|
|
(21), (22) Заявка: 2007124240/28, 27.06.2007
(24) Дата начала отсчета срока действия патента:
27.06.2007
(43) Дата публикации заявки: 10.01.2009
(46) Опубликовано: 27.05.2009
(56) Список документов, цитированных в отчете о поиске:
SU 890344 А, 15.12.1981. SU 639320 А, 25.07.1981. RU 2248556 С2, 20.03.2005. US 2002/0196436 А1, 26.12.2002.
Адрес для переписки:
630097, г.Новосибирск-97, а/я 21, В.В. Скорому
|
(72) Автор(ы):
Заякина Светлана Борисовна (RU), Лабусов Владимир Александрович (RU), Аношин Геннадий Никитович (RU), Путьмаков Анатолий Николаевич (RU)
(73) Патентообладатель(и):
ОБЩЕСТВО С ОГРАНИЧЕННОЙ ОТВЕТСТВЕННОСТЬЮ “ВМК-Оптоэлектроника” (RU)
|
(54) СПОСОБ ОДНОВРЕМЕННОГО ОПРЕДЕЛЕНИЯ РАСПРЕДЕЛЕНИЯ ЧАСТИЦ ПО МАССЕ В ДИСПЕРСНОЙ ПРОБЕ И КОНЦЕНТРАЦИИ ЭЛЕМЕНТОВ В ЧАСТИЦЕ ПРОБЫ
(57) Реферат:
Изобретение относится к атомно-эмиссионному спектральному анализу. Способ включает ввод пробы в факел плазмы, регистрацию последовательности атомно-эмиссионных спектров во время поступления пробы в плазму, вычисление интенсивности аналитической спектральной линии искомого элемента в зависимости от времени поступления пробы в факел плазмы, определение по градуировочной зависимости концентрации искомого элемента в пробе и определение распределения частиц пробы по массе. Концентрации всех искомых элементов определяют одновременно за счет того, что каждый спектр последовательности регистрируют в спектральном диапазоне, включающем аналитические спектральные линии искомых элементов, при этом вычисление интенсивности аналитических спектральных линий производят в каждом спектре с учетом фона под линией, после этого получают зависимости концентраций искомых элементов от времени поступления пробы в плазму, а по указанным зависимостям определяют массу частиц и концентрацию искомых элементов в частице. 5 з.п. ф-лы, 4 ил., 2 табл.
Изобретение относится к атомно-эмиссионному спектральному анализу и может быть использовано для определения элементного и гранулометрического состава твердых дисперсных образцов для различных научных и технологических целей: при геолого-геохимических, а также материаловедческих исследованиях (например, определение однородности распределения элементов в наноматериалах).
Степень извлечения благородных металлов из отечественного природного сырья весьма низка, а значит, велики потери этих металлов при переработке руд. В настоящее время существует задача переработки существующих отвалов, скопившихся вокруг заводов по переработки руд и загрязняющих окружающую среду, с целью извлечения из них благородных и других элементов, например, золота, платины, палладия, иридия и т.д. Указанные элементы могут находиться в концентрациях 10-5 мас.% и ниже. Также особенностью отвалов является неоднородность распределения в них элементов. В связи с этим перед аналитиками стоит задача определения не только содержания этих элементов, но и распределения их в конкретной пробе. Указанное распределение позволяет более корректно провести расчет валового содержания искомого элемента в объекте. Метод исследования должен дать информацию:
– о валовом содержании элемента в объекте;
– распределении частиц пробы по массе;
– концентрации элементов в частице дисперсной пробы. Также метод должен удовлетворять ряду требований:
– экспресность на уровне нескольких минут;
– относительная погрешность единичного измерения не должна превышать 10%;
– пределы обнаружения должны быть не выше 10-6 мас.%.
Известен способ прямого спектрального определения концентрации золота в порошковых пробах руд (см. а.с. СССР 639320, МКИ G01J 3/30, 1981 г.), включающий ввод порошковой пробы в факел плазмы СВЧ-плазмотрона, регистрацию фотоумножителем (ФЭУ) поглощения резонансных линий золота и расчет гранулометрического состава по градуировочным зависимостям. Достоинством известного способа является экспрессность метода, а также возможность определения гранулометрического состава тонкодисперсного золота и расчета погрешности пробоотбора, определяемого на основании статистических флюктуации массы золотин в аналитических навесках.
