Патент на изобретение №2163606
|
||||||||||||||||||||||||||
(54) СПОСОБ ПОЛУЧЕНИЯ
(57) Реферат: Изобретение относится к фармацевтической химии, а именно к улучшенному способу получения калийсберегающего диуретика, а именно спиронолактона (верошпирона, альдактона) из доступного сырья – стеаринов растительного и животного происхождения. По описываемому способу спиронолактон пропионовую кислоту] формулы I![]() получают из андростендиона или его производного формулы II ![]() где R1 – карбонитрил, R2 – гидроксил, подвергают защите 4-3-кетосистемы, метиленированию по 17-кетогруппе диалкилсульфонийметилидом, генирируемым in situ из триалкилсульфонийгалогенида, с последующим превращением полученного оксиранового цикла в лактонный построением 4,6-диеноновой структуры, присоединением тиоуксусной кислоты и выделением целевого продукта. Построение 4,6-диеноновой системы осуществляют после предварительного построения лактонового кольца и одновременного декарбоалкоксилирования путем нагревания в апротонном растворителе в присутствии каталитических количеств насыщенных водных растворов солей сильных оснований и сильных кислот, селективной функционализацией 6-го положения стероидной молекулы с помощью реакций галоидирования – дегидрогалоидирования. Затем присоединяют тиоуксусную кислоту и выделяют целевой продукт. Способ позволяет повысить выход основного продукта путем исключения образования побочных продуктов и осмоления реакционной массы в результате проведения реакций в мягких условиях. 8 з.п.ф-лы.
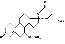
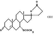
Изобретение относится к области химии, а именно к способам получения калийсберегающего диуретика, а именно спиронолактона (верошпирона, альдактона) из доступного сырья – стеринов растительного и животного происхождения. Спиронолактон [ пропионовая кислота] формулы (I).
![]() является высокоэффективным диуретиком, имеющим целый ряд преимуществ по сравнению с другими диуретиками: не изменяет структуры почечного эпителия, не характеризуется диабетогенным действием, может применяться при гипокалиемии, вызванной другими диуретиками. Способы получения спиронолактона (I) предусматривают разновидности ацетиленового синтеза и далее металлирование этинильной группы и ее карбоксилирование с предварительной защитой гидрирование тройной связи, лактонизацию и построение структуры. Выходы на отдельных стадиях высоки и составляют 88-95% [1-11].
В известных способах необходимо использовать на различных ступенях синтеза две защитные группы: этиленкетальную (на стадии карбоксилирования) и енолэфирную (на стадии введения связи).
Кроме того, существенным недостатком этих способов является крупномасштабное использование ацетилена, применение в качестве металлирующего агента гидрида натрия, бутиллития, реактива Гриньяра, а также использование на стадии гидрирования палладиевого катализатора или применение давления в случае никель-боридного катализатора, что усложняет процесс.
Другой путь построения молекулы спиронолактона основан на использовании 17-спирооксиранов.
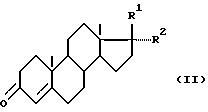
Наиболее близким к предложенному является способ получения спиронолактона общей формулы (I), заключающийся в том, что андростендион (АД) формулы![]() подвергают защите метиленируют по 17-кетогруппе диалкилсульфонийметилидом, генирируемым in situ из триметилсульфонийбромида с последующим построением структуры, превращением полученного оксиранового цикла в лактоновый, присоединением тиоуксусной кислоты и выделением целевого продукта [12].
В известном способе декарбоалкоксилирование осуществляется на последней стадии, и сложноэфирная группировка в лактонном кольце, проходя несколько стадий, может гидролизоваться и образовывать побочный продукт, снижающий выход основного продукта. Кроме того, реакция декарбоалкоксилирования проводится в жестких условиях: при высокой температуре и давлении в присутствии сильной кислоты.
Техническим результатом предложенного способа является повышение выхода основного продукта путем исключения образования побочных продуктов и осмоления реакционной массы, проведение реакций в более мягких условиях.
