|
|
(21), (22) Заявка: 2007128291/03, 23.07.2007
(24) Дата начала отсчета срока действия патента:
23.07.2007
(43) Дата публикации заявки: 27.01.2009
(46) Опубликовано: 27.05.2009
(56) Список документов, цитированных в отчете о поиске:
ГОСТ 30247.1-94. Конструкции строительные. Методы испытаний на огнестойкость. Несущие и ограждающие конструкции. – М.: 1995, с.7. RU 2112961 C1, 10.06.1998. RU 2035728 C1, 20.05.1995. СНиП II-22-81. Каменные и арокаменные конструкции. Нормы проектирования». – М.: Стройиздат, 1983, с.40.
Адрес для переписки:
443001, г.Самара, ул. Молодогвардейская, 194, СГАСУ, патентный отдел
|
(72) Автор(ы):
Ильин Николай Алексеевич (RU), Тюрников Владимир Викторович (RU), Эсмонт Сергей Викторович (RU)
(73) Патентообладатель(и):
Государственное образовательное учреждение высшего профессионального образования “Самарский государственный архитектурно-строительный университет” (СГАСУ) (RU)
|
(54) СПОСОБ ОПРЕДЕЛЕНИЯ ОГНЕСТОЙКОСТИ КИРПИЧНЫХ СТОЛБОВ ЗДАНИЯ
(57) Реферат:
Изобретение относится к области пожарной безопасности зданий, в частности оно может быть использовано для классификации кирпичных столбов и простенков по показателям сопротивления их воздействию пожара. Способ определения огнестойкости кирпичных столбов здания путем испытания включает проведение технического осмотра, установление вида кладки, марок кирпича и раствора, упругой характеристики кладки, выявление условий опирания и крепления столбов, определение времени наступления предельного состояния по огнестойкости неармированных кирпичных столбов под нормативной нагрузкой в условиях стандартного пожара. Испытание неармированных кирпичных столбов проводят без разрушения, используя комплекс единичных показателей качества неармированных кирпичных столбов, назначают число и место расположения участков, в которых определяют показатели качества, технический осмотр дополняют инструментальными измерениями геометрических размеров кирпичных столбов в их опасных сечениях, выявляют схему нагрева опасных сечений кирпичных столбов при пожаре, находят временное сопротивление сжатию кирпичной кладки, устанавливают нормативную нагрузку на кирпичные столбы при испытании на огнестойкость, определяют величину интенсивности силовых напряжений в опасных сечениях столбов. Технический результат: определение огнестойкости неармированных кирпичных столбов и простенков без натурного теплового воздействия, повышение достоверности статистического контроля качества и неразрушающих испытаний, снижение экономических затрат. 11 з.п. ф-лы, 5 ил., 1 табл.
Изобретение относится к области пожарной безопасности зданий и сооружений (далее – «зданий»). В частности оно может быть использовано для классификации неармированных кирпичных столбов зданий по показателям сопротивления их воздействию пожара. Это дает возможность обоснованного использования существующих кирпичных столбов с фактическим пределом огнестойкости в зданиях различных классов по их конструктивной пожарной опасности.
Необходимость определения показателей огнестойкости неармированных кирпичных столбов возникает при реконструкции здания, усилении его частей и элементов, приведении огнестойкости кирпичных столбов здания в соответствие с требованиями современных норм, при проведении экспертизы и/или восстановлении кирпичных столбов после пожара.
При реконструкции здания возможно переустройство и перепланировка помещений, изменение их функционального назначения, замена кирпичных столбов и оборудования. Это влияет на изменение требуемой огнестойкости здания и его несущих конструкций.
Известен способ определения огнестойкости кирпичных столбов здания по результатам изучения последствий натурного пожара. Этот способ включает определение положения столбов в здании, оценку состояния столбов путем осмотра и измерения, изготовление контрольных образцов кирпича и камня, определение времени наступления предельного состояния по потере несущей способности конструкции, то есть обрушения в условиях действия внешней нагрузки и теплового воздействия /Ильин Н.А. Последствия огневого воздействия на железобетонные конструкции. – М.: Стройиздат, 1979. – С.34-35; 90/ [1].
К причинам, препятствующим достижению указанного ниже технического результата при использовании известного способа, относится то, что в известном способе пределы огнестойкости определяют приближенно по результатам исследования последствий прошедшего пожара. Детальное исследование предопределяет длительную работу эксперта. При этом невозможно определить огнестойкость натурных кирпичных столбов, имеющих другие размеры и другую внешнюю нагрузку. Затруднительно сопоставление полученных результатов со стандартными огневыми испытаниями аналогичных кирпичных столбов. Следовательно, этот способ дорог, имеет малую технологическую возможность к повторным испытаниям, трудоемок и опасен для испытателей.
Известен способ оценки огнестойкости кирпичных столбов здания по результатам натурных огневых испытаний фрагмента здания, в котором проводят осмотр конструкций, определяют влажность материалов кладки, назначают статическую нагрузку на конструкцию соответственно реальным условиям эксплуатации здания, определяют факторы, влияющие на огнестойкость испытуемых конструкций, и величину предела огнестойкости /НПБ 233-97. Здания и фрагменты зданий. Метод натурных огневых испытаний. Общие требования. – М.: ВНИИПО, 1997. – С.6-12/ [2].
К причинам, препятствующим достижению указанного ниже технического результата при использовании известного способа, относится то, что в известном способе велики экономические затраты на проведение огневых испытаний, наблюдения за состоянием кирпичных столбов в условиях экспериментального пожара затруднено и небезопасно, вследствие различий теплового режима опытного и стандартного пожаров затруднено определение истинных значений пределов огнестойкости кирпичных столбов, причины разрушения кирпичных столбов фрагмента могут быть не установлены вследствие многообразия одновременно действующих факторов пожара. Предельное состояние по огнестойкости кирпичных столбов может быть не достигнуто из-за более раннего разрушения изгибаемых элементов покрытия фрагмента /Огнестойкость зданий. / В.П.Бушев, В.А.Пчелинцев, B.C.Федоренко, А.И.Яковлев. – М.: Стройиздат, 1970. – С.252-256/ [3].