Недостатками известного способа являются, во-первых, одноэлементность метода, т.к. плазма просвечивается излучением спектральной лампой только определяемого элемента. Во-вторых, нерегулируемая скорость введения порошковой пробы не позволяет устранить влияние элементов основного (матричного) состава, высокие содержания которых влияют на условия возбуждения искомых элементов.
В третьих, анализ пробы ведется в атмосфере молекулярного газа (азот, воздух), что усложняет регистрируемый спектр молекулярными полосами.
Наиболее близким к заявляемому техническому решению (прототипом) является способ анализа пробы (а.с. СССР 890344, МКИ G01V 9/00, 1981 г.), включающий ввод порошковой пробы в факел плазмы угольной дуги путем просыпки-вдувания, регистрацию последовательности атомно-эмиссионных спектров во время поступления пробы в плазму в двух точках (центр спектральной линии и фон рядом с ней) с помощью двух ФЭУ, по которым вычисляется интенсивность спектральной линии искомого элемента, методом счета электрических импульсов и определения по ним концентрации элемента в пробе по эмпирической формуле. Каждый электрический импульс связан с частичкой самородного золота. Метод позволяет определять количество частиц золота определенного размера и на основании этого производить разбраковку проб. Достоинством метода является экспрессность, позволяющая производить приближенную оценку содержания золота в пробе.
Основными недостатками метода являются: во-первых, неэффективность возбуждения спектральных линий трудновозбудимых элементов, например титана, вольфрама и других, из-за недостаточно высокой температуры плазмы угольной дуги.
Во-вторых, нестабильность угольной дуги обуславливает высокую относительную погрешность, которая в отдельных случаях может достигать 50%.
В третьих, регистрация спектра с помощью ФЭУ ограничивает количество определяемых элементов.
В четвертых, погрешность определения по эмпирической формуле не учитывает влияния изменения матричного состава.
В пятых, для измерения концентрации пробы выше 10-4 мас.% требуется ее обязательное разбавление, т.к. при больших концентрациях происходит слияние импульсов от нескольких частиц, которые при этом регистрируются в виде одной частицы, чем сильно искажаются результаты анализа.
В шестых, метод применим только при определении самородного золота и не дает информации о распределении частиц по массе, а также о содержании других элементов в этих частицах.
Целью заявленного изобретения является устранение недостатков указанного метода, а именно повышение точности определения концентрации при одновременном расширении круга искомых элементов, учет влияния матричного состава пробы и возможность определения высоких концентраций искомых элементов в пробе, а также определения массы отдельных частиц дисперсной пробы и концентрации искомых элементов в этих частицах
Поставленная цель в способе определения распределения частиц пробы по массе и концентрации искомых элементов в частицах дисперсной пробы, включающем ввод пробы в факел плазмы, регистрацию последовательности атомно-эмиссионных спектров во время поступления пробы в плазму, вычисление интенсивности аналитической спектральной линии искомого элемента в зависимости от времени поступления пробы в факел плазмы, определение по градуировочной зависимости концентрации искомого элемента в пробе и определение распределения частиц пробы по массе достигается тем, что концентрации всех искомых элементов определяют одновременно за счет того, что каждый спектр последовательности регистрируют в спектральном диапазоне, включающем аналитические спектральные линии искомых элементов, при этом вычисление интенсивности аналитических спектральных линий производят в каждом спектре с учетом фона под линией, после этого получают зависимости концентраций искомых элементов от времени поступления пробы в плазму, а по указанным зависимостям определяют массу частиц и концентрацию искомых элементов в частице.