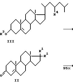
Технический результат достигается тем, что в способе получения пропионовой кислоты формулы (I)![]() заключающемся в том, что андростендион или его производное формулы (II) ![]() где R1 – карбонитрил, R2 – гидроксил, подвергают защите 4-3-кетосистемы, метиленированию по 17- кетогруппе диалкилсульфонийметилидом, генирируемым in situ из триалкилсульфонийгалогенида с последующим превращением полученного оксиранового цикла в лактонный, построением системы, присоединением тиоуксусной кислоты и выделением целевого продукта, построение системы осуществляют после построения лактонного кольца и одновременного декарбоалкоксилирования путем нагревания в апротонном растворителе в присутствии каталитических количеств насыщенных водных растворов солей сильных оснований и сильных кислот, и последующей селективной функционализацией 6-го положения стероидной молекулы с помощью реакций галоидирования – дегидрогалоидирования.
Причем андростендион (АД) получают путем микробиологического окисления стеринов растительного или животного происхождения общей формулы (III)![]() где R3 – ацил, или алкил, или карбокси-ацил, или атом H, R4 – H или C2H5, а производное андростендиона формулы (II) с R1 – карбонитрил, a R2 – гидроксил получают путем взаимодействия АД с ацетонциангидрином. Кроме того, защиту производного андростендиона формулы (II) можно осуществлять путем образования спирокеталей на основе этиленгликоля, или 2 – моно – или 2,2 – дизамещенных или незамещенных производных 1,3 – пропандиола, или пирролидиновых или морфолиновых енаминов или енолэфиров.
Кроме того, генерирование диалкилсульфонийметилида in situ из триалкилсульфонийгалогенида осуществляют в присутствии сильного основания.
Причем в качестве сильного основания используют трет-бутилаты или гидриды, или гидратированные гидроокиси щелочных металлов.
Кроме того, указанное генерирование можно осуществлять также в присутствии катализатора межфазового переноса.
Кроме того, в качестве катализатора межфазового перехода использовать четвертичные аммонийные соли в эффективном количестве.
В качестве четвертичной аммонийной соли можно использовать триалкилариламмонийгалогениды.
Кроме того, в реакции галоидирования в качестве агента можно использовать дибромантин или N- или N-бромсукцинимид, а дегидрогалоидирование проводят в среде апротонного растворителя с помощью солей щелочных и щелочноземельных металлов.
Способ получения пропионовой кислоты (спиронолактона) формулы (I) осуществляется по следующей схеме:![]() ![]() ![]() ![]() ![]() где R5 и R6 – енолэфир или циклический кеталь, или енамин. Андростендион (АД), полученный путем микробиологического окисления стеринов растительного или животного происхождения общей формулы (III), или его производное (II), полученное путем взаимодействия АД с ацетонциангидрином, первоначально подвергают защите по 3- кетогруппе с образованием енолэфиров, или циклических кеталей, или енаминов (соединение общей формулы (IV). Затем это соединение метиленируют по 17-кетогруппе действием диалкилсульфонийметилида, генерируемого in situ из триалкил-сульфонийгалогенида в присутствии сильного основания и катализатора межфазового переноса (или без него) в апротонном растворителе. Полученный с выходом 99% оксиран (V) превращают в спиролактон (VII) конденсацией его с диалкилмалонатом в присутствии алкоголята натрия с последующим декарбоалкоксилированием путем нагревания реакционного продукта в апротонном растворителе при температуре кипения в присутствии каталитических количеств насыщенных водных растворов солей сильных кислот и сильных оснований. Селективную функционализацию 6-го положения осуществляют с помощью последовательных реакций бромирования – дегидробромирования, причем для направленного введения брома при C6 используют реагенты аллильного бромирования, такие как N-бромсукцинимид или N- бромацетамид, или дибромантин в апротонном растворителе. Реакцию дегидробромирования проводят без выделения