Наиболее близким способом того же назначения к заявленному изобретению по совокупности признаков является способ определения огнестойкости кирпичных столбов здания путем испытания, включающего проведение технического осмотра, установление вида кирпича, камня и раствора кладки, выявление условия их опирания и крепления, определение времени наступления предельного состояния по потере несущей способности столбов под нормативной нагрузкой в условиях стандартного пожара /ГОСТ 30247.1-94. Конструкции строительные. Методы испытаний на огнестойкость. Несущие и ограждающие конструкции. – М.: Издательство стандартов, 1995. – 7 с./ [4]; – принят за прототип.
К причинам, препятствующим достижению указанного ниже технического результата при использовании известного способа, принятого за прототип, относится то, что в известном способе испытания проводят на образцах кирпичных столбов, на которые воздействуют только постоянные и длительные нагрузки в их расчетных значениях с коэффициентом надежности, равным единице, то есть проектные нормативные нагрузки.
Испытания проводят на специальном стендовом оборудовании в огневых печах до разрушения образцов кирпичных столбов. Размеры образцов ограничивают в зависимости от проемов стационарных печей. Следовательно, стандартные огневые испытания трудоемки, не эффективны, не безопасны, имеют малые технологические возможности для проверки на опыте различных по размерам и различно нагруженных кирпичных столбов, не дают необходимой информации о влиянии единичных показателей качества кирпичных столбов на ее огнестойкость. Определение огнестойкости кирпичных столбов по единичному показателю качества, например, по размеру меньшей стороны прямоугольного сечения столба, как правило, недооценивает пригодность эксплуатации кирпичных столбов в здании заданной степени огнестойкости. Экономические затраты на проведение испытаний возрастают за счет расходов на возведение образца кирпичных столбов по месту установки нагревательных печей и на создание в них стандартного теплового режима. По малому числу испытуемых образцов (2-3 шт.) невозможно судить о действительном состоянии кирпичных столбов здания. Результаты огневого испытания единичны и не учитывают разнообразия в кирпичных столбов каменных стен, их фактических размеров, схемы обогрева опасного сечения испытуемых столбов.
Сущность изобретения заключается в следующем. Задача, на решение которой направлено заявленное изобретение, состоит в установлении показателей пожарной безопасности здания в части гарантированной длительности сопротивления неармированных кирпичных столбов в условиях пожара; в определении фактических (проектных) пределов огнестойкости кирпичных столбов при проектировании, строительстве и/или эксплуатации здания; в снижении экономических затрат при испытании конструкций на огнестойкость.
Технический результат – устранение огневых испытаний кирпичных столбов в здании или его фрагменте; снижение трудоемкости определения огнестойкости кирпичных столбов; расширение технологических возможностей определения фактической огнестойкости различно нагруженных кирпичных столбов любых размеров и возможность сопоставления полученных результатов с испытаниями аналогичных конструкций здания; возможность проведения испытания кирпичных столбов на огнестойкость без нарушения функционального процесса в здании; снижение экономических затрат на испытание; сохранение эксплуатационной пригодности здания при обследовании и неразрушающих испытаниях кирпичных столбов; упрощение условий и сокращение сроков испытания кирпичных столбов на огнестойкость; использование полипараметрической зависимости для определения огнестойкости кирпичных столбов; повышение точности и экспрессивности испытания; получение возможности решения обратных задач огнестойкости столбов и применения метода подбора переменных значений ее конструктивных параметров; использование интегральных конструктивных параметров для определения огнестойкости кирпичных столбов и упрощение математического описания процесса термического сопротивления нагруженных кирпичных столбов; повышение достоверности результатов испытаний группы однотипных кирпичных столбов; учет реального ресурса кирпичных столбов на предел огнестойкости использованием комплекса единичных показателей их качеств; уточнение единичных показателей качества неармированных кирпичных столбов, влияющих на их огнестойкость; возможность определения гарантированного предела огнестойкости кирпичных столбов по конструктивным параметрам.
Указанный технический результат при осуществлении изобретения достигается тем, что в известном способе определения огнестойкости кирпичных столбов здания путем испытания, включающего проведение технического осмотра, установление вида кладки, марок кирпича и раствора, упругой характеристики кладки, выявление условий опирания и крепления столбов, определение времени наступления предельного состояния по огнестойкости неармированных кирпичных столбов под нормативной нагрузкой в условиях стандартного пожара, особенность заключается в том, что испытание неармированных кирпичных столбов проводят без разрушения, используя комплекс единичных показателей качества неармированных кирпичных столбов, назначают число и место расположения участков, в которых определяют показатели качества, технический осмотр дополняют инструментальными измерениями геометрических размеров кирпичных столбов в их опасных сечениях, выявляют схему нагрева опасных сечений кирпичных столбов при пожаре, находят временное сопротивление сжатию кирпичной кладки, устанавливают нормативную нагрузку на кирпичные столбы при испытании на огнестойкость, определяют величину интенсивности силовых напряжений в опасных сечениях столбов, и, — используя полученные параметры единичных показателей качества неармированных кирпичных столбов:
mо – коэффициент условий обогрева поперечного сечения;
– коэффициент продольного изгиба кирпичных столбов (0,05÷1);
J 0 – интенсивность силовых напряжений в опасном сечении (0÷0,95);
h – размер меньшей стороны прямоугольного сечения столбов, мм;
Dкк – показатель тепловой диффузии кирпичной кладки, мм2/мин;
Ru – временное сопротивление сжатию кладки, МПа,
– вычисляют предел огнестойкости неармированных кирпичных столбов по потери несущей способности Fu(R), мин, по полипараметрической зависимости (1):

