|
|
(21), (22) Заявка: 2006138597/04, 01.04.2005
(24) Дата начала отсчета срока действия патента:
01.04.2005
(30) Конвенционный приоритет:
02.04.2004 JP 2004-109551
(43) Дата публикации заявки: 10.05.2008
(46) Опубликовано: 27.05.2009
(56) Список документов, цитированных в отчете о поиске:
WO 00/17166 А, 30.03.2000. WO 00/17164 А, 30.03.2000. WO 00/17165 А, 30.03.2000. ЕР 0818448 А, 14.01.1998. RU 2194698 С2, 20.12.2002.
(85) Дата перевода заявки PCT на национальную фазу:
02.11.2006
(86) Заявка PCT:
JP 2005/006895 20050401
(87) Публикация PCT:
WO 2005/095395 20051013
Адрес для переписки:
129090, Москва, ул. Б.Спасская, 25, стр.3, ООО “Юридическая фирма Городисский и Партнеры”, пат.пов. Е.Е.Назиной
|
(72) Автор(ы):
КУБОТА Хитоси (JP), НАКАМУРА Йосинори (JP), ХИГАСИДЗИМА Таканори (JP), ЯМАМОТО Ясуо (JP), ОКА Козо (JP), ИГАРАСИ Сигеки (JP)
(73) Патентообладатель(и):
МИЦУБИСИ ТАНАБЕ ФАРМА КОРПОРЕЙШН (JP)
|
(54) ПРОИЗВОДНЫЕ ТЕТРАГИДРОНАФТИРИДИНА И СПОСОБ ИХ ПОЛУЧЕНИЯ
(57) Реферат:
Изобретение относится к новым соединениям – производным тетрагидронафтиридина формулы (I) или их фармацевтически приемлемым солям, где R1 означает С1-6алкоксикарбонильную группу, необязательно замещенную 1-5 заместителями и т.д.; R2 означает С1-6алкильную группу; R3 означает водород или т.п.; R4 означает С1-4алкиленовую группу; R5 означает необязательно замещенную ненасыщенную 5-8-членную гетероциклическую группу, содержащую 1-4 гетероатома, независимо выбранных из атомов кислорода и азота; R6, R7 и R8 означают независимо атом водорода, гидроксигруппу, цианогруппу, С1-6алкильную группу, С1-6алкоксигруппу, моно- или ди-C1-6алкилкарбамоильную группу или моно- или ди-С1-6алкиламиногруппу, необязательно замещены 1-6 заместителями, независимо выбранными из атома галогена, C1-6алкоксигруппы и аминогруппы; R10 означает необязательно замещенную 1-2 заместителями фенильную группу; которые обладают ингибирующей активностью в отношении белка переноса холестерилового эфира (СЕТР). 7 н.и 5 з.п.ф-лы, 38 табл.

Область техники, к которой относится изобретение
Настоящее изобретение относится к новому производному тетрагидронафтиридина, обладающему ингибирующей активностью против белка переноса холестерилового эфира (СЕТР).
Уровень техники
Посредством ряда эпидемиологических исследований было выяснено, что гиперхолистеринемия, в частности высокий сывороточный уровень холестерина с липопротеином низкой плотности (LDL), является фактором риска артериосклеротических заболеваний. Действительно, лекарственные средства, способные уменьшать уровень LDL-холестерина, такие как ингибиторы 3-гидрокси-3-метилглутарил-СоА (HMG-CoA)-редуктазы, использовали с целью предотвращения заболеваний коронарных артерий (ишемических болезней сердца) и показали во многих крупномасштабных клинических испытаниях, что они могут в некоторой степени быть полезными. Однако их превентивное действие на ишемические заболевания является до некоторой степени ограниченным и еще недостаточно удовлетворительным.
Недавно посредством ряда эпидемиологических исследований и крупномасштабных клинических испытаний было выявлено, что низкий уровень в сыворотке липопротеина высокой плотности (HDL) является сильным фактором риска артериосклеротических заболеваний. Известно, что HDL обладает различными антиартериосклеротическими эффектами, и внимание фокусируется на потенциальности лекарственных средств, увеличивающих уровень HDL-холестерина как средства для предотвращения или лечения артериосклеротических заболеваний. Однако нет лекарственных средств, которые могут быть использованы удовлетворительным образом для этой цели. Фибраты и ингибиторы HMG-CoA-редуктазы обладают лишь низкой активностью увеличения HDL-холестерина; производные никотиновой кислоты могут значимо увеличивать HDL, но имеют серьезные проблемы переносимости. Поэтому существует потребность в хорошо переносимом агенте, который может значимо повышать уровни HDL-холестерина, предотвращая или обращая прогрессирование атеросклероза.
Известно, что многие белки участвуют в механизме регуляции катаболизма различных липопротеинов. Среди них привлекает внимание роль белка переноса холестерилового эфира (СЕТР). СЕТР является белком, ответственным за перенос холестерилового эфира (СЕ) и триглицерида между липопротеинами и опосредует перенос СЕ от HDL к LDL или к липопротеину очень низкой плотности (VLDL). В соответствии с этим активность СЕТР очень сильно влияет на липидный состав в частицах липопротеинов. Например, известно, что введение нейтрализующего моноклонального антитела к СЕТР кролику или хомяку повышает уровни HDL-холестерина и снижает уровни LDL-холестерина. Кроме того, у человека, имеющего уменьшенную или элиминированную активность СЕТР вследствие мутации гена, обнаруживаются повышенные уровни HDL-холестерина и пониженные уровни LDL-холестерина. С другой стороны, известно, что трансгенные мыши и крысы, сконструированные для экспрессии СЕТР, обнаруживают пониженный уровень HDL-холестерина и повышенный уровень LDL-холестерина. Таким образом, считается, что СЕТР в сильной степени способствует регуляции сывороточных липидов и тем самым вызывает изменение профиля сывороточных липидов, например уменьшение уровня HDL-холестерина и увеличение LDL-холестерина. Таким образом, предполагается, что высокая величина активности СЕТР будет индуцировать артериосклероз.
Действительно, активность СЕТР варьируется в зависимости от вида животного. Известно, что артериосклеротические повреждения легко образуются введением холестерина у животных с высокой активностью СЕТР, таких как кролики, тогда как такие повреждения вряд ли встречаются у животных с низкой активностью СЕТР, таких как крысы. Кроме того, подтверждается, что непрерывная супрессия активности СЕТР введением антисмыслового олигодезоксинуклеотида приводила к таким эффектам, как увеличение уровня HDL-холестерина крови и уменьшение артериосклеротических повреждений у получавших в корме холестерин кроликах.
Приведенные выше открытия указывают на то, что активность СЕТР находится в отрицательной корреляции с HDL-холестерином и что ингибирование активности СЕТР должно уменьшать степень риска в отношении артериосклеротических заболеваний. Таким образом, ожидается, что соединения, способные ингибировать активность СЕТР, могут блокировать перенос холестерина от HDL к LDL, увеличивая тем самым HDL-холестерин, который имеет тенденцию предотвращать артериосклероз, и уменьшая LDL-холестерин, который имеет тенденцию усиливать артериосклероз. Таким путем подобные соединения могут служить в качестве полезного превентивного или терапевтического агента для артериосклеротических заболеваний, гиперлипемии или дислипидемии и впервые обеспечивать эффективное лекарственное лечение.
Примеры соединений, обладающих СЕТР-ингибирующей активностью, включают производные тетрагидронафтиридина. См. WO00/17164, WO00/17165, WO00/17166.
Однако указанные соединения имеют недостатки. А именно, они слабо растворимы в воде и не могут абсорбироваться в достаточной степени in vivo, достаточный уровень в крови для проявления медицинского действия едва ли может достигаться даже при введении в виде обычной формы для перорального введения. См. WO03/63868.
Таким образом, существует крайняя потребность в новых соединениях, у которых указанные выше недостатки устранены.
Описание изобретения
Настоящее изобретение обеспечивает новые производные тетрагидронафтиридина, обладающие превосходной СЕТР-ингибирующей активностью, у которых устранены недостатки существующих СЕТР-ингибирующих соединений.
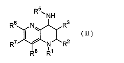
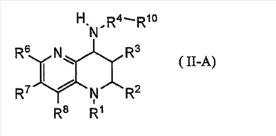
Таким образом, настоящее изобретение обеспечивает соединение формулы (I):

где R1 означает атом водорода, необязательно замещенную алкоксикарбонильную группу, необязательно замещенную карбамоильную группу, необязательно замещенную алкильную группу, необязательно замещенную алканоильную группу, насыщенную или ненасыщенную моноциклическую или бициклическую гетероциклическую группу, содержащую 1-4 гетероатома, независимо выбранных из атомов кислорода, серы и азота (указанная гетероциклическая группа необязательно замещена), или насыщенную или ненасыщенную моноциклическую или бициклическую гетероциклическую карбонильную группу, содержащую 1-4 гетероатома, независимо выбранных из атомов кислорода, серы и азота (указанная гетероциклическая группа необязательно замещена).
R2 означает атом водорода или необязательно замещенную алкильную группу;
R3 означает атом водорода или необязательно замещенную алкильную группу;
R4 означает необязательно замещенную алкиленовую группу;
R5 означает насыщенную или ненасыщенную моноциклическую или бициклическую гетероциклическую группу, содержащую 1-4 гетероатома, независимо выбранных из атомов кислорода, серы и азота, где указанная гетероциклическая группа необязательно замещена,
R6, R7 и R8 означают независимо атом водорода, атом галогена, гидроксигруппу, нитрогруппу, цианогруппу, необязательно замещенную алкильную группу, необязательно замещенную алкоксигруппу, необязательно замещенную алкилсульфонилоксигруппу, необязательно замещенную моно- или диалкилкарбамоильную группу или необязательно замещенную аминогруппу; или
R6 и R7 или R7 и R8 могут объединяться на концах с образованием алкиленовой группы, где алкиленовая группа необязательно содержит 1-3 гетероатома, независимо выбранных из атомов азота, серы и кислорода, и может иметь заместитель (заместители); и
R10 означает ароматическое кольцо, необязательно содержащее 1-3 гетероатома, независимо выбранных из атомов кислорода, серы и азота (указанное ароматическое кольцо необязательно замещено), или его фармацевтически приемлемую соль.
Соединение (I) настоящего изобретения включает смесь стереоизомеров, соответствующие стереоизомеры в очищенной или по существу очищенной форме. Например, соединения формулы (I) могут иметь один или несколько асимметричных атомов углерода и, следовательно, могут существовать в виде индивидуальных энантиомеров или диастереомеров или их смеси. Данные соединения включают соответствующие изомеры и их смесь. Кроме того, когда соединение (I) имеет двойную связь, могут существовать геометрические изомеры (цис- и транс-формы), и когда соединение (I) имеет группу, содержащую ненасыщенную связь, такую как карбонил, могут существовать таутомерные формы, и данные соединения включают соответствующие изомеры и их смесь.
Далее, фармацевтически приемлемые соли соединения (I) настоящего изобретения включают внутримолекулярную соль, гидрат, сольват или т.п.
Как использовано в настоящем описании термин «ароматическое кольцо, необязательно содержащее 1-3 гетероатома, независимо выбранных из атомов кислорода, серы и азота», означает предпочтительно «5-7-членное моноциклическое ароматическое кольцо, необязательно замещенное 1-3 гетероатомами, независимо выбранными из атомов кислорода, серы и азота», конкретно включая группы фенил, фурил, тиенил, пирролил, окасазолил, тиазолил, имидазолил, пиразолил, изоксазолил, изотиазолил, пиридил, пиридазинил, пиримидинил, пиразинил, азепинил, оксепинил и тиепинил и т.п.
Термин «насыщенная или ненасыщенная моноциклическая или бициклическая гетероциклическая группа, содержащая 1-4 гетероатома, независимо выбранных из атомов кислорода, серы и азота означает предпочтительно насыщенную или ненасыщенную 5-8-членную гетероциклическую группу, содержащую 1-4 гетероатома, независимо выбранных из атомов кислорода, серы и азота , конкретно включая следующие группы. Примеры 5-членной гетероциклической группы включают группы 2Н-пирролил, 3Н-пирролил, 2-пирролил, 3-пирролил, пирролидинил, 1,3-диоксоланил, оксазолил, оксазолинил, оксазолидинил, тиазолил, имидазолил, имидазолинил, имидазолидинил, пиразолил, 2-пиразолинил, пиридазолидинил, изоксазолил, изотиазолил, тетразолил, 1,2-дитиолил, 1,3-дитиолил, 3Н-1,2-оксатиолил, 1,2,3-оксадиазолил, 1,2,4-оксадиазолил, 1,2,5-оксадиазолил, 1,3,4-оксадиазолил, 1,2,3-триазолил, 1,2,4-триазолил, 1,3,4-тиадиазолил, 1,2,3,4-оксатриазолил, 1,2,3,5-оксатриазолил, 3Н-1,2,3-диоксазолил, 1,2,4-диоксазолил, 1,3,2-диоксазолил, 1,3,4-диоксазолил, 5Н-1,2,5-оксатиазолил и 1,3-оксатиолил и т.п.
Примеры 6-членной гетероциклической группы включают группы 2Н-пиранил, 4Н-пиранил, пиридил, пиперидинил, 1,2-диоксинил, 1,3-диоксинил, 1,4-диоксанил, морфолинил, 1,4-дитианил, тиоморфолинил, пиридазинил, пиримидинил, пиразинил, пиперазинил, 1,3,5-триазинил, 1,2,4-триазинил, 1,2,3-триазинил, 1,3,5-тритианил, 4Н-1,2-оксазинил, 2Н-1,3-оксазинил, 6Н-1,3-оксазинил, 6Н-1,2-оксазинил, 1,4-оксазинил, 2Н-1,2-оксазинил, 4Н-1,4-оксазинил, 1,2,5-оксатиазинил, 1,4-оксазинил, о-изоксазинил, п-изоксазинил, 1,2,5-оксатиазинил, 1,2,6-оксатиазинил, 1,4,2-оксадиазинил и 1,3,5,2-оксадиазинил и т.п.
Примеры 7-членной гетероциклической группы включают группы азепинил, оксепинил и тиепинил и т.п.
Примеры 8-членной гетероциклической группы включают группы азоцинил, оксоцинил и тиоцинил и т.п.
Как использовано в настоящем описании, гетероциклическая часть насыщенной или ненасыщенной моноциклической или бициклической гетероциклической оксигруппы, содержащей 1-4 гетероатома, независимо выбранных из атомов кислорода, серы и азота , насыщенной или ненасыщенной моноциклической или бициклической гетероциклической карбонильной группы, содержащей 1-4 гетероатома, независимо выбранных из атомов кислорода, серы и азота и насыщенной или ненасыщенной моноциклической или бициклической гетероциклической карбониламиногруппы, содержащей 1-4 гетероатома, независимо выбранных из атомов кислорода, серы и азота означает вышеуказанную насыщенную или ненасыщенную моноциклическую или бициклическую гетероциклическую группу, содержащую 1-4 гетероатома, независимо выбранных из атомов кислорода, серы и азота .
В таких случаях, когда положение связывания для таких ароматических колец, гетероциклической группы и т.п. не указано особо, предполагается, что указанное определение включает все возможные положения связывания. Например, термин пиридильная группа означает 2-, 3- или 4-пиридильную группу, и термин тиенильная группа означает 2- или 3-тиенильную группу. То же самое относится и к другим ароматическим кольцам и гетероциклическим группам.
Когда насыщенная или ненасыщенная моноциклическая или бициклическая гетероциклическая группа, гетероциклическая оксигруппа, гетероциклическая карбонильная группа и гетероциклическая карбониламиногруппа, каждая содержащая 1-4 гетероатома, независимо выбранных из атомов кислорода, серы и азота, имеет заместитель (заместители), указанное замещение включает окисление гетероатома (гетероатомов) в гетероцикле в соответствующих группах. Конкретно, соединения, имеющие гетероатом (гетероатомы) в гетероцикле указанных групп, например, N-оксид, S-оксид (SO) или S,S-диоксид (SO2), также входят в объем настоящего изобретения.
Термин «галоген» относится к фтору, хлору, брому или иоду.
Термин «алкильная группа» или «алкил» означает прямую или разветвленную насыщенную углеводородную цепь, имеющую 1-10 атомов углерода, и циклическую насыщенную углеводородную цепь, имеющую 3-10 атомов углерода. В качестве прямой или разветвленной углеводородной цепи предпочтительными являются цепи, имеющие 2-10 атомов углерода, и более предпочтительными являются цепи, имеющие 2-6 атомов углерода. Другими предпочтительными примерами являются алкильные группы с прямой цепью, имеющие 1-6 атомов углерода, в частности алкильные группы, имеющие 1-4 атома углерода. Примеры алкильной группы включают группы метил, этил, пропил, изопропил, бутил, втор-бутил, трет-бутил, пентил, изопентил, неопентил, трет-пентил, 1-метилбутил, 2-метилбутил, 3-метилбутил, гексил и изогексил, и т.д.
Термин алкоксигруппа или алкокси означает прямую или разветвленную алкилоксигруппу, имеющую 1-10 атомов углерода, и циклическую алкилоксигруппу, имеющую 3-10 атомов углерода. В качестве прямой или разветвленной углеводородной цепи предпочтительными являются цепи, имеющие 2-10 атомов углерода, и более предпочтительными являются цепи, имеющие 2-6 атомов углерода. Другими предпочтительными примерами являются алкоксигруппы с прямой цепью, имеющие 1-6 атомов углерода, в частности алкоксигруппы, имеющие 1-4 атома углерода. Примеры алкоксигруппы включают группы метокси, этокси, пропокси, изопропокси, бутокси, изобутокси, трет-бутокси, пентокси, изопентокси, неопентокси, трет-пентокси, гексокси и изогексокси, и т.п.
Термин алкиленовая группа или алкилен означает насыщенную углеводородную цепь, в которой атом водорода удален из каждого из концевых углеродов прямой углеводородной цепи. Предпочтительные примеры включают алкиленовую группу, имеющую 1-4 атома углерода, конкретно группы метилен, этилен, триметилен и тетраметилен, и т.п. Когда используемая алкиленовая группа содержит 1-3 гетероатома, независимо выбранных из атомов азота, серы и кислорода, термин алкилен включает группу формулы: -О-(СН2)m-O-, -S-(CH2)m-S-, -NH-(СН2)m-NH- или -O-(СН2)m-NH- (где m равно целому числу 1-4), или т.п.
Термин «алканоильная группа» или «алканоил» означает прямую или разветвленную алкилкарбонильную группу, имеющую 1-10 атомов углерода, предпочтительно алкилкарбонильную группу, имеющую 1-6 атомов углерода, более предпочтительно алкилкарбонильную группу, имеющую 1-4 атома углерода. Примеры алканоильной группы включают группы ацетил, пропионил, бутирил, валерил и пивалоил, и т.п.
Термин алкенильная группа или алкенил означает прямую или разветвленную углеводородную цепь, имеющую 2-10 атомов углерода и содержащую по меньшей мере одну двойную связь, предпочтительно алкенильную группу, имеющую 2-6 атомов углерода, более предпочтительно алкенильную группу, имеющую 2-4 атома углерода. Примеры алкенильной группы включают группы винил, 1-пропенил, аллил, изопропенил, бутенил, бутадиенил и пентенил, и т.п.
Как использовано во всех пунктах формулы изобретения и во всем описании, когда термин моно- или диалкил относится к диалкилу, указанные алкильные группы могут быть независимыми друг от друга. Кроме того, соединение приведенной ниже формулы обозначает, что оно принимает конфигурацию (2R*,4S*), где (2R*,4S*) относится к смеси (2R,4S) и (2S,4R).

Соединения настоящего изобретения имеют СЕТР-ингибирующую активность и являются эффективными для увеличения HDL-холестерина и уменьшения LDL-холестерина. Таким образом, указанные соединения полезны в предупреждении и/или лечении таких заболеваний, как артериосклероз, гиперлипемия и т.п.
Наилучший способ выполнения изобретения
Предпочтительными соединениями настоящего изобретения являются соединения, где R5 означает насыщенную или ненасыщенную моноциклическую или бициклическую гетероциклическую группу, содержащую 1-4 гетероатома, независимо выбранных из атомов кислорода, серы и азота, где указанная гетероциклическая группа необязательно замещена 1-5 заместителями, выбранными из следующих групп:
атома галогена, оксогруппы, гидроксигруппы, цианогруппы, нитрогруппы, карбоксильной группы, сульфогруппы, необязательно замещенной алкильной группы, необязательно замещенной циклоалкильной группы, необязательно замещенной алкенильной группы, необязательно замещенной алкоксигруппы, необязательно замещенной циклоалкоксигруппы, необязательно замещенной алкоксикарбонильной группы, карбамоильной группы, необязательно замещенной моно- или диалкилкарбамоильной группы, необязательно замещенной карбамимидоильной группы, необязательно замещенной алкилтиогруппы, необязательно замещенной алкилсульфинильной группы, необязательно замещенной алкилсульфонильной группы, аминогруппы, необязательно замещенной моно- или диалкиламиногруппы, необязательно замещенной алканоиламиногруппы, необязательно замещенной алкоксикарбониламиногруппы, необязательно замещенной алкилсульфониламиногруппы, необязательно замещенной моно- или диалкилкарбамоиламиногруппы, насыщенной или ненасыщенной моноциклической или бициклической гетероциклической карбониламиногруппы, содержащей 1-4 гетероатома, независимо выбранных из атомов кислорода, серы и азота (указанная гетероциклическая карбониламиногруппа необязательно замещена), сульфамоильной группы, необязательно замещенной моно- или диалкилсульфамоильной группы, необязательно замещенной алканоильной группы, насыщенной или ненасыщенной моноциклической или бициклической гетероциклической группы, содержащей 1-4 гетероатома, независимо выбранных из атомов кислорода, серы и азота (указанная гетероциклическая группа необязательно замещена), насыщенной или ненасыщенной моноциклической или бициклической гетероциклической оксигруппы, содержащей 1-4 гетероатома, независимо выбранных из атомов кислорода, серы и азота (указанная гетероциклическая оксигруппа необязательно замещена), и насыщенной или ненасыщенной моноциклической или бициклической гетероциклической карбонильной группы, содержащей 1-4 гетероатома, независимо выбранных из атомов кислорода, серы и азота (указанная гетероциклическая карбонильная группа необязательно замещена); и
R10 означает ароматическое кольцо, необязательно содержащее 1-3 гетероатома, независимо выбранных из атомов кислорода, серы и азота, где указанное ароматическое кольцо необязательно замещено 1-4 заместителями, выбранными из следующих групп: атома галогена, карбоксильной группы, необязательно замещенной алкоксикарбонильной группы, карбамоильной группы, необязательно замещенной моно- или диалкилкарбамоильной группы, необязательно замещенной алкильной группы, необязательно замещенной алкоксигруппы, гидроксигруппы, нитрогруппы, цианогруппы, аминогруппы, необязательно замещенной моно- или диалкиламиногруппы, необязательно замещенной алканоильной группы, необязательно замещенной алкилтиогруппы и насыщенной или ненасыщенной моноциклической или бициклической гетероциклической группы, содержащей 1-4 гетероатома, независимо выбранных из атомов кислорода, серы и азота (указанная гетероциклическая группа необязательно замещена).
Заместитель (заместители) для необязательно замещенной алкильной группы, необязательно замещенной циклоалкильной группы, необязательно замещенной алкенильной группы, необязательно замещенной алкоксигруппы, необязательно замещенной циклоалкоксигруппы, необязательно замещенной алкоксикарбонильной группы, необязательно замещенной моно- или диалкилкарбамоильной группы, необязательно замещенной алкилтиогруппы, необязательно замещенной алкилсульфинильной группы, необязательно замещенной алкилсульфонильной группы, необязательно замещенной моно- или диалкиламиногруппы, необязательно замещенной алканоиламиногруппы, необязательно замещенной алкоксикарбониламиногруппы, необязательно замещенной алкилсульфониламиногруппы, необязательно замещенной моно- или диалкилкарбамоиламиногруппы, необязательно замещенной моно- или диалкилсульфамоильной группы, необязательно замещенной алканоильной группы, необязательно замещенной алкиленовой группы, насыщенной или ненасыщенной моноциклической или бициклической гетероциклической карбониламиногруппы, содержащей 1-4 гетероатома, независимо выбранных из атомов кислорода, серы и азота (указанная гетероциклическая карбониламиногруппа необязательно замещена), насыщенной или ненасыщенной моноциклической или бициклической гетероциклической группы, содержащей 1-4 гетероатома, независимо выбранных из атомов кислорода, серы и азота (указанная гетероциклическая группа необязательно замещена), насыщенной или ненасыщенной моноциклической или бициклической гетероциклической оксигруппы, содержащей 1-4 гетероатома, независимо выбранных из атомов кислорода, серы и азота (указанная гетероциклическая оксигруппа необязательно замещена), и насыщенной или ненасыщенной моноциклической или бициклической гетероциклической карбонильной группы, содержащей 1-4 гетероатома, независимо выбранных из атомов кислорода, серы и азота (указанная гетероциклическая карбонильная группа необязательно замещена), могут быть 1-5 группами, выбранными из следующих групп:
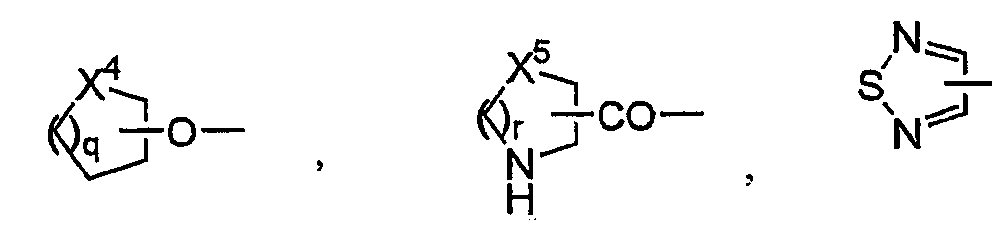
атома галогена; цианогруппы; гидроксигруппы; нитрогруппы; карбоксильной группы; оксогруппы; тиоксогруппы; сульфогруппы; циклоалкильной группы, необязательно замещенной гидроксигруппой, атомом галогена, карбоксильной группой, алкоксикарбонильной группой, моно- или диалкиламиногруппой, фенильной группой или морфолинильной группой; алкоксикарбонильной группы, необязательно замещенной гидроксигруппой, атомом галогена, карбоксильной группой, алкоксикарбонильной группой, моно- или диалкиламиногруппой, фенильной группой или морфолинильной группой; карбамоильной группы; моно- или диалкилкарбамоильной группы, необязательно замещенной гидроксигруппой, атомом галогена, карбоксильной группой, алкоксикарбонильной группой, моно- или диалкиламиногруппой, фенильной группой или морфолинильной группой; алкильной группы, необязательно замещенной гидроксигруппой, атомом галогена, карбоксильной группой, алкоксикарбонильной группой, моно- или диалкиламиногруппой, фенильной группой или морфолинильной группой; алканоильной группы, необязательно замещенной гидроксигруппой, атомом галогена, карбоксильной группой, алкоксикарбонильной группой, моно- или диалкиламиногруппой, фенильной группой или морфолинильной группой; алкоксигруппы, необязательно замещенной гидроксигруппой, атомом галогена, карбоксильной группой, алкоксикарбонильной группой, моно- или диалкиламиногруппой, фенильной группой или морфолинильной группой; алканоилоксигруппы, необязательно замещенной атомом галогена, гидроксигруппой, карбоксильной группой, алкоксикарбонильной группой, моно- или диалкиламиногруппой, фенильной группой или морфолинильной группой; алкилтиогруппы, необязательно замещенной атомом галогена, гидроксигруппой, карбоксильной группой, алкоксикарбонильной группой, моно- или диалкиламиногруппой, фенильной группой или морфолинильной группой; алкилсульфонильной группы, необязательно замещенной гидроксигруппой, атомом галогена, карбоксильной группой, алкоксикарбонильной группой, моно- или диалкиламиногруппой, фенильной группой или морфолинильной группой; алкилсульфинильной группы, необязательно замещенной гидроксигруппой, атомом галогена, карбоксильной группой, алкоксикарбонильной группой, моно- или диалкиламиногруппой, фенильной группой или морфолинильной группой; моно- или диалкилсульфамоильной группы, необязательно замещенной гидроксигруппой, атомом галогена, карбоксильной группой, алкоксикарбонильной группой, моно- или диалкиламиногруппой, фенильной группой или морфолинильной группой; аминогруппы; моно- или диалкиламиногруппы, необязательно замещенной гидроксигруппой, атомом галогена, карбоксильной группой, алкоксикарбонильной группой, моно- или диалкиламиногруппой, фенильной группой или морфолинильной группой; моно- или диалкилсульфамоиламиногруппы, необязательно замещенной гидроксигруппой, атомом галогена, карбоксильной группой, алкоксикарбонильной группой, моно- или диалкиламиногруппой, фенильной группой или морфолинильной группой; моно- или диалкилуреидогруппы, необязательно замещенной гидроксигруппой, атомом галогена, карбоксильной группой, алкоксикарбонильной группой, моно- или диалкиламиногруппой, фенильной группой или морфолинильной группой; и группы формулы:
   
где Х1 и Х3 означают независимо СН2, NH, О, S, SO или SO2; Х2 и Х5 означают независимо СН2, О, S, SO или SO2; Х4 означает NH, О, S, SO или SO2; Х6 и Х7 означают независимо О или S; Х8 означает S, CO или SO; и n, o, p, q и r равны независимо целому числу 1-4, где каждая группа приведенных выше формул необязательно замещена 1-3 заместителями, выбранными из следующих групп:
атома галогена, карбоксильной группы, гидроксигруппы, цианогруппы, оксогруппы, тиоксогруппы, алкильной группы, гидроксиалкильной группы, алкоксикарбонилалкильной группы, карбоксиалкильной группы, алкильной группы, замещенной галогеном, морфолинилалкильной группы, фенилалкильной группы, алканоильной группы, гидроксиалканоильной группы, алкоксиалканоильной группы, алкоксигруппы, фенилалкоксигруппы, алкоксикарбонильной группы, бензилоксикарбонильной группы, моно- или диалкиламиногруппы, моно- или диалкилкарбамоильной группы, моно- или диалкилсульфамоильной группы, алкилсульфонильной группы и тетразолильной группы.
Кроме того, «ароматическое кольцо, необязательно содержащее 1-3 гетероатома, независимо выбранных из атомов кислорода, серы и азота», означает предпочтительно группу фенил, нафтил, пиридил, хинолил, изохинолил, фурил, пиримидинил, триазолил или тиенил.
«Насыщенная или ненасыщенная моноциклическая или бициклическая гетероциклическая группа, содержащая 1-4 гетероатома, независимо выбранных из атомов кислорода, серы и азота», означает предпочтительно группу морфолинил, тиоморфолинил, пиперазинил, пирролидинил, пиперидинил, гексагидроазепинил, пирролинил, имидазолидинил, оксазолидинил, тетрагидропиранил, тетрагидрофуранил, диоксоланил, оксиранил, пиримидинил, пиридил, триазолил, тетразолил, оксадиазолил, дигидропиримидинил, пиразинил, тиазолил, оксазолинил, оксазолил, пиридазинил, имидазолинил, имидазолил, пиразинил, тиенил, пирролил, фурил или дигидрооксазинил.
«Насыщенная или ненасыщенная моноциклическая или бициклическая гетероциклическая оксигруппа, содержащая 1-4 гетероатома, независимо выбранных из атомов кислорода, серы и азота», означает предпочтительно группу морфолинилокси, тиоморфолинилокси, пиперазинилокси, пирролидинилокси, пиперидинилокси, гексагидроазепинилокси, пирролинилокси, имидазолидинилокси, оксазолидинилокси, тетрагидропиранилокси, тетрагидрофуранилокси, диоксоланилокси, оксиранилокси, пиримидинилокси, пиридилокси, триазолилокси, тетразолилокси, оксадиазолилокси, дигидропиримидинилокси, пиразинилокси, тиазолилокси, оксазолинилокси, оксазолилокси, пиридазинилокси, имидазолинилокси, имидазолилокси, пиразинилокси, тиенилокси, пирролилокси, фурилокси или дигидрооксазинилокси.
«Насыщенная или ненасыщенная моноциклическая или бициклическая гетероциклическая карбонильная группа, содержащая 1-4 гетероатома, независимо выбранных из атомов кислорода, серы и азота», означает предпочтительно группу морфолинилкарбонил, тиоморфолинилкарбонил, пиперазинилкарбонил,
пирролидинилкарбонил, пиперидинилкарбонил,
гексагидроазепинилкарбонил, пирролинилкарбонил,
имидазолидинилкарбонил, оксазолидинилкарбонил,
тетрагидропиранилкарбонил, тетрагидрофуранилкарбонил,
диоксоланилкарбонил, оксиранилкарбонил, пиримидинилкарбонил,
пиридилкарбонил, триазолилкарбонил, тетразолилкарбонил,
оксадиазолилкарбонил, дигидропиримидинилкарбонил,
пиразинилкарбонил, тиазолилкарбонил, оксазолинилкарбонил,
оксазолилкарбонил, пиридазинилкарбонил, имидазолинилкарбонил,
имидазолилкарбонил, пиразинилкарбонил, тиенилкарбонил,
пирролилкарбонил, фурилкарбонил или дигидрооксазинилкарбонил.
«Насыщенная или ненасыщенная моноциклическая или бициклическая гетероциклическая карбониламиногруппа, содержащая 1-4 гетероатома, независимо выбранных из атомов кислорода, серы и азота», означает предпочтительно группу морфолинилкарбониламино, тиоморфолинилкарбониламино,
пиперазинилкарбониламино, пирролидинилкарбониламино,
пиперидинилкарбониламино, гексагидроазепинилкарбониламино,
пирролинилкарбониламино, имидазолидинилкарбониламино,
оксазолидинилкарбониламино, тетрагидропиранилкарбониламино,
тетрагидрофуранилкарбониламино, диоксоланилкарбониламино,
оксиранилкарбониламино, пиримидинилкарбониламино,
пиридилкарбониламино, триазолилкарбониламино,
тетразолилкарбониламино, оксадиазолилкарбониламино,
дигидропиримидинилкарбониламино, пиразинилкарбониламино,
тиазолилкарбониламино, оксазолинилкарбониламино,
оксазолилкарбониламино, пиридазинилкарбониламино,
имидазолинилкарбониламино, имидазолилкарбониламино,
пиразинилкарбониламино, тиенилкарбониламино,
пирролилкарбониламино, фурилкарбониламино или
дигидрооксазинилкарбониламино.
В предпочтительном варианте осуществления настоящего изобретения R1 означает атом водорода; алкоксикарбонильную группу, необязательно замещенную 1-5 заместителями, независимо выбранными из цианогруппы, гидроксигруппы, карбоксильной группы, алкоксикарбонильной группы, алкоксигруппы (указанная алкоксигруппа необязательно замещена 1-3 заместителями, независимо выбранными из гидроксигруппы, аминогруппы, моно- или диалкиламиногруппы, атома галогена, карбоксильной группы, алкоксикарбонильной группы, карбоксиалкоксигруппы и алкоксикарбонилалкоксигруппы), алкилтиогруппы, алкилсульфонильной группы, алкенильной группы, аминогруппы, моно- и диалкиламиногруппы, тетразолильной группы, карбамоильной группы, моно- или диалкилкарбамоильной группы (указанная моно- или диалкилкарбамоильная группа необязательно замещена 1-3 заместителями, независимо выбранными из карбоксильной группы и алкоксикарбонильной группы), алканоиламиногруппы (указанная алканоиламиногруппа необязательно замещена 1-3 заместителями, независимо выбранными из карбоксильной группы, алкоксикарбонильной группы, гидроксигруппы и атома галогена), атома галогена, циклоалкильной группы (указанная циклоалкильная группа необязательно замещена 1-3 заместителями, независимо выбранными из гидроксигруппы, аминогруппы, моно- или диалкиламиногруппы, атома галогена, оксогруппы, карбоксильной группы, алкоксикарбонильной группы, карбоксиалкильной группы, алкоксикарбонилалкильной группы, карбоксиалкоксигруппы и алкоксикарбонилалкоксигруппы), фенильной группы (указанная фенильная группа необязательно замещена 1-3 заместителями, независимо выбранными из гидроксигруппы, аминогруппы, моно- или диалкиламиногруппы, атома галогена, карбоксильной группы, алкоксикарбонильной группы, карбоксиалкильной группы, алкоксикарбонилалкильной группы, карбоксиалкоксигруппы и алкоксикарбонилалкоксигруппы), морфолинильной группы, необязательно замещенной оксогруппой, пиперидинильной группы (указанная пиперидинильная группа необязательно замещена 1-3 заместителями, независимо выбранными из гидроксигруппы, аминогруппы, моно- или диалкиламиногруппы, атома галогена, оксогруппы, карбоксильной группы, алкоксикарбонильной группы, карбоксиалкильной группы, алкоксикарбонилалкильной группы, карбоксиалкоксигруппы и алкоксикарбонилалкоксигруппы), пирролидинильной группы (указанная пирролидинильная группа необязательно замещена 1-3 заместителями, независимо выбранными из гидроксигруппы, аминогруппы, моно- или диалкиламиногруппы, атома галогена, оксогруппы, карбоксильной группы, алкоксикарбонильной группы, карбоксиалкильной группы, алкоксикарбонилалкильной группы, карбоксиалкоксигруппы и алкоксикарбонилалкоксигруппы), и пиримидинильной группы (указанная пиримидинильная группа необязательно замещена 1-3 заместителями, независимо выбранными из карбоксиалкильной группы, алкоксикарбонилалкильной группы, карбоксиалкоксигруппы и алкоксикарбонилалкоксигруппы); карбамоильную группу, необязательно замещенную алкоксигруппой; дигидрооксазолильную группу, необязательно замещенную 1-2 заместителями, независимо выбранными из карбоксильной группы, алкоксикарбонильной группы, алкильной группы, карбоксиалкильной группы, алкоксикарбонилалкильной группы и гидроксиалкильной группы; дигидроимидазолильную группу, необязательно замещенную 1-3 заместителями, независимо выбранными из карбоксильной группы, алкоксикарбонильной группы, алкильной группы, карбоксиалкильной группы, алкоксикарбонилалкильной группы и гидроксиалкильной группы; дигидрооксазинильную группу, необязательно замещенную 1-3 заместителями, независимо выбранными из карбоксильной группы, алкоксикарбонильной группы, алкильной группы, карбоксиалкильной группы, алкоксикарбонилалкильной группы и гидроксиалкильной группы; моно- или диалкилкарбамоильную группу, необязательно замещенную 1-5 заместителями, независимо выбранными из атома галогена, гидроксигруппы, карбоксильной группы, алкоксикарбонильной группы, алкоксигруппы, аминогруппы, моно- или диалкиламиногруппы, морфолинильной группы, пиридильной группы, циклоалкильной группы (указанная циклоалкильная группа необязательно замещена 1-3 заместителями, независимо выбранными из карбоксильной группы, алкоксикарбонильной группы, атома галогена, аминогруппы и гидроксигруппы) и фенильной группы (указанная фенильная группа необязательно замещена 1-3 заместителями, независимо выбранными из карбоксильной группы, алкоксикарбонильной группы, атома галогена, аминогруппы и гидроксигруппы); алкильную группу, необязательно замещенную 1-5 заместителями, независимо выбранными из атома галогена, гидроксигруппы, карбоксильной группы, алкоксикарбонильной группы, алкоксигруппы, аминогруппы, моно- или диалкиламиногруппы, морфолинильной группы, пиридильной группы, циклоалкильной группы (указанная циклоалкильная группа необязательно замещена 1-3 заместителями, независимо выбранными из карбоксильной группы, алкоксикарбонильной группы, атома галогена, аминогруппы и гидроксигруппы) и фенильной группы (указанная фенильная группа необязательно замещена 1-3 заместителями, независимо выбранными из карбоксильной группы, алкоксикарбонильной группы, атома галогена, аминогруппы и гидроксигруппы); алканоильную группу, необязательно замещенную 1-5 заместителями, независимо выбранными из атома галогена, гидроксигруппы, карбоксильной группы, алкоксикарбонильной группы, алкоксигруппы, аминогруппы, моно- или диалкиламиногруппы, морфолинильной группы, пиридильной группы, циклоалкильной группы (указанная циклоалкильная группа необязательно замещена 1-3 заместителями, независимо выбранными из карбоксильной группы, алкоксикарбонильной группы, атома галогена, аминогруппы и гидроксигруппы) и фенильной группы (указанная фенильная группа необязательно замещена 1-3 заместителями, независимо выбранными из карбоксильной группы, алкоксикарбонильной группы, атома галогена, аминогруппы и гидроксигруппы); морфолинилкарбонильную группу; пиперазинилкарбонильную группу, необязательно замещенную алкильной группой, карбоксиалкильной группой или алкоксикарбонилалкильной группой;
пирролидинилкарбонильную группу, необязательно замещенную 1-3 заместителями, независимо выбранными из карбоксильной группы, алкоксикарбонильной группы, карбоксиалкильной группы и алкоксикарбонилалкильной группы; или пиперидинилкарбонильную группу, необязательно замещенную 1-3 заместителями, независимо выбранными из карбоксильной группы, алкоксикарбонильной группы, карбоксиалкильной группы и алкоксикарбонилалкильной группы;
R5 означает насыщенную или ненасыщенную 5-8-членную гетероциклическую группу, содержащую 1-4 гетероатома, независимо выбранных из атомов кислорода, серы и азота; где указанная гетероциклическая группа необязательно замещена 1-4 заместителями, выбранными из следующих групп:
атома галогена;
оксогруппы;
гидроксигруппы;
цианогруппы;
нитрогруппы;
карбоксильной группы;
сульфогруппы;
алкильной группы, необязательно замещенной группой, выбранной из атома галогена, цианогруппы, гидроксигруппы, карбоксильной группы, алкоксикарбонильной группы, карбамоильной, циклоалкильной группы, необязательно замещенной карбоксильной или алкоксикарбонильной группой, фенильной группы (указанная фенильная группа необязательно замещена алкокси, карбоксильной или алкоксикарбонильной группой), сульфогруппы, сульфамоильной группы, моно- или диалкилкарбамоильной группы, алкоксигруппы (указанная алкоксигруппа необязательно замещена карбоксильной, алкоксикарбонильной, гидрокси, алкокси или фенильной группой), алканоильной группы, алканоилоксигруппы, алкилтиогруппы, алкилсульфонильной группы, алкилсульфинильной группы, аминогруппы, моно- или диалкиламиногруппы, необязательно замещенной алкоксигруппой, моно- или диалкилсульфамоиламиногруппы, моно- или диалкилуреидогруппы, необязательно замещенной морфолинильной группой, оксиранильной группы, диоксоланильной группы, необязательно замещенной алкильной группой, пирролидинильной группы (указанная пирролидинильная группа необязательно замещена оксогруппой, алкоксикарбонильной или карбоксильной группой), пиперидинильной группы, необязательно замещенной карбоксильной или алкоксикарбонильной группой, пиперазинильной группы, необязательно замещенной алкильной группой, гексагидроазепинильной группы, необязательно замещенной карбоксильной или алкоксикарбонильной группой, морфолинильной группы и пиперидинилоксигруппы, необязательно замещенной алкильной группой; алкенильной группы, необязательно замещенной группой, выбранной из цианогруппы, гидроксигруппы, карбоксильной группы, алкоксикарбонильной группы, бензилоксикарбонильной группы и тетразолильной группы; алкоксигруппы, необязательно замещенной группой, выбранной из атома галогена, цианогруппы, гидроксигруппы, карбоксильной группы, алкоксикарбонильной группы, карбамоильной группы, циклоалкильной группы, необязательно замещенной карбоксильной или алкоксикарбонильной группой, фенильной группы (указанная фенильная группа необязательно замещена алкокси, карбоксильной или алкоксикарбонильной группой), сульфогруппы, сульфамоильной группы, алкоксигруппы (указанная алкоксигруппа необязательно замещена карбоксильной, алкоксикарбонильной, гидрокси, алкокси или фенильной группой), алканоильной группы, алканоилоксигруппы, алкилтиогруппы, алкилсульфонильной группы, алкилсульфинильной группы, аминогруппы, моно- или диалкиламиногруппы, замещенной алкоксигруппой, моно- или диалкилсульфамоиламиногруппы, моно- или диалкилуреидогруппы, необязательно замещенной морфолинильной группой, оксиранильной группы, диоксоланильной группы, необязательно замещенной алкильной группой, пирролидинильной группы (указанная пирролидинильная группа необязательно замещена оксогруппой, алкоксикарбонильной или карбоксильной группой), пиперидинильной группы, необязательно замещенной карбоксильной или алкоксикарбонильной группой, пиперазинильной группы, необязательно замещенной алкильной группой, гексагидроазепинильной группы, необязательно замещенной карбоксильной или алкоксикарбонильной группой, морфолинильной группы, пиперидинилоксигруппы, необязательно замещенной алкильной группой, моно- или диалкилкарбамоильной группы, необязательно замещенной гидроксигруппой, пиримидинильной группы, пиридильной группы и морфолинилкарбонильной группы; алкоксикарбонильной группы, необязательно замещенной гидроксигруппой, карбоксильной группой, алкоксикарбонильной группой или фенильной группой; карбамоильной группы; моно- или диалкилкарбамоильной группы, необязательно замещенной группой, выбранной из карбоксильной группы, морфолинильной группы, гидроксигруппы и алкоксигруппы; гидроксикарбамимидоильной группы; алкилтиогруппы, необязательно замещенной группой, выбранной из гидроксигруппы, карбоксильной группы и моно- или диалкилкарбамоильной группы; алкилсульфинильной группы; алкилсульфонильной группы, необязательно замещенной группой, выбранной из гидроксигруппы, карбоксильной группы, алкоксикарбонильной группы и моно- или диалкилкарбамоильной группы; аминогруппы; моно- или диалкиламиногруппы, необязательно замещенной группой, выбранной из гидроксигруппы, карбоксильной группы, алкоксикарбонильной группы, алкоксигруппы, моно- или диалкиламиногруппы и морфолинильной группы; моно- или диалканоиламиногруппы, необязательно замещенной группой, выбранной из гидроксигруппы, алкоксигруппы, карбоксильной группы, алкоксикарбонильной группы и аминогруппы; моно- или диалкилкарбамоиламиногруппы, необязательно замещенной алкоксигруппой; морфолинилкарбониламиногруппы; сульфамоильной группы; моно- или диалкилсульфамоильной группы; алканоильной группы, необязательно замещенной группой, выбранной из гидроксигруппы, карбоксильной группы, алкоксикарбонильной группы, алкоксигруппы, моно- или диалкиламиногруппы и морфолинильной группы; алкоксикарбониламиногруппы, необязательно замещенной карбоксильной группой, гидроксигруппой или алкоксикарбонильной группой; или группы, выбранной из следующих групп:
 

где Х1 и Х3 означают независимо СН2, NH, О, S, SO или SO2; Х2 и Х5 означают независимо СН2, О, S, SO или SO2; Х4 означает NH, O, SO или SO2; и n, o, p, q и r независимо равны целому числу 1-4, где каждая группа приведенных выше формул необязательно замещена заместителями, выбранными из следующих групп:
карбоксильной группы, атома галогена, гидроксигруппы, цианогруппы, оксогруппы, алкильной группы, гидроксиалкильной группы, алкоксикарбонилалкильной группы, карбоксиалкильной группы, морфолинилалкильной группы, фенилалкильной группы, алканоильной группы, гидроксиалканоильной группы, алкоксиалканоильной группы, алкоксигруппы, фенилалкоксигруппы, алкоксикарбонильной группы, бензилоксикарбонильной группы, моно- или диалкиламиногруппы, моно- или диалкилкарбамоильной группы, моно- или диалкилсульфамоильной группы, алкилсульфонильной группы, дигидрооксадиазолильной группы, необязательно замещенной оксогруппой и тетразоильной группы;
R6, R7 и R8 означают независимо атом водорода, атом галогена, гидроксигруппу, нитрогруппу, цианогруппу, алкильную группу, алкоксигруппу, алкоксикарбонильную группу, бензилоксикарбонильную группу, моно- или диалкилкарбамоильную группу или моно- или диалкиламиногруппу, где указанные группы алкил, алкокси, алкоксикарбонил, бензилоксикарбонил, моно- или диалкилкарбамоил и моно- или диалкиламино необязательно замещены 1-6 заместителями, независимо выбранными из атома галогена, гидроксигруппы, алкоксигруппы, алкилтиогруппы, аминогруппы, нитрогруппы, цианогруппы, оксогруппы, карбоксильной группы, алкоксикарбонильной группы и моно- или диалкиламиногруппы; или
R6 и R7 или R7 и R8 могут объединяться на концах с образованием алкиленовой группы, где указанная алкиленовая группа необязательно содержит 1-3 гетероатома, независимо выбранных из атомов азота, серы и кислорода;
R10 означает ароматическое моноциклическое кольцо, необязательно содержащее 1-3 гетероатома, независимо выбранных из атомов кислорода, серы и азота;
где указанное моноциклическое ароматическое кольцо необязательно замещено 1-4 заместителями, независимо выбранными из атома галогена, карбоксильной группы, алкоксикарбонильной группы, карбамоильной группы, моно- или диалкилкарбамоильной группы, алкильной группы, алкоксигруппы, гидроксигруппы, нитрогруппы, цианогруппы, аминогруппы, моно- или диалкиламиногруппы, алканоильной группы, алкилтиогруппы, тетразолильной группы и дигидрооксазолильной группы, где указанные алкильная группа, алкоксигруппа, моно- или диалкиламиногруппа, моно- или диалкилкарбамоильная группа, алканоильная группа и алкилтиогруппа необязательно замещены заместителем (заместителями), независимо выбранными из атома галогена и групп гидрокси, алкокси, морфолинил, пиперидинил, пирролидинил, пиперазинил, алкилпиперазинил и алканоилпиперазинил.
Кроме того, в указанных предпочтительных соединениях ароматическое моноциклическое кольцо, необязательно содержащее 1-3 гетероатома, независимо выбранных из атомов кислорода, серы и азота , представляет собой фенильную группу, пиридильную группу, пиримидинильную группу, фурильную группу или тиенильную группу; и насыщенная или ненасыщенная 5-8-членная гетероциклическая группа, содержащая 1-4 гетероатома, независимо выбранных из атомов кислорода, серы и азота , представляет собой пиримидинильную группу, пиридильную группу, триазолильную группу, тетразолильную группу, оксадиазолильную группу, дигидропиримидинильную группу, пиразинильную группу, тиазолильную группу, оксазолильную группу, имидазолильную группу, дигидрооксазинильную группу, дигидропиразинильную группу или пиразолильную группу.
В более предпочтительных соединениях R1 означает атом водорода; алкоксикарбонильную группу, замещенную 1-5 заместителями, независимо выбранными из цианогруппы, гидроксигруппы, карбоксильной группы, алкоксикарбонильной группы, алкоксигруппы (указанная алкоксигруппа необязательно замещена 1-3 заместителями, независимо выбранными из гидроксигруппы, аминогруппы, моно- или диалкиламиногруппы, атома галогена, карбоксильной группы, алкоксикарбонильной группы, карбоксиалкоксигруппы и алкоксикарбонилалкоксигруппы), алкилтиогруппы, алкилсульфонильной группы, алкенильной группы, аминогруппы, моно- и диалкиламиногруппы, тетразолильной группы, карбамоильной группы, моно- или диалкилкарбамоильной группы (указанная моно- или диалкилкарбамоильная группа необязательно замещена 1-3 заместителями, независимо выбранными из карбоксильной группы и алкоксикарбонильной группы), алканоиламиногруппы (указанная алканоиламиногруппа необязательно замещена 1-3 заместителями, независимо выбранными из карбоксильной группы, алкоксикарбонильной группы, гидроксигруппы и атома галогена), атома галогена, циклоалкильной группы (указанная циклоалкильная группа необязательно замещена 1-3 заместителями, независимо выбранными из гидроксигруппы, аминогруппы, моно- или диалкиламиногруппы, атома галогена, оксогруппы, карбоксильной группы, алкоксикарбонильной группы, карбоксиалкильной группы, алкоксикарбонилалкильной группы, карбоксиалкоксигруппы и алкоксикарбонилалкоксигруппы), фенильной группы (указанная фенильная группа необязательно замещена 1-3 заместителями, независимо выбранными из гидроксигруппы, аминогруппы, моно- или диалкиламиногруппы, атома галогена, карбоксильной группы, алкоксикарбонильной группы, карбоксиалкильной группы, алкоксикарбонилалкильной группы, карбоксиалкоксигруппы и алкоксикарбонилалкоксигруппы), морфолинильной группы, необязательно замещенной оксогруппой, пиперидинильной группы (указанная пиперидинильная группа необязательно замещена 1-3 заместителями, независимо выбранными из гидроксигруппы, аминогруппы, моно- или диалкиламиногруппы, атома галогена, оксогруппы, карбоксильной группы, алкоксикарбонильной группы, карбоксиалкильной группы, алкоксикарбонилалкильной группы, карбоксиалкоксигруппы и алкоксикарбонилалкоксигруппы), пирролидинильной группы (указанная пирролидинильная группа необязательно замещена 1-3 заместителями, независимо выбранными из гидроксигруппы, аминогруппы, моно- или диалкиламиногруппы, атома галогена, оксогруппы, карбоксильной группы, алкоксикарбонильной группы, карбоксиалкильной группы, алкоксикарбонилалкильной группы, карбоксиалкоксигруппы и алкоксикарбонилалкоксигруппы), и пиримидинильной группы (указанная пиримидинильная группа необязательно замещена 1-3 заместителями, независимо выбранными из карбоксиалкильной группы, алкоксикарбонилалкильной группы, карбоксиалкоксигруппы и алкоксикарбонилалкоксигруппы); дигидрооксазолильную группу, необязательно замещенную 1-2 заместителями, независимо выбранными из карбоксильной группы, алкоксикарбонильной группы, алкильной группы, карбоксиалкильной группы, алкоксикарбонилалкильной группы и гидроксиалкильной группы; или моно- или диалкилкарбамоильную группу, необязательно замещенную 1-5 заместителями, независимо выбранными из атома галогена, гидроксигруппы, карбоксильной группы, алкоксикарбонильной группы, алкоксигруппы, аминогруппы, моно- или диалкиламиногруппы, морфолинильной группы, пиридильной группы, циклоалкильной группы (указанная циклоалкильная группа необязательно замещена 1-3 заместителями, независимо выбранными из карбоксильной группы, алкоксикарбонильной группы, атома галогена, аминогруппы и гидроксигруппы) и фенильной группы (указанная фенильная группа необязательно замещена 1-3 заместителями, независимо выбранными из карбоксильной группы, алкоксикарбонильной группы, атома галогена, аминогруппы и гидроксигруппы);
R2 означает алкильную группу;
R3 означает атом водорода;
R4 означает алкиленовую группу;
R5 означает гетероциклическую группу, выбранную из пиримидинильной группы, пиридильной группы, триазолильной группы, тетразолильной группы, оксадиазолильной группы, дигидропиримидинильной группы, пиразинильной группы, тиазолильной группы, оксазолильной группы, имидазолильной группы, дигидрооксазинильной группы, пиразолильной группы и дигидропиразинильной группы, где указанная гетероциклическая группа замещена 1-4 заместителями, выбранными из следующих групп:
атома галогена;
гидроксигруппы;
оксогруппы;
цианогруппы;
карбоксильной группы;
сульфогруппы;
алкильной группы, необязательно замещенной группой, выбранной из атома галогена, цианогруппы, гидроксигруппы, карбоксильной группы, алкоксигруппы, необязательно замещенной гидрокси или алкоксигруппой, алкоксикарбонильной группы, моно- или диалкилкарбамоильной группы, моно- или диалкиламиногруппы, необязательно замещенной алкокси или карбоксигруппой, пирролидинильной группы, необязательно замещенной карбоксильной или алкоксикарбонильной группой, пиперидинильной группы, необязательно замещенной карбоксильной или алкоксикарбонильной группой, пиперазинильной группы, необязательно замещенной алкильной группой, морфолинильной группы, алканоилоксигруппы и алкилсульфонильной группы;
алкенильной группы, необязательно замещенной группой, выбранной из цианогруппы, гидроксигруппы, карбоксильной группы, алкоксикарбонильной группы, бензилоксикарбонильной группы и тетразолильной группы;
алкоксигруппы, необязательно замещенной группой, выбранной из атома галогена, цианогруппы, гидроксигруппы, карбоксильной группы, алкоксикарбонильной группы, карбамоильной группы, моно- или диалкилкарбамоильной группы, необязательно замещенной гидроксигруппой, алкоксигруппы (указанная алкоксигруппа необязательно замещена гидроксигруппой, карбоксильной группой или алкоксигруппой), алкилтиогруппы, алкилсульфонильной группы, алкилсульфинильной группы, моно- или диалкиламиногруппы, необязательно замещенной карбоксильной группой или алкоксигруппой, морфолинильной группы, пирролидинильной группы (указанная пирролидинильная группа необязательно замещена карбоксильной группой, алкоксигруппой или оксогруппой), пиримидинильной группы, необязательно замещенной карбоксильной группой или алкоксигруппой, необязательно окисленной пиридильной группы, диоксаланильной группы, замещенной алкильной группой, и морфилинилкарбонильной группы;
циклоалкильной группы, необязательно замещенной карбоксильной группой или алкоксикарбонильной группой;
алкоксикарбонильной группы, необязательно замещенной фенильной группой;
карбамоильной группы;
моно- или диалкилкарбамоильной группы, необязательно замещенной группой, выбранной из морфолинильной группы, карбоксильной группы, гидроксигруппы и алкоксигруппы;
гидроксикарбамимидоильной группы;
алкилтиогруппы, необязательно замещенной группой, выбранной из гидроксигруппы, карбоксильной группы и моно- или диалкилкарбамоильной группы;
алкилсульфонильной группы, необязательно замещенной группой, выбранной из гидроксигруппы, алкоксикарбонильной группы и моно- или диалкилкарбамоильной группы;
аминогруппы;
моно- или диалкиламиногруппы, необязательно замещенной группой, выбранной из гидроксигруппы, карбоксильной группы алкоксикарбонильной группы, алкоксигруппы, моно- или диалкиламиногруппы и морфолинильной группы;
алканоиламиногруппы, необязательно замещенной группой, выбранной из гидроксигруппы, алкоксигруппы, карбоксильной группы и аминогруппы;
моно- или диалкилуреидогруппы, необязательно замещенной алкоксигруппой;
морфолинилкарбониламиногруппы;
морфолинильной группы, необязательно замещенной группой, выбранной из оксогруппы и карбоксильной группы;
пиперазинильной группы, необязательно замещенной группой, выбранной из цианогруппы, алкильной группы, гидроксиалкильной группы, алкоксикарбонилалкильной группы, карбоксиалкильной группы, алканоильной группы, алкоксиалканоильной группы, бензилоксикарбонильной группы, моно- или диалкилкарбамоильной группы, моно- или диалкилсульфамоильной группы, алкилсульфонильной группы, тетразолильной группы и дигидрооксадиазолильной группы, необязательно замещенной оксогруппой;
пиперидинильной группы, необязательно замещенной группой, выбранной из карбоксильной группы, гидроксигруппы, алкильной группы, необязательно замещенной гидроксигруппой или карбоксильной группой, алкоксигруппы, необязательно замещенной фенильной группой, алкоксикарбонильной группы, оксогруппы и алканоильной группы;
пирролидинильной группы, необязательно замещенной группой, выбранной из карбоксильной группы, алкоксикарбонильной группы, оксогруппы и моно- или диалкиламиногруппы;
пирролинильной группы, необязательно замещенной оксогруппой;
гексагидроазепинильной группы, необязательно замещенной алканоильной группой;
имидазолидинильной группы, необязательно замещенной оксогруппой;
пиридильной группы, необязательно замещенной карбоксильной группой, гидроксигруппой, алканоильной группой, алкильной группой или гидроксиалкильной группой (указанная пиридильная группа необязательно дополнительно окислена);
тетразолильной группы, необязательно замещенной алкильной группой или гидроксиалкильной группой;
дигидрооксадиазолильной группы, необязательно замещенной оксогруппой;
дигидроимидазолильной группы;
дигидрооксазолильной группы;
оксазолидинильной группы, необязательно замещенной оксогруппой;
тетрагидропиридильной группы, необязательно замещенной бензильной группой;
пиримидинильной группы;
пиперидинилоксигруппы, необязательно замещенной алкильной группой или карбоксильной группой;
пирролидинилоксигруппы, необязательно замещенной группой, выбранной из алкильной группы, карбоксильной группы, алкоксикарбонильной группы и алканоильной группы;
тетрагидропиранилоксигруппы;
тетрагидрофуранилоксигруппы;
необязательно окисленной тианилоксигруппы;
морфолинилкарбонильной группы;
пиперазинилкарбонильной группы, необязательно замещенной группой, выбранной из алканоильной группы и алкильной группы;
пирролидинилкарбонильной группы, необязательно замещенной карбоксильной группой или алкоксикарбонильной группой, и
пиперидинилкарбонильной группы, необязательно замещенной карбоксильной группой или алкоксикарбонильной группой;
R6 и R7 означают независимо атом водорода, алкильную группу, необязательно замещенную атомом галогена, алкоксигруппу, необязательно замещенную атомом галогена, гидроксигруппу, цианогруппу или моно- или диалкиламиногруппу; или
R6 и R7 могут объединяться на концах с образованием алкилендиоксигруппы;
R8 означает атом водорода;
R10 означает фенильную или пиридильную группу, где фенильная или пиридильная группа необязательно замещена 1-4 заместителями, выбранными из атома галогена, алкоксикарбонильной группы, алкильной группы, необязательно замещенной атомом галогена, алкоксигруппы, необязательно замещенной атомом галогена, гидроксигруппы, цианогруппы, аминогруппы, моно- или диалкиламиногруппы и алкилтиогруппы.
В следующих предпочтительных соединениях R1 означает алкоксикарбонильную группу, необязательно замещенную 1-5 заместителями, независимо выбранными из гидроксигруппы, карбоксильной группы, алкоксикарбонильной группы, алкоксигруппы (указанная алкоксигруппа необязательно замещена 1-3 заместителями, независимо выбранными из гидроксигруппы, атома галогена, карбоксильной группы, алкоксикарбонильной группы), алкенильной группы, атома галогена, циклоалкильной группы (указанная циклоалкильная группа необязательно замещена 1-3 заместителями, независимо выбранными из гидроксигруппы, атома галогена, карбоксильной группы, алкоксикарбонильной группы, карбоксиалкильной группы и алкоксикарбонилалкильной группы), фенильной группы (указанная фенильная группа необязательно замещена 1-3 заместителями, независимо выбранными из гидроксигруппы, атома галогена, карбоксильной группы, алкоксикарбонильной группы, карбоксиалкильной группы и алкоксикарбонилалкильной группы), пиперидинильной группы (указанная пиперидинильная группа необязательно замещена 1-3 заместителями, независимо выбранными из гидроксигруппы, атома галогена, карбоксильной группы, алкоксикарбонильной группы, карбоксиалкильной группы и алкоксикарбонилалкильной группы), и пирролидинильной группы (указанная пирролидинильная группа необязательно замещена 1-3 заместителями, независимо выбранными из гидроксигруппы, атома галогена, карбоксильной группы, алкоксикарбонильной группы, карбоксиалкильной группы и алкоксикарбонилалкильной группы);
или дигидрооксазолильную группу, необязательно замещенную 1 или 2 заместителями, независимо выбранными из карбоксильной группы, алкоксикарбонильной группы, карбоксиалкильной группы, алкоксикарбонилалкильной группы и гидроксиалкильной группы;
R5 означает пиримидинильную группу, пиридильную группу, триазолильную группу, тетразолильную группу, оксадиазолильную группу, дигидропиримидинильную группу, пиразинильную группу, тиазолильную группу, оксазолильную группу, дигидрооксазинильную группу, пиразолильную группу или дигидропиразинильную группу, где указанная группа замещена 1-4 заместителями, выбранными из следующих групп:
атома галогена;
гидроксигруппы;
цианогруппы;
карбоксильной группы;
алкильной группы, необязательно замещенной группой, выбранной из атома галогена, цианогруппы, гидроксигруппы, карбоксильной группы, алкоксигруппы, необязательно замещенной гидрокси или алкоксигруппой, алкоксикарбонильной группы, моно- или диалкилкарбамоильной группы, моно- или диалкиламиногруппы, необязательно замещенной алкокси или карбоксигруппой, пирролидинильной группы, необязательно замещенной карбоксильной или алкоксикарбонильной группой, пиперидинильной группы, необязательно замещенной карбоксильной или алкоксикарбонильной группой, пиперазинильной группы, необязательно замещенной алкильной группой, морфолинильной группы, алканоилоксигруппы и алкилсульфонильной группы;
алкенильной группы, необязательно замещенной группой, выбранной из цианогруппы, гидроксигруппы и карбоксильной группы;
алкоксигруппы, необязательно замещенной группой, выбранной из атома галогена, цианогруппы, гидроксигруппы, карбоксильной группы, алкоксикарбонильной группы, карбамоильной группы, моно- или диалкилкарбамоильной группы, необязательно замещенной гидроксигруппой, алкоксигруппы (указанная алкоксигруппа необязательно замещена гидроксигруппой, карбоксильной группой или алкоксигруппой), алкилтиогруппы, алкилсульфонильной группы, алкилсульфинильной группы, моно- или диалкиламиногруппы, необязательно замещенной карбоксильной группой или алкоксигруппой, морфолинильной группы, пирролидинильной группы (указанная пирролидинильная группа необязательно замещена карбоксильной группой, алкоксигруппой или оксогруппой), пиримидинильной группы, необязательно замещенной карбоксильной группой или алкоксигруппой, необязательно окисленной пиридильной группы, диоксаланильной группы, замещенной алкильной группой, и морфилинилкарбонильной группы;
циклоалкильной группы, необязательно замещенной карбоксильной группой или алкоксикарбонильной группой;
моно- или диалкилкарбамоильной группы, необязательно замещенной группой, выбранной из морфолинильной группы, карбоксильной группы, гидроксигруппы и алкоксигруппы;
гидроксикарбамимидоильной группы;
алкилтиогруппы, необязательно замещенной группой, выбранной из гидроксигруппы, карбоксильной группы и моно- или диалкилкарбамоильной группы;
аминогруппы;
моно- или диалкиламиногруппы, необязательно замещенной группой, выбранной из гидроксигруппы, карбоксильной группы, алкоксикарбонильной группы, алкоксигруппы и морфолинильной группы;
алканоиламиногруппы, необязательно замещенной группой, выбранной из гидроксигруппы, алкоксигруппы, карбоксильной группы и аминогруппы;
моно- или диалкилуреидогруппы, необязательно замещенной алкоксигруппой;
морфолинилкарбониламиногруппы;
морфолинильной группы, необязательно замещенной оксогруппой;
пиперазинильной группы, необязательно замещенной группой, выбранной из цианогруппы, алкильной группы, гидроксиалкильной группы, алкоксикарбонилалкильной группы, карбоксиалкильной группы, алканоильной группы, алкоксиалканоильной группы, моно- или диалкилкарбамоильной группы, моно- или диалкилсульфамоильной группы и алкилсульфонильной группы;
пиперидинильной группы, необязательно замещенной группой, выбранной из карбоксильной группы, гидроксигруппы, алкильной группы, необязательно замещенной гидроксигруппой или карбоксильной группой, алкоксигруппы, алкоксикарбонильной группы, оксогруппы и алканоильной группы;
пирролидинильной группы, необязательно замещенной группой, выбранной из оксогруппы, карбоксильной группы, алкоксикарбонильной группы и моно- или диалкиламиногруппы;
гексагидроазепинильной группы, необязательно замещенной алканоильной группой;
пиридильной группы, необязательно замещенной гидроксигруппой, карбоксильной группой, алкильной группой или гидроксиалкильной группой (указанная пиридильная группа необязательно дополнительно окислена);
тетразолильной группы, необязательно замещенной алкильной группой или гидроксиалкильной группой;
дигидрооксадиазолильной группы, необязательно замещенной оксогруппой;
оксазолидинильной группы, необязательно замещенной оксогруппой;
тетрагидропиридильной группы, необязательно замещенной бензильной группой;
пиримидинильной группы;
пиперидинилоксигруппы, необязательно замещенной алкильной группой или карбоксильной группой;
пирролидинилоксигруппы, необязательно замещенной группой, выбранной из алкильной группы и алканоильной группы;
тетрагидропиранилоксигруппы;
тетрагидрофуранилоксигруппы и
необязательно окисленной тианилоксигруппы;
R10 означает фенильную или пиридильную группу, где фенильная или пиридильная группа необязательно замещена 1-4 заместителями, выбранными из атома галогена, алкильной группы, необязательно замещенной атомом галогена, алкоксигруппой, гидроксигруппой, цианогруппой, аминогруппой и моно- или диалкиламиногруппой.
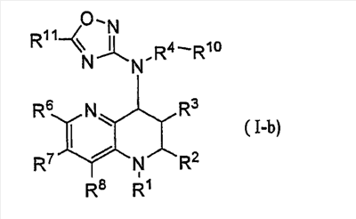
Другой вариант осуществления настоящего изобретения включает соединения формулы (I), где R5 означает группу формулы:

где кольцо А означает насыщенную или ненасыщенную 5-8-членную гетероциклическую группу, содержащую 1-4 гетероатома, независимо выбранных из атомов кислорода, серы и азота, и
R11 означает группу, выбранную из следующих групп:
атома галогена;
гидроксигруппы;
оксогруппы;
цианогруппы;
карбоксильной группы;
сульфогруппы;
алкильной группы, необязательно замещенной группой, выбранной из атома галогена, цианогруппы, гидроксигруппы, карбоксильной группы, алкоксигруппы, необязательно замещенной гидрокси или алкоксигруппой, алкоксикарбонильной группы, моно- или диалкилкарбамоильной группы, моно- или диалкиламиногруппы, необязательно замещенной алкокси или карбоксигруппой, пирролидинильной группы, необязательно замещенной карбоксильной или алкоксикарбонильной группой, пиперидинильной группы, необязательно замещенной карбоксильной или алкоксикарбонильной группой, пиперазинильной группы, необязательно замещенной алкильной группой, морфолинильной группы, алканоилоксигруппы и алкилсульфонильной группы;
алкенильной группы, необязательно замещенной группой, выбранной из цианогруппы, гидроксигруппы, карбоксильной группы, алкоксикарбонильной группы, бензилоксикарбонильной группы и тетразолильной группы;
алкоксигруппы, необязательно замещенной группой, выбранной из атома галогена, цианогруппы, гидроксигруппы, карбоксильной группы, алкоксикарбонильной группы, карбамоильной группы, моно- или диалкилкарбамоильной группы, необязательно замещенной гидроксигруппой, алкоксигруппы (указанная алкоксигруппа необязательно замещена гидроксигруппой, карбоксильной группой или алкоксигруппой), алкилтиогруппы, алкилсульфонильной группы, алкилсульфинильной группы, моно- или диалкиламиногруппы, необязательно замещенной карбоксильной группой или алкоксигруппой, морфолинильной группы, пирролидинильной группы (указанная пирролидинильная группа необязательно замещена карбоксильной группой, алкоксигруппой или оксогруппой), пиримидинильной группы, необязательно замещенной карбоксильной группой или алкоксигруппой, необязательно окисленной пиридильной группы, диоксаланильной группы, замещенной алкильной группой, и морфилинилкарбонильной группы;
циклоалкильной группы, необязательно замещенной карбоксильной группой или алкоксикарбонильной группой;
алкоксикарбонильной группы, необязательно замещенной фенильной группой;
карбамоильной группы;
моно- или диалкилкарбамоильной группы, необязательно замещенной группой, выбранной из морфолинильной группы, карбоксильной группы, гидроксигруппы и алкоксигруппы;
гидроксикарбамимидоильной группы;
алкилтиогруппы, необязательно замещенной группой, выбранной из гидроксигруппы, карбоксильной группы и моно- или диалкилкарбамоильной группы;
алкилсульфонильной группы, необязательно замещенной группой, выбранной из гидроксигруппы, алкоксикарбонильной группы и моно- или диалкилкарбамоильной группы;
аминогруппы;
моно- или диалкиламиногруппы, необязательно замещенной группой, выбранной из гидроксигруппы, карбоксильной группы, алкоксикарбонильной группы, алкоксигруппы, моно- или диалкиламиногруппы и морфолинильной группы;
алканоиламиногруппы, необязательно замещенной группой, выбранной из гидроксигруппы, алкоксигруппы, карбоксильной группы и аминогруппы;
моно- или диалкилуреидогруппы, необязательно замещенной алкоксигруппой;
морфолинилкарбониламиногруппы;
морфолинильной группы, необязательно замещенной группой, выбранной из оксогруппы и карбоксильной группы;
пиперазинильной группы, необязательно замещенной группой, выбранной из цианогруппы, алкильной группы, гидроксиалкильной группы, алкоксикарбонилалкильной группы, карбоксиалкильной группы, алканоильной группы, алкоксиалканоильной группы, бензилоксикарбонильной группы, моно- или диалкилкарбамоильной группы, моно- или диалкилсульфамоильной группы, алкилсульфонильной группы, тетразолильной группы и дигидрооксадиазолильной группы, необязательно замещенной оксогруппой;
пиперидинильной группы, необязательно замещенной группой, выбранной из карбоксильной группы, гидроксигруппы, алкильной группы, необязательно замещенной гидроксигруппой или карбоксильной группой, алкоксигруппы, необязательно замещенной фенильной группой, алкоксикарбонильной группы, оксогруппы и алканоильной группы;
пирролидинильной группы, необязательно замещенной группой, выбранной из карбоксильной группы, алкоксикарбонильной группы, оксогруппы и моно- или диалкиламиногруппы;
пирролинильной группы, необязательно замещенной оксогруппой;
гексагидроазепинильной группы, необязательно замещенной алканоильной группой;
имидазолидинильной группы, необязательно замещенной оксогруппой;
пиридильной группы, необязательно замещенной карбоксильной группой, гидроксигруппой, алканоильной группой, алкильной группой или гидроксиалкильной группой (указанная пиридильная группа необязательно дополнительно окислена);
тетразолильной группы, необязательно замещенной алкильной группой или гидроксиалкильной группой;
дигидрооксадиазолильной группы, необязательно замещенной оксогруппой;
дигидроимидазолильной группы;
дигидрооксазолильной группы;
оксазолидинильной группы, необязательно замещенной оксогруппой;
тетрагидропиридильной группы, необязательно замещенной бензильной группой;
пиримидинильной группы;
пиперидинилоксигруппы, необязательно замещенной алкильной группой или карбоксильной группой;
пирролидинилоксигруппы, необязательно замещенной группой, выбранной из алкильной группы, карбоксильной группы, алкоксикарбонильной группы и алканоильной группы;
тетрагидропиранилоксигруппы;
тетрагидрофуранилоксигруппы;
необязательно окисленной тианилоксигруппы;
морфолинилкарбонильной группы;
пиперазинилкарбонильной группы, необязательно замещенной группой, выбранной из алканоильной группы и алкильной группы;
пирролидинилкарбонильной группы, необязательно замещенной карбоксильной группой или алкоксикарбонильной группой, и
пиперидинилкарбонильной группы, необязательно замещенной карбоксильной группой или алкоксикарбонильной группой;
где указанное соединение показано формулой (I-A):

где каждый символ имеет значение, определенное выше.
Более предпочтительный вариант включает соединения формулы (I), где R1 означает атом водорода; алкоксикарбонильную группу, замещенную 1-5 заместителями, независимо выбранными из цианогруппы, гидроксигруппы, карбоксильной группы, алкоксикарбонильной группы, алкоксигруппы (указанная алкоксигруппа необязательно замещена 1-3 заместителями, независимо выбранными из гидроксигруппы, аминогруппы, моно- или диалкиламиногруппы, атома галогена, карбоксильной группы, алкоксикарбонильной группы, карбоксиалкоксигруппы и алкоксикарбонилалкоксигруппы), алкилтиогруппы, алкилсульфонильной группы, алкенильной группы, аминогруппы, моно- и диалкиламиногруппы, тетразолильной группы, карбамоильной группы, моно- или диалкилкарбамоильной группы (указанная моно- или диалкилкарбамоильная группа необязательно замещена 1-3 заместителями, независимо выбранными из карбоксильной группы и алкоксикарбонильной группы), алканоиламиногруппы (указанная алканоиламиногруппа необязательно замещена 1-3 заместителями, независимо выбранными из карбоксильной группы, алкоксикарбонильной группы, гидроксигруппы и атома галогена), атома галогена, циклоалкильной группы (указанная циклоалкильная группа необязательно замещена 1-3 заместителями, независимо выбранными из гидроксигруппы, аминогруппы, моно- или диалкиламиногруппы, атома галогена, оксогруппы, карбоксильной группы, алкоксикарбонильной группы, карбоксиалкильной группы, алкоксикарбонилалкильной группы, карбоксиалкоксигруппы и алкоксикарбонилалкоксигруппы), фенильной группы (указанная фенильная группа необязательно замещена 1-3 заместителями, независимо выбранными из гидроксигруппы, аминогруппы, моно- или диалкиламиногруппы, атома галогена, карбоксильной группы, алкоксикарбонильной группы, карбоксиалкильной группы, алкоксикарбонилалкильной группы, карбоксиалкоксигруппы и алкоксикарбонилалкоксигруппы), морфолинильной группы, необязательно замещенной оксогруппой, пиперидинильной группы (указанная пиперидинильная группа необязательно замещена 1-3 заместителями, независимо выбранными из гидроксигруппы, аминогруппы, моно- или диалкиламиногруппы, атома галогена, оксогруппы, карбоксильной группы, алкоксикарбонильной группы, карбоксиалкильной группы, алкоксикарбонилалкильной группы, карбоксиалкоксигруппы и алкоксикарбонилалкоксигруппы), пирролидинильной группы (указанная пирролидинильная группа необязательно замещена 1-3 заместителями, независимо выбранными из гидроксигруппы, аминогруппы, моно- или диалкиламиногруппы, атома галогена, оксогруппы, карбоксильной группы, алкоксикарбонильной группы, карбоксиалкильной группы, алкоксикарбонилалкильной группы, карбоксиалкоксигруппы и алкоксикарбонилалкоксигруппы), и пиримидинильной группы (указанная пиримидинильная группа необязательно замещена 1-3 заместителями, независимо выбранными из карбоксиалкильной группы, алкоксикарбонилалкильной группы, карбоксиалкоксигруппы и алкоксикарбонилалкоксигруппы); дигидрооксазолильную группу, необязательно замещенную 1-2 заместителями, независимо выбранными из карбоксильной группы, алкоксикарбонильной группы, алкильной группы, карбоксиалкильной группы, алкоксикарбонилалкильной группы и гидроксиалкильной группы; или моно- или диалкилкарбамоильную группу, необязательно замещенную 1-5 заместителями, независимо выбранными из атома галогена, гидроксигруппы, карбоксильной группы, алкоксикарбонильной группы, алкоксигруппы, аминогруппы, моно- или диалкиламиногруппы, морфолинильной группы, пиридильной группы, циклоалкильной группы (указанная циклоалкильная группа необязательно замещена 1-3 заместителями, независимо выбранными из карбоксильной группы, алкоксикарбонильной группы, атома галогена, аминогруппы и гидроксигруппы) и фенильной группы (указанная фенильная группа необязательно замещена 1-3 заместителями, независимо выбранными из карбоксильной группы, алкоксикарбонильной группы, атома галогена, аминогруппы и гидроксигруппы);
R2 означает алкильную группу;
R3 означает атом водорода;
R4 означает алкиленовую группу;
кольцо А и R11 означают такие же группы, как определено выше;
R6 и R7 означают независимо атом водорода, алкильную группу, необязательно замещенную атомом галогена, алкоксигруппу, необязательно замещенную атомом галогена, гидроксигруппу, цианогруппу или моно- или диалкиламиногруппу; или
R6 и R7 могут объединяться на концах с образованием алкилендиоксигруппы;
R8 означает атом водорода;
R10 означает фенильную или пиридильную группу, где фенильная или пиридильная группа необязательно замещена 1-4 заместителями, выбранными из атома галогена, алкоксикарбонильной группы, алкильной группы, необязательно замещенной атомом галогена, алкоксигруппы, необязательно замещенной атомом галогена, гидроксигруппы, цианогруппы, аминогруппы, моно- или диалкиламиногруппы и алкилтиогруппы.
Другой предпочтительный вариант включает соединения формулы (I), где кольцо А означает насыщенную или ненасыщенную 5-8-членную гетероциклическую группу, содержащую 1-4 гетероатома, независимо выбранных из атомов кислорода, серы и азота, и R11 означает группу, выбранную из следующих групп:
атома галогена;
гидроксигруппы;
оксогруппы;
цианогруппы;
карбоксильной группы;
сульфогруппы;
алкильной группы, необязательно замещенной группой, выбранной из цианогруппы, гидроксигруппы, карбоксильной группы, алкоксигруппы, необязательно замещенной гидроксигруппой, алкоксикарбонильной группы, моно- или диалкилкарбамоильной группы, моно- или диалкиламиногруппы, необязательно замещенной алкоксигруппой, пирролидинильной группы, пиперидинильной группы, пиперазинильной группы, необязательно замещенной алкильной группой, морфолинильной группы, алканоилоксигруппы и алкилсульфонильной группы;
алкенильной группы, необязательно замещенной группой, выбранной из цианогруппы, гидроксигруппы, карбоксильной группы, бензилоксикарбонильной группы и тетразолильной группы;
алкоксигруппы, необязательно замещенной группой, выбранной из гидроксигруппы, карбоксильной группы, алкоксикарбонильной группы, карбамоильной группы, моно- или диалкилкарбамоильной группы, необязательно замещенной гидроксигруппой, алкоксигруппы, необязательно замещенной гидроксигруппой, алкилтиогруппы, алкилсульфонильной группы, алкилсульфинильной группы, моно- или диалкиламиногруппы, морфолинильной группы, пирролидинильной группы, необязательно замещенной оксогруппой, пиримидинильной группы, необязательно окисленной пиридильной группы, диоксаланильной группы, замещенной алкильной группой, и морфилинилкарбонильной группы;
алкоксикарбонильной группы, необязательно замещенной фенильной группой;
карбамоильной группы;
моно- или диалкилкарбамоильной группы, необязательно замещенной группой, выбранной из морфолинильной группы и алкоксигруппы;
гидроксикарбамимидоильной группы;
алкилтиогруппы, необязательно замещенной группой, выбранной из гидроксигруппы, карбоксильной группы и моно- или диалкилкарбамоильной группы;
алкилсульфонильной группы, необязательно замещенной группой, выбранной из гидроксигруппы, алкоксикарбонильной группы и моно- или диалкилкарбамоильной группы;
аминогруппы;
моно- или диалкиламиногруппы, необязательно замещенной группой, выбранной из гидроксигруппы, карбоксильной группы, алкоксикарбонильной группы, алкоксигруппы, моно- или диалкиламиногруппы и морфолинильной группы;
алканоиламиногруппы, необязательно замещенной группой, выбранной из гидроксигруппы, алкоксигруппы и аминогруппы;
моно- или диалкилуреидогруппы, необязательно замещенной алкоксигруппой;
морфолинилкарбониламиногруппы;
морфолинильной группы, необязательно замещенной группой, выбранной из оксогруппы и карбоксильной группы;
пиперазинильной группы, необязательно замещенной группой, выбранной из цианогруппы, алкильной группы, гидроксиалкильной группы, алкоксикарбонилалкильной группы, карбоксиалкильной группы, алканоильной группы, алкоксиалканоильной группы, бензилоксикарбонильной группы, моно- или диалкилкарбамоильной группы, моно- или диалкилсульфамоильной группы, алкилсульфонильной группы, тетразолильной группы и дигидрооксадиазолильной группы, необязательно замещенной оксогруппой;
пиперидинильной группы, необязательно замещенной группой, выбранной из карбоксильной группы, гидроксигруппы, алкильной группы, необязательно замещенной гидроксигруппой или карбоксильной группой, алкоксигруппы, необязательно замещенной фенильной группой, алкоксикарбонильной группы, оксогруппы и алканоильной группы;
пирролидинильной группы, необязательно замещенной группой, выбранной из оксогруппы и моно- или диалкиламиногруппы;
пирролинильной группы, необязательно замещенной оксогруппой;
гексагидроазепинильной группы, необязательно замещенной алканоильной группой;
имидазолидинильной группы, необязательно замещенной оксогруппой;
пиридильной группы, необязательно замещенной карбоксильной группой, гидроксигруппой, алкильной группой или гидроксиалкильной группой (указанная пиридильная группа необязательно дополнительно окислена);
тетразолильной группы, необязательно замещенной алкильной группой или гидроксиалкильной группой;
дигидрооксадиазолильной группы, необязательно замещенной оксогруппой;
дигидроимидазолильной группы;
дигидрооксазолильной группы;
оксазолидинильной группы, необязательно замещенной оксогруппой;
тетрагидропиридильной группы, необязательно замещенной бензильной группой;
пиримидинильной группы;
пиперидинилоксигруппы, необязательно замещенной алкильной группой;
пирролидинилоксигруппы, необязательно замещенной группой, выбранной из алкильной группы и алканоильной группы;
тетрагидропиранилоксигруппы;
тетрагидрофуранилоксигруппы;
необязательно окисленной тианилоксигруппы;
морфолинилкарбонильной группы;
пиперазинилкарбонильной группы, необязательно замещенной группой, выбранной из алканоильной группы и алкильной группы, и
пирролидинилкарбонильной группы.
Более предпочтительный вариант включает соединения формулы (I), где R1 означает алкоксикарбонильную группу, необязательно замещенную группой, выбранной из гидроксигруппы и алкоксигруппы;
R2 означает алкильную группу;
R3 означает атом водорода;
R4 означает алкиленовую группу;
кольцо А и R11 означают такие же группы, как определено выше;
R6 и R7 означают независимо атом водорода, алкильную группу, необязательно замещенную атомом галогена, алкоксигруппу, необязательно замещенную атомом галогена, цианогруппу или моно- или диалкиламиногруппу, или
R6 и R7 могут объединяться на концах с образованием алкилендиоксигруппы;
R8 означает атом водорода;
R10 означает фенильную или пиридильную группу, где фенильная или пиридильная группа необязательно замещена 1-4 заместителями, выбранными из атома галогена, алкоксикарбонильной группы, алкильной группы, необязательно замещенной атомом галогена, алкоксигруппы, необязательно замещенной атомом галогена, гидроксигруппы, цианогруппы, аминогруппы, моно- или диалкиламиногруппы и алкилтиогруппы.
Примеры кольца А включают пиримидинильную группу, пиридильную группу, триазолильную группу, тетразолильную группу, оксадиазолильную группу, дигидропиримидинильную группу, пиразинильную группу, тиазолильную группу, оксазолильную группу, дигидрооксазинильную группу, пиразолильную группу, дигидропиразинильную группу и т.п.
Более предпочтительные соединения включают соединения, где кольцо А означает пиримидинильную группу, тетразолильную группу или пиридильную группу; и R11 означает группу, выбранную из:
алкильной группы, необязательно замещенной группой, выбранной из карбоксильной группы, гидроксиалкоксигруппы, моно- или диалкилкарбамоильной группы, моно- или диалкиламиногруппы, необязательно замещенной алкоксигруппой, аминогруппы, моно- или диалкилкарбамоильной группы и морфолинильной группы;
алкенильной группы, необязательно замещенной гидроксигруппой, карбоксильной группой или цианогруппой;
алкоксигруппы, необязательно замещенной группой, выбранной из гидроксигруппы, карбоксильной группы, карбамоильной группы, алкоксикарбонильной группы, моно- или диалкилкарбамоильной группы, необязательно замещенной гидроксигруппой, гидроксиалкоксигруппы, карбоксиалкоксигруппы, алкилсульфонильной группы, алкилсульфинильной группы, моно- или диалкиламиногруппы, морфолинильной группы, оксопирролидинильной группы, необязательно окисленной пиридильной группы и морфилинилкарбонильной группы;
карбамоильной группы;
алкилтиогруппы, необязательно замещенной гидроксигруппой или моно- или диалкилкарбамоильной группой;
моно- или диалкиламиногруппы, необязательно замещенной гидроксигруппой, карбоксильной группой или алкоксигруппой;
алканоиламиногруппы, необязательно замещенной гидроксигруппой или алкоксигруппой;
моно- или диалкилуреидогруппы, необязательно замещенной алкоксигруппой;
морфолинильной группы;
пиперазинильной группы, необязательно замещенной группой, выбранной из алкильной группы, гидроксиалкильной группы, алкоксикарбонилалкильной группы, карбоксиалкильной группы, алканоильной группы и моно- или диалкилкарбамоильной группы;
пиперидинильной группы, необязательно замещенной группой, выбранной из карбоксильной группы, алкоксикарбонильной группы, гидроксигруппы, гидроксиалкильной группы, карбоксиалкильной группы и оксогруппы;
пирролидинильной группы, необязательно замещенной группой, выбранной из карбоксильной группы и моно- или диалкиламиногруппы;
пиридильной группы, которая замещена гидроксиалкильной группой или окислена;
тетразолильной группы, необязательно замещенной алкильной группой или гидроксиалкильной группой;
оксодигидрооксадиазолильной группы;
пиримидинильной группы;
пирролидинилоксигруппы, необязательно замещенной алканоильной группой, и
необязательно окисленной тианилоксигруппы;
R6 означает атом водорода, алкильную группу, необязательно замещенную атомом галогена, алкоксигруппу, цианогруппу или моно- или диалкиламиногруппу;
R10 означает фенильную группу, которая замещена 1-3 заместителями, выбранными из атома галогена, алкильной группы, необязательно замещенной атомом галогена, алкоксигруппы и цианогруппы.
Еще более предпочтительные соединения включают соединения, где R1 означает алкоксикарбонильную группу, необязательно замещенную 1-5 заместителями, независимо выбранными из гидроксигруппы, карбоксильной группы, алкоксикарбонильной группы, алкоксигруппы (указанная алкоксигруппа необязательно замещена 1-3 заместителями, независимо выбранными из гидроксигруппы, атома галогена, карбоксильной группы и алкоксикарбонильной группы), алкенильной группы, атома галогена, циклоалкильной группы (указанная циклоалкильная группа необязательно замещена 1-3 заместителями, независимо выбранными из гидроксигруппы, атома галогена, карбоксильной группы, алкоксикарбонильной группы, карбоксиалкильной группы и алкоксикарбонилалкильной группы), фенильной группы (указанная фенильная группа необязательно замещена 1-3 заместителями, независимо выбранными из гидроксигруппы, атома галогена, карбоксильной группы, алкоксикарбонильной группы, карбоксиалкильной группы, алкоксикарбонилалкильной группы, карбоксиалкильной группы и алкоксикарбонилалкильной группы), пиперидинильной группы (указанная пиперидинильная группа необязательно замещена 1-3 заместителями, независимо выбранными из гидроксигруппы, атома галогена, карбоксильной группы, алкоксикарбонильной группы, карбоксиалкильной группы и алкоксикарбонилалкильной группы) и пирролидинильной группы (указанная пирролидинильная группа необязательно замещена 1-3 заместителями, независимо выбранными из гидроксигруппы, атома галогена, карбоксильной группы, алкоксикарбонильной группы, карбоксиалкильной группы и алкоксикарбонилалкильной группы); или дигидрооксазолильную группу, необязательно замещенную 1 или 2 заместителями, независимо выбранными из карбоксильной группы, алкоксикарбонильной группы, карбоксиалкильной группы, алкоксикарбонилалкильной группы и гидроксиалкильной группы;
R11 означает группу, выбранную из:
алкильной группы, необязательно замещенной карбоксильной группой, алкоксикарбонильной группой или гидроксигруппой;
карбоксиалкенильной группы;
алкоксигруппы, необязательно замещенной группой, выбранной из цианогруппы, гидроксигруппы, карбоксильной группы, алкоксикарбонильной группы, карбамоильной группы, моно- или диалкилкарбамоильной группы, моно- или диалкилкарбамоильной группы, замещенной гидроксигруппой, гидроксиалкоксигруппой, алкилсульфонильной группой, алкилсульфинильной группой, моно- или диалкиламиногруппой и оксопирролидинильной группой;
моно- или диалкиламиногруппы, необязательно замещенной карбоксильной группой;
алканоиламиногруппы, необязательно замещенной гидроксигруппой или алкоксигруппой;
морфолинильной группы;
пиперазинильной группы, необязательно замещенной группой, выбранной из алкильной группы, алканоильной группы и моно- или диалкилкарбамоильной группы;
пиперидинильной группы, необязательно замещенной карбоксильной группой, алкоксикарбонильной группой, гидроксигруппой, карбоксиалкильной группой или гидроксиалкильной группой;
пирролидинильной группы, необязательно замещенной моно- или диалкиламиногруппой;
пиридильной группы, которая замещена гидроксиалкильной группой или окислена;
тетразолильной группы, необязательно замещенной гидроксиалкильной группой;
пиримидинильной группы;
пирролидинилоксигруппы, необязательно замещенной алкильной группой или алканоильной группой, и
необязательно замещенной окисленной тианилоксигруппы; и
R10 означает фенильную группу, которая замещена 1-3 заместителями, выбранными из алкильной группы, необязательно замещенной атомом галогена, алкоксигруппы и цианогруппы.
Еще более предпочтительные соединения включают соединения, где R1 означает алкоксикарбонильную группу, необязательно замещенную 1-5 заместителями, независимо выбранными из карбоксильной группы, алкоксикарбонильной группы, атома галогена, гидроксигруппы и циклоалкильной группы; R11 означает алкильную группу, необязательно замещенную карбоксильной группой; карбоксиалкенильную группу; алкоксигруппу, необязательно замещенную группой, выбранной из цианогруппы, гидроксигруппы, карбоксильной группы, алкилтиогруппы и алкилсульфонильной группы; моно- или диалкиламиногруппу, необязательно замещенную карбоксильной группой; гидроксиалканоиламиногруппу; морфолинильную группу; пиперазинильную группу, необязательно замещенную алкильной группой или алканоильной группой, или пиперидинильную группу, необязательно замещенную карбоксильной группой или гидроксигруппой;
R6 означает алкильную группу, необязательно замещенную атомом галогена, алкоксигруппой или моно- или диалкиламиногруппой; и
R7 означает атом водорода.
Особенно предпочтительные соединения включают соединения, где R1 означает этоксикарбонильную группу, гидроксиэтоксикарбонильную группу, 2-фторэтоксикарбонильную группу, 2,2-дифторэтоксикарбонильную группу или 2,2,2-трифторэтоксикарбонильную группу; R2 означает этильную группу; R10 означает фенильную группу, замещенную 1-2 заместителями, выбранными из цианогруппы и трифторметильной группы; R6 означает метоксигруппу или трифторметильную группу. В этом отношении другие примеры особенно предпочтительных соединений включают соединения, где R1 означает карбокси(С2-10алкокси)карбонильную группу или алкоксикарбонил(С2-10алкокси)карбонильную группу, и R2, R10 и R6 имеют определенные выше значения.
Еще более предпочтительные соединения включают соединения, где R1 означает этоксикарбонильную группу или гидроксиэтоксикарбонильную группу; R2 означает этильную группу; R10 означает фенильную группу, замещенную 1-2 заместителями, выбранными из цианогруппы и трифторметильной группы; и R6 означает метоксигруппу.
Наиболее предпочтительные соединения включают соединения, перечисленные ниже.
этиловый эфир (2R,4S)-4-{[3,5-бис(трифторметил)бензил]-[5-(морфолин-4-ил)пиримидин-2-ил]}амино-2-этил-6-метокси-3,4-дигидро-2Н-[1,5]нафтиридин-1-карбоновой кислоты;
этиловый эфир (2R*,4S*)-4-{[3,5-бис(трифторметил)бензил]-[5-(4-гидроксиметилпиперидин-1-ил)пиримидин-2-ил]}амино-2-этил-6-метокси-3,4-дигидро-2Н-[1,5]нафтиридин-1-карбоновой кислоты;
этиловый эфир (2R,4S)-4-{[3,5-бис(трифторметил)бензил]-[5-(4-метилпиперидин-1-ил)пиримидин-2-ил]}амино-2-этил-6-метокси-3,4-дигидро-2Н-[1,5]нафтиридин-1-карбоновой кислоты;
этиловый эфир (2R,4S)-4-{[3,5-бис(трифторметил)бензил]-[5-(4-ацетилпиперидин-1-ил)пиримидин-2-ил]}амино-2-этил-6-метокси-3,4-дигидро-2Н-[1,5]нафтиридин-1-карбоновой кислоты;
этиловый эфир (2R*,4S*)-4-{[3,5-бис(трифторметил)бензил]-[5-(гидроксиацетиламино)пиримидин-2-ил]}амино-2-этил-6-метокси-3,4-дигидро-2Н-[1,5]нафтиридин-1-карбоновой кислоты;
этиловый эфир (2R,4S)-4-{[3,5-бис(трифторметил)бензил]-[5-(2-гидроксиэтокси)пиримидин-2-ил]}амино-2-этил-6-метокси-3,4-дигидро-2Н-[1,5]нафтиридин-1-карбоновой кислоты;
этиловый эфир (2R,4S)-4-{[3,5-бис(трифторметил)бензил]-[5-(2-метилсульфонилэтокси)пиримидин-2-ил]}амино-2-этил-6-метокси-3,4-дигидро-2Н-[1,5]нафтиридин-1-карбоновой кислоты;
этиловый эфир (2R,4S)-4-{[3,5-бис(трифторметил)бензил]-[5-(2,3-дигидроксипропокси)пиримидин-2-ил]}амино-2-этил-6-метокси-3,4-дигидро-2Н-[1,5]нафтиридин-1-карбоновой кислоты;
этиловый эфир (2R,4S)-4-{[3,5-бис(трифторметил)бензил]-[5-(2-карбоксивинил)пиримидин-2-ил]}амино-2-этил-6-метокси-3,4-дигидро-2Н-[1,5]нафтиридин-1-карбоновой кислоты;
этиловый эфир (2R,4S)-4-{[3,5-бис(трифторметил)бензил]-[5-(2-карбоксиэтил)пиримидин-2-ил]}амино-2-этил-6-метокси-3,4-дигидро-2Н-[1,5]нафтиридин-1-карбоновой кислоты;
этиловый эфир (2R,4S)-4-{[3,5-бис(трифторметил)бензил]-[5-(морфолин-4-ил)пиридин-2-ил]}амино-2-этил-6-метокси-3,4-дигидро-2Н-[1,5]нафтиридин-1-карбоновой кислоты;
этиловый эфир (2R,4S)-4-{[3,5-бис(трифторметил)бензил]-(5-{[метил-(2-карбоксиэтил)]амино}пиримидин-2-ил]}амино-2-этил-6-метокси-3,4-дигидро-2Н-[1,5]нафтиридин-1-карбоновой кислоты;
этиловый эфир (2R,4S)-4-{[3,5-бис(трифторметил)бензил]-[5-(4-карбоксипиперидин-1-ил)пиримидин-2-ил]}амино-2-этил-6-метокси-3,4-дигидро-2Н-[1,5]нафтиридин-1-карбоновой кислоты;
этиловый эфир (2R,4S)-4-{[3,5-бис(трифторметил)бензил]-[5-(4-карбоксипиперидин-1-ил)пиридин-2-ил]}амино-2-этил-6-метокси-3,4-дигидро-2Н-[1,5]нафтиридин-1-карбоновой кислоты;
этиловый эфир (2R,4S)-4-{[3,5-бис(трифторметил)бензил]-[5-(2-карбоксиэтокси)пиримидин-2-ил]}амино-2-этил-6-метокси-3,4-дигидро-2Н-[1,5]нафтиридин-1-карбоновой кислоты;
этиловый эфир (2R,4S)-4-{[3,5-бис(трифторметил)бензил]-[5-(3-карбоксипропокси)пиримидин-2-ил]}амино-2-этил-6-метокси-3,4-дигидро-2Н-[1,5]нафтиридин-1-карбоновой кислоты;
этиловый эфир (2R,4S)-4-{[3,5-бис(трифторметил)бензил]-[5-(4-карбоксибутокси)пиримидин-2-ил]}амино-2-этил-6-метокси-3,4-дигидро-2Н-[1,5]нафтиридин-1-карбоновой кислоты;
этиловый эфир (2R,4S)-4-{[5-(2-карбоксиэтил)пиримидин-2-ил]-(3-циано-5-трифторметилбензил]}амино-2-этил-6-метокси-3,4-дигидро-2Н-[1,5]нафтиридин-1-карбоновой кислоты;
этиловый эфир (2R,4S)-4-[(3-циано-5-трифторметилбензил)-(5-{[метил)-(2-карбоксиэтил)]амино}пиримидин-2-ил)]амино-2-этил-6-метокси-3,4-дигидро-2Н-[1,5]нафтиридин-1-карбоновой кислоты;
этиловый эфир (2R,4S)-4-{[5-(4-ацетилпиперидин-1-ил)пиримидин-2-ил]-[3,5-бис(трифторметил)бензил]}амино-6-диметиламино-2-этил-3,4-дигидро-2Н-[1,5]нафтиридин-1-карбоновой кислоты;
этиловый эфир (2R,4S)-4-{[5-(4-ацетилпиперидин-1-ил)пиримидин-2-ил]-[3,5-бис(трифторметил)бензил]}амино-2-этил-6-метил-3,4-дигидро-2Н-[1,5]нафтиридин-1-карбоновой кислоты;
этиловый эфир (2R,4S)-4-{[3,5-бис(трифторметил)бензил]-[5-(3-карбоксипропокси)пиримидин-2-ил]}амино-2-этил-6-трифторметил-3,4-дигидро-2Н-[1,5]нафтиридин-1-карбоновой кислоты;
2,2,2-трифторэтиловый эфир (2R,4S)-4-{[3,5-бис(трифторметил)бензил]-[5-(2-карбоксиэтил)пиримидин-2-ил]}амино-2-этил-6-метокси-3,4-дигидро-2Н-[1,5]нафтиридин-1-карбоновой кислоты;
трет-бутиловый эфир (2R,4S)-4-{[3,5-бис(трифторметил)бензил]-[5-(4-карбоксипиперидин-1-ил)пиримидин-2-ил]}амино-2-этил-6-метокси-3,4-дигидро-2Н-[1,5]нафтиридин-1-карбоновой кислоты;
2-фторэтиловый эфир (2R,4S)-4-{[3,5-бис(трифторметил)бензил]-[5-(4-карбоксипиперидин-1-ил)пиримидин-2-ил]}амино-2-этил-6-метокси-3,4-дигидро-2Н-[1,5]нафтиридин-1-карбоновой кислоты;
1-метилэтиловый эфир (2R,4S)-4-{[3,5-бис(трифторметил)бензил]-[5-(4-карбоксипиперидин-1-ил)пиримидин-2-ил]}амино-2-этил-6-метокси-3,4-дигидро-2Н-[1,5]нафтиридин-1-карбоновой кислоты;
(2R,4S)-4-{[3,5-бис(трифторметил)бензил]-[5-(морфолин-4-ил))пиримидин-2-ил]}амино-1-((R)-4,5-дигидрооксазол-2-ил)-2-этил-6-метокси-3,4-дигидро-2Н-[1,5]нафтиридин;
2-карбокси-2-метилпропиловый эфир (2R,4S)-4-{[3,5-бис(трифторметил)бензил]-[5-(морфолин-4-ил)пиримидин-2-ил]}амино-2-этил-6-метокси-3,4-дигидро-2Н-[1,5]нафтиридин-1-карбоновой кислоты или
5-карбоксипентиловый эфир (2R,4S)-4-{[3,5-бис(трифторметил)бензил]-[5-(морфолин-4-ил)пиримидин-2-ил]}амино-2-этил-6-метокси-3,4-дигидро-2Н-[1,5]нафтиридин-1-карбоновой кислоты; или
их фармацевтически приемлемую соль.
Следующие примеры наиболее предпочтительных соединений включают:
2-карбоксиэтиловый эфир (2R,4S)-4-{[3,5-бис(трифторметил)бензил]-[5-(морфолин-4-ил)пиримидин-2-ил]}амино-2-этил-6-метокси-3,4-дигидро-2Н-[1,5]нафтиридин-1-карбоновой кислоты;
3-карбоксипропиловый эфир (2R,4S)-4-{[3,5-бис(трифторметил)бензил]-[5-(морфолин-4-ил)пиримидин-2-ил]}амино-2-этил-6-метокси-3,4-дигидро-2Н-[1,5]нафтиридин-1-карбоновой кислоты;
4-карбоксибутиловый эфир (2R,4S)-4-{[3,5-бис(трифторметил)бензил]-[5-(морфолин-4-ил)пиримидин-2-ил]}амино-2-этил-6-метокси-3,4-дигидро-2Н-[1,5]нафтиридин-1-карбоновой кислоты;
2-карбоксиэтиловый эфир (2R,4S)-4-{[3,5-бис(трифторметил)бензил]-[5-(2-гидроксиэтокси)пиримидин-2-ил]}амино-2-этил-6-метокси-3,4-дигидро-2Н-[1,5]нафтиридин-1-карбоновой кислоты;
3-карбоксипропиловый эфир (2R,4S)-4-{[3,5-бис(трифторметил)бензил]-[5-(2-гидроксиэтокси)пиримидин-2-ил]}амино-2-этил-6-метокси-3,4-дигидро-2Н-[1,5]нафтиридин-1-карбоновой кислоты;
4-карбоксибутиловый эфир (2R,4S)-4-{[3,5-бис(трифторметил)бензил]-[5-(2-гидроксиэтокси)пиримидин-2-ил]}амино-2-этил-6-метокси-3,4-дигидро-2Н-[1,5]нафтиридин-1-карбоновой кислоты;
2-карбокси-2-метилпропиловый эфир (2R,4S)-4-{[3,5-бис(трифторметил)бензил]-[5-(2-гидроксиэтокси)пиримидин-2-ил]}амино-2-этил-6-метокси-3,4-дигидро-2Н-[1,5]нафтиридин-1-карбоновой кислоты;
5-карбоксипентиловый эфир (2R,4S)-4-{[3,5-бис(трифторметил)бензил]-[5-(2-гидроксиэтокси)пиримидин-2-ил]}амино-2-этил-6-метокси-3,4-дигидро-2Н-[1,5]нафтиридин-1-карбоновой кислоты;
2-карбоксиэтиловый эфир (2R,4S)-4-{[3,5-бис(трифторметил)бензил]-[5-(2-метоксиэтокси)пиримидин-2-ил]}амино-2-этил-6-метокси-3,4-дигидро-2Н-[1,5]нафтиридин-1-карбоновой кислоты;
3-карбоксипропиловый эфир (2R,4S)-4-{[3,5-бис(трифторметил)бензил]-[5-(2-метоксиэтокси)пиримидин-2-ил]}амино-2-этил-6-метокси-3,4-дигидро-2Н-[1,5]нафтиридин-1-карбоновой кислоты;
4-карбоксибутиловый эфир (2R,4S)-4-{[3,5-бис(трифторметил)бензил]-[5-(2-метоксиэтокси)пиримидин-2-ил]}амино-2-этил-6-метокси-3,4-дигидро-2Н-[1,5]нафтиридин-1-карбоновой кислоты;
2-карбокси-2-метилпропиловый эфир (2R,4S)-4-{[3,5-бис(трифторметил)бензил]-[5-(2-метоксиэтокси)пиримидин-2-ил]}амино-2-этил-6-метокси-3,4-дигидро-2Н-[1,5]нафтиридин-1-карбоновой кислоты;
5-карбоксипентиловый эфир (2R,4S)-4-{[3,5-бис(трифторметил)бензил]-[5-(2-метоксиэтокси)пиримидин-2-ил]}амино-2-этил-6-метокси-3,4-дигидро-2Н-[1,5]нафтиридин-1-карбоновой кислоты;
2-карбоксиэтиловый эфир (2R,4S)-4-{[3,5-бис(трифторметил)бензил]-[5-(3-цианопропокси)пиримидин-2-ил]}амино-2-этил-6-метокси-3,4-дигидро-2Н-[1,5]нафтиридин-1-карбоновой кислоты;
3-карбоксипропиловый эфир (2R,4S)-4-{[3,5-бис(трифторметил)бензил]-[5-(3-цианопропокси)пиримидин-2-ил]}амино-2-этил-6-метокси-3,4-дигидро-2Н-[1,5]нафтиридин-1-карбоновой кислоты;
4-карбоксибутиловый эфир (2R,4S)-4-{[3,5-бис(трифторметил)бензил]-[5-(3-цианопропокси)пиримидин-2-ил]}амино-2-этил-6-метокси-3,4-дигидро-2Н-[1,5]нафтиридин-1-карбоновой кислоты;
2-карбокси-2-метилпропиловый эфир (2R,4S)-4-{[3,5-бис(трифторметил)бензил]-[5-(3-цианопропокси)пиримидин-2-ил]}амино-2-этил-6-метокси-3,4-дигидро-2Н-[1,5]нафтиридин-1-карбоновой кислоты;
5-карбоксипентиловый эфир (2R,4S)-4-{[3,5-бис(трифторметил)бензил]-[5-(3-цианопропокси)пиримидин-2-ил]}амино-2-этил-6-метокси-3,4-дигидро-2Н-[1,5]нафтиридин-1-карбоновой кислоты;
2-карбоксиэтиловый эфир (2R,4S)-4-{[3,5-бис(трифторметил)бензил]-(5-диметиламинопиримидин-2-ил)}амино-2-этил-6-метокси-3,4-дигидро-2Н-[1,5]нафтиридин-1-карбоновой кислоты;
3-карбоксипропиловый эфир (2R,4S)-4-{[3,5-бис(трифторметил)бензил]-(5-диметиламинопиримидин-2-ил)}амино-2-этил-6-метокси-3,4-дигидро-2Н-[1,5]нафтиридин-1-карбоновой кислоты;
4-карбоксибутиловый эфир (2R,4S)-4-{[3,5-бис(трифторметил)бензил]-(5-диметиламинопиримидин-2-ил)}амино-2-этил-6-метокси-3,4-дигидро-2Н-[1,5]нафтиридин-1-карбоновой кислоты;
2-карбокси-2-метилпропиловый эфир (2R,4S)-4-{[3,5-бис(трифторметил)бензил]-(5-диметиламинопиримидин-2-ил)}амино-2-этил-6-метокси-3,4-дигидро-2Н-[1,5]нафтиридин-1-карбоновой кислоты;
5-карбоксипентиловый эфир (2R,4S)-4-{[3,5-бис(трифторметил)бензил]-(5-диметиламинопиримидин-2-ил)}амино-2-этил-6-метокси-3,4-дигидро-2Н-[1,5]нафтиридин-1-карбоновой кислоты;
2-карбоксиэтиловый эфир (2R,4S)-4-{(3-циано-5-трифторметилбензил)-[5-(морфолин-4-ил)пиримидин-2-ил]}амино-2-этил-6-метокси-3,4-дигидро-2Н-[1,5]нафтиридин-1-карбоновой кислоты;
3-карбоксипропиловый эфир (2R,4S)-4-{(3-циано-5-трифторметилбензил)-[5-(морфолин-4-ил)пиримидин-2-ил]}амино-2-этил-6-метокси-3,4-дигидро-2Н-[1,5]нафтиридин-1-карбоновой кислоты;
4-карбоксибутиловый эфир (2R,4S)-4-{(3-циано-5-трифторметилбензил)-[5-(морфолин-4-ил)пиримидин-2-ил]}амино-2-этил-6-метокси-3,4-дигидро-2Н-[1,5]нафтиридин-1-карбоновой кислоты;
2-карбокси-2-метилпропиловый эфир (2R,4S)-4-{(3-циано-5-трифторметилбензил)-[5-(морфолин-4-ил)пиримидин-2-ил]}амино-2-этил-6-метокси-3,4-дигидро-2Н-[1,5]нафтиридин-1-карбоновой кислоты;
5-карбоксипентиловый эфир (2R,4S)-4-{(3-циано-5-трифторметилбензил)-[5-(морфолин-4-ил)пиримидин-2-ил]}амино-2-этил-6-метокси-3,4-дигидро-2Н-[1,5]нафтиридин-1-карбоновой кислоты;
2-карбоксиэтиловый эфир (2R,4S)-4-{[3,5-бис(трифторметил)бензил]-[5-(морфолин-4-ил)пиридин-2-ил]}амино-2-этил-6-метокси-3,4-дигидро-2Н-[1,5]нафтиридин-1-карбоновой кислоты;
3-карбоксипропиловый эфир (2R,4S)-4-{[3,5-бис(трифторметил)бензил]-[5-(морфолин-4-ил)пиридин-2-ил]}амино-2-этил-6-метокси-3,4-дигидро-2Н-[1,5]нафтиридин-1-карбоновой кислоты;
4-карбоксибутиловый эфир (2R,4S)-4-{[3,5-бис(трифторметил)бензил]-[5-(морфолин-4-ил)пиридин-2-ил]}амино-2-этил-6-метокси-3,4-дигидро-2Н-[1,5]нафтиридин-1-карбоновой кислоты;
2-карбокси-2-метилпропиловый эфир (2R,4S)-4-{[3,5-бис(трифторметил)бензил]-[5-(морфолин-4-ил)пиридин-2-ил]}амино-2-этил-6-метокси-3,4-дигидро-2Н-[1,5]нафтиридин-1-карбоновой кислоты;
5-карбоксипентиловый эфир (2R,4S)-4-{[3,5-бис(трифторметил)бензил]-[5-(морфолин-4-ил)пиридин-2-ил]}амино-2-этил-6-метокси-3,4-дигидро-2Н-[1,5]нафтиридин-1-карбоновой кислоты;
3-карбоксипропиловый эфир (2R,4S)-4-{[3,5-бис(трифторметил)бензил]-[5-(2-метоксиэтокси)пиридин-2-ил]}амино-2-этил-6-метокси-3,4-дигидро-2Н-[1,5]нафтиридин-1-карбоновой кислоты;
4-карбоксибутиловый эфир (2R,4S)-4-{[3,5-бис(трифторметил)бензил]-[5-(2-метоксиэтокси)пиридин-2-ил]}амино-2-этил-6-метокси-3,4-дигидро-2Н-[1,5]нафтиридин-1-карбоновой кислоты;
2-карбокси-2-метилпропиловый эфир (2R,4S)-4-{[3,5-бис(трифторметил)бензил]-[5-(2-метоксиэтокси)пиридин-2-ил]}амино-2-этил-6-метокси-3,4-дигидро-2Н-[1,5]нафтиридин-1-карбоновой кислоты;
5-карбоксипентиловый эфир (2R,4S)-4-{[3,5-бис(трифторметил)бензил]-[5-(2-метоксиэтокси)пиридин-2-ил]}амино-2-этил-6-метокси-3,4-дигидро-2Н-[1,5]нафтиридин-1-карбоновой кислоты;
2-карбокси-2-метилпропиловый эфир (2R,4S)-4-{(3-циано-5-трифторметилбензил)-[5-(морфолин-4-ил)пиридин-2-ил]}амино-2-этил-6-метокси-3,4-дигидро-2Н-[1,5]нафтиридин-1-карбоновой кислоты;
2-карбоксиэтиловый эфир (2R,4S)-4-{[3,5-бис(трифторметил)бензил]-[5-(морфолин-4-ил)пиримидин-2-ил]}амино-2-этил-6-трифторметил-3,4-дигидро-2Н-[1,5]нафтиридин-1-карбоновой кислоты;
3-карбоксипропиловый эфир (2R,4S)-4-{[3,5-бис(трифторметил)бензил]-[5-(морфолин-4-ил)пиримидин-2-ил]}амино-2-этил-6-трифторметил-3,4-дигидро-2Н-[1,5]нафтиридин-1-карбоновой кислоты;
4-карбоксибутиловый эфир (2R,4S)-4-{[3,5-бис(трифторметил)бензил]-[5-(морфолин-4-ил)пиримидин-2-ил]}амино-2-этил-6-трифторметил-3,4-дигидро-2Н-[1,5]нафтиридин-1-карбоновой кислоты;
2-карбокси-2-метилпропиловый эфир (2R,4S)-4-{[3,5-бис(трифторметил)бензил]-[5-(морфолин-4-ил)пиримидин-2-ил]}амино-2-этил-6-трифторметил-3,4-дигидро-2Н-[1,5]нафтиридин-1-карбоновой кислоты;
5-карбоксипентиловый эфир (2R,4S)-4-{[3,5-бис(трифторметил)бензил]-[5-(морфолин-4-ил)пиримидин-2-ил]}амино-2-этил-6-трифторметил-3,4-дигидро-2Н-[1,5]нафтиридин-1-карбоновой кислоты;
2-карбоксиэтиловый эфир (2R,4S)-4-{[3,5-бис(трифторметил)бензил]-[5-(2-гидроксиэтокси)пиримидин-2-ил]}амино-2-этил-6-трифторметил-3,4-дигидро-2Н-[1,5]нафтиридин-1-карбоновой кислоты;
3-карбоксипропиловый эфир (2R,4S)-4-{[3,5-бис(трифторметил)бензил]-[5-(2-гидроксиэтокси)пиримидин-2-ил]}амино-2-этил-6-трифторметил-3,4-дигидро-2Н-[1,5]нафтиридин-1-карбоновой кислоты;
4-карбоксибутиловый эфир (2R,4S)-4-{[3,5-бис(трифторметил)бензил]-[5-(2-гидроксиэтокси)пиримидин-2-ил]}амино-2-этил-6-трифторметил-3,4-дигидро-2Н-[1,5]нафтиридин-1-карбоновой кислоты;
2-карбокси-2-метилпропиловый эфир (2R,4S)-4-{[3,5-бис(трифторметил)бензил]-[5-(2-гидроксиэтокси)пиримидин-2-ил]}амино-2-этил-6-трифторметилметокси-3,4-дигидро-2Н-[1,5]нафтиридин-1-карбоновой кислоты;
5-карбоксипентиловый эфир (2R,4S)-4-{[3,5-бис(трифторметил)бензил]-[5-(2-гидроксиэтокси)пиримидин-2-ил]}амино-2-этил-6-трифторметил-3,4-дигидро-2Н-[1,5]нафтиридин-1-карбоновой кислоты;
2-карбоксиэтиловый эфир (2R,4S)-4-{[3,5-бис(трифторметил)бензил]-[5-(2-метоксиэтокси)пиримидин-2-ил]}амино-2-этил-6-трифторметил-3,4-дигидро-2Н-[1,5]нафтиридин-1-карбоновой кислоты;
3-карбоксипропиловый эфир (2R,4S)-4-{[3,5-бис(трифторметил)бензил]-[5-(2-метоксиэтокси)пиримидин-2-ил]}амино-2-этил-6-трифторметил-3,4-дигидро-2Н-[1,5]нафтиридин-1-карбоновой кислоты;
4-карбоксибутиловый эфир (2R,4S)-4-{[3,5-бис(трифторметил)бензил]-[5-(2-метоксиэтокси)пиримидин-2-ил]}амино-2-этил-6-трифторметил-3,4-дигидро-2Н-[1,5]нафтиридин-1-карбоновой кислоты;
2-карбокси-2-метилпропиловый эфир (2R,4S)-4-{[3,5-бис(трифторметил)бензил]-[5-(2-метоксиэтокси)пиримидин-2-ил]}амино-2-этил-6-трифторметил-3,4-дигидро-2Н-[1,5]нафтиридин-1-карбоновой кислоты;
5-карбоксипентиловый эфир (2R,4S)-4-{[3,5-бис(трифторметил)бензил]-[5-(2-метоксиэтокси)пиримидин-2-ил]}амино-2-этил-6-трифторметил-3,4-дигидро-2Н-[1,5]нафтиридин-1-карбоновой кислоты;
2-карбоксиэтиловый эфир (2R,4S)-4-{[3,5-бис(трифторметил)бензил]-[5-(3-цианопропокси)пиримидин-2-ил]}амино-2-этил-6-трифторметил-3,4-дигидро-2Н-[1,5]нафтиридин-1-карбоновой кислоты;
3-карбоксипропиловый эфир (2R,4S)-4-{[3,5-бис(трифторметил)бензил]-[5-(3-цианопропокси)пиримидин-2-ил]}амино-2-этил-6-трифторметил-3,4-дигидро-2Н-[1,5]нафтиридин-1-карбоновой кислоты;
4-карбоксибутиловый эфир (2R,4S)-4-{[3,5-бис(трифторметил)бензил]-[5-(3-цианопропокси)пиримидин-2-ил]}амино-2-этил-6-трифторметил-3,4-дигидро-2Н-[1,5]нафтиридин-1-карбоновой кислоты;
2-карбокси-2-метилпропиловый эфир (2R,4S)-4-{[3,5-бис(трифторметил)бензил]-[5-(3-цианопропокси)пиримидин-2-ил]}амино-2-этил-6-трифторметил-3,4-дигидро-2Н-[1,5]нафтиридин-1-карбоновой кислоты;
5-карбоксипентиловый эфир (2R,4S)-4-{[3,5-бис(трифторметил)бензил]-[5-(3-цианопропокси)пиримидин-2-ил]}амино-2-этил-6-трифторметил-3,4-дигидро-2Н-[1,5]нафтиридин-1-карбоновой кислоты;
2-карбоксиэтиловый эфир (2R,4S)-4-{[3,5-бис(трифторметил)бензил]-(5-диметиламинопиримидин-2-ил]}амино-2-этил-6-трифторметил-3,4-дигидро-2Н-[1,5]нафтиридин-1-карбоновой кислоты;
3-карбоксипропиловый эфир (2R,4S)-4-{[3,5-бис(трифторметил)бензил]-(5-диметиламинопиримидин-2-ил)}амино-2-этил-6-трифторметил-3,4-дигидро-2Н-[1,5]нафтиридин-1-карбоновой кислоты;
4-карбоксибутиловый эфир (2R,4S)-4-{[3,5-бис(трифторметил)бензил]-(5-диметиламинопиримидин-2-ил)}амино-2-этил-6-трифторметил-3,4-дигидро-2Н-[1,5]нафтиридин-1-карбоновой кислоты;
2-карбокси-2-метилпропиловый эфир (2R,4S)-4-{[3,5-бис(трифторметил)бензил]-(5-диметиламинопиримидин-2-ил)}амино-2-этил-6-трифторметил-3,4-дигидро-2Н-[1,5]нафтиридин-1-карбоновой кислоты;
5-карбоксипентиловый эфир (2R,4S)-4-{[3,5-бис(трифторметил)бензил]-(5-диметиламинопиримидин-2-ил)}амино-2-этил-6-трифторметил-3,4-дигидро-2Н-[1,5]нафтиридин-1-карбоновой кислоты;
2-карбоксиэтиловый эфир (2R,4S)-4-{(3-циано-5-трифторметилбензил)-[5-(морфолин-4-ил)пиримидин-2-ил]}амино-2-этил-6-трифторметил-3,4-дигидро-2Н-[1,5]нафтиридин-1-карбоновой кислоты;
3-карбоксипропиловый эфир (2R,4S)-4-{(3-циано-5-трифторметилбензил)-[5-(морфолин-4-ил)пиримидин-2-ил]}амино-2-этил-6-трифторметил-3,4-дигидро-2Н-[1,5]нафтиридин-1-карбоновой кислоты;
4-карбоксибутиловый эфир (2R,4S)-4-{(3-циано-5-трифторметилбензил)-[5-(морфолин-4-ил)пиримидин-2-ил]}амино-2-этил-6-трифторметил-3,4-дигидро-2Н-[1,5]нафтиридин-1-карбоновой кислоты;
2-карбокси-2-метилпропиловый эфир (2R,4S)-4-{(3-циано-5-трифторметилбензил)-[5-(морфолин-4-ил)пиримидин-2-ил]}амино-2-этил-6-трифторметил-3,4-дигидро-2Н-[1,5]нафтиридин-1-карбоновой кислоты;
5-карбоксипентиловый эфир (2R,4S)-4-{(3-циано-5-трифторметилбензил)-[5-(морфолин-4-ил)пиримидин-2-ил]}амино-2-этил-6-трифторметил-3,4-дигидро-2Н-[1,5]нафтиридин-1-карбоновой кислоты;
2-карбоксиэтиловый эфир (2R,4S)-4-{[3,5-бис(трифторметил)бензил]-[5-(морфолин-4-ил)пиридин-2-ил]}амино-2-этил-6-трифторметил-3,4-дигидро-2Н-[1,5]нафтиридин-1-карбоновой кислоты;
3-карбоксипропиловый эфир (2R,4S)-4-{[3,5-бис(трифторметил)бензил]-[5-(морфолин-4-ил)пиридин-2-ил]}амино-2-этил-6-трифторметил-3,4-дигидро-2Н-[1,5]нафтиридин-1-карбоновой кислоты;
4-карбоксибутиловый эфир (2R,4S)-4-{[3,5-бис(трифторметил)бензил]-[5-(морфолин-4-ил)пиридин-2-ил]}амино-2-этил-6-трифторметил-3,4-дигидро-2Н-[1,5]нафтиридин-1-карбоновой кислоты;
2-карбокси-2-метилпропиловый эфир (2R,4S)-4-{[3,5-бис(трифторметил)бензил]-[5-(морфолин-4-ил)пиридин-2-ил]}амино-2-этил-6-трифторметил-3,4-дигидро-2Н-[1,5]нафтиридин-1-карбоновой кислоты;
5-карбоксипентил (2R,4S)-4-{[3,5-бис(трифторметил)бензил]-[5-(морфолин-4-ил)пиридин-2-ил]}амино-2-этил-6-трифторметил-3,4-дигидро-2Н-[1,5]нафтиридин-1-карбоновой кислоты;
4-карбоксибутиловый эфир (2R,4S)-4-{(3-циано-5-трифторметилбензил)-[5-(морфолин-4-ил)пиридин-2-ил]}амино-2-этил-6-трифторметил-3,4-дигидро-2Н-[1,5]нафтиридин-1-карбоновой кислоты или
2-карбокси-2-метилпропиловый эфир (2R,4S)-4-{(3-циано-5-трифторметилбензил)-[5-(морфолин-4-ил)пиридин-2-ил]}амино-2-этил-6-трифторметил-3,4-дигидро-2Н-[1,5]нафтиридин-1-карбоновой кислоты; или их фармацевтически приемлемую соль.
Данное соединение (I) или его фармацевтически приемлемая соль могут быть введены перорально или парентерально и могут быть приготовлены в виде фармацевтических препаратов с общепринятыми фармацевтически приемлемыми носителями, используемыми для этого.
Фармацевтически приемлемые соли соединения (I) могут включать, например, соли щелочных металлов, такие как соль лития, натрия или калия; соли щелочноземельных металлов, такие как соль кальция или магния; соли с цинком или алюминием; соли с органическими основаниями, такими как аммоний, холин, диэтаноламин, лизин, этилендиамин, трет-бутиламин, трет-октиламин, трис(гидроксиметил)аминометан, N-метилглюкозамин, триэтаноламин или дегидро(абие)тиламин; соли с неорганическими кислотами, такими как хлористоводородная кислота, иодистоводородная кислота, серная кислота, азотная кислота или фосфорная кислота; соли с органическими кислотами, такими как муравьиная кислота, уксусная кислота, пропионовая кислота, щавелевая кислота, малоновая кислота, янтарная кислота, фумаровая кислота, малеиновая кислота, молочная кислота, винная кислота, лимонная кислота, метансульфоновая кислота, этансульфоновая кислота, бензолсульфоновая кислота или толуолсульфоновая кислота; или соли, полученные из кислых аминокислот, таких как аспарагиновая кислота или глутаминовая кислота.
Кроме того, фармацевтически приемлемые соли соединения (I) включают, например, четвертичные соли, образованные между соединением формулы (I) и алкилгалогенидом или фенилалкилгалогенидом.
Предпочтительные фармацевтические композиции для перорального введения данного соединения (I) или его фармацевтически приемлемой соли включают твердые формы, такие как таблетки, гранулы, капсулы или порошки; и жидкие формы, такие как растворы, суспензии или эмульсии. Предпочтительные фармацевтические композиции для парентерального введения включают инъекционные или инфузионные растворы, приготовленные с дистиллированной водой, пригодной для инъекций, физиологическим раствором или водным раствором глюкозы; суппозитории или препарат для ингаляции.
Указанные фармацевтические композиции содержат соединение (I) настоящего изобретения или его фармацевтически приемлемую соль и фармацевтически приемлемый носитель, который обычно используют для перорального или парентерального введения. Фармацевтически приемлемые носители для перорального введения включают, например, связывающий агент (сироп, аравийскую камедь, желатин, сорбит, трагакант, поливинилпирролидон и т.п.), эксципиент (лактозу, сахар, кукурузный крахмал, фосфат калия, сорбит, глицин и т.п.), смазывающий агент (стеарат магния, тальк, полиэтиленгликоль, диоксид кремния и т.п.), дезинтегрирующий агент (картофельный крахмал и т.п.) и увлажняющее средство (безводный лаурилсульфат натрия и т.п.). Фармацевтически приемлемые носители для парентерального введения включают, например, дистиллированную воду для инъекционных растворов, физиологический солевой раствор и водный раствор глюкозы.
Доза соединения (I) настоящего изобретения или его фармацевтически приемлемой соли варьируется в зависимости от способа введения, возраста, массы тела, заболевания и состояния/тяжести состояния пациента. Однако она обычно может находиться в диапазоне приблизительно 0,001-1000 мг/кг/день, предпочтительно в диапазоне приблизительно 0,01-100 мг/кг/день.
Соединения настоящего изобретения обладают ингибирующей активностью в отношении СЕТР и обнаруживают действия увеличения HDL-холестерина и уменьшения LDL-холестерина. Таким образом, они полезны в профилактике или лечении субъекта (в частности, млекопитающего, включая человека), страдающего от артериосклероза, заболевания периферических сосудов, дислипидемии, гипербеталипопротеинемии, гипоальфалипопротеинемии, гиперхолестеринемии, гипертриглицеридемии, семейной гиперхолестеринемии, сердечно-сосудистых заболеваний, стенокардии, ишемии, сердечной ишемии, инсульта, инфаркта миокарда, реперфузионного повреждения, рестеноза после ангиопластики, гипертензии, церебрального инфаркта, диабета, сосудистых осложнений диабета, тромботических заболеваний, ожирения, эндотоксемии или т.п.
Кроме того, соединения настоящего изобретения могут быть использованы в комбинации с другими лекарственными средствами, применяемыми для лечения таких заболеваний. Например, соединение настоящего изобретения может быть использовано в комбинации с ингибитором синтеза холестерина, таким как ингибитор HMG-CoA-редуктазы, ингибитором абсорбции холестерина, таким как анионообменная смола, фибрат, понижающим триглицериды агентом, таким как ниацин, или другим понижающим холестерин агентом, таким как ингибитор АСАТ.
Соединения настоящего изобретения имеют улучшенную биодоступность и полезны в качестве ингибитора СЕТР. Прежде всего, предпочтительными являются соединения, имеющие карбоксильную группу в концевом положении соответствующих заместителей R1-R11, особенно соединения, имеющие карбоксильную группу в концевом положении R1 и/или R5 или R1 и/или R11.
Соединение (I) настоящего изобретения может быть получено следующими способами.
Способ 1
Соединение (I) настоящего изобретения может быть получено конденсацией соединения формулы (II):

где символы имеют определенные выше значения, с соединением формулы (III):
R10-R4-Z1 (III)
где Z1 означает отщепляемую группу, и другие символы имеют определенные выше значения.
Конденсацию можно проводить в присутствии основания в подходящем растворителе.
Отщепляемая группа включает атом галогена, включая атом хлора, атом брома, атом иода, и замещенную сульфонилоксигруппу, включая метансульфонилоксигруппу, толуолсульфонилоксигруппу и трифторметансульфонилоксигруппу.
Обычное основание может быть использовано в качестве основания, и, например, предпочтительно могут быть использованы гидрид щелочного металла, включая гидрид натрия, гидрид калия; гидроксид щелочного металла, включая гидроксид натрия, гидроксид калия; гидроксид щелочноземельного металла, включая гидроксид бария; алкоксид щелочного металла, включая метоксид натрия, этоксид натрия, этоксид калия, трет-бутоксид калия; карбонат щелочного металлла, включая карбонат натрия, карбонат калия, карбонат цезия; бикарбонат щелочного металла, включая бикарбонат натрия, бикарбонат калия; амины, включая триэтиламин, диизопропилэтиламин, метилпиперидин, диметиланилин, 1,8-диазабицикло[5.4.0]ундецен, 1,4-диазабицикло[2.2.2]октан, 1,5-диазабицикло[4.3.0]нонен; пиридины, включая пиридин, диметиламинопиридин и т.п.
Любой растворитель, который не мешает протеканию реакции, может быть предпочтительно использован, и такой растворитель включает, например, углеводороды, включая пентан, гексан; ароматические углеводороды, включая бензол, толуол, нитробензол; галогенированные углеводороды, включая дихлорметан, хлороформ; простые эфиры, включая диэтиловый эфир, тетрагидрофуран; амиды, включая диметилформамид, N-метилпирролидон, 1,3-диметилимидазолин-2-он; сульфоксиды, включая диметилсульфоксид; спирты, включая метанол, этанол, метилэтилкетон; нитрилы, включая ацетонитрил; воду, или смешанный из них растворитель.
Реакцию проводят при температуре от пониженной до повышенной, предпочтительно от -78°С до 200°С, более предпочтительно от -30°С до 100°С.
Способ 2
Среди соединений формулы (I-A) соединение формулы (I-b):

