размеры и другую внешнюю нагрузку. Затруднительно сопоставление полученных результатов со стандартными огневыми испытаниями аналогичных каменных столбов. Следовательно, этот способ дорог, имеет малую технологическую возможность к повторным испытаниям, трудоемок и опасен для испытателей.
Известен способ оценки огнестойкости каменных столбов по результатам натурных огневых испытаний фрагмента зданий, в котором производят осмотр конструкций, определяют влажность материала кладок, назначают статическую нагрузку на столбы соответственно реальным условиям эксплуатации здания, определяют факторы, влияющие на величину предела огнестойкости / НПБ 233-97. Здания и фрагменты зданий. Метод натурных огневых испытаний. Общие требования. – М.: ВНИИПО, 1997. С.6-12 / [2].
К причинам, препятствующим достижению указанного ниже технического результата при использовании известного способа относится то, что в известном способе велики экономические затраты на проведение огневых испытаний, наблюдения за состоянием каменных столбов в условиях экспериментального пожара затруднено и небезопасно, вследствие различий теплового режима опытного и стандартного пожаров затруднено определение истинных значений пределов огнестойкости каменных столбов, причины разрушения каменных столбов фрагмента могут быть не установлены вследствие многообразия одновременно действующих факторов пожара. Предельное состояние по огнестойкости каменных столбов может быть не достигнуто из-за более раннего разрушения изгибаемых элементов покрытия фрагмента / Огнестойкость зданий. В.П.Бушев, В.А.Пчелинцев, B.C.Федоренко, А.И.Яковлев. – М.: Стройиздат, 1970. С.252-256 / [3].
Наиболее близким способом того же назначения к заявленному изобретению по совокупности признаков является способ определения огнестойкости каменных столбов здания путем испытания, включающего проведение технического осмотра, установление вида камня и раствора стены класса арматуры, процента армирования по объему кладки сетчатой арматурой, выявление условия их опирания и крепления, определение времени наступления предельного состояния по потере несущей способности столбов под нормативной нагрузкой в условиях стандартного пожара / ГОСТ 30247.1-94. Конструкции строительные. Методы испытаний на огнестойкость. Несущие и ограждающие конструкции. – М.: 1995. – 7 с. / [4], – принят за прототип.
К причинам, препятствующим достижению указанного ниже технического результата при использовании известного способа, принятого за прототип, относится то, что в известном способе испытания проводят на образцах каменных столбов, на которые воздействуют только постоянные и длительные нагрузки в их расчетных значениях с коэффициентом надежности, равным единице, то есть проектные нормативные нагрузки.
Испытания проводят на специальном стендовом оборудовании в огневых печах до разрушения образцов каменной конструкции. Размеры образцов ограничивают в зависимости от проемов стационарных печей. Следовательно, стандартные огневые испытания трудоемки, не эффективны, не безопасны, имеют малые технологические возможности для проверки на опыте различных по размерам и различно нагруженных каменных конструкций, не дают необходимой информации о влиянии единичных показателей качества каменной конструкции на ее огнестойкость.
Определение огнестойкости каменных столбов по единичному показателю качества, например по толщине, как правило, недооценивает пригодность эксплуатации каменных столбов в здании заданной степени огнестойкости.
Экономические затраты на проведение испытаний возрастают за счет расходов на возведение образца каменной конструкции по месту установки нагревательных печей и на создание в них стандартного теплового режима. По малому числу испытуемых образцов (2-3 шт) невозможно судить о действительном состоянии столбов здания.
Результаты огневого испытания единичны и не учитывают разнообразия в закреплении концов каменных столбов, их фактических размеров, влияния сетчатого армирования, условий обогрева опасного сечения испытуемых конструкций.
Сущность изобретения заключается в следующем. Задача, на решение которой направлено заявленное изобретение, состоит в установлении показателей пожарной безопасности здания в части гарантированной длительности сопротивления каменных столбов с сетчатым армированием в условиях пожара; в определении фактических пределов огнестойкости каменных столбов при проектировании, строительстве и/или эксплуатации здания; в снижении экономических затрат при испытании конструкций на огнестойкость.
Технический результат – устранение огневых испытаний каменных конструкций в здании или его фрагменте; снижение трудоемкости определения огнестойкости каменных столбов; расширение технологических возможностей определения фактической огнестойкости различно нагруженных каменных столбов любых размеров и возможность сопоставления полученных результатов с испытаниями аналогичных конструкций здания; возможность проведения испытания каменных столбов на огнестойкость без нарушения функционального процесса в здании; снижение экономических затрат на испытание; сохранение эксплуатационной пригодности здания при обследовании и неразрушающих испытаниях каменных столбов; упрощение условий и сокращение сроков испытания каменных столбов на огнестойкость; использование полипараметрической зависимости для определения огнестойкости каменных столбов с сетчатым армированием; повышение точности и экспрессивности испытания; получение возможности решения обратных задач огнестойкости столбов и применения метода подбора переменных значений ее конструктивных параметров; использование интегральных конструктивных параметров для определения огнестойкости каменных конструкций и упрощение математического описания процесса термического сопротивления нагруженных каменных столбов; повышение достоверности результатов испытаний группы однотипных каменных столбов; уточнение единичных показателей качества каменных столбов с сетчатым армированием, влияющих на их огнестойкость; возможность определения гарантированного предела огнестойкости каменных столбов по конструктивным параметрам.
Указанный технический результат при осуществлении изобретения достигается тем, что в известном способе определения огнестойкости каменных столбов с сетчатым армированием путем испытания, включающего проведение технического осмотра, установление марок кирпича, камня и раствора каменной кладки, марки стали, вида армирования, класса арматуры по прочности на растяжение, выявление условий опирания и крепления каменных столбов, установление их предельного состояния по огнестойкости, определение времени наступления предельного состояния по огнестойкости каменных столбов с сетчатым армированием под нормативной нагрузкой, особенность заключается в том, что испытание каменных столбов с сетчатым армированием проводят без разрушения, используя комплекс единичных показателей качества каменных столбов, назначают число и место расположения участков, в которых определяют показатели качества, технический осмотр дополняют инструментальными измерениями геометрических размеров каменных столбов в опасных сечениях, измерениями диаметров стержней сетчатого армирования, устанавливают прочность камня и раствора, размеры и форму камней, толщину швов каменной кладки и качество их заполнения, определяют площади сечения кладки и поперечной арматуры; выявляют схему нагрева опасных сечений каменных столбов при пожаре; экспериментально определяют показатели плотности и влажности, теплопроводности и теплоемкости кладки в естественном состоянии, показатели тепловой диффузии кладки в условиях пожара; находят временное сопротивление сжатию кладки; процент армирования опасных сечений каменных столбов; устанавливают величину нормативной нагрузки на каменные столбы при испытании на огнестойкость, величину интенсивности силовых напряжений в опасных сечениях, и, – используя полученные единичные параметры качества каменных конструкций с сетчатым армированием:
mo – коэффициент условий обогрева поперечного сечения столбов (1-5);
s – коэффициент продольного изгиба каменных столбов с сетчатым армированием (0,1÷1,0)%;
J k – интенсивность силовых напряжений в опасных сечениях каменных столбов (0÷0,95);
h – размер меньшей стороны поперечного сечения столба, мм;
µ0 – процент армирования кладки по объему (0,1÷1,0);
Dsk – показатель тепловой диффузии армированной кладки, мм2/мин;
Rsku – временное сопротивление сжатию армированной кладки, МПа,
– вычисляют предел огнестойкости каменных столбов с сетчатым армированием по потере несущей способности Fu(R), мин, по формуле (1):