Следующая особенность предложенного способа заключается в том, что коэффициент условий обогрева поперечного сечения (mо) определяют по формуле (2):

где mо – коэффициент условий обогрева поперечного сечения;
Р и Рo – соответственно периметр поперечного сечения и часть периметра, обогреваемая в условиях пожара, мм.
Особенность предложенного способа заключается в том, что коэффициент продольного изгиба неармированных кирпичных столбов ( ) определяют по формуле (3):

где k – показатель деформативности кладки, который для прямоугольного сечения неармированного кирпичного столба вычисляют по формуле (4):

– упругая характеристика неармированной кладки;
h – меньшая сторона прямоугольных сечений столбов, мм;
lо – расчетная высота кирпичных столбов, мм;
для каменной конструкции любой формы сечения показатель деформати внести кладки вычисляют по формуле (5):

где r – радиус инерции сечения, мм.
Особенность предложенного способа заключается в том, что интенсивность силовых напряжений в опасном сечении неармированных кирпичных столбов от нормативной нагрузки при испытании на огнестойкость определяют из условия (6):

где J o – интенсивность силовых напряжений в опасном сечении (0÷0,95);
n – коэффициент уровня ответственности конструкций здания;
Ncc; N – соответственно несущая способность и нормативная нагрузка при испытании кирпичных столбов на огнестойкость, кН;
Ru; R – временное и расчетное сопротивление сжатию кладки, МПа.
Особенность предложенного способа заключается в том, что показатель диффузии тепла кладки неармированных кирпичных столбов Dкк, мм2/мин, определяют экспериментально при осредненной температуре tm=450°C или находят из аналитического выражения (7):

где 0 и Со – соответственно коэффициент теплопроводности, Вт/(м·°С), и удельная теплоемкость, кДж/(кг·°С), кладки при tн=20°С;
tm – температура нагрева кладки по сечению столбов (450°С);
b и d – термические показатели коэффициента теплопроводности, Вт/(м·°С), и удельной теплоемкости, кДж/(кг·°С), кладки;
и с – влажность кладки, %, по массе и средняя плотность сухого материала кладки, кг/м3.
В формуле (7) знак «плюс» применяют для керамического кирпича; знак «минус» – для силикатного кирпича.
Особенность предложенного способа заключается в том, что за единичные показатели качества неармированных кирпичных столбов, влияющие на предел огнестойкости по потери несущей способности Fu(R), мин, принимают: геометрические размеры, условия опирания и закрепления столбов, размер меньшей стороны поперечных сечений столбов, коэффициент продольного изгиба, прочность кирпича и раствора, упругую характеристику кладки, временное сопротивление сжатию кладки, несущую способность столбов и нормативную нагрузку на них при испытании на огнестойкость, коэффициент запаса по несущей способности столбов, интенсивность силовых напряжений в опасном сечении; показатели влажности, плотности и диффузии тепла кладки.
Особенность предложенного способа заключается в том, что неразрушающие испытания проводят для группы однотипных неармированных кирпичных столбов, различия между прочностью кирпича и раствора которых обусловлены главным образом случайным фактором.
Особенность предложенного способа заключается в том, что число испытаний nuc единичного показателя качества неармированных кирпичных столбов, при вероятности результата 0,95 и точности 5%, принимают по формуле (8):

где – выборочный коэффициент вариации результатов испытаний, %.
Особенность предложенного способа заключается в том, что в случае, когда все единичные показатели качества неармированных кирпичных столбов, при М более 9 шт, находятся в контрольных пределах, минимальное целое число столбов в выборке по плану сокращенных испытаний Ммин, шт., назначают из условия (9):