где символы имеют определенные выше значения, может быть получено
(а) цианированием соединения формулы (II-A):

где символы имеют определенные выше значения, с получением соединения формулы (II-B):

где символы имеют определенные выше значения,
(b) реакцией соединения (II-B) с гидроксиламином или его солью с получением соединения формулы (II-C):

где символы имеют определенные выше значения,
(с) алканоилированием соединения (II-C) с получением соединения формулы (II-D):

где символы имеют определенные выше значения, и затем
(d) циклизацией соединения (II-D) основанием.
Цианирование в способе (а) можно проводить реакцией галогенированного цианогена в присутствии основания в подходящем растворителе.
В качестве галогенированного цианогена предпочтительным является цианогенбромид.
В качестве основания может быть предпочтительно использовано общепринятое основание, и предпочтительно может быть использован карбонат щелочного металла, включая бикарбонат натрия.
Может быть использован любой растворитель, который не нарушает реакцию, и предпочтительно может быть использован растворитель, на который дана ссылка в способе 1.
Реакцию с гидроксиламином в способе (b) можно проводить в присутствии основания в подходящем растворителе.
В качестве основания могут быть использованы предпочтительно третичные алкиламины, включая триэтиламин, диизопропилэтиламин и т.п.
Может быть использован любой растворитель, который не мешает указанной реакции, и предпочтительно может быть использован растворитель, на который дана ссылка в способе 1.
Алканоилирование в способе (с) можно проводить алканоилгалогенидом в присутствии основания в подходящем растворителе.
В качестве основания может быть использовано обычное основание, и предпочтительно могут быть использованы амины, включая триэтиламин или диизопропилэтиламин, или пиридины, включая пиридин, 4-диметиламинопиридин.
Может быть использован любой растворитель, который не мешает указанной реакции, и предпочтительно может быть использован растворитель, на который дана ссылка в способе 1.
В циклизации в способе (d) в качестве основания может быть использовано обычное основание, и предпочтительно могут быть использованы амины, включая триэтиламин или диизопропилэтиламин; пиридины, включая пиридин, 4-диметиламинопиридин; карбонат щелочного металла, включая карбонат калия; или алкоксид щелочного металла, включая метоксид натрия.
Может быть использован любой растворитель, который не мешает указанной реакции, и предпочтительно может быть использован растворитель, на который дана ссылка в способе 1.
Дополнительно, циклизацию после алканоилирования можно также проводить in situ.
Реакцию проводят в условиях от охлаждения до нагревания, предпочтительно от -50°С до 100°С, более предпочтительно от 0°С до 50°С.
Способ 3
Среди соединений формулы (I-A) соединение формулы (I-с):

где символы имеют определенные выше значения, может быть получено реакцией соединения формулы (II-B):

где символы имеют определенные выше значения, с азидом натрия.
Указанную реакцию проводят в присутствии хлорида аммония в подходящем растворителе.
Может быть использован любой растворитель, который не мешает указанной реакции, и предпочтительно может быть использован растворитель, на который дана ссылка в способе 1.
Реакцию проводят при температуре от пониженной до повышенной, предпочтительно от -50°С до 150°С, более предпочтительно от 20°С до 100°С.
Кроме того, заместитель(ли) соединения (I) настоящего изобретения может(гут) быть превращен(ы) в другой(ие) различный(е) заместитель(ли) в объеме соединения (I) в соответствии со следующими способами по желанию.
В каждом следующем способе в качестве основания может быть использовано обычное основание, и, если нет другого указания, предпочтительно может быть использован растворитель, на который дана ссылка в способе 1.
Кроме того, в каждом следующем способе в качестве кислоты может быть использована обычная кислота, и, если нет другого указания, предпочтительно может быть использована минеральная кислота, такая как хлористоводородная кислота, азотная кислота, серная кислота, или органическая кислота, представленная сульфоновыми кислотами (например, метансульфоновой кислотой, п-толуолсульфоновой кислотой, трифторметансульфоновой кислотой), или карбоновыми кислотами (например, уксусной кислотой, трифторуксусной кислотой).
Далее, кроме того, в каждом следующем способе, может быть использован любой растворитель, который не мешает указанной реакции, и в качестве такого растворителя предпочтительно может быть использован растворитель, на который дана ссылка в способе 1.
Отщепляемая группа включает атом галогена, такой как атом хлора, атом брома, атом иода, и замещенная сульфонилоксигруппа, такая как метансульфонилоксигруппа, трифторметансульфонилоксигруппа и толуолсульфонилоксигруппа.
Кроме того, в каждом последующем способе насыщенная или ненасыщенная моноциклическая или бициклическая гетероциклическая группа, имеющая 1-4 гетероатома, независимо выбранных из атома кислорода, атома серы и атома азота , в R5 называется гетероциклической группой .
(1) Среди соединений (I-A), соединение, где кольцо А означает тетразолильную группу и R11 означает необязательно замещенную алкильную группу, может быть получено алкилированием соединения, где кольцо А означает тетразолильную группу и R11 означает атом водорода.
Алкилирование указанного соединения можно проводить реакцией его с соединением формулы:
R11А-Z2
где R11А означает необязательно замещенную алкильную группу, и Z2 означает отщепляемую группу, в подходящем растворителе в присутствии или в отсутствие основания или реакцией с соединением формулы:
R11А-ОН
где символы имеют указанные выше значения, в подходящем растворителе в присутствии фосфина и азодикарбонового эфира.
Указанная реакция протекает более предпочтительно, когда добавляют каталитическое количество иодида щелочного металла (например, иодида калия и т.п.).
Как фосфины, так и азодикарбоновые эфиры, которые обычно используют в реакции Мицунобу, могут быть предпочтительно использованы. Фосфины включают, например, трифенилфосфин, трибутилфосфин и т.п., и азодикарбоновые эфиры включают диэтилазокарбоксилат, диизопропилазодиформиат и т.п.
(2) Среди соединений (I-A), соединение, где кольцо А означает 2-оксодигидропиримидинильную группу и R11 означает необязательно замещенную алкильную группу, может быть получено алкилированием соединения, где кольцо А означает 2-гидроксипиримидинильную группу и R11 означает атом водорода, с соединением формулы:
R11А-Z2
где символы имеют определенные выше значения.
Указанную реакцию можно проводить таким же образом, как (1).
(3) Соединение, где R5 означает гетероциклическую группу, замещенную необязательно замещенной аминогруппой или группой формулы:

где символы имеют определенные выше значения, может быть получено реакцией сочетания соединения, где R5 означает гетероциклическую группу, замещенную атомом галогена или необязательно замещенной алкилсульфонилоксигруппой, с соответствующим амином или соединением формулы:

где символы имеют определенные выше значения.
Указанную реакцию сочетания можно проводить в присутствии палладиевого катализатора и в присутствии или в отсутствие основания в подходящем растворителе.
В качестве палладиевого катализатора предпочтительно может быть использован обычный палладиевый катализатор, включая
ацетат палладия, тетракис(трифенилфосфин)палладий,
трис(дибензилиденацетон)дипалладий,
дихлорбис(трифенилфосфин)палладий,
дихлорбис(три-о-толилфосфин)палладий или
ацетат бис(трифенилфосфин)палладия и т.п.
В качестве основания могут быть использованы гидроксид щелочного металла, включая гидроксид натрия, гидроксид калия; гидроксид щелочноземельного металла, включая гидроксид бария; алкоксид щелочного металла, включая метоксид натрия, этоксид натрия, этоксид калия, трет-бутоксид калия; карбонат щелочного металлла, включая карбонат натрия, карбонат калия, карбонат цезия; бикарбонат щелочного металла, включая бикарбонат натрия, бикарбонат калия; фосфат щелочного металла, включая фосфат калия; амины, включая триэтиламин, диизопропилэтиламин, метилпиперидин, дициклогексилметиламин; пиридины, включая пиридин, 4-диметиламинопирилдин, и т.п.
Кроме того, в данной реакции могут быть добавлены фосфины. В качестве фосфинов могут быть предпочтительно использованы трифенилфосфин, трибутилфосфин,
тетрафторборат три-трет-бутилфосфония,
1,3-бис(дифенилфосфино)пропан,
2,2′-бис(дифенилфосфино)-1,1′-бинафтил,
1,1′-бис(дифенилфосфино)ферроцен,
2-(ди-трет-бутилфосфино)бифенил,
2-дициклогексилфосфино-2′-(N,N-диметиламино)бифенил,
2-(дициклогексилфосфино)бифенил и т.п.
(4) Соединение, где R5 означает гетероциклическую группу, замещенную необязательно замещенной аминогруппой или группой формулы

где символы имеют определенные выше значения, может быть также получено реакцией соединения, где R5 означает гетероциклическую группу, замещенную атомом галогена или необязательно замещенной алкилсульфонильной группой, с соответствующим амином или соединением формулы:

где символы имеют определенные выше значения.
Указанную реакцию можно проводить необязательным добавлением медного катализатора в присутствии или в отсутствие основания в подходящем растворителе.
В качестве медного катализатора могут быть предпочтительно использованы иодид меди, бромид меди, ацетат меди, трифторметансульфонат меди и т.п.
Предпочтительно может быть использовано такое же основание, на которое делается ссылка в (3).
Кроме того, реакция протекает более предпочтительно при добавлении N,N’-диметилэтилендиамина, 1,10-фенантролина, этиленгликоля, фенилфенола или т.п.
(5) Соединение, где R5 означает гетероциклическую группу, замещенную необязательно замещенной аминогруппой, может быть получено связыванием соединения, где R5 означает гетероциклическую группу, замещенную атомом галогена или необязательно замещенной алкилсульфонилоксигруппой, с соединением формулы:
(R20)3Sn-NR21R22
где R20 означает алкильную группу, и NR21R22 означает необязательно замещенную аминогруппу.
Реакцию сочетания можно проводить в присутствии палладиевого катализатора и в присутствии или в отсутствие основания в подходящем растворителе.
Предпочтительно могут быть использованы такие же палладиевый катализатор, основание и фосфины, на которые дается ссылка в (3).
(6) Соединение, где R5 означает гетероциклическую группу, замещенную цианогруппой, может быть получено цианированием соединения, где R5 означает гетероциклическую группу, замещенную атомом галогена или необязательно замещенной алкилсульфонилоксигруппой.
Цианирование можно проводить реакцией исходного соединения с цианидом металла, включая цианид натрия, цианид калия или цианид цинка, в присутствии палладиевого катализатора в подходящем растворителе.
Предпочтительно может быть использован такой же палладиевый катализатор, как описано в (3).
(7) Соединение, где R5 означает гетероциклическую группу, замещенную необязательно замещенной алкоксикарбонильной группой, может быть получено реакцией соединения, где R5 означает гетероциклическую группу, замещенную атомом галогена или необязательно замещенной алкилсульфонилоксигруппой, с соответствующим алкиловым спиртом в атмосфере монооксида углерода с использованием палладиевого катализатора в присутствии основания в подходящем растворителе.
Предпочтительно могут быть использованы такие же палладиевый катализатор и основание, как описано в (3).
Кроме того, указанную реакцию можно более предпочтительно проводить с добавлением лиганда, и в качестве лиганда могут быть предпочтительно использованы фосфины, на которые дается ссылка в (3).
(8) Соединение, где R5 означает гетероциклическую группу, замещенную необязательно замещенной алкенильной группой, может быть получено реакцией соединения, где R5 означает гетероциклическую группу, замещенную атомом галогена или необязательно замещенной алкилсульфонилоксигруппой, с соответствующим алкеном.
Указанную реакцию сочетания можно проводить в присутствии палладиевого катализатора и в присутствии или в отсутствие основания в подходящем растворителе.
Предпочтительно может быть использовано такое же основание, на которое делается ссылка в (3), и может быть также использован карбонат серебра.
Кроме того, указанную реакцию можно более предпочтительно проводить с добавлением лиганда, и в качестве лиганда могут быть предпочтительно использованы фосфины, на которые дается ссылка в (3).
(9) Соединение, где R5 означает гетероциклическую группу, замещенную необязательно замещенной алкоксигруппой, может быть получено алкоксилированием соединения, где R5 означает гетероциклическую группу, замещенную атомом галогена или необязательно замещенной алкилсульфонилоксигруппой.
Алкоксилирование можно проводить необязательным добавлением медного катализатора для реакции исходного соединения с соответствующим спиртом в подходящем растворителе или в неразбавленном виде в присутствии основания.
Предпочтительно может быть использовано такое же основание, как описано выше в (3), в частности, предпочтительно может быть использован карбонат цезия.
Кроме того, указанная реакция протекает более предпочтительно при добавлении 1,10-фенантролина, 2-аминопиридина и т.п.
(10) Соединение, где R5 означает гетероциклическую группу, замещенную необязательно замещенной алкоксигруппой, может быть получено реакцией соединения, где R5 означает гетероциклическую группу, замещенную алкилсульфонильной группой, с соответствующим алкоксидом щелочного металла в подходящем растворителе. Соответствующий алкоксид щелочного металла может быть получен обработкой соответствующего алкилового спирта гидридом щелочного металла или щелочным металлом.
(11) Соединение, где R5 означает гетероциклическую группу, замещенную необязательно замещенной алкилтиогруппой, может быть получено реакцией соединения, где R5 означает гетероциклическую группу, замещенную атомом галогена или необязательно замещенной алкилсульфонилоксигруппой, с соответствующим алкилтиолом.
Указанную реакцию можно проводить таким же образом, как описано ранее в (9), и она облегчена между 1,10-фенантролином или этиленгликолем.
(12) Соединение, где R5 означает гетероциклическую группу, замещенную необязательно замещенной гетероциклической группой, может быть получено реакцией сочетания соединения, где R5 означает гетероциклическую группу, замещенную атомом галогена или необязательно замещенной алкилсульфонилоксигруппой, с соответствующей гетероциклической бороновой кислотой или соответствующим гетероциклическим эфиром бороновой кислоты.
Указанное сочетание можно проводить в присутствии палладиевого катализатора и в присутствии или в отсутствие основания в подходящем растворителе.
Указанную реакцию можно проводить таким же образом, как (3).
(13) Соединение, где R5 означает гетероциклическую группу, замещенную необязательно замещенной гетероциклической группой, может быть получено реакцией сочетания соединения, где R5 означает гетероциклическую группу, замещенную атомом галогена или необязательно замещенной алкилсульфонилоксигруппой, с соответствующим гетероциклическим соединением алкилолова.
Указанную реакцию можно проводить таким же образом, как (5).
(14) Соединение, где R5 означает гетероциклическую группу, замещенную алкоксикарбонилалкилсульфонильной группой, может быть получено реакцией сочетания соединения, где R5 означает гетероциклическую группу, замещенную атомом галогена или необязательно замещенной алкилсульфонилоксигруппой, с солью щелочного металла алкоксикарбонилалкилсульфиновой кислоты.
Соль щелочного металла алкоксикарбонилалкилсульфиновой кислоты может быть получена по способу, описанному, например, в Baskin et al., Tetrahedron Lett., 43, 8479 (2002).
Кроме того, указанную реакцию можно проводить в присутствии медного катализатора в подходящем растворителе согласно Способу, описанному в указанной литературной ссылке.
Может быть использован такой же медный катализатор, как описано в (4), и, в частности, предпочтительно может быть использован иодид меди.
(15) Соединение, имеющее группу формулы:

где символы имеют определенные выше значения, в качестве заместителя на R5, может быть получено конденсацией соединения, имеющего гидроксигруппу в качестве заместителя на R5, с соединением формулы:

где Х11 означает О, SO, SO2 или NRp (Rp означает защитную группу) и q равно целому числу 1-4, и, если необходимо, удалением защитной группы для аминогруппы.
В качестве защитной группы может быть использована обычная защитная группа, включая бензилоксикарбонильную группу, трет-бутоксикарбонильную группу и т.п.
Указанную реакцию можно проводить в подходящем растворителе в присутствии фосфинов и эфиров азодикарбоновой кислоты. Указанную реакцию можно проводить таким же образом, как (1).
Удаление защитной группы можно проводить обычным образом, включающим каталитическое восстановление, обработку кислотой и т.п., в зависимости от типа защитной группы.
(16) Соединение, имеющее аминоалкильную группу в качестве заместителя на R5, может быть получено каталитическим восстановлением соединения, имеющего цианогруппу или цианоалкильную группу в качестве заместителя на R5.
Каталитическое восстановление можно проводить с использованием катализатора в атмосфере водорода в подходящем растворителе в соответствии с общепринятым способом. Катализатор включает палладиевый катализатор, такой как палладий на угле, никелевый катализатор, такой как никель Ренея, платиновый катализатор, такой как платина на угле, и т.п.
(17) Соединение, имеющее необязательно замещенную моно- или диалкилсульфамоиламиноалкильную группу в качестве заместителя на R5, может быть получено реакцией соединения, имеющего аминоалкильную группу в качестве заместителя на R5, с соответствующим галогенированным моно- или диалкилсульфамоилом.
Указанную реакцию можно проводить в подходящем растворителе в присутствии основания.
(18) Соединение, имеющее необязательно замещенную моноалкилкарбамоиламиноалкильную группу в качестве заместителя на R5, может быть получено реакцией соединения, имеющего аминоалкильную группу в качестве заместителя на R5, с соответствующим алкилизоцианатом в подходящем растворителе.
(19) Соединение, имеющее группу формулы:

где R12 означает алкильную группу, и другие символы имеют определенные выше значения, в качестве заместителя на R5, может быть получено реакцией соединения, имеющего группу формулы:

где символы имеют определенные выше значения, в качестве заместителя на R5, с соответствующим алкилизоцианатом (R12NCO). Указанную реакцию можно проводить таким же образом, как (18).
(20) Соединение, имеющее необязательно замещенную моно- или диалкилкарбамоиламиногруппу в качестве заместителя на R5, может быть получено конденсацией соединения, имеющего аминогруппу в качестве заместителя на R5, с необязательно замещенным моно- или диалкиламином с использованием карбонилирующего агента в подходящем растворителе в присутствии или в отсутствие основания.
Может быть использован общепринятый карбонилирующий агент, такой как карбонилдиимидазол, фосген, трифосген и т.п.
(21) Соединение, имеющее морфолинилкарбониламиногруппу в качестве заместителя на R5, может быть получено конденсацией соединения, имеющего аминогруппу в качестве заместителя на R5, с морфолином с использованием карбонилирующего агента в подходящем растворителе. Указанную реакцию можно проводить таким же образом, как (20).
(22) Соединение, имеющее группу формулы:

где Х12 означает О или NH, в качестве заместителя на R5, может быть получено обработкой соединения, имеющего группу формулы:
Н-Х12-СН2-CONH-
где символы имеют определенные выше значения, в качестве заместителя на R5, с карбонилирующим агентом в подходящем растворителе.
Указанную реакцию можно проводить таким же образом, как (20).
(23) Соединение, имеющее необязательно замещенную карбамоильную группу в качестве заместителя на R5, может быть получено конденсацией соединения, имеющего карбоксильную группу в качестве заместителя на R5, с желаемым амином.
Конденсацию можно проводить с использованием конденсирующего агента в подходящем растворителе. Предпочтительно может быть использован общепринятый конденсирующий агент, такой как дициклогексилкарбодиимид, 1-этил-3-(3-диметиламинопропил)карбодиимид, карбонилдиимидазол и т.п.
Кроме того, конденсацию можно проводить более предпочтительно с добавлением активирующего агента, включая 1-гидроксибензотриазол, 1-гидроксисукцинимид и т.п.
(24) Соединение имеющее группу формулы:

где символы имеют определенные выше значения, в качестве заместителя на R5, может быть получено конденсацией соединения, имеющего карбоксильную группу в качестве заместителя на R5, с соединением формулы:

где символы имеют определенное выше значение.
Указанную реакцию можно проводить таким же образом, как (23).
(25) Соединение, содержащее тетразолильную группу в качестве заместителя на R5, может быть получено реакцией соединения, содержащего цианогруппу в качестве заместителя на R5, с азидом щелочного металла в присутствии кислоты в подходящем растворителе.
Азид щелочного металла включает азид натрия, азид лития и т.п.
В качестве кислоты предпочтительной является аммониевая соль галогенированного водорода, включая хлорид аммония.
(26) Соединение, содержащее тетразолильную группу в качестве заместителя на R5, может быть получено алкилированием соединения, имеющего тетразолильную группу в качестве заместителя на R5.
Алкилирование можно проводить таким же образом, как (1).
(27) Соединение, имеющее необязательно замещенную аминогруппу или группу формулы:

где символы имеют определенные выше значения, в качестве заместителя на R5, может быть получено реакцией соединения, имеющего атом галогена или необязательно замещенную алкилсульфонилоксигруппу в качестве заместителя на R5, с соответствующим амином или соединением формулы:

где символы имеют определенное выше значение.
Указанную реакцию можно предпочтительно проводить в присутствии или в отсутствие основания в подходящем растворителе.
(28) Соединение, имеющее необязательно замещенную алкиламиногруппу или группу формулы:

где R13 означает алкильную группу, необязательно замещенную гидроксигруппой, алкоксикарбонильной группой, морфолинильной группой или фенильной группой, и n имеет определенное выше значение, в качестве заместителя на R5, может быть получено реакцией соединения, имеющего аминогруппу или группу формулы:

где символы имеют определенное выше значение, в качестве заместителя на R5, с соответствующим алкилгалогенидом или соответствующим алкиловым эфиром сульфоновой кислоты.
Предпочтительно может быть использован алкиловый эфир сульфоновой кислоты, включая эфир метансульфоновой кислоты, эфир толуолсульфоновой кислоты, эфир трифторметилсульфоновой кислоты и т.п.
Реакцию можно проводить в присутствии или в отсутствие основания в подходящем растворителе.
(29) Соединение, имеющее группу формулы:

где Х1 означает О или NH, и другие символы имеют определенные выше значения, в качестве заместителя на R5, может быть получено замыканием кольца соединения, имеющего группу формулы:
Z3-(CH2)n-X13-CH2-CONH-
где Z3 означает отщепляемую группу и другие символы имеют определенные выше значения, в качестве заместителя на R5.
Реакцию предпочтительно проводят в присутствии или в отсутствие основания в подходящем растворителе.
(30) Соединение, содержащее карбоксильную группу в качестве заместителя на R5, может быть получено гидролизом соединения, имеющего алкоксикарбонильную группу в качестве заместителя на R5.
Гидролиз можно проводить обработкой исходного соединения основанием или кислотой в подходящем растворителе общепринятым образом. В качестве основания может быть предпочтительно использован гидроксид щелочного металла.
(31) Соединение, содержащее карбоксильную группу в качестве заместителя на R5, может быть получено гидролизом соединения, содержащего цианогруппу в качестве заместителя на R5.
Гидролиз можно проводить обработкой исходного соединения кислотой в подходящем растворителе.
(32) Соединение, содержащее карбамоильную группу в качестве заместителя на R5, может быть получено гидролизом соединения, содержащего цианогруппу в качестве заместителя на R5.
Гидролиз можно проводить обработкой исходного соединения кислотой в подходящем растворителе.
(33) Соединение, имеющее карбоксиалкильную группу в качестве заместителя на R5, может быть также получено каталитическим восстановлением соединения, имеющего карбоксиалкенильную группу, бензилоксикарбонилалкенильную группу или бензилоксикарбонилалкильную в качестве заместителя на R5.
Каталитическое восстановление можно проводить таким же образом, как (16).
(34) Соединение, содержащее гидроксигруппу в качестве заместителя на R5, может быть получено гидролизом соединения, имеющего алканоилоксигруппу, в качестве заместителя на R5.
Гидролиз можно проводить таким же образом, как (30).
(35) Соединение, содержащее сульфин (SO) или сульфоксид (SO2) в заместителе на R5, может быть получено окислением соединения, имеющего S в заместителе на R5 (например, соединения, имеющего тиоморфолинильную группу или алкилтиогруппу в качестве заместителя на R5).
Указанное окисление можно проводить обработкой исходного соединения окислителем в подходящем растворителе.
В качестве окислителя могут быть предпочтительно использованы пероксиды, такие как пероксид водорода, м-хлорбензойная кислота, ацетилгидропероксид и т.п.
(36) Соединение, содержащее N-оксид в заместителе на R5, может быть получено окислением соединения, имеющего N в заместителе на R5 (например, соединения, имеющего пиридильную группу в качестве заместителя на R5).
Указанное окисление можно проводить таким же образом, как (35).
(37) Соединение, имеющее 1,2-дигидроксиалкильную группу в качестве заместителя на R5, может быть получено обработкой соединения, имеющего алкильную группу, замещенную моно- или диалкилдиоксоланильной группой, в качестве заместителя на
R5, кислотой в подходящем растворителе.
Сильно кислотная смола может быть также предпочтительно использована в качестве кислоты наряду с описанными выше кислотами.
(38) Соединение, имеющее алкильную группу, замещенную гидроксигруппой, или необязательно замещенную алкоксигруппу в качестве заместителей на R5, может быть получено реакцией соединения, имеющего оксиранилалкильную группу в качестве заместителя на R5, с солью щелочного металла соответствующего спирта в подходящем растворителе.
Соль щелочного металла спирта включает соль лития, соль натрия, соль калия и т.п.
(39) Соединение, имеющее алкильную группу, замещенную гидроксигруппой или аминогруппой, или алкильную группу, замещенную гидроксигруппой и необязательно замещенную моно- или диалкиламиногруппой, в качестве заместителя на R5, может быть получено реакцией соединения, имеющего оксиланилалкильную группу в качестве заместителя на R5, с аммиаком или соответствующим моно- или диалкиламином в подходящем растворителе.
(40) Соединение, имеющее гидроксикарбамимидоильную группу в качестве заместителя на R5, может быть получено реакцией соединения, имеющего цианогруппу в качестве заместителя на R5, с гидроксиламином или его солью в подходящем растворителе.
Указанную реакцию можно проводить в присутствии основания в подходящем растворителе.
(41) Соединение, имеющее оксодигидрооксадиазолильную группу в качестве заместителя на R5, может быть получено реакцией соединения, имеющего гидроксикарбамимидоильную группу в качестве заместителя на R5, с карбонилирующим агентом в подходящем растворителе в присутствии или в отсутствие основания.
Может быть использован такой же карбонилирующий агент, как описано в (20).
(42) Соединение, имеющее сульфогруппу в качестве заместителя на R5, может быть получено гидролизом соединения, имеющего алкоксикарбонилалкилсульфонильную группу в качестве заместителя на R5.
Гидролиз можно проводить таким же образом, как (30).
(43) Соединение, имеющее сульфамоильную группу в качестве заместителя на R5, может быть получено конденсацией соединения, имеющего сульфогруппу в качестве заместителя на R5, с желаемым амином.
Конденсацию можно проводить обработкой соединения, имеющего сульфогруппу в качестве заместителя на R5, галогенирующим агентом в подходящем растворителе, с последующей реакцией полученного соединения с желаемым амином в присутствии или в отсутствие основания.
Может быть использован общепринятый галогенирующий агент, включая тионилгалогенид, оксигалогенид фосфора или т.п.
(44) Соединение, имеющее гидроксиалкильную группу в качестве заместителя на R5, может быть получено восстановлением соединения, имеющего карбоксиалкильную группу в качестве заместителя на R5, или превращением карбоксильной группы в ангидрид или эфир карбоновой кислоты и восстановлением полученного соединения.
Превращение в ангидрид карбоновой кислоты можно осуществлять реакцией исходного соединения с галогенированным алкилформиатом в подходящем растворителе в присутствии основания.
Превращение в эфир можно осуществить реакцией исходного соединения со спиртом в присутствии конденсирующего агента в подходящем растворителе. Указанный способ можно осуществить таким же образом, как (23), за исключением того, что вместо амина используют спирт.
Восстановление можно проводить обработкой полученного соединения восстанавливающим агентом в подходящем растворителе.
В качестве восстанавливающего агента могут быть использованы предпочтительно боргидриды (боргидрид натрия, диборан, комплекс боран-диметилсульфид и т.п.), гидриды алюминия (литийалюминийгидрид, диизобутилалюминийгидрид и т.п.).
(45) Соединение, имеющее гидроксиалкильную группу в качестве заместителя на R5, может быть получено восстановлением соединения, имеющего алкоксикарбонилалкильную группу в качестве заместителя на R5.
Восстановление можно проводить таким же образом, как (44).
(46) Соединение, где R10 является ароматической группой, замещенной цианогруппой, необязательно имеющее один-три гетероатома, независимо выбранных из атома кислорода, атома серы и атома азота (далее называемой ароматической группой ), может быть получено цианированием соединения, где R10 является ароматической группой, замещенной атомом галогена.
Цианирование можно проводить таким же образом, как (6).
(47) Соединение, где R1 является атомом водорода, может быть получено обработкой кислотой или восстановлением соединения, где R1 является трет-бутоксикарбонильной группой или бензилоксикарбонильной группой.
Обработку кислотой можно проводить таким же образом, как (37), и восстановление можно проводить таким же образом, как (33).
(48) Соединение, где R1 необязательно замещена алкоксикарбонильной группой или необязательно замещенной карбамоильной группой, может быть получено реакцией соединения, где R1 является атомом водорода, с карбонилирующим агентом вместе с желаемым спиртом или желаемым амином в подходящем растворителе.
Реакцию можно проводить таким же образом, как (20).
(49) Соединение, имеющее атом иода в качестве заместителя на R5, может быть получено иодированием соединения, имеющего атом брома в качестве заместителя на R5.
Иодирование можно проводить реакцией соответствующего иодида щелочного металла в подходящем растворителе при добавлении медного катализатора, если желательно.
Может быть использован такой же медный катализатор, как описано в (4).
Кроме того, указанная реакция протекает более предпочтительно при добавлении N,N’-диметилэтилендиамина, 1,10-фенантролина, этиленгликоля или т.п.
(50) Соединение, имеющее аминогруппу в качестве заместителя на R5, может быть получено реакцией соединения, имеющего карбоксильную группу в качестве заместителя на R5, в условиях реакции перегруппировки Курциуса.
Реакцию перегруппировки Курциуса можно проводить с использованием общепринятого азидирующего агента (например, дифенилфосфорилазида) в подходящем растворителе в присутствии основания.
Реакция может также проводиться добавлением спирта с получением соединения, имеющего необязательно замещенную алкоксикарбониламиногруппу в качестве заместителя на R5, с последующим удалением алкосикарбонильной группы.
Удаление алкоксикарбонильной группы можно проводить общепринятым образом, таким как обработка кислотой или восстановление, в зависимости от типа подлежащей удалению алкоксикарбонильной группы. Обработку кислотой можно проводить таким же образом, как (37), и восстановление можно проводить таким же образом, как (33).
(51) Соединение, имеющее гидроксигруппу в качестве заместителя на R5, может быть получено каталитическим восстановлением соединения, имеющего бензилоксигруппу в качестве заместителя на R5. Восстановление можно проводить таким же образом, как (33).
(52) Соединение, имеющее оксогруппу в качестве заместителя на R5, может быть получено окислением соединения, имеющего гидроксигруппу в качестве заместителя на R5.
Оксиление можно проводить с использованием окислителя в подходящем растворителе.
В качестве окислителя может быть использован обычный окислитель, такой как комплекс хромат-пиридин, хлорхромат пиридиния, дихромат пиридиния, реагент Десса-Мартина (1,1,1-трис(ацетокси)-1,1-дигидро-1,2-бензиодоксол-3-(1Н)-он), диметилсульфоксид и т.п.
(53) Соединение, содержащее необязательно замещенную алкоксигруппу в качестве заместителя на R5, может быть получено алкилированием соединения, содержащего гидроксигруппу в качестве заместителя на R5.
Алкилирование можно проводить с использованием соответствующего соединения таким же образом, как (1).
(54) Соединение, имеющее необязательно замещенную алканоиламиногруппу в качестве заместителя на R5, может быть получено конденсацией соединения, имеющего аминогруппу в качестве заместителя на R5, с соответствующей карбоновой кислотой или ее реакционноспособным производным.
Конденсация с соответствующей карбоновой кислотой может предпочтительно проводиться в подходящем растворителе в присутствии конденсирующего агента. Указанную реакцию можно проводить таким же образом, как (23).
Кроме того, конденсацию с реакционноспособным производным соответствующей карбоновой кислоты можно проводить в подходящем растворителе или в неразбавленном виде в присутствии или в отсутствие основания.
Реакционноспособное производное включает галогенангидрид кислоты, ангидрид карбоновой кислоты, активированный эфир, активированный амид и т.п.
(55) Соединение, имеющее группу формулы:

где R14 означает алканоильную группу, необязательно замещенную гидроксигруппой или алкоксигруппой и n имеет определенное выше значение, в качестве заместителя на R5, может быть получено конденсацией соединения, имеющего группу формулы:

где символы имеют определенные выше значения, в качестве заместителя на R5, с соответствующей карбоновой кислотой или ее реакционноспособным производным.
Реакцию можно проводить таким же образом, как (54).
(56) Соединение, имеющее малеимидную группу в качестве заместителя на R5, может быть получено реакцией соединения имеющего аминогруппу в качестве заместителя на R5, с малеиновым ангидридом. Реакцию можно проводить в подходящем растворителе.
(57) Соединение, имеющее алкильную группу, замещенную пиридильной группой и гидроксигруппой, в качестве заместителя на R5, может быть получено реакцией соединения, имеющего в качестве заместителя на R5 алкильную группу, замещенную пиридильной группой, атом азота которой окислен трифторуксусным ангидридом. Указанную реакцию проводят в подходящем растворителе.
(58) Соединение, имеющее атом галогена в качестве заместителя на R5, может быть получено обработкой соединения, имеющего гидроксигруппу в качестве заместителя на R5, галогенирующим агентом.
В качестве галогенирующего агента может быть предпочтительно использован общепринятый галогенирующий агент, включая тионилхлорид, оксихлорид фосфора, а также тетрагалогенид углерода (например, тетрахлорид углерода, тетрабромид углерода и т.п.) и фосфины (например, трифенилфосфин, тритолилфосфин, триэтилфосфин и т.п.).
(59) Соединение, имеющее цианоалкильную группу в качестве заместителя на R5, может быть получено восстановлением соединения, имеющего цианоалкенильную группу в качестве заместителя на R5.
Указанное восстановление можно проводить обработкой исходного соединения восстанавливающим агентом или каталитическим восстановлением исходного агента в подходящем растворителе.
Может быть использован любой восстанавливающий агент при условии, что он восстанавливает только двойную связь без воздействия на цианогруппу. Например, предпочтительно может быть использован бис(2-метоксиэтокси)алюминийгидрид натрия в присутствии бромида меди.
Каталитическое восстановление можно проводить таким же образом, как (33).
(60) Соединение, имеющее гидроксиалкильную группу в качестве заместителя на R5, может быть получено восстановлением соединения, имеющего формильную группу в качестве заместителя на R5.
Указанное восстановление можно проводить обработкой исходного соединения восстанавливающим агентом в подходящем растворителе.
Реакцию можно проводить таким же образом, как в способе восстановления в (45).
(61) Соединение, где R6 является гидроксигруппой, может быть получено деметилированием соединения, где R6 является метоксигруппой.
Деметилирование можно проводить обработкой исходного соединения деметилирующим агентом в подходящем растворителе.
В качестве деметилирующего агента может быть использован общепринятый агент, включая триметилсилилиодид, бромид водорода/уксусная кислота, трибромид бора, концентрированная серная кислота и т.п.
(62) Соединение, где R6 необязательно замещена алкоксигруппой, может быть получено алкилированием соединения, где R6 является гидроксигруппой.
Алкилирование можно проводить таким же образом, как (1).
(63) Соединение, где R6 необязательно замещена алккилсульфонилоксигруппой, может быть получено алкилсульфонилированием соединения, где R6 является гидроксигруппой.
Алкилсульфонилирование можно проводить реакцией соответствующего алкилсульфонилгалогенида или соответствующего ангидрида алкилсульфониловой кислоты в подходящем растворителе в присутствии или в отсутствие основания.
(64) Соединение, где R6 является цианогруппой, может быть получено цианированием соединения, где R6 необязательно замещена алкилсульфонилоксигруппой.
(65) Соединение, где R6 является аминоалкильной группой, может быть получено восстановлением соединения, где R6 является цианогруппой.
Восстановление можно проводить таким же образом, как (16).
(66) Соединение, где R6 является алкильной группой, может быть получено алкилированием соединения, где R6 необязательно замещена алкилсульфонилоксигруппой.
Алкилирование можно проводить реакцией алкилалюминия в присутствии палладиевого катализатора, серебряного катализатора и медного катализатора в подходящем растворителе.
Предпочтительно могут быть использованы тетракис(трифенилфосфин)палладий в качестве палладиевого катализатора, карбонат серебра в качестве серебряного катализатора, хлорид меди (I) в качестве медного катализатора.
(67) Соединение, имеющее имидазолинильную группу или оксазолинильную группу в качестве заместителя на R5, может быть получено (i) реакцией соединения, содержащего цианогруппу в качестве заместителя на R5, с желаемым спиртом в присутствии кислоты в подходящем растворителе или в неразбавленном виде с получением соединения, содержащего алкоксикарбомимидоильную группу в качестве заместителя на R5, и (ii) реакцией соединения, содержащего карбомимидоильную группу в качестве заместителя на R5, с 2-аминоэтанолом или этилендиамином в подходящем растворителе или в неразбавленном виде.
(68) Соединение, имеющее карбоксильную группу в качестве заместителя на R1, может быть получено (i) окислением соединения, содержащего гидроксиалкильную группу в качестве заместителя на R1, таким же образом, как (52), с получением соединения, содержащего окогруппу в качестве заместителя на R1, и (ii) окислением соединения, содержащего оксогруппу в качестве заместителя на R1.
Окисление для второй стадии можно проводить с использованием окислителя в подходящем растворителе. В качестве окислителя предпочтительно могут быть использованы хлорит натрия, оксид серебра (I), периодат натрия и т.п.
(69) Соединение, имеющее карбоксильную группу в качестве заместителя на R1, может быть получено непосредственно окислением соединения, содержащего гидроксиалкильную группу в качестве заместителя на R1.
Окисление можно проводить с использованием в качестве окислителя реагента Джонса, перманганата калия и т.п.
(70) Соединение, где R1 является атомом водорода, может быть получено обработкой соединения, где R1 является этоксикарбонильной группой, силилгалогенидами или основанием. Триметилсилилиодид может быть предпочтительно использован в качестве силилгалогенида. В качестве основания предпочтительно может быть использован гидроксид натрия.
(71) Среди соединений (I-A), соединение, где R11 является гидроксильной группой, может быть получено (i) реакцией соединения, где R11 является атомом галогена, с дибораном или бораном с получением соединения, где R11 является эфирами бороновой кислоты, и (ii) реакцией соединения, где R11 является эфирами бороновой кислоты, с пероксидами.
В качестве пероксидов могут быть предпочтительно использованы раствор гидроксида водорода, м-хлорпербензойная кислота или OXONE (изготовляемый DuPont).
В каждом способе получения соединения формулы (I), описанном выше, когда требуется защита функциональной группы, содержащейся в каком-либо соединении, указанную защиту можно выполнить общепринятым способом, когда это необходимо. Общее описание, относящееся к защитным группам и их применению, дается Greene, Protective Groups in Organic Synthesis, John Wiley and Sons, New York, 1991.
Когда аминогруппа защищена бензилоксикарбонильной группой, указанная защитная группа может быть удалена каталитическим восстановлением в атмосфере водорода в подходящем растворителе.
Когда гидроксигруппа защищена бензильной группой, указанная защитная группа может быть удалена каталитическим восстановлением, как описано выше.
Когда аминогруппа защищена трет-бутоксикарбонильной группой, указанная защитная группа может быть удалена обработкой кислотой (например, хлористоводородной кислотой, трифторуксусной кислотой, толуолсульфоновой кислотой и т.п.) в подходящем растворителе.
Когда гидроксигруппа защищена тетрагидропиранильной группой, указанная защитная группа может быть удалена обработкой кислотой, как описано выше.
Реакции (1)-(71) для превращения R1, R5, R6 или R11 могут быть таким же образом применены для превращения другого заместителя данного соединения (I), когда это необходимо.
Исходное соединение (II) является новым соединением и может быть получено конденсацией соединения формулы (V):

где символы имеют определенные выше значения, с соединением формулы (IV):
R5-Z4(IV)
где Z4 означает отщепляемую группу и R5 имеет определенное выше значение.
Отщепляемая группа включает атом галогена, включая атом хлора, атом брома, атом иода, и замещенную сульфонилоксигруппу, включая метансульфонилоксигруппу, трифторметансульфонилоксигруппу и толуолсульфонилоксигруппу.
Указанную реакцию можно проводить в подходящем растворителе (например, 1,4-диоксане, диметилформамиде, 1,2-диметилимидазолидиноне и т.п.) в присутствии или в отсутствие основания (например, диизопропилэтиламина и т.п.) при температуре от комнатной температуры до реакции при нагревании.
Указанную реакцию можно также проводить добавлением палладиевого катализатора (например, трис(дибензилиденацетон)дипалладия), и фосфина [например, трифенилфосфина, трибутилфосфина или 2-(ди-трет-бутилфосфино)бифенила] при комнатной температуре в присутствии основания (например, трет-бутоксида натрия), если желательно.
Соединение (V) является новым соединением и может быть получено в соответствии со следующей схемой:


где R15 означает защитную группу для аминогруппы и другие символы имеют определенные выше значения.
Обычная защитная группа, включая бензилоксикарбонильную группу, может быть использована в качестве защитной группы для аминогруппы. Кроме того, оптически активное соединение (V) может быть получено защитой аминогруппы оптически активной защитной группой для аминогруппы (например, оптически активной -защищенной бензилоксикарбонильной группой, имеющей хиральный центр в положении бензила, такой как -метилбензилоксикарбонильная группа), разделением диастереомеров в способе получения соединения (VI) или соединения (VII) и удалением защитной группы.
Соединение формулы (IX) может быть получено реакцией бензотриазола, соединения формулы (XI) и альдегида формулы (Х) в подходящем растворителе (например, толуоле) при комнатной температуре.
Соединение формулы (VII) может быть получено реакцией соединения формулы (IX) с соединением формулы (VIII) в присутствии кислотного катализатора (например, органической кислоты, включая п-толуолсульфоновую кислоту, уксусную кислоту, метансульфоновую кислоту, или кислоты Льюиса, включая комплекс трифторид бора-диэтиловый эфир, тетрахлорид титана, хлорид алюминия), в подходящем растворителе (например, толуоле, метиленхлориде, тетрагидрофуране и т.п.) при нагревании или при комнатной температуре (например, 0°С-150°С, предпочтительно 25°С-120°С).
Соединение формулы (VI) может быть получено алканоилированием, алкоксикарбонилированием, алкилированием и т.п. соединения формулы (VII), если это необходимо.
Соединение формулы (V) может быть получено удалением защитной группы для аминокислоты соединения формулы (VI). Удаление защитной группы можно проводить общепринятым способом, включая обработку кислотой, обработку основанием, восстановление и т.п., в зависимости от типа защитной группы. При использовании бензилоксикарбонильной группы или -замещенной бензилоксикарбонильной группы они могут быть удалены каталитическим восстановлением в подходящем растворителе (например, этаноле, метаноле, тетрагидрофуране, уксусной кислоте и т.п.) в атмосфере водорода. Удаление защитной группы для аминогруппы соединения формулы (VII) можно проводить таким же образом, как и удаление защитной группы для аминокислоты соединения формулы (VI).
При применении оптически активной защитной группы, такой как -замещенная бензилоксикарбонильная группа, в качестве защитной группы для аминогруппы разделение диастереомеров можно проводить общепринятым способом, таким как перекристаллизация или колоночная хроматография.
Соединение формулы (VII) может быть также получено реакцией соединения формулы (VIII) с соединением формулы (XII):

Указанную реакцию можно проводить таким же образом, как реакцию соединения формулы (VIII) с соединением формулы (IX).
Кроме того, соответствующие заместители R1, R5, R7 и R8 могут быть превращены в желаемые заместители в соответствии с любым из способов (1)-(71).
Соединение формулы (II-A) может быть получено конденсацией соединения формулы (V) с соединением формулы (III):
R10-R4-Z1 (III)
где символы имеют определенные выше значения.
Конденсацию можно проводить таким же образом, как описано в WO00/17165 или в способе 1 выше.
Многие из исходных веществ и реагентов для получения вышеуказанных соединений либо коммерчески доступны, либо описаны в литературных источниках или могут быть легко получены способом, как описано в литературе или используется обычно в органическом синтезе.
Как использовано в настоящем описании, «3,4-дигидро-2Н-нафтиридин» означает такую же структуру, что и «1,2,3,4-тетрагидронафтиридин».
Эксперимент
Ингибирующую активность соединений настоящего изобретения против СЕТР испытывали в этом эксперименте.
Приготовление акцепторной микроэмульсии
Раствор 1-пальмитоил-2-олеоил-sn-глицеро-3-фосфохолина (3,5 мг), холестерилолеата (3 мг) и триолеина (0,7 мг) в хлороформе смешивали и липид сушили на воздухе в атмосфере газообразного азота для удаления растворителя. Затем добавляли диоксан (0,25 мл) и полученную смесь перемешивали для растворения. Полученный липидный раствор (0,2 мл) медленно инъецировали шприцом Hamilton под поверхность буферного раствора Трис-солевой раствор-EDTA (TSE) [10 мМ Трис/HCl (рН 7,4), 0,15М NaCl, 2 мМ EDTA] (10 мл), при обработке ультразвуком на бане со льдом. После 1-часовой обработки ультразвуком на бане со льдом этот раствор хранили при 4°С.
Приготовление донорной микроэмульсии
Раствор фосфатидилхолина (РС) яйца (0,33 мл) и BODIPY-CE (0,62 мг) смешивали в хлороформе. После удаления растворителя сушкой липида на воздухе в атмосфере азота добавляли TSE-буферный раствор (3 мл) и полученный раствор обрабатывали ультразвуком на бане со льдом. Полученный раствор фильтровали для стерилизации через фильтр 0,22 мкм и хранили при 4°С.
Ингибирующая активность против СЕТР in vitro
Тест-раствор готовили с использованием диметилсульфоксида в качестве растворителя. Плазму здорового добровольца разбавляли до 0,64% TSE-буфером и к полученному раствору плазмы (187 мкл) добавляли тест-раствор (3 мкл) только растворителя с последующим инкубированием при 37°С в течение 24 часов. После добавления TSE-буферного раствора (10 мкл), содержащего 5% донорную микроэмульсию и 5% акцепторную микроэмульсию, полученную смесь инкубировали при 37°С в течение 3 часов. До и после инкубирования интенсивность флуоресценции измеряли при длине волны возбуждения (Ex) 550 нм/длине волны испускания (Em) 600 нм. Активность СЕТР определяли как разность между измерениями, полученными до инкубирования и после инкубирования. Скорость уменьшения этой разности в пробе определяли как скорость ингибирования активности СЕТР. IC50 для каждой пробы рассчитывали из скорости ингибирования активности СЕТР.
Результаты

ПРИМЕРЫ
Настоящее изобретение иллюстрируется более подробно примерами, но не должно рассматриваться как ограниченное этими примерами.
В примерах соединения, имеющие структуру формулы:

указывают на то, что их конфигурация является конфигурацией (2R*,4S*). Кроме того, Ме означает метильную группу.
Пример 1
(1) Раствор 5-амино-2-метоксипиридина (10 г) в толуоле (20 мл) добавляют по каплям к суспензии бензотриазола (9,6 г) в толуоле (150 мл). Затем добавляют по каплям раствор пропионового альдегида (6,35 мл) в толуоле (20 мл) при 30°С или ниже и полученную смесь перемешивают при комнатной температуре в течение ночи. Суспензию фильтруют и полученные кристаллы промывают эфиром с получением (1-бензотриазол-1-илпропил)-(6-метоксипиридин-3-ил)амина (19,7 г). Т.пл.: 109,3-110,3°С.
(2) (1-бензотриазол-1-илпропил)-(6-метоксипиридин-3-ил)амин (15 г) и бензиловый эфир N-винилкарбаминовой кислоты (9,4 г) растворяют в толуоле (200 мл), затем добавляют моногидрат п-толуолсульфоновой кислоты (100 мг) и полученную смесь перемешивают при 80°С в течение 4 часов в токе азота. После охлаждения до комнатной температуры реакционный раствор добавляют к смеси насыщенного водного раствора гидрокарбоната натрия и этилацетата. Органический слой промывают насыщенным раствором соли, сушат над сульфатом натрия и концентрируют при пониженном давлении. Полученный раствор очищают колоночной хроматографией (силикагель; гексан:этилацетат=8:1 4:1) с получением бензилового эфира (2R*,4S*)-(2-этил-6-метокси-1,2,3,4-тетрагидро[1,5]нафтиридин-4-ил)карбаминовой кислоты (14,31 г). MC (m/z): 342 [М+Н]+.
(3) Бензиловый эфир (2R*,4S*)-(2-этил-6-метокси-1,2,3,4-тетрагидро[1,5]нафтиридин-4-ил)карбаминовой кислоты (5,1 г) и пиридин (18 мл) растворяют в метиленхлориде (150 мл), затем добавляют по каплям этилхлорформиат (14,3 мл) при охлаждении на льду и смесь перемешивают при той же температуре в течение 30 минут. К реакционному раствору добавляют водный раствор лимонной кислоты. Органический слой промывают насыщенным раствором соли, сушат над сульфатом натрия и концентрируют при пониженном давлении. Полученный остаток очищают колоночной хроматографией (силикагель; гексан:этилацетат=4:1 2:1) с получением этилового эфира (2R*,4S*)-4-бензилоксикарбониламино-2-этил-6-метокси-3,4-дигидро-2Н-[1,5]нафтиридин-1-карбоновой кислоты (5,58 г). MC (m/z): 414 [М+Н]+.
(4) Этиловый эфир (2R*,4S*)-4-бензилоксикарбониламино-2-этил-6-метокси-3,4-дигидро-2Н-[1,5]нафтиридин-1-карбоновой кислоты (5,5 г) и формиат аммония (2,09 г) растворяют в метаноле (50 мл), добавляют 10% палладий на угле (550 мг) в токе азота и полученную смесь перемешивают при 40°С в течение 30 минут. Катализатор удаляют фильтрованием и затем фильтрат концентрируют при пониженном давлении. К остатку добавляют насыщенный водный раствор гидрокарбоната натрия и метиленхлорид. Органический слой промывают насыщенным раствором соли, сушат над сульфатом натрия и концентрируют при пониженном давлении. Полученный остаток очищают колоночной хроматографией (силикагель; хлороформ:метанол=90:1 20:1) с получением этилового эфира (2R*,4S*)-4-амино-2-этил-6-метокси-3,4-дигидро-2Н-[1,5]нафтиридин-1-карбоновой кислоты (3,88 г) MC (m/z): 280 [М+Н]+.
5) Этиловый эфир (2R*,4S*)-4-амино-2-этил-6-метокси-3,4-дигидро-2Н-[1,5]нафтиридин-1-карбоновой кислоты (2 г) и 5-бром-2-хлорпиримидин (3,46 г) растворяют в N,N-диметилформамиде (20 мл) и полученную смесь нагревают до 150°С и перемешивают в течение 5 часов. После охлаждения до комнатной температуры к реакционному раствору добавляют насыщенный водный раствор гидрокарбоната натрия и этилацетат. Органический слой промывают насыщенным раствором соли, сушат над сульфатом натрия и концентрируют при пониженном давлении. Полученный остаток очищают колоночной хроматографией (силикагель; гексан:этилацетат=19:1 7:3) с получением этилового эфира (2R*,4S*)-4-(5-бромпиримидин-2-ил)амино-2-этил-6-метокси-3,4-дигидро-2Н-[1,5]нафтиридин-1-карбоновой кислоты (1,08 г). МС (m/z): 436/438 (М+Н+).
(6) Этиловый эфир (2R*,4S*)-4-(5-бромпиримидин-2-ил)амино-2-этил-6-метокси-3,4-дигидро-2Н-[1,5]нафтиридин-1-карбоновой кислоты (150 мг) растворяют в N,N-диметилформамиде, затем к раствору добавляют гидрид натрия (17 мг, 62,7%) при комнатной температуре и полученную смесь перемешивают в течение 10 минут. После добавления 3,5-бис(трифторметил)бензилбромида (158 мг) полученную смесь перемешивают при комнатной температуре в течение 10 минут. К реакционной смеси добавляют воду и этилацетат. Органический слой промывают насыщенным раствором соли, сушат над сульфатом магния и концентрируют при пониженном давлении. Полученный остаток очищают колоночной хроматографией (силикагель; гексан:этилацетат=49:1 3:1) с получением этилового эфира (2R*,4S*)-4-{[3,5-бис(трифторметил)бензил]-(5-бромпиридин-2-ил)}амино-2-этил-6-метокси-3,4-дигидро-2Н-[1,5]нафтиридин-1-карбоновой кислоты (190 мг). MC (m/z): 622/664 [М+Н]+.
Пример 2
(1) (S)-1-фенилэтиловый спирт (16,1 г) и пиридин (10,7 мл) растворяют в хлороформе (100 мл) и к полученному раствору добавляют раствор (100 мл) п-нитрофенилхлорформиата (26,6 г) в хлороформе. Реакционный раствор перемешивают при комнатной температуре в течение 1 часа. Реакционный раствор концентрируют при пониженном давлении и полученный остаток очищают колоночной хроматографией (силикагель; гексан:этилацетат=85:15 70:30) с получением п-нитрофенил-(S)-1-фенилэтилкарбоната (35,6 г).
(2) Этиловый эфир (2R*,4S*)-4-амино-2-этил-6-метокси-3,4-дигидро-2Н-[1,5]нафтиридин-1-карбоновой кислоты (34,3 г), п-нитрофенил-(S)-1-фенилэтилкарбонат (35,3 г) и триэтиламин (17,1 мл) растворяют в ацетонитриле (250 мл) и полученную смесь кипятят с обратным холодильником в течение 3 часов. Реакционный раствор распределяют между этилацетатом и насыщенным водным раствором гидрокарбоната натрия. Органический слой промывают насыщенным раствором соли, сушат над сульфатом магния и концентрируют при пониженном давлении. Полученный остаток очищают колоночной хроматографией (силикагель; хлороформ:гексан:этилацетат=10:10:1) с получением этилового эфира (2R*,4S*)-2-этил-6-метокси-4-[(S)-1-фенилэтоксикарбониламино]-3,4-дигидро-2Н-[1,5]нафтиридин-1-карбоновой кислоты (44,0 г). MC (m/z): 428 [М+Н]+.
(3) Этиловый эфир (2R*,4S*)-2-этил-6-метокси-4-[(S)-1-фенилэтоксикарбониламино]-3,4-дигидро-2Н-[1,5]нафтиридин-1-карбоновой кислоты (44,0 г) перекристаллизовывают из гексана (100 мл) с получением этилового эфира (2R,4S)-2-этил-6-метокси-4-[(S)-1-фенилэтоксикарбониламино]-3,4-дигидро-2Н-[1,5]нафтиридин-1-карбоновой кислоты (13,83 г). MC (m/z): 428 [М+Н]+.
(4) 10% палладий на угле (2,0 г) добавляют к раствору этилового эфира (2R,4S)-2-этил-6-метокси-4-[(S)-1-фенилэтоксикарбониламино]-3,4-дигидро-2Н-[1,5]нафтиридин-1-карбоновой кислоты (8,49 г) в этаноле и перемешивают при пониженном давлении в течение 4 часов. Палладий на угле удаляют фильтрованием и фильтрат концентрируют при пониженном давлении с получением этилового эфира (2R,4S)-4-амино-2-этил-6-метокси-3,4-дигидро-2Н-[1,5]нафтиридин-1-карбоновой кислоты (5,56 г). MC (m/z): 280 [М+Н]+.
(5) Этиловый эфир (2R,4S)-4-амино-2-этил-6-метокси-3,4-дигидро-2Н-[1,5]нафтиридин-1-карбоновой кислоты (5,49 г) и 5-бром-2-хлорпиримидин (9,5 г) растворяют в 1,4-диоксане (100 мл), затем к раствору добавляют N,N-диизопропилэтиламин (8,55 мл) и полученную смесь кипятят с обратным холодильником в течение 5 часов. Реакционный раствор концентрируют при пониженном давлении и остаток очищают колоночной хроматографией (силикагель; гексан:этилацетат=95:5 80:20) с получением этилового эфира (2R,4S)-2-этил-6-метокси-4-(5-бромпиримидин-2-ил)амино-3,4-дигидро-2Н-[1,5]нафтиридин-1-карбоновой кислоты (8,29 г). MC (m/z): 436/438 [М+Н]+.
(6) Этиловый эфир (2R,4S)-2-этил-6-метокси-4-(5-бромпиримидин-2-ил)амино-3,4-дигидро-2Н-[1,5]нафтиридин-1-карбоновой кислоты (8,20 г) растворяют в N,N-диметилформамиде (75 мл), затем к раствору добавляют гидрид натрия
(62,7%, 942 мг) при охлаждении на льду и полученную смесь перемешивают в течение 30 минут. После добавления 3,5-бис(трифторметил)бензилбромида (8,7 г) полученную смесь перемешивают в течение 30 минут. К реакционному раствору добавляют воду и этилацетат. Органический слой промывают насыщенным раствором соли, сушат над сульфатом магния и концентрируют при пониженном давлении (силикагель; гексан:этилацетат=95:5 80:20) с получением этилового эфира (2R,4S)-4-{[3,5-бис(трифторметил)бензил]-(5-бромпиридин-2-ил)}амино-2-этил-6-метокси-3,4-дигидро-2Н-[1,5]нафтиридин-1-карбоновой кислоты (8,01 г). MC (m/z): 662/664 [М+Н]+.
Пример 3
(1) (S)-1-фенилэтиловый эфир (2R,4S)-(2-этил-6-метокси-1,2,3,4-тетрагидро[1,5]нафтиридин-4-ил)карбаминовой кислоты (840 мг) и пиридин (0,956 мл) растворяют в метиленхлориде (5 мл). После добавления по каплям раствора (5 мл) этилхлорформиата (1,13 мл) в метиленхлориде при охлаждении на льду полученную смесь перемешивают при комнатной температуре в течение одного часа. Реакционный раствор промывают 1н. водным раствором гидроксида натрия, 1н. хлористоводородной кислотой и насыщенным раствором соли, сушат над сульфатом магния и концентрируют при пониженном давлении. Полученный остаток очищают колоночной хроматографией (силикагель; гексан:этилацетат=90:1 60:40) с получением этилового эфира (2R,4S)-2-этил-6-метокси-4-[(S)-1-фенилэтоксикарбониламино]-3,4-дигидро-2Н-[1,5]нафтиридин-1-карбоновой кислоты (1,00 г). MC (m/z): 428 [М+Н]+.
(2) 10% палладий на угле (100 мг) добавляют к раствору (10 мл) этилового эфира (2R,4S)-2-этил-6-метокси-4-[(S)-1-фенилэтоксикарбониламино]-3,4-дигидро-2Н-[1,5]нафтиридин-1-карбоновой кислоты (1,00 г) в этаноле и смесь перемешивают в течение 3 часов в атмосфере водорода. Палладий на угле удаляют фильтрованием и фильтрат концентрируют при пониженном давлении с получением этилового эфира (2R,4S)-4-амино-2-этил-6-метокси-3,4-дигидро-2Н-[1,5]нафтиридин-1-карбоновой кислоты (619 мг). MC (m/z): 280 [М+Н]+.
(3) Этиловый эфир (2R,4S)-4-амино-2-этил-6-метокси-3,4-дигидро-2Н-[1,5]нафтиридин-1-карбоновой кислоты и 5-бром-2-хлорпиримидин (1,06 г) растворяют в 1,4-диоксане (5 мл), затем к раствору добавляют N,N-диизопропилэтиламин (0,951 мл) и полученную смесь кипятят с обратным холодильником в течение ночи. Реакционный раствор концентрируют при пониженном давлении и остаток очищают колоночной хроматографией (силикагель; гексан:этилацетат=95:5 80:20) с получением этилового эфира (2R,4S)-2-этил-6-метокси-4-(5-бромпиримидин-2-ил)амино-3,4-дигидро-2Н-[1,5]нафтиридин-1-карбоновой кислоты (853 мг). MC (m/z): 436 [М+Н]+.
(4) Этиловый эфир (2R,4S)-2-этил-6-метокси-4-(5-бромпиримидин-2-ил)амино-3,4-дигидро-2Н-[1,5]нафтиридин-1-карбоновой кислоты (735 мг) растворяют в N,N-диметилформамиде (5 мл), добавляют гидрид натрия (62,7%, 84 мг) при охлаждении на льду и смесь перемешивают в течение 30 минут. После добавления 3,5-бис(трифторметил)бензилбромида (0,463 мл) смесь перемешивают при комнатной температуре в течение 30 минут. К реакционному раствору добавляют воду и этилацетат. Органический слой промывают насыщенным раствором соли, сушат над сульфатом магния и концентрируют при пониженном давлении. Полученный остаток очищают колоночной хроматографией (силикагель; гексан:этилацетат=95:5 75:25) с получением этилового эфира (2R,4S)-4-{[3,5-бис(трифторметил)бензил]-(5-бромпиримидин-2-ил)}амино-2-этил-6-метокси-3,4-дигидро-2Н-[1,5]нафтиридин-1-карбоновой кислоты (950 мг). MC (m/z): 662 [М+Н]+.
Пример 4
Этиловый эфир (2R*,4S*)-4-{[3,5-бис(трифторметил)бензил]-(5-бромпиридин-2-ил)}амино-2-этил-6-метокси-3,4-дигидро-2Н-[1,5]нафтиридин-1-карбоновой кислоты (8,38 г) растворяют в 1,4-диоксане (36 мл), затем к раствору добавляют иодид натрия (11,4 г), иодид меди (360 мг) и N,N’-диметилэтилендиамин (420 мкл) и смесь перемешивают при 105°С в течение 24 часов в токе азота. После остывания до комнатной температуры к реакционной смеси добавляют воду с последующей экстракцией этилацетатом два раза. Органический слой промывают насыщенным раствором соли, сушат над сульфатом магния, затем добавляют небольшое количество NH-силикагеля и фильтруют. Фильтрат концентрируют при пониженном давлении. К полученному остатку добавляют изопропиловый эфир и этилацетат и осажденное твердое вещество выделяют фильтрованием с получением этилового эфира (2R*,4S*)-4-{[3,5-бис(трифторметил)бензил]-(5-иодпиримидин-2-ил)}амино-2-этил-6-метокси-3,4-дигидро-2Н-[1,5]нафтиридин-1-карбоновой кислоты (7,23 г). MC (m/z): 710 [М+Н]+.
Пример 5

Соответствующие исходные соединения обрабатывают аналогично примеру 4 с получением вышеуказанного соединения. MC (m/z): 710 [М+Н]+.
Пример 6
Этиловый эфир (2R,4S)-4-{[3,5-бис(трифторметил)бензил]-(5-бромпиримидин-2-ил)}амино-2-этил-6-метокси-3,4-дигидро-2Н-[1,5]нафтиридин-1-карбоновой кислоты (6 г) растворяют в N,N-диметилформамиде (20 мл) и к раствору добавляют ацетат палладия (200 мг), 1,1′-бис(дифенилфосфино)ферроцен (1 г), бензиловый спирт (18,6 мл) и триэтиламин (12,6 мл). Полученную смесь барботируют монооксидом углерода при комнатной температуре в течение 5 минут, нагревают до 90°С и перемешивают в атмосфере монооксида углерода в течение ночи. Реакционный раствор охлаждают до комнатной температуры, затем добавляют насыщенный водный раствор гидрокарбоната натрия и экстрагируют этилацетатом. Органический слой промывают насыщенным раствором соли, сушат над сульфатом магния и концентрируют при пониженном давлении. Полученный остаток очищают колоночной хроматографией (силикагель; гексан:этилацетат=8:1, затем NH-силикагель; гексан:этилацетат=10:1) с получением этилового эфира (2R*,4S*)-4-{(5-бензилоксикарбонилпиримидин-2-ил)-[3,5-бис(трифторметил)бензил]}амино-2-этил-6-метокси-3,4-дигидро-2Н-[1,5]нафтиридин-1-карбоновой кислоты (5,64 г). MC (m/z): 718 [М+Н]+.
Пример 7
Этиловый эфир (2R*,4S*)-4-{(5-бензилоксикарбонилпиримидин-2-ил)-[3,5-бис(трифторметил)бензил]}амино-2-этил-6-метокси-3,4-дигидро-2Н-[1,5]нафтиридин-1-карбоновой кислоты (752 мг) растворяют в смешанном растворе тетрагидрофурана (18 мл) и метанола (6 мл), затем к раствору добавляют 10% палладий на угле (300 мг) и полученную смесь перемешивают при комнатной температуре в течение 4 часов и 30 минут в атмосфере водорода. Реакционный раствор фильтруют и концентрируют при пониженном давлении с получением этилового эфира (2R*,4S*)-4-{[3,5-бис(трифторметил)бензил]-(5-карбоксипиримидин-2-ил)}амино-2-этил-6-метокси-3,4-дигидро-2Н-[1,5]нафтиридин-1-карбоновой кислоты (564 мг). MC (m/z): 342 [М+Н]+.
Пример 8
Этиловый эфир (2R*,4S*)-4-{[3,5-бис(трифторметил)бензил]-(5-карбоксипиримидин-2-ил)}амино-2-этил-6-метокси-3,4-дигидро-2Н-[1,5]нафтиридин-1-карбоновой кислоты (150 мг) растворяют в N,N-диметилформамиде (4 мл) и к раствору добавляют морфолин (0,03 мл) и 1-гидроксибензотриазол (50 мг) при комнатной температуре. К полученной смеси добавляют моногидрохлорид 1-(3-диметиламинопропил)-3-этилкарбодимида при охлаждении на льду, добавляют по каплям триэтиламин (0,04 мл) и экстрагируют этилацетатом. Органический слой промывают насыщенным раствором соли, сушат над сульфатом магния и концентрируют при пониженном давлении. Полученный остаток очищают колоночной хроматографией (силикагель; гексан:этилацетат=4:1 1:1) с получением этилового эфира (2R*,4S*)-4-{[3,5-бис(трифторметил)бензил]-[5-(морфолин-4-карбонил)пиримидин-2-ил]}амино-2-этил-6-метокси-3,4-дигидро-2Н-[1,5]нафтиридин-1-карбоновой кислоты (142 мг). MC (m/z): 697 [М+Н]+.
Примеры 9-13
Соответствующие исходные соединения обрабатывают аналогично примеру 8 с получением соединений, перечисленных в таблице 1.

