|
|
(21), (22) Заявка: 2007141159/06, 06.11.2007
(24) Дата начала отсчета срока действия патента:
06.11.2007
(46) Опубликовано: 27.05.2009
(56) Список документов, цитированных в отчете о поиске:
RU 2241919 C1, 10.12.2004. RU 2132517 C1, 10.12.2004. RU 2231003 C2, 20.06.2004. RU 2115027 C1, 10.07.1998. WO 9814737 A1, 09.04.1998.
Адрес для переписки:
601900, Владимирская обл., г. Ковров, ул. Труда, 4, ОАО “Завод им. В.А. Дегтярева”, ОПЛИР
|
(72) Автор(ы):
Маринин Михаил Геннадьевич (RU), Мосалёв Сергей Михайлович (RU), Наумов Виктор Иванович (RU), Сыса Виктор Павлович (RU)
(73) Патентообладатель(и):
Открытое акционерное общество “Завод им. В.А. Дегтярева” (RU)
|
(54) ТЕПЛОГЕНЕРАТОР ДРОССЕЛЬНОГО ТИПА
(57) Реферат:
Изобретение предназначено для тепло- и горячего водоснабжения объектов промышленного и бытового назначения, для подогрева технологических жидкостей. Задачей изобретения является повышение эффективности устройства. Для решения поставленной задачи предложен теплогенератор дроссельного типа, содержащий насос с приводом, дроссель и трассу в виде соединительных трубопроводов. Дроссель выполнен как сужающее устройство в виде коноидального насадка, на выходе которого в трубопроводе трассы на заданном расстоянии L установлено тормозное устройство, между прямым и обратным трубопроводами трассы установлена трубопроводная перемычка с вентилем, после которой в прямом трубопроводе размещен дополнительный вентиль, на входе насоса установлено сужающее устройство в виде диффузорного насадка. 1 ил.
Изобретение относится к теплотехнике, а именно к устройствам, где механическая энергия напорного перемещения жидкости преобразуется в тепловую энергию, и может быть использовано для тепло- и горячего водоснабжения объектов промышленного и бытового назначения, для подогрева технологических жидкостей.
Известен теплогенератор (RU 2241919, F24J 3/00, опубл. 10.12.2004 г.), принятый за прототип. Теплогенератор содержит насос с приводом, трассу, соединяющую выход насоса с его входом. На выходе насоса установлен дроссель. Вход насоса сообщается с расширительным сосудом для стравливания избыточного давления. В трассе может быть установлен радиатор или змеевик бойлера для отопления или нагрева воды.
Недостатком прототипа является низкая теплопроизводительность.
Предлагаемым изобретением решается задача: повышение эффективности устройства.
Технический результат, получаемый при осуществлении изобретения, заключается в создании теплогенератора, осуществляющего высокоэффективный нагрев жидкости, сокращение энергозатрат.
Указанный технический результат достигается тем, что в теплогенераторе дроссельного типа, содержащем насос с приводом, дроссель и трассу в виде соединительных трубопроводов, новым является то, что дроссель выполнен как сужающее устройство в виде коноидального насадка, на выходе которого в трубопроводе трассы на заданном расстоянии L установлено тормозное устройство, между прямым и обратным трубопроводами трассы установлена трубопроводная перемычка с вентилем, после которой в прямом трубопроводе размещен дополнительный вентиль, на входе насоса установлено сужающее устройство в виде диффузорного насадка.
Выполнение дросселя как сужающего устройства в виде коноидального насадка, на выходе которого в трубопроводе трассы на заданном расстоянии L установлено тормозное устройство, обусловлено следующими факторами:
– сужающее устройство в виде коноидального насадка обеспечивает дросселирование потока жидкости с одновременным его ускорением в выходном сечении, что позволяет нагревать его при неоднократном прокачивании более эффективно;
– торможение ускоренного потока жидкости при помощи тормозного устройства приводит к дополнительному и более эффективному нагреву жидкости, чем если бы торможение плавно происходило в трубопроводе трассы, причем эффективности данного процесса способствует высокая скорость потока жидкости.
Тормозное устройство устанавливается на расстоянии L=(5-6)d, где d – внутренний диаметр выходной кромки коноидального насадка. При данном расположении тормозного устройства обеспечивается наибольший режим теплоотдачи. Расположение тормозного устройства на большем расстоянии от коноидального насадка приведет к потерям кинетической энергии движения потока жидкости, что снижает теплопроизводительность. Расположение тормозного устройства на меньшем расстоянии приведет к работе насоса в режиме “проскальзывания”, что также снижает теплопроизводительность и укорачивает срок службы насоса.