Следующая особенность предложенного способа заключается в том, что величину коэффициента условий обогрева поперечного сечения столбов определяют по формуле (2):

где Р и Рo – соответственно полный периметр поперечного сечения стены и часть периметра, обогреваемого при пожаре, мм.
Следующая особенность предложенного способа заключается в том, что интенсивность силовых напряжений в опасном сечении несущих каменных столбов с сетчатым армированием от нормативной нагрузки при испытаниях на огнестойкость определяют из условия (3):

где n – коэффициент уровня ответственности здания (0,8÷1,2);
N – нормативная нагрузка при испытаниях на огнестойкость, кН;
Ncc – несущая способность каменных столбов, кН;
Ru; R – временное и расчетное сопротивление сжатию кладки, МПа;
Особенность предложенного способа заключается в том, что показатель поперечного сетчатого армирования кладки по объему определяют по формуле (4):

где µ0 – процент армирования кладки по объему (%);
Vs и Vk – объемы сетчатой арматуры и кладки, мм3.
Особенность предложенного способа заключается в том, что коэффициент продольного изгиба каменных столбов с сетчатым армированием определяют без использования нормативных таблиц по формуле (5):

где s – коэффициент продольного изгиба каменных столбов с сетчатым армированием (0,05÷1,0);
к – показатель деформативности кладки столбов прямоугольного сечения с сетчатым армированием, вычисляемый по зависимости (6):

где h – меньшая сторона поперечного сечения столба, мм;
l0 – расчетная высота столба, мм;
для каменных столбов любой формы сечения показатель деформативности кладки вычисляют по формуле (7):

sk – упругая характеристика кладки с сетчатым армированием, определяемая по формуле (8):

– упругая характеристика неармированной кладки, принимаемая в зависимости от вида кладки и прочности раствора (200÷1500);
Ru; Rsku – соответственно временное сопротивление сжатию неармированной и армированной кладки, МПа;
r – радиус инерции сечения, мм.
Особенность предложенного способа заключается в том, что временное сопротивление кладки столбов с сетчатым армированием при осевом сжатии определяют по формуле (9):

где Rsku; Ru – соответственно временное сопротивление сжатию армированной и неармированной кладки, МПа;
Rsn – нормативное сопротивление арматуры в кладке, МПа;
µо – процент армирования кладки по объему, (%).
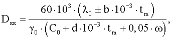
Особенность предложенного способа заключается в том, что показатель тепловой диффузии армированной кладки при tm=450°C определяют по формуле (10):

где µо – процент армирования кладки по объему, (%);
Dsm=462,4 мм2/мин – показатель тепловой диффузии арматурной стали;
Dкк – показатель тепловой диффузии неармированной кладки, мм2/мин, определяемый по формуле (11):