Пример 14
(1) Этиловый эфир (2R*,4S*)-4-{[3,5-бис(трифторметил)бензил]-(5-карбоксипиримидин-2-ил)}амино-2-этил-6-метокси-3,4-дигидро-2Н-[1,5]нафтиридин-1-карбоновой кислоты (3 г) растворяют в толуоле (100 мл), затем к раствору добавляют триэтиламин (2 мл), дифенилфосфорилазид (1,5 мл) и бензиловый спирт (0,5 мл) при комнатной температуре, полученную смесь нагревают до 90°С и перемешивают в течение 4 часов. Реакционный раствор охлаждают до комнатной температуры, затем добавляют насыщенный водный раствор гидрокарбоната натрия и экстрагируют этилацетатом. Органический слой промывают насыщенным раствором соли, сушат над сульфатом магния и концентрируют при пониженном давлении. Полученный остаток очищают колоночной хроматографией (NH-силикагель; гексан:этилацетат=17:3 7:3) с получением этилового эфира (2R*,4S*)-4-{(5-бензилоксикарбониламинопиримидин-2-ил)-[3,5-бис(трифторметил)бензил]}амино-2-этил-6-метокси-3,4-дигидро-2Н-[1,5]нафтиридин-1-карбоновой кислоты (2,27 г). MC (m/z): 733 [М+Н]+.
(2) Этиловый эфир (2R*,4S*)-4-{(5-бензилоксикарбонилпиримидин-2-ил)-[3,5-бис(трифторметил)бензил]}амино-2-этил-6-метокси-3,4-дигидро-2Н-[1,5]нафтиридин-1-карбоновой кислоты (2,27 г) растворяют в смешанном растворе тетрагидрофурана (60 мл). После добавления метанола (40 мл), 10% палладия на угле (400 мг) полученную смесь перемешивают при комнатной температуре в атмосфере водорода в течение 3 часов. Реакционный раствор фильтруют и концентрируют при пониженном давлении. Полученный остаток очищают колоночной хроматографией (силикагель; гексан:этилацетат=4:1 3:2) с получением этилового эфира (2R*,4S*)-4-{(5-аминопиримидин-2-ил)-[3,5-бис(трифторметил)бензил]}амино-2-этил-6-метокси-3,4-дигидро-2Н-[1,5]нафтиридин-1-карбоновой кислоты (1,46 г). MC (m/z): 599 [М+Н]+.
Пример 15
Этиловый эфир (2R*,4S*)-4-{[3,5-бис(трифторметил)бензил]-(5-бромпиримидин-2-ил)}амино-2-этил-6-метокси-3,4-дигидро-2Н-[1,5]нафтиридин-1-карбоновой кислоты (250 мг) растворяют в толуоле (2 мл) и к раствору добавляют трис(дибензилиденацетон)дипалладий (6,9 мг), трет-бутоксид натрия (54,8 мг), 2-(ди-трет-бутилфосфино)бифенил (9,0 мг) и пирролидин (47 мкл). Полученную смесь перемешивают при комнатной температуре в течение 45 минут в токе азота, затем нагревают до 80°С и перемешивают в течение 18 часов. После охлаждения до комнатной температуры к реакционному раствору добавляют эфир. Смесь фильтруют и фильтрат концентрируют при пониженном давлении. Полученный остаток очищают колоночной хроматографией (силикагель; гексан:этилацетат=9:1 7:3) с получением этилового эфира (2R*,4S*)-4-{[3,5-бис(трифторметил)бензил]-[5-(пирролидин-1-ил)пиримидин-2-ил]}амино-2-этил-6-метокси-3,4-дигидро-2Н-[1,5]нафтиридин-1-карбоновой кислоты (158,5 мг). MC (m/z): 653 [М+Н]+.
Примеры 16-30
Соответствующие исходные соединения обрабатывают аналогично примеру 15 с получением соединений, перечисленных в таблице 2.


Пример 31
Этиловый эфир (2R,4S)-4-{[3,5-бис(трифторметил)бензил]-[5-(морфолин-4-ил)пиримидин-2-ил]}амино-2-этил-6-метокси-3,4-дигидро-2Н-[1,5]нафтиридин-1-карбоновой кислоты (120 мг) растворяют в этилацетате (1 мл) и к раствору добавляют 4н. HCl/этилацетат (0,09 мл). Растворитель концентрируют при пониженном давлении, добавляют эфир и гексан и осажденный порошок отфильтровывают с получением гидрохлорида этилового эфира (2R,4S)-4-{[3,5-бис(трифторметил)бензил]-[5-(морфолин-4-ил)пиримидин-2-ил]}амино-2-этил-6-метокси-3,4-дигидро-2Н-[1,5]нафтиридин-1-карбоновой кислоты (112 мг). MC (m/z): 669 [М+Н]+.
Пример 32
Этиловый эфир (2R*,4S*)-4-{[3,5-бис(трифторметил)бензил]-(5-иодпиримидин-2-ил)}амино-2-этил-6-метокси-3,4-дигидро-2Н-[1,5]нафтиридин-1-карбоновой кислоты (200 мг) растворяют в изопропаноле (1 мл), затем к раствору добавляют иодид меди (2,7 мг), этиленгликоль (31 мкл), фосфат калия (119 мг) и 2-метиламиноэтанол (20 мкл), полученную смесь нагревают до 80°С в токе азота и перемешивают в течение 20 часов. После добавления дистиллированной воды смесь экстрагируют эфиром. Органический слой промывают насыщенным раствором соли, сушат над сульфатом магния и концентрируют при пониженном давлении. Полученный остаток очищают колоночной хроматографией (силикагель; гексан:этилацетат=9:1 3:7) с получением этилового эфира (2R*,4S*)-4-([3,5-бис(трифторметил)бензил]-{5-[метил-(2-гидроксиэтил)]аминопиримидин-2-ил})амино-2-этил-6-метокси-3,4-дигидро-2Н-[1,5]нафтиридин-1-карбоновой кислоты (58,2 мг). MC (m/z): 657 [М+Н]+.
Примеры 33 и 34
Соответствующие исходные соединения обрабатывают аналогично примеру 32 с получением соединений, перечисленных в таблице 3.

Пример 35
Этиловый эфир (2R*,4S*)-4-{[3,5-бис(трифторметил)бензил]-(5-бромпиримидин-2-ил)}амино-2-этил-6-метокси-3,4-дигидро-2Н-[1,5]нафтиридин-1-карбоновой кислоты (500 мг) растворяют в толуоле (2 мл) и к раствору добавляют иодид меди (7,2 мг), 2-фенилфенол (25,5 мг), фосфат калия (318,4 мг) и (±)-пиперидин-3-илметанол (172,8 мг). Смесь нагревают до 80°С в токе азота и перемешивают в течение 5 дней. После добавления дистиллированной воды смесь экстрагируют эфиром. Органический слой промывают насыщенным раствором соли, сушат над сульфатом магния и концентрируют при пониженном давлении. Полученный остаток очищают колоночной хроматографией (NH-силикагель; гексан:этилацетат=9:1 4:1) с получением этилового эфира (2R*,4S*)-4-{[3,5-бис(трифторметил)бензил]-[5-(3-гидроксиметилпиперидин-1-ил)пиримидин-2-ил]}амино-2-этил-6-метокси-3,4-дигидро-2Н-[1,5]нафтиридин-1-карбоновой кислоты (22,8 мг). MC (m/z): 697 [М+Н]+.
Пример 36
К раствору этилового эфира (2R*,4S*)-4-{[3,5-бис(трифторметил)бензил]-[5-(4-этоксикарбонилпиперидин-1-ил)пиримидин-2-ил]}амино-2-этил-6-метокси-3,4-дигидро-2Н-[1,5]нафтиридин-1-карбоновой кислоты (245 мг) в этаноле (2 мл) добавляют водный раствор 2н. гидроксида натрия (0,332 мл) и полученную смесь кипятят с обратным холодильником при 50°С в течение 1 часа. Реакционный раствор разбавляют этилацетатом и подкисляют 1н. хлористоводородной кислотой. Органический слой промывают насыщенным раствором соли, сушат над сульфатом магния и концентрируют при пониженном давлении. Полученный остаток очищают колоночной хроматографией (силикагель; хлороформ: хлороформ:метанол=90:10) с получением этилового эфира (2R*,4S*)-4-{[3,5-бис(трифторметил)бензил]-[5-(4-карбоксипиперидин-1-ил)пиримидин-2-ил]}амино-2-этил-6-метокси-3,4-дигидро-2Н-[1,5]нафтиридин-1-карбоновой кислоты (210 мг). MC (m/z): 711 [М+Н]+.
Пример 37

Соответствующие исходные соединения обрабатывают аналогично примеру 36 с получением вышеуказанного соединения. MC (m/z): 711 [М+Н]+.
Пример 38
К раствору (1,5 мл) этилового эфира (2R*,4S*)-4-{[3,5-бис(трифторметил)бензил]-[5-(4-этоксикарбонилпиперидин-1-ил)пиримидин-2-ил]}амино-2-этил-6-метокси-3,4-дигидро-2Н-[1,5]нафтиридин-1-карбоновой кислоты (120 мг) в тетрагидрофуране добавляют диизобутилалюминийгидрид (1М раствор в толуоле, 0,486 мл) при охлаждении на льду и смесь перемешивают в течение 1 часа. К реакционному раствору добавляют насыщенный водный раствор хлорида аммония и экстрагируют этилацетатом. Органический слой промывают насыщенным раствором соли, сушат над сульфатом магния и концентрируют при пониженном давлении. Полученный остаток очищают колоночной хроматографией (NH-силикагель; гексан:этилацетат=80:20 70:30) с получением этилового эфира (2R*,4S*)-4-{[3,5-бис(трифторметил)бензил]-[5-(4-гидроксиметилпиперидин-1-ил)пиримидин-2-ил]}амино-2-этил-6-метокси-3,4-дигидро-2Н-[1,5]нафтиридин-1-карбоновой кислоты (110 мг). MC (m/z): 697 [М+Н]+.
Пример 39
К раствору этилового эфира (2R*,4S*)-4-{[5-(4-бензилоксипиперидин-1-ил)пиримидин-2-ил]-[3,5-бис(трифторметил)бензил]}амино-2-этил-6-метокси-3,4-дигидро-2Н-[1,5]нафтиридин-1-карбоновой кислоты (700 мг) в этаноле (10 мл) добавляют 10% палладий на угле (100 мг) и полученную смесь перемешивают в атмосфере водорода в течение ночи. Палладий на угле удаляют фильтрованием и фильтрат концентрируют при пониженном давлении. Полученный остаток очищают колоночной хроматографией (NH-силикагель; гексан:этилацетат=80:20 0:50) с получением этилового эфира (2R*,4S*)-4-{[3,5-бис(трифторметил)бензил]-[5-(4-гидроксипиперидин-1-ил)пиримидин-2-ил]}амино-2-этил-6-метокси-3,4-дигидро-2Н-[1,5]нафтиридин-1-карбоновой кислоты (313 мг). MC (m/z): 683 [М+Н]+.
Пример 40

Соответствующие исходные соединения обрабатывают аналогично примеру 39 с получением вышеуказанного соединения. MC (m/z): 683 [М+Н]+.
Пример 41
К раствору (1 мл) этилового эфира (2R*,4S*)-4-{[3,5-бис(трифторметил)бензил]-[5-(4-гидроксипиперидин-1-ил)пиримидин-2-ил]}амино-2-этил-6-метокси-3,4-дигидро-2Н-[1,5]нафтиридин-1-карбоновой кислоты (100 мг) добавляют 1,1,1-трис(ацетокси)-1,1-дигидро-1,2-бензиодооксол-3-(1Н)-он (74 мг) и полученную смесь перемешивают при комнатной температуре в течение 3 часов. Реакционный раствор концентрируют при пониженном давлении и полученный остаток очищают колоночной хроматографией (силикагель; гексан:этилацетат=90:10 60:40) с получением этилового эфира (2R*,4S*)-4-{[3,5-бис(трифторметил)бензил]-[5-(4-оксопиперидин-1-ил)пиримидин-2-ил]}амино-2-этил-6-метокси-3,4-дигидро-2Н-[1,5]нафтиридин-1-карбоновой кислоты (51 мг). MC (m/z): 681 [М+Н]+.
Пример 42
К раствору (2 мл) этилового эфира (2R*,4S*)-4-{[3,5-бис(трифторметил)бензил]-[5-(4-гидроксипиперидин-1-ил)пиримидин-2-ил]}амино-2-этил-6-метокси-3,4-дигидро-2Н-[1,5]нафтиридин-1-карбоновой кислоты (140 мг) в N,N-диметилформамиде добавляют гидрид натрия (62,7%, 9,4 мг) и полученную смесь перемешивают при комнатной температуре в течение 10 минут. Добавляют метилиодид (0,019 мл) и смесь перемешивают при комнатной температуре в течение 2 часов. Добавляют воду и этилацетат, органический слой промывают насыщенным раствором соли, сушат над сульфатом магния и концентрируют при пониженном давлении. Полученный остаток очищают колоночной хроматографией (силикагель; гексан:этилацетат=90:10 60:40) с получением этилового эфира (2R*,4S*)-4-{[3,5-бис(трифторметил)бензил]-[5-(4-метоксипиперидин-1-ил)пиримидин-2-ил]}амино-2-этил-6-метокси-3,4-дигидро-2Н-[1,5]нафтиридин-1-карбоновой кислоты (71 мг). MC (m/z): 697 [М+Н]+.
Примеры 43-47
Соответствующие исходные соединения обрабатывают аналогично примеру 15 с получением соединений, перечисленных в таблице 4.

Пример 48
Этиловый эфир (2R*,4S*)-4-{[5-(4-бензилоксикарбонилпиперазин-1-ил)пиримидин-2-ил]-[3,5-бис(трифторметил)бензил]}амино-2-этил-6-метокси-3,4-дигидро-2Н-[1,5]нафтиридин-1-карбоновой кислоты (938 мг) растворяют в смешанном растворителе тетрагидрофуран:метанол (1:1) (6 мл), затем добавляют 10% палладий на угле (300 мг) и полученную смесь перемешивают при комнатной температуре в токе азота в течение 13 часов. Катализатор удаляют фильтрованием и фильтрат концентрируют. Полученный остаток очищают колоночной хроматографией (силикагель; хлороформ:метанол=10:0 9:1) с получением этилового эфира (2R*,4S*)-4-{[3,5-бис(трифторметил)бензил]-[5-(пиперазин-1-ил)пиримидин-2-ил]}амино-2-этил-6-метокси-3,4-дигидро-2Н-[1,5]нафтиридин-1-карбоновой кислоты (786 мг). MC (m/z): 668 [М+Н]+.
Пример 49

Соответствующие исходные соединения обрабатывают аналогично примеру 48 с получением вышеуказанного соединения. MC (m/z): 668 [М+Н]+.
Пример 50
Этиловый эфир (2R*,4S*)-4-{[3,5-бис(трифторметил)бензил]-[5-(пиперазин-1-ил)пиримидин-2-ил]}амино-2-этил-6-метокси-3,4-дигидро-2Н-[1,5]нафтиридин-1-карбоновой кислоты (110 мг) растворяют в метиленхлориде (1 мл), затем к раствору добавляют триэтиламин (0,1 мл) и ацетилхлорид (19 мкл) и полученную смесь перемешивают при комнатной температуре в токе азота в течение 2 часов. После добавления дистиллированной воды смесь экстрагируют этилацетатом. Органический слой промывают насыщенным раствором соли, сушат над сульфатом магния и концентрируют при пониженном давлении. Полученный остаток очищают колоночной хроматографией (силикагель; хлороформ:метанол=9:1) с получением этилового эфира (2R*,4S*)-4-{[5-(4-ацетилпиперазин-1-ил)пиримидин-2-ил]-[3,5-бис(трифторметил)бензил]}амино-2-этил-6-метокси-3,4-дигидро-2Н-[1,5]нафтиридин-1-карбоновой кислоты (103,6 мг) MC (m/z): 710 [М+Н]+.
Примеры 51-55
Соответствующие исходные соединения обрабатывают аналогично примеру 50 с получением соединений, перечисленных в таблице 5.

Пример 56
Этиловый эфир (2R*,4S*)-4-{[3,5-бис(трифторметил)бензил]-[5-(пиперазин-1-ил)пиримидин-2-ил]}амино-2-этил-6-метокси-3,4-дигидро-2Н-[1,5]нафтиридин-1-карбоновой кислоты (150 мг) растворяют в N,N-диметилформамиде (1 мл), затем к раствору добавляют 2-иодэтанол (26 мкл) и избыток карбоната калия, полученную смесь нагревают до 50°С в токе азота и перемешивают в течение 5 часов. После добавления дистиллированной воды смесь экстрагируют этилацетатом. Органический слой промывают насыщенным раствором соли, сушат над сульфатом магния и концентрируют при пониженном давлении. Полученный остаток очищают колоночной хроматографией (силикагель; хлороформ:метанол=19:1 9:1) с получением этилового эфира (2R*,4S*)-4-{[3,5-бис(трифторметил)бензил]-[5-[4-(2-гидроксиэтил)пиперазин-1-ил]пиримидин-2-ил]}амино-2-этил-6-метокси-3,4-дигидро-2Н-[1,5]нафтиридин-1-карбоновой кислоты (128 мг) MC (m/z): 712 [М+Н]+.
Примеры 57 и 58
Соответствующие исходные соединения обрабатывают аналогично примеру 56 с получением соединений, перечисленных в таблице 6.

Примеры 59 и 60
Соответствующие исходные соединения обрабатывают аналогично примеру 36 с получением соединений, перечисленных в таблице 7.

Пример 61
Этиловый эфир (2R*,4S*)-4-{[3,5-бис(трифторметил)бензил]-[5-(пиперазин-1-ил)пиримидин-2-ил]}амино-2-этил-6-метокси-3,4-дигидро-2Н-[1,5]нафтиридин-1-карбоновой кислоты (110 мг) растворяют в метиленхлориде (1 мл), к раствору добавляют триэтиламин (0,1 мл) и этилизоцианат (20 мкл) и перемешивают при комнатной температуре в токе азота в течение 2 часов. Органический слой промывают насыщенным раствором соли, сушат над сульфатом магния и концентрируют при пониженном давлении. Полученный остаток очищают колоночной хроматографией (силикагель; гексан:этилацетат=4:1 1:1) с получением этилового эфира (2R*,4S*)-4-{[3,5-бис(трифторметил)бензил]-[5-(4-этилкарбамоилпиперазин-1-ил)пиримидин-2-ил]}амино-2-этил-6-метокси-3,4-дигидро-2Н-[1,5]нафтиридин-1-карбоновой кислоты (104,4 мг). MC (m/z): 739 [М+Н]+.
Пример 62
Этиловый эфир (2R*,4S*)-4-{(5-аминопиримидин-2-ил)-[3,5-бис(трифторметил)бензил]}амино-2-этил-6-метокси-3,4-дигидро-2Н-[1,5]нафтиридин-1-карбоновой кислоты (150 мг) растворяют в N,N-диметилформамиде (4 мл), затем к раствору добавляют ацетилхлорид (0,02 мл) и триэтиламин (0,1 мл) и полученную смесь перемешивают при комнатной температуре в течение 1 часа. К реакционному раствору добавляют насыщенный водный раствор гидрокарбоната натрия и экстрагируют этилацетатом. Органический слой промывают насыщенным раствором соли, сушат над сульфатом магния и концентрируют при пониженном давлении. Полученный остаток очищают колоночной хроматографией (силикагель; гексан:этилацетат=4:1 1:1) с получением этилового эфира (2R*,4S*)-4-{(5-ацетиламинопиримидин-2-ил)-[3,5-бис(трифторметил)бензил]}амино-2-этил-6-метокси-3,4-дигидро-2Н-[1,5]нафтиридин-1-карбоновой кислоты (132 мг). MC (m/z): 641 [М+Н]+.
Примеры 63-65
Соответствующие исходные соединения обрабатывают аналогично примеру 62 с получением соединений, перечисленных в таблице 8.

Пример 66
Этиловый эфир (2R*,4S*)-4-{(5-аминопиримидин-2-ил)-[3,5-бис(трифторметил)бензил]}амино-2-этил-6-метокси-3,4-дигидро-2Н-[1,5]нафтиридин-1-карбоновой кислоты (500 мг) растворяют в N,N-диметилформамиде (4 мл), к раствору добавляют карбобензилоксиглицин (210 мг) и 1-гидроксибензотриазол (170 мг) при комнатной температуре, добавляют гидрохлорид 1-этил-3-(3-диметиламинопропил)карбодиимида (240 мг) при охлаждении на льду, добавляют по каплям триэтиламин (0,15 мл) и затем перемешивают при комнатной температуре в течение ночи. К реакционному раствору добавляют насыщенный водный раствор гидрокарбоната натрия и экстрагируют этилацетатом. Органический слой промывают насыщенным раствором соли, сушат над сульфатом магния и концентрируют при пониженном давлении. Полученный остаток очищают колоночной хроматографией (силикагель; гексан:этилацетат=4:1 1:1) с получением этилового эфира (2R*,4S*)-4-({5-[(2-бензилоксикарбониламино)ацетиламино]пиримидин-2-ил}-[3,5-бис(трифторметил)бензил])амино-2-этил-6-метокси-3,4-дигидро-2Н-[1,5]нафтиридин-1-карбоновой кислоты (631 мг). MC (m/z): 790 [М+Н]+.
Примеры 67 и 68
Соответствующие исходные соединения обрабатывают аналогично примеру 66 с получением соединений, перечисленных в таблице 9.

Пример 69
Этиловый эфир (2R*,4S*)-4-({5-[(2-бензилоксикарбониламино)ацетиламино]пиримидин-2-ил}-[3,5-бис(трифторметил)бензил])амино-2-этил-6-метокси-3,4-дигидро-2Н-[1,5]нафтиридин-1-карбоновой кислоты (631 мг) растворяют в метаноле (10 мл), добавляют к раствору 10% палладий на угле (100 мг) и затем полученную смесь перемешивают при комнатной температуре в атмосфере водорода в течение 30 минут. Реакционный раствор фильтруют и концентрируют при пониженном давлении. Полученный остаток очищают колоночной хроматографией (силикагель; хлороформ:метанол=1:0 9:1) с получением этилового эфира (2R*,4S*)-4-{[5-(2-аминоацетиламино)пиримидин-2-ил]-[3,5-бис(трифторметил)бензил]}амино-2-этил-6-метокси-3,4-дигидро-2Н-[1,5]нафтиридин-1-карбоновой кислоты (463 мг). MC (m/z): 626 [М+Н]+.
Пример 70

Соответствующие исходные соединения обрабатывают аналогично примеру 39 с получением вышеуказанного соединения. MC (m/z): 701 [М+Н]+.
Пример 71
Этиловый эфир (2R*,4S*)-4-{(5-аминопиримидин-2-ил)-[3,5-бис(трифторметил)бензил]}амино-2-этил-6-метокси-3,4-дигидро-2Н-[1,5]нафтиридин-1-карбоновой кислоты (150 мг) растворяют в метиленхлориде (4 мл), к раствору добавляют карбодиимидазол (60 мг) и триэтиламин (0,1 мл) и полученную смесь перемешивают при комнатной температуре в течение 1 часа. К реакционному раствору добавляют морфолин (0,05 мл) и смесь перемешивают при комнатной температуре в течение 2 часов и 30 минут. К реакционному раствору добавляют насыщенный водный раствор гидрокарбоната натрия и экстрагируют этилацетатом. Органический слой промывают насыщенным раствором соли, сушат над сульфатом магния и концентрируют при пониженном давлении. Полученный остаток очищают колоночной хроматографией (силикагель; гексан:этилацетат=7:3 1:1 0:1) с получением этилового эфира (2R*,4S*)-4-[[3,5-бис(трифторметил)бензил]-(5-{[(морфолин-4-ил)карбонил]амино}пиримидин-2-ил)]амино-2-этил-6-метокси-3,4-дигидро-2Н-[1,5]нафтиридин-1-карбоновой кислоты (154 мг). MC (m/z): 712 [М+Н]+.
Пример 72

Соответствующие исходные соединения обрабатывают аналогично примеру 71 с получением вышеуказанного соединения. MC (m/z): 700 [М+Н]+.
Пример 73
Этиловый эфир (2R*,4S*)-4-{[5-(2-аминоацетиламино)пиримидин-2-ил]-[3,5-бис(трифторметил)бензил]}амино-2-этил-6-метокси-3,4-дигидро-2Н-[1,5]нафтиридин-1-карбоновой кислоты (150 мг) растворяют в N,N-диметилформамиде (4 мл), затем к раствору добавляют карбодиимидазол (40 мг) и триэтиламин (0,08 мл) и полученную смесь перемешивают при комнатной температуре в течение 3 часов и 30 минут. К реакционному раствору добавляют насыщенный водный раствор гидрокарбоната натрия и экстрагируют этилацетатом. Органический слой промывают насыщенным раствором соли, сушат над сульфатом магния и концентрируют при пониженном давлении. Полученный остаток очищают колоночной хроматографией (силикагель; гексан:этилацетат=3:2 3:7) с получением этилового эфира (2R*,4S*)-4-{[3,5-бис(трифторметил)бензил]-[5-(2,5-диоксоимидазолидин-1-ил)пиримидин-2-ил]}амино-2-этил-6-метокси-3,4-дигидро-2Н-[1,5]нафтиридин-1-карбоновой кислоты (126 мг). MC (m/z): 682 [М+Н]+.
Пример 74

Соответствующие исходные соединения обрабатывают аналогично примеру 73 с получением вышеуказанного соединения. MC (m/z): 683 [М+Н]+.
Пример 75
Этиловый эфир (2R*,4S*)-4-{[3,5-бис(трифторметил)бензил]-[5-(4-хлорбутириламино)пиримидин-2-ил]}амино-2-этил-6-метокси-3,4-дигидро-2Н-[1,5]нафтиридин-1-карбоновой кислоты (283 мг) растворяют в N,N-диметилформамиде (4 мл), затем к раствору добавляют гидрид натрия (18 мг) при охлаждении на льду и полученную смесь перемешивают при комнатной температуре в течение ночи. К реакционному раствору добавляют воду и экстрагируют эфиром. Органический слой промывают насыщенным раствором соли, сушат над сульфатом магния и концентрируют при пониженном давлении. Полученный остаток очищают колоночной хроматографией (силикагель; гексан:этилацетат=7:3 1:1) с получением этилового эфира (2R*,4S*)-4-{[3,5-бис(трифторметил)бензил]-[5-(2-оксопирролидин-1-ил)пиримидин-2-ил]}амино-2-этил-6-метокси-3,4-дигидро-2Н-[1,5]нафтиридин-1-карбоновой кислоты (132 мг). MC (m/z): 667 [М+Н]+.
Пример 76

Соответствующие исходные соединения обрабатывают аналогично примеру 75 с получением вышеуказанного соединения. MC (m/z): 669 [М+Н]+.
Пример 77
(1) Этиловый эфир (2R*,4S*)-4-([3,5-бис(трифторметил)бензил]-{5-[2-(2-гидроксиэтокси)ацетиламино]пиримидинил-2-ил})амино-2-этил-6-метокси-3,4-дигидро-2Н-[1,5]нафтиридин-1-карбоновой кислоты (90 мг) растворяют в хлороформе (4 мл), затем к раствору добавляют мезилхлорид (0,1 мл) и триэтиламин (0,2 мл) при охлаждении на льду и полученную смесь перемешивают при комнатной температуре в течение 2 часов. К реакционному раствору добавляют воду и экстрагируют хлороформом. Органический слой промывают насыщенным раствором соли, сушат над сульфатом магния и концентрируют при пониженном давлении с получением этилового эфира (2R*,4S*)-4-([3,5-бис(трифторметил)бензил]-{5-[2-(2-метансульфонилоксиэтокси)ацетиламино]пиримидинил-2-ил})амино-2-этил-6-метокси-3,4-дигидро-2Н-[1,5]нафтиридин-1-карбоновой кислоты (143 мг).
(2) Этиловый эфир (2R*,4S*)-4-([3,5-бис(трифторметил)бензил]-{5-[2-(2-метансульфонилоксиэтокси)ацетиламино]пиримидинил-2-ил})амино-2-этил-6-метокси-3,4-дигидро-2Н-[1,5]нафтиридин-1-карбоновой кислоты (143 мг) растворяют в тетрагидрофуране (4 мл), добавляют к раствору трет-бутоксид натрия (48 мг) и затем полученную смесь перемешивают при комнатной температуре в течение 4 часов и 20 минут. К реакционному раствору добавляют насыщенный раствор хлорида аммония и экстрагируют этилацетатом. Органический слой промывают насыщенным раствором соли, сушат над сульфатом магния и концентрируют при пониженном давлении. Полученный остаток очищают колоночной хроматографией (силикагель; гексан:этилацетат=4:1 1:1) с получением этилового эфира (2R*,4S*)-4-{[3,5-бис(трифторметил)бензил]-[5-(3-оксоморфолин-4-ил)пиримидин-2-ил]}амино-2-этил-6-метокси-3,4-дигидро-2Н-[1,5]нафтиридин-1-карбоновой кислоты (51 мг). MC (m/z): 683 [М+Н]+.
Пример 78
Этиловый эфир (2R*,4S*)-4-{(5-аминопиримидин-2-ил)-[3,5-бис(трифторметил)бензил]}амино-2-этил-6-метокси-3,4-дигидро-2Н-[1,5]нафтиридин-1-карбоновой кислоты (300 мг) растворяют в толуоле (10 мл), затем к раствору добавляют малеиновый ангидрид (150 мг) и полученную смесь кипятят с обратным холодильником в течение 1 часа и 30 минут. После охлаждения до комнатной температуры к реакционному раствору добавляют насыщенный водный раствор хлорида аммония с последующей экстракцией этилацетатом. Органический слой промывают насыщенным раствором соли, сушат над сульфатом магния и концентрируют при пониженном давлении. Полученный остаток очищают колоночной хроматографией (силикагель; гексан:этилацетат=4:1 3:2) с получением этилового эфира (2R*,4S*)-4-{[3,5-бис(трифторметил)бензил]-[5-(2,5-диоксо-2,5-дигидропиррол-1-ил)пиримидин-2-ил]}амино-2-этил-6-метокси-3,4-дигидро-2Н-[1,5]нафтиридин-1-карбоновой кислоты (77 мг). MC (m/z): 679 [М+Н]+.
Пример 79
Этиловый эфир (2R*,4S*)-4-{[3,5-бис(трифторметил)бензил]-(5-иодпиримидин-2-ил)}амино-2-этил-6-метокси-3,4-дигидро-2Н-[1,5]нафтиридин-1-карбоновой кислоты (3,50 г) растворяют в толуоле (10 мл), затем к раствору добавляют бензиловый спирт (1,02 мл), иодид меди (94 мг), 1,10-фенантролин (178 мг) и карбонат цезия (1,61 г) и полученную смесь перемешивают при 100°С в токе азота в течение 6 часов. Смеси дают остыть до комнатной температуры, затем добавляют бензиловый спирт (0,51 мл), иодид меди (94 мг), 1,10-фенантролин (178 мг), карбонат цезия (0,80 г) и толуол (2 мл) и полученную смесь перемешивают при 100°С в токе азота в течение ночи. Реакционной смеси дают остыть до комнатной температуры, затем добавляют бензиловый спирт (0,1 мл), иодид меди (94 мг), 1,10-фенантролин (178 мг) и карбонат цезия (0,80 г) и полученную смесь перемешивают при 100°С в токе азота в течение 5 часов. Затем смеси дают остыть до комнатной температуры, к реакционному раствору добавляют воду и этилацетат и нерастворимые вещества удаляют фильтрованием на Celite . Органический слой промывают насыщенным раствором соли, сушат над сульфатом магния и концентрируют при пониженном давлении. К полученному остатку добавляют иодид меди (94 мг), 1,10-фенантролин (178 мг), карбонат цезия (1,61 г) и толуол (5 мл) и перемешивают при 100°С в токе азота в течение ночи. После охлаждения до комнатной температуры к реакционному раствору добавляют воду и этилацетат и нерастворимые вещества удаляют фильтрованием на Celite . Органический слой фильтрата промывают насыщенным раствором соли, сушат над сульфатом магния и концентрируют при пониженном давлении. Полученный остаток очищают колоночной хроматографией (силикагель; гексан:этилацетат=10:1) с получением этилового эфира (2R*,4S*)-4-{[3,5-бис(трифторметил)бензил]-(5-бензилоксипиримидин-2-ил)}амино-2-этил-6-метокси-3,4-дигидро-2Н-[1,5]нафтиридин-1-карбоновой кислоты (2,25 мг). MC (m/z): 690 [М+Н]+.
Примеры 80 и 81
Соответствующие исходные соединения обрабатывают аналогично примеру 79 с получением соединений, перечисленных в таблице 10.

Пример 82
Этиловый эфир (2R*,4S*)-4-{[3,5-бис(трифторметил)бензил]-(5-бензилоксипиримидин-2-ил)}амино-2-этил-6-метокси-3,4-дигидро-2Н-[1,5]нафтиридин-1-карбоновой кислоты (1,52 г) растворяют в метаноле (270 мл), затем к раствору добавляют 10% палладий на угле и полученную смесь перемешивают при комнатной температуре в атмосфере водорода в течение 30 минут. Реакционную смесь фильтруют и фильтрат концентрируют при пониженном давлении с получением этилового эфира (2R*,4S*)-4-{[3,5-бис(трифторметил)бензил]-(5-гидроксипиримидин-2-ил)}амино-2-этил-6-метокси-3,4-дигидро-2Н-[1,5]нафтиридин-1-карбоновой кислоты (1,33 г). MC (m/z): 600 [М+Н]+.
Пример 83

Соответствующие исходные соединения обрабатывают аналогично примеру 82 с получением вышеуказанного соединения. MC (m/z): 600 [М+Н]+.
Пример 84
Этиловый эфир (2R*,4S*)-4-{[3,5-бис(трифторметил)бензил]-(5-гидроксипиримидин-2-ил)}амино-2-этил-6-метокси-3,4-дигидро-2Н-[1,5]нафтиридин-1-карбоновой кислоты (150 мг) растворяют в N,N-диметилформамиде (1 мл), затем к раствору добавляют гидрид натрия (63%, 11 мг) при охлаждении на льду и полученную смесь перемешивают при 0°С в течение 30 минут. Добавляют метилиодид (23 мкл) и полученную смесь перемешивают в течение 2 часов при охлаждении на льду. К реакционной смеси добавляют 10% водный раствор лимонной кислоты и экстрагируют этилацетатом. Органический слой фильтрата промывают насыщенным раствором соли, сушат над сульфатом магния и концентрируют при пониженном давлении. Полученный остаток очищают колоночной хроматографией (силикагель; гексан:этилацетат=4:1) с получением этилового эфира (2R*,4S*)-4-{[3,5-бис(трифторметил)бензил]-(5-метоксипиримидин-2-ил)}амино-2-этил-6-метокси-3,4-дигидро-2Н-[1,5]нафтиридин-1-карбоновой кислоты (129 мг). MC (m/z): 614 [М+Н]+.
Примеры 85-88
Соответствующие исходные соединения обрабатывают аналогично примеру 84 с получением соединений, перечисленных в таблице 11.

Пример 89
Этиловый эфир (2R*,4S*)-4-{[3,5-бис(трифторметил)бензил]-(5-гидроксипиримидин-2-ил)}амино-2-этил-6-метокси-3,4-дигидро-2Н-[1,5]нафтиридин-1-карбоновой кислоты (150 мг) растворяют в N,N-диметилформамиде (1 мл), затем к раствору добавляют карбонат натрия (200 мг) и 2-бромэтанол (162 мкл) и полученную смесь перемешивают при 60°С в течение ночи. К реакционной смеси добавляют 10% водный раствор лимонной кислоты и экстрагируют этилацетатом. Органический слой промывают насыщенным раствором соли, сушат над сульфатом магния и концентрируют при пониженном давлении. Полученный остаток очищают колоночной хроматографией (силикагель; гексан:этилацетат=2:1) с получением этилового эфира (2R*,4S*)-4-{[3,5-бис(трифторметил)бензил]-[5-(2-гидроксиэтокси)пиримидин-2-ил]}амино-2-этил-6-метокси-3,4-дигидро-2Н-[1,5]нафтиридин-1-карбоновой кислоты (95 мг). MC (m/z): 644 [М+Н]+.
Примеры 90-92
Соответствующие исходные соединения обрабатывают аналогично примеру 89 с получением соединений, перечисленных в таблице 12.

Пример 93
Этиловый эфир (2R*,4S*)-4-{[3,5-бис(трифторметил)бензил]-(5-гидроксипиримидин-2-ил)}амино-2-этил-6-метокси-3,4-дигидро-2Н-[1,5]нафтиридин-1-карбоновой кислоты (150 мг) растворяют в тетрагидрофуране (1 мл), затем к раствору добавляют пиримидин-2-илметанол (41 мг) и трифенилфосфин (98 мг). После добавления по каплям раствора 40% диэтилазодикарбоксилат-толуол (163 мкл) при охлаждении на льду полученную смесь перемешивают при комнатной температуре в течение 1 часа и 30 минут. К реакционной смеси добавляют воду и экстрагируют этилацетатом. Органический слой промывают насыщенным раствором соли, сушат над сульфатом магния и концентрируют при пониженном давлении. Полученный остаток очищают колоночной хроматографией (силикагель; гексан:этилацетат=2:1) с получением этилового эфира (2R*,4S*)-4-{[3,5-бис(трифторметил)бензил]-[5-(пиримидин-2-илметокси)пиримидин-2-ил]}амино-2-этил-6-метокси-3,4-дигидро-2Н-[1,5]нафтиридин-1-карбоновой кислоты (118 мг). MC (m/z): 692 [М+Н]+.
Примеры 94-107
Соответствующие исходные соединения обрабатывают аналогично примеру 93 с получением соединений, перечисленных в таблице 13.


Пример 108
Этиловый эфир (2R*,4S*)-4-{[3,5-бис(трифторметил)бензил]-(5-этоксикарбонилметоксипиримидин-2-ил)}амино-2-этил-6-метокси-3,4-дигидро-2Н-[1,5]нафтиридин-1-карбоновой кислоты (150 мг) растворяют в метаноле (3 мл), затем к раствору добавляют 1М водный раствор гидроксида натрия (2 мл) и полученную смесь перемешивают при комнатной температуре в течение 2 часов. К реакционной смеси добавляют 10% водный раствор лимонной кислоты и экстрагируют этилацетатом. Органический слой промывают насыщенным раствором соли, сушат над сульфатом магния и концентрируют при пониженном давлении. Полученный остаток очищают колоночной хроматографией (силикагель; хлороформ:метанол=19:1) с получением этилового эфира (2R*,4S*)-4-{[3,5-бис(трифторметил)бензил]-(5-карбоксиметоксипиримидин-2-ил)}амино-2-этил-6-метокси-3,4-дигидро-2Н-[1,5]нафтиридин-1-карбоновой кислоты (100 мг). MC (m/z): 658 [М+Н]+.
Пример 109

Соответствующие исходные соединения обрабатывают аналогично примеру 108 с получением вышеуказанного соединения. MC (m/z): 686 [М+Н]+.
Пример 110
Этиловый эфир (2R*,4S*)-4-{[3,5-бис(трифторметил)бензил]-(5-карбоксиметоксипиримидин-2-ил)}амино-2-этил-6-метокси-3,4-дигидро-2Н-[1,5]нафтиридин-1-карбоновой кислоты (150 мг) растворяют в N,N-диметилформамиде (1 мл), затем к раствору добавляют морфолин (30 мкл). После добавления моногидрохлорида 1-(3-диметиламинопропил)-3-этилкарбодиимида (66 мг) и гидрата 1-гидроксибензотриазола при охлаждении на льду полученную смесь перемешивают при комнатной температуре в течение 4 часов. К реакционной смеси добавляют воду и экстрагируют этилацетатом. Органический слой промывают насыщенным раствором соли, сушат над сульфатом магния и концентрируют при пониженном давлении. Полученный остаток очищают колоночной хроматографией (силикагель; хлороформ:метанол=19:1) с получением этилового эфира (2R*,4S*)-4-([3,5-бис(трифторметил)бензил]-{5-[2-(морфолин-4-ил)-2-оксоэтоксипиримидин-2-ил})амино-2-этил-6-метокси-3,4-дигидро-2Н-[1,5]нафтиридин-1-карбоновой кислоты (138 мг). MC (m/z): 727 [М+Н]+.
Примеры 111-113
Соответствующие исходные соединения обрабатывают аналогично примеру 110 с получением соединений, перечисленных в таблице 14.

Пример 114
Этиловый эфир (2R*,4S*)-4-{[3,5-бис(трифторметил)бензил]-[5-(2-метилсульфанилэтокси)пиримидин-2-ил]}амино-2-этил-6-метокси-3,4-дигидро-2Н-[1,5]нафтиридин-1-карбоновой кислоты (150 мг) растворяют в хлороформе (1 мл), затем добавляют к раствору м-хлорпербензойную кислоту (60 мг) и полученную смесь перемешивают при комнатной температуре в течение 2 часов. После добавления насыщенного водного раствора гидрокарбоната натрия реакционную смесь экстрагируют этилацетатом. Органический слой промывают насыщенным раствором соли, сушат над сульфатом магния и концентрируют при пониженном давлении. Полученный остаток очищают колоночной хроматографией (силикагель; хлороформ:метанол=19:1) с получением этилового эфира (2R*,4S*)-4-{[3,5-бис(трифторметил)бензил]-[5-(2-метилсульфинилэтокси)пиримидин-2-ил]}амино-2-этил-6-метокси-3,4-дигидро-2Н-[1,5]нафтиридин-1-карбоновой кислоты (125 мг). MC (m/z): 690 [М+Н]+.
Пример 115
Этиловый эфир (2R*,4S*)-4-{[3,5-бис(трифторметил)бензил]-[5-(2-метилсульфанилэтокси)пиримидин-2-ил]}амино-2-этил-6-метокси-3,4-дигидро-2Н-[1,5]нафтиридин-1-карбоновой кислоты (226 мг) растворяют в хлороформе (1,5 мл), затем добавляют к раствору м-хлорпербензойную кислоту (248 мг) и полученную смесь перемешивают при комнатной температуре в течение 40 минут. Добавляют насыщенный водный раствор гидрокарбоната натрия и экстрагируют этилацетатом. Органический слой промывают насыщенным водным раствором гидрокарбоната натрия и затем насыщенным раствором соли, сушат над сульфатом магния и концентрируют при пониженном давлении. Полученный остаток очищают колоночной хроматографией (силикагель; хлороформ:метанол=19:1) с получением этилового эфира (2R*,4S*)-4-{[3,5-бис(трифторметил)бензил]-[5-(2-метансульфонилэтокси)пиримидин-2-ил]}амино-2-этил-6-метокси-3,4-дигидро-2Н-[1,5]нафтиридин-1-карбоновой кислоты (182 мг). MC (m/z): 706 [М+Н]+.
Пример 116

Соответствующие исходные соединения обрабатывают аналогично примеру 115 с получением вышеуказанного соединения. MC (m/z): 706 [М+Н]+.
Пример 117
К раствору (10 мл) этилового эфира (2R*,4S*)-4-{[3,5-бис(трифторметил)бензил]-[5-[2-(пиридин-2-ил)этокси]пиримидин-2-ил]}амино-2-этил-6-метокси-3,4-дигидро-2Н-[1,5]нафтиридин-1-карбоновой кислоты (200 мг) в хлороформе добавляют м-хлорпербензойную кислоту (79 мг) и полученную смесь перемешивают при комнатной температуре в течение 2 часов. Реакционный раствор концентрируют при пониженном давлении и полученный остаток очищают колоночной хроматографией (NH-силикагель; гексан:этилацетат=75:25 0:100) с получением этилового эфира (2R*,4S*)-4-{[3,5-бис(трифторметил)бензил]-[5-[2-(1-оксипиридин-2-ил)этокси]пиримидин-2-ил]}амино-2-этил-6-метокси-3,4-дигидро-2Н-[1,5]нафтиридин-1-карбоновой кислоты (173 мг). MC (m/z): 721 [М+Н]+.
Пример 118
Смесь этилового эфира (2R,4S)-4-{[3,5-бис(трифторметил)бензил]-[5-[2-(1-оксипиридин-2-ил)этокси]пиримидин-2-ил]}амино-2-этил-6-метокси-3,4-дигидро-2Н-[1,5]нафтиридин-1-карбоновой кислоты (115 мг), трифторуксусного ангидрида (0,226 мл) и N,N-диметилформамида (5 мл) перемешивают при комнатной температуре в течение ночи. Реакционный раствор распределяют между этилацетатом и водным насыщенным раствором бикарбоната натрия. Органический слой промывают насыщенным раствором соли, сушат над сульфатом магния и концентрируют при пониженном давлении. Полученный остаток очищают тонкослойной хроматографией (гексан:этилацетат=1:1) с получением этилового эфира (2R,4S)-4-{[3,5-бис(трифторметил)бензил]-{5-[2-гидрокси-2-(пиридин-2-ил)этокси]пиримидин-2-ил})амино-2-этил-6-метокси-3,4-дигидро-2Н-[1,5]нафтиридин-1-карбоновой кислоты (24 мг). MC (m/z): 721 [М+Н]+.
Пример 119
Этиловый эфир (2R*,4S*)-4-({5-[((S)-1-бензилпирролидин-3-ил)окси]пиримидин-2-ил}-[3,5-бис(трифторметил)бензил])амино-2-этил-6-метокси-3,4-дигидро-2Н-[1,5]нафтиридин-1-карбоновой кислоты (280 мг) растворяют в метаноле (5 мл), затем к раствору добавляют 10% палладий на угле (50 мг) и полученную смесь перемешивают при комнатной температуре в атмосфере водорода в течение ночи. Реакционный раствор фильтруют и фильтрат концентрируют при пониженном давлении. Полученный остаток очищают колоночной хроматографией (NH-силикагель; гексан:этилацетат=4:1 3:1 0:1) с получением этилового эфира (2R*,4S*)-4-([3,5-бис(трифторметил)бензил]-{5-[((S)-1-бензилпирролидин-3-ил)окси]пиримидин-2-ил})амино-2-этил-6-метокси-3,4-дигидро-2Н-[1,5]нафтиридин-1-карбоновой кислоты (168 мг). MC (m/z): 669 [М+Н]+.
Пример 120

Соответствующие исходные соединения обрабатывают аналогично примеру 50 с получением вышеуказанного соединения. MC (m/z): 711 [М+Н]+.
Пример 121
Этиловый эфир (2R,4S)-4-([3,5-бис(трифторметил)бензил]-{5-[(2,2-диметил-1,3-диоксолан-4-ил)метокси]пиримидин-2-ил})амино-2-этил-6-метокси-3,4-дигидро-2Н-[1,5]нафтиридин-1-карбоновой кислоты (147 мг) растворяют в тетрагидрофуране (2 мл), затем к раствору добавляют 1н. хлористоводородную кислоту (2 мл) и полученную смесь перемешивают в течение ночи. К реакционному раствору добавляют насыщенный водный раствор гидрокарбоната натрия и экстрагируют этилацетатом. Органический слой промывают насыщенным раствором соли, сушат над сульфатом магния и концентрируют при пониженном давлении. Полученный остаток очищают колоночной хроматографией (силикагель; гексан:этилацетат=3:2 3:7) с получением этилового эфира (2R,4S)-4-{[3,5-бис(трифторметил)бензил]-[5-(2,3-дигидроксипропокси)пиримидин-2-ил]}амино-2-этил-6-метокси-3,4-дигидро-2Н-[1,5]нафтиридин-1-карбоновой кислоты (72 мг). MC (m/z): 674 [М+Н]+.
Пример 122
Этиловый эфир (2R*,4S*)-4-{[3,5-бис(трифторметил)бензил]-(5-иодпиримидин-2-ил)}амино-2-этил-6-метокси-3,4-дигидро-2Н-[1,5]нафтиридин-1-карбоновой кислоты (200 мг) растворяют в 2-метоксиэтаноле (1,0 мл), затем к раствору добавляют иодид меди (21 мг), 1,10-фенантролин (41 мг) и карбонат цезия (368 мг) и полученную смесь перемешивают при 110°С в токе азота в течение 15 часов. После охлаждения до комнатной температуры к реакционной смеси добавляют воду с последующей экстракцией этилацетатом. Органический слой промывают насыщенным раствором соли, сушат над сульфатом магния, добавляют небольшое количество NH-силикагеля, смесь фильтруют и фильтрат концентрируют при пониженном давлении. Полученный остаток очищают колоночной хроматографией (силикагель; гексан:этилацетат=3:1) с получением 2-метоксиэтилового эфира этил-(2R*,4S*)-4-{[3,5-бис(трифторметил)бензил]-[5-(2-метоксиэтокси)пиримидин-2-ил]}амино-2-этил-6-метокси-3,4-дигидро-2Н-[1,5]нафтиридин-1-карбоновой кислоты (38 мг). MC (m/z): 688 [М+Н]+.
Пример 123
Этиловый эфир (2R,4S)-4-{[3,5-бис(трифторметил)бензил]-(5-иодпиримидин-2-ил)}амино-2-этил-6-метокси-3,4-дигидро-2Н-[1,5]нафтиридин-1-карбоновой кислоты (400 мг) растворяют в изопропиловом спирте (2 мл), затем к раствору добавляют 2-меркаптоэтанол (96 мкл), иодид меди (20 мг) этиленгликоль (62 мкл) и карбонат калия (156 мг) и полученную смесь перемешивают при 80°С в токе азота в течение ночи. После охлаждения до комнатной температуры к реакционной смеси добавляют воду с последующей экстракцией этилацетатом. Органический слой промывают насыщенным раствором соли, сушат над сульфатом магния, добавляют небольшое количество NH-силикагеля, смесь фильтруют и фильтрат концентрируют при пониженном давлении. Полученный остаток очищают колоночной хроматографией (силикагель; гексан:этилацетат=2:1 1:1) с получением этилового эфира (2R,4S)-4-{[3,5-бис(трифторметил)бензил]-[5-(2-гидроксиэтилсульфанил)пиримидин-2-ил]}амино-2-этил-6-метокси-3,4-дигидро-2Н-[1,5]нафтиридин-1-карбоновой кислоты (110 мг). MC (m/z): 600 [М+Н]+.
Пример 124
Этиловый эфир (2R,4S)-4-{[3,5-бис(трифторметил)бензил]-(5-иодпиримидин-2-ил)}амино-2-этил-6-метокси-3,4-дигидро-2Н-[1,5]нафтиридин-1-карбоновой кислоты (400 мг) растворяют в изопропиловом спирте (2 мл), затем к раствору добавляют метиловый эфир тиогликолевой кислоты (120 мкл), иодид меди (20 мг), этиленгликоль (62 мкл) и карбонат калия (120 мкл) и полученную смесь перемешивают при 80°С в токе азота в течение ночи. После охлаждения до комнатной температуры к реакционной смеси добавляют воду с последующей экстракцией этилацетатом. Органический слой промывают насыщенным раствором соли, сушат над сульфатом магния и концентрируют при пониженном давлении. Полученный остаток растворяют в метаноле (6 мл), затем добавляют к раствору 1М водный раствор гидроксида натрия (3 мл) и тетрагидрофуран (6 мл) и полученную смесь перемешивают при комнатной температуре в течение 10 минут. 10%-ный водный раствор лимонной кислоты добавляют к реакционной смеси и экстрагируют этилацетатом. Органический слой промывают насыщенным раствором соли, сушат над сульфатом магния и концентрируют при пониженном давлении. Полученный остаток очищают колоночной хроматографией (силикагель; гексан:этилацетат=2:1 1:1) с получением этилового эфира (2R,4S)-4-{[3,5-бис(трифторметил)бензил]-(5-карбоксиметилсульфанилпиримидин-2-ил)}амино-2-этил-6-метокси-3,4-дигидро-2Н-[1,5]нафтиридин-1-карбоновой кислоты (153 мг). MC (m/z): 674 [М+Н]+.
Пример 125

Соответствующие исходные соединения обрабатывают аналогично примеру 110 с получением вышеуказанного соединения. MC (m/z): 687 [М+Н]+.
Примеры 126 и 127
Соответствующие исходные соединения обрабатывают аналогично примеру 115 с получением соединений, перечисленных в таблице 15.

Пример 128
Этиловый эфир (2R*,4S*)-4-{[3,5-бис(трифторметил)бензил]-(5-карбоксипиримидин-2-ил)}амино-2-этил-6-метокси-3,4-дигидро-2Н-[1,5]нафтиридин-1-карбоновой кислоты (400 мг) растворяют в тетрагидрофуране (2 мл), затем к раствору добавляют этилхлорформиат (0,02 мл) и триэтиламин (0,04 мл) при охлаждении на льду и полученную смесь перемешивают в течение 30 минут. Реакционный раствор фильтруют, к фильтрату добавляют боргидрид натрия (18 мг) и смесь перемешивают в течение 1 часа и 40 минут. К реакционному раствору добавляют 1н. хлористоводородную кислоту и экстрагируют этилацетатом. Органический слой промывают последовательно водой, насыщенным водным раствором гидрокарбоната натрия и насыщенным раствором соли, сушат над сульфатом магния и концентрируют при пониженном давлении. Полученный остаток очищают колоночной хроматографией (силикагель; гексан:этилацетат=4:1 3:2) с получением этилового эфира (2R*,4S*)-4-{[3,5-бис(трифторметил)бензил]-[5-(гидроксиметил)пиримидин-2-ил]}амино-2-этил-6-метокси-3,4-дигидро-2Н-[1,5]нафтиридин-1-карбоновой кислоты (80 мг). MC (m/z): 614 [М+Н]+.
Пример 129
Этиловый эфир (2R*,4S*)-4-{[3,5-бис(трифторметил)бензил]-[5-(гидроксиметил)пиримидин-2-ил]}амино-2-этил-6-метокси-3,4-дигидро-2Н-[1,5]нафтиридин-1-карбоновой кислоты (150 мг) растворяют в тетрагидрофуране (4 мл), затем к раствору добавляют гидрид натрия (12 мг) и метилиодид (0,02 мл) при охлаждении на льду и полученную смесь перемешивают при комнатной температуре в течение 3 часов и 30 минут. К реакционному раствору добавляют насыщенный водный раствор гидрокарбоната натрия и экстрагируют этилацетатом. Органический слой промывают насыщенным раствором соли, сушат над сульфатом магния и концентрируют при пониженном давлении. Полученный остаток очищают колоночной хроматографией (силикагель; гексан:этилацетат=4:1 3:2) с получением этилового эфира (2R*,4S*)-4-{[3,5-бис(трифторметил)бензил]-(5-метоксиметилпиримидин-2-ил)}амино-2-этил-6-метокси-3,4-дигидро-2Н-[1,5]нафтиридин-1-карбоновой кислоты (92 мг). MC (m/z): 628 [М+Н]+.
Пример 130

Соответствующие исходные соединения обрабатывают аналогично примеру 129 с получением вышеуказанного соединения. MC (m/z): 656 [М+Н]+.
Пример 131
(1) Этиловый эфир (2R*,4S*)-4-{[3,5-бис(трифторметил)бензил]-[5-(гидроксиметил)пиримидин-2-ил]}амино-2-этил-6-метокси-3,4-дигидро-2Н-[1,5]нафтиридин-1-карбоновой кислоты (300 мг) растворяют в N,N-диметилформамиде (4 мл), затем добавляют к раствору гидрид натрия (28 мг) при охлаждении на льду и полученную смесь перемешивают в течение 30 минут. К реакционному раствору добавляют 2-(2-бромэтокси)тетрагидропиран (0,15 мл) и полученную смесь перемешивают при комнатной температуре в течение 2 часов и 30 минут. После добавления гидрида натрия (28 мг) и 2-(2-бромэтокси)тетрагидропирана (0,15 мл) полученную смесь перемешивают при 50°С в течение 2 часов и 30 минут. После охлаждения до комнатной температуры к реакционному раствору добавляют насыщенный водный раствор гидрокарбоната натрия с последующей экстракцией этилацетатом. Органический слой промывают насыщенным раствором соли, сушат над сульфатом магния и концентрируют при пониженном давлении. Полученный остаток очищают колоночной хроматографией (силикагель; гексан:этилацетат=4:1 3:2) с получением этилового эфира (2R*,4S*)-4-[[3,5-бис(трифторметил)бензил]-(5-{2-[(тетрагидропиран-2-ил)окси]этоксиметил}пиримидин-2-ил)]амино-2-этил-6-метокси-3,4-дигидро-2Н-[1,5]нафтиридин-1-карбоновой кислоты (201 мг). MC (m/z):
742 [М+Н]+.
(2) Этиловый эфир (2R*,4S*)-4-[[3,5-бис(трифторметил)бензил]-(5-{2-[(тетрагидропиран-2-ил)окси]этоксиметил}пиримидин-2-ил)]амино-2-этил-6-метокси-3,4-дигидро-2Н-[1,5]нафтиридин-1-карбоновой кислоты (200 мг) растворяют в метаноле (5 мл), затем к раствору добавляют 1н. хлористоводородную кислоту (1 мл) и смесь перемешивают в течение 1 часа и 30 минут. После добавления насыщенного водного раствора гидрокарбоната натрия смесь экстрагируют этилацетатом. Органический слой промывают насыщенным раствором соли, сушат над сульфатом магния и концентрируют при пониженном давлении. Полученный остаток очищают колоночной хроматографией (силикагель; гексан:этилацетат=4:1 1:1) с получением этилового эфира (2R*,4S*)-4-([3,5-бис(трифторметил)бензил]-{5-[(2-гидрокси)этоксиметил]пиримидин-2-ил})амино-2-этил-6-метокси-3,4-дигидро-2Н-[1,5]нафтиридин-1-карбоновой кислоты (124 мг). MC (m/z): 658 [М+Н]+.
Пример 132
(1) Этиловый эфир (2R*,4S*)-4-{[3,5-бис(трифторметил)бензил]-[5-(гидроксиметил)пиримидин-2-ил]}амино-2-этил-6-метокси-3,4-дигидро-2Н-[1,5]нафтиридин-1-карбоновой кислоты (1 г) растворяют в метиленхлориде (20 мл), затем добавляют к раствору трифенилфосфин (855 мг) и тетрабромид углерода (1,35 г) и полученную смесь перемешивают в течение 3 часов. К реакционному раствору добавляют насыщенный водный раствор гидрокарбоната натрия и экстрагируют этилацетатом. Органический слой промывают насыщенным раствором соли, сушат над сульфатом магния и концентрируют при пониженном давлении. Полученный остаток очищают колоночной хроматографией (силикагель; гексан:этилацетат=9:1 4:1) с получением этилового эфира (2R*,4S*)-4-{[3,5-бис(трифторметил)бензил]-[5-(бромметил)пиримидин-2-ил]}амино-2-этил-6-метокси-3,4-дигидро-2Н-[1,5]нафтиридин-1-карбоновой кислоты (690 мг). MC (m/z): 676 [М+Н]+.
(2) Морфолин (0,02 мл) растворяют в N,N-диметилформамиде (2 мл), затем к раствору добавляют гидрид натрия (9 мг) при охлаждении на льду и полученную смесь перемешивают в течение 30 минут. Этиловый эфир (2R*,4S*)-4-{[3,5-бис(трифторметил)бензил]-[5-(бромметил)пиримидин-2-ил]}амино-2-этил-6-метокси-3,4-дигидро-2Н-[1,5]нафтиридин-1-карбоновой кислоты (112 мг) добавляют к реакционному раствору при охлаждении на льду и полученную смесь перемешивают при комнатной температуре в течение 1 часа и 30 минут. К реакционному раствору добавляют насыщенный водный раствор гидрокарбоната натрия и экстрагируют этилацетатом. Органический слой промывают насыщенным раствором соли, сушат над сульфатом магния и концентрируют при пониженном давлении. Полученный остаток очищают колоночной хроматографией (силикагель; гексан:этилацетат=3:1 1:1) с получением этилового эфира (2R*,4S*)-4-([3,5-бис(трифторметил)бензил]-{5-[(морфолин-4-ил)метил]пиримидин-2-ил})амино-2-этил-6-метокси-3,4-дигидро-2Н-[1,5]нафтиридин-1-карбоновой кислоты (33 мг). MC (m/z): 683 [М+Н]+.
Примеры 133-136
Соответствующие исходные соединения обрабатывают аналогично примеру 132 с получением соединений, перечисленных в таблице 16.

Пример 137
Этиловый эфир (2R*,4S*)-4-{[3,5-бис(трифторметил)бензил]-(5-бромпиримидин-2-ил)}амино-2-этил-6-метокси-3,4-дигидро-2Н-[1,5]нафтиридин-1-карбоновой кислоты (367 мг), бензиловый эфир акриловой кислоты (180 мг), трис(дибензилиденацетон)дипалладий (61 мг), дициклогексилметиламин (162 мг) и тетрафторборат три-трет-бутилфосфония (39 мг) растворяют в 1,4-диоксане (4 мл) и полученную смесь перемешивают при комнатной температуре в токе азота в течение 3 дней. К реакционному раствору добавляют водный раствор лимонной кислоты и этилацетат и органический слой промывают насыщенным раствором соли, сушат над сульфатом магния и концентрируют при пониженном давлении. Полученный остаток очищают колоночной хроматографией (силикагель; гексан:этилацетат=23:2 3:2) с получением этилового эфира (2R*,4S*)-4-{[5-(2-бензилоксикарбонилвинил]-[3,5-бис(трифторметил)бензил]}амино-2-этил-6-метокси-3,4-дигидро-2Н-[1,5]нафтиридин-1-карбоновой кислоты (372 мг). MC (m/z): 744 [М+Н]+.
Примеры 138-139
Соответствующие исходные соединения обрабатывают аналогично примеру 137 с получением соединений, перечисленных в таблице 17.

Пример 140
Этиловый эфир (2R,4S)-4-{[5-(2-бензилоксикарбонилвинил)пиримидин-2-ил]-[3,5-бис(трифторметил)бензил]}амино-2-этил-6-метокси-3,4-дигидро-2Н-[1,5]нафтиридин-1-карбоновой кислоты (2,02 г) растворяют в смеси тетрагидрофурана (50 мл) и метанола (9 мл). После добавления 10% палладия на угле (600 мг) полученную смесь перемешивают при комнатной температуре в атмосфере водорода в течение 2 часов и 30 минут. Реакционный раствор фильтруют и концентрируют при пониженном давлении. Полученный остаток очищают колоночной хроматографией (силикагель; гексан:этилацетат=3:2 0:1) с получением этилового эфира (2R,4S)-4-{[3,5-бис(трифторметил)бензил]-[5-(2-карбоксивинил)пиримидин-2-ил]}амино-2-этил-6-метокси-3,4-дигидро-2Н-[1,5]нафтиридин-1-карбоновой кислоты (1,7 г). MC (m/z): 654 [М+Н]+.
Пример 141
Этиловый эфир (2R,4S)-4-{[3,5-бис(трифторметил)бензил]-[5-(2-карбоксивинил)пиримидин-2-ил]}амино-2-этил-6-метокси-3,4-дигидро-2Н-[1,5]нафтиридин-1-карбоновой кислоты (500 мг) растворяют в смешанном растворе тетрагидрофурана (15 мл) и метанола (5 мл), затем добавляют к раствору 10% палладий на угле (160 мг) и полученную смесь перемешивают при комнатной температуре в атмосфере водорода в течение 3 часов и 30 минут. Реакционный раствор фильтруют и концентрируют при пониженном давлении с получением этилового эфира (2R,4S)-4-{[3,5-бис(трифторметил)бензил]-[5-(2-карбоксиэтил)пиримидин-2-ил]}амино-2-этил-6-метокси-3,4-дигидро-2Н-[1,5]нафтиридин-1-карбоновой кислоты (498 мг). MC (m/z): 656 [М+Н]+.
Пример 142

Соответствующие исходные соединения обрабатывают аналогично примеру 141 с получением вышеуказанного соединения. MC (m/z): 656 [М+Н]+.
Пример 143
Этиловый эфир (2R,4S)-4-{[3,5-бис(трифторметил)бензил]-[5-(2-карбоксивинил)пиримидин-2-ил]}амино-2-этил-6-метокси-3,4-дигидро-2Н-[1,5]нафтиридин-1-карбоновой кислоты (200 мг) растворяют в тетрагидрофуране (4 мл), затем к раствору добавляют этилхлорформиат (0,04 мл) и триэтиламин (0,06 мл) при охлаждении на льду и полученную смесь перемешивают в течение 30 минут. Реакционный раствор фильтруют, затем добавляют боргидрид натрия (58 мг) и полученную смесь перемешивают в течение 1 часа и 30 минут при охлаждении на льду. К реакционному раствору добавляют 1н. хлористоводородную кислоту и экстрагируют этилацетатом. Органический слой промывают последовательно водой, насыщенным водным раствором гидрокарбоната натрия и насыщенным раствором соли, сушат над сульфатом магния и концентрируют при пониженном давлении. Полученный остаток очищают колоночной хроматографией (силикагель; гексан:этилацетат=4:1 3:2) с получением этилового эфира (2R,4S)-4-{[3,5-бис(трифторметил)бензил]-[5-(3-гидроксипропенил)пиримидин-2-ил]}амино-2-этил-6-метокси-3,4-дигидро-2Н-[1,5]нафтиридин-1-карбоновой кислоты (155 мг). MC (m/z): 640 [М+Н]+.
Пример 144

Соответствующие исходные соединения обрабатывают аналогично примеру 143 с получением вышеуказанного соединения. MC (m/z): 642 [М+Н]+.
Пример 145

Соответствующие исходные соединения обрабатывают аналогично примеру 110 с получением вышеуказанного соединения. MC (m/z): 669 [М+Н]+.
Пример 146
К суспензии (1 мл) бромида меди (227 мг) в тетрагидрофуране добавляют по каплям 65% раствор (982 мг) бис(2-метоксиэтокси)алюминийгидрида натрия в толуоле при охлаждении на льду и полученную смесь перемешивают при той же температуре в течение 30 минут. Реакционный раствор охлаждают до -78°С и добавляют 2-бутанол (0,29 мл). Затем добавляют по каплям раствор (0,5 мл) этилового эфира (2R*,4S*)-4-{[3,5-бис(трифторметил)бензил]-[5-(2-циановинил)пиримидин-2-ил]}амино-2-этил-6-метокси-3,4-дигидро-2Н-[1,5]нафтиридин-1-карбоновой кислоты (100 мг) в тетрагидрофуране и полученную смесь перемешивают при той же температуре в течение 2 часов. После нагревания до комнатной температуры смесь перемешивают в течение дополнительных двух часов. К реакционному раствору добавляют насыщенный водный раствор хлорида аммония и смесь распределяют добавлением этилацетата. Органический слой промывают насыщенным раствором соли, сушат над сульфатом магния и концентрируют при пониженном давлении. Полученный остаток очищают тонкослойной хроматографией на силикагеле (гексан:этилацетат=2:1) с получением этилового эфира (2R*,4S*)-4-{[3,5-бис(трифторметил)бензил]-[5-(2-цианоэтил)пиримидин-2-ил]}амино-2-этил-6-метокси-3,4-дигидро-2Н-[1,5]нафтиридин-1-карбоновой кислоты (74 мг). MC (m/z): 637 [М+Н]+.
Пример 147
Смесь этилового эфира (2R*,4S*)-4-{[3,5-бис(трифторметил)бензил]-[5-(2-циановинил)пиримидин-2-ил]}амино-2-этил-6-метокси-3,4-дигидро-2Н-[1,5]нафтиридин-1-карбоновой кислоты (385 мг), азида натрия (99 мг), хлорида аммония (81 мг) и N,N-диметилформамида (5 мл) перемешивают при 100°С в течение ночи. Смесь распределяют между этилацетатом и насыщенным раствором соли. Органический слой промывают насыщенным раствором соли, сушат над сульфатом магния и концентрируют при пониженном давлении. Полученный остаток очищают колоночной хроматографией (силикагель; хлороформ:метанол=5:1) с получением этилового эфира (2R*,4S*)-4-([3,5-бис(трифторметил)бензил]-{5-[2-(тетразол-5-ил)винил]пиримидин-2-ил})амино-2-этил-6-метокси-3,4-дигидро-2Н-[1,5]нафтиридин-1-карбоновой кислоты (155 мг). MC (m/z): 679 [М+Н]+.
Пример 148
Этиловый эфир (2R*,4S*)-4-{[3,5-бис(трифторметил)бензил]-(5-иодпиримидин-2-ил)}амино-2-этил-6-метокси-3,4-дигидро-2Н-[1,5]нафтиридин-1-карбоновой кислоты (250 мг) растворяют в N,N-диметилформамиде (2 мл), затем к раствору добавляют пиридин-4-бороновую кислоту (87 мг), тетракис(трифенилфосфин)палладий (81 мг) и карбонат калия (117 мг) и полученную смесь перемешивают при 100°С в токе азота в течение 2 часов. После охлаждения до комнатной температуры к реакционной смеси добавляют воду с последующей экстракцией этилацетатом. Органический слой промывают насыщенным раствором соли, сушат над сульфатом магния и концентрируют при пониженном давлении. Полученный остаток очищают колоночной хроматографией (NH-силикагель; гексан:этилацетат=4:1) с получением этилового эфира (2R*,4S*)-4-{[3,5-бис(трифторметил)бензил]-[5-(пиридин-4-ил)пиримидин-2-ил]}амино-2-этил-6-метокси-3,4-дигидро-2Н-[1,5]нафтиридин-1-карбоновой кислоты (131 мг). MC (m/z): 661 [М+Н]+.
Примеры 149 и 150
Соответствующие исходные соединения обрабатывают аналогично примеру 148 с получением соединений, перечисленных в таблице 18.