где М – число однотипных кирпичных столбов в здании, шт.
Особенность предложенного способа заключается в том, что в случае, когда хотя бы один из единичных показателей качества неармированных кирпичных столбов выходит за границы контрольных пределов, минимальное число испытуемых конструкций в выборке по норме вычисляют по формуле (10):

Особенность предложенного способа заключается в том, что в случае, когда хотя бы один из единичных показателей качества неармированных кирпичных столбов выходит за границы допустимых пределов или М 5 шт., неразрушающему испытанию подвергают все однотипные столбы здания поштучно.
Особенность предложенного способа заключается в том, что в случае, когда хотя бы один из единичных показателей качества каменных стен выходит за границы допустимых пределов или М 5 шт., неразрушающему испытанию подвергают все однотипные стены здания поштучно.
Причинно-следственная связь между совокупностью признаков и техническим результатом заключена в следующем.
Устранение огневых испытаний кирпичных столбов существующего здания и замена их на неразрушающие испытания снижают трудоемкость определения их огнестойкости, расширяет технологические возможности выявления фактической огнестойкости различно нагруженных кирпичных столбов любых размеров, дает возможность проведения испытания кирпичных столбов на огнестойкость без нарушения функционального процесса обследуемого здания, а также сопоставления полученных результатов со стандартными испытаниями аналогичных неармированных кирпичных столбов и сохранения эксплуатационной пригодности обследуемого здания без нарушения несущей способности его конструкций в процессе испытания. Следовательно, условия испытания кирпичных столбов на огнестойкость значительно упрощены.
Снижение экономических затрат на проведение испытания предусматривают за счет уменьшения расходов на возведение и огневые испытания образцов конструкций.
Применение математического описания процесса сопротивления неармированных кирпичных столбов стандартному тепловому испытанию и использование полипараметрических зависимостей повышают точность и экспрессивность оценки их огнестойкости.
Использование интегральных параметров, как то: степени напряжения расчетного сечения неармированных кирпичных столбов и показателя тепловой диффузии каменной кладки, – упрощает математическое описание процесса сопротивления несущих конструкций тепловому воздействию.
В предложенном техническом решении предусматривают проведение испытаний не одной, а группы однотипных неармированных кирпичных столбов. Это позволяет в 5-15 раз увеличить число испытуемых конструкций и повысить достоверность результатов испытаний и технического осмотра здания. Определение огнестойкости неармированных кирпичных столбов только по одному показателю качества, например, по толщине кирпичных столбов, приводит, как правило, к недооценке их предела огнестойкости, поскольку влияние на него вариаций единичных показателей качества неармированных кирпичных столбов имеют различные знаки, и снижение огнестойкости за счет одного показателя может быть компенсировано другими. Вследствие этого в предложенном способе оценку огнестойкости неармированных кирпичных столбов предусматривают не по одному показателю, а по комплексу единичных показателей их качества. Это позволяет более точно учесть реальный ресурс огнестойкости неармированных кирпичных столбов. Уточнен комплекс единичных показателей качества неармированных кирпичных столбов, влияющих на их пределы огнестойкости, определяемых неразрушающими испытаниями.
Уточнено минимальное число неразрушающих испытаний единичного показателя качества неармированных кирпичных столбов. Принятая величина выборки из общего числа однотипных кирпичных столбов здания обеспечивает достоверность, снижает сроки и трудоемкость проведения испытаний.
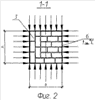
На фиг.1 приведено продольное сечение неармированного кирпичного столба;
На фиг.2 – поперечное сечение 1-1 неармированного кирпичного столба с 4-сторонним нагревом в условиях стандартного огневого испытания;
На фиг.3 – показан 1-сторонний нагрев сечения неармированного кирпичного столба;
На фиг.4 и 5 – показаны варианты 3-стороннего нагрева сечения неармированного кирпичного столба в условиях стандартного огневого испытания:
1 – неармированный кирпичный столб; продольное сечение;
2 – тепловой поток стандартного огневого испытания, tcm, °C;
3 – поперечное сечение неармированного кирпичного столба с размерами b×h, мм;
4 – швы кладки, заполненные раствором, шв=10÷12 мм;
5 – нормативная нагрузка на неармированный кирпичный столб в условиях испытания на огнестойкость, N , кН;
6 – обогреваемая часть периметра поперечного сечения;
7 – необогреваемая часть периметра поперечного сечения.
Теплофизические характеристики строительных материалов для каменных кладок (включая значения Dkm, мм2/мин) приведены в табл.1.
Таблица 1 Теплофизические характеристики строительных материалов |
| Материал |
Плотность с, кг/м3 |
Влажность , % |