промежуточного продукта (VIII) в присутствии солей щелочных или щелочно-земельных металлов при температуре 60-80oC. Образующийся с выходом 95% спиродиен (IX) подвергают взаимодействию с тиоуксусной кислотой. Общий выход спиронолактона (I), соответствующего требованию фармакопеи, составляет 45 – 50%, считая на стерины (III), или 70,2%, считая на производные АД (II). Изобретение иллюстрируется следующими примерами Пример 1. Энолэфир АД (3 – метоксиандрост -3,5- диен -17-он). К раствору 19 г триметилортоформиата в 146 мл метанола добавляют 62,5 г АД. Суспензию перемешивают в течение 15 мин и добавляют медленно 142 мл раствора 0,125 г сульфосалициловой кислоты в 26,74% растворе триметилортоформиата в метаноле. Реакционную массу выдерживают при температуре 20…25oC в течение 1 ч 15 мин. По окончании выдержки реакционную массу охлаждают до 10. . . 15oC, добавляют медленно 46,9 мл ацетона и выдерживают в течение 1 ч при этой же температуре. Затем добавляют 0,5 мл триэтиламина до pH 7-8, охлаждают реакционную массу до 0…+2oC и прибавляют раствор 1,52 г едкого натра в 260 мл воды. По окончании выдержки осадок отфильтровывают, промывают на фильтре раствором 0,38 г едкого натра в 65 мл воды и 0,25% раствором триэтиламина в метаноле. Получают 62,3 г енолэфира АД (95%) с т.пл.171…173oC. Пример 2. ![]() Растворяют при перемешивании 74 г гранулированного едкого натра в 34 мл воды и 1,3 л диметилсульфоксида при температуре 90-95oC. После охлаждения до 60-65oC к полученной суспензии прибавляют 100 г триметилсульфонийбромида, 6 г триэтилбензиламмонийхлорида (ТЭБАХ) и 130 г 3-метоксиандроста – 3,5 – диен – 17-она (енолэфира АД) и перемешивают в токе азота 4 ч при этой температуре. Реакционную смесь охлаждают до температуры 22 4oC, выливают в 2 л охлажденной до температуры +10oC воды. Реакционную смесь охлаждают до (3 2)oC и дают выдержку при этой температуре в течение 1 ч. Осадок отфильтровывают, промывают 105 мл охлажденного до (3 2)oC метанола, сушат до постоянной массы. Получают 134,7 г (99% от теоретического) оксирана в виде кремового кристаллического порошка, т. пл. 128…131oC, содержание исходного енолэфира АД не выше 2% (ТСХ-анализ).
Пример 3.
пропионовой кислоты (лактон).
36 г металлического натрия растворяют при перемешивании в 1,8 л абсолютного этилового спирта и прибавляют 238 мл (251 г) малонового эфира и 315 г оксирана. Реакционную смесь кипятят в течение 4,5…6 ч. Затем отгоняют при атмосферном давлении этанол в количестве 1,5 л, а к остатку прибавляют 1,5 л диметилсульфоксида и 350 мл 14,3% водного раствора хлорида натрия. Реакционную массу нагревают до 100oC и перемешивают 3,5…5 ч. Охлажденную до 35oC реакционную массу выливают в 5,25 л воды и перемешивают 20 мин при этой температуре. Затем охлаждают до 5oC и выдерживают 2 ч. Осадок: отфильтровывают, промывают водой до pH 7, сушат. Получают 351,3 г (98,2%) лактона с т.пл. 219oC.
Пример 4.
пропионовой кислоты спиродиен).
К суспензии 62,5 г лактона в 93,8 мл ацетона и 12,5 мл воды порциями при перемешивании прибавляют 25 г дибромантина или 28 г N- бромсукцинимида. В процессе прибавления температура поднимается до (28 2)oC. Суспензия сначала растворяется, а потом из раствора выпадает осадок. Дают выдержку при этой температуре 20 мин. Затем к реакционной массе прибавляют 187,6 мл диметилформамида и 7,5 г (5,3 г 100%) бромистого лития и 6,8 г углекислого лития и перемешивают при (79 1)oC 3,5…4 ч. После охлаждения до (20 1)oC реакционную смесь отфильтровывают от неорганических солей, промывают 73 мл диметилформамида. Объединенный диметилформамидный раствор полученного спиродиена прикапывают за 25. . .30 мин в 1100 мл воды, охлажденной до 3 2oC, и выдерживают 30 мин при этой температуре. Осадок отфильтровывают, промывают 160 мл воды до нейтральной р-ции. Сушат при 40…50oC до постоянной массы. Получают 54,5 г (60%-ного, 43,6 г 100%-ного, 95% от теоретического) спиродиена в виде кремового кристаллического порошка, т.пл. 140oC, [ ]2D0 + 18oE %1 см 800.
