|
(21), (22) Заявка: 2008101586/28, 15.01.2008
(24) Дата начала отсчета срока действия патента:
15.01.2008
(46) Опубликовано: 27.05.2009
(56) Список документов, цитированных в отчете о поиске:
RU 2168167 C2, 27.05.2001. SU 1793315 А1, 07.02.1993. SU 1562817 A1, 07.05.1990. SU 712737 A, 30.01.1980. SU 724977 A, 30.03.1980.
Адрес для переписки:
392006, г.Тамбов-6, ТВВАИУРЭ (ВИ), научно-исследовательский отдел, В.А. Ивановскому
|
(72) Автор(ы):
Ивановский Василий Андреевич (RU)
(73) Патентообладатель(и):
Государственное образовательное учреждение высшего профессионального образования Тамбовское высшее военное авиационное инженерное училище радиоэлектроники (Военный институт) (RU)
|
(54) СПОСОБ ОПРЕДЕЛЕНИЯ МОДУЛЯ УПРУГОСТИ ПРИ РАСТЯЖЕНИИ ЭЛАСТОМЕРОВ
(57) Реферат:
Изобретение может быть использовано при производстве высокомолекулярных соединений, а также для прогнозирования изменения физических свойств полимеров при различных условиях эксплуатации. Сущность изобретения заключается в том, что помещают исследуемый образец полимерной системы плотности в первичный измерительный преобразователь емкостного типа, производят нагрев образца при линейном повышении температуры Т со скоростью , измеряют и регистрируют на его зажимах в течение промежутка времени t напряжение тепловых электрических флуктуаций u(t), определяют максимальное значение среднего квадрата напряжения электрических флуктуаций, соответствующее температуре стеклования Т , при данной температуре определяют значение диэлектрической проницаемости без воздействия на испытуемый образец внешнего электромагнитного поля  f, рассчитывают величину коэффициента жесткости , энергию активации W и время молекулярной релаксации 0 , по полученным данным рассчитывают модуль упругости при растяжении по предложенной формуле. Изобретение обеспечивает повышение информативности неразрушающего и энергетически не возмущающего определения модуля упругости при растяжении эластомеров, находящихся в высокоэластическом состоянии. 6 табл.
Изобретение относится к измерительной технике и может быть использовано при производстве высокомолекулярных соединений, а также для прогнозирования изменения физических свойств полимеров при различных условиях эксплуатации.
Известны способы измерения модуля упругости Е при растяжении материалов из пластических масс (см. ГОСТ 11262-81). Из материала, подлежащего испытанию, подготавливают образец (см. ГОСТ 11262-80). Модуль упругости Е определяют как отношение приращения механического напряжения к соответствующему приращению относительного удлинения (ГОСТ 9550-81) по формуле:

где F2 – нагрузка, соответствующая относительному удлинению 0,3%; F1 – нагрузка, соответствующая относительному удлинению 0,2%; l0 – расчетная длина образца; А0 – площадь начального поперечного сечения образца; l2 – удлинение, соответствующее нагрузке F2; l1 – удлинение, соответствующее нагрузке F1.
Основные недостатки такой методики заключаются в том, что результаты испытаний в сильной степени зависят от геометрической формы образца, способа создания поля механических напряжений в измерительном устройстве. Это обусловливает низкую точность определения упругих характеристик.
Наиболее близким техническим решением к изобретению является способ определения модуля упругости при растяжении эластомеров (см. Ивановский В.А., Зеленев Ю.В., Отмахова Т.В., Григорьев В.В. Способ определения модуля упругости при растяжении эластомеров. – Патент РФ по классу G01N 25/00 от 27.05.2005 г. – Опубл. 27.05.2001. Бюл. 15).
Сущность изобретения заключается в том, что измеряют температуру Т , энергию активации W процесса -релаксации для испытуемого образца дилатометрическим методом; исследуемый материал помещают в конденсаторный первичный измерительный преобразователь, измеряют – средний квадрат тока тепловых электрических флуктуации, соответствующую gx – активную шумовую проводимость при температуре испытаний Т, вычисляют модуль упругости при растяжении Е по формуле:

где f – эффективная частота определения температуры Т – релаксации, k – постоянная Больцмана, – плотность образца, f – полоса частот измерений флуктуационных напряжений, по которым определяются и gx.
Недостатком данного способа является необходимость использования различных способов (дилатометрического и способа на основе электрофлуктуационных измерений) для достижения цели.
Техническим результатом изобретения является повышение информативности неразрушающего и энергетически не возмущающего определения модуля упругости при растяжении эластомеров, находящихся в высокоэластическом состоянии.
Сущность изобретения заключается в том, что помещают исследуемый образец полимерной системы плотности в первичный измерительный преобразователь емкостного типа, производят нагрев образца при линейном повышении температуры Т со скоростью , измеряют и регистрируют на его зажимах в течение промежутка времени t напряжение тепловых электрических флуктуаций u(t), определяют максимальное значение среднего квадрата напряжения электрических флуктуаций, соответствующее температуре стеклования Т , при данной температуре определяют значение диэлектрической проницаемости без воздействия на испытуемый образец внешнего электромагнитного поля  f, рассчитывают величину коэффициента жесткости , энергию активации W и время молекулярной релаксации 0 , по полученным данным рассчитывают модуль упругости при растяжении по формуле:

где 
где k – постоянная Больцмана, R – универсальная газовая постоянная, 0 – частота измерений, А – константа, определяемая структурой полимера.
Сущность изобретения поясняется следующим образом. Известно, что свойства эластомеров, находящихся в высокоэластическом состоянии, во многом обусловлены процессами молекулярной подвижности их структурных элементов. В качестве кинетических, определяющих упругие свойства сетчатых полимеров выступают сегменты – участки полимерной цепи, содержащие N мономерных звеньев. При бесконечно малой деформации модуль упругости при растяжении определяется (см. Нарисава И. Прочность полимерных материалов / Под ред. проф. Т.Екобери. Пер. с японского к.ф.-м.н. Ю.Н.Товмасяна. – М.: Химия, 1987. – 400 с.) как:

где k – постоянная Больцмана, Т – термодинамическая температура, N0 – количество кинетических единиц в единице объема между узлами полимерной сетки. Если среднюю молекулярную массу участков полимерной цепи между узлами обозначить М, то выражение (5) можно переписать в виде:

где – плотность полимера, V – объем сегмента.
Методами релаксационной спектрометрии установлено, что объем сегмента V может быть найден при исследовании процесса -релаксации и определен по следующей формуле:

где В – коэффициент, зависящий от объема кинетической единицы, и для сегментов имеет смысл периода колебаний 0 сегмента около положения равновесия (см. Бартенев Г.М., Зеленев Ю.В. Физика и механика полимеров. М.: Высшая школа, 1983, с.130). Характерное время 0 процесса -релаксации зависит от температуры

где W – энергия активации, Т – температура проявления процесса -релаксации, R – универсальная газовая постоянная. Тогда

В последнем выражении  – эффективная частота определения температуры Т .
Поместим исследуемый образец эластомера толщиной d в конденсаторный первичный измерительный преобразователь. При нагреве образца при линейном повышении температуры Т со скоростью измеряют и регистрируют на его зажимах в течение промежутка времени t напряжение тепловых электрических флуктуаций u(t).
По полученным данным рассчитывают (см. Патент РФ 2216013, МПК G01N 27/22, 25/00. Опубл. 10.11.03. Бюл. 31):
– автокорреляционную функцию R( ) сигнала u(t):

– время молекулярной релаксации

где R(0) – дисперсия сигнала u(t), – время, =0 t.
При температуре Т , соответствующей максимуму дисперсии сигнала R(0), равной максимальному значению среднего квадрата напряжения электромагнитных флуктуаций рассчитывают энергию активации процесса -релаксации (см. Патент РФ 2216012, МПК G01N 27/00, 25/00. – Опубл. 10.11.03. Бюл. 31):

где  – частота, соответствующая максимальной спектральной плотности напряжения электромагнитных флуктуаций:

 – время молекулярной релаксации при температуре Т .
Между температурой стеклования полимера T и коэффициентом равновесной жесткости макромолекул существует соотношение (см. Привалко В.П. Молекулярное строение и свойства полимеров. – Л.: Химия, 1986. – С.87)

где А – константа, определяемая структурой полимера (Таблицы 1 6).
   