где о; Со – соответственно коэффициент теплопроводности, Вт/(м·0С), и удельная теплоемкость, кДж/(кг·°С), неармированной кладки, при 20°С;
b; d – термические коэффициенты теплопроводности, Вт/(м·°С), и теплоемкости, кДж/(кг·°С), кладки при средней температуре tm=450°C;
о; – плотность неармированной кладки в сухом состоянии, кг/м3, и ее влажность в условиях эксплуатации, %, по массе.
Особенность предложенного способа заключается в том, что за единичные показатели качества каменных столбов с сетчатым армированием, влияющие на величину предела огнестойкости, принимают: геометрические размеры опасного сечения, высоту и размеры сторон поперечного сечения столба, условия опирания столбов на основание, толщину швов кладки; временное сопротивление сжатию армированной и неармированной кладки, процент поперечного армирования сетками по объему кладки, класс арматуры по прочности на растяжение, нормативное сопротивление арматуры в кладке; упругую характеристику армированной и неармированной кладки, параметры продольного изгиба каменных столбов, показатели влажности, плотности, теплопроводности и удельной теплоемкости армированной и неармированной кладки, показатели тепловой диффузии кладки в условиях пожара; величину нормативной нагрузки на каменные столбы при испытании на огнестойкость, величину интенсивности силовых напряжений в их опасных сечениях.
Особенность предложенного способа заключается в том, что неразрушающие испытания проводят для группы однотипных каменных столбов с сетчатым армированием, различия между прочностью кладки и текучестью арматуры которых обусловлены главным образом случайным фактором.
Особенность предложенного способа заключается в том, что число испытаний nис единичного показателя качества однотипных каменных столбов с сетчатым армированием, при вероятности результата 0,95 и точности 5%, принимают по формуле (12):

где – выборочный коэффициент вариации результатов испытаний, %.
Особенность предложенного способа заключается в том, что схему обогрева поперечных сечений испытуемых каменных столбов с сетчатым армированием в условиях пожара определяют в зависимости от фактического расположения частей здания.
Особенность предложенного способа заключается в том, что в случае, когда все единичные показатели качества каменных столбов с сетчатым армированием, при М более 9 шт, находятся в контрольных пределах, минимальное целое число столбов в выборке по плану сокращенных испытаний Ммин, шт., назначают из условия (13):

где М – число однотипных конструкций в здании, шт.
Особенность предложенного способа заключается в том, что в случае, когда хотя бы один из единичных показателей качества каменных столбов с сетчатым армированием выходит за границы контрольных пределов, минимальное число столбов в выборке по норме вычисляют по формуле (14):