Пример 5.
пропионовой кислоты (спиронолактон).
20 г технического спиродиена растворяют в 70 мл метанола при нагревании, прибавляют 2 г активированного угля и кипятят 30 мин. Полученный раствор фильтруют от угля, промывают 40 мл горячего метанола. К отфильтрованному реакционному раствору прибавляют 8 мл тиоуксусной кислоты, кипятят 3 ч при перемешивании в токе азота. Реакционную массу охлаждают и выдерживают 3 ч при -5. . .-10oC. Осадок отфильтровывают и промывают 40 мл охлажденного метанола.
Получают 16,64 г (85% от теоретического) технического спиронолактона в виде желтоватого кристаллического порошка с т.пл. 185-192oC. После очистки из смеси ацетон-ментанол выход спиронолактона фармакопейного качества 80% от теоретического, считая на спиродиен.
Пример 6. Андрост-4-ен-3,17-дион(II, АД, R1 и R2 вместе кетогруппа)Культуру Mycobacterium smegmatis ВКПМ Ac-1552 в 6-дневном возрасте, выросшую на агаровой среде следующего состава (в г/л): глюкоза – 10, соевая мука – 3, лимонная кислота – 2,2, мочевина – 0,5, дигидрофосфат калия – 0,5, хлорид аммония -1, сульфат магния – 0,5, сульфат железа – 0,05, агар-агар ~ 25, вода дистиллированная, pH до стерилизации – 6,8-7,0, переносят в 30 мл жидкой посевной среды в конические плоскодонные колбы вместимостью 250 мл. Состав посевной среды (г/л): глюкоза – 10, соевая мука – 3, мочевина – 0,5, лимонная кислота – 2,2, хлорид аммония -1, дигидрофосфат калия – 0,5, сульфат железа – 0,05, сульфат магния – 0,5, карбонат кальция – 1,5, вода дистиллированная, pH до стерилизации – 7,0. Инкубируют 48 ч на качалке при интенсивном перемешивании 220 об/мин (эксцентриситет 5 см) и температуре 30oC. Выращенную культуру вносят в количестве 10 об.% в среду следующего состава (г/л): глюкоза – 10, соевая мука – 10, мочевина – 0,5, гидрофосфат аммония – 1,5, лимонная кислота – 2,2, сульфат магния – 0,2, сульфат железа – 0,05, карбонат кальция – 1,5, вода дистиллированная, pH до стерилизации – 7,0. Среду разливают в аналогичные колбы по 30 мл. До стерилизации в среду добавляют хорошо гомогенизированный холестерин в количестве 1% (концентрация 10 г/л). Ферментацию проводят на качалке в условиях, описанных для получения вегетативного посевного материала, в течение 96 4 ч. По окончании ферментации (концентрация АД – 7,0 г/л по данным ВЭЖХ анализа) культуральную жидкость отделяют от биомассы на центрифуге. Биомассу экстрагируют водным ацетоном (60-65% содержания).
Растворитель упаривают в вакууме до прекращения погона. Из образовавшейся водной суспензии отфильтровывают технический целевой продукт. После перекристаллизации из хлористого метилена и гексана получают АД с выходом 70% и температурой плавления 172-174oC.
Пример 7.