Установка между прямым и обратным трубопроводами трассы трубопроводной перемычки с вентилем и дополнительного вентиля после перемычки в прямом трубопроводе позволяет перераспределить поток нагреваемой жидкости и организовать дополнительный контур, предназначенный для более высокого поднятия температуры жидкости перед ее поступлением к потребителю за счет многократного прокачивания через теплогенератор.
Установка на входе насоса сужающего устройства в виде диффузорного насадка при произошедшем стравливании давления в обратном трубопроводе трассы позволяет увеличить скорость и расход жидкости при поступлении ее на вход насоса, что позволяет оптимально загрузить насос и увеличить кратность прохождения потока жидкости через теплогенератор и ускорить процесс ее нагрева.
Технические решения с признаками, отличающими заявляемое решение от прототипа, не известны и явным образом из уровня техники не следуют. Это позволяет считать, что заявляемое решение является новым и обладает изобретательским уровнем.
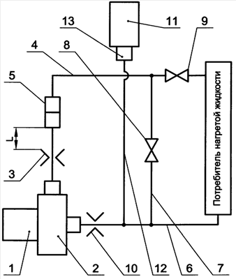
Сущность изобретения поясняется чертежом, где показана общая схема теплогенератора дроссельного типа.
Теплогенератор дроссельного типа состоит из привода 1 с насосом 2, выход которого соединен с сужающим устройством в виде коноидального насадка 3, на выходе которого в прямом трубопроводе 4 трассы на заданном расстоянии L установлено тормозное устройство 5. Форма тормозного устройства может быть различной: крестообразная перемычка, диаметральная пластина и т.п. Между прямым 4 и обратным 6 трубопроводами трассы установлена трубопроводная перемычка 7 с вентилем 8, после которой в прямом трубопроводе 4 перед потребителем нагретой жидкости установлен дополнительный вентиль 9. Ко входу насоса 2 подключено сужающее устройство в виде диффузорного насадка 10. На вход диффузорного насадка 10 подсоединен расширительный сосуд 11 посредством трубопровода 12 и штуцера 13. К теплогенератору подключен потребитель нагретой жидкости: радиаторы системы отопления, тепловой пушки, тепловой завесы, теплообменник накопительного бойлера, технологическая емкость и т.д.
Теплогенератор дроссельного типа работает следующим образом. При включении привода 1 жидкость с выхода насоса 2 поступает к коноидальному насадку 3, при помощи которого на выходе насоса поднимается давление до расчетного уровня, определяемого исходя из мощности насоса 2. Тепловая мощность теплогенератора определяется, в данном случае, исходя из потребляемой мощности насоса 2 с приводом 1 с учетом его к.п.д. Далее жидкость с высокой скоростью по прямому трубопроводу 4 трассы движется к тормозному устройству 5. При взаимодействии высокоскоростного потока жидкости с тормозным устройством 5 происходит его нагрев. При частично закрытом дополнительном вентиле 9, установленном перед потребителем нагретой жидкости, и частично открытом вентиле 8 трубопроводной перемычки 7 часть потока жидкости перемещается в обход потребителя, тем самым уменьшая его теплоотдачу, что позволяет обеспечить более высокий уровень нагрева жидкости в контуре теплогенератора. При необходимости быстрого нагрева жидкости до предельных температур (90-100°С) с целью дальнейшей подачи ее потребителю вентиль 8 на трубопроводной перемычке 7 открывается полностью, а дополнительный вентиль 9 перекрывается. Другой режим работы теплогенератора заключается в том, что при полностью закрытом вентиле 8 трубопроводной перемычки 7 весь поток жидкости перемещается к потребителю нагретой жидкости. Давление, созданное перед коноидальным насадком 3, теряется при прохождении жидкостью тормозного устройства 5 и при движении по прямому трубопроводу 4 трассы через потребителя нагретой жидкости по обратному трубопроводу 6 трассы. Перед поступлением жидкости на вход диффузорного насадка 10, благодаря расширительному сосуду 11 с трубопроводом 12 и штуцером 13, давление максимально снижается. Жидкость, потеряв часть избыточного давления, поступает на вход диффузорного насадка 10, где происходит увеличение скорости и расхода, и далее – на вход насоса 2. Выделение тепловой энергии происходит во всех элементах теплогенератора, а также при потере избыточного давления – в системе потребителя нагретой жидкости.
Формула изобретения
Теплогенератор дроссельного типа, содержащий насос с приводом, дроссель и трассу в виде соединительных трубопроводов, отличающийся тем, что дроссель выполнен как сужающее устройство в виде коноидального насадка, на выходе которого в трубопроводе трассы на заданном расстоянии L установлено тормозное устройство, между прямым и обратным трубопроводами трассы установлена трубопроводная перемычка с вентилем, после которой в прямом трубопроводе размещен дополнительный вентиль, на входе насоса установлено сужающее устройство в виде диффузорного насадка.
РИСУНКИ
|
|