Пример 151
Этиловый эфир (2R,4S)-4-{[3,5-бис(трифторметил)бензил]-(5-иодпиримидин-2-ил)}амино-2-этил-6-метокси-3,4-дигидро-2Н-[1,5]нафтиридин-1-карбоновой кислоты (200 мг) растворяют в толуоле (2 мл), затем к раствору добавляют 2-трибутилстаннилпиридин (105 мкл) и тетракис(трифенилфосфин)палладий (16 мг) и полученную смесь перемешивают при 100°С в токе азота в течение ночи. После охлаждения до комнатной температуры к реакционной смеси добавляют 10% водный раствор фторида калия с последующей экстракцией этилацетатом. Органический слой промывают последовательно 10% водным раствором фторида калия и насыщенным раствором соли, сушат над сульфатом магния и концентрируют при пониженном давлении. Полученный остаток очищают колоночной хроматографией (силикагель; гексан:этилацетат=4:1) с получением этилового эфира (2R,4S)-4-{[3,5-бис(трифторметил)бензил]-[5-(пиридин-2-ил)пиримидин-2-ил]}амино-2-этил-6-метокси-3,4-дигидро-2Н-[1,5]нафтиридин-1-карбоновой кислоты (138 мг). MC (m/z): 661 [М+Н]+.
Пример 152
Этиловый эфир (2R,4S)-4-{[3,5-бис(трифторметил)бензил]-(5-иодпиримидин-2-ил)}амино-2-этил-6-метокси-3,4-дигидро-2Н-[1,5]нафтиридин-1-карбоновой кислоты (250 мг) растворяют в N,N-диметилформамиде (2 мл), затем к раствору добавляют пинаколовый эфир 5-формилпиридин-3-бороновой кислоты (164 мг), тетракис(трифенилфосфин)палладий (81 мг) и карбонат натрия (90 мг) и полученную смесь перемешивают при 100°С в течение ночи в токе азота. После остывания до комнатной температуры к реакционной смеси добавляют насыщенный водный раствор гидрокарбоната натрия и экстрагируют этилацетатом. Органический слой промывают насыщенным раствором соли, сушат над сульфатом магния и концентрируют при пониженном давлении. Полученный остаток очищают колоночной хроматографией (NH-силикагель; гексан:этилацетат=2:1) с получением этилового эфира (2R,4S)-4-{[3,5-бис(трифторметил)бензил]-[5-(5-формилпиридин-3-ил)пиримидин-2-ил]}амино-2-этил-6-метокси-3,4-дигидро-2Н-[1,5]нафтиридин-1-карбоновой кислоты (119 мг). MC (m/z): 689 [М+Н]+.
Пример 153
Этиловый эфир (2R,4S)-4-{[3,5-бис(трифторметил)бензил]-[5-(5-формилпиридин-3-ил)пиримидин-2-ил]}амино-2-этил-6-метокси-3,4-дигидро-2Н-[1,5]нафтиридин-1-карбоновой кислоты (118 мг) растворяют в тетрагидрофуране (1,5 мл), затем к раствору добавляют по каплям раствор 1М диизобутилалюминийгидрид-тетрагидрофуран (0,33 мл) и полученную смесь перемешивают в течение 1 часа в токе азота при охлаждении на льду. К реакционной смеси добавляют насыщенный раствор хлорида аммония и экстрагируют этилацетатом. Органический слой промывают насыщенным раствором соли, сушат над сульфатом магния и концентрируют при пониженном давлении. Полученный остаток очищают колоночной хроматографией (силикагель; гексан:этилацетат=1:1) с получением этилового эфира (2R,4S)-4-{[3,5-бис(трифторметил)бензил]-[5-(5-гидроксиметилпиридин-3-ил)пиримидин-2-ил]}амино-2-этил-6-метокси-3,4-дигидро-2Н-[1,5]нафтиридин-1-карбоновой кислоты (84 мг). MC (m/z): 691 [М+Н]+.
Пример 154
Этиловый эфир (2R*,4S*)-4-{[3,5-бис(трифторметил)бензил]-(5-иодпиримидин-2-ил)}амино-2-этил-6-метокси-3,4-дигидро-2Н-[1,5]нафтиридин-1-карбоновой кислоты (350 мг) растворяют в 1,4-диоксане (1 мл), затем к раствору добавляют пирролидин-2-он (100 мг), трис(дибензилиденацетон)дипалладий (23 мг), 9,9-диметил-4,5-бис(дифенилфосфино)ксантен (21 мг) и карбонат цезия (241 мг) и полученную смесь перемешивают при 100°С в токе азота в течение ночи. После охлаждения до комнатной температуры к реакционной смеси добавляют воду с последующей экстракцией этилацетатом. Органический слой промывают насыщенным раствором соли, сушат над сульфатом магния, затем добавляют небольшое количество NH-силикагеля, смесь фильтруют и фильтрат концентрируют при пониженном давлении. Полученный остаток очищают колоночной хроматографией (силикагель; гексан:этилацетат=4:1) с получением этилового эфира (2R*,4S*)-4-{[3,5-бис(трифторметил)бензил]-(пиримидин-2-ил)}амино-2-этил-6-метокси-3,4-дигидро-2Н-[1,5]нафтиридин-1-карбоновой кислоты (105 мг). MC (m/z): 584 [М+Н]+.
Пример 155
(1) Смесь этилового эфира (2R*,4S*)-4-амино-2-этил-6-метокси-3,4-дигидро-2Н-[1,5]нафтиридин-1-карбоновой кислоты (300 мг), 2-хлор-4,6-диметоксипиримидина (468 мг), N,N-диизопропилэтиламина (0,467 мл) и 1,4-диоксана (5 мл) кипятят с обратным холодильником в течение 2 дней. Реакционный раствор концентрируют при пониженном давлении и полученный остаток очищают колоночной хроматографией (силикагель; гексан:этилацетат=80:20 60:40) с получением этилового эфира (2R*,4S*)-4-(4,6-диметоксипиримидин-2-ил)амино-2-этил-6-метокси-3,4-дигидро-2Н-[1,5]нафтиридин-1-карбоновой кислоты (280 мг). MC (m/z): 418 [М+Н]+.
(2) Этиловый эфир (2R*,4S*)-4-(4,6-диметоксипиримидин-2-ил)амино-2-этил-6-метокси-3,4-дигидро-2Н-[1,5]нафтиридин-1-карбоновой кислоты (260 мг) растворяют в N,N-диметилформамиде (1 мл), затем к раствору добавляют гидрид натрия (62,7%, 31 мг) при охлаждении на льду и полученную смесь перемешивают в течение 15 минут. Затем добавляют 3,5-бис(трифторметил)бензилбромид (0,171 мл) и полученную смесь перемешивают при комнатной температуре в течение 2 часов. К реакционному раствору добавляют воду, органический слой промывают насыщенным раствором соли, сушат над сульфатом магния и концентрируют при пониженном давлении. Полученный остаток очищают колоночной хроматографией (силикагель; гексан:этилацетат=90:10 60:40) с получением этилового эфира (2R*,4S*)-4-{[3,5-бис(трифторметил)бензил]-(4,6-диметоксипиримидин-2-ил)}амино-2-этил-6-метокси-3,4-дигидро-2Н-[1,5]нафтиридин-1-карбоновой кислоты (285 мг) MC (m/z): 644 [М+Н]+.
Пример 156
(1) Этиловый эфир (2R,4S)-4-(5-бромпиридин-2-ил)амино-2-этил-6-метокси-3,4-дигидро-2Н-[1,5]нафтиридин-1-карбоновой кислоты (250 мг) растворяют в N,N-диметилформамиде (3 мл), затем к раствору добавляют гидрид натрия (28 мг) при охлаждении на льду и полученную смесь перемешивают в течение 30 минут. К реакционной смеси добавляют 1-бромметил-3,5-диметилбензол (171 мг) и полученную смесь перемешивают при комнатной температуре в течение одного дня. К реакционному раствору добавляют воду и экстрагируют эфиром. Органический слой промывают насыщенным раствором соли, сушат над сульфатом магния и концентрируют при пониженном давлении. Полученный остаток очищают колоночной хроматографией (силикагель; гексан:этилацетат=9:1 4:1) с получением этилового эфира (2R*,4S*)-4-[(5-бромпиримидин-2-ил)-(3,5-диметилбензил)]амино-2-этил-6-метокси-3,4-дигидро-2Н-[1,5]нафтиридин-1-карбоновой кислоты (268 мг). MC (m/z): 554/556 [М+Н]+.
(2) Этиловый эфир (2R*,4S*)-4-[(5-бромпиримидин-2-ил)-(3,5-диметилбензил)]амино-2-этил-6-метокси-3,4-дигидро-2Н-[1,5]нафтиридин-1-карбоновой кислоты (268 мг) растворяют в толуоле (10 мл), затем к раствору добавляют трис(дибензилиденацетон)дипалладий (44 мг), трет-бутоксид натрия (70 мг), 2-(ди-трет-бутилфосфино)бифенил (57 мг) и морфолин (0,06 мл) и полученную смесь перемешивают при комнатной температуре в атмосфере азота в течение 1 часа. Реакционный раствор нагревают до 50°С и перемешивают в течение 1 часа. К реакционному раствору добавляют NH-силикагель и смесь фильтруют. К фильтрату добавляют насыщенный водный раствор гидрокарбоната натрия и экстрагируют эфиром. Органический слой промывают насыщенным раствором соли, сушат над сульфатом магния и концентрируют при пониженном давлении. Полученный остаток очищают колоночной хроматографией (силикагель; гексан:этилацетат=3:1 1:1) с получением этилового эфира (2R*,4S*)-4-{(3,5-диметилбензил)-[5-(морфолин-4-ил)пиримидин-2-ил]}амино-2-этил-6-метокси-3,4-дигидро-2Н-[1,5]нафтиридин-1-карбоновой кислоты (168 мг). MC (m/z): 561 [М+Н]+.
Пример 157

Соответствующие исходные соединения обрабатывают аналогично примеру 156-(1) с получением вышеуказанного соединения. MC (m/z): 551/553 [М+Н]+.
Пример 158

Соответствующие исходные соединения обрабатывают аналогично примеру 156-(2) с получением вышеуказанного соединения. MC (m/z): 558 [М+Н]+.
Пример 159

Соответствующие исходные соединения обрабатывают аналогично примеру 137 с получением вышеуказанного соединения. MC (m/z): 633 [М+Н]+.
Пример 160

Соответствующие исходные соединения обрабатывают аналогично примеру 141 с получением вышеуказанного соединения. MC (m/z): 545 [М+Н]+.
Примеры 161-176
Соответствующие исходные соединения обрабатывают аналогично примеру 156 с получением соединений, перечисленных в таблице 19.



Пример 177
(1) Этиловый эфир (2R*,4S*)-4-(5-бромпиридин-2-ил)амино-2-этил-6-метокси-3,4-дигидро-2Н-[1,5]нафтиридин-1-карбоновой кислоты (1 г), трис(дибензилиденацетон)дипалладий (210 мг), трет-бутоксид натрия (661 мг), 2-(ди-трет-бутилфосфино)бифенил (137 мг) и морфолин (400 мкл) растворяют в толуоле (10 мл) и полученную смесь перемешивают при 40°С в токе азота в течение 19 часов. После охлаждения до комнатной температуры к реакционной смеси добавляют насыщенный раствор соли и этилацетат. Органический слой промывают насыщенным раствором соли, сушат над сульфатом магния и концентрируют при пониженном давлении. Полученный остаток очищают колоночной хроматографией (силикагель; гексан:этилацетат=9:1 2:1) с получением этилового эфира (2R*,4S*)-2-этил-6-метокси-4-[5-(морфолин)пиримидин-2-ил]амино-3,4-дигидро-2Н-[1,5]нафтиридин-1-карбоновой кислоты (560 мг). MC (m/z): 443 [М+Н]+.
(2) Этиловый эфир (2R*,4S*)-2-этил-6-метокси-4-[5-(морфолин)пиримидин-2-ил]амино-3,4-дигидро-2Н-[1,5]нафтиридин-1-карбоновой кислоты (118 мг) растворяют в N,N-диметилформамиде (2 мл), к раствору добавляют гидрид натрия (62,7%, 13 мг) в токе азота при охлаждении на льду и полученную смесь перемешивают при комнатной температуре в течение 30 минут. После добавления 4-фторбензилбромида (86 мкл) при охлаждении на льду полученную смесь перемешивают при комнатной температуре в течение ночи. К смеси добавляют воду и этилацетат, смесь промывают насыщенным раствором соли, органический слой сушат над сульфатом магния и концентрируют при пониженном давлении. Полученный остаток очищают колоночной хроматографией (силикагель; гексан:этилацетат=2:1 1:1) с получением этилового эфира (2R*,4S*)-2-этил-4-{(4-фторбензил)-[5-(морфолин-4-ил)пиримидин-2-ил]}амино-6-метокси-3,4-дигидро-2Н-[1,5]нафтиридин-1-карбоновой кислоты (93 мг). MC (m/z): 551 [М+Н]+.
Примеры 178-183
Соответствующие исходные соединения обрабатывают аналогично примеру 177-(2) с получением соединений, перечисленных в таблице 20.

Пример 184
Триметилсилилхлорид (4,6 л) добавляют по каплям к суспензии этилового эфира (2R,4S)-4-{[3,5-бис(трифторметил)бензил]-[5-(морфолин-4-ил)пиримидин-2-ил]}амино-2-этил-6-метокси-3,4-дигидро-2Н-[1,5]нафтиридин-1-карбоновой кислоты (2,4 г), иодида натрия (5,4 г) и ацетонитрила (50 мл) при 80°С. После добавления реакционный раствор охлаждают до комнатной температуры и добавляют насыщенный водный раствор тиосульфата натрия и этилацетат. Органический слой промывают насыщенным раствором соли, сушат над сульфатом магния и концентрируют при пониженном давлении. Полученный остаток очищают колоночной хроматографией (силикагель; гексан:этилацетат=2:1 0:1) с получением этилового эфира (2R,4S)-4-{[3,5-бис(трифторметил)бензил]-[5-(морфолин-4-ил)пиримидин-2-ил]}амино-2-этил-6-гидрокси-3,4-дигидро-2Н-[1,5]нафтиридин-1-карбоновой кислоты (988 мг). MC (m/z): 655 [М+Н]+.
Пример 185
Этиловый эфир (2R,4S)-4-{[3,5-бис(трифторметил)бензил]-[5-(морфолин-4-ил)пиримидин-2-ил]}амино-2-этил-6-гидрокси-3,4-дигидро-2Н-[1,5]нафтиридин-1-карбоновой кислоты (207 г) растворяют в N,N-диметилформамиде (3 мл), затем к раствору добавляют гидрид натрия (62,7%, 15 мг) при охлаждении на льду и полученную смесь перемешивают при комнатной температуре в течение 30 минут. После добавления этилиодида (50 мкл) при охлаждении на льду полученную смесь перемешивают при комнатной температуре в течение 2 часов. К смеси добавляют воду и этилацетат, органический слой промывают насыщенным раствором соли, сушат над сульфатом магния и концентрируют при пониженном давлении. Полученный остаток очищают колоночной хроматографией (силикагель; гексан:этилацетат=9:1 7:3) с получением этилового эфира (2R,4S)-4-{[3,5-бис(трифторметил)бензил]-[5-(морфолин-4-ил)пиримидин-2-ил]}амино-2-этил-6-этокси-3,4-дигидро-2Н-[1,5]нафтиридин-1-карбоновой кислоты (141 мг). MC (m/z): 683 [М+Н]+.
Пример 188
Этиловый эфир (2R,4S)-4-{[3,5-бис(трифторметил)бензил]-[5-(морфолин-4-ил)пиримидин-2-ил]}амино-2-этил-6-гидрокси-3,4-дигидро-2Н-[1,5]нафтиридин-1-карбоновой кислоты (100 мг), карбонат цезия (55 мг) и метиловый эфир 2-хлор-2,2-дифторуксусной кислоты (44 мг) растворяют в N,N-диметилформамиде (1 мл) и перемешивают при 75°С в течение 17 часов. Реакционный раствор охлаждают до комнатной температуры и добавляют водный раствор лимонной кислоты и этилацетат. Органический слой промывают насыщенным раствором соли, сушат над сульфатом магния и концентрируют при пониженном давлении. Полученный остаток очищают колоночной хроматографией (силикагель; гексан:этилацетат=9:1 4:1) с получением этилового эфира (2R,4S)-4-{[3,5-бис(трифторметил)бензил]-[5-(морфолин-4-ил)пиримидин-2-ил]}амино-2-этил-6-дифторметокси-3,4-дигидро-2Н-[1,5]нафтиридин-1-карбоновой кислоты (101 мг). MC (m/z): 705 [М+Н]+.
Пример 187
Этиловый эфир (2R,4S)-4-{[3,5-бис(трифторметил)бензил]-[5-(морфолин-4-ил)пиримидин-2-ил]}амино-2-этил-6-гидрокси-3,4-дигидро-2Н-[1,5]нафтиридин-1-карбоновой кислоты (775 мг) и пиридин (287 мкл) растворяют в метиленхлориде (5 мл), затем к раствору добавляют по каплям трифторметансульфоновый ангидрид (240 мкл) при охлаждении на льду и полученную смесь перемешивают при той же температуре в течение 4 часов. К реакционному раствору добавляют водный раствор лимонной кислоты, органический слой промывают насыщенным раствором соли, сушат над сульфатом магния и концентрируют при пониженном давлении. Полученный остаток очищают колоночной хроматографией (силикагель; гексан:этилацетат=6:1 2:1) с получением этилового эфира (2R,4S)-4-{[3,5-бис(трифторметил)бензил]-[5-(морфолин-4-ил)пиримидин-2-ил]}амино-2-этил-6-трифторметансульфонилокси-3,4-дигидро-2Н-[1,5]нафтиридин-1-карбоновой кислоты (567 мг). MC (m/z): 787 [М+Н]+.
Пример 188
Смесь этилового эфира (2R,4S)-4-{[3,5-бис(трифторметил)бензил]-[5-(морфолин-4-ил)пиримидин-2-ил]}амино-2-этил-6-трифторметансульфонилокси-3,4-дигидро-2Н-[1,5]нафтиридин-1-карбоновой кислоты (732 мг), тетракис(трифенилфосфин)палладия (каталитическое количество), цианида цинка (142 мг) и N,N-диметилформамида (10 мл) перемешивают при 95°С в токе азота в течение 8 часов. После охлаждения до комнатной температуры к реакционному раствору добавляют воду и этилацетат. Органический слой промывают насыщенным раствором соли, сушат над сульфатом магния и концентрируют при пониженном давлении. Полученный остаток очищают колоночной хроматографией (силикагель; гексан:этилацетат=4:1 2:1) с получением этилового эфира (2R,4S)-4-{[3,5-бис(трифторметил)бензил]-[5-(морфолин-4-ил)пиримидин-2-ил]}амино-6-циано-2-этил-3,4-дигидро-2Н-[1,5]нафтиридин-1-карбоновой кислоты (572 мг). MC (m/z): 664 [М+Н]+.
Пример 189
Этиловый эфир (2R,4S)-4-{[3,5-бис(трифторметил)бензил]-[5-(морфолин-4-ил)пиримидин-2-ил]}амино-6-циано-2-этил-3,4-дигидро-2Н-[1,5]нафтиридин-1-карбоновой кислоты (458 мг) растворяют в этаноле (5 мл), затем к раствору добавляют каталитическое количество никеля Ренея и полученную смесь перемешивают при комнатной температуре в атмосфере азота в течение 5 часов. Катализатор удаляют фильтрованием и фильтрат концентрируют при пониженном давлении. Полученный остаток очищают колоночной хроматографией (NH-силикагель; гексан:этилацетат=1:2 0:1) с получением этилового эфира (2R,4S)-6-аминометил-4-{[3,5-бис(трифторметил)бензил]-[5-(морфолин-4-ил)пиримидин-2-ил]}амино-2-этил-3,4-дигидро-2Н-[1,5]нафтиридин-1-карбоновой кислоты (211 мг). MC (m/z): 668 [М+Н]+.
Пример 190
Этиловый эфир (2R,4S)-4-{[3,5-бис(трифторметил)бензил]-[5-(морфолин-4-ил)пиримидин-2-ил]}амино-2-этил-6-трифторметансульфонилокси-3,4-дигидро-2Н-[1,5]нафтиридин-1-карбоновой кислоты (250 мг) растворяют в 1,4-диоксане (3 мл) и к раствору добавляют каталитическое количество тетракис(трифенилфосфин)палладия, каталитическое количество карбоната серебра и каталитическое количество хлорида меди (I) в токе азота. После добавления по каплям раствора триметилалюминий-гексан (1М, 480 мкл) смесь перемешивают при 60°С в течение 30 минут. После охлаждения до комнатной температуры к реакционному раствору добавляют насыщенный водный раствор гидрокарбоната натрия и этилацетат. Органический слой промывают насыщенным раствором соли, сушат над сульфатом магния и концентрируют при пониженном давлении. Полученный остаток очищают колоночной хроматографией (NH-силикагель; гексан:этилацетат=9:1 4:1) с получением этилового эфира (2R,4S)-4-{[3,5-бис(трифторметил)бензил]-[5-(морфолин-4-ил)пиримидин-2-ил]}амино-2-этил-6-метил-3,4-дигидро-2Н-[1,5]нафтиридин-1-карбоновой кислоты (153 мг). MC (m/z): 653 [М+Н]+.
Пример 191
(1) 5-амино-2-метоксипиридин (5,0 г) растворяют в метиленхлориде (100 мл) и к раствору добавляют сульфат натрия (3,5 г). Реакционный раствор охлаждают до -25°С, затем добавляют ацетальдегид (2,26 мл) и полученную смесь перемешивают при той же температуре в течение 2 часов и 30 минут. Сульфат натрия удаляют фильтрованием и фильтрат охлаждают до -25°С. После добавления бензилового эфира N-винилкарбаминовой кислоты (7,12 г) и комплекса трифторид бора-диэтиловый эфир (0,51 мл) полученную смесь перемешивают при той же температуре в течение 1 часа и затем при комнатной температуре в течение ночи. Реакционный раствор концентрируют при пониженном давлении и полученный остаток очищают колоночной хроматографией (силикагель; гексан:этилацетат=9:1 3:1) с получением бензилового эфира (2R*,4S*)-(6-метокси-2-метил-1,2,3,34-тетрагидро[1,5]нафтиридин-4-ил)карбаминовой кислоты (8,56 г). MC (m/z): 328 [М+Н]+.
(2) Бензиловый эфир (2R*,4S*)-(6-метокси-2-метил-1,2,3,4-тетрагидро[1,5]нафтиридин-4-ил)карбаминовой кислоты (8,55 г) и пиридин (10,6 мл) растворяют в метиленхлориде (75 мл) затем к раствору добавляют по каплям этилхлорформиат (12,5 мл) при охлаждении на льду и полученную смесь перемешивают при той же температуре в течение 2 часов. К реакционному раствору добавляют водный раствор лимонной кислоты, органический слой промывают насыщенным раствором соли, сушат над сульфатом натрия и концентрируют при пониженном давлении. Полученный остаток очищают колоночной хроматографией (силикагель; гексан:этилацетат=9:1 3:1) с получением этилового эфира (2R*,4S*)-4-бензилоксикарбониламино-6-метокси-2-метил-3,4-дигидро-2Н-[1,5]нафтиридин-1-карбоновой кислоты (6,18 г). MC (m/z): 400 [М+Н]+.
(3) Этиловый эфир (2R*,4S*)-4-бензилоксикарбониламино-6-метокси-2-метил-3,4-дигидро-2Н-[1,5]нафтиридин-1-карбоновой кислоты (5,83 г) растворяют в смешанном растворителе из этанола (60 мл) и тетрагидрофурана (60 мл), затем к раствору добавляют 10% палладий на угле (500 мг) и полученную смесь перемешивают при комнатной температуре в атмосфере водорода в течение 7 часов. Катализатор удаляют фильтрованием, фильтрат концентрируют при пониженном давлении с получением этилового эфира (2R*,4S*)-4-амино-6-метокси-2-метил-3,4-дигидро-2Н-[1,5]нафтиридин-1-карбоновой кислоты (3,85 г). MC (m/z): 266 [М+Н]+.
(4) Этиловый эфир (2R*,4S*)-4-амино-6-метокси-2-метил-3,4-дигидро-2Н-[1,5]нафтиридин-1-карбоновой кислоты (3,80 г), 5-бром-2-хлорпиримидин (6,92 г) и N,N-диизопропилэтиламин (6,23 мл) растворяют в 1,4 диоксане (50 мл) и полученную смесь кипятят с обратным холодильником в течение 4 часов. После охлаждения до комнатной температуры реакционный раствор распределяют между насыщенным водным раствором гидрокарбоната натрия и этилацетата. Органический слой промывают насыщенным раствором соли, сушат над сульфатом магния и концентрируют при пониженном давлении. Полученный остаток очищают колоночной хроматографией (силикагель; гексан:этилацетат=9:1 6:4) с получением этилового эфира (2R*,4S*)-4-(5-бромпиримидин-2-ил)амино-6-метокси-2-метил-3,4-дигидро-2Н-[1,5]нафтиридин-1-карбоновой кислоты (5,92 г). MC (m/z): 422/424 [М+Н]+.
(5) Этиловый эфир (2R*,4S*)-4-(5-бромпиримидин-2-ил)амино-6-метокси-2-метил-3,4-дигидро-2Н-[1,5]нафтиридин-1-карбоновой кислоты (5,9 г) растворяют в N,N-диметилформамиде (60 мл), затем к раствору добавляют гидрид натрия (62,7%, 697 мг) при комнатной температуре и полученную смесь перемешивают при комнатной температуре в течение 2 часов. К реакционному раствору добавляют воду и этилацетат, органический слой промывают насыщенным раствором соли, сушат над сульфатом магния и концентрируют при пониженном давлении. Полученный остаток кристаллизуют из диизопропилового эфира и гексана с получением этилового эфира (2R*,4S*)-4-{[3,5-бис(трифторметил)бензил]-(5-бромпиримидин-2-ил)}амино-6-метокси-2-метил-3,4-дигидро-2Н-[1,5]нафтиридин-1-карбоновой кислоты (6,1 г). MC (m/z): 648/650 [М+Н]+.
Примеры 192-195
Соответствующие исходные соединения обрабатывают аналогично примеру 15 с получением соединений, перечисленных в таблице 21.

Пример 196
Этиловый эфир (2R*,4S*)-4-амино-2-этил-6-метокси-3,4-дигидро-2Н-[1,5]нафтиридин-1-карбоновой кислоты (3 г), 2,5-дибромпиридин (5,09 г), трис(дибензилиденацетон)дипалладий (196 мг), трет-бутоксид натрия (2,1 г), 2-циклогексилфосфино-2′-(N,N-диметиламино)бифенил (169 мг) растворяют в толуоле (30 мл) и полученную смесь перемешивают при комнатной температуре в токе азота в течение ночи. К реакционному раствору добавляют насыщенный раствор соли, этилацетат и органический слой сушат над сульфатом магния и концентрируют при пониженном давлении. Полученный остаток очищают колоночной хроматографией (силикагель; гексан:этилацетат=9:1 8:1) с получением этилового эфира (2R*,4S*)-4-(5-бромпиримидин-2-ил)амино-2-этил-6-метокси-3,4-дигидро-2Н-[1,5]нафтиридин-1-карбоновой кислоты (306 мг). MC (m/z): 435/437 [М+Н]+.
(2) Полученный продукт обрабатывают аналогично примеру 1-(6) с получением этилового эфира (2R*,4S*)-4-{[3,5-бис(трифторметил)бензил]-(5-бромпиримидин-2-ил)}амино-2-этил-6-метокси-3,4-дигидро-2Н-[1,5]нафтиридин-1-карбоновой кислоты (207 мг). MC (m/z): 661/663 [М+Н]+.
Пример 197

Соответствующие исходные соединения обрабатывают аналогично примеру 196 с получением вышеуказанного соединения. MC (m/z): 661/663 [М+Н]+.
Примеры 198-199
Соответствующие исходные соединения обрабатывают аналогично примеру 15 с получением соединений, перечисленных в таблице 22.

| Таблица 22 |
Пример  |
Конфигурация |
Физические свойства и т.д. |
| 198 |
(2R*,4S*) |
МС (m/z): 668 [M+H]+ |
| 199 |
(2R,4S) |
МС (m/z): 668 [M+H]+ |
Пример 200
Этиловый эфир (2R*,4S*)-4-амино-2-этил-6-метокси-3,4-дигидро-2Н-[1,5]нафтиридин-1-карбоновой кислоты (3,3 г), 6-хлорникотинонитрил (4,9 г) и N,N-диизопропилэтиламин (4,1 мл) растворяют в 1,4-диоксане (25 мл) и смесь перемешивают при кипении с обратным холодильником в течение 24 часов. К реакционному раствору добавляют насыщенный раствор соли и этилацетат, органический слой сушат над сульфатом магния и концентрируют при пониженном давлении. Полученный остаток очищают колоночной хроматографией (силикагель; гексан:этилацетат=4:1) с получением этилового эфира (2R*,4S*)-4-(5-цианопиридин-2-ил)амино-2-этил-6-метокси-3,4-дигидро-2Н-[1,5]нафтиридин-1-карбоновой кислоты (4,13 г). MC (m/z): 382 [М+Н]+.
(2) Полученный продукт обрабатывают аналогично примеру 1-(6) с получением этилового эфира (2R*,4S*)-4-{[3,5-бис(трифторметил)бензил]-(5-цианопиридин-2-ил)}амино-2-этил-6-метокси-3,4-дигидро-2Н-[1,5]нафтиридин-1-карбоновой кислоты (207 мг). MC (m/z): 608 [М+Н]+.
Пример 201

Соответствующие исходные соединения обрабатывают аналогично примеру 147 с получением вышеуказанного соединения. MC (m/z): 651 [М+Н]+.
Пример 202
Этиловый эфир (2R*,4S*)-4-{[3,5-бис(трифторметил)бензил]-[5-(тетразол-5-ил)пиридин-2-ил]}амино-2-этил-6-метокси-3,4-дигидро-2Н-[1,5]нафтиридин-1-карбоновой кислоты (120 мг), карбонат калия (51 мг) и избыток 2-бромэтанола растворяют в N,N-диметилформамиде (3 мл) и полученную смесь перемешивают при 50°С в течение 2 часов. К реакционному раствору добавляют воду и этилацетат и органический слой промывают насыщенным раствором соли, сушат над сульфатом магния и концентрируют при пониженном давлении. Полученный остаток очищают колоночной хроматографией (силикагель; гексан:этилацетат=2:1 1:1) с получением этилового эфира (2R*,4S*)-4-([3,5-бис(трифторметил)бензил]-{5-[2-(2-гидроксиэтил)-2Н-тетразол-5-ил]пиридин-2-ил})-амино-2-этил-6-метокси-3,4-дигидро-2Н-[1,5]нафтиридин-1-карбоновой кислоты (119 мг). MC (m/z): 695 [М+Н]+.
Пример 203
Суспензию этилового эфира (2R*,4S*)-4-{[3,5-бис(трифторметил)бензил]-(5-цианопиридин-2-ил)}амино-2-этил-6-метокси-3,4-дигидро-2Н-[1,5]нафтиридин-1-карбоновой кислоты (127 мг) и концентрированной хлористоводородной кислоты (2 мл) перемешивают при кипении с обратным холодильником в течение 2 часов. К реакционному раствору добавляют воду и этилацетат, органический слой промывают насыщенным раствором соли, сушат над сульфатом натрия и концентрируют при пониженном давлении. Полученный остаток очищают колоночной хроматографией (силикагель; гексан:этилацетат=19:1 9:1) с получением этилового эфира (2R*,4S*)-4-{[3,5-бис(трифторметил)бензил]-(5-карбоксипиридин-2-ил)}амино-2-этил-6-метокси-3,4-дигидро-2Н-[1,5]нафтиридин-1-карбоновой кислоты (48 мг). MC (m/z): 627 [М+Н]+.
Пример 204
Этиловый эфир (2R*,4S*)-4-{[3,5-бис(трифторметил)бензил]-(5-цианопиридин-2-ил)}амино-2-этил-6-метокси-3,4-дигидро-2Н-[1,5]нафтиридин-1-карбоновой кислоты (1,5 г) растворяют в этаноле (30 мл) и к раствору добавляют по каплям ацетилхлорид (14 мл) при 0°С. После добавления по каплям смесь перемешивают при комнатной температуре в течение ночи. К реакционному раствору добавляют насыщенный водный раствор гидрокарбоната натрия и этилацетат, органический слой промывают насыщенным раствором соли, сушат над сульфатом магния и концентрируют при пониженном давлении. Полученный остаток очищают колоночной хроматографией (силикагель; гексан:этилацетат=9:1 1:1) с получением этилового эфира (2R*,4S*)-4-{[3,5-бис(трифторметил)бензил]-(5-этоксикарбонимидоилпиридин-2-ил)}амино-2-этил-6-метокси-3,4-дигидро-2Н-[1,5]нафтиридин-1-карбоновой кислоты (221 мг), MC (m/z): 654 [М+Н]+, этилового эфира (2R*,4S*)-4-{[3,5-бис(трифторметил)бензил]-(5-карбамоилпиридин-2-ил)}амино-2-этил-6-метокси-3,4-дигидро-2Н-[1,5]нафтиридин-1-карбоновой кислоты (404 мг), MC (m/z): 626 [М+Н]+, и этилового эфира (2R*,4S*)-4-{[3,5-бис(трифторметил)бензил]-(5-этоксикарбонилпиридин-2-ил)}амино-2-этил-6-метокси-3,4-дигидро-2Н-[1,5]нафтиридин-1-карбоновой кислоты (596 мг), MC (m/z): 655 [М+Н]+.
Пример 205
Этиловый эфир (2R*,4S*)-4-{[3,5-бис(трифторметил)бензил]-(5-этоксикарбонимидоилпиридин-2-ил)}амино-2-этил-6-метокси-3,4-дигидро-2Н-[1,5]нафтиридин-1-карбоновой кислоты (100 мг) и этилендиамин (150 мкл) растворяют в этаноле (3 мл) и полученную смесь перемешивают при кипении с обратным холодильником в течение 4 часов. После охлаждения до комнатной температуры к реакционному раствору добавляют насыщенный раствор соли и этилацетат. Органический слой сушат над сульфатом магния и концентрируют при пониженном давлении. Полученный остаток очищают колоночной хроматографией (NH-силикагель; гексан:этилацетат=1:1 1:2) с получением этилового эфира (2R*,4S*)-4-{[3,5-бис(трифторметил)бензил]-[5-(4,5-дигидро-1Н-имидазол-2-ил)пиридин-2-ил]}амино-2-этил-6-метокси-3,4-дигидро-2Н-[1,5]нафтиридин-1-карбоновой кислоты (96 мг). MC (m/z): 651 [М+Н]+.
Пример 206

Соответствующие исходные соединения обрабатывают аналогично примеру 205 с получением вышеуказанного соединения. MC (m/z): 652 [М+Н]+.
Пример 207
(1) Этиловый эфир (2R*,4S*)-4-амино-2-этил-6-метокси-3,4-дигидро-2Н-[1,5]нафтиридин-1-карбоновой кислоты (2,13 г) растворяют в 1,4-диоксане (40 мл), затем к раствору добавляют диизопропилэтиламин (4 мл) и бензиловый эфир 5-хлорпиразин-2-карбоновой кислоты (1,9 г), полученную смесь нагревают до 110°С в токе азота и перемешивают в течение 20 часов. После добавления дистиллированной воды смесь экстрагируют эфиром. Органический слой промывают насыщенным раствором соли, сушат над сульфатом магния и концентрируют при пониженном давлении. Полученный остаток очищают колоночной хроматографией (силикагель; гексан:этилацетат=4:1 1:1) с получением этилового эфира (2R*,4S*)-4-(5-бензилоксикарбонилпиразин-2-ил)амино-2-этил-6-метокси-3,4-дигидро-2Н-[1,5]нафтиридин-1-карбоновой кислоты (2,24 г). MC (m/z): 492 [М+Н]+.
(2) Этиловый эфир (2R*,4S*)-4-(5-бензилоксикарбонилпиразин-2-ил)амино-2-этил-6-метокси-3,4-дигидро-2Н-[1,5]нафтиридин-1-карбоновой кислоты (2,2 г) растворяют в N,N-диметилформамиде (20 мл), затем к раствору добавляют гидрид натрия (62,7%, 223 мг) при охлаждении на льду и полученную смесь перемешивают в течение 10 минут. После добавления 3,5-бистрифторбензилбромида (1 мл) смесь экстрагируют эфиром. Органический слой промывают насыщенным раствором соли, сушат над сульфатом магния и концентрируют при пониженном давлении. Полученный остаток очищают колоночной хроматографией (силикагель; гексан:этилацетат=9:1 4:1) с получением этилового эфира (2R*,4S*)-4-{(5-бензилоксикарбонилпиразин-2-ил)-[3,5-бис(трифторметил)бензил]}амино-2-этил-6-метокси-3,4-дигидро-2Н-[1,5]нафтиридин-1-карбоновой кислоты (2,39 г). MC (m/z): 718 [М+Н]+.
Пример 208

Соответствующие исходные соединения обрабатывают аналогично примеру 7 с получением вышеуказанного соединения. MC (m/z): 628 [М+Н]+.
Пример 209
Этиловый эфир (2R*,4S*)-4-{[3,5-бис(трифторметил)бензил]-[5-карбоксипиразин-2-ил]}амино-2-этил-6-метокси-3,4-дигидро-2Н-[1,5]нафтиридин-1-карбоновой кислоты (1 г) растворяют в толуоле (8 мл), затем к раствору добавляют триэтиламин (0,67 мл) и дифенилфосфорилазид (0,52 мл) и полученную смесь перемешивают при комнатной температуре в токе азота в течение 1 часа. После добавления насыщенного водного раствора гидрокарбоната натрия смесь перемешивают при комнатной температуре в течение 2 часов. Смесь экстрагируют эфиром, органический слой сушат над сульфатом магния и концентрируют при пониженном давлении. Полученный остаток растворяют в толуоле (8 мл) и перемешивают при 80°С в течение 5 дней. После добавления воды смесь экстрагируют эфиром. Органический слой сушат над сульфатом магния и концентрируют при пониженном давлении. Полученный остаток очищают колоночной хроматографией (NH-силикагель; гексан:этилацетат=4:1 1:1) с получением этилового эфира (2R*,4S*)-4-{(5-аминопиразин-2-ил)-[3,5-бис(трифторметил)бензил]}амино-2-этил-6-метокси-3,4-дигидро-2Н-[1,5]нафтиридин-1-карбоновой кислоты (540 мг). MC (m/z): 599 [М+Н]+.
Пример 210
Этиловый эфир (2R*,4S*)-4-амино-2-этил-6-метокси-3,4-дигидро-2Н-[1,5]нафтиридин-1-карбоновой кислоты (5 г) растворяют в толуоле (50 мл), затем к раствору добавляют трис(дибензилиденацетон)дипалладий (293 мг), трет-бутоксид натрия (3,8 г), 2-(ди-трет-бутилфосфино)бифенил (376 мг) и 2,6-дихлорпиразин (4,7 г) и полученную смесь перемешивают при комнатной температуре в токе азота в течение 23 часов. После добавления насыщенного водного раствора гидрокарбоната натрия смесь экстрагируют эфиром. Органический слой промывают насыщенным раствором соли, сушат над сульфатом магния и концентрируют при пониженном давлении. Полученный остаток очищают колоночной хроматографией (силикагель; гексан:этилацетат=6:1 3:1) с получением этилового эфира (2R*,4S*)-4-(6-хлорпиразин-2-ил)амино-2-этил-6-метокси-3,4-дигидро-2Н-[1,5]нафтиридин-1-карбоновой кислоты (5,3 г). MC (m/z): 392 [М+Н]+.
(2) Этиловый эфир (2R*,4S*)-4-(6-хлорпиразин-2-ил)амино-2-этил-6-метокси-3,4-дигидро-2Н-[1,5]нафтиридин-1-карбоновой кислоты (1,1 г) растворяют в N,N-диметилформамиде (15 мл), затем к раствору добавляют гидрид натрия (62,7%, 139,7 мг) при охлаждении на льду и смесь перемешивают в течение 15 минут. После добавления 3,5-бистрифторбензилбромида (0,94 мл) смесь перемешивают при комнатной температуре в течение 20 часов. После добавления дистиллированной воды смесь экстрагируют эфиром. Органический слой промывают насыщенным раствором соли, сушат над сульфатом магния и концентрируют при пониженном давлении. Полученный остаток очищают колоночной хроматографией (силикагель; гексан:этилацетат=9:1 7:3) с получением этилового эфира (2R*,4S*)-4-{[3,5-бис(трифторметил)бензил]-(6-хлорпиразин-2-ил)}амино-2-этил-6-метокси-3,4-дигидро-2Н-[1,5]нафтиридин-1-карбоновой кислоты (900 мг). MC (m/z): 618/620 [М+Н]+.
Пример 211
Этиловый эфир (2R*,4S*)-4-{[3,5-бис(трифторметил)бензил]-(6-хлорпиразин-2-ил)}амино-2-этил-6-метокси-3,4-дигидро-2Н-[1,5]нафтиридин-1-карбоновой кислоты (300 мг) растворяют в 1,3-диметилимидазолидиноне (2 мл), затем к раствору добавляют диизопропилэтиламин (0,13 мл) и морфолин (0,6 мл), полученную смесь нагревают до 100°С и перемешивают в течение 3 дней. После добавления дистиллированной воды смесь экстрагируют эфиром. Органический слой промывают насыщенным раствором соли, сушат над сульфатом магния и концентрируют при пониженном давлении. Полученный остаток очищают колоночной хроматографией (NH-силикагель; гексан:этилацетат=9:1 7:3) с получением этилового эфира (2R*,4S*)-4-{[3,5-бис(трифторметил)бензил]-[6-(морфолин-4-ил)пиразин-2-ил]}амино-2-этил-6-метокси-3,4-дигидро-2Н-[1,5]нафтиридин-1-карбоновой кислоты (223,2 мг). MC (m/z): 669 [М+Н]+.
Примеры 212 и 213
Соответствующие исходные соединения обрабатывают аналогично примеру 211 с получением соединений, перечисленных в таблице 23.

Пример 214
(1) Этиловый эфир (2R*,4S*)-4-амино-2-этил-6-метокси-3,4-дигидро-2Н-[1,5]нафтиридин-1-карбоновой кислоты (5 г) растворяют в изопропаноле (5 мл), затем к раствору добавляют иодид меди (10,3 мл), этиленгликоль (0,12 мл), фосфат калия (454 мг) и 4-(5-иодпиримидин-2-ил)морфолин (311,5 мг) и полученную смесь нагревают до 80°С и перемешивают в токе азота в течение 20 часов. После добавления дистиллированной воды смесь экстрагируют эфиром. Органический слой промывают насыщенным раствором соли, сушат над сульфатом магния и концентрируют при пониженном давлении. Полученный остаток очищают колоночной хроматографией (NH-силикагель; гексан:этилацетат=17:3 3:1) с получением этилового эфира (2R*,4S*)-2-этил-6-метокси-4-[2-(морфолин-4-ил)пиримидин-5-ил]амино-3,4-дигидро-2Н-[1,5]нафтиридин-1-карбоновой кислоты (122,2 мг). MC (m/z): 443 [М+Н]+.
(2) Этиловый эфир (2R*,4S*)-2-этил-6-метокси-4-[2-(морфолин-4-ил)пиримидин-5-ил]амино-3,4-дигидро-2Н-[1,5]нафтиридин-1-карбоновой кислоты (50 мг) растворяют в ацетонитриле (0,5 мл), затем к раствору добавляют гидрид натрия (62,7%, 5,4 мг) при комнатной температуре и смесь перемешивают в течение 10 минут. После добавления 3,5-бис(трифторметил)бензилбромида (27 мкл) полученную смесь перемешивают в течение 22 часов. После добавления дистиллированной воды смесь экстрагируют эфиром. Органический слой промывают насыщенным раствором соли, сушат над сульфатом магния и концентрируют при пониженном давлении. Полученный остаток очищают колоночной хроматографией (силикагель; гексан:этилацетат=9:1 4:1) с получением этилового эфира (2R*,4S*)-4-{[3,5-бис(трифторметил)бензил]-[2-(морфолин-4-ил)пиримидин-5-ил]}амино-2-этил-6-метокси-3,4-дигидро-2Н-[1,5]нафтиридин-1-карбоновой кислоты (24,8 мг). MC (m/z): 669 [М+Н]+.
Пример 215
Этиловый эфир (2R,4S)-4-{[3,5-бис(трифторметил)бензил]-[5-(морфолин-4-ил)пиримидин-2-ил]}амино-2-этил-6-трифторметансульфонилокси-3,4-дигидро-2Н-[1,5]нафтиридин-1-карбоновой кислоты (250 мг) растворяют в 1,4-диоксане (3 мл) и к раствору добавляют каталитическое количество тетракис(трифенилфосфин)палладия, каталитическое количество карбоната серебра и каталитическое количество хлорида меди (I) в токе азота. После добавления по каплям раствора триэтилалюминий-гексан (1М, 480 мкл) полученную смесь перемешивают при 60°С в течение 30 минут. После охлаждения до комнатной температуры к реакционному раствору добавляют насыщенный водный раствор гидрокарбоната натрия и этилацетат. Органический слой промывают насыщенным раствором соли, сушат над сульфатом магния и концентрируют при пониженном давлении. Полученный остаток очищают колоночной хроматографией (NH-силикагель; гексан:этилацетат=9:1 4:1) с получением этилового эфира (2R,4S)-4-{[3,5-бис(трифторметил)бензил]-[5-(морфолин-4-ил)пиримидин-2-ил]}амино-2,6-диэтил-6-метокси-3,4-дигидро-2Н-[1,5]нафтиридин-1-карбоновой кислоты (77 мг). MC (m/z): 639 [М+Н]+.
Пример 216
Этиловый эфир (2R,4S)-4-{[3,5-бис(трифторметил)бензил]-(5-бромпиримидин-2-ил)}амино-2-этил-6-метокси-3,4-дигидро-2Н-[1,5]нафтиридин-1-карбоновой кислоты (18 г) растворяют в N,N-диметилформамиде (60 мл) и к раствору добавляют ацетат палладия (611 мг), 1,1′-бис(дифенилфосфино)ферроцен (3,02 г), этанол (31,7 мл) и триэтиламин (37,9 мл). Полученную смесь барботируют монооксидом углерода при комнатной температуре в течение 10 минут, затем нагревают при 90°С и перемешивают в течение ночи в атмосфере монооксида углерода. Реакционный раствор охлаждают до комнатной температуры, добавляют насыщенный раствор соли и экстрагируют этилацетатом. Органический слой промывают насыщенным раствором соли, сушат над сульфатом магния и концентрируют при пониженном давлении. Полученный остаток очищают колоночной хроматографией (силикагель; гексан:этилацетат=8:1) с получением этилового эфира (2R,4S)-4-{[3,5-бис(трифторметил)бензил]-(5-этоксикарбонилпиримидин-2-ил)}амино-2-этил-6-метокси-3,4-дигидро-2Н-[1,5]нафтиридин-1-карбоновой кислоты (12,4 г). MC (m/z): 656 [М+Н]+.
Пример 217

Соответствующее исходное соединение обрабатывают аналогично примеру 36 с получением соединения 217. MC (m/z): 628 [М+Н]+.
Пример 218
Этиловый эфир (2R,4S)-4-{[3,5-бис(трифторметил)бензил]-(5-карбоксипиримидин-2-ил)}амино-2-этил-6-метокси-3,4-дигидро-2Н-[1,5]нафтиридин-1-карбоновой кислоты (200 мг) растворяют в N,N-диметилформамиде (2 мл) и к раствору добавляют триэтиламин (53 мкл), гидрохлорид трет-бутилового эфира 3-метиламинопропионовой кислоты (101,14 мг), гидрат 1-гидроксибензотриазола (65 мг) и гидрохлорид 1-(3-диметиламинопропил)-3-этилкарбодиимида (92 мг) при охлаждении на льду. Смесь перемешивают при комнатной температуре в течение 21 часа. Реакционный раствор концентрируют при пониженном давлении, затем остаток распределяют между насыщенным водным раствором бикарбоната натрия и этилацетатом и органический слой концентрируют при пониженном давлении. Полученный остаток растворяют в растворе (2 мл) 4н. хлористоводородной кислоты в 1,4-диоксане и перемешивают при комнатной температуре в течение 1 часа. К реакционному раствору добавляют избыточное количество насыщенного водного раствора бикарбоната натрия и смесь нейтрализуют 1н. HCl, затем экстрагируют этилацетатом и концентрируют при пониженном давлении. Полученный остаток очищают колоночной хроматографией (силикагель; хлороформ:метанол=1:0 19:1) с получением этилового эфира (2R,4S)-4-([3,5-бис(трифторметил)бензил]-{5-[(2-карбоксиэтил)метилкарбамоил]пиримидин-2-ил})амино-2-этил-6-метокси-3,4-дигидро-2Н-[1,5]нафтиридин-1-карбоновой кислоты (223 мг). MC (m/z): 713 [М+Н]+.
Пример 219

Соответствующее исходное соединение обрабатывают аналогично примеру 218 с получением соединения 219. MC (m/z): 725 [М+Н]+.
Пример 220
Этиловый эфир (2R,4S)-4-{[3,5-бис(трифторметил)бензил]-(5-карбоксипиримидин-2-ил)}амино-2-этил-6-метокси-3,4-дигидро-2Н-[1,5]нафтиридин-1-карбоновой кислоты (200 мг) растворяют в N,N-диметилформамиде (2 мл) и к раствору добавляют триэтиламин (53 мкл), гидрохлорид метилового эфира 3-аминопропионовой кислоты (67 мг), гидрат 1-гидроксибензотриазола (65 мг) и гидрохлорид 1-(3-диметиламинопропил)-3-этилкарбодиимида (92 мг) при охлаждении на льду. Смесь перемешивают в течение 21 часа. Реакционный раствор концентрируют при пониженном давлении, затем остаток распределяют между насыщенным водным раствором бикарбоната натрия и этилацетатом и органический слой концентрируют при пониженном давлении. Полученный остаток растворяют в метаноле (2 мл), к раствору добавляют 5н. водный раствор NaOH (1 мл) и смесь перемешивают при комнатной температуре в течение 2 часов. К реакционному раствору добавляют 6н. HCl (0,85 мл), затем экстрагируют этилацетатом и органический слой концентрируют при пониженном давлении. Полученный остаток очищают колоночной хроматографией (силикагель; хлороформ:метанол=1:0 19:1) с получением этилового эфира (2R,4S)-4-([3,5-бис(трифторметил)бензил]-{5-[(2-карбоксиэтил)карбамоил]пиримидин-2-ил})амино-2-этил-6-метокси-3,4-дигидро-2Н-[1,5]нафтиридин-1-карбоновой кислоты (190 мг). MC (m/z): 699 [М+Н]+.
Примеры 221-222
Соответствующие исходные соединения обрабатывают аналогично примеру 220 с получением соединений, перечисленных в таблице 24.

Пример 223
(1) Этиловый эфир (2R,4S)-4-{[3,5-бис(трифторметил)бензил]-(5-карбоксипиримидин-2-ил)}амино-2-этил-6-метокси-3,4-дигидро-2Н-[1,5]нафтиридин-1-карбоновой кислоты (200 мг) растворяют в N,N-диметилформамиде (2 мл) и к раствору добавляют триэтиламин (67 мкл), метиловый эфир О-(трет-бутилдиметилсилил)серина (112,02 мг), гидрат 1-гидроксибензотриазола (64,86 мг) и гидрохлорид 1-(3-диметиламинопропил)-3-этилкарбодиимида (92,02 мг). Полученную смесь перемешивают при комнатной температуре в течение 2,5 часов. Реакционный раствор концентрируют при пониженном давлении, затем остаток распределяют между насыщенным водным раствором бикарбоната натрия и этилацетатом и органический слой концентрируют при пониженном давлении. Полученный остаток растворяют в тетрагидрофуране (2 мл), к раствору добавляют 1М раствор 1М фторид тетрабутиламмония-тетрагидрофуран (0,55 мл) и полученную смесь перемешивают при комнатной температуре в течение 10 минут. Реакционный раствор концентрируют при пониженном давлении и полученный остаток очищают колоночной хроматографией (силикагель; хлороформ:метанол=1:0 19:1) с получением этилового эфира (2R,4S)-4-{[3,5-бис(трифторметил)бензил]-[5-(2-гидрокси-1-метоксикарбонилэтилкарбамоил)пиримидин-2-ил]}амино-2-этил-6-метокси-3,4-дигидро-2Н-[1,5]нафтиридин-1-карбоновой кислоты (229,5 мг). MC (m/z): 729 [М+Н]+.
(2) Этиловый эфир (2R,4S)-4-{[3,5-бис(трифторметил)бензил]-[5-(2-гидрокси-1-метоксикарбонилэтилкарбамоил)пиримидин-2-ил]}амино-2-этил-6-метокси-3,4-дигидро-2Н-[1,5]нафтиридин-1-карбоновой кислоты (220 мг) растворяют в метаноле (3 мл), к раствору добавляют 2н. водный раствор NaOH (3 мл) и смесь перемешивают при комнатной температуре в течение 23 часов. Реакционный раствор распределяют между 6н. HCl (1 мл) и хлороформом и органический слой сушат над сульфатом магния, затем концентрируют при пониженном давлении. Полученный остаток очищают колоночной хроматографией (силикагель; хлороформ:метанол=49:1 19:1) с получением этилового эфира (2R,4S)-4-{[3,5-бис(трифторметил)бензил]-[5-(1-карбокси-2-гидроксиэтилкарбамоил)пиримидин-2-ил]}амино-2-этил-6-метокси-3,4-дигидро-2Н-[1,5]нафтиридин-1-карбоновой кислоты (133,5 мг). MC (m/z): 713 [М+Н]+.
Пример 224
(1) Этиловый эфир (2R,4S)-4-{[3,5-бис(трифторметил)бензил]-(5-бромпиримидин-2-ил)}амино-2-этил-6-метокси-3,4-дигидро-2Н-[1,5]нафтиридин-1-карбоновой кислоты (300 мг) растворяют в толуоле (5 мл) и к раствору добавляют трис(дибензилиденацетон)дипалладий (41 мг), трет-бутоксид натрия (65 мг), 2-(ди-трет-бутилфосфино)бифенил (54 мг) и трет-бутиловый эфир 3-метиламинопропионовой кислоты (108 мг). Полученную смесь перемешивают в течение ночи в токе азота при комнатной температуре. Реакционный раствор охлаждают до комнатной температуры, затем распределяют между этилацетатом и насыщенным раствором соли. Органический слой промывают насыщенным раствором соли, сушат над сульфатом магния и концентрируют при пониженном давлении. Полученный остаток очищают колоночной хроматографией (силикагель; гексан-этилацетат=9:1 3:1) с получением этилового эфира (2R,4S)-4-[[3,5-бис(трифторметил)бензил]-(5-{[метил-(2-трет-бутоксикарбонилэтил)]амино}пиримидин-2-ил)]амино-2-этил-6-метокси-3,4-дигидро-2Н-[1,5]нафтиридин-1-карбоновой кислоты (106 мг). MC (m/z): 741 [М+Н]+.
(2) Этиловый эфир (2R,4S)-4-[[3,5-бис(трифторметил)бензил]-(5-{[метил-(2-трет-бутоксикарбонилэтил]амино}пиримидин-2-ил)]амино-2-этил-6-метокси-3,4-дигидро-2Н-[1,5]нафтиридин-1-карбоновой кислоты (100 мг) растворяют в растворе 4н. HCl/этилацетат (1 мл) и перемешивают при комнатной температуре в течение 30 минут. Реакционный раствор распределяют между насыщенным водным раствором бикарбоната натрия и этилацетатом. Органический слой промывают насыщенным раствором соли, сушат над сульфатом магния и концентрируют при пониженном давлении и полученный остаток очищают колоночной хроматографией (силикагель; гексан-этилацетат=4:1 0:1) с получением этилового эфира (2R,4S)-4-[[3,5-бис(трифторметил)бензил]-(5-{[метил-(2-карбоксиэтил)]амино}пиримидин-2-ил)]амино-2-этил-6-метокси-3,4-дигидро-2Н-[1,5]нафтиридин-1-карбоновой кислоты (55 мг). MC (m/z): 685 [М+Н]+.
Пример 225

Соответствующее исходное соединение обрабатывают аналогично примеру 224 с получением соединения 225. MC (m/z): 729 [М+Н]+.
Пример 226
(1) Этиловый эфир (2R,4S)-4-{[3,5-бис(трифторметил)бензил]-(5-карбоксипиримидин-2-ил)}амино-2-этил-6-метокси-3,4-дигидро-2Н-[1,5]нафтиридин-1-карбоновой кислоты (1 г) растворяют в толуоле (25 мл) и к раствору добавляют триэтиламин (0,66 мл), дифенилфосфорилазид (0,52 мл) и бензиловый спирт (0,2 мл). Смесь нагревают при 90°С и перемешивают в течение ночи. Реакционный раствор охлаждают до комнатной температуры и распределяют между насыщенным водным раствором гидрокарбоната натрия и этилацетатом. Органический слой промывают насыщенным раствором соли, сушат над сульфатом магния и концентрируют при пониженном давлении. Полученный остаток очищают колоночной хроматографией (силикагель; гексан-этилацетат=4:1 3:2) с получением этилового эфира (2R,4S)-4-{(5-бензилоксикарбониламинопиримидин-2-ил)-[3,5-бис(трифторметил)бензил]}амино-2-этил-6-метокси-3,4-дигидро-2Н-[1,5]нафтиридин-1-карбоновой кислоты (1,1 г). MC (m/z): 733 [М+Н]+.
(2) Этиловый эфир (2R,4S)-4-{(5-бензилоксикарбониламинопиримидин-2-ил)-[3,5-бис(трифторметил)бензил]}амино-2-этил-6-метокси-3,4-дигидро-2Н-[1,5]нафтиридин-1-карбоновой кислоты (1,1 г) растворяют в N,N-диметилформамиде (15 мл) и к раствору добавляют 63% гидрид натрия (69 мг) при охлаждении на льду. Реакционную смесь перемешивают в течение 30 минут, добавляют этил-4-бромбутират (0,33 мл) при охлаждении на льду и полученную смесь перемешивают при комнатной температуре в течение 2,5 часов. Смесь распределяют между насыщенным водным раствором гидрокарбоната натрия и этилацетатом. Органический слой промывают насыщенным раствором соли, сушат над сульфатом магния и концентрируют при пониженном давлении. Полученный остаток очищают колоночной хроматографией (силикагель; гексан-этилацетат=9:1 7:3) с получением этилового эфира (2R,4S)-4-({5-[бензилоксикарбонил(3-этоксикарбонилпропил)]аминопиримидин-2-ил}-[3,5-бис(трифторметил)бензил])амино-2-этил-6-метокси-3,4-дигидро-2Н-[1,5]нафтиридин-1-карбоновой кислоты (898 г). MC (m/z): 847 [М+Н]+.
(3) Этиловый эфир (2R,4S)-4-({5-[бензилоксикарбонил(3-этоксикарбонилпропил)]аминопиримидин-2-ил}-[3,5-бис(трифторметил)бензил])амино-2-этил-6-метокси-3,4-дигидро-2Н-[1,5]нафтиридин-1-карбоновой кислоты (300 мг) растворяют в метаноле (12 мл) и к раствору добавляют 1н. водный раствор NaOH (2 мл). Полученную смесь перемешивают при комнатной температуре в течение 1 дня. К смеси добавляют 1н. HCl и реакционный раствор концентрируют при пониженном давлении. Остаток распределяют добавлением этилацетата. Органический слой промывают насыщенным раствором соли, сушат над сульфатом магния, затем концентрируют при пониженном давлении. Полученный остаток очищают колоночной хроматографией (силикагель; гексан-этилацетат=1:0 9:1) с получением этилового эфира (2R,4S)-4-({5-[бензилоксикарбонил(3-карбоксипропил)]аминопиримидин-2-ил}-[3,5-бис(трифторметил)бензил])амино-2-этил-6-метокси-3,4-дигидро-2Н-[1,5]нафтиридин-1-карбоновой кислоты (219 г). MC (m/z): 819 [М+Н]+.
(4) Этиловый эфир (2R,4S)-4-({5-[бензилоксикарбонил(3-карбоксипропил)]аминопиримидин-2-ил}-[3,5-бис(трифторметил)бензил])амино-2-этил-6-метокси-3,4-дигидро-2Н-[1,5]нафтиридин-1-карбоновой кислоты (154 мг) растворяют в метаноле (5 мл) и к раствору добавляют 10% палладий на угле (25 мг). Полученную смесь перемешивают в течение 1,5 часов в атмосфере водорода. Реакционный раствор фильтруют и затем концентрируют при пониженном давлении. Полученный раствор очищают колоночной хроматографией (силикагель; хлороформ:метанол=9:1 7:3) с получением этилового эфира (2R,4S)-4-{[3,5-бис(трифторметил)бензил]-[5-(3-карбоксипропил)аминопиримидин-2-ил]}амино-2-этил-6-метокси-3,4-дигидро-2Н-[1,5]нафтиридин-1-карбоновой кислоты (98 мг). MC (m/z): 685 [М+Н]+.
Пример 227

Соответствующее исходное соединение обрабатывают аналогично примеру 226 с получением соединения 227. MC (m/z): 599 [М+Н]+.
Пример 228

Соответствующее исходное соединение обрабатывают аналогично примеру 14 с получением соединения 228. MC (m/z): 657 [М+Н]+.
Пример 229
Этиловый эфир (2R,4S)-4-{(5-аминопиримидин-2-ил)-[3,5-бис(трифторметил)бензил]}амино-2-этил-6-метокси-3,4-дигидро-2Н-[1,5]нафтиридин-1-карбоновой кислоты (500 мг) растворяют в ацетонитриле (10 мл) и к раствору добавляют оксетан-2-он (0,08 мл). Полученную смесь кипятят с обратным холодильником в течение 3 дней. Реакционный раствор охлаждают до комнатной температуры и концентрируют при пониженном давлении. Полученный раствор очищают колоночной хроматографией (силикагель; хлороформ:метанол=1:0 4:1) с получением этилового эфира (2R,4S)-4-{[3,5-бис(трифторметил)бензил]-[5-(2-карбоксиэтил)аминопиримидин-2-ил]}амино-2-этил-6-метокси-3,4-дигидро-2Н-[1,5]нафтиридин-1-карбоновой кислоты (199 мг). MC (m/z): 671 [М+Н]+.
Пример 230
Этиловый эфир (2R,4S)-4-{[3,5-бис(трифторметил)бензил]-[5-(2-карбоксиэтил)аминопиримидин-2-ил]}амино-2-этил-6-метокси-3,4-дигидро-2Н-[1,5]нафтиридин-1-карбоновой кислоты (300 мг) растворяют в смеси тетрагидрофурана (5 мл) и метанола (1 мл) и к раствору добавляют 2,0М раствор триметилсилилдиазометана в гексане (0,5 мл). Полученную смесь перемешивают при комнатной температуре в течение 30 минут. Реакционный раствор концентрируют при пониженном давлении и полученный остаток очищают колоночной хроматографией (силикагель; гексан-этилацетат=7:3 3:2) с получением этилового эфира (2R,4S)-4-{[3,5-бис(трифторметил)бензил]-[5-(2-метоксикарбонилэтил)аминопиримидин-2-ил]}амино-2-этил-6-метокси-3,4-дигидро-2Н-[1,5]нафтиридин-1-карбоновой кислоты (232 г). MC (m/z): 685 [М+Н]+.
Пример 231
(1) Этиловый эфир (2R,4S)-4-{(5-бензилоксикарбониламинопиримидин-2-ил)-[3,5-бис(трифторметил)бензил]}амино-2-этил-6-метокси-3,4-дигидро-2Н-[1,5]нафтиридин-1-карбоновой кислоты (300 мг) растворяют в тетрагидрофуране (5 мл) и к раствору добавляют 63% гидрид натрия (20 мг) при охлаждении на льду. Полученную смесь перемешивают в течение 30 минут и к раствору добавляют метилиодид (30 мкл) при охлаждении на льду. Полученную смесь перемешивают в течение ночи при комнатной температуре и затем распределяют между водой и этилацетатом. Органический слой промывают насыщенным раствором соли, сушат над сульфатом магния и затем концентрируют при пониженном давлении. Полученный остаток очищают колоночной хроматографией (силикагель; гексан-этилацетат=9:1 4:1) с получением этилового эфира (2R,4S)-4-[[3,5-бис(трифторметил)бензил]-(5-{[метил(бензилоксикарбонил)]амино}пиримидин-2-ил)]амино-2-этил-6-метокси-3,4-дигидро-2Н-[1,5]нафтиридин-1-карбоновой кислоты (275 мг). MC (m/z): 747 [М+Н]+.
(2) Этиловый эфир (2R,4S)-4-[[3,5-бис(трифторметил)бензил]-(5-{[метил(бензилоксикарбонил)]амино}пиримидин-2-ил)]амино-2-этил-6-метокси-3,4-дигидро-2Н-[1,5]нафтиридин-1-карбоновой кислоты (1,34 г) растворяют в метаноле (20 мл) и к раствору добавляют 10% палладий на угле (250 мг). Полученную смесь перемешивают в течение 3 часов в атмосфере водорода. Реакционный раствор фильтруют и затем фильтрат концентрируют при пониженном давлении. Полученный остаток очищают колоночной хроматографией (NH-силикагель; гексан-этилацетат=17:3 7:3) с получением этилового эфира (2R,4S)-4-{[3,5-бис(трифторметил)бензил]-(5-метиламинопиримидин-2-ил)}амино-2-этил-6-метокси-3,4-дигидро-2Н-[1,5]нафтиридин-1-карбоновой кислоты (698 мг). MC (m/z): 613 [М+Н]+.
Пример 232
Этиловый эфир (2R,4S)-4-{[3,5-бис(трифторметил)бензил]-(5-метиламинопиримидин-2-ил)}амино-2-этил-6-метокси-3,4-дигидро-2Н-[1,5]нафтиридин-1-карбоновой кислоты (150 мг) растворяют в N,N-диметилформамиде (5 мл) и к раствору добавляют этил-4-бромбутират (13 мкл) и карбонат калия (50 мг). Полученную смесь нагревают при 50°С и перемешивают в течение 2 часов. Реакционный раствор охлаждают до комнатной температуры и распределяют между насыщенным водным раствором гидрокарбоната натрия и этилацетатом. Органический слой промывают насыщенным раствором соли, сушат над сульфатом магния и затем концентрируют при пониженном давлении. Полученный остаток очищают колоночной хроматографией (силикагель; гексан-этилацетат=9:1 3:2) с получением этилового эфира 4-(2R,4S)-4-([3,5-бис(трифторметил)бензил]-{5-[(3-этоксикарбонилпропил)метил]аминопиримидин-2-ил})амино-2-этил-6-метокси-3,4-дигидро-2Н-[1,5]нафтиридин-1-карбоновой кислоты (85 мг). MC (m/z): 727 [М+Н]+.
Пример 233
(1) Этиловый эфир (2R,4S)-4-{[3,5-бис(трифторметил)бензил]-(5-бромпиримидин-2-ил)}амино-2-этил-6-метокси-3,4-дигидро-2Н-[1,5]нафтиридин-1-карбоновой кислоты (300 мг) растворяют в толуоле (4 мл) и к раствору добавляют трис(дибензилиденацетон)дипалладий (42 мг), трет-бутоксид натрия (65 мг), 2-(ди-трет-бутилфосфино)бифенил (54 мг) и пиперидин-4-илэтилацетат (116 мг). Полученную смесь перемешивают в течение ночи при комнатной температуре в токе азота и распределяют между насыщенным водным раствором гидрокарбоната натрия и этилацетатом. Органический слой промывают насыщенным раствором соли, сушат над сульфатом магния и затем концентрируют при пониженном давлении. Полученный остаток очищают колоночной хроматографией (NH-силикагель; гексан-этилацетат=9:1 7:3) с получением этилового эфира (2R,4S)-4-{[3,5-бис(трифторметил)бензил]-[5-(4-этоксикарбонилметилпиперазин-1-ил)пиримидин-2-ил]}амино-2-этил-6-метокси-3,4-дигидро-2Н-[1,5]нафтиридин-1-карбоновой кислоты (125 мг). MC (m/z): 753 [М+Н]+.
(2) Этиловый эфир (2R,4S)-4-{[3,5-бис(трифторметил)бензил]-[5-(4-этоксикарбонилметилпиперазин-1-ил)пиримидин-2-ил]}амино-2-этил-6-метокси-3,4-дигидро-2Н-[1,5]нафтиридин-1-карбоновой кислоты (106 мг) растворяют в метаноле (8 мл) и к раствору добавляют 1н. водный раствор NaOH (3 мл). Полученную смесь перемешивают при комнатной температуре в течение 3,5 часов и добавляют 1н. HCl и этилацетат для распределения. Органический слой промывают насыщенным раствором соли, сушат над сульфатом магния и затем концентрируют при пониженном давлении. Полученный остаток очищают колоночной хроматографией (силикагель; хлороформ:метанол=1:0 9:1) с получением этилового эфира (2R,4S)-4-{[3,5-бис(трифторметил)бензил]-[5-(4-карбоксиметилпиперазин-1-ил)пиримидин-2-ил]}амино-2-этил-6-метокси-3,4-дигидро-2Н-[1,5]нафтиридин-1-карбоновой кислоты (70 мг). MC (m/z): 725 [М+Н]+.
(3) Этиловый эфир (2R,4S)-4-{[3,5-бис(трифторметил)бензил]-[5-(4-карбоксиметилпиперазин-1-ил)пиримидин-2-ил]}амино-2-этил-6-метокси-3,4-дигидро-2Н-[1,5]нафтиридин-1-карбоновой кислоты (62 мг) растворяют в этаноле (3 мл) и к раствору добавляют 1н. водный раствор NaOH (84 мкл). Полученную смесь перемешивают при комнатной температуре в течение 5 минут. Реакционный раствор концентрируют при пониженном давлении с получением натриевой соли этилового эфира (2R,4S)-4-{[3,5-бис(трифторметил)бензил]-[5-(4-карбоксиметилпиперазин-1-ил)пиримидин-2-ил]}амино-2-этил-6-метокси-3,4-дигидро-2Н-[1,5]нафтиридин-1-карбоновой кислоты (56 мг). MC (m/z): 723 [М+Н]+.
Примеры 234-235
Соответствующие исходные соединения обрабатывают аналогично примеру 233 (1)-(2) с получением соединений, перечисленных в таблице 25.