(II, циангидрин АД, R1=CN, R2=OH)К раствору 1,63 г NaOH в 280 мл метанола добавляют 100 г АД (II). Суспензию нагревают до 40oC и добавляют последовательно 13,8 мл воды и 47,8 мл ацетонциангидрина. Реакционную массу выдерживают при температуре 35-36oC в течение ч и добавляют медленно по каплям 59 мл воды, затем выдерживают при комнатной температуре. По окончании реакции добавляют медленно 217 мл воды и выдерживают 2 ч при комнатной температуре. Осадок отфильтровывают, промывают на фильтре смесью воды и метанола (2:1 соответственно) и водой до pH 7. Получают 104,45 г циангидрина АД с выходом 95,5%, с температурой плавления 174-176oC. Пример 8. (IV, 3-пропиленкеталь циангидрина АД, R1= CN, R2= OH и R5 и R6 вместе 2,2-диметил-1,3-диоксановый цикл)Суспензию 104,45 г циангидрина АД (II) в 522 мл хлористого метилена охлаждают до температуры 0…-5oC и в токе азота добавляют последовательно 105 мл триэтилового эфира oрто-муравьиной кислоты, 156,7 г неопентилгликоля и 15,67 г n- толуолсульфокислоты. Реакционную массу перемешивают в течение 8 ч. По окончании реакции медленно добавляют раствор 68,3 г гидрокарбоната натрия в 1,3 л воды. Суспензию охлаждают до температуры 0…+5oC и выдерживают в течение ч. Остаток отфильтровывают, промывают водой до pH 7. Получают 130,52 г хроматографически чистого 3-пропиленкеталя циангидрина АД с выходом 98%, с температурой плавления 252oC (с разложением). [ ]3D5= -22,5![]() 4 (с=0,969 в хлф.).
Масс-спектр, m/z: 372 [M-HCN]+; 286 [M-HCN-C5H10O]+.
ИК-спектр, , см-1: 3396 (ОН), 2252 (C N), 1672 (C=C), 1102, 1020 (-O-C-O-).
ПМР-спектр, , м.д.: 0,92 с и 0,96 с (3H 18-СН3 и 3H 19-СН3); 1,05 с (6H 2CH3 диоксанового цикла); 3,55 м (4H 2CH2-O диоксанового цикла); 5,42 уш.с. (1H 6-Н).
Пример 9.
(IV, 3-этиленкеталь циангидрина АД, R1=CN, R2=OH и R5 и R6 вместе 1,2- диоксолановый цикл)К суспензии 20 г циангидрина АД (II) в 20 мл этиленгликоля добавляют 40 мл 30% раствора метилортоформиата в метаноле и 0,4 г n-толуолсульфокислоты. Реакционную массу нагревают до 60oC и перемешивают 2 ч. По окончании реакции реакционную массу охлаждают до 25oC и добавляют 0,6 мл триэтиламина (pH 8-9). Реакционную массу охлаждают до температуры 0…-5oC и перемешивают 2-3 ч. Осадок отфильтровывают, промывают на фильтре метанолом, сушат. Получают 19 г 3-этиленкеталя циангидрина АД с выходом 83,6% и температурой плавления 218-220oC. Пример 10. (V, 3-этиленкеталь оксирана, R5 и R6 вместе 1,2- диоксолановый цикл)К смеси 7,2 г 3-этиленкеталя циангидрина АД и 6,8 г триметилсульфонийбромида в 145 мл диметилсульфоксида добавляют 7,2 г порошкообразного едкого натра. Суспензию перемешивают в течение 10 ч при температуре 60oC. Затем к реакционной массе медленно добавляют 200 мл воды, массу охлаждают до комнатной температуры. Осадок отфильтровывают, промывают водой. Получают 6,52 г 3-этиленкеталя оксирана с выходом 94% и температурой плавления 186-189oC. [ ]3D5 = -60 (с=1 в хлф.).
ПМР-спектр, , м. д. CDCl3: 0,94 с (3H, 18-СН3); 1,09 с (3H, 19-СН3); 2,78 с (2H, оксиранил, CH2); 3,97 с (4H 2CH2-O диоксоланового цикла); 5,4 м (1H винилон, Н).
Далее процесс ведется аналогично примерам 3-5.