Регистрация спектрального диапазона, включающего аналитические спектральные линии всех искомых элементов, позволяет вести одновременное определение концентраций этих элементов. Последовательная регистрация набора спектров пробы (1000 спектров и более) одновременно во всем рабочем спектральном диапазоне обеспечивает регистрацию аналитических спектральных линий всех искомых элементов в течение времени ввода пробы. Измерение интенсивности аналитических линий в каждом спектре с учетом фона под линией позволяет построить зависимости концентраций искомых элементов от времени поступления пробы в плазму с помощью предварительно полученных градуировочных зависимостей, а использование этих зависимостей с учетом массы пробы, вводимой в плазму за время регистрации одного спектра, позволяет расчетно-графическим путем непосредственно определить массу частиц и концентрацию искомых элементов в частице.
Для обеспечения более полной атомизации пробы и возбуждения спектров широкого круга элементов, в том числе и трудновозбудимых, в качестве источника плазмы используют двухструйный дуговой плазмотрон с высокой температурой в аналитической зоне 6000-8000 К.
Для стабилизации скорости поступления пробы в плазму и уменьшения влияния ее матричного состава применяют регулируемый газовый поток.
Для уменьшения матричного влияния градуировочные зависимости искомых элементов строят по стандартным образцам с матричным составом идентичным пробе.
Использование для регистрации спектров линейных многоэлементных твердотельных детекторов, которые содержат десятки тысяч фотоячеек и более, позволяет обеспечить регистрацию всего рабочего спектрального диапазона.
Для определения средней концентрации каждого искомого элемента в пробе, используют следующую формулу:

где Сi – средняя концентрация искомого элемента в i-ой частице, а mi – масса i-ой частицы, которую определяют из выражения: mi=М×N, где М – масса пробы, вводимой в плазму за время регистрации одного спектра, а N – количество спектров, приписываемых i-ой частице.
Таким образом, заявляемый способ позволяет одновременно определять распределение частиц пробы по массе и концентрации искомых элементов в частицах дисперсной пробы, что дает возможность объективно оценивать исследуемую пробу и не имеет аналогов среди известных способов, использующих для определения состава пробы метод атомно-эмиссионного спектрального анализа, а значит соответствует критерию «изобретательский уровень».
На фиг.1 представлен вариант приборного комплекса для реализации заявляемого способа.
На фиг.2 показан фрагмент атомно-эмиссионного спектра с аналитической спектральной линией искомого элемента, поясняющий методику вычисления интенсивности спектральной линии и фона под ней.
На фиг.3 показан вариант градуировочной зависимости для платины.
На фиг.4 приведена снятая на приборном комплексе (фиг.1) зависимость интенсивности линии платины (Pt I 265,945 нм) и концентрации платины от времени поступления пробы в плазму (номера экспозиции) для стандартного образца СОП 1-90.
Приборный комплекс (фиг.1) включает: источник плазмы (головка дугового двухструйного плазмотрона) 1 с плазменным факелом 2; систему освещения щели 3 спектрального прибора; спектральные приборы 4 (рабочий) и 5 (контрольный); система регистрации спектров 6 на основе многоэлементных твердотельных детекторов; персональный компьютер 7; устройство для ввода пробы 8; блок питания плазмотрона 9 и газовую систему плазмотрона 10.