Особенность предложенного способа заключается в том, что в случае, когда хотя бы один из единичных показателей качества каменных столбов с сетчатым армированием выходит за границы допустимых пределов или М 5 шт., не разрушающему испытанию подвергают все однотипные столбы здания поштучно.
Причинно-следственная связь между совокупностью признаков и техническим результатом заключена в следующем.
Устранение огневых испытаний каменных столбов существующего здания и замена их на неразрушающие испытания снижает трудоемкость определения их огнестойкости, расширяет технологические возможности выявления фактической огнестойкости различно нагруженных каменных столбов любых размеров, дает возможность проведения испытания каменных столбов на огнестойкость без нарушения функционального процесса обследуемого здания, а также сопоставления полученных результатов со стандартными испытаниями аналогичных каменных столбов с сетчатым армированием и сохранения эксплуатационной пригодности обследуемого здания без нарушения несущей способности его конструкций в процессе испытания. Следовательно, условия испытания каменных столбов на огнестойкость значительно упрощены.
Снижение экономических затрат на проведение испытания предусматривают за счет уменьшения расходов на возведение и огневые испытания образцов конструкций.
Применение математического описания процесса сопротивления каменных столбов с сетчатым армированием стандартному тепловому испытанию и использование построенных параметрических номограмм повышает точность и экспрессивность оценки их огнестойкости.
Применение полипараметрической зависимости (1) удобно вследствие простоты и возможности решения обратных задач огнестойкости каменных столбов с сетчатым армированием и применения метода подбора переменных значений их конструктивных параметров.
В предложенном техническом решении предусматривают проведение испытаний не одной, а группы однотипных каменных столбов. Это позволяет в 5-15 раз увеличить число испытуемых конструкций и повысить достоверность результатов испытаний и технического осмотра здания. Определение огнестойкости каменных столбов только по одному показателю качества, например по толщине, приводит, как правило, к недооценке их предела огнестойкости, поскольку влияние на него вариаций единичных показателей качества каменных столбов имеют различные знаки, и снижение огнестойкости за счет одного показателя может быть компенсировано другими. Вследствие этого в предложенном способе оценку огнестойкости каменных столбов предусматривают не по одному показателю, а по комплексу единичных показателей их качества. Это позволяет более точно учесть реальный ресурс огнестойкости каменных столбов с сетчатым армированием.
Уточнен комплекс единичных показателей качества каменных столбов, влияющих на их пределы огнестойкости, определяемых неразрушающими испытаниями. Уточнено минимальное число неразрушающих испытаний единичного показателя качества каменных столбов с сетчатым армированием. Принятая величина выборки из общего числа однотипных каменных столбов здания обеспечивает достоверность, снижает сроки и трудоемкость проведения испытаний.
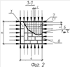
На фиг.1 приведено продольное сечение опасного участка каменного столба ((2/3)·Н, где Н – высота этажа, мм) армированного сетками С1 (здесь S – шаг сеток, мм), нагруженного с эксцентриситетом е, мм, нормативной нагрузкой при испытании столба на огнестойкость N , кН;
На фиг.2 приведено поперечное сечение 1-1 каменного столба размерами b×h, мм; схема армирования столба прямоугольными сетками С1; (здесь d – диаметр стержней, мм; С – размер ячейки, мм); схема нагрева поперечного сечения столба в условиях пожара:
1 – каменный столб с сетчатым армированием: продольное сечение столба с сетками С1 (шаг сеток, S, мм);
2 – тепловой поток стандартного пожара, tст, °С;
3 – поперечное сечение каменного столба с сетчатым армированием; размеры сечения b×h, мм;
4 – швы кладки, заполненные раствором и арматурными сетками с выпусками стержней для контроля укладки сеток;
5 – нормативная нагрузка N , кН;
6 – эксцентриситет продольной силы относительно центра тяжести сечения столба е, мм;
7 – арматурная сетка прямоугольная С1 (диаметр стержней d, мм; размер ячейки С, мм);
8 – обогреваемая часть периметра поперечного сечения каменного столба Ро, мм.
Теплофизические характеристики строительных материалов для каменных кладок, включая значения Dkm, мм2/мин, приведены в табл.1.
Таблица 1 Теплофизические характеристики строительных материалов |
| Материал |
Плотность с, кг/м3 |
Влажность , % |
Параметры теплопроводности (Вт/м·°С) и теплоемкости материала (кДж/кг·°С) |
Коэф-т диффузии тепла Dkm (мм2/мин) |
0 |
b |
C0 |
d |
| 1 |
2 |
3 |
4 |
5 |
6 |
7 |
8 |
| 1 Кладка из керамзитобетонных камней (ГОСТ 6133) на цементно-песчаном растворе плотностью 1800 кг/м3 |
1.1 Камни, =1200 кг/м3 |
1270 |
5 |
0,85 |
0,24 |
0,84 |
0,58 |
19,6 |
1.2 Камни, =1000 кг/м3 |
1060 |
5 |
0,28 |
0,22 |
0,84 |
0,54 |
15,6 |
1.2 Камни, =800 кг/м3 |
880 |
5 |
0,23 |
0,20 |
0,84 |
0,50 |
13,0 |
2 Кладка из мелких ячеисто-бетонных блоков на цементно-песчаном растворе ( о=1200 кг/м3) толщиной швов 12 мм |
2.1 Блоки из газо- и пенобетона, =1000 кг/м3 |
1060 |
6 |
0,25 |
0,12 |
0,84 |
0,4 |
11,7 |
2.2 То же, =800 кг/м3 |
880 |
6 |
0,22 |
0,12 |
0,84 |
0,4 |
10,4 |