Параметры теплопроводности, Вт/(м·°С), и теплоемкости материала, кДж/(кг·°С) |
Коэф-т диффузии тепла Dkm, мм2/мин |
0 |
b |
C0 |
d |
| 1 |
2 |
3 |
4 |
5 |
6 |
7 |
8 |
| 1 Растворы цементные, известковые и гипсовые |
| 1.1 Цементно-песчаный |
1800 |
2 |
0,58 |
0,35 |
0,84 |
0,63 |
20,1 |
| 1.2 Сложный (песок, известь, цемент) |
1700 |
2 |
0,52 |
0,35 |
0,84 |
0,63 |
19,54 |
| 1.3 Известково-песчаный |
1600 |
2 |
0,47 |
0,35 |
0,84 |
0,63 |
19,23 |
| 1.4 Цементно-шлаковый |
1400 |
2 |
0,41 |
0,35 |
0,84 |
0,63 |
19,90 |
| 1.5 То же |
1200 |
2 |
0,35 |
0,34 |
0,84 |
0,62 |
20,63 |
| 1.6 Цементно-перлитовый |
1000 |
7 |
0,21 |
0,33 |
0,84 |
0,62 |
14,64 |
| 1.7 То же |
800 |
7 |
0,16 |
0,32 |
0,84 |
0,62 |
15,52 |
| 1.8 Гипсо-перлитовый |
600 |
10 |
0,14 |
0,31 |
0,84 |
0,60 |
17,26 |
| 1.9 То же, поризованный |
500 |
6 |
0,12 |
0,30 |
0,84 |
0,60 |
21,56 |
| 1.10 То же |
400 |
6 |
0,09 |
0,30 |
0,84 |
0,58 |
24,10 |
| 1.11 Плиты из гипса (ГОСТ 6428) |
1200 |
4 |
0,35 |
0,8 |
0,84 |
0,62 |
26,91 |
| 1.12 То же |
1000 |
4 |
0,23 |
0,78 |
0,84 |
0,62 |
26,43 |
| 1.13 Листы гипсовые облицовочные (сухая штукатурка) (ГОСТ 6266) |
800 |
4 |
015 |
0,74 |
0,84 |
0,62 |
27,46 |
1.14 То же, =900 кг/м3 |
900 |
4 |
0,16 |
0,76 |
0,84 |
0,62 |
25,37 |
2 Кирпичная кладка из керамического камня и кирпича на теплоизоляционном цементно-перлитовом растворе ( о=800 кг/м3) |
2.1 Камня керамического крупноформатного пустотелого из пористой керамики, о=600 кг/м3 |
630 |
1 |
0,12 |
0,21 |
0,88 |
0,38 |
18,55 |
2.2 То же, о=800 кг/м3 |
800 |
1 |
0,17 |
0,22 |
0,88 |
0,40 |
18,2 |
2.3 Камня керамического пустотелого (250×120×138 мм) о=800 кг/м3 |
800 |
2 |
0,19 |
0,22 |
0,88 |
0,40 |
18,7 |
2.4 То же, о=1000 кг/м3 |
970 |
2 |
0,23 |
0,23 |
0,88 |
0,42 |
17,65 |
2.5 То же, о=1200 кг/м3 |
1140 |
2 |
0,25 |
0,23 |
0,88 |
0,42 |
15,92 |
2.6 То же, o=1400 кг/м3 |
1300 |
2 |
0,28 |
0,23 |
0,88 |
0,42 |
15,14 |
| Продолжение табл.1 |
| 1 |
2 |
3 |
4 |
5 |
6 |
7 |
8 |
2.7 Кирпича трепельного полнотелого одинарного утолщенного, о=900 кг/м3 |
960 |
2 |
0,28 |
0,22 |
0,88 |
0,42 |
20,3 |
2.8 То же, o=1000 кг/м3 |
1110 |
2 |
0,30 |
0,22 |
0,88 |
0,42 |
18,45 |
2.9 Кирпича керамического пустотелого одинарного утолщенного, о=1000 кг/м3 |
960 |
2 |
0,23 |
0,22 |
0,88 |
0,42 |
17,6 |
2.10 То же, o=1200 кг/м3 |
1110 |
2 |
0,27 |
0,22 |
0,88 |
0,42 |
17.06 |
2.11 То же, o=1400 кг/м3 |
1270 |
2 |
0,3 |
0,22 |
0,88 |
0,42 |
16,12 |
2.12 Кирпича керамического полнотелого одинарного утолщенного, о=1600 кг/м3 |
1430 |
2 |
0,45 |
0,22 |
0,88 |
0,42 |
19,7 |
2.13 То же, о=2000 кг/м3 |
1750 |
2 |
0,53 |
0,22 |
0,88 |
0,42 |
18,45 |
3. Кирпичная кладка из силикатного кирпича и камня на цементно-песчаном растворе ( o=1800 кг/м3) (ГОСТ 379) |
3.1 Полнотелого одинарного кирпича, о=2000 кг/м |
1960 |
2 |
1,06 |
-0,36 |
0,88 |
0,61 |
21,91 |
3.2 То же, о=1800 кг/м3 |
1800 |
2 |
0,78 |
-0,35 |
0,88 |
0,60 |
24,1 |
3.3 Пустотелого одинарного и утолщенного кирпича, о=1600 кг/м3 |
1640 |
2 |
0,68 |
-0,35 |
0,88 |
0,60 |
26,41 |
3.4 Пустотелого 11-пустотного утолщенного кирпича и камня, о=1400 кг/м3 |
1500 |
2 |
0,64 |
-0,35 |
0,88 |
0,60 |
15,44 |
3.5 Пустотелого 14-пустотного утолщенного кирпича и камня, о=1300 кг/м3 |
1400 |
2 |
0,52 |
-0,35 |
0,88 |
0,60 |
12,42 |
3.6 То же, о=1200 кг/м3 |
1300 |
2 |
0,43 |
-0,35 |
0,88 |
0,60 |
10,1 |
3.7 Кладка из шлакового кирпича и камня ( о=1400 кг/м) на цементно-песчаном растворе ( о=1800 кг/м3) |
1500 |
1,5 |
0,52 |
-0,35 |
0,88 |
0,60 |
11,84 |
Здесь 0 и С0 – соответственно значения теплопроводности, Вт/(м·°С), и теплоемкости, кДж/(кг·°С), строительных материалов при tн=200С;
b и d – соответственно термические коэффициенты теплопроводности и теплоемкости материалов, умноженные на 1000.
Сведения, подтверждающие возможность осуществления изобретения с получением указанного выше технического результата.
Последовательность действия способа определения огнестойкости неармированных кирпичных столбов зданий состоит в следующем.
Сначала проводят визуальный осмотр здания. Затем определяют группу однотипных неармированных кирпичных столбов и их общее число в ней. Вычисляют величину выборки однотипных конструкций. Назначают комплекс единичных показателей качества неармированных кирпичных столбов, влияющих на огнестойкость. Выявляют условия закрепления концов и опасные сечения неармированных кирпичных столбов. Вычисляют число испытаний единичного показателя качества неармированных кирпичных столбов в зависимости от его статистической изменчивости. Затем оценивают единичные показатели качества неармированных кирпичных столбов и их интегральные параметры, и наконец, по ним находят предел огнестойкости испытуемых столбов.
Под визуальным осмотром понимают проверку состояния неармированных кирпичных столбов, включающую выявление условий закрепления отдельных столбов, определение марки кирпича и раствора, наличие трещин и отколов, минимальный размер меньшей стороны прямоугольного сечения столбов.