Приборный комплекс работает следующим образом. Дисперсную пробу помещают в устройство для ввода пробы 8 и с помощью регулируемого газового потока, создаваемого в системе 10, вводят с определенной скоростью в плазменный факел 2 источника плазмы 1 – дугового двухструйного плазмотрона. Плазменный факел 2 плазмотрона расположен на общей оптической оси двух спектральных приборов 4 и 5. Излучение выбранной аналитической зоны плазменного факела 2 проецируется осветительными системами 3 на щели спектральных приборов 4 и 5. Контрольный спектральный прибор 5 регистрирует интегральный атомно-эмиссионный спектр за все время поступления пробы в факел плазмы 2, а рабочий спектральный прибор 4 регистрирует последовательность атомно-эмиссионных спектров (кинетику спектров) во время поступления пробы в плазму со временем экспозиции одного спектра меньшим по длительности свечения линий искомых элементов (время пребывания частицы в регистрируемой аналитической зоне), содержащихся в одной частице дисперсной пробы. Для регистрации спектров в кассетных частях спектральных приборов 4 и 5 установлены системы регистрации спектров 6. Оцифрованные спектры с систем регистрации спектров 6 вводятся в персональные компьютеры 7, где при помощи специальной программы вычисляются интенсивности аналитических спектральных линий искомых элементов. Интенсивность спектральной линии с учетом фона определяют следующим образом (см. фиг.2). Обычно спектральная линия 11 регистрируется тремя и большим числом фотоячеек многоэлементных твердотельных детекторов системы регистрации 6 в зависимости от аппаратной функции спектрального прибора. Значение ее интенсивности находится путем суммирования выходных сигналов трех и большего числа фотоячеек. В реальных атомно-эмиссионных спектрах наряду со спектральными линиями присутствует незначительный фон, обусловленный непрерывной составляющей спектра излучения и рассеянием излучения на элементах спектрального прибора. Для учета фона слева и справа от спектральной линии выбираются участки спектра 12 и 13, наиболее полно отражающие интенсивность фона в окрестности измеряемой линии. Выходные сигналы фотоячеек, расположенных на этих участках, усредняются, а результирующее значение рассматривается в качестве интенсивности фона. Пример выбора групп фотоячеек для вычисления интенсивности линии и фона иллюстрируется фиг.2. При этом интенсивность линии вычисляется по формуле

где l – число фотоячеек, на которых находится линия – сигнал i-ой фотоячейки), m – число фотоячеек, по которым ведется расчет фона – сигнал k-ой фотоячейки). Разностный метод определения значения Iл позволяет исключить влияние изменений интенсивности спектрального фона и изменений (дрейфа) темновых сигналов фотоячеек.
Концентрации искомых элементов определяются по заранее построенным градуировочным зависимостям, полученным при регистрации спектров комплекта стандартных образцов, содержащих искомые элементы в известных концентрациях. Градуировочная зависимость построена в логарифмических координатах LgI-LgC, где I – зарегистрированная интенсивность аналитической линии искомого элемента в конкретном стандартном образце, а С – аттестованная концентрация этого элемента в данном образце. Точка 14 на фиг.3 соответствует зарегистрированной интенсивности аналитической линии при концентрации в стандартном образце 10 ppm (1×10-3 мас.%). Точка 15 соответствует зарегистрированной интенсивности аналитической линии при концентрации в стандартном образце 1 ppm (1×10-4 мас.%). Аналогичным образом построены остальные точки 16, 17, 18 и 19 градуировочной зависимости. По полученным точкам строится график методом наименьших квадратов. Обычно используется полиномиальная зависимость. Точки с 14 по 19 хорошо аппроксимируются линейной градуировочной зависимостью 20.
По измеренным интенсивностям аналитических спектральных линий искомых элементов определяются концентрации этих элементов.
По данным с контрольного спектрального прибора 5 получают средние концентрации искомых элементов в пробе.
По каждому спектру из последовательности, зарегистрированному рабочим спектральным прибором 4, получают интенсивности аналитических линий искомых элементов, по которым с помощью градуировочных графиков, аналогичных фиг.3, рассчитывают концентрации этих элементов.
Далее для каждого искомого элемента строят зависимость концентрации от времени поступления пробы в плазму (или от номера экспозиции). Пример такой зависимости приведен на фиг.4.
В этих зависимостях выделяют группу сигналов, расположенную между двумя близлежащими минимумами, которую приписывают частице (см. фиг.4, позиция 21 и 22).
Массу частицы пробы определяют по следующей формуле:

где М – масса пробы, вводимой в плазму за время регистрации одного спектра, а N – количество спектров (или экспозиций), приписываемых частице.
Массу искомого элемента в каждой частице определяют умножением средней концентрации этого элемента, рассчитанной в выделенной группе сигналов, на рассчитанную массу частицы. Так для частицы, представленной под 11 в табл.1 с позицией 21 на фиг.4, средняя концентрация платины равна 28,5 ppm, а масса платины в этой частице равна 2,28×10-7 г. В то же время для частицы 32 в табл.1 с позицией 22 той же частицы (фиг.4) при средней концентрации 46 ppm масса платины в этой частице составляет 5×10-7 г.