Примеры с енаминной защитойПример 11. 3-(1-Пирролидинил)-андроста-3,5-диен-17-он (II, 5 и R6 вместе пирролидиновый заместитель) К суспензии 10 г АД в 40 мл метанола, нагретой до температуры кипения, добавляют медленно 5 мл пирролидина. По окончании реакции реакционную массу охлаждают до температуры 0-5oC. Осадок отфильтровывают, промывают на фильтре охлажденным метанолом. Получают 10,7 г (90%) пирролидинового енамина АД с температурой плавления 217-220oC. Пример 12. 3-(4-Морфолинил)-андроста-3,5-диен-17-он (II, R5 и R6 вместе морфолиновый заместитель) К суспензии 20 г АД в 120 мл бензола добавляют 50 мл морфолина и 0,03 г n-толуолсульфокислоты. Смесь кипятят, периодически удаляя отделяющуюся воду. По окончании реакции реакционную массу охлаждают до комнатной температуры. Растворитель упаривают в вакууме до прекращения погона. К остатку добавляют 10 мл петролейного эфира (фракция с температурой кипения 70-90oC). Осадок отфильтровывают, промывают петролейным эфиром. Получают 23,8 г (95,9%) морфолинового енамина АД с температурой плавления 205-207oC. Источники информации 1. Enlinger E., Magnus P. J.Am.Chem.Soc., 1980, v.102, 15, p.5004-5011. 2. Sturtz G., Yanakej J., Synthesis, 1980, 4, p.289-291. 3. Pat. US 3738983, 1974 г. 4. Pat. US 3682894, 1973 г. 5. Pat. US 4057542, 1977 г. 6. Заявка Японии 57-85400, 1978 г. 7. Заявка Японии 57-197300, 1978 г. 8. Pat. US 4265816, 1980 г. 9. Заявка Японии 61-359, 1981 г. 10. Pat. US 4211701, 1980 г. 11. Заявка Японии 53-124252, 1974 г. 12. Pat. FR 2216273, 2281357, 1974 г. Формула изобретения
пропионовой кислоты формулы I![]() заключающийся в том, что андростендион или его производное формулы II ![]() где R1 – карбонитрил, R2 – гидроксил, подвергают защите 4-3-кетосистемы, метиленированию по 17-кетогруппе диалкилсульфонийметилидом, генерируемым in situ из триалкилсульфонийгалогенида, с последующим превращением полученного оксиранового цикла в лактонный, построением 4,6-диеноновой структуры, присоединением тиоуксусной кислоты и выделением целевого продукта, отличающийся тем, что построение диеноновой системы осуществляют после построения лактонного кольца и одновременного декарбоалкоксилирования путем нагревания в апротонном растворителе в присутствии каталитических количеств насыщенных водных растворов солей сильных оснований и сильных кислот, и последующей селективной функционализацией 6-го положения стероидной молекулы с помощью реакций галоидирования – дегидрогалоидирования.
2. Способ по п.1, отличающийся тем, что андростендион получают путем микробиологического окисления стеринов растительного или животного происхождения общей формулы III![]() где R3 – ацил, или алкил, или карбоксиацил, или атом Н; R1 – Н или С2Н5, а его производное формулы II получают путем взаимодействия андростендиона с ацетонциангидрином. 3. Способ по п.1 или 2, отличающийся тем, что защиту 4-3-кетосистемы производного андростендиона формулы II осуществляют путем образования спирокеталей на основе этиленгликоля, или 2-моно- или 2,2-дизамещенных или незамещенных производных 1,3-пропандиола, или пирролидиновых или морфолиновых енаминов, или енолэфиров.
4. Способ по любому из пп.1 – 3, отличающийся тем, что генерирование диалкилсульфонийметилида in situ из триалкилсульфонийгалогенида осуществляют в присутствии сильного основания.
5. Способ по п.4, отличающийся тем, что в качестве сильного основания используют трет-бутилаты, или гидриды, или гидратированные гидроокиси щелочных металлов.
6. Способ по п.4 или 5, отличающийся тем, что указанное генерирование осуществляют также в присутствии катализатора межфазового переноса.