Пример 236

Соответствующее исходное соединение обрабатывают аналогично примеру 233 (2)-(3) с получением соединения 236. MC (m/z): 697 [М-Na]–.
Примеры 237-238
Соответствующие исходные соединения обрабатывают аналогично примеру 233 (3) с получением соединений, перечисленных в таблице 26.

Пример 239
Этиловый эфир (2R,4S)-4-{[3,5-бис(трифторметил)бензил]-[5-(пиперазин-1-ил)пиримидин-2-ил]}амино-2-этил-6-метокси-3,4-дигидро-2Н-[1,5]нафтиридин-1-карбоновой кислоты (200 мг) растворяют в этаноле (3 мл) и к раствору добавляют бикарбонат натрия (76,4 мг) и цианогенбромид (35 мг). Полученную смесь перемешивают при комнатной температуре в течение 13 часов и распределяют между водой и диэтиловым эфиром к реакционному раствору. Полученную смесь промывают насыщенным раствором соли, затем сушат над сульфатом магния и концентрируют при пониженном давлении. Полученный остаток очищают колоночной хроматографией (силикагель; гексан:этилацетат=4:1 3:2) с получением этилового эфира (2R,4S)-4-{[3,5-бис(трифторметил)бензил]-[5-(4-цианопиперазин-1-ил)пиримидин-2-ил]}амино-2-этил-6-метокси-3,4-дигидро-2Н-[1,5]нафтиридин-1-карбоновой кислоты (183 мг). MC (m/z): 693 [М+Н]+.
Пример 240
(1) Гидрохлорид гидроксиламина (45,2 мг) растворяют в диметилсульфоксиде (1,5 мл) и к раствору добавляют триэтиламин (90,6 мкл). К реакционному раствору добавляют тетрагидрофуран, нерастворимые вещества удаляют фильтрованием и фильтрат упаривают для удаления тетрагидрофурана при пониженном давлении. К полученному раствору добавляют этиловый эфир (2R,4S)-4-{[3,5-бис(трифторметил)бензил]-[5-(4-цианопиперазин-1-ил)пиримидин-2-ил]}амино-2-этил-6-метокси-3,4-дигидро-2Н-[1,5]нафтиридин-1-карбоновой кислоты (80 мг), смесь нагревают при 75°С и перемешивают в течение 15 часов. Реакционный раствор охлаждают до комнатной температуры и распределяют между водой и этилацетатом. Органический слой промывают водой и насыщенным раствором соли, сушат над сульфатом магния, затем концентрируют при пониженном давлении с получением неочищенного этилового эфира (2R,4S)-4-([3,5-бис(трифторметил)бензил]-{5-[4-(N-гидроксикарбамимидоил)пиперазин-1-ил]пиримидин-2-ил})амино-2-этил-6-метокси-3,4-дигидро-2Н-[1,5]нафтиридин-1-карбоновой кислоты. MC (m/z): 726 [М+Н]+.
(2) Неочищенный этиловый эфир (2R,4S)-4-([3,5-бис(трифторметил)бензил]-{5-[4-(N-гидроксикарбамимидоил)пиперазин-1-ил]пиримидин-2-ил})амино-2-этил-6-метокси-3,4-дигидро-2Н-[1,5]нафтиридин-1-карбоновой кислоты растворяют в ацетонитриле (1 мл) и к раствору добавляют карбодиимидазол (29 мг). Полученную смесь нагревают при 60°С и перемешивают в течение 17 часов. Реакционный раствор охлаждают до комнатной температуры и добавляют 1н. HCl и этилацетат для распределения. Полученный раствор промывают водой и насыщенным раствором соли, затем сушат над сульфатом магния и концентрируют при пониженном давлении. Полученный остаток очищают колоночной хроматографией (силикагель; хлороформ:метанол=1:0 9:1) с получением этилового эфира (2R,4S)-4-([3,5-бис(трифторметил)бензил]-{5-[4-(5-оксо-4,5-дигидро[1,2,4]оксадиазол-3-ил)пиперазин-1-ил]пиримидин-2-ил})амино-2-этил-6-метокси-3,4-дигидро-2Н-[1,5]нафтиридин-1-карбоновой кислоты (42 мг). MC (m/z): 752 [М+Н]+.
Пример 241

Соответствующее исходное соединение обрабатывают аналогично примеру 147 с получением соединения 241. MC (m/z): 736 [М+Н]+.
Пример 242
(1) Этиловый эфир (2R,4S)-4-{(5-аминопиримидин-2-ил)-[3,5-бис(трифторметил)бензил]}амино-2-этил-6-метокси-3,4-дигидро-2Н-[1,5]нафтиридин-1-карбоновой кислоты (200 мг) растворяют в N,N-диметилформамиде (4 мл) и к раствору добавляют 4-трет-бутил-(S)-2-трет-бутоксикарбониламиносукцинат (123 мг) и 1-гидроксибензотриазол (68 мг), затем добавляют при охлаждении на льду моногидрохлорид 1-(3-диметиламинопропил)-3-этилкарбодиимида (96 мг) и триэтиламин (0,06 мл). Полученную смесь перемешивают при комнатной температуре в течение 2 часов и распределяют между насыщенным водным раствором гидрокарбоната натрия и этилацетатом. Органический слой промывают насыщенным раствором соли, сушат над сульфатом магния и затем концентрируют при пониженном давлении. Полученный остаток очищают колоночной хроматографией (силикагель; гексан:этилацетат=4:1 3:2) с получением этилового эфира (2R,4S)-4-{[3,5-бис(трифторметил)бензил]-[5-((S)-3-трет-бутоксикарбонил-2-трет-бутоксикарбониламинопропиониламино)пиримидин-2-ил]}амино-2-этил-6-метокси-3,4-дигидро-2Н-[1,5]нафтиридин-1-карбоновой кислоты (242 мг). MC (m/z): 870 [М+Н]+.
(2) Этиловый эфир (2R,4S)-4-{[3,5-бис(трифторметил)бензил]-[5-((S)-3-трет-бутоксикарбонил-2-трет-бутоксикарбониламинопропиониламино)пиримидин-2-ил]}амино-2-этил-6-метокси-3,4-дигидро-2Н-[1,5]нафтиридин-1-карбоновой кислоты (235 мг) растворяют в дихлорметане (10 мл) и к раствору добавляют трифторуксусную кислоту (1 мл). Полученную смесь перемешивают при комнатной температуре в течение 2 часов и затем концентрируют при пониженном давлении. Полученный остаток очищают колоночной хроматографией (силикагель; хлороформ:метанол=9:1 0:1) с получением этилового эфира (2R,4S)-4-{[5-((S)-2-амино-3-карбоксипропиониламино)пиримидин-2-ил]-[3,5-бис(трифторметил)бензил]амино-2-этил-6-метокси-3,4-дигидро-2Н-[1,5]нафтиридин-1-карбоновой кислоты (103 мг). MC (m/z): 712 [М-Н]–.
Пример 243
(1) Этиловый эфир (2R,4S)-4-{(5-аминопиримидин-2-ил)-[3,5-бис(трифторметил)бензил]}амино-2-этил-6-метокси-3,4-дигидро-2Н-[1,5]нафтиридин-1-карбоновой кислоты (273 мг) растворяют в N,N-диметилформамиде (5 мл) и к раствору добавляют метил-3-хлоркарбонилпропионат (67 мкл) и триэтиламин (0,19 мл) при охлаждении на льду. Полученную смесь перемешивают при комнатной температуре в течение 1 часа и распределяют между водой и этилацетатом. Органический слой промывают насыщенным раствором соли, сушат над сульфатом магния и затем концентрируют при пониженном давлении. Полученный остаток очищают колоночной хроматографией (силикагель; гексан:этилацетат=4:1 1:1) с получением этилового эфира (2R,4S)-4-{[3,5-бис(трифторметил)бензил]-[5-(3-метоксикарбонилпропиониламино)пиримидин-2-ил]}амино-2-этил-6-метокси-3,4-дигидро-2Н-[1,5]нафтиридин-1-карбоновой кислоты (138 мг) в виде неочищенного продукта. MC (m/z): 713 [М+Н]+.
(2) Неочищенный продукт (130 мг) этилового эфира (2R,4S)-4-{[3,5-бис(трифторметил)бензил]-[5-(3-метоксикарбонилпропиониламино)пиримидин-2-ил]}амино-2-этил-6-метокси-3,4-дигидро-2Н-[1,5]нафтиридин-1-карбоновой кислоты обрабатывают аналогично примеру 233 (2) с получением этилового эфира (2R,4S)-4-{[3,5-бис(трифторметил)бензил]-[5-(3-карбоксипропиониламино)пиримидин-2-ил]}амино-2-этил-6-метокси-3,4-дигидро-2Н-[1,5]нафтиридин-1-карбоновой кислоты (121 мг). MC (m/z): 699 [М+Н]+.
Пример 244
Этиловый эфир (2R,4S)-4-{[3,5-бис(трифторметил)бензил]-(5-карбоксипиримидинил-2-ил)}амино-2-этил-6-метокси-3,4-дигидро-2Н-[1,5]нафтиридин-1-карбоновой кислоты (500 мг) растворяют в толуоле (10 мл) и к раствору добавляют триэтиламин (0,66 мл), дифенилфосфорилазид (0,52 мл) и метанол (1 мл). Полученную смесь нагревают при 60°С и перемешивают в течение 2 дней. Реакционный раствор охлаждают до комнатной температуры и распределяют между насыщенным водным раствором гидрокарбоната натрия и этилацетатом. Органический слой промывают насыщенным раствором соли, сушат над сульфатом магния и затем концентрируют при пониженном давлении. Полученный остаток очищают колоночной хроматографией (силикагель; гексан:этилацетат=4:1 3:2) с получением этилового эфира (2R,4S)-4-{[3,5-бис(трифторметил)бензил]-(5-метоксикарбониламинопиримидин-2-ил]}амино-2-этил-6-метокси-3,4-дигидро-2Н-[1,5]нафтиридин-1-карбоновой кислоты (25 мг). MC (m/z): 657 [М+Н]+.
Пример 245
Этиловый эфир (2R,4S)-4-{[3,5-бис(трифторметил)бензил]-(5-аминопиримидин-2-ил)}амино-2-этил-6-метокси-3,4-дигидро-2Н-[1,5]нафтиридин-1-карбоновой кислоты (400 мг) растворяют в дихлорметане (5 мл) и к раствору добавляют N,N’-карбонилдиимидазол (162 мг) и триэтиламин (0,28 мл). Полученную смесь перемешивают при комнатной температуре в течение 1,5 часов, затем добавляютэтан-1,2-диол (75 мкл). Смесь перемешивают в течение 3 дней и распределяют между водой и этилацетатом. Органический слой промывают насыщенным раствором соли, сушат над сульфатом магния и затем концентрируют при пониженном давлении. Полученный остаток очищают колоночной хроматографией (силикагель; хлороформ:метанол=1:0 9:1) с получением этилового эфира (2R,4S)-4-{[3,5-бис(трифторметил)бензил]-[5-(2-гидроксиэтоксикарбониламино)пиримидин-2-ил]}амино-2-этил-6-метокси-3,4-дигидро-2Н-[1,5]нафтиридин-1-карбоновой кислоты (222 мг). MC (m/z): 687 [М+Н]+.
Примеры 246-248
Соответствующие исходные соединения обрабатывают аналогично примеру 245 с получением соединений, перечисленных в таблице 27.

Пример 249
Этиловый эфир (2R,4S)-4-{[3,5-бис(трифторметил)бензил]-[5-(2-гидроксиэтоксикарбониламино)пиримидин-2-ил]}амино-2-этил-6-метокси-3,4-дигидро-2Н-[1,5]нафтиридин-1-карбоновой кислоты (192 мг) растворяют в ацетоне (5 мл) и к раствору добавляют 2,67М оксид хрома (VI) в разбавленном растворе серной кислоты (320 мкл) при охлаждении на льду. Полученную смесь перемешивают в течение 4,5 часов и распределяют между бисульфитом натрия, водой и этилацетатом. Органический слой промывают насыщенным раствором соли, сушат над сульфатом магния и затем концентрируют при пониженном давлении. Полученный остаток очищают колоночной хроматографией (силикагель; хлороформ:метанол=9:0 7:3) с получением этилового эфира (2R,4S)-4-{[3,5-бис(трифторметил)бензил]-(5-карбоксиметоксикарбониламинопиримидин-2-ил)}амино-2-этил-6-метокси-3,4-дигидро-2Н-[1,5]нафтиридин-1-карбоновой кислоты (78 мг). MC (m/z): 701 [М+Н]+.
Примеры 250-251
Соответствующие исходные соединения обрабатывают аналогично примеру 249 с получением соединений, перечисленных в таблице 28.

Пример 252

Соответствующее исходное соединение обрабатывают аналогично примеру 121 с получением соединения 252. MC (m/z): 717 [М+Н]+.
Пример 253

Соответствующее исходное соединение обрабатывают аналогично примеру 243 с получением соединения 253. MC (m/z): 727 [М+Н]+.
Пример 254

Соответствующее исходное соединение обрабатывают аналогично примеру 233 (2) с получением соединения 254. MC (m/z): 713 [М+Н]+.
Пример 255

Соответствующее исходное соединение обрабатывают аналогично примеру 62 с получением соединения 255. MC (m/z): 727 [М+Н]+.
Пример 256

Соответствующее исходное соединение обрабатывают аналогично примеру 233 с получением соединения 256. MC (m/z): 711 [М-Na]–.
Пример 257
(1) Этиловый эфир (2R,4S)-4-{(5-аминопиримидин-2-ил)-[3,5-бис(трифторметил)бензил]}амино-2-этил-6-метокси-3,4-дигидро-2Н-[1,5]нафтиридин-1-карбоновой кислоты (300 мг) растворяют в N,N-диметилформамиде (4 мл) и к раствору добавляют метил-3-хлоркарбонат (116 мкл) и триэтиламин (280 мкл). Полученную смесь перемешивают при комнатной температуре в течение 4 часов и распределяют между насыщенным водным раствором гидрокарбоната натрия и этилацетатом. Органический слой промывают насыщенным раствором соли, сушат над сульфатом магния и затем концентрируют при пониженном давлении. Полученный остаток очищают колоночной хроматографией (силикагель; гексан:этилацетат=9:1 7:3) с получением этилового эфира (2R,4S)-4-{[3,5-бис(трифторметил)бензил]-(5-метоксикарбониламинопиримидин-2-ил)}амино-2-этил-6-метокси-3,4-дигидро-2Н-[1,5]нафтиридин-1-карбоновой кислоты (247 мг). MC (m/z): 657 [М+Н]+.
(2) Этиловый эфир (2R,4S)-4-{[3,5-бис(трифторметил)бензил]-(5-метоксикарбониламинопиримидин-2-ил)}амино-2-этил-6-метокси-3,4-дигидро-2Н-[1,5]нафтиридин-1-карбоновой кислоты (238 мг) обрабатывают аналогично примеру 226 (2) и (3) с получением этилового эфира (2R,4S)-4-[[3,5-бис(трифторметил)бензил]-(5-{(3-карбоксипропил)-(метоксикарбонил)]амино}пиримидин-2-ил)]амино-2-этил-6-метокси-3,4-дигидро-2Н-[1,5]нафтиридин-1-карбоновой кислоты (187 мг). MC (m/z): 743 [М+Н]+.
Пример 258

Соответствующее исходное соединение обрабатывают аналогично примеру 233 (3) с получением соединения 258. MC (m/z): 741 [М-Na]–.
Пример 259
(1) Этиловый эфир (2R*,4S*)-4-{[3,5-бис(трифторметил)бензил]-(5-гидроксипиримидин-2-ил)}амино-2-этил-6-метокси-3,4-дигидро-2Н-[1,5]нафтиридин-1-карбоновой кислоты (200 мг) растворяют в тетрагидрофуране (2 мл) и к раствору добавляют метиллактат (174 мг) и трифенилфосфин (438 мг), затем добавляют по каплям раствор (0,73 мл) 40% диэтилазодикарбоксилата в толуоле при охлаждении водой. Полученную смесь перемешивают при комнатной температуре в течение 3 часов и добавляют воду. Полученный раствор экстрагируют этилацетатом и органический слой промывают насыщенным раствором соли, сушат над сульфатом магния и затем концентрируют при пониженном давлении. К полученному остатку добавляют метиленхлорид, изопропиловый эфир и гексан, осажденные нерастворимые вещества удаляют фильтрованием и фильтрат концентрируют при пониженном давлении. Полученный остаток очищают колоночной хроматографией (силикагель; гексан:этилацетат=6:1) с получением этилового эфира (2R*,4S*)-4-{[3,5-бис(трифторметил)бензил]-[5-(1-метоксикарбонилэтокси)пиримидин-2-ил]}амино-2-этил-6-метокси-3,4-дигидро-2Н-[1,5]нафтиридин-1-карбоновой кислоты (157 мг). MC (m/z): 686 [М+Н]+.
(2) Этиловый эфир (2R*,4S*)-4-{[3,5-бис(трифторметил)бензил]-[5-(1-метоксикарбонилэтокси)пиримидин-2-ил]}амино-2-этил-6-метокси-3,4-дигидро-2Н-[1,5]нафтиридин-1-карбоновой кислоты (154 мг) растворяют в тетрагидрофуране (2 мл) и к раствору добавляют по каплям раствор (1,12 мл) 1М диизобутилалюминийгидрида в толуоле при охлаждении на льду и полученную смесь перемешивают при 0°С в течение 3 часов. К реакционной смеси добавляют 10% водный раствор лимонной кислоты и экстрагируют этилацетатом. Органический слой промывают насыщенным раствором соли, сушат над сульфатом магния и концентрируют при пониженном давлении. Полученный остаток очищают колоночной хроматографией (силикагель; гексан:этилацетат=2:1) с получением этилового эфира (2R*,4S*)-4-{[3,5-бис(трифторметил)бензил]-[5-(2-гидрокси-1-метилэтокси)пиримидин-2-ил]}амино-2-этил-6-метокси-3,4-дигидро-2Н-[1,5]нафтиридин-1-карбоновой кислоты (88 мг). MC (m/z): 658 [М+Н]+.
Примеры 260-264
Соответствующие исходные соединения обрабатывают аналогично примеру 250 (1) с получением соединений, перечисленных в таблице 29.

Пример 265

Соответствующее исходное соединение обрабатывают аналогично примеру 114 с получением соединения 265. MC (m/z): 716 [М+Н]+.
Примеры 266-267
Соответствующие исходные соединения обрабатывают аналогично примеру 121 с получением соединений, перечисленных в таблице 30.

Пример 268
Этиловый эфир (2R,4S)-4-{[3,5-бис(трифторметил)бензил]-(5-гидроксипиримидин-2-ил)}амино-2-этил-6-метокси-3,4-дигидро-2Н-[1,5]нафтиридин-1-карбоновой кислоты (170 мг) растворяют в метиленхлориде (3 мл) и к раствору добавляют 4-метоксикарбонилфенилбороновую кислоту (51 мг), ацетат меди (II) (52 мг), триэтиламин (79 мкл) и молекулярные сита 4Å (170 мг). Полученную смесь перемешивают в течение ночи при комнатной температуре. Нерастворимые вещества удаляют фильтрованием и фильтрат распределяют между этилацетатом и насыщенным раствором соли. Органический слой промывают насыщенным раствором соли, сушат над сульфатом магния и затем концентрируют при пониженном давлении. Полученный остаток очищают колоночной хроматографией (силикагель; гексан:этилацетат=9:1 3:1) с получением этилового эфира (2R,4S)-4-{[3,5-бис(трифторметил)бензил]-[5-(4-метоксикарбонилфенокси)пиримидин-2-ил]}амино-2-этил-6-метокси-3,4-дигидро-2Н-[1,5]нафтиридин-1-карбоновой кислоты (132 мг). MC (m/z): 734 [М+Н]+.
Пример 269
Этиловый эфир (2R,4S)-4-{[3,5-бис(трифторметил)бензил]-(5-гидроксипиримидин-2-ил)}амино-2-этил-6-метокси-3,4-дигидро-2Н-[1,5]нафтиридин-1-карбоновой кислоты (150 мг) растворяют в тетрагидрофуране (3 мл) и к раствору добавляют при комнатной температуре трет-бутоксид калия (28 мг) и -пропиолактон (16 мкл). Реакционный раствор перемешивают в течение ночи при комнатной температуре и затем добавляют этилацетат и 1н. HCl для распределения. Органический слой промывают насыщенным раствором соли, сушат над сульфатом магния и затем концентрируют при пониженном давлении. Полученный остаток очищают колоночной хроматографией (силикагель; хлороформ:метанол=1:0 9:1) и ЖХ/МС (CAPCEL PAK MFII (SHISEIDO), вода:метанол=60:40 0:100, 40 мл/мин) с получением этилового эфира (2R,4S)-4-{[3,5-бис(трифторметил)бензил]-[5-(2-карбоксиэтокси)пиримидин-2-ил]}амино-2-этил-6-метокси-3,4-дигидро-2Н-[1,5]нафтиридин-1-карбоновой кислоты (12 мг). MC (m/z): 672 [М+Н]+.
Пример 270
(1) Этиловый эфир (2R,4S)-4-{[3,5-бис(трифторметил)бензил]-(5-гидроксипиримидин-2-ил)}амино-2-этил-6-метокси-3,4-дигидро-2Н-[1,5]нафтиридин-1-карбоновой кислоты (3,5 г) и этил-4-бромбутират (928 мкг) растворяют в N,N-диметилформамиде (20 мл) и к раствору добавляют карбонат калия (969 мг). Полученную смесь перемешивают в течение ночи при 50°С. Реакционный раствор охлаждают до комнатной температуры и распределяют между этилацетатом и водой. Органический слой промывают насыщенным раствором соли, сушат над сульфатом магния, затем концентрируют при пониженном давлении. Полученный остаток очищают колоночной хроматографией (силикагель; гексан:этилацетат=9:1 3:1) с получением этилового эфира (2R,4S)-4-{[3,5-бис(трифторметил)бензил]-[5-(3-этоксикарбонилпропокси)пиримидин-2-ил]}амино-2-этил-6-метокси-3,4-дигидро-2Н-[1,5]нафтиридин-1-карбоновой кислоты (3,77 г). MC (m/z): 714 [М+Н]+.
(2) Этиловый эфир (2R,4S)-4-{[3,5-бис(трифторметил)бензил]-[5-(3-этоксикарбонилпропокси)пиримидин-2-ил]}амино-2-этил-6-метокси-3,4-дигидро-2Н-[1,5]нафтиридин-1-карбоновой кислоты (3,71 г) растворяют в этаноле (35 мл) и к раствору добавляют 2н. водный раствор NaOH (7,8 мл). Смесь перемешивают в течение ночи при комнатной температуре. Реакционный раствор концентрируют при пониженном давлении и в остаток добавляют этилацетат и 1н. HCl для распределения. Органический слой промывают насыщенным раствором соли, сушат над сульфатом магния и затем концентрируют при пониженном давлении. Полученный остаток очищают колоночной хроматографией (силикагель; хлороформ:метанол=1:0 9:1) с получением этилового эфира (2R,4S)-4-{[3,5-бис(трифторметил)бензил]-[5-(3-карбоксипропокси)пиримидин-2-ил]}амино-2-этил-6-метокси-3,4-дигидро-2Н-[1,5]нафтиридин-1-карбоновой кислоты (3,55 г). MC (m/z): 686 [М+Н]+.
Пример 271

Соответствующее исходное соединение обрабатывают аналогично примеру 270 с получением соединения 271. MC (m/z): 700 [М+Н]+.
Примеры 272-275
Соответствующие исходные соединения обрабатывают аналогично примеру 270 (1) с получением соединений, перечисленных в таблице 31.

Примеры 276-280
Соответствующие исходные соединения обрабатывают аналогично примеру 270 (2) с получением соединений, перечисленных в таблице 32.

Пример 281
Этиловый эфир (2R,4S)-4-{[3,5-бис(трифторметил)бензил]-[5-(2-оксотетрагидрофуран-3-илокси)пиримидин-2-ил]}амино-2-этил-6-метокси-3,4-дигидро-2Н-[1,5]нафтиридин-1-карбоновой кислоты (150 мг) растворяют в этаноле (1 мл) и к раствору добавляют 2н. водный раствор NaOH (1 мл). Полученную смесь перемешивают при комнатной температуре в течение 3 часов и добавляют 1н. HCl (2 мл) и этилацетат для распределения. Органический слой концентрируют при пониженном давлении. Полученный остаток очищают колоночной хроматографией (силикагель; хлороформ:метанол=19:1 9:1). Полученный остаток растворяют в этаноле (1 мл) и к раствору добавляют 2н. водный раствор NaOH (81 мкл), затем концентрируют при пониженном давлении с получением натриевой соли этилового эфира (2R,4S)-4-{[3,5-бис(трифторметил)бензил]-[5-(1-карбокси-3-гидроксипропокси)пиримидин-2-ил]}амино-2-этил-6-метокси-3,4-дигидро-2Н-[1,5]нафтиридин-1-карбоновой кислоты (114 мг). MC (m/z): 700 [М-Na]–.
Пример 282
(1) Этиловый эфир (2R,4S)-4-{[3,5-бис(трифторметил)бензил]-(5-этоксикарбонилпиримидин-2-ил)}амино-2-этил-6-метокси-3,4-дигидро-2Н-[1,5]нафтиридин-1-карбоновой кислоты (1 г) растворяют в тетрагидрофуране (7 мл) и к раствору добавляют раствор 1М диизобутилалюминийгидрид-тетрагидрофуран (3,36 мл) при охлаждении на льду. Смесь перемешивают при комнатной температуре в течение 2 часов. К реакционному раствору добавляют насыщенный водный раствор хлорида аммония и экстрагируют этилацетатом. Органический слой промывают насыщенным раствором соли, сушат над сульфатом магния и затем концентрируют при пониженном давлении. Полученный остаток очищают колоночной хроматографией (силикагель; гексан:этилацетат=9:1 2:3) с получением этилового эфира (2R,4S)-4-{[3,5-бис(трифторметил)бензил]-(5-гидроксиметилпиримидин-2-ил)}амино-2-этил-6-метокси-3,4-дигидро-2Н-[1,5]нафтиридин-1-карбоновой кислоты (760 мг). MC (m/z): 614 [М+Н]+.
(2) Этиловый эфир (2R,4S)-4-{[3,5-бис(трифторметил)бензил]-(5-гидроксиметилпиримидин-2-ил)}амино-2-этил-6-метокси-3,4-дигидро-2Н-[1,5]нафтиридин-1-карбоновой кислоты (735 мг) растворяют в хлороформе (5 мл) и к раствору добавляют диоксид марганца (2 г). Смесь перемешивают в течение ночи при комнатной температуре. Диоксид марганца удаляют фильтрованием и фильтрат концентрируют при пониженном давлении. Полученный остаток очищают колоночной хроматографией (силикагель; гексан:этилацетат=9:1 1:1) с получением этилового эфира (2R,4S)-4-{[3,5-бис(трифторметил)бензил]-(5-формилпиримидин-2-ил)}амино-2-этил-6-метокси-3,4-дигидро-2Н-[1,5]нафтиридин-1-карбоновой кислоты (450 мг). MC (m/z): 612 [М+Н]+.
(3) Этиловый эфир (2R,4S)-4-{[3,5-бис(трифторметил)бензил]-(5-формилпиримидин-2-ил)}амино-2-этил-6-метокси-3,4-дигидро-2Н-[1,5]нафтиридин-1-карбоновой кислоты (185 мг), трет-бутиловый эфир L-пролина (62 мг), уксусную кислоту (35 мкл) растворяют в 1,2-дихлорэтане (3 мл) и к раствору добавляют триацетоксиборгидрид натрия (128 мг). Смесь перемешивают при комнатной температуре в течение 2 часов и распределяют между насыщенным водным раствором гидрокарбоната натрия и этилацетатом. Органический слой промывают насыщенным раствором соли, сушат над сульфатом магния и затем концентрируют при пониженном давлении. Полученный остаток очищают колоночной хроматографией (силикагель; гексан:этилацетат=9:1 1:1) с получением этилового эфира (2R,4S)-4-{[3,5-бис(трифторметил)бензил]-[5-(2-(S)-трет-бутоксикарбонилпирролидин-1-илметил)пиримидин-2-ил]}амино-2-этил-6-метокси-3,4-дигидро-2Н-[1,5]нафтиридин-1-карбоновой кислоты (200 мг). MC (m/z): 767 [М+Н]+.
Пример 283

Соответствующее исходное соединение обрабатывают аналогично примеру 224 (2) с получением соединения 283. MC (m/z): 711 [М+Н]+.
Пример 284
(1) Этиловый эфир (2R,4S)-4-{[3,5-бис(трифторметил)бензил]-(5-карбоксипиримидин-2-ил)}амино-2-этил-6-метокси-3,4-дигидро-2Н-[1,5]нафтиридин-1-карбоновой кислоты (335 мг) растворяют в метиленхлориде (2 мл) и к раствору добавляют оксалилхлорид (70 мкл) и капли N,N-диметилформамида. Полученную смесь перемешивают при комнатной температуре в течение 1 часа. Реакционный раствор концентрируют при пониженном давлении, остаток растворяют в тетрагидрофуране (1 мл) и ацетонитриле (1 мл) и добавляют триметиламин (93 мкл) и раствор 2М триметилсилилдиазометан-гексан (587 мкл). Смесь перемешивают в течение ночи при комнатной температуре. Реакционный раствор концентрируют при пониженном давлении и к остатку добавляют 2,6-лутидин (500 мкл) и бензиловый спирт (500 мкл). Полученную смесь перемешивают при 150°С в течение 15 минут. Реакционный раствор охлаждают до комнатной температуры и экстрагируют этилацетатом и 1н. HCl. Органический слой промывают насыщенным водным раствором бикарбоната натрия и насыщенным раствором соли, сушат над сульфатом магния и затем концентрируют при пониженном давлении. Полученный остаток очищают колоночной хроматографией (силикагель; гексан:этилацетат=9:1 3:1) с получением этилового эфира (2R,4S)-4-{(5-бензилоксикарбонилметилпиримидин-2-ил)-[3,5-бис(трифторметил)бензил]амино-2-этил-6-метокси-3,4-дигидро-2Н-[1,5]нафтиридин-1-карбоновой кислоты (60 мг). MC (m/z): 732 [М+Н]+.
(2) Этиловый эфир (2R,4S)-4-{(5-бензилоксикарбонилметилпиримидин-2-ил)-[3,5-бис(трифторметил)бензил]амино-2-этил-6-метокси-3,4-дигидро-2Н-[1,5]нафтиридин-1-карбоновой кислоты (53 мг) растворяют в этаноле (0,5 мл) и к раствору добавляют 10% палладий на угле (10 мг). Смесь перемешивают в атмосфере водорода при комнатной температуре в течение 3 часов. Палладий на угле отфильтровывают и затем фильтрат концентрируют при пониженном давлении с получением этилового эфира (2R,4S)-4-{[3,5-бис(трифторметил)бензил]-(5-карбоксиметилпиримидин-2-ил)}амино-2-этил-6-метокси-3,4-дигидро-2Н-[1,5]нафтиридин-1-карбоновой кислоты (44 мг) MC (m/z): 642 [М+Н]+.
Пример 285
Этиловый эфир (2R,4S)-4-{[3,5-бис(трифторметил)бензил]-(5-гидроксиметилпиримидин-2-ил)}амино-2-этил-6-метокси-3,4-дигидро-2Н-[1,5]нафтиридин-1-карбоновой кислоты (130 мг) растворяют в ацетоне (2,5 мл) и к раствору добавляют карбонат калия (108 мг) и этилбромацетат (0,129 мл). Смесь перемешивают при комнатной температуре в течение 6 дней. Реакционный раствор концентрируют при пониженном давлении и добавляют воду. Смесь перемешивают в течение 40 часов и распределяют, добавляя хлороформ к реакционному раствору. Органический слой сушат над сульфатом магния, затем концентрируют при пониженном давлении с получением этилового эфира (2R,4S)-4-{[3,5-бис(трифторметил)бензил]-(5-карбоксиметоксиметилпиримидин-2-ил)}амино-2-этил-6-метокси-3,4-дигидро-2Н-[1,5]нафтиридин-1-карбоновой кислоты (33,8 мг). MC (m/z): 672 [М+Н]+.
Пример 286
(1) Этиловый эфир (2R,4S)-4-{[3,5-бис(трифторметил)бензил]-(5-гидроксиметилпиримидин-2-ил)}амино-2-этил-6-метокси-3,4-дигидро-2Н-[1,5]нафтиридин-1-карбоновой кислоты (170 мг) растворяют в диметилсульфоксиде (45 мкл) и к раствору добавляют 5н. водный раствор NaOH (5 мкл) и трет-бутиловый эфир акриловой кислоты (0,14 мл). Смесь перемешивают при комнатной температуре в течение 1 часа и распределяют между водой и диэтиловым эфиром. Органический слой сушат над сульфатом магния и затем концентрируют при пониженном давлении. Полученный остаток очищают колоночной хроматографией (силикагель; гексан:этилацетат=9:1 4:1) с получением этилового эфира (2R,4S)-4-{[3,5-бис(трифторметил)бензил]-[5-(2-трет-бутоксикарбонилэтоксиметил)пиримидин-2-ил]}амино-2-этил-6-метокси-3,4-дигидро-2Н-[1,5]нафтиридин-1-карбоновой кислоты (161 мг). MC (m/z): 742 [М+Н]+.
(2) Этиловый эфир (2R,4S)-4-{[3,5-бис(трифторметил)бензил]-[5-(2-трет-бутоксикарбонилэтоксиметил)пиримидин-2-ил]}амино-2-этил-6-метокси-3,4-дигидро-2Н-[1,5]нафтиридин-1-карбоновой кислоты (155 мг) растворяют в растворе (3 мл) 4н. HCl в 1,4-диоксане и смесь перемешивают при комнатной температуре в течение 1 часа. Реакционный раствор концентрируют при пониженном давлении и полученный остаток очищают колоночной хроматографией (силикагель; хлороформ:метанол=1:0 9:1) с получением этилового эфира (2R,4S)-4-{[3,5-бис(трифторметил)бензил]-[5-(2-карбоксиэтоксиметил)пиримидин-2-ил]}амино-2-этил-6-метокси-3,4-дигидро-2Н-[1,5]нафтиридин-1-карбоновой кислоты (145 мг). MC (m/z): 686 [М+Н]+.
Пример 287

Соответствующее исходное соединение обрабатывают аналогично примеру 233 (3) с получением соединения 287. MC (m/z): 656 [М+Н]+.
Пример 288
(1) Этиловый эфир (2R,4S)-4-{[3,5-бис(трифторметил)бензил]-(5-гидроксиметилпиримидин-2-ил)}амино-2-этил-6-метокси-3,4-дигидро-2Н-[1,5]нафтиридин-1-карбоновой кислоты (526 мг) растворяют в хлороформе (3 мл) и к раствору добавляют диоксид марганца (1,5 г). Смесь перемешивают при комнатной температуре в течение 19 часов. Реакционный раствор фильтруют через Celite и фильтрат концентрируют при пониженном давлении с получением этилового эфира (2R,4S)-4-{[3,5-бис(трифторметил)бензил]-(5-формилпиримидин-2-ил)}амино-2-этил-6-метокси-3,4-дигидро-2Н-[1,5]нафтиридин-1-карбоновой кислоты (500 мг). MC (m/z): 612 [М+Н]+.
(2) Этиловый эфир (2R,4S)-4-{[3,5-бис(трифторметил)бензил]-(5-формилпиримидин-2-ил)}амино-2-этил-6-метокси-3,4-дигидро-2Н-[1,5]нафтиридин-1-карбоновой кислоты (200 мг) растворяют в толуоле (3 мл) и к раствору добавляют метиловый эфир бензилоксикарбониламино(диметоксифосфорил)уксусной кислоты (238 мг) и 1,8-диазабицикло[5,4,0]ундец-7-ен (98 мкл). Смесь перемешивают при комнатной температуре в течение 18 часов и добавляют 1н. HCl и этилацетат для распределения. Органический слой промывают водой и насыщенным раствором соли, затем сушат над сульфатом магния и концентрируют при пониженном давлении. Полученный остаток очищают колоночной хроматографией (силикагель: гексан:этилацетат=4:1 1:1) с получением этилового эфира (2R,4S)-4-{[5-((Z)-2-бензилоксикарбониламино-2-метоксикарбонилвинил)пиримидин-2-ил]-[3,5-бис(трифторметил)бензил]}амино-2-этил-6-метокси-3,4-дигидро-2Н-[1,5]нафтиридин-1-карбоновой кислоты (209 мг). MC (m/z): 817 [М+Н]+.
(3) Этиловый эфир (2R,4S)-4-{[5-((Z)-2-бензилоксикарбониламино-2-метоксикарбонилвинил)пиримидин-2-ил]-[3,5-бис(трифторметил)бензил]}амино-2-этил-6-метокси-3,4-дигидро-2Н-[1,5]нафтиридин-1-карбоновой кислоты (200 мг) растворяют в метаноле (4 мл) и к раствору добавляют 10% палладий на угле (140 мг). Смесь перемешивают в атмосфере водорода при комнатной температуре в течение 22 часов. Реакционный раствор фильтруют и фильтрат концентрируют при пониженном давлении. Полученный остаток очищают колоночной хроматографией (силикагель; хлороформ:метанол=1:0 19:1) с получением этилового эфира (2R,4S)-4-{[5-(2-амино-2-метоксикарбонилэтил)пиримидин-2-ил]-[3,5-бис(трифторметил)бензил]}амино-2-этил-6-метокси-3,4-дигидро-2Н-[1,5]нафтиридин-1-карбоновой кислоты (118 мг). MC (m/z): 685 [М+Н]+.
Пример 289

Соответствующее исходное соединение обрабатывают аналогично примеру 233 (2) с получением соединения 289. MC (m/z): 671 [М+Н]+.
Пример 290
(1) Этиловый эфир (2R,4S)-4-{[3,5-бис(трифторметил)бензил]-[5-(3-гидроксипропил)пиримидин-2-ил]}амино-2-этил-6-метокси-3,4-дигидро-2Н-[1,5]нафтиридин-1-карбоновой кислоты (940 мг) растворяют в дихлорметане (20 мл) и к раствору добавляют трифенилфосфин (850 мг) и тетрабромид углерода (1,0 г). Смесь перемешивают при комнатной температуре в течение 1 часа и распределяют между водой и хлороформом. Органический слой промывают насыщенным раствором соли, сушат над сульфатом магния и затем концентрируют при пониженном давлении. Полученный остаток очищают колоночной хроматографией (силикагель; гексан:этилацетат=9:1 4:1) с получением этилового эфира (2R,4S)-4-{[3,5-бис(трифторметил)бензил]-[5-(3-бромпропил)пиримидин-2-ил]}амино-2-этил-6-метокси-3,4-дигидро-2Н-[1,5]нафтиридин-1-карбоновой кислоты (576 мг) в виде неочищенного продукта. MC (m/z): 704/706 [М+Н]+.
(2) Неочищенный продукт (150 мг) этилового эфира (2R,4S)-4-{[3,5-бис(трифторметил)бензил]-[5-(3-бромпропил)пиримидин-2-ил]}амино-2-этил-6-метокси-3,4-дигидро-2Н-[1,5]нафтиридин-1-карбоновой кислоты растворяют в N,N-диметилформамиде (4 мл) и к раствору добавляют морфолин (60 мкл). Смесь перемешивают при комнатной температуре в течение 2 дней и распределяют между водой и этилацетатом. Органический слой промывают насыщенным раствором соли, сушат над сульфатом магния и затем концентрируют при пониженном давлении. Полученный остаток очищают колоночной хроматографией (силикагель; хлороформ:метанол=1:0 19:1) с получением этилового эфира (2R,4S)-4-{[3,5-бис(трифторметил)бензил]-{5-[3-(морфолин-4-ил)пропил]пиримидин-2-мл}]амино-2-этил-6-метокси-3,4-дигидро-2Н-[1,5]нафтиридин-1-карбоновой кислоты (114 мг). MC (m/z): 711 [М+Н]+.
Пример 291
(1) Неочищенный продукт (230 мг) этилового эфира (2R,4S)-4-{[3,5-бис(трифторметил)бензил]-[5-(3-бромпропил)пиримидин-2-ил]}амино-2-этил-6-метокси-3,4-дигидро-2Н-[1,5]нафтиридин-1-карбоновой кислоты растворяют в тетрагидрофуране (4 мл) и к раствору добавляют 15% раствор метантиолата натрия (0,3 мл). Смесь перемешивают при комнатной температуре в течение 4,5 часов и распределяют между водой и этилацетатом. Органический слой промывают насыщенным раствором соли, сушат над сульфатом магния и затем концентрируют при пониженном давлении. Полученный остаток очищают колоночной хроматографией (силикагель; гексан:этилацетат=4:1 3:2) с получением этилового эфира (2R,4S)-4-{[3,5-бис(трифторметил)бензил]-[5-(3-метилсульфанилпропил)пиримидин-2-ил]}амино-2-этил-6-метокси-3,4-дигидро-2Н-[1,5]нафтиридин-1-карбоновой кислоты (216 мг) в виде неочищенного продукта. MC (m/z): 672 [М+Н]+.
(2) Неочищенный продукт (210 мг) этилового эфира (2R,4S)-4-{[3,5-бис(трифторметил)бензил]-[5-(3-метилсульфанилпропил)пиримидин-2-ил]}амино-2-этил-6-метокси-3,4-дигидро-2Н-[1,5]нафтиридин-1-карбоновой кислоты растворяют в хлороформе (4 мл) и к раствору добавляют м-хлорпербензойную кислоту (160 мг). Смесь перемешивают при комнатной температуре в течение 2 часов и распределяют между насыщенным водным раствором гидрокарбоната натрия и этилацетатом. Органический слой промывают насыщенным раствором соли, сушат над сульфатом магния и затем концентрируют при пониженном давлении. Полученный остаток очищают колоночной хроматографией (силикагель; гексан:этилацетат=7:3 2:3) с получением этилового эфира (2R,4S)-4-{[3,5-бис(трифторметил)бензил]-[5-(3-метансульфанилпропил)пиримидин-2-ил]}амино-2-этил-6-метокси-3,4-дигидро-2Н-[1,5]нафтиридин-1-карбоновой кислоты (63 мг). MC (m/z): 704 [М+Н]+.
Пример 292

Соответствующее исходное соединение обрабатывают аналогично примеру 137 с получением соединения 292. MC (m/z): 635 [М+Н]+.
Пример 293
Бромид меди (I) (746 мг) суспендируют в тетрагидрофуране (5 мл), к раствору добавляют по каплям 65% раствор в толуоле (3,23 г) бис(2-метоксиэтокси)алюминийгидрида натрия при охлаждении на льду в атмосфере азота и полученную смесь перемешивают в течение 30 минут. Реакционный раствор охлаждают до -78°С и добавляют 2-бутанол (954 мкл) и этиловый эфир (2R,4S)-4-{[3,5-бис(трифторметил)бензил]-[5-(2-циановинил)пиримидин-2-ил]}амино-2-этил-6-метокси-3,4-дигидро-2Н-[1,5]нафтиридин-1-карбоновой кислоты (330 мг). Полученную смесь перемешивают при той же температуре в течение 2 часов и затем перемешивают при комнатной температуре в течение 2 часов. К реакционному раствору добавляют насыщенный водный раствор хлорида аммония, нерастворимые вещества удаляют фильтрованием через Celite и полученный фильтрат распределяют между этилацетатом и водой. Органический слой промывают насыщенным раствором соли, сушат над сульфатом магния и затем концентрируют при пониженном давлении. Полученный остаток очищают колоночной хроматографией (силикагель; гексан:этилацетат=4:1 3:2) с получением этилового эфира (2R,4S)-4-{[3,5-бис(трифторметил)бензил]-[5-(2-цианоэтил)пиримидин-2-ил]}амино-2-этил-6-метокси-3,4-дигидро-2Н-[1,5]нафтиридин-1-карбоновой кислоты (254 мг). MC (m/z): 637 [М+Н]+.
Пример 294

Соответствующее исходное соединение обрабатывают аналогично примеру 147 с получением соединения 294. MC (m/z): 680 [М+Н]+.
Пример 295
(1) Этиловый эфир (2R,4S)-4-{[3,5-бис(трифторметил)бензил]-[5-(3-гидроксипропил)пиримидин-2-ил]}амино-2-этил-6-метокси-3,4-дигидро-2Н-[1,5]нафтиридин-1-карбоновой кислоты (1 г) и трифенилфосфин (491 мг) растворяют в дихлорметане (10 мл) и к раствору добавляют тетрабромид углерода (775 мг). Полученную смесь перемешивают в течение ночи при комнатной температуре. Реакционный раствор концентрируют при пониженном давлении и полученный остаток очищают колоночной хроматографией (силикагель; гексан:этилацетат=9:1 4:1) с получением этилового эфира (2R,4S)-4-{[3,5-бис(трифторметил)бензил]-[5-(3-бромпропил)пиримидин-2-ил]}амино-2-этил-6-метокси-3,4-дигидро-2Н-[1,5]нафтиридин-1-карбоновой кислоты (955 мг). MC (m/z): 704/706
[М+Н]+.
(2) Этиловый эфир (2R,4S)-4-{[3,5-бис(трифторметил)бензил]-[5-(3-бромпропил)пиримидин-2-ил]}амино-2-этил-6-метокси-3,4-дигидро-2Н-[1,5]нафтиридин-1-карбоновой кислоты (946 мг) и 3-метокси-3-оксопропан-1-сульфинат натрия (281 мг) растворяют в диметилсульфоксиде (8 мл) и полученную смесь перемешивают в течение ночи в токе азота при комнатной температуре. К реакционному раствору добавляют воду и этилацетат и органический слой промывают насыщенным раствором соли, затем сушат над сульфатом магния и концентрируют при пониженном давлении. Полученный остаток очищают колоночной хроматографией (силикагель; гексан:этилацетат=2:1 1:1) с получением этилового эфира (2R,4S)-4-{[3,5-бис(трифторметил)бензил]-{5-[3-(2-метоксикарбонилэтансульфонил)пропил]пиримидин-2-ил})амино-2-этил-6-метокси-3,4-дигидро-2Н-[1,5]нафтиридин-1-карбоновой кислоты (801 мг). MC (m/z):
776 [М+Н]+.
(3) Этиловый эфир (2R,4S)-4-{[3,5-бис(трифторметил)бензил]-{5-[3-(2-метоксикарбонилэтансульфонил)пропил]пиримидин-2-ил})амино-2-этил-6-метокси-3,4-дигидро-2Н-[1,5]нафтиридин-1-карбоновой кислоты (200 мг) и 2н. водный раствор NaOH (516 мкл) растворяют в этаноле (3 мл) и смесь перемешивают при комнатной температуре в течение 30 минут. К реакционному раствору добавляют 2н. водный раствор HCl (520 мкл) и полученную смесь перемешивают в течение ночи. К реакционной смеси добавляют этилацетат, органический слой промывают насыщенным раствором соли, сушат над сульфатом магния и затем концентрируют при пониженном давлении. Полученный остаток очищают колоночной хроматографией (силикагель; гексан:этилацетат=9:1 4:1) с получением этилового эфира (2R,4S)-4-{[3,5-бис(трифторметил)бензил]-[5-(3-сульфопропил)пиримидин-2-ил]}амино-2-этил-6-метокси-3,4-дигидро-2Н-[1,5]нафтиридин-1-карбоновой кислоты (96 мг). MC (m/z): 704 [М+Н]+.
Пример 296
Этиловый эфир (2R,4S)-4-{[3,5-бис(трифторметил)бензил]-[5-(3-сульфопропил)пиримидин-2-ил]}амино-2-этил-6-метокси-3,4-дигидро-2Н-[1,5]нафтиридин-1-карбоновой кислоты (125 мг) растворяют в тионилхлориде (3 мл) и перемешивают при 80°С в течение 2 часов. Реакционный раствор охлаждают до комнатной температуры и затем концентрируют при пониженном давлении. К полученному остатку добавляют хлороформ (3 мл), затем добавляют раствор (2 мл) 7н. аммиака в метаноле при охлаждении на льду. Полученную смесь перемешивают при комнатной температуре в течение 3 часов. К реакционному раствору добавляют воду и этилацетат, органический слой промывают насыщенным раствором соли, сушат над сульфатом магния и затем концентрируют при пониженном давлении. Полученный остаток очищают колоночной хроматографией (силикагель; гексан:этилацетат=4:1 1:1) с получением этилового эфира (2R,4S)-4-{[3,5-бис(трифторметил)бензил]-[5-(3-метоксисульфонилпропил)пиримидин-2-ил]}амино-2-этил-6-метокси-3,4-дигидро-2Н-[1,5]нафтиридин-1-карбоновой кислоты (29 мг), MC (m/z): 720 [М+Н]+, и этилового эфира (2R,4S)-4-{[3,5-бис(трифторметил)бензил]-[5-(3-сульфамоилпропил)пиримидин-2-ил]}амино-2-этил-6-метокси-3,4-дигидро-2Н-[1,5]нафтиридин-1-карбоновой кислоты (10 мг), MC (m/z): 705 [М+Н]+.
Пример 297
Этиловый эфир (2R,4S)-4-{[3,5-бис(трифторметил)бензил]-[5-(2-цианоэтил)пиримидин-2-ил]}амино-2-этил-6-метокси-3,4-дигидро-2Н-[1,5]нафтиридин-1-карбоновой кислоты (500 мг) растворяют в этаноле (5 мл) и к раствору добавляют карбонат натрия (292 мг) и гидрохлорид гидроксиламина (192 мг). Полученную смесь нагревают при 80°С и перемешивают в течение 31,5 часов. Реакционный раствор охлаждают до комнатной температуры и распределяют между водой и этилацетатом. Органический слой промывают насыщенным раствором соли, затем сушат над сульфатом магния и концентрируют при пониженном давлении. Полученный остаток очищают колоночной хроматографией (силикагель; хлороформ:метанол=1:0 19:1) с получением этилового эфира (2R,4S)-4-{[3,5-бис(трифторметил)бензил]-{5-[2-(N-гидроксикарбамимидоил)этил]пиримидин-2-ил})амино-2-этил-6-метокси-3,4-дигидро-2Н-[1,5]нафтиридин-1-карбоновой кислоты, (297 мг) MC (m/z): 670 [М+Н]+, и этилового эфира (2R,4S)-4-{[3,5-бис(трифторметил)бензил]-[5-(2-карбамоилэтил)пиримидин-2-ил]}амино-2-этил-6-метокси-3,4-дигидро-2Н-[1,5]нафтиридин-1-карбоновой кислоты (140 мг), MC (m/z): 655 [М+Н]+.
Пример 298
Этиловый эфир (2R,4S)-4-{[3,5-бис(трифторметил)бензил]-{5-[2-(N-гидроксикарбамимидоил)этил]пиримидин-2-ил})амино-2-этил-6-метокси-3,4-дигидро-2Н-[1,5]нафтиридин-1-карбоновой кислоты (140 мг) растворяют в ацетонитриле (1 мл) и к раствору добавляют карбодиимидазол (51 мг). Смесь нагревают при 60°С и перемешивают в течение 25,5 часов. Реакционный раствор охлаждают до комнатной температуры и распределяют между водой и этилацетатом. Органический слой промывают насыщенным раствором соли, затем сушат над сульфатом магния и концентрируют при пониженном давлении. Полученный остаток очищают колоночной хроматографией (силикагель; хлороформ:метанол=1:0 19:1) с получением этилового эфира (2R,4S)-4-{[3,5-бис(трифторметил)бензил]-{5-[2-(5-оксо-4,5-дигидро[1,2,4]оксадиазол-3-ил)этил]пиримидин-2-ил})амино-2-этил-6-метокси-3,4-дигидро-2Н-[1,5]нафтиридин-1-карбоновой кислоты (84 мг). MC (m/z): 696 [М+Н]+.
Пример 299
Этиловый эфир (2R,4S)-4-{[3,5-бис(трифторметил)бензил]-(5-бромпиримидин-2-ил)}амино-2-этил-6-метокси-3,4-дигидро-2Н-[1,5]нафтиридин-1-карбоновой кислоты (2,0 г), цианид цинка (352 мг) и тетракис(трифенилфосфин)палладий (347 мг) растворяют в N,N-диметилформамиде (10 мл) и перемешивают в атмосфере азота при 100°С в течение 4 часов. Реакционный раствор распределяют между этилацетатом и водой. Органический слой промывают насыщенным раствором соли, сушат над сульфатом магния и затем концентрируют при пониженном давлении. Полученный остаток очищают колоночной хроматографией (силикагель; гексан:этилацетат=9:1 3:1) с получением этилового эфира (2R,4S)-4-{[3,5-бис(трифторметил)бензил]-(5-цианопиримидин-2-ил)}амино-2-этил-6-метокси-3,4-дигидро-2Н-[1,5]нафтиридин-1-карбоновой кислоты (1,69 г). MC (m/z): 609 [М+Н]+.
Пример 300

Соответствующее исходное соединение обрабатывают аналогично примеру 147 с получением соединения 300. MC (m/z): 652 [М+Н]+.
Пример 301

Соответствующее исходное соединение обрабатывают аналогично примеру 202 с получением соединения 301. MC (m/z): 696 [М+Н]+.
Пример 302
Гидрохлорид гидроксиламина (285 мг) растворяют в диметилсульфоксиде (4 мл) и к раствору добавляют триэтиламин (0,57 мл). К реакционному раствору добавляют тетрагидрофуран, нерастворимые вещества удаляют фильтрованием и фильтрат упаривают для удаления тетрагидрофурана при пониженном давлении. К полученному раствору добавляют этиловый эфир (2R,4S)-4-{[3,5-бис(трифторметил)бензил]-(5-цианопиримидин-2-ил)}амино-2-этил-6-метокси-3,4-дигидро-2Н-[1,5]нафтиридин-1-карбоновой кислоты (500 мг), полученную смесь нагревают при 75°С и перемешивают в течение 1 часа. Реакционный раствор охлаждают до комнатной температуры и распределяют между водой и этилацетатом. Органический слой промывают насыщенным раствором соли, сушат над сульфатом магния и затем концентрируют при пониженном давлении с получением этилового раствора (2R,4S)-4-([3,5-бис(трифторметил)бензил]-{5-(N-гидроксикарбамимидоил)пиримидин-2-ил})амино-2-этил-6-метокси-3,4-дигидро-2Н-[1,5]нафтиридин-1-карбоновой кислоты (510 мг). MC (m/z): 642 [М+Н]+.
Пример 303