2.3 То же, =600 кг/м3 |
700 |
5 |
0,17 |
0,12 |
0,84 |
0,4 |
8,84 |
| 3 Растворы цементные, известковые и гипсовые |
| 3.1 Цементно-песчаный |
1800 |
2 |
0,58 |
0,35 |
0,84 |
0,63 |
20,1 |
| 3.2 Сложный (песок, известь, цемент) |
1700 |
2 |
0,52 |
0,35 |
0,84 |
0,63 |
19,54 |
| 3.3 Известково-песчаный |
1600 |
2 |
0,47 |
0,35 |
0,84 |
0,63 |
19,23 |
| 3.4 Цементно-шлаковый |
1400 |
2 |
0,41 |
0,35 |
0,84 |
0,63 |
19,90 |
| 3.5 То же |
1200 |
2 |
0,35 |
0,34 |
0,84 |
0,62 |
20,63 |
| 3.6 Цементно-перлитовый |
1000 |
7 |
0,21 |
0,33 |
0,84 |
0,62 |
14,64 |
| 3.7 То же |
800 |
7 |
0,16 |
0,32 |
0,84 |
0,62 |
15,52 |
| 3.8 Гипсоперлитовый |
600 |
10 |
0,14 |
0,31 |
0,84 |
0,60 |
17,26 |
| 3.9 То же, поризованный |
500 |
6 |
0,12 |
0,30 |
0,84 |
0,60 |
21,56 |
| 3.10 То же |
400 |
6 |
0,09 |
0,30 |
0,84 |
0,58 |
24,10 |
4 Кирпичная кладка из керамического камня и кирпича на цементно-песчаном растворе ( о=1800 кг/м3) |
4.1 Камня керамического крупноформатного пустотелого из пористой керамики, о=600 кг/м3 |
670 |
1 |
0,13 |
0,21 |
0,88 |
0,38 |
18,26 |
4.2 То же, о=800 кг/м3 |
890 |
1 |
0,18 |
0,22 |
0,88 |
0,40 |
16,95 |
4.3 Камня керамического пустотелого (250×120×138 мм) о=800 кг/м3 |
960 |
1 |
0,2 |
0,22 |
0,88 |
0,40 |
16,84 |
| Продолжение табл.1 |
| 1 |
2 |
3 |
4 |
5 |
6 |
7 |
8 |
4.4 То же, o=1000 кг/м3 |
1130 |
1 |
0,26 |
0,23 |
0,88 |
0,42 |
17,95 |
4.5 То же, o=1200 кг/м3 |
1300 |
1 |
0,32 |
0,23 |
0,88 |
0,42 |
17,47 |
4.6 То же, о=1400 кг/м3 |
1460 |
1 |
0,39 |
0,23 |
0,88 |
0,42 |
18,12 |
4.7 Кирпича трепельного полнотелого одинарного утолщенного, о=900 кг/м |
1090 |
2 |
0,3 |
0,22 |
0,88 |
0,42 |
18,80 |
4.8 То же, о=1000 кг/м3 |
1170 |
2 |
0,34 |
0,22 |
0,88 |
0,42 |
19,26 |
4.9 Кирпича керамического пустотелого одинарного утолщенного, о=1000 кг/м3 |
1170 |
1 |
0,28 |
0,22 |
0,88 |
0,42 |
17,37 |
4.10 То же, о=1200 кг/м3 |
1330 |
1 |
0,34 |
0,22 |
0,88 |
0,42 |
17,70 |
4.11 То же, о=1400 кг/м3 |
1480 |
1 |
0,4 |
0,22 |
0,88 |
0,42 |
18,10 |
4.12 Кирпича керамического полнотелого одинарного утолщенного, о=1600 кг/м3 |
1640 |
1 |
0,45 |
0,22 |
0,88 |
0,42 |
17,95 |
4.13 То же, о=1800 кг/м3 |
1800 |
1 |
0,56 |
0,22 |
0,88 |
0,42 |
17,0 |
4.14 То же, о=2000 кг/м3 |
1960 |
1 |
0,66 |
0,22 |
0,88 |
0,42 |
22,61 |
5 Кирпичная кладка из силикатного кирпича и камня на цементно-песчаном растворе ( o=1800 кг/м3) |
5.1 Полнотелого одинарного кирпича, о=2000 кг/м |
1960 |
2 |
1,06 |
-0,36 |
0,88 |
0,61 |
21,91 |
5.2 То же, о=1800 кг/м3 |
1800 |
2 |
0,78 |
-0,35 |
0,88 |
0,60 |
24,1 |
5.3 Пустотелого одинарного и утолщенного кирпича, о=1600 кг/м3 |
1640 |
2 |
0,68 |
-0,35 |
0,88 |
0,60 |
26,41 |
5.4 Пустотелого 11-пустотного утолщенного кирпича и камня, о=1400 кг/м3 |
1500 |
2 |
0,64 |
-0,35 |
0,88 |
0,60 |
15,44 |
5.5 Пустотелого 14-пустотного утолщенного кирпича и камня, о=1300 кг/м3 |
1400 |
2 |
0,52 |
-0,35 |
0,88 |
0,60 |
12,42 |
| 5.6 То же, уо=1200 кг/м3 |
1300 |
2 |
0,43 |
-0,35 |
0,88 |
0,60 |
10,1 |
5.7 Кладка из шлакового кирпича и камня ( о=1400 кг/м3) на цементно-песчаном растворе ( о=1800 кг/м3) |
1500 |
1,5 |
0,52 |
-0,35 |
0,88 |
0,60 |
11,84 |
Здесь 0 и С0 – соответственно значения теплопроводности, Вт/м·°С, и теплоемкости, кДж/кг·°С, строительных материалов при tн=20°С;
b и d – соответственно термические коэффициенты теплопроводности и теплоемкости материалов, умноженные на 1000.
Сведения, подтверждающие возможность осуществления изобретения с получением указанного выше технического результата. Последовательность действия способа определения огнестойкости каменных столбов с сетчатым армированием зданий состоит в следующем.
Сначала проводят визуальный осмотр здания. Затем определяют группу однотипных каменных столбов с сетчатым армированием и их общее число в ней. Вычисляют величину выборки однотипных конструкций. Назначают комплекс единичных показателей качества каменных столбов, влияющих на огнестойкость. Выявляют условия закрепления концов и опасные сечения каменных столбов. Вычисляют число испытаний единичного показателя качества каменных столбов в зависимости от его статистической изменчивости. Затем оценивают единичные показатели качества каменных столбов с сетчатым армированием и их интегральные параметры и, наконец, по ним находят предел огнестойкости испытуемых столбов.
Под визуальным осмотром понимают проверку состояния каменных столбов, включающую выявление условий закрепления и нагрузки отдельных столбов, определение марки кирпича и раствора, наличие трещин и отколов, минимальный размер толщины столбов, показатели армирования столбов стальными сетками (диаметр стержней, размеры ячеек, шаг сеток, процент армирования кладки – см. табл.2); класс арматуры по прочности на растяжение; условия обогрева поперечного сечения столбов, показатели тепловой диффузии армированной кладки при пожаре, упругую характеристику кладки; величину нормативной нагрузки на столбы при испытании на огнестойкость.
В процессе осмотра определяют группы однотипных элементов конструкций. Под группой элементов конструкций в здании понимают однотипные каменные столбы, изготовленные и возведенные в сходных технологических условиях и находящихся в подобных условиях эксплуатации.
Для поверочных расчетов несущей способности каменных столбов с сетчатым армированием определяют:
высоту и толщину столбов, расстояние между перекрытиями здания, отношение высоты столбов к их толщине;