В процессе осмотра определяют группы однотипных элементов конструкций. Под группой элементов конструкций в здании понимают однотипные неармированные кирпичные столбы, изготовленные и возведенные в сходных технологических условиях и находящихся в подобных условиях эксплуатации.
Для поверочных расчетов несущей способности неармированных кирпичных столбов определяют: высоту и ширину поперечного сечения столбов, расстояние между перекрытиями здания;
вид опор кирпичных столбов: жесткие (l0=0,7·Н), упругие;
толщину раствора под опорами столбов;
вид кирпичных столбов: из кирпича или керамических камней, из бетонных или природных камней; из ячеисто-бетонных камней;
тип кладки в зависимости от марок кирпича и камней; группа кладки в зависимости от марок раствора; вид кладки: армированная, неармированная;
Минимальное целое число конструкций в выборке по плану нормальных или сокращенных испытаний назначают из условий (9 и 10).
Пример 1. При числе однотипных неармированных кирпичных столбов в группе М=120 шт., число испытуемых принимают по норме Mн=5+М0,5=5+1200,5=16 шт.,
по сокращенному плану Ммин=0,3·(15+М0,5)=0,3·(15+1200,5)·8 шт.
При числе неармированных кирпичных столбов в группе М 5, их проверяют поштучно.
Число и место расположения участков, в которых определяют показатели качества неармированных кирпичных столбов, определяют так. В неармированных кирпичных столбах, имеющих одно опасное сечение, участки располагают только в этом сечении. В неармированных кирпичных столбах, имеющих несколько опасных сечений, испытуемые участки располагают равномерно по поверхности с обязательным расположением части участков в опасных сечениях.
К основным единичным показателям качества неармированных кирпичных столбов, определяющим огнестойкость, относятся: геометрические размеры столбов и меньшей стороны опасного сечения; условия опирания столбов, величина коэффициента продольного изгиба; прочность каменной кладки на сжатие, влажность, плотность, теплопроводность и теплоемкость в естественных условиях; показатель тепловой диффузии каменной кладки (коэффициент температуропроводности) в условиях пожара.
Число испытаний единичного показателя качества кирпичных столбов, при вероятности результата, равном 0,95, и показателе точности 5%, определяют по формуле (8);
при этом коэффициент вариации выборки =±100· /А;
среднее арифметическое А=(1/n)· mi,
(здесь mi – результат i-го испытания);
среднее квадратическое отклонение от среднего =±[(1/(n-1))· (xi)2]0,5;
(здесь (xi)2 – сумма квадратов всех отклонений от среднего);
средняя ошибка А=± /(2·n)0,5.
Проверяемыми геометрическими размерами являются: ширина и высота поперечного сечения столба, периметр опасного сечения и часть периметра, обогреваемая при пожаре; высота этажа.
Опасные сечения кирпичных столбов назначают в местах наибольших моментов от действия нормативной нагрузки при испытаниях на огнестойкость.
Размеры кирпичных столбов проверяют с точностью±1 мм; ширину трещин – с точностью до 0,05 мм.
Проверку прочности кирпича, камней и раствора кирпичных столбов, включенных в выборку или проверяемых поштучно, проводят неразрушающими испытаниями с применением механических и ультразвуковых приборов [1, с.31-38].
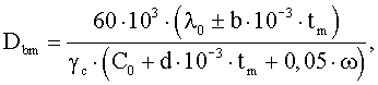
Показатели тепловой диффузии каменной кладки в условиях пожара определяют при 450°С. Для расчета интегрального его параметра по формуле (7) определяют плотность каменной кладки в естественном состоянии, влажность, а также коэффициент теплопроводности и удельную теплоемкость кладки при 450°С.
Используя полученные интегральные параметры mо; ; h, мм; J o, Dkm, мм2/мин; Ru, МПа, по формуле (1) находят предел огнестойкости Fu(R), мин, неармированных кирпичных столбов здания.
Временное сопротивление сжатию каменной кладки Ru, МПа, определяют по формуле (3) СНиП II-22-81 [5]:
Ru=k·R;
где k=2,0 – для кладки из кирпича и камней всех видов; k=2,5 – для кладки из ячеисто-бетонных блоков (см. табл.14 СНиП II-22-81);
R – расчетное сопротивление сжатию кладки, МПа, принимаемое по табл.2÷9 СНиП II-22-81 [5].
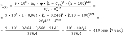
Пример 2. Исходные данные:
Неармированный кирпичный столб из пустотелого силикатного кирпича;
расчетная высота lо=Н=4800 мм;
размеры поперечного сечения h×b=510×640 мм;
площадь сечения А=h×b=51×640=3264 см2;
обогрев сечения 4-сторонний; периметр сечения и обогреваемая часть периметра Р=Pо=230 см;
расчетная длительная нагрузка Nдл=350 кН (35 тс);
марка кирпича 150, марка цементно-песчаного раствора 75,
упругая характеристика кладки а=750 (по табл.15 СНиП II-22-81 [5]);
показатель тепловой диффузии кирпичной кладки из пустотелого силикатного кирпича на цементно-песчаном растворе о=1800 кг/м3, – (см. табл.1), равен Dкк=26,41 мм2/мин;
уровень ответственности конструкций здания – II (второй): n=0,95;
временное и расчетное сопротивление сжатию кладки: Ru=4 МПа; R=2 МПа.
Требуется вычислить предел огнестойкости по потере несущей способности столба из пустотелого силикатного кирпича Fu(R), мин.
Решение: 1) Коэффициент условий обогрева сечения столба вычисляют по формуле (2):