Среднее содержание искомого элемента в пробе определяют по формуле (1).
Результаты проведенного исследования мелкодисперсной пробы могут быть представлены в виде таблицы (см. табл.1 – Расчет масс частиц пробы и содержания в них платины (СОП 1-90)). По результатам, приведенным в табл.1, можно определить следующие параметры пробы: массы частиц, средние концентрации и массы искомых элементов в частицах, средние концентрации искомых элементов в пробе.
Одновременная регистрация спектра пробы рабочим 4 и контрольным 5 спектральными приборами дает возможность проверки правильности результатов, полученных заявленным способом.
В качестве примера реализации предложенного способа приведены результаты, полученные на описанном выше устройстве (фиг.1).
В качестве контрольного спектрального прибора 5 использовали дифракционный спектрограф ДФС-458С, обратная линейная дисперсия которого равна 0,48 нм/мм. В качестве системы регистрации спектра 6 на основе многоэлементных твердотельных детекторов использовался многоканальный анализатор атомно-эмиссионных спектров (МАЭС), являющийся средством измерения интенсивности спектральных линий (зарегистрирован в Государственном реестре средств измерений РФ под 21013-01) и производимый предприятием ООО «ВМК-Оптоэлектроника», г.Новосибирск. МАЭС содержит линейный многоэлементный детектор с количеством фотоячеек (фотодиодов), равным 25800, расположенных с шагом 12,5 мкм. МАЭС имеет динамический диапазон регистрируемых сигналов 10000.
На контрольном спектрографе применили традиционный (интегральный) атомно-эмиссионный спектральный метод. Расход пробы составлял 0,1 г/с. Время регистрации одного спектра 5 с. Определение средней концентрации искомого элемента проводили усреднением результатов по 10 спектрам, снятым последовательно. Для установления градуировочных зависимостей в тех же условиях снимали спектры набора стандартных образцов с аттестованными содержаниями искомых элементов.
Разработанный способ определения распределения частиц по массе в дисперсной пробе и концентрации элементов в частице пробы реализован на рабочем спектральном приборе 4, в качестве которого использовался спектрограф ДФС-8 с обратной дисперсией 0,3 нм/мм, в кассетной части которого также был установлен МАЭС. Последовательно снимали 200 спектров за 1 с, каждый из которых нес информацию о содержании элементов в образце массой 5×10-4 г. Для определения концентраций искомых элементов градуировочные зависимости построены по набору стандартных образцов, снятых при тех же условиях. Для иллюстрации на фиг.3 приведена градуировочная зависимость для платины. Регистрировали спектры набора стандартных образцов, выпускаемые Российской арбитражной лабораторией испытания материалов ядерной энергетики Уральского государственного технического университета. Стандартный образец СОГ13-3 содержит благородные металлы (БМ) Ag, Au, Ir, Os, Pd, Pt, Rh, Ru в концентрации 9.6×10-2 мас.%, СОГ 13-4 – 1.01×10-4 мас.%. Для получения образцов сравнения с более низкими содержаниями БМ применяли последовательное разбавление образца СОГ 13-4 графитовым порошком (ОСЧ8-4) по ГОСТ 23463-79 в 3, 10 и более раз. Образец СОГ 13-53 содержал Pt в концентрации 3×10-5 мас.%, образец СОГ 13-51 – 1×10-5 мас.%, образец СОГ 13-67 – 7×10-6 мас.%, образец СОГ 13-65 – 5×10-6 мас.%. В конкретных условиях получены относительные пределы обнаружения платины Смин=5×10-6 мас.%. С учетом того, что за время экспозиции одного спектра расход пробы составляет 5×10-4 г, абсолютный предел обнаружения платины равен 2,5×10-9 г.
Математическая обработка результатов контрольного и рабочего спектрографов проводилась с помощью программы «Атом» (свидетельство регистрации 2004611127).