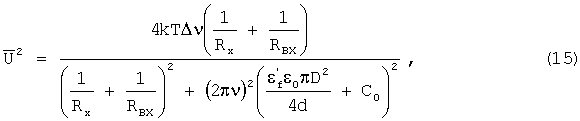
Для среднего квадрата напряжения электромагнитных флуктуаций полимерной системы, помещенной в первичный измерительный преобразователь емкостного типа, при том условии, что величина сигнала намного больше, чем шум измерительной системы, можно записать следующее выражение

где 1/Rx – активная проводимость первичного преобразователя, 1/RВХ – активная проводимость измерительной системы, k – постоянная Больцмана, – частота измерений,  – полоса частот, 0 – электрическая постоянная, D – диаметр дисковых электродов первичного преобразователя, d – толщина образца полимера, С0 – емкость измерительной системы,  f – диэлектрическая проницаемость полимера, определенная без воздействия на испытуемый образец внешнего электромагнитного поля.
Для некристаллических полимерных систем вид зависимости от температуры имеет вид кривой с максимумом (см. Авт. свид. 1742689 СССР, G01N 27/22. Способ определения температуры механического стеклования полимеров / В.А.Ивановский, Ю.В.Зеленев; заявитель и патентообладатель Тамбовское ВВАИУ. – 4801522; заявл. 01.05.1990; опубл. 23.06.1992. Бюл. 13. – 6 с). Максимум же может наблюдаться лишь в том случае, когда вещественная часть комплексной проводимости первичного преобразователя равна мнимой, т.е.

Для температуры стеклования выражение (5) может быть представлено в виде

Данный факт позволяет получить однозначную зависимость между диэлектрической проницаемостью  f, максимумом среднего квадрата напряжения электромагнитных флуктуаций на зажимах первичного преобразователя при температуре стеклования Т , конструктивных параметров преобразователя D, d, C0 и коэффициентом равновесной жесткости полимера

Диэлектрическая проницаемость  f и коэффициент равновесной жесткости исследуемой полимерной системы определяются по известным способам (см. 1. Пат. 22295732 РФ, G01R 27/26. Способ определения диэлектрических характеристик полимеров / В.А.Ивановский; заявитель и патентообладатель Тамбовское ВВАИУ. – 2005119535; заявл. 23.06.05; опубл. 20.03.07. Бюл. 8. – 6 с; 2. Пат. 2298174 РФ, G01N 25/02. Способ определения коэффициента равновесной жесткости полимеров / В.А.Ивановский; заявитель и патентообладатель Тамбовское ВВАИУ. – 200610369; заявл. 17.01.06; опубл. 27.04.07. Бюл. 12 – 5 с.).
На основании соотношений (6), (7), (9), (14), (17) для модуля упругости при растяжении Е получаем следующее выражение

Предлагаемый способ определения модуля упругости при растяжении эластомеров позволяет существенно расширить экспериментальные возможности анализа высокомолекулярных соединений.
Формула изобретения
Способ определения модуля упругости при растяжении эластомеров, заключающийся в том, что измеряют температуру стеклования Т , энергию активации W процесса – релаксации для испытуемого образца, помещают исследуемый образец полимерной системы плотности в первичный измерительный преобразователь емкостного типа, отличающийся тем, что производят нагрев образца при линейном повышении температуры Т со скоростью , измеряют и регистрируют на его зажимах в течение промежутка времени t напряжение тепловых электрических флуктуаций u(t), определяют максимальное значение среднего квадрата напряжения электрических флуктуаций, соответствующее температуре стеклования Т , при данной температуре определяют значение диэлектрической проницаемости без воздействия на испытуемый образец внешнего электромагнитного поля  f, рассчитывают величину коэффициента жесткости , энергию активации W и время молекулярной релаксации 0 , по полученным данным рассчитывают модуль упругости при растяжении
, где k – постоянная Больцмана, А – константа, определяемая структурой полимера.
|