2) Показатель деформативности кладки неармированного кирпичного столба вычисляют по формуле (4):

3) Коэффициент продольного изгиба неармированного кирпичного столба вычисляют по формуле (3):

4) Несущую способность неармированного кирпичного столба при центральном сжатии (при mg=1) вычисляют по формуле (10), СНиП II-22-81:

5) Нормативная нагрузка при огневом испытании (при kн=1,2):

6) Интенсивность силовых напряжений в опасном сечении кирпичного столба вычисляют по формуле (6):

7) Предел огнестойкости неармированного кирпичного столба из пустотелого силикатного кирпича по потере несущей способности Fu(R), мин, при 4-стороннем нагреве сечения определяют по зависимости (1):

Предложенный способ применен при натурном осмотре кирпичных столбов общественного здания в г.Самаре. Результаты неразрушающих испытаний кирпичных столбов h×b=510×640 мм; Dbm=26,41 мм2/мин; =0,864; J o=0,246; Ru=4 МПа, – предел огнестойкости кирпичных столбов, по потере несущей способности Fu(R)=410 мин (7 ч).
Следовательно, заявленное изобретение соответствует условию «промышленная применимость».
Источники информации
1. Ильин Н.А. Последствия огневого воздействия на железобетонные конструкции. – М.: Стройиздат, 1979. – 128 с. (см. с.16; 34-35).
2. Здания и фрагменты зданий. Метод натурных огневых испытаний. Общие требования. НПБ 233-97. – М.: ВНИИПО, 1997. – 14 с.
3. Огнестойкость зданий / В.П.Бушев, В.А.Пчелинцев, А.И.Яковлев. – М.: Стройиздат, 1970. – 261 с. (см. с.252-256).
4. ГОСТ 30247.1-94. Конструкции строительные. Методы испытаний на огнестойкость. Несущие и ограждающие конструкции. – М.; 1995. – 7 с.
5. СНиП II-22-81. Каменные и арокаменные конструкции. Нормы проектирования. – М.: Стройиздат, 1983. – 40 с.
Формула изобретения
1. Способ определения огнестойкости кирпичных столбов здания путем испытания, включающего проведение технического осмотра, установление вида кладки, марок кирпича и раствора, упругой характеристики кладки, выявление условий опирания и крепления столбов, определение времени наступления предельного состояния по огнестойкости неармированных кирпичных столбов под нормативной нагрузкой в условиях стандартного пожара, отличающийся тем, что испытание неармированных кирпичных столбов проводят без разрушения, используя комплекс единичных показателей качества неармированных кирпичных столбов, назначают число и место расположения участков, в которых определяют показатели качества, технический осмотр дополняют инструментальными измерениями геометрических размеров кирпичных столбов в их опасных сечениях, выявляют схему нагрева опасных сечений кирпичных столбов при пожаре, находят временное сопротивление сжатию кирпичной кладки, устанавливают нормативную нагрузку на кирпичные столбы при испытании на огнестойкость, определяют величину интенсивности силовых напряжений в опасных сечениях столбов, и, используя полученные параметры единичных показателей качества неармированных кирпичных столбов: m0 – коэффициент условий обогрева поперечного сечения;
– коэффициент продольного изгиба кирпичных столбов (0,05÷1); J 0 – интенсивность силовых напряжений в опасном сечении (0÷0,95); h – размер меньшей стороны прямоугольного сечения столбов, мм; Dкк – показатель тепловой диффузии кирпичной кладки, мм2/мин; Ru – временное сопротивление сжатию кладки, МПа, вычисляют предел огнестойкости неармированных кирпичных столбов по потери несущей способности Fu(R), мин, по полипараметрической зависимости (1):