Соответствующее исходное соединение обрабатывают аналогично примеру 298 с получением соединения 303. MC (m/z): 668 [М+Н]+.
Пример 304
Этиловый эфир (2R,4S)-4-{[3,5-бис(трифторметил)бензил]-(5-иодпиримидин-2-ил)}амино-2-этил-6-метокси-3,4-дигидро-2Н-[1,5]нафтиридин-1-карбоновой кислоты (250 мг) растворяют в N,N-диметилформамиде (2 мл) и к раствору добавляют тетракис(трифенилфосфин)палладий (81 мг), пиридин-3-бороновую кислоту (87 мг) и карбонат калия (117 мг). Полученную смесь перемешивают в токе азота при 100°С в течение 2 часов. После охлаждения до комнатной температуры к реакционной смеси добавляют воду и экстрагируют этилацетатом. Органический слой промывают насыщенным раствором соли, сушат над сульфатом магния и затем концентрируют при пониженном давлении. Полученный остаток очищают колоночной хроматографией (NH-силикагель; гексан:этилацетат=4:1) с получением этилового эфира (2R,4S)-4-{[3,5-бис(трифторметил)бензил]-{5-[пиридин-3-ил)пиримидин-2-ил]}амино-2-этил-6-метокси-3,4-дигидро-2Н-[1,5]нафтиридин-1-карбоновой кислоты (96 мг) MC (m/z): 661 [М+Н]+.
Пример 305
(1) Этиловый эфир (2R,4S)-4-{[3,5-бис(трифторметил)бензил]-[5-(пиридин-3-ил)пиримидин-2-ил]}амино-2-этил-6-метокси-3,4-дигидро-2Н-[1,5]нафтиридин-1-карбоновой кислоты (812 мг) и бензилбромид (292 мкл) растворяют в ацетонитриле (8 мл) и перемешивают при 50°С в течение 6 часов. Реакционный раствор концентрируют при пониженном давлении, остаток кристаллизуют и промывают изопропиловым эфиром с получением 1-бензил-3-(2-{[3,5-бис(трифторметил)бензил]-((2R,4S)-1-этоксикарбонил-2-этил-6-метокси-1,2,3,4-тетрагидро[1,5]нафтиридин-4-ил)}аминопиримидин-5-ил)пиридинийбромида (1,01 г). MC (m/z): 661 [М+Н-PhCH2Br]+.
(2) 1-бензил-3-(2-{[3,5-бис(трифторметил)бензил]-((2R,4S)-1-этоксикарбонил-2-этил-6-метокси-1,2,3,4-тетрагидро[1,5]нафтиридин-4-ил)}аминопиримидин-5-ил)пиридинийбромид (117 мг) растворяют в метаноле (2 мл) и к раствору добавляют тетрагидроборат натрия (11 мг). Полученную смесь перемешивают в токе азота при комнатной температуре в течение 10 минут. К реакционному раствору добавляют насыщенный водный раствор гидрокарбоната натрия и этилацетат, органический слой промывают насыщенным раствором соли, затем сушат над сульфатом магния и затем концентрируют при пониженном давлении. Полученный остаток очищают колоночной хроматографией (силикагель; гексан:этилацетат=4:1 2:1) с получением этилового эфира (2R,4S)-4-{[5-(1-бензил-1,2,5,6-тетрагидропиридин-3-ил)пиримидин-2-ил]-[3,5-бис(трифторметил)бензил]}амино-2-этил-6-метокси-3,4-дигидро-2Н-[1,5]нафтиридин-1-карбоновой кислоты (65 мг). MC (m/z): 755 [М+Н]+.
Пример 306
Этиловый эфир (2R,4S)-4-{[5-(1-бензил-1,2,5,6-тетрагидропиридин-3-ил)пиримидин-2-ил]-[3,5-бис(трифторметил)бензил]}амино-2-этил-6-метокси-3,4-дигидро-2Н-[1,5]нафтиридин-1-карбоновой кислоты (432 мг) растворяют в метаноле (10 мл), к раствору добавляют каталитическое количество 10% палладия на угле и смесь перемешивают в течение ночи в атмосфере водорода при комнатной температуре. Катализатор (10% палладий на угле) удаляют фильтрованием и затем фильтрат концентрируют при пониженном давлении. Полученный осадок очищают колоночной хроматографией (NH-силикагель; гексан:этилацетат=1:2 0:1) с получением этилового эфира (2R,4S)-4-{[3,5-бис(трифторметил)бензил]-[5-(пиперидин-3-ил)пиримидин-2-ил]}амино-2-этил-6-метокси-3,4-дигидро-2Н-[1,5]нафтиридин-1-карбоновой кислоты (177 мг). MC (m/z): 667 [М+Н]+.
Пример 307
Этиловый эфир (2R,4S)-4-{[3,5-бис(трифторметил)бензил]-[5-(пиперидин-3-ил)пиримидин-2-ил]}амино-2-этил-6-метокси-3,4-дигидро-2Н-[1,5]нафтиридин-1-карбоновой кислоты (143 мг) и триэтиламин (45 мкл) растворяют в дихлорметане (2 мл), к раствору добавляют ацетилхлорид (23 мкл) при 0°С и смесь перемешивают при комнатной температуре в течение 1 часа. К реакционному раствору добавляют водный раствор лимонной кислоты и дихлорметан. Органический слой промывают насыщенным раствором соли, сушат над сульфатом магния и затем концентрируют при пониженном давлении. Полученный остаток очищают колоночной хроматографией (силикагель; гексан:этилацетат=1:2 0:1) с получением этилового эфира (2R,4S)-4-{[5-(1-ацетилпиперидин-3-ил)пиримидин-2-ил]-[3,5-бис(трифторметил)бензил]}амино-2-этил-6-метокси-3,4-дигидро-2Н-[1,5]нафтиридин-1-карбоновой кислоты (134 мг). MC (m/z): 709 [М+Н]+.
Пример 308
Этиловый эфир (2R,4S)-4-{[3,5-бис(трифторметил)бензил]-[5-(пиридин-3-ил)пиримидин-2-ил]}амино-2-этил-6-метокси-3,4-дигидро-2Н-[1,5]нафтиридин-1-карбоновой кислоты (402 мг) растворяют в дихлорметане (5 мл), к раствору добавляют м-хлорпербензойную кислоту (210 мг) при охлаждении на льду и смесь перемешивают при комнатной температуре в течение 1 часа. К реакционному раствору добавляют насыщенный водный раствор гидрокарбоната натрия. Органический слой промывают насыщенным раствором соли, сушат над сульфатом магния и затем концентрируют при пониженном давлении. Полученный остаток очищают колоночной хроматографией (силикагель; хлороформ:метанол=1:0 49:1) с получением этилового эфира (2R,4S)-4-{[3,5-бис(трифторметил)бензил]-[5-(1-оксипиридин-3-ил)пиримидин-2-ил]}амино-2-этил-6-метокси-3,4-дигидро-2Н-[1,5]нафтиридин-1-карбоновой кислоты (361 мг). MC (m/z): 677 [М+Н]+.
Пример 309
Этиловый эфир (2R,4S)-4-{[3,5-бис(трифторметил)бензил]-[5-(1-оксипиридин-3-ил)пиримидин-2-ил]}амино-2-этил-6-метокси-3,4-дигидро-2Н-[1,5]нафтиридин-1-карбоновой кислоты (272 мг) растворяют в уксусном ангидриде (3 мл) и перемешивают при кипении с обратным холодильником в течение 3 дней. Реакционный раствор охлаждают до комнатной температуры и концентрируют при пониженном давлении. Полученный остаток растворяют в метаноле, добавляют в раствор концентрированный водный раствор аммиака и полученную смесь перемешивают при комнатной температуре в течение 1 часа. Реакционный раствор концентрируют при пониженном давлении и полученный остаток очищают колоночной хроматографией (силикагель; гексан:этилацетат=1:2 0:1) с получением этилового эфира (2R,4S)-4-{[3,5-бис(трифторметил)бензил]-[5-(2-гидроксипиридин-3-ил)пиримидин-2-ил]}амино-2-этил-6-метокси-3,4-дигидро-2Н-[1,5]нафтиридин-1-карбоновой кислоты (150 мг). MC (m/z): 677 [М+Н]+.
Пример 310
(1) Этиловый эфир (2R,4S)-4-{[3,5-бис(трифторметил)бензил]-(5-иодпиримидин-2-ил)}амино-2-этил-6-метокси-3,4-дигидро-2Н-[1,5]нафтиридин-1-карбоновой кислоты (300 мг) растворяют в N,N-диметилформамиде (2,5 мл) и к раствору добавляют тетракис(трифенилфосфин)палладий (98 мг), пинаколовый эфир 5-формилпиридин-3-бороновой кислоты (197 мг) и карбонат натрия (108 мг). Смесь перемешивают в течение ночи в токе азота при 100°С. После охлаждения до комнатной температуры к реакционной смеси добавляют насыщенный водный раствор гидрокарбоната натрия и экстрагируют этилацетатом. Органический слой промывают насыщенным раствором соли, сушат над сульфатом магния и затем концентрируют при пониженном давлении с получением этилового эфира (2R,4S)-4-{[3,5-бис(трифторметил)бензил]-[5-(5-формилпиридин-3-ил)пиримидин-2-ил]}амино-2-этил-6-метокси-3,4-дигидро-2Н-[1,5]нафтиридин-1-карбоновой кислоты (69 мг). MC (m/z): 689 [М+Н]+.
(2) Этиловый эфир (2R,4S)-4-{[3,5-бис(трифторметил)бензил]-[5-(5-формилпиридин-3-ил)пиримидин-2-ил]}амино-2-этил-6-метокси-3,4-дигидро-2Н-[1,5]нафтиридин-1-карбоновой кислоты (65 мг) растворяют в трет-бутиловом спирте (0,67 мл), к раствору добавляют воду (0,18 мл), 2-метил-2-бутен (44 мкл) и дигидрат мононатрийфосфата (15 мг) и медленно добавляют хлорит натрия (36 мг) при охлаждении водой. Полученную смесь перемешивают при комнатной температуре в течение 1 часа. К реакционной смеси добавляют 10% водный раствор лимонной кислоты и экстрагируют этилацетатом. Органический слой промывают насыщенным раствором соли, сушат над сульфатом магния и затем концентрируют при пониженном давлении. Полученный остаток очищают колоночной хроматографией (силикагель; гексан:этилацетат=19:1 9:1) с получением (2R,4S)-4-{[3,5-бис(трифторметил)бензил]-[5-(5-карбоксипиридин-3-ил)пиримидин-2-ил]}амино-2-этил-6-метокси-3,4-дигидро-2Н-[1,5]нафтиридин-1-карбоновой кислоты (54 мг). MC (m/z): 705 [М+Н]+.
Пример 311
Этиловый эфир (2R,4S)-4-{[3,5-бис(трифторметил)бензил]-[5-(морфолин-4-ил)пиримидин-2-ил]}амино-2-этил-6-метокси-3,4-дигидро-2Н-[1,5]нафтиридин-1-карбоновой кислоты (100 мг) растворяют в хлороформе (1,5 мл), к раствору добавляют м-хлорпербензойную кислоту (48 мг) и смесь перемешивают при комнатной температуре в течение 30 минут. К реакционной смеси добавляют насыщенный водный раствор гидрокарбоната натрия и экстрагируют этилацетатом. Органический слой промывают насыщенным водным раствором гидрокарбоната натрия и насыщенным раствором соли и сушат над сульфатом магния. Кислотные загрязнения удаляют с использованием небольшого количества NH-силикагеля и органический слой концентрируют при пониженном давлении. К полученному остатку добавляют диэтиловый эфир и изопропиловый эфир и осажденные кристаллы удаляют фильтрованием с получением этилового эфира (2R,4S)-4-{[3,5-бис(трифторметил)бензил]-[5-(4-оксоморфолин-4-ил)пиримидин-2-ил]}амино-2-этил-6-метокси-3,4-дигидро-2Н-[1,5]нафтиридин-1-карбоновой кислоты (89 мг). MC (m/z): 685 [М+Н]+.
Пример 312
(1) Этиловый эфир (2R,4S)-4-{[3,5-бис(трифторметил)бензил]-[5-(3-гидроксипропенил)пиримидин-2-ил]}амино-2-этил-6-метокси-3,4-дигидро-2Н-[1,5]нафтиридин-1-карбоновой кислоты (750 мг) растворяют в хлороформе (15 мл) и к раствору добавляют м-хлорпербензойную кислоту (303 мг) при охлаждении на льду. Смесь перемешивают при комнатной температуре в течение 2 часов и распределяют между насыщенным водным раствором гидрокарбоната натрия и этилацетатом. Органический слой промывают насыщенным раствором соли, сушат над сульфатом магния и затем концентрируют при пониженном давлении. Полученный остаток очищают колоночной хроматографией (силикагель; гексан:этилацетат=7:3 2:3) с получением этилового эфира (2R,4S)-4-([3,5-бис(трифторметил)бензил]-{5-[1-(3-хлорбензоилокси)-2,3-дигидроксипропил]пиримидин-2-ил})амино-2-этил-6-метокси-3,4-дигидро-2Н-[1,5]нафтиридин-1-карбоновой кислоты (677 мг) в виде неочищенного продукта. MC (m/z): 812 [М+Н]+.
(2) Неочищенный продукт (360 мг) этилового эфира (2R,4S)-4-([3,5-бис(трифторметил)бензил]-{5-[1-(3-хлорбензоилокси)-2,3-дигидроксипропил]пиримидин-2-ил})амино-2-этил-6-метокси-3,4-дигидро-2Н-[1,5]нафтиридин-1-карбоновой кислоты растворяют в метаноле (10 мл), к раствору добавляют 1н. водный раствор NaOH (5 мл) и смесь перемешивают при комнатной температуре в течение 30 минут. Реакционный раствор концентрируют при пониженном давлении и распределяют добавлением этилацетата. Органический слой промывают насыщенным раствором соли, сушат над сульфатом магния и затем концентрируют при пониженном давлении. Полученный остаток очищают колоночной хроматографией (NH-силикагель; гексан:этилацетат=1:0 9:1) с получением этилового эфира (2R,4S)-4-{[3,5-бис(трифторметил)бензил]-[5-(1,2,3-тригидрокси)пропилпиримидин-2-ил]}амино-2-этил-6-метокси-3,4-дигидро-2Н-[1,5]нафтиридин-1-карбоновой кислоты (184 мг). MC (m/z): 674 [М+Н]+.
Пример 313
Этиловый эфир (2R,4S)-4-{[3,5-бис(трифторметил)бензил]-(5-бромпиримидин-2-ил)}амино-2-этил-6-метокси-3,4-дигидро-2Н-[1,5]нафтиридин-1-карбоновой кислоты (300 мг) растворяют в 1,4-диоксане (1 мл) и к раствору добавляют карбонат цезия (205 мг), пирролидин-2-он (41 мкл), 4,5-бис(дифенилфосфино)-9,9-ксантен (81 мг) и трис(дибензилиденацетон)дипалладий (41,5 мг). Смесь нагревают при 90°С и перемешивают в течение 15 часов. Реакционный раствор охлаждают до комнатной температуры и распределяют между водой и диэтиловым эфиром. Органический слой промывают насыщенным раствором соли, затем сушат над сульфатом магния и затем концентрируют при пониженном давлении. Полученный остаток очищают колоночной хроматографией (силикагель; гексан:этилацетат=4:1 7:3) с получением этилового эфира (2R,4S)-4-{[3,5-бис(трифторметил)бензил]-[5-(2-оксопирролидин-1-ил)пиримидин-2-ил]}амино-2-этил-6-метокси-3,4-дигидро-2Н-[1,5]нафтиридин-1-карбоновой кислоты (126,6 мг). MC (m/z): 667 [М+Н]+.
Пример 314
Этиловый эфир (2R*,4S*)-4-{[3,5-бис(трифторметил)бензил]-(5-иодпиримидин-2-ил)}амино-2-этил-6-метокси-3,4-дигидро-2Н-[1,5]нафтиридин-1-карбоновой кислоты (300 мг), 3-метокси-3-оксопропан-1-сульфинат натрия (221 мг) и иодид меди (I) (242 мг) растворяют в диметилсульфоксиде (2 мл). Полученную смесь перемешивают в токе азота при 110°С в течение 3 часов. Реакционный раствор охлаждают до комнатной температуры и к раствору добавляют воду и этилацетат. После удаления осажденных нерастворимых веществ фильтрованием через Celite органический слой промывают насыщенным раствором соли, затем сушат над сульфатом магния и концентрируют при пониженном давлении. Полученный остаток очищают колоночной хроматографией (силикагель; гексан:этилацетат=4:1 2:1) с получением (2R*,4S*)-4-{[3,5-бис(трифторметил)бензил]-[5-(2-метоксикарбонилэтансульфонил)пиримидин-2-ил]}амино-2-этил-6-метокси-3,4-дигидро-2Н-[1,5]нафтиридин-1-карбоновой кислоты (286 мг). MC (m/z): 734 [М+Н]+.
Пример 315
Этиловый эфир (2R*,4S*)-4-{[3,5-бис(трифторметил)бензил]-[5-(2-метоксикарбонилэтансульфонил)пиримидин-2-ил]}амино-2-этил-6-метокси-3,4-дигидро-2Н-[1,5]нафтиридин-1-карбоновой кислоты (141 мг) и 2н. водный раствор NaOH
(384 мкл) растворяют в этаноле (3 мл) и полученную смесь перемешивают при 50°С в течение 30 минут. К реакционному раствору добавляют 2н. водный раствор HCl (385 мкл) и перемешивают в течение ночи. К реакционной смеси добавляют этилацетат, органический слой промывают насыщенным раствором соли, сушат над сульфатом магния и затем концентрируют при пониженном давлении. Полученный остаток очищают колоночной хроматографией (силикагель; гексан:этилацетат=9:1 4:1) с получением этилового эфира (2R*,4S*)-4-{[3,5-бис(трифторметил)бензил]-(5-сульфопиримидин-2-ил)}амино-2-этил-6-метокси-3,4-дигидро-2Н-[1,5]нафтиридин-1-карбоновой кислоты (64 мг). MC (m/z): 662 [М+Н]+.
Пример 316
(1) Этиловый эфир (2R,4S)-4-{[3,5-бис(трифторметил)бензил]-(5-бромпиримидин-2-ил)}амино-2-этил-6-метокси-3,4-дигидро-2Н-[1,5]нафтиридин-1-карбоновой кислоты (2 г), 3-метокси-3-оксопропан-1-сульфинат натрия (2,63 г) и иодид меди (I) (2,88 г) растворяют в диметилсульфоксиде (25 мл) и полученную смесь перемешивают в токе азота при 110°С в течение 6 часов. Реакционный раствор охлаждают до комнатной температуры и к раствору добавляют воду и этилацетат. После удаления осажденных нерастворимых веществ фильтрованием через Celite органический слой промывают насыщенным раствором соли, затем сушат над сульфатом магния и концентрируют при пониженном давлении. Полученный остаток очищают колоночной хроматографией (силикагель; гексан:этилацетат=4:1 2:1) с получением этилового эфира (2R,4S)-4-{[3,5-бис(трифторметил)бензил]-[5-(2-метоксикарбонилэтансульфонил)пиримидин-2-ил]}амино-2-этил-6-метокси-3,4-дигидро-2Н-[1,5]нафтиридин-1-карбоновой кислоты (1,92 г). MC (m/z): 734 [М+Н]+.
(2) Этиловый эфир (2R,4S)-4-{[3,5-бис(трифторметил)бензил]-[5-(2-метоксикарбонилэтансульфонил)пиримидин-2-ил]}амино-2-этил-6-метокси-3,4-дигидро-2Н-[1,5]нафтиридин-1-карбоновой кислоты (1,9 г) и 2н. водный раствор NaOH (2,6 мл) растворяют в этаноле (20 мл) и полученную смесь перемешивают при комнатной температуре в течение 30 минут. К реакционному раствору добавляют 2н. водный раствор HCl (2,7 мл) и раствор пероксида водорода (10 мл) и полученную смесь перемешивают в течение ночи. К реакционной смеси добавляют хлороформ, органический слой промывают насыщенным раствором соли, сушат над сульфатом магния и затем концентрируют при пониженном давлении. Полученный остаток очищают колоночной хроматографией (силикагель; гексан:этилацетат=9:1 4:1) с получением этилового эфира (2R,4S)-4-{[3,5-бис(трифторметил)бензил]-(5-сульфопиримидин-2-ил)}амино-2-этил-6-метокси-3,4-дигидро-2Н-[1,5]нафтиридин-1-карбоновой кислоты (1,68 г). MC (m/z): 662 [М+Н]+.
(3) Этиловый эфир (2R,4S)-4-{[3,5-бис(трифторметил)бензил]-(5-сульфопиримидин-2-ил)}амино-2-этил-6-метокси-3,4-дигидро-2Н-[1,5]нафтиридин-1-карбоновой кислоты (200 мг) растворяют в тионилхлориде (2 мл) и перемешивают при 120°С в течение 2 часов. Реакционный раствор охлаждают до комнатной температуры и затем концентрируют при пониженном давлении. К полученному остатку добавляют толуол (2 мл), затем добавляют раствор (15 мл) 0,5М аммиака в 1,4-диоксане при охлаждении на льду и полученную смесь перемешивают в течение ночи при комнатной температуре. Реакционный раствор концентрируют при пониженном давлении и затем к полученному остатку добавляют воду и этилацетат. Органический слой промывают насыщенным раствором соли, сушат над сульфатом магния и затем концентрируют при пониженном давлении. Полученный остаток очищают колоночной хроматографией (силикагель; гексан:этилацетат=3:1 2:1) с получением этилового эфира (2R,4S)-4-{[3,5-бис(трифторметил)бензил]-(5-сульфамоилпиримидин-2-ил)}амино-2-этил-6-метокси-3,4-дигидро-2Н-[1,5]нафтиридин-1-карбоновой кислоты (75 мг). MC (m/z): 663 [М+Н]+.
Пример 317
(1) Этиловый эфир (2R,4S)-4-{[3,5-бис(трифторметил)бензил]-(5-сульфопиримидин-2-ил)}амино-2-этил-6-метокси-3,4-дигидро-2Н-[1,5]нафтиридин-1-карбоновой кислоты (927 мг) растворяют в тионилхлориде (10 мл) и нагревают при 100°С в течение 2 часов. Реакционный раствор концентрируют при пониженном давлении и полученный остаток растворяют в толуоле (10 мл). К полученной смеси добавляют гидрохлорид трет-бутилового эфира глицина (468 мг) и триэтиламин (389 мкл) при охлаждении на льду и реакционную смесь перемешивают в течение 5 часов, давая нагреваться постепенно от температуры при охлаждении на льду до комнатной температуры. Реакционную смесь распределяют между насыщенным раствором соли и этилацетатом. Органический слой промывают насыщенным раствором соли, сушат над сульфатом магния и затем концентрируют при пониженном давлении. Полученный остаток очищают колоночной хроматографией (силикагель; гексан:этилацетат=6:1 2:1) с получением этилового эфира (2R,4S)-4-{[3,5-бис(трифторметил)бензил]-[5-(трет-бутоксикарбонилметилсульфамоил)пиримидин-2-ил]}амино-2-этил-6-метокси-3,4-дигидро-2Н-[1,5]нафтиридин-1-карбоновой кислоты (235 мг).
MC (m/z): 777 [М+Н]+.
(2) Этиловый эфир (2R,4S)-4-{[3,5-бис(трифторметил)бензил]-[5-(трет-бутоксикарбонилметилсульфамоил)пиримидин-2-ил]}амино-2-этил-6-метокси-3,4-дигидро-2Н-[1,5]нафтиридин-1-карбоновой кислоты (230 мг) растворяют в этилацетате (6 мл) и к раствору добавляют раствор (4 мл) 4н. HCl/этилацетат. Полученную смесь перемешивают в течение ночи при комнатной температуре и распределяют между насыщенным водным раствором гидрокарбоната натрия и этилацетатом. Органический слой промывают насыщенным раствором соли, сушат над сульфатом магния и затем концентрируют при пониженном давлении. Полученный остаток очищают колоночной хроматографией (силикагель; гексан:этилацетат=1:0 4:1) с получением этилового эфира (2R,4S)-4-{[3,5-бис(трифторметил)бензил]-(5-карбоксиметилсульфамоилпиримидин-2-ил)}амино-2-этил-6-метокси-3,4-дигидро-2Н-[1,5]нафтиридин-1-карбоновой кислоты (135 мг). MC (m/z): 721 [М+Н]+.
Примеры 318-319
Соответствующие исходные соединения обрабатывают аналогично примеру 156 (1) с получением соединений, перечисленных в таблице 33.

Пример 320
Этиловый эфир (2R,4S)-4-[(5-бромпиримидин-2-ил)-(3-циано-5-трифторметилбензил)]амино-2-этил-6-метокси-3,4-дигидро-2Н-[1,5]нафтиридин-1-карбоновой кислоты (300 мг) растворяют в толуоле (4 мл) и к раствору добавляют трис(дибензилиденацетон)дипалладий (44 мг), трет-бутоксид натрия (70 мг), 2-(ди-трет-бутилфосфино)бифенил (58 мг) и ацетилпиперазин (93 мг). Полученную смесь перемешивают при комнатной температуре в течение 1 часа в токе азота, затем нагревают при 50°С, перемешивают в течение 5,5 часов и распределяют между насыщенным водным раствором гидрокарбоната натрия и этилацетатом. Органический слой промывают насыщенным раствором соли, сушат над сульфатом магния и затем концентрируют при пониженном давлении. Полученный остаток очищают колоночной хроматографией (силикагель; гексан:этилацетат=1:1 0:1) с получением этилового эфира (2R,4S)-4-{[5-(4-ацетилпиперазин-1-ил)пиримидин-2-ил]-(3-циано-5-трифторметилбензил)}амино-2-этил-6-метокси-3,4-дигидро-2Н-[1,5]нафтиридин-1-карбоновой кислоты (177 мг). MC (m/z): 667 [М+Н]+.
Пример 321

Соответствующее исходное соединение обрабатывают аналогично примеру 320 с получением соединения 321. MC (m/z): 634 [М+Н]+.
Пример 322
(1) Этиловый эфир (2R,4S)-4-[(5-бромпиримидин-2-ил)-(3-циано-5-трифторметилбензил)]амино-2-этил-6-метокси-3,4-дигидро-2Н-[1,5]нафтиридин-1-карбоновой кислоты (3 г) растворяют в 1,4-диоксане (30 мл) и к раствору добавляют бензиловый эфир акриловой кислоты (1,57 г), трис(дибензилиденацетон)дипалладий (665 мг), дициклогексилметиламин (1,42 г) и тетрафторборат три-трет-бутилфосфония (420 мг). Полученную смесь перемешивают при комнатной температуре в течение 3 дней в токе азота и распределяют между водным раствором лимонной кислоты и этилацетатом. Органический слой промывают насыщенным раствором соли, сушат над сульфатом магния и затем концентрируют при пониженном давлении. Полученный остаток очищают колоночной хроматографией (силикагель; гексан:этилацетат=9:1 7:3 3:2) с получением этилового эфира (2R,4S)-4-{[5-(2-бензилоксикарбонилвинил)пиримидин-2-ил]-(3-циано-5-трифторметилбензил)}амино-2-этил-6-метокси-3,4-дигидро-2Н-[1,5]нафтиридин-1-карбоновой кислоты (1,82 мг). MC (m/z): 701 [М+Н]+.
(2) Этиловый эфир (2R,4S)-4-{[5-(2-бензилоксикарбонилвинил)пиримидин-2-ил]-(3-циано-5-трифторметилбензил)}амино-2-этил-6-метокси-3,4-дигидро-2Н-[1,5]нафтиридин-1-карбоновой кислоты (800 мг) растворяют в смеси тетрагидрофурана (16 мл) и метанола (4 мл) и к раствору добавляют 10% палладий на угле (230 мг). Полученную смесь перемешивают в течение 9 часов в атмосфере водорода. Реакционный раствор фильтруют и затем фильтрат концентрируют при пониженном давлении. Полученный остаток очищают колоночной хроматографией (силикагель; гексан:этилацетат=1:0 9:1) с получением этилового эфира (2R,4S)-4-{[5-(2-карбоксиэтил)пиримидин-2-ил]-(3-циано-5-трифторметилбензил)}амино-2-этил-6-метокси-3,4-дигидро-2Н-[1,5]нафтиридин-1-карбоновой кислоты (317 мг) MC (m/z): 613 [М+Н]+.
Пример 323

Соответствующее исходное соединение обрабатывают аналогично примеру 322 с получением соединения 323. MC (m/z): 580 [М+Н]+.
Примеры 324-325
Соответствующие исходные соединения обрабатывают аналогично примеру 143 с получением соединений, перечисленных в таблице 34.

Пример 326

Соответствующее исходное соединение обрабатывают аналогично примеру 156 (2) с получением соединения 326. MC (m/z): 626 [М+Н]+.
Пример 327
Этиловый эфир (2R,4S)-4-{(3-циано-5-трифторметилбензил)-[5-(морфолин-4-ил)пиримидин-2-ил]}амино-2-этил-6-метокси-3,4-дигидро-2Н-[1,5]нафтиридин-1-карбоновой кислоты (315 мг) растворяют в метаноле (9 мл) и к раствору добавляют 1н. водный раствор NaOH (1 мл). Полученную смесь перемешивают при комнатной температуре в течение 1 дня и добавляют 1н. HCl и этилацетат для распределения. Органический слой промывают насыщенным раствором соли, сушат над сульфатом магния и затем концентрируют при пониженном давлении. Полученный остаток очищают колоночной хроматографией (силикагель; гексан:этилацетат=7:3 3:7 0:1) с получением этилового эфира (2R,4S)-2-этил-6-метокси-4-{(3-метоксикарбонил-5-трифторметилбензил)-[5-(морфолин-4-ил)пиримидин-2-ил]}амино-3,4-дигидро-2Н-[1,5]нафтиридин-1-карбоновой кислоты (54 мг). MC (m/z): 659 [М+Н]+.
Пример 328
Этиловый эфир (2R,4S)-2-этил-6-метокси-4-{(3-метоксикарбонил-5-трифторметилбензил)-[5-(морфолин-4-ил)пиримидин-2-ил]}амино-3,4-дигидро-2Н-[1,5]нафтиридин-1-карбоновой кислоты (86 мг) растворяют в метаноле (9 мл) и N,N-диметилформамиде (1 мл) и к раствору добавляют 1н. водный раствор NaOH (3 мл). Полученную смесь перемешивают при комнатной температуре в течение 1,5 часов и добавляют 1н. HCl и этилацетат для распределения. Органический слой промывают насыщенным раствором соли, сушат над сульфатом магния и затем концентрируют при пониженном давлении. Полученный остаток очищают тонкослойной хроматографией на силикагеле (силикагель; хлороформ:метанол=9:1) с получением этилового эфира (2R,4S)-4-{(3-карбокси-5-трифторметилбензил)-[5-(морфолин-4-ил)пиримидин-2-ил]}амино-2-этил-6-метокси-3,4-дигидро-2Н-[1,5]нафтиридин-1-карбоновой кислоты (25 мг). MC (m/z): 645 [М+Н]+.
Пример 329

Соответствующее исходное соединение обрабатывают аналогично примеру 177 (2) с получением соединения 329. MC (m/z): 689/691 [М+Н]+.
Пример 330
Этиловый эфир (2R*,4S*)-4-{(3,5-дибромбензил)-[5-(морфолин-4-ил)пиримидин-2-ил]}амино-2-этил-6-метокси-3,4-дигидро-2Н-[1,5]нафтиридин-1-карбоновой кислоты (200 мг) растворяют в N,N-диметилформамиде (4 мл) и к раствору добавляют цианид цинка (75 мг), каталитическое количество тетракис(трифенилфосфин)палладия. Полученную смесь нагревают при 110°С и перемешивают в течение 2 часов в токе азота. Реакционный раствор охлаждают до комнатной температуры и распределяют между насыщенным водным раствором гидрокарбоната натрия и этилацетатом. Органический слой промывают насыщенным раствором соли, сушат над сульфатом магния и затем концентрируют при пониженном давлении. Полученный остаток очищают колоночной хроматографией (силикагель; гексан:этилацетат=7:3 1:1) с получением этилового эфира (2R*,4S*)-4-{(3,5-дицианобензил)-[5-(морфолин-4-ил)пиримидин-2-ил]}амино-2-этил-6-метокси-3,4-дигидро-2Н-[1,5]нафтиридин-1-карбоновой кислоты (134 мг). MC (m/z): 583 [М+Н]+.
Пример 331
(1) Этиловый эфир (2R,4S)-4-[(5-бромпиримидин-2-ил)-(3-циано-5-трифторметилбензил)]амино-2-этил-6-метокси-3,4-дигидро-2Н-[1,5]нафтиридин-1-карбоновой кислоты (300 мг), этиловый эфир изонипекотиновой кислоты (109 мкл), трет-бутоксид натрия (70 мг) и 2-(ди-трет-бутилфосфино)бифенил (58 мг) растворяют в толуоле (5 мл) и к раствору добавляют трис(дибензилиденацетон)дипалладий (44 мг). Полученную смесь перемешивают в течение ночи в атмосфере азота при комнатной температуре и распределяют между этилацетатом и насыщенным раствором соли. Органический слой промывают насыщенным раствором соли, затем сушат над сульфатом магния и концентрируют при пониженном давлении. Полученный остаток очищают колоночной хроматографией (силикагель; гексан:этилацетат=9:1 3:2) с получением этилового эфира (2R,4S)-4-{(3-циано-5-трифторметилбензил)-[5-(4-этоксикарбонилпиперидин-1-ил)пиримидин-2-ил]}амино-2-этил-6-метокси-3,4-дигидро-2Н-[1,5]нафтиридин-1-карбоновой кислоты (125 мг). MC (m/z): 696 [М+Н]+.
(2) Этиловый эфир (2R,4S)-4-{(3-циано-5-трифторметилбензил)-[5-(4-этоксикарбонилпиперидин-1-ил)пиримидин-2-ил]}амино-2-этил-6-метокси-3,4-дигидро-2Н-[1,5]нафтиридин-1-карбоновой кислоты (120 мг) обрабатывают аналогично примеру 36 с получением этилового эфира (2R,4S)-4-{[5-(4-карбоксипиперидин-1-ил)пиримидин-2-ил]-(3-циано-5-трифторметилбензил)}амино-2-этил-6-метокси-3,4-дигидро-2Н-[1,5]нафтиридин-1-карбоновой кислоты (65 мг). MC (m/z): 668 [М+Н]+.
Пример 332

Соответствующее исходное соединение обрабатывают аналогично примеру 224 (1) с получением соединения 332. MC (m/z): 698 [М+Н]+.
Пример 333

Соответствующее исходное соединение обрабатывают аналогично примеру 224 (2) с получением соединения 333. MC (m/z): 642 [М+Н]+.
Пример 334
Этиловый эфир (2R,4S)-4-[(5-бромпиримидин-2-ил)-(3-циано-5-трифторметилбензил)]амино-2-этил-6-метокси-3,4-дигидро-2Н-[1,5]нафтиридин-1-карбоновой кислоты (10 г) обрабатывают аналогично примеру 4 с получением этилового эфира (2R,4S)-4-[(3-циано-5-трифторметилбензил)-(5-иодпимиридин-2-ил)]амино-2-этил-6-метокси-3,4-дигидро-2Н-[1,5]нафтиридин-1-карбоновой кислоты (8,18 г). MC (m/z): 667 [М+Н]+.
(2) Этиловый эфир (2R,4S)-4-[(3-циано-5-трифторметилбензил)-(5-иодпимиридин-2-ил)]амино-2-этил-6-метокси-3,4-дигидро-2Н-[1,5]нафтиридин-1-карбоновой кислоты (300 мг) растворяют в N,N-диметилформамиде (2,5 мл) и к раствору добавляют тетракис(трифенилфосфин)палладий (104 мг), пиримидин-5-бороновую кислоту (112 мг) и карбонат натрия (114 мг). Полученную смесь перемешивают при 100°С в течение 4 часов в токе азота. После охлаждения до комнатной температуры к реакционной смеси добавляют воду. Смесь экстрагируют этилацетатом и органический слой промывают насыщенным раствором соли, сушат над сульфатом магния и затем концентрируют при пониженном давлении. Полученный остаток очищают колоночной хроматографией (NH-силикагель; гексан:этилацетат=2:1) с получением этилового эфира (2R,4S)-4-[([5,5′]бипиримидинил-2-ил)-(3-циано-5-трифторметилбензил)]амино-2-этил-6-метокси-3,4-дигидро-2Н-[1,5]нафтиридин-1-карбоновой кислоты (116 мг). MC (m/z): 619 [М+Н]+.
Пример 335
Этиловый эфир (2R,4S)-4-{[3,5-бис(трифторметил)бензил]-[5-(морфолин-4-ил)пиримидин-2-ил]}амино-2-этил-6-трифторметансульфонилокси-3,4-дигидро-2Н-[1,5]нафтиридин-1-карбоновой кислоты (100 мг) растворяют в диметилсульфоксиде (2 мл) и к раствору добавляют 2М раствор (300 мкл) диметиламина в тетрагидрофуране при охлаждении на льду. Полученную смесь перемешивают при 40°С в течение 72 часов в закрытом сосуде и распределяют между водой и этилацетатом. Органический слой промывают насыщенным раствором соли, сушат над сульфатом магния и затем концентрируют при пониженном давлении. Полученный остаток очищают колоночной хроматографией (силикагель; гексан:этилацетат=4:1 2:1) с получением этилового эфира (2R,4S)-4-{[3,5-бис(трифторметил)бензил]-[5-(морфолин-4-ил)пиримидин-2-ил]}амино-6-диметиламино-2-этил-3,4-дигидро-2Н-[1,5]нафтиридин-1-карбоновой кислоты (78 мг). MC (m/z): 682 [М+Н]+.
Пример 336

Соответствующее исходное соединение обрабатывают аналогично примеру 335 с получением соединения 336. MC (m/z): 668 [М+Н]+.
Пример 337
(1) К суспензии этилового эфира (2R,4S)-4-{[5-(4-ацетилпиперазин-1-ил)пиримидин-2-ил]-[3,5-бис(трифторметил)бензил]}амино-2-этил-6-метокси-3,4-дигидро-2Н-[1,5]нафтиридин-1-карбоновой кислоты (3,45 г), иодида натрия (4,6 г) и ацетонитрила (50 мл) добавляют по каплям триметилсилилхлорид (3,8 мл) при 80°С. После добавления по каплям реакционный раствор охлаждают до комнатной температуры и добавляют насыщенный водный раствор тиосульфата натрия и этилацетат. Органический слой промывают насыщенным раствором соли, сушат над сульфатом магния и затем концентрируют при пониженном давлении. Полученный остаток очищают колоночной хроматографией (силикагель; хлороформ:метанол=49:1 19:1) с получением этилового эфира (2R,4S)-4-{[5-(4-ацетилпиперазин-1-ил)пиримидин-2-ил]-[3,5-бис(трифторметил)бензил]}амино-2-этил-6-гидрокси-3,4-дигидро-2Н-[1,5]нафтиридин-1-карбоновой кислоты (3,09 г). MC (m/z): 696 [М+Н]+.
(2) Этиловый эфир (2R,4S)-4-{[5-(4-{[5-(4-ацетилпиперазин-1-ил)пиримидин-2-ил]-[3,5-бис(трифторметил)бензил]}амино-2-этил-6-гидрокси-3,4-дигидро-2Н-[1,5]нафтиридин-1-карбоновой кислоты (3,05 г) и пиридин (1,06 мл) растворяют в метиленхлориде (20 мл) и к раствору добавляют по каплям трифторметансульфоновый ангидрид (885 мкл) при охлаждении на льду. Смесь перемешивают при той же температуре в течение 4 часов и к раствору добавляют водный раствор лимонной кислоты. Органический слой промывают насыщенным водным раствором гидрокарбоната натрия, затем солевым раствором, затем сушат над сульфатом магния и концентрируют при пониженном давлении. Полученный остаток очищают колоночной хроматографией (силикагель; гексан:этилацетат=1:2 0:1) с получением этилового эфира (2R,4S)-4-{[5-(4-ацетилпиперазин-1-ил)пиримидин-2-ил]-[3,5-бис(трифторметил)бензил]}амино-2-этил-6-трифторметансульфонилокси-3,4-дигидро-2Н-[1,5]нафтиридин-1-карбоновой кислоты (2,39 г). MC (m/z): 828 [М+Н]+.
(3) Этиловый эфир (2R,4S)-4-{[5-(4-ацетилпиперазин-1-ил)пиримидин-2-ил]-[3,5-бис(трифторметил)бензил]}амино-2-этил-6-трифторметансульфонилокси-3,4-дигидро-2Н-[1,5]нафтиридин-1-карбоновой кислоты (200 мг) растворяют в диметилсульфоксиде (4 мл) и к раствору добавляют 2М раствор диметиламина в тетрагидрофуране (1,2 мл) при охлаждении на льду. Смесь перемешивают при 40°С в течение 48 часов в закрытом сосуде. К реакционному раствору добавляют воду и этилацетат, затем органический слой промывают насыщенным раствором соли, сушат над сульфатом магния и затем концентрируют при пониженном давлении. Полученный остаток очищают колоночной хроматографией (силикагель; гексан:этилацетат=1:2 0:1) с получением этилового эфира (2R,4S)-4-{[5-(4-ацетилпиперазин-1-ил)пиримидин-2-ил]-[3,5-бис(трифторметил)бензил]}амино-6-диметиламино-2-этил-3,4-дигидро-2Н-[1,5]нафтиридин-1-карбоновой кислоты (163 мг). MC (m/z): 723 [М+Н]+.
Пример 338
Этиловый эфир (2R,4S)-4-{[5-(4-ацетилпиперазин-1-ил)пиримидин-2-ил]-[3,5-бис(трифторметил)бензил]}амино-2-этил-6-трифторметансульфонилокси-3,4-дигидро-2Н-[1,5]нафтиридин-1-карбоновой кислоты (250 мг), ацетат палладия (34 мг), 1,1′-бис(дифенилфосфино)ферроцен (84 мг) и триэтиламин (126 мкл) растворяют в N,N-диметилформамиде (2 мл) и к раствору добавляют муравьиную кислоту (28 мкл). Смесь перемешивают при 60°С в течение 1 часа в токе азота. К реакционному раствору добавляют воду и этилацетат, затем органический слой промывают насыщенным раствором соли, сушат над сульфатом магния и затем концентрируют при пониженном давлении. Полученный остаток очищают колоночной хроматографией (NH-силикагель; гексан:этилацетат=1:2 0:1) с получением этилового эфира (2R,4S)-4-{[5-(4-ацетилпиперазин-1-ил)пиримидин-2-ил]-[3,5-бис(трифторметил)бензил]}амино-2-этил-3,4-дигидро-2Н-[1,5]нафтиридин-1-карбоновой кислоты (195 мг). MC (m/z): 680 [М+Н]+.
Пример 339
Этиловый эфир (2R,4S)-4-{[5-(4-ацетилпиперазин-1-ил)пиримидин-2-ил]-[3,5-бис(трифторметил)бензил]}амино-2-этил-6-трифторметансульфонилокси-3,4-дигидро-2Н-[1,5]нафтиридин-1-карбоновой кислоты (200 мг) растворяют в 1,4-диоксане (2 мл) и к раствору добавляют по каплям каталитическое количество тетракис(трифенилфосфин)палладия, карбоната серебра и хлорида меди (I) и 1М раствор (362 мкл) триметилалюминия в гексане в токе азота. Смесь перемешивают при 60°С в течение 1 часа. Реакционный раствор охлаждают до комнатной температуры и добавляют воду и этилацетат. Органический слой промывают насыщенным раствором соли, сушат над сульфатом магния и затем концентрируют при пониженном давлении. Полученный остаток очищают колоночной хроматографией (NH-силикагель; гексан:этилацетат=1:2 0:1) с получением этилового эфира (2R,4S)-4-{[5-(4-ацетилпиперазин-1-ил)пиримидин-2-ил]-[3,5-бис(трифторметил)бензил]}амино-2-этил-6-метил-3,4-дигидро-2Н-[1,5]нафтиридин-1-карбоновой кислоты (142 мг). MC (m/z): 694 [М+Н]+.
Пример 340
Этиловый эфир (2R,4S)-4-{[5-(4-ацетилпиперазин-1-ил)пиримидин-2-ил]-[3,5-бис(трифторметил)бензил]}амино-2-этил-6-трифторметансульфонилокси-3,4-дигидро-2Н-[1,5]нафтиридин-1-карбоновой кислоты (200 мг), каталитическое количество тетракис(трифенилфосфин)палладия, цианида цинка (37 мг) растворяют в N,N-диметилформамиде (2 мл) и смесь перемешивают при 100°С в течение 6 часов в токе азота. Реакционный раствор охлаждают до комнатной температуры и добавляют воду и этилацетат. Смесь промывают насыщенным раствором соли, сушат над сульфатом магния и затем концентрируют при пониженном давлении. Полученный остаток очищают колоночной хроматографией (силикагель; гексан:этилацетат=3:7 0:1) с получением этилового эфира (2R,4S)-4-{[5-(4-ацетилпиперазин-1-ил)пиримидин-2-ил]-[3,5-бис(трифторметил)бензил]}амино-6-циано-2-этил-3,4-дигидро-2Н-[1,5]нафтиридин-1-карбоновой кислоты (149 мг). MC (m/z): 705 [М+Н]+.
Пример 341

Соответствующее исходное соединение обрабатывают аналогично примеру 337 (1) с получением соединения 341. MC (m/z): 700 [М+Н]+.
Пример 342
(1) Этиловый эфир (2R,4S)-4-{[3,5-бис(трифторметил)бензил]-[5-(3-этоксикарбонилпропокси)пиримидин-2-ил]}амино-2-этил-6-гидрокси-3,4-дигидро-2Н-[1,5]нафтиридин-1-карбоновой кислоты (1,5 г) и пиридин (519 мкл) растворяют в метиленхлориде (10 мл) и к раствору добавляют трифторметансульфоновый ангидрид (432 мкл) при охлаждении на льду в атмосфере азота. Смесь перемешивают в течение 1 часа и распределяют между метиленхлоридом и насыщенным водным раствором лимонной кислоты. Органический слой промывают насыщенным раствором соли, сушат над сульфатом магния и затем концентрируют при пониженном давлении. Полученный остаток очищают колоночной хроматографией (силикагель; гексан:этилацетат=9:1 3:2) с получением этилового эфира (2R,4S)-4-{[3,5-бис(трифторметил)бензил]-[5-(3-этоксикарбонилпропокси)пиримидин-2-ил]}амино-2-этил-6-трифторметансульфонилокси-3,4-дигидро-2Н-[1,5]нафтиридин-1-карбоновой кислоты (1,56 г). MC (m/z): 832 [М+Н]+.
(2) Этиловый эфир (2R,4S)-4-{[3,5-бис(трифторметил)бензил]-[5-(3-этоксикарбонилпропокси)пиримидин-2-ил]}амино-2-этил-6-трифторметансульфонилокси-3,4-дигидро-2Н-[1,5]нафтиридин-1-карбоновой кислоты (1,27 г) растворяют в N,N-диметилформамиде (10 мл) и к раствору добавляют ацетат палладия (34 мг), 1,1′-бис(дифенилфосфино)ферроцен (169 мг), бензиловый спирт (3,16 мл) и триэтиламин (2,13 мл). Смесь барботируют монооксидом углерода при комнатной температуре в течение 5 минут, затем нагревают при 80°С и перемешивают в течение 1,5 часов в атмосфере монооксида углерода. Реакционный раствор охлаждают до комнатной температуры и добавляют насыщенный раствор соли. Смесь экстрагируют этилацетатом. Органический слой промывают насыщенным раствором соли, сушат над сульфатом магния и затем концентрируют при пониженном давлении. Полученный остаток очищают колоночной хроматографией (силикагель; гексан:этилацетат=19:1 3:1) с получением этилового эфира (2R,4S)-4-{[3,5-бис(трифторметил)бензил]-[5-(3-этоксикарбонилпропокси)пиримидин-2-ил]}амино-6-бензилоксикарбонил-2-этил-3,4-дигидро-2Н-[1,5]нафтиридин-1-карбоновой кислоты (520 мг), MC (m/z): 818 [М+Н]+, и этилового эфира (2R,4S)-4-{[3,5-бис(трифторметил)бензил]-[5-(3-этоксикарбонилпропокси)пиримидин-2-ил]}амино-2-этил-3,4-дигидро-2Н-[1,5]нафтиридин-1-карбоновой кислоты (330 мг), MC (m/z): 684 [М+Н]+.
Пример 343
(1) Этиловый эфир (2R,4S)-4-{[3,5-бис(трифторметил)бензил]-[5-(3-этоксикарбонилпропокси)пиримидин-2-ил]}амино-6-бензилоксикарбонил-2-этил-3,4-дигидро-2Н-[1,5]нафтиридин-1-карбоновой кислоты (500 мг) растворяют в этаноле (2 мл) и к раствору добавляют 10% палладий на угле (50 мг). Смесь перемешивают при комнатной температуре в течение 1,5 часов в атмосфере водорода. Палладий на угле удаляют фильтрованием и фильтрат концентрируют при пониженном давлении. Полученный остаток очищают колоночной хроматографией (силикагель; гексан:этилацетат=4:1 3:7) с получением 1-этилового эфира (2R,4S)-4-{[3,5-бис(трифторметил)бензил]-[5-(3-этоксикарбонилпропокси)пиримидин-2-ил]}амино-2-этил-3,4-дигидро-2Н-[1,5]нафтиридин-1,6-дикарбоновой кислоты (323 мг). MC (m/z): 728 [М+Н]+.
(2) 1-этиловый эфир (2R,4S)-4-{[3,5-бис(трифторметил)бензил]-[5-(3-этоксикарбонилпропокси)пиримидин-2-ил]}амино-2-этил-3,4-дигидро-2Н-[1,5]нафтиридин-1,6-дикарбоновой кислоты (300 мг) и трифторид бис(2-метоксиэтил)аминосеры (1,6 мл) перемешивают в течение ночи при 80°С. Реакционный раствор охлаждают до комнатной температуры и добавляют этилацетат для разбавления. Смесь выливают в насыщенный водный раствор гидрокарбоната натрия. Органический слой промывают 1н. HCl и насыщенным раствором соли, сушат над сульфатом магния и затем концентрируют при пониженном давлении. Полученный остаток очищают тонкослойной хроматографией на силикагеле (гексан:этилацетат=2:1) с получением этилового эфира (2R,4S)-4-{[3,5-бис(трифторметил)бензил]-[5-(3-этоксикарбонилпропокси)пиримидин-2-ил]}амино-2-этил-6-трифторметил-3,4-дигидро-2Н-[1,5]нафтиридин-1,6-дикарбоновой кислоты (77 мг), MC (m/z): 752 [М+Н]+, и этилового эфира (2R,4S)-6-[бис((2-метоксиэтил)карбамоил)-4-[3,5-бис(трифторметил)бензил]-[5-(3-этоксикарбонилпропокси)пиримидин-2-ил]}амино-2-этил-3,4-дигидро-2Н-[1,5]нафтиридин-1,6-дикарбоновой кислоты (184 мг), MC (m/z): 843 [М+Н]+.
Примеры 344-346
Соответствующие исходные соединения обрабатывают аналогично примеру 36 с получением соединений, перечисленных в таблице 35.

Пример 347
(1) К водному раствору (650 мл) азида натрия (101,4 г) добавляют по каплям раствор (390 мл) хлорангидрида акриловой кислоты (117,7 мл) в толуоле при охлаждении на льду и смесь перемешивают при той же температуре в течение 1 часа. Затем баню с водой со льдом удаляют и смесь перемешивают до охлаждения до комнатной температуры. Раствор реакционной смеси промывают насыщенным водным раствором гидрокарбоната натрия и сушат над сульфатом магния. Полученный раствор в толуоле добавляют по каплям в смесь (R)-1-фенилэтилового спирта (173 мл), пиридина (52,6 мл) и гидрохинона (7,90 г), которую нагревают до 85°С, и полученную смесь перемешивают при той же температуре в течение 1 часа. Реакционную смесь охлаждают до комнатной температуры. Смесь промывают насыщенным водным раствором гидрокарбоната натрия и насыщенным раствором соли, сушат над сульфатом магния и затем концентрируют при пониженном давлении. Полученный остаток очищают колоночной хроматографией (силикагель; гексан:этилацетат=10:1 9:1) с получением (R)-1-фенилэтилового эфира винилкарбаминовой кислоты (167,3 г). MC (m/z): 191 [М+Н]+.
(2) {[1-(бензотриазол-1-ил)пропил]-(6-метоксипиридин-3-ил)}амин (212,5 г), (R)-1-фенилэтиловый эфир винилкарбаминовой кислоты (143,4 г) и моногидрат п-толуолсульфоновой кислоты (1,43 г) растворяют в толуоле (2,80 л) и полученную смесь перемешивают при 85°С в течение 3 часов. После охлаждения до комнатной температуры при стоянии реакционную смесь промывают насыщенным водным раствором гидрокарбоната натрия, водой и насыщенным раствором соли. Органический слой сушат над сульфатом магния и затем концентрируют при пониженном давлении. Полученный остаток очищают колоночной хроматографией (силикагель; гексан:этилацетат=4:1). К остатку добавляют смесь гексан/этилацетат (9:1) и осажденные кристаллы удаляют фильтрованием. К полученной смеси диастереомеров добавляют эфир, полученную смесь перемешивают и осажденные кристаллы удаляют фильтрованием. К полученным кристаллам добавляют смесь гексан/этилацетат (4:1) и полученную смесь перемешивают. Полученные кристаллы удаляют фильтрованием с получением (R)-1-фенилэтилового эфира (2R,4S)-2-этил-6-метокси-1,2,3,4-тетрагидро[1,5]нафтиридин-4-ил)карбаминовой кислоты (38,7 г). MC (m/z): 356 [М+Н]+.
(3) (R)-1-фенилэтиловый эфир (2R,4S)-2-этил-6-метокси-1,2,3,4-тетрагидро[1,5]нафтиридин-4-ил)карбаминовой кислоты (200 мг) растворяют в тетрагидрофуране (3 мл) и к раствору добавляют ди-трет-бутилдикарбонат (395 мг). Смесь перемешивают в течение ночи при 70°С. После охлаждения до комнатной температуры при стоянии к реакционной смеси добавляют насыщенный водный раствор гидрокарбоната натрия и экстрагируют этилацетатом. Органический слой промывают насыщенным раствором соли, сушат над сульфатом магния и затем концентрируют при пониженном давлении. Полученный остаток очищают колоночной хроматографией (силикагель; гексан:этилацетат=6:1 4:1) с получением трет-бутилового эфира (2R,4S)-2-этил-6-метокси-4-((R)-1-фенилэтоксикарбонил)амино-3,4-дигидро-2Н-[1,5]нафтиридин-1-карбоновой кислоты (270 мг). MC (m/z): 456 [М+Н]+.
(4) Трет-бутиловый эфир (2R,4S)-2-этил-6-метокси-4-((R)-1-фенилэтоксикарбонил)амино-3,4-дигидро-2Н-[1,5]нафтиридин-1-карбоновой кислоты (39,00 г) растворяют в метаноле (550 мл) и к раствору добавляют 10% палладий на угле (20,0 г). Смесь перемешивают при комнатной температуре в течение 2 часов в токе азота. Полученную смесь фильтруют и фильтрат концентрируют при пониженном давлении. Полученный остаток очищают колоночной хроматографией (силикагель; гексан:этилацетат=1:1 хлороформ:метанол=9:1) с получением трет-бутилового эфира (2R,4S)-4-амино-2-этил-6-метокси-3,4-дигидро-2Н-[1,5]нафтиридин-1-карбоновой кислоты (24,87 г. MC (m/z): 308 [М+Н]+.
(5) Трет-бутиловый эфир (2R,4S)-4-амино-2-этил-6-метокси-3,4-дигидро-2Н-[1,5]нафтиридин-1-карбоновой кислоты (24,80 г) растворяют в 1,4-диоксане (450 мл) и к раствору добавляют 5-бром-2-хлорпиримидин (39,01 г) и N,N-диизопропилэтиламин (35,1 мл). Полученную смесь перемешивают в течение ночи при 80°С. После охлаждения до комнатной температуры при стоянии смесь концентрируют при пониженном давлении. Полученный остаток очищают колоночной хроматографией (силикагель; гексан:этилацетат=6:1) с получением трет-бутилового эфира (2R,4S)-4-(5-бромпиримидин-2-ил)амино-2-этил-6-метокси-3,4-дигидро-2Н-[1,5]нафтиридин-1-карбоновой кислоты (27,48 г). MC (m/z): 466/464 [М+Н]+.
(6) Трет-бутиловый эфир (2R,4S)-4-(5-бромпиримидин-2-ил)амино-2-этил-6-метокси-3,4-дигидро-2Н-[1,5]нафтиридин-1-карбоновой кислоты (20,00 г) растворяют в N,N-диметилформамиде (150 мл) и к раствору добавляют гидрид натрия (62,7%, 2,46 мг) при охлаждении на льду. Смесь перемешивают при той же температуре в течение 30 минут. Затем к смеси добавляют 3,5-бис(трифторметил)бензилбромид (11,8 мл) и смесь перемешивают при комнатной температуре в течение 1 часа. После нейтрализации реакционного раствора добавлением 10% водного раствора лимонной кислоты смесь экстрагируют этилацетатом. Органический слой промывают насыщенным раствором соли, затем сушат над сульфатом магния и концентрируют при пониженном давлении. К полученному остатку добавляют эфир и гексан. Осажденные кристаллы удаляют фильтрованием с получением трет-бутилового эфира (2R,4S)-4-{[3,5-бис(трифторметил)бензил]-(5-бромпиримидин-2-ил)}амино-2-этил-6-метокси-3,4-дигидро-2Н-[1,5]нафтиридин-1-карбоновой кислоты (28,13 г). MC (m/z): 692/690 [М+Н]+.
(7) Трет-бутиловый эфир (2R,4S)-4-{[3,5-бис(трифторметил)бензил]-(5-бромпиримидин-2-ил)}амино-2-этил-6-метокси-3,4-дигидро-2Н-[1,5]нафтиридин-1-карбоновой кислоты (6,00 г) растворяют в толуоле (60 мл) и к раствору добавляют трис(дибензилиденацетон)дипалладий (796 мг), 2-(ди-трет-бутилфосфино)бифенил (1,04 г), морфолин (1,52 мл) и трет-бутоксид натрия (1,67 г). Смесь перемешивают при комнатной температуре в течение 7 часов в токе азота. После нейтрализации реакционной смеси добавлением 10% водного раствора лимонной кислоты смесь экстрагируют этилацетатом. Органический слой промывают водой и насыщенным раствором соли, сушат над сульфатом магния и затем концентрируют при пониженном давлении. Полученный остаток очищают колоночной хроматографией (силикагель; гексан:этилацетат=4:1) с получением трет-бутилового эфира (2R,4S)-4-{[3,5-бис(трифторметил)бензил]-[5-морфолин-4-ил)пиримидин-2-ил]}амино-2-этил-6-метокси-3,4-дигидро-2Н-[1,5]нафтиридин-1-карбоновой кислоты (5,37 г). MC (m/z): 697 [М+Н]+.
(8) Трет-бутиловый эфир (2R,4S)-4-{[3,5-бис(трифторметил)бензил]-[5-морфолин-4-ил)пиримидин-2-ил]}амино-2-этил-6-метокси-3,4-дигидро-2Н-[1,5]нафтиридин-1-карбоновой кислоты растворяют в 1,4-диоксане (15 мл) и к раствору добавляют раствор (40 мл) 4н. HCl/1,4-диоксан при охлаждении на водяной бане. Смесь перемешивают при комнатной температуре в течение 3 часов. После нейтрализации реакционной смеси добавлением насыщенного водного раствора гидрокарбоната натрия смесь экстрагируют этилацетатом. Органический слой промывают насыщенным раствором соли, сушат над сульфатом магния и затем концентрируют при пониженном давлении с получением (2R,4S)-4-{[3,5-бис(трифторметил)бензил]-[5-морфолин-4-ил)пиримидин-2-ил]}амино-2-этил-6-метокси-1,2,3,4-тетрагидро[1,5]нафтиридина (4,48 г). MC (m/z): 597 [М+Н]+.
(9) (2R,4S)-4-{[3,5-бис(трифторметил)бензил]-[5-морфолин-4-ил)пиримидин-2-ил]}амино-2-этил-6-метокси-1,2,3,4-тетрагидро[1,5]нафтиридин (233 мг) растворяют в метиленхлориде (2 мл) и к раствору добавляют триэтиламин (65 мкл), затем добавляют трифосген (46 мг) при охлаждении на водяной бане. Смесь перемешивают при той же температуре в течение 30 минут. К реакционной смеси добавляют воду и экстрагируют этилацетатом. Органический слой промывают насыщенным раствором соли, сушат над сульфатом магния и затем концентрируют при пониженном давлении. К полученному остатку добавляют тетрагидрофуран (2 мл), этиленгликоль (1,0 мл), триэтиламин (0,40 мл) и диметиламинопиридин (10 мг) и полученную смесь перемешивают при комнатной температуре в течение 5 дней. К реакционной смеси добавляют воду и экстрагируют этилацетатом. Органический слой промывают насыщенным раствором соли, сушат над сульфатом магния и затем концентрируют при пониженном давлении. Полученный остаток очищают колоночной хроматографией (силикагель; гексан:этилацетат=1:2) с получением 2-гидроксиэтилового эфира (2R,4S)-4-{[3,5-бис(трифторметил)бензил]-[5-морфолин-4-ил)пиримидин-2-ил]}амино-2-этил-6-метокси-3,4-дигидро[1,5]нафтиридин-1-карбоновой кислоты (192 мг). MC (m/z): 685 [М+Н]+.
Примеры 348-353
Соответствующие исходные соединения обрабатывают аналогично примеру 347 (9) с получением соединений, перечисленных в таблице 36.

Пример 354
(1) Трет-бутиловый эфир (2R,4S)-4-{[3,5-бис(трифторметил)бензил]-(5-бромпиримидин-2-ил)}амино-2-этил-6-метокси-3,4-дигидро-2Н-[1,5]нафтиридин-1-карбоновой кислоты (3,00 г) растворяют в 1,4-диоксане (25 мл) и к раствору добавляют трис(дибензилиденацетон)дипалладий (596 мг), комплекс три-трет-бутилфосфин-тетрафторборат (378 мг), метилакрилат (0,78 мл) и N,N-дициклогексилметиламин (1,27 г). Полученную смесь перемешивают при 40°С в течение 7 часов в токе азота. К реакционной смеси добавляют 10% водный раствор лимонной кислоты и затем экстрагируют этилацетатом. Органический слой промывают водой и насыщенным раствором соли, сушат над сульфатом магния и затем концентрируют при пониженном давлении. Полученный остаток очищают колоночной хроматографией (силикагель; гексан:этилацетат=4:1) с получением трет-бутилового эфира (2R,4S)-4-{[3,5-бис(трифторметил)бензил]-[5-(2-метоксикарбонилвинил)пиримидин-2-ил]}амино-2-этил-6-метокси-3,4-дигидро-2Н-[1,5]нафтиридин-1-карбоновой кислоты (2,93 г). MC (m/z): 696 [М+Н]+.
(2) Трет-бутиловый эфир (2R,4S)-4-{[3,5-бис(трифторметил)бензил]-[5-(2-метоксикарбонилвинил)пиримидин-2-ил]}амино-2-этил-6-метокси-3,4-дигидро-2Н-[1,5]нафтиридин-1-карбоновой кислоты (2,92 г) растворяют в метаноле (60 мл) и к раствору добавляют 10% палладий на угле (3,00 г). Смесь перемешивают при комнатной температуре в течение 2 часов в токе азота. Реакционную смесь фильтруют и фильтрат концентрируют при пониженном давлении. Полученный остаток очищают колоночной хроматографией (силикагель; гексан:этилацетат=8:1 6:1) с получением трет-бутилового эфира (2R,4S)-4-{[3,5-бис(трифторметил)бензил]-[5-(2-метоксикарбонилэтил)пиримидин-2-ил]}амино-2-этил-6-метокси-3,4-дигидро-2Н-[1,5]нафтиридин-1-карбоновой кислоты (2,19 г). MC (m/z): 698 [М+Н]+.
(3) Трет-бутиловый эфир (2R,4S)-4-{[3,5-бис(трифторметил)бензил]-[5-(2-метоксикарбонилэтил)пиримидин-2-ил]}амино-2-этил-6-метокси-3,4-дигидро-2Н-[1,5]нафтиридин-1-карбоновой кислоты (2,18 г) растворяют в 1,4-диоксане (5 мл) и к раствору добавляют раствор (10 мл) 4н. HCl в 1,4-диоксане. Смесь перемешивают при комнатной температуре в течение 1,5 часов. После нейтрализации реакционного раствора добавлением насыщенного водного раствора гидрокарбоната натрия смесь экстрагируют этилацетатом. Органический слой промывают насыщенным раствором соли, сушат над сульфатом магния и затем концентрируют при пониженном давлении с получением (2R,4S)-4-{[3,5-бис(трифторметил)бензил]-[5-(2-метоксикарбонилэтил)пиримидин-2-ил]}амино-2-этил-6-метокси-1,2,3,4-тетрагидро[1,5]нафтиридина (1,90 г). MC (m/z): 598 [М+Н]+.
(4) (2R,4S)-4-{[3,5-бис(трифторметил)бензил]-[5-(2-метоксикарбонилэтил)пиримидин-2-ил]}амино-2-этил-6-метокси-1,2,3,4-тетрагидро[1,5]нафтиридин (220 мг) растворяют в метиленхлориде (1,5 мл) и к раствору добавляют триэтиламин (62 мкл), затем добавляют трифосген (44 мг) при охлаждении на водяной бане. Смесь перемешивают при той же температуре в течение 30 минут. К реакционной смеси добавляют воду и экстрагируют этилацетатом. Органический слой промывают насыщенным раствором соли, сушат над сульфатом магния и затем концентрируют при пониженном давлении. К полученному остатку добавляют тетрагидрофуран (2,5 мл), этиленгликоль (1,0 мл), триэтиламин (0,40 мл) и диметиламинопиридин (10 мг) и полученную смесь перемешивают в течение ночи при комнатной температуре в токе азота. К реакционной смеси добавляют воду и экстрагируют этилацетатом. Органический слой промывают насыщенным раствором соли, сушат над сульфатом магния и затем концентрируют при пониженном давлении. Полученный остаток очищают колоночной хроматографией (силикагель; гексан:этилацетат=1:2) с получением 2-гидроксиэтилового эфира (2R,4S)-4-{[3,5-бис(трифторметил)бензил]-[5-(2-метоксикарбонилэтил)пиримидин-2-ил]}амино-2-этил-6-метокси-3,4-дигидро-2Н-[1,5]нафтиридин-1-карбоновой кислоты (145 мг). MC (m/z): 686 [М+Н]+.
(5) 2-гидроксиэтиловый эфир (2R,4S)-4-{[3,5-бис(трифторметил)бензил]-[5-(2-метоксикарбонилэтил)пиримидин-2-ил]}амино-2-этил-6-метокси-3,4-дигидро-2Н-[1,5]нафтиридин-1-карбоновой кислоты (141 мг) растворяют в 1,4-диоксане (3 мл) и к раствору добавляют 1н. водный раствор NaOH (1 мл). Смесь перемешивают при комнатной температуре в течение 1 часа. После подкисления реакционного раствора добавлением 10% водного раствора лимонной кислоты смесь экстрагируют этилацетатом. Органический слой промывают насыщенным раствором соли, сушат над сульфатом магния и затем концентрируют при пониженном давлении с получением 2-гидроксиэтилового эфира (2R,4S)-4-{[3,5-бис(трифторметил)бензил]-[5-(2-карбоксиэтил)пиримидин-2-ил]}амино-2-этил-6-метокси-3,4-дигидро-2Н-[1,5]нафтиридин-1-карбоновой кислоты (138 мг). MC (m/z): 672 [М+Н]+.
Примеры 355-357
Соответствующие исходные соединения обрабатывают аналогично примеру 354 (4)-(5) с получением соединений, перечисленных в таблице 37.

Пример 358
(1) Трет-бутиловый эфир (2R,4S)-4-{[3,5-бис(трифторметил)бензил]-(5-бромпиримидин-2-ил)}амино-2-этил-6-метокси-3,4-дигидро-2Н-[1,5]нафтиридин-1-карбоновой кислоты (4,00 г) растворяют в толуоле (40 мл) и к раствору добавляют трис(дибензилиденацетон)дипалладий (530 мг), 2-(ди-трет-бутилфосфино)бифенил (691 мг), 4-этоксикарбонилпиперидин (1,37 г) и трет-бутоксид натрия (835 мг). Полученную смесь перемешивают в течение ночи при комнатной температуре в токе азота. После нейтрализации реакционной смеси добавлением 10% водного раствора лимонной кислоты смесь экстрагируют этилацетатом. Органический слой промывают насыщенным раствором соли, сушат над сульфатом магния и затем концентрируют при пониженном давлении. Полученный остаток очищают колоночной хроматографией (силикагель; гексан:этилацетат=9:1 6:1) с получением трет-бутилового эфира (2R,4S)-4-{[3,5-бис(трифторметил)бензил]-[5-(4-этоксикарбонилпиперидин-1-ил)пиримидин-2-ил]}амино-2-этил-6-метокси-3,4-дигидро-2Н-[1,5]нафтиридин-1-карбоновой кислоты (2,16 г). MC (m/z): 767 [М+Н]+.
(2) Трет-бутиловый эфир (2R,4S)-4-{[3,5-бис(трифторметил)бензил]-[5-(4-этоксикарбонилпиперидин-1-ил)пиримидин-2-ил]}амино-2-этил-6-метокси-3,4-дигидро-2Н-[1,5]нафтиридин-1-карбоновой кислоты (2,03 г) растворяют в 1,4-диоксане (6 мл) и к раствору добавляют раствор (15 мл) 4н. HCl в 1,4-диоксане. Полученную смесь перемешивают при комнатной температуре в течение 1 часа. После нейтрализации реакционного раствора добавлением насыщенного водного раствора гидрокарбоната натрия смесь экстрагируют этилацетатом. Органический слой промывают насыщенным раствором соли, сушат над сульфатом магния и затем концентрируют при пониженном давлении с получением (2R,4S)-4-{[3,5-бис(трифторметил)бензил]-[5-(4-этоксикарбонилпиперидин-1-ил)пиримидин-2-ил]}амино-2-этил-6-метокси-1,2,3,4-тетрагидро[1,5]нафтиридина (1,79 г). MC (m/z): 667 [М+Н]+.
(3) (2R,4S)-4-{[3,5-бис(трифторметил)бензил]-[5-(4-этоксикарбонилпиперидин-1-ил)пиримидин-2-ил]}амино-2-этил-6-метокси-1,2,3,4-тетрагидро[1,5]нафтиридин (130 мг) растворяют в метиленхлориде (2 мл) и к раствору добавляют пиридин (47 мкл), затем добавляют по каплям пропилхлорформиат (77 мкл) при охлаждении на льду. Смесь перемешивают при той же температуре в течение 2 часов в токе азота. К реакционной смеси добавляют насыщенный водный раствор гидрокарбоната натрия и экстрагируют этилацетатом. Органический слой промывают насыщенным раствором соли, сушат над сульфатом магния и затем концентрируют при пониженном давлении. Полученный остаток растворяют в этаноле (1 мл) и к раствору добавляют 2М водный раствор NaOH (1 мл). Смесь перемешивают при 60°С в течение 1 часа. После добавления 10% водного раствора лимонной кислоты к реакционной смеси смесь экстрагируют этилацетатом. Органический слой промывают насыщенным раствором соли, сушат над сульфатом магния и затем концентрируют при пониженном давлении. Полученный остаток очищают колоночной хроматографией (силикагель; гексан:этилацетат=19:1) с получением пропилового эфира (2R,4S)-4-{[3,5-бис(трифторметил)бензил]-[5-(4-карбоксипиперидин-1-ил)пиримидин-2-ил]}амино-2-этил-6-метокси-3,4-дигидро-2Н-[1,5]нафтиридин-1-карбоновой кислоты (115 мг) MC (m/z): 725 [М+Н]+.
Пример 359

Соответствующее исходное соединение обрабатывают аналогично примеру 358 с получением соединения 359. MC (m/z): 723 [М+Н]+.
Пример 360
Трет-бутиловый эфир (2R,4S)-4-{[3,5-бис(трифторметил)бензил]-[5-(4-этоксикарбонилпиперидин-1-ил)пиримидин-2-ил]}амино-2-этил-6-метокси-3,4-дигидро-2Н-[1,5]нафтиридин-1-карбоновой кислоты (120 мг) растворяют в 1,4-диоксане (1 мл) и к раствору добавляют 1М водный раствор NaOH (1 мл). Смесь перемешивают при 50°С в течение 1 часа. Органический слой промывают насыщенным раствором соли, сушат над сульфатом магния и затем концентрируют при пониженном давлении. Полученный остаток очищают колоночной хроматографией (силикагель; гексан:этилацетат=19:1) с получением трет-бутилового эфира (2R,4S)-4-{[3,5-бис(трифторметил)бензил]-[5-(4-карбоксипиперидин-1-ил)пиримидин-2-ил]}амино-2-этил-6-метокси-3,4-дигидро-2Н-[1,5]нафтиридин-1-карбоновой кислоты (77 мг) MC (m/z): 739 [М+Н]+.
Примеры 361-364
Соответствующие исходные соединения обрабатывают аналогично примеру 354 (4)-(5) с получением соединений, перечисленных в таблице 38.

