|
(21), (22) Заявка: 2007125992/02, 10.07.2007
(24) Дата начала отсчета срока действия патента:
10.07.2007
(43) Дата публикации заявки: 20.01.2009
(46) Опубликовано: 27.05.2009
(56) Список документов, цитированных в отчете о поиске:
RU 2295697 C1, 20.03.2007. RU 2284460 C1, 27.09.2006. RU 2081036 C1, 10.06.1997. RU 2090461 C1, 20.09.1997. RU 2251063 C1, 27.04.2005.
Адрес для переписки:
300001, г.Тула, Щегловская засека, ГУП “Контрукторское бюро приборостроения”
|
(72) Автор(ы):
Комиссаренко Александр Иванович (RU), Кузнецов Владимир Маркович (RU)
(73) Патентообладатель(и):
Государственное унитарное предприятие “Конструкторское бюро приборостроения” (RU)
|
(54) ДВУХСТУПЕНЧАТАЯ УПРАВЛЯЕМАЯ РАКЕТА
(57) Реферат:
Изобретение относится к области ракетной техники, в частности к конструкции многоступенчатых ракет. Двухступенчатая управляемая ракета содержит отделяемую маршевую ступень, стартовый двигатель с блоком стабилизаторов и механизм разделения. Для повышения надежности ракеты, упрощения наземной аппаратуры управления и исключения возможности падения стартового двигателя вне зоны войск противника соотношение массы маршевой ступени и массы стартового двигателя без учета топлива должно быть определенным. Приводится зависимость для определения указанного соотношения. 2 ил.
Настоящее предлагаемое изобретение относится к области ракетной техники и может быть использовано в конструкции многоступенчатых ракет.
Известно большое количество ракет (“Исследовательские и метеорологические ракеты мира”, Ленинград, Гидрометеоиздат, 1979 г. В.Н.Гринберг, А.А.Позин, В.В.Соболева, В.Г.Хвостов, А.А.Шидловский), состоящих из двух взаимосвязанных ступеней: стартовой и маршевой, механизма разделения.
Баллистические характеристики: дальность, скорость функции времени для ракет с отделяемым и неотделяемым стартовым двигателем отличаются на марлевом участке (с неработающим двигателем). Причем для ракеты с отделяемым стартовым двигателем больше, чем с присоединенным двигателем.
Наиболее близким для предлагаемого технического решения являются ракеты малой, средней и большой дальностей, например “Терьер” (“Зенитные ракетные и ракетно-пушечные комплексы капиталистических стран”) под редакцией академика Е.А.Федосова, 1986 г., стр.91, рис.2.1. Ракеты состоят из маршевой ступени отделяемого стартового двигателя с блоком стабилизаторов и переходным конусом, механизма разделения. Во время разделения при срабатывании механизма разделения стартовый двигатель с жестко связанным переходным конусом и блоком стабилизаторов сходит с маршевой ступени. Основным недостатком данного устройства является то, что баллистические характеристики: скорость, дальность ракеты с отделяемым стартовым двигателем превосходят баллистические характеристики ракеты на пассивном участке, с неотделяемым двигателем. Отличие баллистических характеристик на пассивном участке для двух вариантов ракет: с неотделяемым и отделяемым стартовыми двигателями приводит к усложнению наземной аппаратуры управления – вводом дополнительных блоков для реализации баллистических и динамических характеристик ракеты.
Задачей настоящего изобретения является: равенство баллистических характеристик ракеты на пассивном участке полета с отделяемым и неотделяемым стартовыми двигателями, упрощение наземной аппаратуры управления.
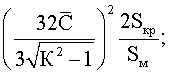
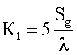
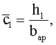
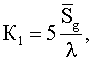
Указанная задача достигается тем, что двухступенчатая управляемая ракета содержит отделяемую марлевую ступень, стартовый двигатель с блоком стабилизаторов и механизм разделения, отличается тем, что марлевая ступень и стартовый двигатель выполнены с обеспечением соотношения их масс после отделения стартового двигателя по зависимости:
где

где      
mм.ст. – масса маршевой ступени;
mдв – масса двигателя без топлива;
  – относительные толщины крыльев, рулей, стабилизаторов;
h, h1, h2 – толщины профилей: крыльев, рулей, стабилизаторов;
– удлинение ракеты;
K1 – коэффициент, учитывающий геометрические размеры ракеты;
lр – длина маршевой ступени;
Dм – диаметр миделя маршевой ступени;
Sм – площадь миделя маршевой ступени;
Sр, Sкр, Sст – площади рулей, крыльев, стабилизаторов;
– относительная площадь дна маршевой ступени;
Sд – площадь дна маршевой ступени;
bаст, bар, bакр – длины бортовых хорд: стабилизатора, руля, крыла.
Двухступенчатая ракета представлена на фиг.1 и фиг.2. На фиг.1 представлена ракета в сборе; на фиг.2 – после разделения ступеней.
Две ступени: маршевая 1 и стартовая 2 через механизм разделения 3 соединены между собой. При стрельбе бикалиберными ракетами возникают проблемы, отделение или неотделение стартового двигателя. В первом варианте, в случае пролета ракеты, в зоне действия сил противника; во втором – вне зоны сил противника. Два варианта ракет с отделяемым и неотделяемым стартовым двигателем, при двух вариантах боевых действий, должны удовлетворять единому требованию, равенство баллистических характеристик на пассивном участке полета. Отличие в баллистических характеристиках приводит к невыполнению боевой задачи – промаху или усложнению наземной аппаратуры управления: центральной вычислительной системы.
В случае разделения двух ступеней процесс разделения происходит следующим образом:
при срабатывании механизма разделения 3 (после окончания работы двигателя) стартовая ступень 2 под аэродинамической нагрузкой сходит с маршевой ступени.
При варианте с неотделяемым стартовым двигателем маршевая ступень после окончания работы двигателя продолжает полет со стартовым двигателем.
Скорости на пассивном участке полета с отделяемым V1 и неотделяемым V2 стартовыми двигателями выражаются следующими зависимостями:


(Л.Дэвис, Дж.Фоллин, Л.Блитцер “Внешняя баллистика ракет” Военн. Издат. МО СССР. М., 1961, стр.68).
В формулах (2), (3):
V0 – скорость ракеты в момент окончания работы двигателя;
Cкм.ст – коэффициент лобового сопротивления маршевой ступени;
– плотность воздуха;
Sм – площадь миделя маршевой ступени;
S – путь;
Скдв – коэффициент лобового сопротивления двигателя.
При условии равенства баллистических характеристик на пассивном участке V1=V2 получим:

Логарифмируя выражение (4), получим:

Коэффициент лобового сопротивления Cкм.ст можно представить в виде:

где Cкг.ч – коэффициент лобового сопротивления головной части;
Cкд – коэффициент донного сопротивления;
Cктр.м.ст – коэффициент сопротивления трения марлевой ступени;
Cкр – коэффициент сопротивления рулей;
Cккр – коэффициент сопротивления крыльев.
В свою очередь коэффициенты Cкр.ч, Cкд, Cктр.м.ст, Скр, Cккр выражаются зависимостями:








(В.Б.Байдаков, Иванов-Эмин Л.Н. Аэромеханика летательных аппаратов. М.: Машиностроение 1965, стр.153, 157; 155, 215).
Коэффициент лобового сопротивления двигателя:

где Сктр.дв – коэффициент сопротивления трения двигателя;
Cкст – коэффициент сопротивления стабилизаторов;
Скк – коэффициент сопротивления конуса.
Вышеприведенные коэффициенты сопротивления определяются зависимостями:






В приведенных зависимостях:
Reдв, Reст, Rкр, Reм.ст – числа Рейнольдса двигателя, стабилизатора, руля маршевой ступени
– кинематический коэффициент вязкости;
a – скорость звука.
Cfтр.дв, Cfм.ст – коэффициенты трения двигателя, маршевой ступени.
В приведенных аналитических зависимостях членами:
 
 
  
пренебрегаем, так как их численное значение составляет (0,5-1,5)% от
  
и входит в допуск (2,0-3,9).
Подставив (7) в (6), (9) в (8), (6) в (8) в (5) и принимая во внимание данные экспериментальной отработки ракет, получим:

где


В аналитической зависимости (10) приведен экспериментальный коэффициент с диапазоном изменения (2,0-3,9) и при К равном 5. Диапазон изменения (2,0-3,9) установлен по экспериментальной отработке ракет комплексов: “Ползун”,”Тунгуска”, “Панцирь”, “Вихрь”.
Анализ результатов показывает, что при стремлении соотношения (9) к нижнему пределу – снизу 2,0 или 3,9 сверху баллистические характеристики ракеты (в сборе и головной части) отличаются больше чем на 20%, в диапазоне 2,0-3,9 баллистические характеристики отличаются на 2%.
Отличие баллистических характеристик более чем на 20% приводит к невыполнению боевой задачи, к резкому снижению эффективности применения ракет.
Использование предполагаемого устройства полета ракеты с отделяемым стартовым двигателем, при условии получения одинаковых баллистических характеристик, обеспечивает по сравнению с существующими устройствами следующие преимущества:
а) увеличивает надежность ракеты;
б) исключает возможность падения стартового двигателя вне зоны войск противника;
в) упрощает наземную аппаратуру управления.
Формула изобретения
Двухступенчатая управляемая ракета, содержащая отделяемую маршевую ступень, стартовый двигатель с блоком стабилизаторов, механизм разделения, отличающаяся тем, что маршевая ступень и стартовый двигатель без топлива выполнены с обеспечением соотношения их масс по зависимости:
 где      
– масса маршевой ступени, кг;
– масса стартового двигателя без топлива, кг; K1 – коэффициент, учитывающий геометрические размеры ракеты;
  – относительные толщины крыльев, рулей, стабилизаторов; h, h1, h2 – толщины профилей крыльев, рулей, стабилизаторов, м;
– удлинение ракеты; lp – длина маршевой ступени, м; Dм – диаметр миделя маршевой ступени, м; Sм – площадь миделя маршевой ступени, м2; Sp, Sкр., Sст. – площадь рулей, крыльев, стабилизаторов, м2;
– относительная площадь дна маршевой ступени; Sg – площадь дна маршевой ступени, м2; bap, bакр. bаст. – длины бортовых хорд руля, крыла, стабилизатора, м.
РИСУНКИ
|