вид опор каменных столбов: жесткие (lо=0,7·Н), упругие;
толщину раствора под опорами;
вид каменной кладки: из кирпича или керамических камней, из бетонных или природных камней; из ячеисто-бетонных камней;
тип кладки в зависимости от марок кирпича и камней; группа кладки в зависимости от марок раствора; вид кладки: армированная, неармированная.
Минимальное целое число конструкций в выборке по плану нормальных или сокращенных испытаний назначают из условий (13 и 14).
Пример 1. При числе однотипных каменных столбов в группе М=100 шт, число испытуемых принимают по норме Мн=5+М0,5=5+1000,5=15 шт, по сокращенному плану Ммин=0,3·(15+М0,5)=0,3·(15+1000,5) 8 шт.
При числе каменных столбов в группе М 5 их проверяют поштучно.
Число и место расположения участков, в которых определяют показатели качества каменных столбов, определяют так. В каменных столбах, имеющих одно опасное сечение, участки располагают только в этом сечении. В каменных столбах, имеющих несколько опасных сечений, испытуемые участки располагают равномерно по поверхности с обязательным расположением части участков в опасных сечениях.
К основным единичным показателям качества с сетчатым армированием каменных столбов, определяющих огнестойкость, относятся: геометрические размеры столбов и минимальные размеры толщины опасного сечения; условия опирания и обогрева столбов, величина коэффициента продольного изгиба; прочность каменной кладки на сжатие, влажность, плотность, теплопроводность и теплоемкость в естественных условиях; показатель тепловой диффузии каменной кладки (коэффициент температуропроводности) в условиях пожара; процент армирования каменной кладки; интенсивность напряжений в опасном сечении.
Таблица 2 Проценты армирования поперечных сечений каменных конструкций стальными сетками (при расположении сеток в каждом шве кладок) |
| Диаметр арматуры d, мм |
Размер ячейки С, мм |
| 30×30 |
40×40 |
50×50 |
60×60 |
70×70 |
80×80 |
100×100 |
| Проценты армирования стали µ, % (объем) |
| 1 |
2 |
3 |
4 |
5 |
6 |
7 |
8 |
| 1. Шаг сеток S=77 мм (обычный кирпич h=65 мм) |
| 3 |
0,61 |
0,46 |
0,37 |
0,31 |
0,26 |
0,23 |
0,18 |
| 4 |
1,1 |
0,82 |
0,66 |
0,55 |
0,47 |
0,41 |
0,33 |
| 5 |
1,7 |
1,27 |
1,02 |
0,85 |
0,73 |
0,64 |
0,51 |
| 6 |
2,45 |
1,84 |
1,47 |
1,23 |
1,05 |
0,92 |
0,74 |
| 2. Шаг сеток S=100 мм (Утолщенный кирпич h=88 мм) |
| 3 |
0,47 |
0,36 |
0,28 |
0,24 |
0,2 |
0,18 |
0,14 |
| 4 |
0,84 |
0,63 |
0,5 |
0,42 |
0,36 |
0,32 |
0,25 |
| 5 |
1,31 |
0,98 |
0,78 |
0,65 |
0,56 |
0,49 |
0,39 |
| 6 |
1,89 |
1,42 |
1,13 |
0,94 |
0,81 |
0,71 |
0,57 |
| 3. Шаг сеток S=150 мм (камень h=138 мм) |
| 3 |
0,32 |
0,24 |
0,19 |
0,16 |
0,14 |
0,12 |
0,09 |
| 4 |
0,56 |
0,42 |
0,34 |
0,28 |
0,24 |
0,21 |
0,17 |
| 5 |
0,87 |
0,65 |
0,52 |
0,44 |
0,37 |
0,33 |
0,26 |
| 6 |
1,26 |
0,94 |
0,75 |
0,63 |
0,54 |
0,47 |
0,38 |
Число испытаний единичного показателя качества поперечно армированных каменных стен, при вероятности результата, равном 0,95, и показателе точности 5% определяют по формуле (12); при этом коэффициент вариации выборки =±100· /А;
среднее арифметическое А=(1/n)· mi, (здесь mi – результат i-го испытания); среднее квадратическое отклонение от среднего =±[(1/(n-1))· (хi)2]0,5;
(здесь (xi)2 – сумма квадратов всех отклонений от среднего);
средняя ошибка А=± /(2·n)0,5.
Проверяемыми геометрическими размерами являются: минимальный размер толщины столбов и их высота. Опасные сечения каменных столбов назначают в местах наибольших моментов от действия нормативной нагрузки при испытаниях на огнестойкость с учетом изменения величины коэффициента продольного изгиба столбов по их высоте (длине).
Размеры стен проверяют с точностью ±1 мм; ширину трещин – с точностью до 0,05 мм; диаметр стержней – с точностью 0,1 мм.
Проверку прочности кирпича, камней и раствора каменных конструкций, включенных в выборку или проверяемых поштучно, производят неразрушающими испытаниями с применением механических и ультразвуковых приборов [1, с.31-38].
Показатели тепловой диффузии каменной кладки в условиях теплового воздействия определяют при 450°С. Для расчета интегрального его параметра по формуле (11) определяют плотность каменной кладки и бетона в естественном состоянии, их влажность, а также коэффициенты теплопроводности и удельную теплоемкость кладки при 450°С.
Используя полученные интегральные параметры mо; ko; s; h, мм; J к; µo; Dsk, мм2/мин; Rsku, МПа, по зависимости (1) находят предел огнестойкости каменных столбов с сетчатым армированием здания, Fu, мин.
Гарантированный предел огнестойкости каменных столбов Fu(REJ), мин, вычисляют по полипараметрической зависимости (1) при соответствующем изменении конструктивных параметров: толщине стены h, мм, коэффициенте условий обогрева столбов mо; коэффициенте продольного изгиба s, интенсивности силовых напряжений J k, показателе временного сопротивления сжатию каменной кладки Rsku, МПа, показателе тепловой диффузии каменной кладки Dsk, мм2/мин.
Пример 2. Определение огнестойкости каменных столбов с сетчатым армированием.
Исходные данные:
Столбы из кирпича силикатного полнотелого;
размеры поперечного сечение столбов h×b=510×640 мм;
обогрев сечения – 4-сторонний; полный периметр сечения и обогреваемой его части Р=Ро=2·(51+64)=230 см; коэффициент условий обогрева поперечного сечения столбов вычисляют по формуле (2):