Заявляемый способ определения распределения частиц по массе в дисперсной пробе и концентрации элементов в частицах пробы был опробован на наборе стандартных образцов состава руды рассыпного месторождения платиновых металлов СОП1-90, разработанных в НИИ Прикладной физики при Иркутском государственном университете. Набор этих образцов предназначен для градуировки сцинтилляционных спектрометров. На фиг.4 показана зависимость концентрации для платины Pt I 265.945 нм от времени поступления пробы в плазму. Шкала концентраций для краткости приведена в ррм (1 ррм = 1×10-4 мас.% = 1 г/). В качестве примера в табл.1 приведены расчеты массы частиц пробы и содержание платины в каждой частице для образца СОП 1-90.
| Таблица 1. |
| Расчет масс частиц и содержания в них платины (СОП 1-90) |
частицы |
Число спектров |
Концентрация Pt |
Масса |
| ррм, г/т, 10-4 мас.% |
частицы |
Pt |
| Сср |
± |
10-3 г |
10-9 г |
| 1 |
5 |
1,75 |
±0,61 |
2,5 |
4,38 |
| 2 |
6 |
1,29 |
±0,85 |
3 |
3,86 |
| 3 |
6 |
6,96 |
±1,79 |
3 |
20,88 |
| 4 |
12 |
7,17 |
±1,58 |
6 |
43,03 |
| 5 |
10 |
2,55 |
±1,05 |
5 |
12,76 |
| 6 |
18 |
1,70 |
±0,65 |
9 |
15,26 |
| 7 |
5 |
4,56 |
±0,81 |
2,5 |
11,40 |
| 8 |
5 |
7,64 |
±1,00 |
2,5 |
19,10 |
| 9 |
8 |
10,31 |
±1,14 |
4 |
41,24 |
| 10 |
3 |
12,05 |
±0,45 |
1,5 |
18,08 |
| 11 |
16 |
28,50 |
±9,34 |
8 |
228,00 |
| 12 |
3 |
7,81 |
±0,37 |
1,5 |
11,71 |
| 13 |
3 |
1,27 |
±0,43 |
1,5 |
1,91 |
| 14 |
1 |
5,85 |
±0,31 |
0,5 |
2,93 |
| 15 |
4 |
19,00 |
±1,84 |
2 |
38,00 |
| 16 |
2 |
2,21 |
±0,04 |
1 |
2,21 |
| 17 |
1 |
14,40 |
±0,31 |
0,5 |
7,20 |
| 18 |
2 |
1,10 |
±0,14 |
1 |
1,10 |
| 19 |
1 |
14,00 |
±0,31 |
0,5 |
7,00 |
| 20 |
4 |
9,19 |
±0,45 |
2 |
18,38 |
| 21 |
5 |
5,42 |
±0,91 |
2,5 |
13,54 |
| 22 |
5 |
1,53 |
±0,39 |
2,5 |
3,83 |
| 23 |
5 |
7,32 |
±1,23 |
2,5 |
18,31 |
| 24 |
4 |
1,11 |
±0,14 |
2 |
2,23 |
| 25 |
1 |
4,87 |
±0,31 |
0,5 |
2,44 |
| 26 |
2 |
1,38 |
±0,31 |
1 |
1,38 |
| 27 |
6 |
3,43 |
±1,51 |
3 |
10,28 |
| 28 |
9 |
2,94 |
±1,47 |
4,5 |
13,25 |
| 28 |
6 |
5,59 |
±2,12 |
3 |
16,77 |
| 30 |
5 |
10,44 |
±2,83 |
2,5 |
26,10 |
| 31 |
11 |
19,87 |
±8,05 |
5,5 |
109,28 |
| 32 |
22 |
46,04 |
±30,85 |
11 |
506,40 |
| 33 |
7 |
5,90 |
±1,25 |
3,5 |
20,66 |
 |
 |
 |
Сумма |
100 |
1244,71 |
 |
 |
 |
Сср пробы=12,45×10-4 мас.% |

На графике зависимости концентрации платины от времени поступления пробы в плазму можно выделить две самые крупные частицы 11 и 32 в табл.1 и на фиг.4 позиции 21 и 22 соответственно, суммарная масса которых составляет 20% от массы всей навески. Так масса частицы 11 составляет 8 мг, а средняя концентрация платины в ней равна 28,5 ppm, при этом масса платины в этой частице равна 2,28×10-7 г. В то же время в частице 32 (позиция 22) массой 11 мг средняя концентрация платины равна 46 ppm, а масса платины составляет 5×10-7 г. Аттестованному значению С=90 г/т (90×10-4 мас.%) соответствует только среднее значение пяти экспозиций 173-177 (см. фиг.4). В целом следует отметить, что платина распределена в образце СОП1-90 очень неравномерно, и навеска в 100 мг не является представительной.