2. Способ по п.1, отличающийся тем, что коэффициент условий обогрева поперечного сечения (m0) определяют по формуле (2)
 где m0 – коэффициент условий обогрева поперечного сечения; Р и Р0 – соответственно периметр поперечного сечения и часть периметра, обогреваемая в условиях пожара, мм.
3. Способ по п.1, отличающийся тем, что коэффициент продольного изгиба неармированных кирпичных столбов ( ) определяют по формуле (3)
 где к – показатель деформативности кладки, который для прямоугольного сечения неармированного кирпичного столба вычисляют по формуле (4)
 где – упругая характеристика неармированной кладки; h – меньшая сторона прямоугольных сечений столбов, мм; l0 – расчетная высота кирпичных столбов, мм, для каменной конструкции любой формы сечения показатель деформативности кладки вычисляют по формуле (5)
 где r – радиус инерции сечения, мм.
4. Способ по п.1, отличающийся тем, что интенсивность силовых напряжений в опасном сечении неармированных кирпичных столбов от нормативной нагрузки при испытании на огнестойкость определяют из условия (6)
 где J 0 – интенсивность силовых напряжений в опасном сечении (0÷0,95);
n – коэффициент уровня ответственности конструкций здания; Ncc; N – соответственно несущая способность и нормативная нагрузка при испытании кирпичных столбов на огнестойкость, кН; Ru; R – временное и расчетное сопротивление сжатию кладки, МПа.
5. Способ по п.1, отличающийся тем, что показатель диффузии тепла кладки неармированных кирпичных столбов Dкк, мм2/мин, определяют экспериментально при осредненной температуре tm=450°C или находят из аналитического выражения (7):
 где 0 и С0 – соответственно коэффициент теплопроводности, Вт/(м·°С), и удельная теплоемкость, кДж/(кг·°С), кладки при tн=20°С; tm – температура нагрева кладки по сечению столбов (450°С); b и d – термические показатели коэффициента теплопроводности, Вт/(м·°С), и удельной теплоемкости, кДж/(кг·°С), кладки;
и с – влажность кладки, %, по массе, и средняя плотность сухого материала кладки, кг/м3, причем в формуле (7) знак «плюс» применяют для керамического кирпича; знак «минус» – для силикатного кирпича.
6. Способ по п.1, отличающийся тем, что за единичные показатели качества неармированных кирпичных столбов, влияющие на предел огнестойкости по потери несущей способности Fu(R), мин, принимают геометрические размеры, условия опирания и закрепления столбов, размер меньшей стороны поперечных сечений столбов, коэффициент продольного изгиба, прочность кирпича и раствора, упругую характеристику кладки, временное сопротивление сжатию кладки, несущую способность столбов и нормативную нагрузку на них при испытании на огнестойкость, коэффициент запаса по несущей способности столбов, интенсивность силовых напряжений в опасном сечении, показатели влажности, плотности и диффузии тепла кладки.
7. Способ по п.1, отличающийся тем, что неразрушающие испытания проводят для группы однотипных неармированных кирпичных столбов, различия между прочностью кирпича и раствора которых обусловлены, главным образом, случайным фактором.
8. Способ по п.1, отличающийся тем, что число испытаний nuc единичного показателя качества неармированных кирпичных столбов при вероятности результата 0,95 и точности 5% принимают по формуле (8)
 где – выборочный коэффициент вариации результатов испытаний, %.
9. Способ по п.1, отличающийся тем, что в случае, когда все единичные показатели качества неармированных кирпичных столбов, при М более 9 шт., находятся в контрольных пределах, минимальное целое число столбов в выборке по плану сокращенных испытаний Ммин, шт., назначают из условия (9)
 где М – число однотипных кирпичных столбов в здании, шт.
10. Способ по п.1, отличающийся тем, что в случае, когда хотя бы один из единичных показателей качества неармированных кирпичных столбов выходит за границы контрольных пределов, минимальное число испытуемых конструкций в выборке по норме вычисляют по формуле (10)

11. Способ по п.1, отличающийся тем, что в случае, когда хотя бы один из единичных показателей качества неармированных кирпичных столбов выходит за границы допустимых пределов или М 5 шт., неразрушающему испытанию подвергают все однотипные столбы здания поштучно.
12. Способ по п.1, отличающийся тем, что в случае, когда хотя бы один из единичных показателей качества каменных стен выходит за границы допустимых пределов или М 5 шт., неразрушающему испытанию подвергают все однотипные стены здания поштучно.
РИСУНКИ
|
|