7. Способ по п.6, отличающийся тем, что в качестве катализатора межфазового переноса используют четвертичные аммонийные соли в эффективном количестве.
8. Способ по п.7, отличающийся тем, что в качестве четвертичной аммонийной соли используют триалкилариламмонийгалогениды.
9. Способ по любому из пп.1 – 8, отличающийся тем, что в реакции галоидирования в качестве галоидирующего агента используют дибромантин, или N-бромацетамид, или N-бромсукцинимид, а дегидрогалоидирование проводят в среде апротонного растворителя с помощью солей щелочных и щелочно-земельных металлов.
|
||||||||||||||||||||||||||

-ЛАКТОНА 3(7
-АЦЕТИЛТИО-17
-ГИДРОКСИ-3-ОКСОАНДРОСТ-4-ЕН-17
пропионовую кислоту] формулы I

4-3-кетосистемы, метиленированию по 17-кетогруппе диалкилсульфонийметилидом, генирируемым in situ из триалкилсульфонийгалогенида, с последующим превращением полученного оксиранового цикла в лактонный построением
пропионовая кислота] формулы (I).

гидрирование тройной связи, лактонизацию и построение
структуры. Выходы на отдельных стадиях высоки и составляют 88-95% [1-11].
В известных способах необходимо использовать на различных ступенях синтеза две защитные группы: этиленкетальную (на стадии карбоксилирования) и енолэфирную (на стадии введения
связи).
Кроме того, существенным недостатком этих способов является крупномасштабное использование ацетилена, применение в качестве металлирующего агента гидрида натрия, бутиллития, реактива Гриньяра, а также использование на стадии гидрирования палладиевого катализатора или применение давления в случае никель-боридного катализатора, что усложняет процесс.
Другой путь построения молекулы спиронолактона основан на использовании 17-спирооксиранов.
Наиболее близким к предложенному является способ получения спиронолактона общей формулы (I), заключающийся в том, что андростендион (АД) формулы
метиленируют по 17-кетогруппе диалкилсульфонийметилидом, генирируемым in situ из триметилсульфонийбромида с последующим построением
структуры, превращением полученного оксиранового цикла в лактоновый, присоединением тиоуксусной кислоты и выделением целевого продукта [12].
В известном способе декарбоалкоксилирование осуществляется на последней стадии, и сложноэфирная группировка в лактонном кольце, проходя несколько стадий, может гидролизоваться и образовывать побочный продукт, снижающий выход основного продукта. Кроме того, реакция декарбоалкоксилирования проводится в жестких условиях: при высокой температуре и давлении в присутствии сильной кислоты.
Техническим результатом предложенного способа является повышение выхода основного продукта путем исключения образования побочных продуктов и осмоления реакционной массы, проведение реакций в более мягких условиях.
Технический результат достигается тем, что в способе получения
пропионовой кислоты формулы (I)

4-3-кетосистемы, метиленированию по 17- кетогруппе диалкилсульфонийметилидом, генирируемым in situ из триалкилсульфонийгалогенида с последующим превращением полученного оксиранового цикла в лактонный, построением
системы, присоединением тиоуксусной кислоты и выделением целевого продукта, построение
системы осуществляют после построения лактонного кольца и одновременного декарбоалкоксилирования путем нагревания в апротонном растворителе в присутствии каталитических количеств насыщенных водных растворов солей сильных оснований и сильных кислот, и последующей селективной функционализацией 6-го положения стероидной молекулы с помощью реакций галоидирования – дегидрогалоидирования.
Причем андростендион (АД) получают путем микробиологического окисления стеринов растительного или животного происхождения общей формулы (III)
производного андростендиона формулы (II) можно осуществлять путем образования спирокеталей на основе этиленгликоля, или 2 – моно – или 2,2 – дизамещенных или незамещенных производных 1,3 – пропандиола, или пирролидиновых или морфолиновых енаминов или енолэфиров.
Кроме того, генерирование диалкилсульфонийметилида in situ из триалкилсульфонийгалогенида осуществляют в присутствии сильного основания.