Среднее значение концентрации платины, полученное интегральным способом на контрольном спектрографе ДФС-8, Сср=(11,8±0,7)ррм=(11,8±0,7)×10-4 мас.%, хорошо согласуется с результатом, полученным заявляемым способом. Сср пробы=1,58×10-4 мас.% (см. табл.1).
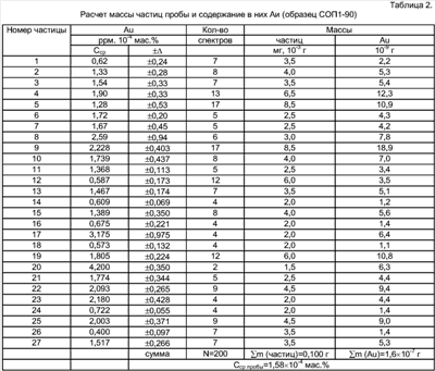
Аналогично получены результаты для золота (см. табл.2). В отличие от платины золото распределено в пробе достаточно равномерно. Большинство частиц пробы имеют массу 2-3,5 мг. Среднее содержание золота в пробе Сср=1,58×10-4 мас.%, что хорошо согласуется со значением, полученным интегральным атомно-эмиссионным методом на контрольном спектрографе ДФС-8, Сср=(1,60±0,05)×10-4 мас.% и совпадает с аттестованным значением.
Правильность заявляемого способа экспериментально доказана путем одновременной регистрации анализируемой пробы с использованием контрольного спектрографа.
Формула изобретения
1. Способ определения распределения частиц пробы по массе и концентрации искомых элементов в частицах дисперсной пробы, включающий ввод пробы в факел плазмы, регистрацию последовательности атомно-эмиссионных спектров во время поступления пробы в плазму, вычисление интенсивности аналитической спектральной линии искомого элемента в зависимости от времени поступления пробы в факел плазмы, определение по градуировочной зависимости концентрации искомого элемента в пробе и определение распределения частиц пробы по массе, отличающийся тем, что концентрации всех искомых элементов определяют одновременно за счет того, что каждый спектр последовательности регистрируют в спектральном диапазоне, включающем аналитические спектральные линии искомых элементов, при этом вычисление интенсивности аналитических спектральных линий производят в каждом спектре с учетом фона под линией, после этого получают зависимости концентраций искомых элементов от времени поступления пробы в плазму, а по указанным зависимостям определяют массу частиц и концентрацию искомых элементов в частице.
2. Способ по п.1, отличающийся тем, что в качестве источника плазмы используют двухструйный дуговой плазмотрон с температурой в аналитической зоне (6000-8000)°К.
3. Способ по п.1, отличающийся тем, что ввод пробы в факел плазмы осуществляют регулируемым газовым потоком.
4. Способ по п.1, отличающийся тем, что градуировочные зависимости искомых элементов строят по стандартным образцам с матричным составом, идентичным пробе.
5. Способ по п.1, отличающийся тем, что регистрацию спектров осуществляют набором линейных многоэлементных детекторов.
6. Способ по п.1, отличающийся тем, что среднюю концентрацию каждого искомого элемента в пробе определяют по формуле Ccp=( NmiCi)/ Nmi, где Ci – концентрация искомого элемента в i-й частице, a mi – масса i-й частицы, которую определяют из выражения mi=M·N, где М – масса пробы, вводимой в плазму за время регистрации одного спектра, а N – количество спектров, приписываемых частице.
РИСУНКИ
|
|