площадь поперечного сечения А=51·64=3264 см2;
расчетная высота столбов lo=H=4800 мм;
расчетная продольная сила от длительных нагрузок

нормативная нагрузка при испытании на огнестойкость

несущая способность каменных столбов с сетчатым армированием

марка кирпича 150; марка раствора 75 – упругая характеристика неармированной кладки a=750;
показатель тепловой диффузии кладки из силикатного кирпича Dкк=26,2 мм2/мин;
временное/расчетное сопротивление кладки сжатию Ru/R=4/2 МПа;
арматура сеток 5 Bp-I (B500); Аst=19,6 мм2; Rs=0,6·360=216 МПа;
шаг сеток S=158 мм; размер ячейки С=50 мм;
процент армирования кладки по объему µо=0,5%;
временное сопротивление сжатию армированной кладки:

упругая характеристика армированной кладки

показатель деформативности кладки каменных столбов с сетчатым армированием вычисляют по формуле (6):

коэффициент продольного изгиба каменных столбов с сетчатым армированием вычисляют по формуле (5):

при коэффициенте температуропроводности для стали Ds,cm=462,4 мм2/мин и кладки из силикатного кирпича Dкк=26,2 мм2/мин показатель тепловой диффузии кладки каменных столбов с сетчатым армированием вычисляют по формуле (10):

расчетное сопротивление армированной кладки:
– принимаем Rsk=4 МПа;
уровень ответственности конструкций здания II (второй): n=0,95;
интенсивность силовых напряжений в опасном сечении каменных столбов вычисляют по формуле (3):

Предел огнестойкости каменных столбов b×h=640×510 мм из силикатного кирпича с сетчатым армированием по потери несущей способности Fu(R), мин, при 4-стороннем нагреве сечения определим по полипараметрической зависимости (1):

Предложенный способ применен при натурном осмотре каменных столбов жилого здания в г.Самаре. Результаты неразрушающих испытаний каменных столбов с сетчатым армированием b×h=640×510 мм; Dsk=28,38 мм2/мин; о=0,75; lо=4800 мм; J o=0,235; mo=1,0; Rsku=6,35 МПа показали предел огнестойкости по потери несущей способности Fu(R)=395 мин (6,6 час).
Следовательно, заявленное изобретение соответствует условию «промышленная применимость».
Источники информации
1. Ильин Н.А. Последствия огневого воздействия на железобетонные конструкции. – М.: Стройиздат, 1979. – 128 с. (см. с.16; 34-35).
2. Здания и фрагменты зданий. Метод натурных огневых испытаний. Общие требования: НПБ 233-97. – М.: ВНИИПО, 1997. – 14 с.
3. Огнестойкость зданий / В.П.Бушев, В.А.Пчелинцев, А.И.Яковлев и др. – М.: Стройиздат, 1970. – 261 с. (см. с.252-256).
4. ГОСТ 30247.1-94. Конструкции строительные. Методы испытаний на огнестойкость. Несущие и ограждающие конструкции. – М.; 1995. – 7 с.
5. СниП 11-22-81. Каменные и арокаменные конструкции. Нормы проектирования. – М.: Стройиздат, 1983. – 40 с.
Формула изобретения
1. Способ определения огнестойкости каменных столбов с сетчатым армированием путем испытания, включающего проведение технического осмотра, установление вида кладки, марок кирпича, камня и раствора кладки, вида армирования, марки стали, класса арматуры по прочности на растяжение, выявление условий опирания и крепления каменных столбов, установление их предельного состояния по огнестойкости, определение времени наступления предельного состояния по огнестойкости каменных столбов с сетчатым армированием под нормативной нагрузкой, отличающийся тем, что испытание каменных столбов с сетчатым армированием проводят без разрушения, используя комплекс единичных показателей качества каменных столбов, назначают число и место расположения участков, в которых определяют показатели качества, технический осмотр дополняют инструментальными измерениями геометрических размеров каменных столбов в опасных сечениях, измерениями диаметров стержней сетчатого армирования, устанавливают прочность камня и раствора, размеры и форму камней, толщину швов каменной кладки и качество их заполнения, определяют площади сечения кладки и поперечной арматуры, выявляют схему нагрева опасных сечений каменных столбов при пожаре, экспериментально определяют показатели плотности и влажности, теплопроводности и теплоемкости кладки в естественном состоянии, показатели тепловой диффузии кладки в условиях пожара, находят временное сопротивление сжатию кладки, процент армирования опасных сечений каменных столбов, устанавливают величину нормативной нагрузки на каменные столбы при испытании на огнестойкость, величину интенсивности силовых напряжений в опасных сечениях и, используя полученные единичные параметры качества каменных конструкций с сетчатым армированием: m0 – коэффициент условий обогрева поперечного сечения столбов (1-5);
s – коэффициент продольного изгиба каменных столбов с сетчатым армированием (0,1÷1,0); J k – интенсивность силовых напряжений в опасных сечениях каменных столбов (0÷0,95); h – размер меньшей стороны поперечного сечения столба, мм; µ0 – процент армирования кладки по объему (0,1÷1,0); Dsk – показатель тепловой диффузии армированной кладки, мм2/мин; Rsku – временное сопротивление сжатию армированной кладки, МПа, вычисляют предел огнестойкости каменных столбов с сетчатым армированием по потере несущей способности Fu(R), мин, по формуле (1)