Причем в качестве сильного основания используют трет-бутилаты или гидриды, или гидратированные гидроокиси щелочных металлов.
Кроме того, указанное генерирование можно осуществлять также в присутствии катализатора межфазового переноса.
Кроме того, в качестве катализатора межфазового перехода использовать четвертичные аммонийные соли в эффективном количестве.
В качестве четвертичной аммонийной соли можно использовать триалкилариламмонийгалогениды.
Кроме того, в реакции галоидирования в качестве агента можно использовать дибромантин или N- или N-бромсукцинимид, а дегидрогалоидирование проводят в среде апротонного растворителя с помощью солей щелочных и щелочноземельных металлов.
Способ получения
пропионовой кислоты (спиронолактона) формулы (I) осуществляется по следующей схеме:





4oC, выливают в 2 л охлажденной до температуры +10oC воды. Реакционную смесь охлаждают до (3
пропионовой кислоты (лактон).
36 г металлического натрия растворяют при перемешивании в 1,8 л абсолютного этилового спирта и прибавляют 238 мл (251 г) малонового эфира и 315 г оксирана. Реакционную смесь кипятят в течение 4,5…6 ч. Затем отгоняют при атмосферном давлении этанол в количестве 1,5 л, а к остатку прибавляют 1,5 л диметилсульфоксида и 350 мл 14,3% водного раствора хлорида натрия. Реакционную массу нагревают до 100oC и перемешивают 3,5…5 ч. Охлажденную до 35oC реакционную массу выливают в 5,25 л воды и перемешивают 20 мин при этой температуре. Затем охлаждают до 5oC и выдерживают 2 ч. Осадок: отфильтровывают, промывают водой до pH 7, сушат. Получают 351,3 г (98,2%) лактона с т.пл. 219oC.
Пример 4.
пропионовой кислоты спиродиен).
К суспензии 62,5 г лактона в 93,8 мл ацетона и 12,5 мл воды порциями при перемешивании прибавляют 25 г дибромантина или 28 г N- бромсукцинимида. В процессе прибавления температура поднимается до (28
пропионовой кислоты (спиронолактон).
20 г технического спиродиена растворяют в 70 мл метанола при нагревании, прибавляют 2 г активированного угля и кипятят 30 мин. Полученный раствор фильтруют от угля, промывают 40 мл горячего метанола. К отфильтрованному реакционному раствору прибавляют 8 мл тиоуксусной кислоты, кипятят 3 ч при перемешивании в токе азота. Реакционную массу охлаждают и выдерживают 3 ч при -5. . .-10oC. Осадок отфильтровывают и промывают 40 мл охлажденного метанола.
Получают 16,64 г (85% от теоретического) технического спиронолактона в виде желтоватого кристаллического порошка с т.пл. 185-192oC. После очистки из смеси ацетон-ментанол выход спиронолактона фармакопейного качества 80% от теоретического, считая на спиродиен.
Пример 6. Андрост-4-ен-3,17-дион(II, АД, R1 и R2 вместе кетогруппа)
(II, циангидрин АД, R1=CN, R2=OH)
(IV, 3-пропиленкеталь циангидрина АД, R1= CN, R2= OH и R5 и R6 вместе 2,2-диметил-1,3-диоксановый цикл)
, см-1: 3396 (ОН), 2252 (C
N), 1672 (C=C), 1102, 1020 (-O-C-O-).
ПМР-спектр,
, м.д.: 0,92 с и 0,96 с (3H 18-СН3 и 3H 19-СН3); 1,05 с (6H 2CH3 диоксанового цикла); 3,55 м (4H 2CH2-O диоксанового цикла); 5,42 уш.с. (1H 6-Н).
Пример 9.
(IV, 3-этиленкеталь циангидрина АД, R1=CN, R2=OH и R5 и R6 вместе 1,2- диоксолановый цикл)
(V, 3-этиленкеталь оксирана, R5 и R6 вместе 1,2- диоксолановый цикл)
пропионовой кислоты формулы I