2. Способ по п.1, отличающийся тем, что величину коэффициента условий обогрева поперечного сечения столбов определяют по формуле (2)
 где Р и Р0 – соответственно полный периметр поперечного сечения стены и часть периметра, обогреваемого при пожаре, мм.
3. Способ по п.1, отличающийся тем, что интенсивность силовых напряжений в опасном сечении несущих каменных столбов с сетчатым армированием от нормативной нагрузки при испытаниях на огнестойкость определяют из условия (3)
 где n – коэффициент уровня ответственности столбов здания (0,8÷1,2); N – нормативная нагрузка при испытаниях на огнестойкость, кН; Ncc – несущая способность каменных столбов, кН; Ru; R – временное и расчетное сопротивление сжатию кладки, МПа.
4. Способ по п.1, отличающийся тем, что показатель поперечного сетчатого армирования кладки по объему определяют по формуле (4)
 где µ0 – процент армирования кладки по объему, %; Vs и Vk – объемы сетчатой арматуры и кладки, мм3.
5. Способ по п.1, отличающийся тем, что коэффициент продольного изгиба каменных столбов с сечатым армированием определяют без использования нормативных таблиц по формуле (5)
 где s – коэффициент продольного изгиба каменных столбов с сетчатым армированием (0,05÷1,0);
к – показатель деформативности кладки столбов прямоугольного сечения с сетчатым армированием, вычисляемый по зависимости (6)
 где h – меньшая сторона поперечного сечения столба, мм; l0 – расчетная высота столба, мм; для каменных столбов любой формы сечения показатель деформативности кладки вычисляют по формуле (7)
 где sk – упругая характеристика кладки с сетчатым армированием, определяемая по формуле (8)
 где – упругая характеристика неармированной кладки, принимаемая в зависимости от вида кладки и прочности раствора (200÷1500); Ru; Rsku – соответственно временное сопротивление сжатию неармированной и армированной кладки, МПа; r – радиус инерции сечения, мм.
6. Способ по п.1, отличающийся тем, что временное сопротивление кладки столбов с сетчатым армированием при осевом сжатии определяют по формуле (9)
 где Rsku; Ru – соответственно временное сопротивление сжатию армированной и неармированной кладки, МПа; Rsn – нормативное сопротивление арматуры в кладке, МПа; µо – процент армирования кладки по объему, %.
7. Способ по п.1, отличающийся тем, что показатель тепловой диффузии армированной кладки при tm=450°C определяют по формуле (10)
 где µ0 – процент армирования кладки по объему, %; Dsm=462,4 мм2/мин – показатель тепловой диффузии арматурной стали; Dкк – показатель тепловой диффузии неармированной кладки, мм2/мин, определяемый по формуле (11)
 где 0; С0 – соответственно коэффициент теплопроводности, Вт/(м·°С), и удельная теплоемкость, кДж/(кг·°С) неармированной кладки при 20°С; b; d – термические коэффициенты теплопроводности, Вт/(м·°С), и теплоемкости, кДж/(кг·°С), кладки при средней температуре tm=450°C;
0; – плотность неармированной кладки в сухом состоянии, кг/м3, и ее влажность в условиях эксплуатации, % по массе.
8. Способ по п.1, отличающийся тем, что за единичные показатели качества каменных столбов с сетчатым армированием, влияющих на величину предела огнестойкости, принимают: геометрические размеры опасного сечения, высоту и размеры сторон поперечного сечения столба, условия опирания столбов на основание, толщину швов кладки; временное сопротивление сжатию армированной и неармированной кладки, процент поперечного армирования сетками по объему кладки, класс арматуры по прочности на растяжение, нормативное сопротивление арматуры в кладке; упругую характеристику армированной и неармированной кладки, параметры продольного изгиба каменных столбов, показатели влажности, плотности, теплопроводности и удельной теплоемкости армированной и неармированной кладки, показатели тепловой диффузии кладки в условиях пожара; величину нормативной нагрузки на каменные столбы при испытании на огнестойкость, величину интенсивности силовых напряжений в их опасных сечениях.
9. Способ по п.1, отличающийся тем, что неразрушающие испытания проводят для группы однотипных каменных столбов с сетчатым армированием, различая между прочностью кладки и текучестью арматуры которых обусловлены главным образом случайным фактором.
10. Способ по п.1, отличающийся тем, что число испытаний nис единичного показателя качества однотипных каменных столбов с сетчатым армированием при вероятности результата 0,95 и точности 5% принимают по формуле (12)
 где – выборочный коэффициент вариации результатов испытаний, %.
11. Способ по п.1, отличающийся тем, что схему обогрева поперечных сечений испытуемых каменных столбов с сетчатым армированием в условиях пожара определяют в зависимости от фактического расположения частей здания.
12. Способ по п.1, отличающийся тем, что в случае, когда все единичные показатели качества каменных столбов с сетчатым армированием при М более 9 шт. находятся в контрольных пределах, минимальное целое число столбов в выборке по плану сокращенных испытаний Ммин, шт, назначают из условия (13)
 где М – число однотипных конструкций в здании, шт.
13. Способ по п.1, отличающийся тем, что в случае, когда хотя бы один из единичных показателей качества каменных столбов с сетчатым армированием выходит за границы контрольных пределов, минимальное число столбов в выборке по норме вычисляют по формуле (14)

14. Способ по п.1, отличающийся тем, что в случае, когда хотя бы один из единичных показателей качества каменных столбов с сетчатым армированием выходит за границы допустимых пределов или М 5 шт. не разрушающему испытанию подвергают все однотипные столбы здания поштучно.
РИСУНКИ
|
|