Пример 365
(1) (2R,4S)-4-{[3,5-бис(трифторметил)бензил]-[5-(морфолин-4-ил)пиримидин-2-ил]}амино-2-этил-6-метокси-1,2,3,4-тетрагидро-2Н-[1,5]нафтиридин (100 мг) растворяют в метиленхлориде (1,0 мл) и к раствору добавляют триэтиламин (28 мкл), затем добавляют трифосген (20 мл) при охлаждении водой. Смесь перемешивают при той же температуре в течение 5 минут в токе азота. Реакционную смесь концентрируют при пониженном давлении и к полученному остатку добавляют метиленхлорид (1,5 мл), триэтиламин (28 мкл) и 2-аминоэтанол (24 мкл). Полученную смесь перемешивают в течение ночи при комнатной температуре в токе азота. К реакционной смеси добавляют насыщенный раствор соли и экстрагируют этилацетатом. Органический слой промывают насыщенным раствором соли, сушат над сульфатом магния и затем концентрируют при пониженном давлении. Полученный остаток очищают колоночной хроматографией (силикагель; гексан:этилацетат=1:0 19:1) с получением (2-гидроксиэтил)амида (2R,4S)-4-{[3,5-бис(трифторметил)бензил]-[5-(морфолин-4-ил)пиримидин-2-ил]}амино-2-этил-6-метокси-3,4-дигидро-2Н-[1,5]нафтиридин-1-карбоновой кислоты (97 мг). MC (m/z): 684 [М+Н]+.
Пример 366
(2R,4S)-4-{[3,5-бис(трифторметил)бензил]-[5-(морфолин-4-ил)пиримидин-2-ил]}амино-2-этил-6-метокси-1,2,3,4-тетрагидро-2Н-[1,5]нафтиридин (150 мг) растворяют в толуоле (2,0 мл) и к раствору добавляют 2-хлорэтилизоцианат (40 мг). Смесь перемешивают при 60°С в течение 9 часов в токе азота. К реакционной смеси добавляют насыщенный водный раствор гидрокарбоната натрия, смесь экстрагируют этилацетатом. Органический слой промывают насыщенным раствором соли, сушат над сульфатом магния и затем концентрируют при пониженном давлении. Полученный остаток очищают колоночной хроматографией (силикагель; гексан:этилацетат=2:1 1:9) с получением (2-хлорэтил)амида (2R,4S)-4-{[3,5-бис(трифторметил)бензил]-[5-(морфолин-4-ил)пиримидин-2-ил]}амино-2-этил-6-метокси-3,4-дигидро-2Н-[1,5]нафтиридин-1-карбоновой кислоты (160 мг). MC (m/z): 702/704 [М+Н]+.
Пример 367
(2R,4S)-4-{[3,5-бис(трифторметил)бензил]-[5-(морфолин-4-ил)пиримидин-2-ил]}амино-2-этил-6-метокси-1,2,3,4-тетрагидро-2Н-[1,5]нафтиридин (250 мг) растворяют в метиленхлориде (2,0 мл) и к раствору добавляют триэтиламин (118 мкл), затем добавляют трифосген (50 мг) при охлаждении на водяной бане. Смесь перемешивают при той же температуре в течение 30 минут в токе азота. К реакционной смеси добавляют воду и экстрагируют этилацетатом. Органический слой промывают насыщенным раствором соли, сушат над сульфатом магния и затем концентрируют при пониженном давлении. Полученный остаток растворяют в смеси тетрагидрофурана (2,5 мл) и N,N-диметилформамида (1 мл) и к раствору добавляют гидрохлорид О-метилгидроксиламина (70 мг) и триэтиламин (230 мкл). Полученную смесь перемешивают при комнатной температуре в течение 4 дней в токе азота. К реакционной смеси добавляют воду и экстрагируют этилацетатом. Органический слой промывают насыщенным раствором соли, сушат над сульфатом магния и затем концентрируют при пониженном давлении. Полученный остаток очищают колоночной хроматографией (силикагель; гексан:этилацетат=2:1 хлороформ:метанол=19:1) с получением метоксиамида (2R,4S)-{[3,5-бис(трифторметил)бензил]-[5-(морфолин-4-ил)пиримидин-2-ил]}амино-2-этил-6-метокси-3,4-дигидро-2Н-[1,5]нафтиридин-1-карбоновой кислоты (57 мг). MC (m/z): 670 [М+Н]+.
Пример 368
(2-хлорэтил)амид (2R,4S)-4-{[3,5-бис(трифторметил)бензил]-[5-(морфолин-4-ил)пиримидин-2-ил]}амино-2-этил-6-метокси-3,4-дигидро-2Н-[1,5]нафтиридин-1-карбоновой кислоты (147 мг) растворяют в ацетонитриле (2,0 мл) и к раствору добавляют 40% фторид калия на диоксиде алюминия (121 мг). Смесь перемешивают в течение ночи при 50°С. Реакционную смесь фильтруют через Celite и отфильтрованные нерастворимые вещества промывают этилацетатом. Фильтрат и промывку объединяют и концентрируют при пониженном давлении. Полученный остаток очищают колоночной хроматографией (силикагель; гексан:этилацетат=1:1 хлороформ:метанол=19:1) с получением (2R,4S)-4-{[3,5-бис(трифторметил)бензил]-[5-(морфолин-4-ил)пиримидин-2-ил]}амино-1-(4,5-дигидроксазол-2-ил)-2-этил-6-метокси-3,4-дигидро-2Н-[1,5]нафтиридина (51 мг). MC (m/z): 666 [М+Н]+.
Пример 369
(2R,4S)-4-{[3,5-бис(трифторметил)бензил]-[5-(морфолин-4-ил)пиримидин-2-ил]}амино-2-этил-6-метокси-1,2,3,4-тетрагидро-2Н-[1,5]нафтиридин (250 мг) растворяют в метиленхлориде (2,0 мл) и к раствору добавляют триэтиламин (118 мкл), затем добавляют трифосген (50 мг) при охлаждении на водяной бане. Смесь перемешивают при той же температуре в течение 30 минут в токе азота. К реакционной смеси добавляют воду и экстрагируют этилацетатом. Органический слой промывают насыщенным раствором соли, сушат над сульфатом магния и затем концентрируют при пониженном давлении. Полученный остаток растворяют в смеси тетрагидрофурана (2,5 мл) и N,N-диметилформамида (1 мл) и к раствору добавляют гидрохлорид метилового эфира О-трет-бутил-L-серина (178 мг) и триэтиламин (230 мкл). Полученную смесь перемешивают при комнатной температуре в течение 4 дней в токе азота. К реакционной смеси добавляют воду и экстрагируют этилацетатом. Органический слой промывают насыщенным раствором соли, сушат над сульфатом магния и затем концентрируют при пониженном давлении. Полученный остаток очищают колоночной хроматографией (силикагель; гексан:этилацетат=2:1) с получением ((S)-2-трет-бутокси-1-метоксикарбонилэтил)амида (2R,4S)-{[3,5-бис(трифторметил)бензил]-[5-(морфолин-4-ил)пиримидин-2-ил]}амино-2-этил-6-метокси-3,4-дигидро-2Н-[1,5]нафтиридин-1-карбоновой кислоты (309 мг). MC (m/z): 798 [М+Н]+.
(2) К ((S)-2-трет-бутокси-1-метоксикарбонилэтил)амиду (2R,4S)-{[3,5-бис(трифторметил)бензил]-[5-(морфолин-4-ил)пиримидин-2-ил]}амино-2-этил-6-метокси-3,4-дигидро-2Н-[1,5]нафтиридин-1-карбоновой кислоты добавляют раствор (5 мл) 4н. HCl в 1,4-диоксане. Полученную смесь перемешивают при комнатной температуре в течение 5 часов. После нейтрализации реакционной смеси добавлением насыщенного водного раствора гидрокарбоната натрия смесь экстрагируют этилацетатом. Органический слой промывают насыщенным раствором соли, сушат над сульфатом магния и затем концентрируют при пониженном давлении. Полученный остаток очищают колоночной хроматографией (силикагель; гексан:этилацетат=1:1 0:1) с получением ((S)-2-гидрокси-1-метоксикарбонилэтил)амида (2R,4S)-{[3,5-бис(трифторметил)бензил]-[5-(морфолин-4-ил)пиримидин-2-ил]}амино-2-этил-6-метокси-3,4-дигидро-2Н-[1,5]нафтиридин-1-карбоновой кислоты (237 мг). MC (m/z): 742 [М+Н]+.
(3) ((S)-2-гидрокси-1-метоксикарбонилэтил)амид (2R,4S)-{[3,5-бис(трифторметил)бензил]-[5-(морфолин-4-ил)пиримидин-2-ил]}амино-2-этил-6-метокси-3,4-дигидро-2Н-[1,5]нафтиридин-1-карбоновой кислоты (214 мг) растворяют в метиленхлориде (3,0 мл) и к раствору добавляют пиридин (28 мкл), затем добавляют трифторметансульфоновый ангидрид (58 мкл) при -20°С. Смесь перемешивают при той же температуре в течение 40 минут в токе азота. К реакционной смеси добавляют насыщенный водный раствор гидрокарбоната натрия и экстрагируют этилацетатом. Органический слой промывают насыщенным раствором соли, сушат над сульфатом магния и затем концентрируют при пониженном давлении. Полученный остаток очищают колоночной хроматографией (силикагель; гексан:этилацетат=1:1 1:9) с получением (2R,4S)-{[3,5-бис(трифторметил)бензил]-[5-(морфолин-4-ил)пиримидин-2-ил]}амино-2-этил-6-метокси-1-((S)-4-метоксикарбонил-4,5-дигидроксазол-2-ил)-3,4-дигидро-2Н-[1,5]нафтиридина (172 мг). MC (m/z): 724 [М+Н]+.
(4) (2R,4S)-{[3,5-бис(трифторметил)бензил]-[5-(морфолин-4-ил)пиримидин-2-ил]}амино-2-этил-6-метокси-1-((S)-4-метоксикарбонил-4,5-дигидроксазол-2-ил)-3,4-дигидро-2Н-[1,5]нафтиридин (84 мг) растворяют в тетрагидрофуране (2,0 мл) и к раствору медленно добавляют 1М раствор (0,4 мл) диизобутилалюминийгидрида в тетрагидрофуране при охлаждении на льду. Смесь перемешивают при той же температуре в течение 30 минут в токе азота. К реакционной смеси добавляют насыщенный раствор соли, смесь перемешивают при комнатной температуре в течение 1 часа и затем экстрагируют этилацетатом. Органический слой промывают насыщенным раствором соли, сушат над сульфатом магния и затем концентрируют при пониженном давлении. Полученный остаток очищают колоночной хроматографией (силикагель; гексан:этилацетат=19:1) с получением (2R,4S)-{[3,5-бис(трифторметил)бензил]-[5-(морфолин-4-ил)пиримидин-2-ил]}амино-2-этил-1-((R)-4-гидроксиметил-4,5-дигидроксазол-2-ил)-6-метокси-3,4-дигидро-2Н-[1,5]нафтиридина (61 мг). MC (m/z): 696 [М+Н]+.
Пример 370
(1) (2R,4S)-4-{[3,5-бис(трифторметил)бензил]-[5-(морфолин-4-ил)пиримидин-2-ил]}амино-2-этил-6-метокси-1,2,3,4-тетрагидро-2Н-[1,5]нафтиридин (200 мг) растворяют в метиленхлориде (1,5 мл) и к раствору добавляют пиридин (54 мкл), затем добавляют хлорацетилхлорид (40 мкл) при охлаждении на водяной бане. Смесь перемешивают при комнатной температуре в течение 1 часа в токе азота. К реакционной смеси добавляют насыщенный водный раствор гидрокарбоната натрия и экстрагируют этилацетатом. Органический слой промывают насыщенным раствором соли, сушат над сульфатом магния и затем концентрируют при пониженном давлении. Полученный остаток очищают колоночной хроматографией (силикагель; гексан:этилацетат=2:1 1:1) с получением (2R,4S)-{[3,5-бис(трифторметил)бензил]-[5-(морфолин-4-ил)пиримидин-2-ил]}амино-1-хлорацетил-2-этил-6-метокси-3,4-дигидро-2Н-[1,5]нафтиридина (156 мг). MC (m/z): 675/673 [М+Н]+.
(2) (2R,4S)-{[3,5-бис(трифторметил)бензил]-[5-(морфолин-4-ил)пиримидин-2-ил]}амино-1-хлорацетил-2-этил-6-метокси-3,4-дигидро-2Н-[1,5]нафтиридин (80 мг) растворяют в N,N-диметилформамиде (1,5 мл) и к раствору добавляют морфолин (52 мкл) и карбонат калия (49 мг). Полученную смесь перемешивают при комнатной температуре в течение 3 часов. К реакционной смеси добавляют насыщенный раствор соли и экстрагируют этилацетатом. Органический слой промывают насыщенным раствором соли, сушат над сульфатом магния и затем концентрируют при пониженном давлении. Полученный остаток очищают колоночной хроматографией (силикагель; гексан:этилацетат=1:0 19:1) с получением (2R,4S)-{[3,5-бис(трифторметил)бензил]-[5-(морфолин-4-ил)пиримидин-2-ил]}амино-2-этил-6-метокси-1-(морфолин-4-ил)ацетил-3,4-дигидро-2Н-[1,5]нафтиридина (60 мг). MC (m/z): 724 [М+Н]+.
Пример 371

Соответствующее исходное соединение обрабатывают аналогично примеру 370 (1) с получением соединения 371. MC (m/z): 703 [М+Н]+.
Пример 372
(2R,4S)-4-{[3,5-бис(трифторметил)бензил]-[5-(морфолин-4-ил)пиримидин-2-ил]}амино-2-этил-6-метокси-1,2,3,4-тетрагидро-2Н-[1,5]нафтиридин (300 мг) растворяют в N,N-диметилформамиде (3 мл) и к раствору добавляют гидрид натрия (62,7%, 21 мг) при охлаждении на льду, затем спустя 1 час добавляют этилиодацетат (71 мкл). Смесь перемешивают при комнатной температуре в течение 24 часов. Реакционный раствор распределяют между водой и этилацетатом. Органический слой промывают насыщенным раствором соли, затем сушат над сульфатом магния и концентрируют при пониженном давлении. Полученный остаток очищают хроматографией на NH-колонке (силикагель; гексан:этилацетат=9:1 4:1) с получением (2R,4S)-4-{[3,5-бис(трифторметил)бензил]-[5-(морфолин-4-ил)пиримидин-2-ил]}амино-1-этоксикарбонилметил-2-этил-6-метокси-3,4-дигидро-2Н-[1,5]нафтиридина (107 мг). MC (m/z): 683 [М+Н]+.
Пример 373

Соответствующее исходное соединение обрабатывают аналогично примеру 370 (1) и примеру 36 с получением соединения 373. MC (m/z): 709 [М+Н]+.
Пример 374

Соответствующее исходное соединение обрабатывают аналогично примеру 322 (1) с получением соединения 374. MC (m/z): 730 [М+Н]+.
Пример 375

Соответствующее исходное соединение обрабатывают аналогично примеру 322 (2) с получением соединения 375. MC (m/z): 642 [М+Н]+.
Пример 376

Соответствующее исходное соединение обрабатывают аналогично примеру 143 с получением соединения 376. MC (m/z): 628 [М+Н]+.
Пример 377

Соответствующее исходное соединение обрабатывают аналогично примеру 15 (1) с получением соединения 377. MC (m/z): 725 [М+Н]+.
Пример 378

Соответствующее исходное соединение обрабатывают аналогично примеру 36 с получением соединения 378. MC (m/z): 697 [М+Н]+.
Пример 379

Соответствующее исходное соединение обрабатывают аналогично примеру 200 с получением соединения 379. MC (m/z): 608 [М+Н]+.
Пример 380
Этиловый эфир (2R,4S)-4-{[3,5-бис(трифторметил)бензил]-[5-цианопиридин-2-ил]}амино-2-этил-6-метокси-3,4-дигидро-2Н-[1,5]нафтиридин-1-карбоновой кислоты (300 мг), хлорид гидроксиламмония (170 мг) и триэтиламин (340 мкл) растворяют в этаноле (2 мл) и смесь перемешивают при кипении с обратным холодильником в течение 2 часов. Реакционный раствор охлаждают до комнатной температуры и добавляют воду и этилацетат. Органический слой промывают насыщенным раствором соли, сушат над сульфатом магния и затем концентрируют при пониженном давлении с получением этилового эфира (2R,4S)-4-{[3,5-бис(трифторметил)бензил]-[N-гидроксикарбамимидоил)пиридин-2-ил]}амино-2-этил-6-метокси-3,4-дигидро-2Н-[1,5]нафтиридин-1-карбоновой кислоты (360 мг). MC (m/z): 641 [М+Н]+.
Пример 381
Этиловый эфир (2R,4S)-4-{[3,5-бис(трифторметил)бензил]-[N-гидроксикарбамимидоил)пиридин-2-ил]}амино-2-этил-6-метокси-3,4-дигидро-2Н-[1,5]нафтиридин-1-карбоновой кислоты (193 мг) и триметиламин (126 мкл) растворяют в дихлорметане (3 мл) и к раствору добавляют трифосген (268 мг) при 0°С. Смесь перемешивают при комнатной температуре в течение 30 минут. К реакционному раствору добавляют воду и дихлорметан и органический слой промывают насыщенным раствором соли. Затем органический слой сушат над сульфатом натрия и затем концентрируют при пониженном давлении. Полученный остаток очищают колоночной хроматографией (силикагель; гексан:этилацетат=1:0 97:3) с получением этилового эфира (2R,4S)-4-{[3,5-бис(трифторметил)бензил]-[5-(5-оксо-4,5-дигидро[1,2,4]оксадиазол-3-ил)пиридин-2-ил]}амино-2-этил-6-метокси-3,4-дигидро-2Н-[1,5]нафтиридин-1-карбоновой кислоты (33 мг). MC (m/z): 667 [М+Н]+.
Пример 382
Этиловый эфир (2R,4S)-4-{[3,5-бис(трифторметил)бензил]-[5-бромпиридин-2-ил]}амино-2-этил-6-метокси-3,4-дигидро-2Н-[1,5]нафтиридин-1-карбоновой кислоты (276 мг), трис(дибензилиденацетон)дипалладий (76 мг), трет-бутоксид натрия (80 мг), 2-(ди-трет-бутилфосфино)бифенил (50 мг) и этилизонипекотат (131 мг) растворяют в толуоле (3 мл) и полученную смесь перемешивают при комнатной температуре в течение 22 часов в токе азота. К реакционному раствору добавляют воду и этилацетат. Органический слой промывают насыщенным раствором соли, сушат над сульфатом магния и затем концентрируют при пониженном давлении. Полученный остаток очищают колоночной хроматографией (силикагель; гексан:этилацетат=9:1 4:1) с получением этилового эфира (2R,4S)-4-{[3,5-бис(трифторметил)бензил]-(4-этоксикарбонил-3,4,5,6-тетрагидро-2Н-[1,3′]бипиридинил-6′-ил)}амино-2-этил-6-метокси-3,4-дигидро-2Н-[1,5]нафтиридин-1-карбоновой кислоты (109 мг). MC (m/z): 738 [М+Н]+.
Пример 383

Соответствующее исходное соединение обрабатывают аналогично примеру 36 с получением соединения 383. MC (m/z): 710 [М+Н]+.
Пример 384
(1) Этиловый эфир (2R,4S)-4-амино-2-этил-6-метокси-3,4-дигидро-2Н-[1,5]нафтиридин-1-карбоновой кислоты (10 г) растворяют в толуоле (100 мл) и к раствору добавляют 2-бромпиридин (6,8 мл), трис(дибензилиденацетон)дипалладий (328 мг), 2-(ди-трет-бутилфосфино)бифенил (282 мг) и трет-бутоксид натрия (6,9 г). Смесь перемешивают при комнатной температуре в течение 3,5 часов в атмосфере азота, затем нагревают при 80°С и перемешивают в течение 4 часов. Реакционный раствор охлаждают до комнатной температуры и распределяют между водой и этилацетатом. Органический слой промывают насыщенным раствором соли, затем сушат над сульфатом магния и концентрируют при пониженном давлении. Полученный остаток очищают колоночной хроматографией (силикагель; гексан:этилацетат=9:1 7:3) с получением (6,4 г) неочищенного этилового эфира (2R,4S)-2-этил-6-метокси-4-(пиридин-2-ил)амино-3,4-дигидро-2Н-[1,5]нафтиридин-1-карбоновой кислоты. MC (m/z): 357 [М+Н]+.
(2) Неочищенный этиловый эфир (2R,4S)-2-этил-6-метокси-4-(пиридин-2-ил)амино-3,4-дигидро-2Н-[1,5]нафтиридин-1-карбоновой кислоты растворяют в метиленхлориде (80 мл) и добавляют N-бромсукцинимид (3,15 г). Полученную смесь перемешивают при комнатной температуре в течение 15 минут. Реакционный раствор концентрируют при пониженном давлении. Полученный остаток очищают колоночной хроматографией (силикагель; гексан:этилацетат=9:1 4:1) с получением этилового эфира (2R,4S)-2-этил-6-метокси-4-(5-бромпиридин-2-ил)амино-3,4-дигидро-2Н-[1,5]нафтиридин-1-карбоновой кислоты (5,0 г). MC (m/z): 435/437 [М+Н]+.
(3) Этиловый эфир (2R,4S)-2-этил-6-метокси-4-(5-бромпиридин-2-ил)амино-3,4-дигидро-2Н-[1,5]нафтиридин-1-карбоновой кислоты (3 г) растворяют в N,N-диметилформамиде (20 мл) и к раствору добавляют гидрид натрия (62,7%, 580 мг) при охлаждении на льду. Смесь перемешивают в течение 30 минут и затем добавляют 3,5-бис(триметил)бензилбромид (3,2 мл). Смесь перемешивают при комнатной температуре в течение 24 часов и распределяют между водой и этилацетатом при охлаждении на льду. Органический слой промывают насыщенным раствором соли, затем сушат над сульфатом магния и концентрируют при пониженном давлении. Полученный остаток очищают колоночной хроматографией (силикагель; гексан:этилацетат=9:1 4:1) с получением этилового эфира (2R,4S)-4-{[3,5-бис(трифторметил)бензил]-(5-бромпиридин-2-ил)}амино-2-этил-6-метокси-3,4-дигидро-2Н-[1,5]нафтиридин-1-карбоновой кислоты (1,7 г). MC (m/z): 661/663 [М+Н]+.
(4) Этиловый эфир (2R,4S)-4-{[3,5-бис(трифторметил)бензил]-(5-бромпиридин-2-ил)}амино-2-этил-6-метокси-3,4-дигидро-2Н-[1,5]нафтиридин-1-карбоновой кислоты (1,7 г) растворяют в толуоле (15 мл) и к раствору добавляют морфолин (0,45 мл), трис(дибензилиденацетон)дипалладий (238 г), 2-(ди-трет-бутилфосфино)бифенил (152 мг) и трет-бутоксид натрия (494 мг). Смесь перемешивают при комнатной температуре в течение 85 минут в атмосфере азота, затем нагревают при 80°С в течение 3,5 часов. Реакционный раствор охлаждают до комнатной температуры и распределяют между водой и этилацетатом. Органический слой промывают насыщенным раствором соли, затем сушат над сульфатом магния и концентрируют при пониженном давлении. Полученный остаток очищают колоночной хроматографией (силикагель; гексан:этилацетат=9:1 7:3) с получением этилового эфира (2R,4S)-4-{[3,5-бис(трифторметил)бензил]-[5-морфолин-4-ил)пиридин-2-ил]}амино-2-этил-6-метокси-3,4-дигидро-2Н-[1,5]нафтиридин-1-карбоновой кислоты (1,26 г). MC (m/z): 668 [М+Н]+.
(5) Этиловый эфир (2R,4S)-4-{[3,5-бис(трифторметил)бензил]-[5-морфолин-4-ил)пиридин-2-ил]}амино-2-этил-6-метокси-3,4-дигидро-2Н-[1,5]нафтиридин-1-карбоновой кислоты (1,25 г) и иодид натрия (1,68 г) растворяют в ацетонитриле (15 мл). Затем полученную смесь нагревают при 80°С, добавляют по каплям триметилсилилхлорид (1,4 мл) в атмосфере азота и полученную смесь перемешивают в течение 19,5 часов. Реакционный раствор охлаждают до комнатной температуры и распределяют между водой и этилацетатом. Органический слой промывают насыщенным раствором соли, затем сушат над сульфатом магния и концентрируют при пониженном давлении. Полученный остаток очищают колоночной хроматографией (силикагель; гексан:этилацетат=1:1 0:1) с получением этилового эфира (2R,4S)-4-{[3,5-бис(трифторметил)бензил]-[5-морфолин-4-ил)пиридин-2-ил]}амино-2-этил-6-гидрокси-3,4-дигидро-2Н-[1,5]нафтиридин-1-карбоновой кислоты (642 мг). MC (m/z): 654 [М+Н]+.
(6) Этиловый эфир (2R,4S)-4-{[3,5-бис(трифторметил)бензил]-[5-морфолин-4-ил)пиридин-2-ил]}амино-2-этил-6-гидрокси-3,4-дигидро-2Н-[1,5]нафтиридин-1-карбоновой кислоты (585 мг) растворяют в метиленхлориде (5 мл) и к раствору добавляют пиридин (218 мкл) и трифторметансульфоновый ангидрид (180 мкл) в атмосфере азота при охлаждении на льду. Реакционный раствор перемешивают в течение 75 минут и распределяют между насыщенным водным раствором лимонной кислоты и этилацетатом. Органический слой промывают насыщенным раствором соли, затем сушат над сульфатом магния и концентрируют при пониженном давлении. Полученный остаток очищают колоночной хроматографией (силикагель; гексан:этилацетат=9:1 4:1) с получением этилового эфира (2R,4S)-4-{[3,5-бис(трифторметил)бензил]-[5-морфолин-4-ил)пиридин-2-ил]}амино-2-этил-6-трифторметансульфонилокси-3,4-дигидро-2Н-[1,5]нафтиридин-1-карбоновой кислоты (657 мг). MC (m/z): 786 [М+Н]+.
(7) Этиловый эфир (2R,4S)-4-{[3,5-бис(трифторметил)бензил]-[5-морфолин-4-ил)пиридин-2-ил]}амино-2-этил-6-трифторметансульфонилокси-3,4-дигидро-2Н-[1,5]нафтиридин-1-карбоновой кислоты (650 мг) растворяют в диметилсульфоксиде (20 мл) и к раствору добавляют триэтиламин (1 мл) и 2М раствор (20 мл) метиламина в тетрагидрофуране. Полученную смесь нагревают при 100°С и перемешивают в течение 5 часов в запаянной пробирке в атмосфере азота. Реакционный раствор охлаждают до комнатной температуры и распределяют между водой и этилацетатом. Органический слой промывают насыщенным раствором соли, сушат над сульфатом магния и концентрируют при пониженном давлении. Полученный остаток очищают колоночной хроматографией (силикагель; гексан:этилацетат=9:1 7:3) с получением этилового эфира (2R,4S)-4-{[3,5-бис(трифторметил)бензил]-[5-морфолин-4-ил)пиридин-2-ил]}амино-2-этил-6-метиламино-3,4-дигидро-2Н-[1,5]нафтиридин-1-карбоновой кислоты (45 мг). MC (m/z): 667 [М+Н]+.
Пример 385
(1) Этиловый эфир (2R,4S)-4-амино-2-этил-6-метокси-3,4-дигидро-2Н-[1,5]нафтиридин-1-карбоновой кислоты (2 г), этиловый эфир 2-хлороксазол-4-карбоновой кислоты (3,77 г) и диизопропилэтиламин (2,5 мл) растворяют в 1,4-диоксане (15 мл) и полученную смесь перемешивают в течение 9 часов при кипении с обратным холодильником. Реакционный раствор охлаждают до комнатной температуры и добавляют воду и этилацетат. Органический слой промывают насыщенным раствором соли, сушат над сульфатом магния и затем концентрируют при пониженном давлении. Полученный остаток очищают колоночной хроматографией (силикагель; гексан:этилацетат=4:1 2:1) с получением этилового эфира (2R,4S)-4-(4-этоксикарбонилоксазол-2-ил)амино-2-этил-6-метокси-3,4-дигидро-2Н-[1,5]нафтиридин-1-карбоновой кислоты (2,85 г). MC (m/z): 419 [М+Н]+.
(2) Этиловый эфир (2R,4S)-4-(4-этоксикарбонилоксазол-2-ил)амино-2-этил-6-метокси-3,4-дигидро-2Н-[1,5]нафтиридин-1-карбоновой кислоты (2,75 г) растворяют в N,N-диметилформамиде (30 мл) и к раствору добавляют гидрид натрия (62,7%, 315 мг) при охлаждении на льду. Полученную смесь перемешивают при комнатной температуре в течение 30 минут. К смеси добавляют 3,5-бис(трифторметил)бензилбромид (1,8 мл) при охлаждении на льду и полученную смесь перемешивают в течение ночи при комнатной температуре. К реакционному раствору добавляют воду и этилацетат. Органический слой промывают насыщенным раствором соли, сушат над сульфатом магния и затем концентрируют при пониженном давлении. Полученный остаток очищают колоночной хроматографией (силикагель; гексан:этилацетат=4:1 3:1) с получением этилового эфира (2R,4S)-4-{[3,5-бис(трифторметил)бензил]-(4-этоксикарбонилоксазол-2-ил)}амино-2-этил-6-метокси-3,4-дигидро-2Н-[1,5]нафтиридин-1-карбоновой кислоты (3,53 г). MC (m/z): 645 [М+Н]+.
Пример 386
Этиловый эфир (2R,4S)-4-{[3,5-бис(трифторметил)бензил]-(4-этоксикарбонилоксазол-2-ил)}амино-2-этил-6-метокси-3,4-дигидро-2Н-[1,5]нафтиридин-1-карбоновой кислоты (200 мг) и моногидрат гидроксида лития (78 мг) растворяют в смеси метанола (3 мл) и воды (500 мкл) и полученную смесь перемешивают при комнатной температуре в течение 2 часов. Реакционный раствор подкисляют добавлением 2н. водного раствора HCl, затем добавляют этилацетат. Органический слой промывают насыщенным раствором соли, сушат над сульфатом магния и затем концентрируют при пониженном давлении с получением этилового эфира (2R,4S)-4-{[3,5-бис(трифторметил)бензил]-(4-карбоксиоксазол-2-ил)}амино-2-этил-6-метокси-3,4-дигидро-2Н-[1,5]нафтиридин-1-карбоновой кислоты (190 мг). MC (m/z): 617 [М+Н]+.
Пример 387
Этиловый эфир (2R,4S)-4-{[3,5-бис(трифторметил)бензил]-(4-карбоксиоксазол-2-ил)}амино-2-этил-6-метокси-3,4-дигидро-2Н-[1,5]нафтиридин-1-карбоновой кислоты (200 мг) и гидрат 1-гидроксибензотриазола (53 мг) растворяют в N,N-диметилформамиде (3 мл) и к раствору добавляют гидрохлорид 1-этил-3-(3-диметиламинопропил)карбодиимида (311 мг). Смесь перемешивают при комнатной температуре в течение 20 минут. К полученной смеси добавляют смесь концентрированный аммиак-вода (3 мл) при охлаждении на льду и полученную смесь перемешивают при комнатной температуре в течение 3 часов. К реакционной смеси добавляют воду и этилацетат. Органический слой промывают насыщенным раствором соли, затем сушат над сульфатом магния и концентрируют при пониженном давлении с получением этилового эфира (2R,4S)-4-{[3,5-бис(трифторметил)бензил]-(4-карбамоилоксазол-2-ил)}амино-2-этил-6-метокси-3,4-дигидро-2Н-[1,5]нафтиридин-1-карбоновой кислоты (200 мг). MC (m/z): 616 [М+Н]+.
Пример 388
(1) Этиловый эфир (2R,4S)-4-амино-2-этил-6-метокси-3,4-дигидро-2Н-[1,5]нафтиридин-1-карбоновой кислоты (3,0 г) растворяют в 1,2-дихлорэтане (50 мл) и к раствору добавляют 3,5-бис(трифторметил)бензальдегид (1,9 мл). Полученную смесь перемешивают при комнатной температуре в течение 1 часа, затем добавляют 95% триацетоксиборгидрид натрия (4,6 г). Полученную смесь перемешивают в течение 17 часов и распределяют между водой и диэтиловым эфиром. Органический слой промывают насыщенным раствором соли, затем сушат над сульфатом магния и концентрируют при пониженном давлении. Полученный остаток очищают колоночной хроматографией (силикагель; гексан:этилацетат=9:1 7:3) с получением этилового эфира (2R,4S)-4-{[3,5-бис(трифторметил)бензил]амино-2-этил-6-метокси-3,4-дигидро-2Н-[1,5]нафтиридин-1-карбоновой кислоты (4,92 г). MC (m/z): 506 [М+Н]+.
(2) Этиловый эфир (2R,4S)-4-{[3,5-бис(трифторметил)бензил]амино-2-этил-6-метокси-3,4-дигидро-2Н-[1,5]нафтиридин-1-карбоновой кислоты (4,9 г) растворяют в этаноле (30 мл) и к раствору добавляют бикарбонат натрия (2,5 г) и цианогенбромид (1,1 г). Полученную смесь перемешивают при комнатной температуре в течение 16 часов и распределяют между водой и диэтиловым эфиром. Органический слой промывают насыщенным раствором соли, затем сушат над сульфатом магния и концентрируют при пониженном давлении. Полученный остаток очищают колоночной хроматографией (силикагель; гексан:этилацетат=9:1 13:7) с получением этилового эфира (2R,4S)-4-{[3,5-бис(трифторметил)бензил]циано}амино-2-этил-6-метокси-3,4-дигидро-2Н-[1,5]нафтиридин-1-карбоновой кислоты (4,35 мг) MC (m/z): 531 [М+Н]+.
(3) Этиловый эфир (2R,4S)-4-{[3,5-бис(трифторметил)бензил]циано}амино-2-этил-6-метокси-3,4-дигидро-2Н-[1,5]нафтиридин-1-карбоновой кислоты (3 г) растворяют в N,N-диметилформамиде (30 мл) и к раствору добавляют хлорид аммония (3 г) и азид натрия (3,7 г). Полученную смесь нагревают при 100°С и перемешивают в течение 24 часов. Реакционный раствор охлаждают до комнатной температуры и распределяют между водой и этилацетатом. Органический слой промывают насыщенным раствором соли, затем сушат над сульфатом магния и концентрируют при пониженном давлении. Полученный остаток очищают колоночной хроматографией (силикагель; хлороформ:метанол=1:0 19:1) и элюат концентрируют с последующей перекристаллизацией (гексан:изопропанол) с получением этилового эфира (2R,4S)-4-{[3,5-бис(трифторметил)бензил]-(тетразол-5-ил)}амино-2-этил-6-метокси-3,4-дигидро-2Н-[1,5]нафтиридин-1-карбоновой кислоты (1,2 г). MC (m/z): 574 [М+Н]+.
Пример 389
Этиловый эфир (2R,4S)-4-{[3,5-бис(трифторметил)бензил]-(тетразол-5-ил)}амино-2-этил-6-метокси-3,4-дигидро-2Н-[1,5]нафтиридин-1-карбоновой кислоты (230 мг) растворяют в тетрагидрофуране (3 мл) и к раствору добавляют метиловый эфир 3-гидрокси-2,2-диметилпропионовой кислоты (58 мкл), раствор (0,18 мл) 40% диэтилазодикарбоксилата в толуоле и трифенилфосфин (121 мг). Полученную смесь перемешивают при комнатной температуре в течение 19 часов и распределяют между водой и диэтиловым эфиром. Органический слой промывают насыщенным раствором соли, затем сушат над сульфатом магния и концентрируют при пониженном давлении. Полученный остаток очищают колоночной хроматографией (силикагель; гексан:этилацетат=9:1 7:3) с получением этилового эфира (2R,4S)-4-{[3,5-бис(трифторметил)бензил]-[2-(2-метоксикарбонил-2-метилпропил)-2Н-тетразол-5-ил]}амино-2-этил-6-метокси-3,4-дигидро-2Н-[1,5]нафтиридин-1-карбоновой кислоты (243 мг). MC (m/z): 688 [М+Н]+.
Пример 390

Соответствующее исходное соединение обрабатывают аналогично примеру 386 с получением соединения 390. MC (m/z): 674 [М+Н]+.
Пример 391

Соответствующее исходное соединение обрабатывают аналогично примеру 240 с получением соединения 391. MC (m/z): 590 [М+Н]+.
Пример 392
(1) Этиловый эфир (2R,4S)-4-{(N-гидроксикарбамимидоил)-[3,5-бис(трифторметил)бензил]}амино-2-этил-6-метокси-3,4-дигидро-2Н-[1,5]нафтиридин-1-карбоновой кислоты (513 мг) и диизопропилэтиламин (317 мкл) растворяют в дихлорэтане (5 мл) и к раствору добавляют ацетоксиацетилхлорид (127 мкл) при 0°С. Полученную смесь перемешивают в течение ночи при комнатной температуре. К реакционному раствору добавляют насыщенный водный раствор лимонной кислоты и органический слой промывают насыщенным раствором соли, сушат над сульфатом магния и затем концентрируют при пониженном давлении. Полученный остаток очищают колоночной хроматографией (силикагель; гексан:этилацетат=4:1 1:1) с получением этилового эфира (2R,4S)-4-{[(ацетилоксиацетил)амино(ацетилоксиацетилокси)иминометил]-[3,5-бис(трифторметил)бензил]}амино-2-этил-6-метокси-3,4-дигидро-2Н-[1,5]нафтиридин-1-карбоновой кислоты (330 мг). MC (m/z): 764 [М+Н]+.
(2) Этиловый эфир (2R,4S)-4-{[(ацетилоксиацетил)амино(ацетилоксиацетилокси)иминометил]-[3,5-бис(трифторметил)бензил]}амино-2-этил-6-метокси-3,4-дигидро-2Н-[1,5]нафтиридин-1-карбоновой кислоты (320 мг) и карбонат калия (579 мг) суспендируют в этаноле (5 мл) и полученную смесь перемешивают в течение ночи при комнатной температуре. К реакционному раствору добавляют воду и этилацетат, органический слой промывают насыщенным раствором соли, затем сушат над сульфатом магния и концентрируют при пониженном давлении. Полученный остаток очищают колоночной хроматографией (силикагель; гексан:этилацетат=2:1 0:1) с получением этилового эфира (2R,4S)-4-{[3,5-бис(трифторметил)бензил]-(5-гидроксиметил-[1,2,4]оксадиазол-3-ил)}амино-2-этил-6-метокси-3,4-дигидро-2Н-[1,5]нафтиридин-1-карбоновой кислоты (52 мг). MC (m/z): 604 [М+Н]+.
Пример 393
(1) Этиловый эфир (2R,4S)-4-амино-2-этил-6-метокси-3,4-дигидро-2Н-[1,5]нафтиридин-1-карбоновой кислоты (5,0 г) растворяют в 1,2-дихлорэтане (90 мл) и к раствору добавляют триэтиламин (7,5 мл) и 4,6-дихлорпиримидин (5,3 г). Полученную смесь нагревают при 80°С и перемешивают в течение 18,5 часов. Реакционный раствор охлаждают до комнатной температуры и затем концентрируют при пониженном давлении и добавляют 1н. HCl и диэтиловый эфир для распределения. Органический слой промывают водой, насыщенным водным раствором гидрокарбоната натрия, водой и насыщенным раствором соли, затем сушат над сульфатом магния и концентрируют при пониженном давлении. Полученный остаток очищают колоночной хроматографией (силикагель; гексан:этилацетат=9:1 1:1) с получением этилового эфира (2R,4S)-4-(6-хлорпиримидин-4-ил)амино-2-этил-6-метокси-3,4-дигидро-2Н-[1,5]нафтиридин-1-карбоновой кислоты (5,92 г). MC (m/z): 392/394 [М+Н]+.
(2) Этиловый эфир (2R,4S)-4-(6-хлорпиримидин-4-ил)амино-2-этил-6-метокси-3,4-дигидро-2Н-[1,5]нафтиридин-1-карбоновой кислоты (4,0 г) растворяют в ацетонитриле (50 мл) и к раствору добавляют гидрид натрия (62,7%, 428,7 мг) при охлаждении на льду. Смесь перемешивают в течение 5 минут и затем добавляют 3,5-бис(трифторметил)бензилбромид (2,8 мл). Полученную смесь перемешивают при комнатной температуре в течение 14 часов и распределяют между водой и диэтиловым эфиром при охлаждении на льду. Органический слой промывают насыщенным раствором соли, затем сушат над сульфатом магния и концентрируют при пониженном давлении. Полученный остаток очищают колоночной хроматографией (силикагель; гексан:этилацетат=9:1 7:3) с получением этилового эфира (2R,4S)-4-{[3,5-бис(трифторметил)бензил]-(6-хлорпиримидин-4-ил)}амино-2-этил-6-метокси-3,4-дигидро-2Н-[1,5]нафтиридин-1-карбоновой кислоты (5,1 г). MC (m/z): 618/620 [М+Н]+.
(3) Этиловый эфир (2R,4S)-4-{[3,5-бис(трифторметил)бензил]-(6-хлорпиримидин-4-ил)}амино-2-этил-6-метокси-3,4-дигидро-2Н-[1,5]нафтиридин-1-карбоновой кислоты (140 мг) растворяют в 1,3-диметил-2-имидазолидиноне (2 мл) и к раствору добавляют диизопропилэтиламин (0,4 мл) и трет-бутиловый эфир 3-метиламинопропионовой кислоты (150 мг). Полученную смесь нагревают при 80°С и перемешивают в течение 56,5 часов. Реакционный раствор охлаждают до комнатной температуры и распределяют между водой и диэтиловым эфиром. Органический слой промывают насыщенным раствором соли, затем сушат над сульфатом магния и концентрируют при пониженном давлении. Полученный остаток очищают колоночной хроматографией (силикагель; гексан:этилацетат=4:1 3:2) с получением этилового эфира (2R,4S)-4-{[3,5-бис(трифторметил)бензил]-[6-(2-трет-бутоксикарбонилэтил)метиламинопиримидин-4-ил]}амино-2-этил-6-метокси-3,4-дигидро-2Н-[1,5]нафтиридин-1-карбоновой кислоты (113,2 мг). MC (m/z): 741 [М+Н]+.
(4) Этиловый эфир (2R,4S)-4-{[3,5-бис(трифторметил)бензил]-[6-(2-трет-бутоксикарбонилэтил)метиламинопиримидин-4-ил]}амино-2-этил-6-метокси-3,4-дигидро-2Н-[1,5]нафтиридин-1-карбоновой кислоты (100 мг) растворяют в 2н. растворе (2 мл) HCl/1,4-диоксан и полученную смесь перемешивают при комнатной температуре в течение 3 часов. Реакционный раствор концентрируют при пониженном давлении. Полученный остаток очищают колоночной хроматографией (силикагель; гексан:этилацетат=1:0 9:1) с получением этилового эфира (2R,4S)-4-{[3,5-бис(трифторметил)бензил]-[6-(2-карбоксиэтил)метиламинопиримидин-4-ил]}амино-2-этил-6-метокси-3,4-дигидро-2Н-[1,5]нафтиридин-1-карбоновой кислоты (29 мг). MC (m/z): 685 [М+Н]+.
Пример 394

Соответствующее исходное соединение обрабатывают аналогично примеру 393 (3) с получением соединения 394. MC (m/z): 667 [М+Н]+.
Пример 395

Соответствующее исходное соединение обрабатывают аналогично примеру 393 (3) с получением соединения 395. MC (m/z): 699 [М+Н]+.
Пример 396

Соответствующее исходное соединение обрабатывают аналогично примеру 36 с получением соединения 396. MC (m/z): 671 [М+Н]+.
Пример 397
Этиловый эфир 4-хлор-2-метилсульфанилпиримидин-5-карбоновой кислоты (5 г) растворяют в этаноле (100 мл) и к раствору добавляют карбонат натрия (11,4 г) и 2-метиламиноэтанол (4,6 мл). Смесь нагревают при 80°С и перемешивают в течение 3 часов. Реакционный раствор охлаждают до комнатной температуры и распределяют между водой и хлороформом. Органический слой промывают насыщенным раствором соли, затем сушат над сульфатом магния и концентрируют при пониженном давлении. Полученный остаток очищают колоночной хроматографией (силикагель; хлороформ:метанол=1:0 19:1) с получением 9-метил-2-метилсульфанил-8,9-дигидро-7Н-пиримидо[4,5-e][1,4]оксазепин-5-она (2,92 г). MC (m/z): 226 [М+Н]+.
(2) 9-метил-2-метилсульфанил-8,9-дигидро-7Н-пиримидо[4,5-e]оксазепин-5-он (1 г) растворяют в тетрагидрофуране (50 мл) и к раствору добавляют метахлорпербензойную кислоту (1 г) при охлаждении на льду. Смесь перемешивают при комнатной температуре в течение 20 часов и распределяют между насыщенным водным раствором гидрокарбоната натрия и хлороформом. Органический слой промывают насыщенным раствором соли, затем сушат над сульфатом магния и концентрируют при пониженном давлении. Полученный остаток очищают колоночной хроматографией (силикагель; хлороформ:метанол=1:0 9:1) с получением 2-метансульфинил-9-метил-8,9-дигидро-7Н-пиримидо[4,5-e][1,4]оксазепин-5-она (765 мг) MC (m/z): 242 [М+Н]+.
(3) Этиловый эфир (2R,4S)-4-амино-2-этил-6-метокси-3,4-дигидро-2Н-[1,5]нафтиридин-1-карбоновой кислоты (931 мг) растворяют в 1,4 диоксане (30 мл) и к раствору добавляют диизопропилэтиламин (2,7 мл) и 2-метансульфинил-9-метил-8,9-дигидро-7Н-пиримидо[4,5-e][1,5]оксазепин-5-она (750 мг). Полученную смесь нагревают до 80°С и перемешивают в течение 19 часов. Реакционный раствор охлаждают до комнатной температуры и распределяют между водой и этилацетатом. Органический слой промывают насыщенным раствором соли, затем сушат над сульфатом магния и концентрируют при пониженном давлении. Полученный остаток промывают смесью гексан:этилацетат с получением неочищенного (1,13 г) этилового эфира (2R,4S)-2-этил-6-метокси-4-(9-метил-5-оксо-5,7,8,9-тетрагидропиримидо[4,5-e][1,4]оксазепин-2-ил)амино-3,4-дигидро-2Н-[1,5]нафтиридин-1-карбоновой кислоты. MC (m/z): 457 [М+Н]+.
(4) Неочищенный (500 мг) этиловый эфир (2R,4S)-2-этил-6-метокси-4-(9-метил-5-оксо-5,7,8,9-тетрагидропиримидо[4,5-e][1,4]оксазепин-2-ил)амино-3,4-дигидро-2Н-[1,5]нафтиридин-1-карбоновой кислоты растворяют в N,N-диметилформамиде (10 мл) и к раствору добавляют гидрид натрия (62,7%, 46 мг) при охлаждении на льду. Смесь перемешивают в течение 10 минут и затем добавляют 3,5-бис(трифтор)бензилбромид (0,3 мл). Полученную смесь перемешивают при комнатной температуре в течение 15 часов. Реакционный раствор распределяют между водой и диэтиловым эфиром при охлаждении на льду. Органический слой промывают насыщенным раствором соли, затем сушат над сульфатом магния и концентрируют при пониженном давлении. Полученный остаток очищают колоночной хроматографией (силикагель; гексан:этилацетат=1:1 1:4) с получением этилового эфира (2R,4S)-4-{[3,5-бис(трифторметил)бензил]-(9-метил-5-оксо-5,7,8,9-тетрагидропиримидо[4,5-e][1,4]оксазепин-2-ил)амино-2-этил-6-метокси-3,4-дигидро-2Н-[1,5]нафтиридин-1-карбоновой кислоты (331,3 мг). MC (m/z): 683 [М+Н]+.
Пример 398

Соответствующее исходное соединение обрабатывают аналогично примеру 36 с получением соединения 398. MC (m/z): 701 [М+Н]+.
Пример 399
(1) 5-бром-2,4-дихлорпиримидин (500 мг) растворяют в тетрагидрофуране (10 мл) и к раствору добавляют гидрид натрия (62,7%, 92,2 мг) при охлаждении на льду. Смесь перемешивают в течение 10 минут и добавляют бензиловый спирт (236,8 мг) и несколько капель N,N-диметилформамида. Смесь перемешивают при комнатной температуре в течение 21 часа, нагревают при 80°С и перемешивают в течение 3,5 часов. Реакционный раствор охлаждают до комнатной температуры и распределяют между водой и диэтиловым эфиром. Органический слой промывают насыщенным раствором соли, затем сушат над сульфатом магния и концентрируют при пониженном давлении. Полученный остаток очищают колоночной хроматографией (силикагель; гексан:этилацетат=9:1 4:1) и элюат сушат при пониженном давлении, затем остаток растворяют в 1,4-диоксане (10 мл) и добавляют этиловый эфир (2R,4S)-4-амино-2-этил-6-метокси-3,4-дигидро-2Н-[1,5]нафтиридин-1-карбоновой кислоты (300 мг) и диизопропилэтиламин (0,52 мл). Полученную смесь нагревают при 80°С и перемешивают в течение 4 часов. Реакционный раствор охлаждают до комнатной температуры и распределяют между водой и диэтиловым эфиром. Органический слой промывают насыщенным раствором соли, затем сушат над сульфатом магния и концентрируют при пониженном давлении. Полученный остаток очищают колоночной хроматографией (силикагель; гексан:этилацетат=9:1 7:3), элюат сушат при пониженном давлении, затем остаток растворяют в ацетонитриле (6 мл) и к раствору добавляют гидрид натрия (62,7%, 23 мг) при охлаждении на льду. Смесь перемешивают в течение 10 минут и затем добавляют 3,5-бис(трифтор)бензилбромид (0,15 мл). Полученную смесь перемешивают при комнатной температуре в течение 14,5 часов. Реакционный раствор распределяют между водой и диэтиловым эфиром. Органический слой промывают насыщенным раствором соли, затем сушат над сульфатом магния и концентрируют при пониженном давлении. Полученный остаток очищают колоночной хроматографией (силикагель; гексан:этилацетат=9:1 4:1) с получением этилового эфира (2R,4S)-4-{(4-бензилокси-5-бромпиримидин-2-ил)-[3,5-бис(трифторметил)бензил]]амино-2-этил-6-метокси-3,4-дигидро-2Н-[1,5]нафтиридин-1-карбоновой кислоты (45 мг). MC (m/z): 768/770 [М+Н]+.
(2) Этиловый эфир (2R,4S)-4-{(4-бензилокси-5-бромпиримидин-2-ил)-[3,5-бис(трифторметил)бензил]]амино-2-этил-6-метокси-3,4-дигидро-2Н-[1,5]нафтиридин-1-карбоновой кислоты (40 мг) растворяют в толуоле (1 мл) и к раствору добавляют морфолин (10,6 мкл), трис(дибензилиденацетон)дипалладий (11,0 мг), 2-(ди-трет-бутилфосфино)бифенил (14,3 мг) и трет-бутоксид натрия (11,6 мг). Полученную смесь перемешивают при комнатной температуре в течение 30 минут в атмосфере азота, затем нагревают при 80°С в течение 7 часов. Реакционный раствор охлаждают до комнатной температуры и распределяют между водой и диэтиловым эфиром. Органический слой промывают насыщенным раствором соли, затем сушат над сульфатом магния и концентрируют при пониженном давлении. Полученный остаток очищают NH-колоночной хроматографией ((силикагель; гексан:этилацетат=9:1 3:1) с получением этилового эфира (2R,4S)-4-{[4-бензилокси-5-(морфолин-4-илпиримидин-2-ил)-[3,5-бис(трифторметил)бензил]]амино-2-этил-6-метокси-3,4-дигидро-2Н-[1,5]нафтиридин-1-карбоновой кислоты (12,6 мг). MC (m/z): 775 [М+Н]+.
(3) Этиловый эфир (2R,4S)-4-{[4-бензилокси-5-(морфолин-4-илпиримидин-2-ил)-[3,5-бис(трифторметил)бензил]]амино-2-этил-6-метокси-3,4-дигидро-2Н-[1,5]нафтиридин-1-карбоновой кислоты (10 мг) растворяют в растворе (1 мл) смеси тетрагидрофуран:метанол=1:1 и к раствору добавляют 10% палладий на угле (5 мг). Полученную смесь перемешивают при комнатной температуре в течение 18 часов в атмосфере водорода. Реакционный раствор фильтруют и фильтрат концентрируют при пониженном давлении. Полученный остаток очищают колоночной хроматографией (силикагель; хлороформ:метанол=1:0 9:1) с получением этилового эфира (2R,4S)-4-{[3,5-бис(трифторметил)бензил]-[4-гидрокси-5-(морфолин-4-ил)пиримидин-2-ил]}амино-2-этил-6-метокси-3,4-дигидро-2Н-[1,5]нафтиридин-1-карбоновой кислоты (8,3 мг). MC (m/z): 685 [М+Н]+.
Пример 400

Соответствующее исходное соединение обрабатывают аналогично примеру 322 с получением соединения 400. MC (m/z): 672 [М+Н]+.
Пример 401
(1) Этиловый эфир (2R,4S)-4-{[3,5-бис(трифторметил)бензил]-[5-(2-карбоксиэтил)-4-гидроксипиримидин-2-ил]}амино-2-этил-6-метокси-3,4-дигидро-2Н-[1,5]нафтиридин-1-карбоновой кислоты (155 мг) растворяют в тетрагидрофуране (2,5 мл) и к раствору добавляют триэтиламин (192 мкл) и этилхлоркарбонат (132 мкл) при охлаждении на льду. Смесь перемешивают при комнатной температуре в течение 1,5 часов и затем добавляют боргидрид натрия (87,3 мг) при охлаждении на льду. Смесь перемешивают при комнатной температуре в течение 2 часов. Реакционный раствор распределяют между водой и метиленхлоридом при охлаждении на льду. Органический слой промывают 1н. HCl и насыщенным раствором соли, затем сушат над сульфатом магния и концентрируют при пониженном давлении. Полученный остаток очищают колоночной хроматографией (силикагель; хлороформ:метанол=1:0 19:1) с получением этилового эфира (2R,4S)-4-{[3,5-бис(трифторметил)бензил]-[4-этоксикарбонилокси-5-(3-гидроксипропокси)пиримидин-2-ил]}амино-2-этил-6-метокси-3,4-дигидро-2Н-[1,5]нафтиридин-1-карбоновой кислоты (59 мг). MC (m/z): 730 [М+Н]+.
(2) Этиловый эфир (2R,4S)-4-{[3,5-бис(трифторметил)бензил]-[4-этоксикарбонилокси-5-(3-гидроксипропил)пиримидин-2-ил]}амино-2-этил-6-метокси-3,4-дигидро-2Н-[1,5]нафтиридин-1-карбоновой кислоты (50 мг) растворяют в этаноле (1 мл) и к раствору добавляют 5н. водный раствор NaOH (1 мл). Полученную смесь перемешивают при комнатной температуре в течение 2 часов. Реакционный раствор распределяют, добавляя 6н. HCl при охлаждении на льду, и концентрируют при пониженном давлении. Полученный остаток очищают колоночной хроматографией (силикагель; гексан:этилацетат=7:3 1:1) с получением этилового эфира (2R,4S)-4-{[3,5-бис(трифторметил)бензил]-[4-гидрокси-5-(3-гидроксипропил)пиримидин-2-ил]}амино-2-этил-6-метокси-3,4-дигидро-2Н-[1,5]нафтиридин-1-карбоновой кислоты (24 мг). MC (m/z): 658 [М+Н]+.
Пример 402
Этиловый эфир (2R,4S)-4-{(4-бензилокси-5-бромпиримидин-2-ил)-[3,5-бис(трифторметил)бензил]}амино-2-этил-6-метокси-3,4-дигидро-2Н-[1,5]нафтиридин-1-карбоновой кислоты (300 мг) растворяют в толуоле (2 мл) и к раствору добавляют 2-метиламиноэтанол (73 мкл), трис(дибензилиденацетон)дипалладий (82 мг), 2-(ди-трет-бутилфосфино)бифенил (107 мг) и трет-бутоксид натрия (109 мг). Полученную смесь перемешивают при комнатной температуре в течение 30 минут в атмосфере азота, затем нагревают при 80°С и перемешивают в течение 17,5 часов. Реакционный раствор охлаждают до комнатной температуры и добавляют воду и диэтиловый эфир. Органический слой промывают насыщенным раствором соли, затем сушат над сульфатом магния и концентрируют при пониженном давлении. Полученный остаток очищают колоночной хроматографией (силикагель; гексан:этилацетат=9:1 1:1) с получением неочищенного (130 мг) этилового эфира (2R,4S)-4-{(4-бензилоксипиримидин-2-ил)-[3,5-бис(трифторметил)бензил]}амино-2-этил-6-метокси-3,4-дигидро-2Н-[1,5]нафтиридин-1-карбоновой кислоты. MC (m/z): 690 [М+Н]+.
(2) Неочищенный (120 мг) этиловый эфир (2R,4S)-4-{(4-бензилоксипиримидин-2-ил)-[3,5-бис(трифторметил)бензил]}амино-2-этил-6-метокси-3,4-дигидро-2Н-[1,5]нафтиридин-1-карбоновой кислоты растворяют в растворе (10 мл) смеси тетрагидрофуран:метанол=1:1 и к раствору добавляют 10% палладий на угле (60 мг). Смесь перемешивают при комнатной температуре в течение 34,5 часов в атмосфере водорода. Реакционный раствор фильтруют и фильтрат концентрируют при пониженном давлении. Полученный остаток очищают колоночной хроматографией (силикагель; хлороформ:метанол=1:0 9:1) с получением этилового эфира (2R,4S)-4-{[3,5-бис(трифторметил)бензил]-(4-гидроксипиримидин-2-ил)}амино-2-этил-6-метокси-3,4-дигидро-2Н-[1,5]нафтиридин-1-карбоновой кислоты (72,4 мг). MC (m/z): 600 [М+Н]+.
Пример 403
Этиловый эфир (2R,4S)-4-{[3,5-бис(трифторметил)бензил]-(4-гидроксипиримидин-2-ил)}амино-2-этил-6-метокси-3,4-дигидро-2Н-[1,5]нафтиридин-1-карбоновой кислоты (85 мг) растворяют в ацетоне (3 мл) и к раствору добавляют карбонат калия (98,1 мг) и паратолуолсульфонилхлорид (32,4 мг). Смесь перемешивают при комнатной температуре в течение 2 часов. Реакционный раствор концентрируют при пониженном давлении и распределяют между водой и диэтиловым эфиром. Органический слой промывают насыщенным раствором соли, затем сушат над сульфатом магния и концентрируют при пониженном давлении. Полученный остаток растворяют в 1,4-диоксане (3 мл) и к раствору добавляют диизопропилэтиламин (0,5 мл) и (2-метоксиэтил)метиламин (15,15 мг). Полученную смесь нагревают при 50°С и перемешивают в течение 3 часов, затем нагревают при 100°С и перемешивают в течение 16,5 часов. Реакционный раствор охлаждают до комнатной температуры и добавляют 1н. HCl и диэтиловый эфир для распределения. Органический слой промывают насыщенным раствором соли, затем сушат над сульфатом магния и концентрируют при пониженном давлении. Полученный остаток очищают колоночной хроматографией (силикагель; гексан:этилацетат=9:1 7:3) с получением этилового эфира (2R,4S)-4-{[3,5-бис(трифторметил)бензил]-{4-[(2-метоксиэтил)метиламино]пиримидин-2-ил})амино-2-этил-6-метокси-3,4-дигидро-2Н-[1,5]нафтиридин-1-карбоновой кислоты (68 мг). MC (m/z): 671 [М+Н]+.
Пример 404

Соответствующее исходное соединение обрабатывают аналогично примеру 403 с получением соединения 404. MC (m/z): 741 [М+Н]+.
Пример 405

Соответствующее исходное соединение обрабатывают аналогично примеру 242 (2) с получением соединения 405. MC (m/z): 685 [М+Н]+.
Пример 406

Соответствующее исходное соединение обрабатывают аналогично примеру 270 с получением соединения 406. MC (m/z): 686 [М+Н]+.
Пример 407

Соответствующее исходное соединение обрабатывают аналогично примеру 93 с получением соединения 407. MC (m/z): 674 [М+Н]+.
Пример 408
(1) Этиловый эфир (2R,4S)-4-{[3,5-бис(трифторметил)бензил]-(5-бромпиримидин-2-ил)}амино-2-этил-6-метокси-3,4-дигидро-2Н-[1,5]нафтиридин-1-карбоновой кислоты (10 г) растворяют в толуоле (50 мл) и к раствору добавляют трис(дибензилиденацетон)дипалладий (1,4 г), 2-(ди-трет-бутилфосфино)бифенил (901 мг), трет-бутоксид натрия (3,1 г) и морфолин (2,6 мл). Полученную смесь перемешивают при комнатной температуре в течение 16 часов. Реакционный раствор распределяют между водой и этилацетатом. Органический слой промывают насыщенным раствором соли, затем сушат над сульфатом магния и концентрируют при пониженном давлении. Полученный остаток очищают колоночной хроматографией (силикагель; гексан:этилацетат=4:1 1:1) с получением этилового эфира (2R,4S)-4-{[3,5-бис(трифторметил)бензил]-[5-(морфолин-4-ил)пиримидин-2-ил]}амино-2-этил-6-метокси-3,4-дигидро-2Н-[1,5]нафтиридин-1-карбоновой кислоты (9,84 г). MC (m/z): 669 [М+Н]+.
(2) Этиловый эфир (2R,4S)-4-{[3,5-бис(трифторметил)бензил]-[5-(морфолин-4-ил)пиримидин-2-ил]}амино-2-этил-6-метокси-3,4-дигидро-2Н-[1,5]нафтиридин-1-карбоновой кислоты (2,5 г) растворяют в смеси тетрагидрофуран:этанол (1:1, 20 мл) и к раствору добавляют гидроксид натрия (1,5 г). Смесь перемешивают при 85°С в течение 16 часов. Реакционный раствор охлаждают до комнатной температуры и затем распределяют между водой и диэтиловым эфиром. Органический слой промывают насыщенным раствором соли, затем сушат над сульфатом магния и концентрируют при пониженном давлении. Полученный остаток очищают колоночной хроматографией (NH-силикагель; гексан:этилацетат=9:1 7:3) с получением (2R,4S)-4-{[3,5-бис(трифторметил)бензил]-[5-(морфолин-4-ил)пиримидин-2-ил]}амино-2-этил-6-метокси-1,2,3,4-тетрагидро[1,5]нафтиридина (1,45 г). MC (m/z): 597 [М+Н]+.
(3) (2R,4S)-4-{[3,5-бис(трифторметил)бензил]-[5-(морфолин-4-ил)пиримидин-2-ил]}амино-2-этил-6-метокси-1,2,3,4-тетрагидро[1,5]нафтиридин (160 мг) растворяют в дихлорметане (1,5 мл) и к раствору добавляют триэтиламин (93 мкл) и трифосген (62 мг). Смесь перемешивают при комнатной температуре в течение 30 минут. Реакционный раствор концентрируют при пониженном давлении и добавляют диэтиловый эфир. Нерастворимые вещества удаляют фильтрованием и фильтрат концентрируют при пониженном давлении. Полученный остаток растворяют в тетрагидрофуране (1,5 мл) и к раствору добавляют 60% гидрид натрия (32 мг) и этиловый эфир 2,2-дифтор-3-гидроксипропионовой кислоты (123 мг) при охлаждении на льду. Полученную смесь перемешивают при комнатной температуре в течение 1,5 часов. Реакционный раствор распределяют между водой и диэтиловым эфиром. Органический слой промывают насыщенным раствором соли, затем сушат над сульфатом магния и концентрируют при пониженном давлении. Полученный неочищенный продукт растворяют в смеси тетрагидрофуран:метанол (1:1, 3 мл) и к раствору добавляют 2н. водный раствор NaOH (0,5 мл). Смесь перемешивают при комнатной температуре в течение 1 часа. К реакционному раствору добавляют 1н. HCl (1,0 мл). Органический слой промывают насыщенным раствором соли, затем сушат над сульфатом магния и концентрируют при пониженном давлении. Полученный остаток очищают колоночной хроматографией (силикагель; хлороформ:метанол=1:0 9:1) с получением 2-карбокси-2,2-дифторэтилового эфира (2R,4S)-4-{[3,5-бис(трифторметил)бензил]-[5-(морфолин-4-ил)пиримидин-2-ил]}амино-2-этил-6-метокси-3,4-дигидро-2Н-[1,5]нафтиридин-1-карбоновой кислоты (150 мг). MC (m/z): 749 [М+Н]+.
Пример 409

Соответствующее исходное соединение обрабатывают аналогично примеру 408 с получением соединения 409. MC (m/z): 741 [М+Н]+.
Пример 410
(1) (2R,4S)-4-{[3,5-бис(трифторметил)бензил]-[5-(морфолин-4-ил)пиримидин-2-ил]}амино-2-этил-6-метокси-1,2,3,4-тетрагидро-2Н-[1,5]нафтиридин (290 мг) растворяют в дихлорметане (1,5 мл) и к раствору добавляют триэтиламин (203 мл) и трифосген (145 мг). Полученную смесь перемешивают при комнатной температуре в течение 15 минут. Реакционный раствор концентрируют при пониженном давлении и затем нерастворимые вещества удаляют фильтрованием с использованием тетрагидрофурана и фильтрат концентрируют при пониженном давлении. Полученный остаток растворяют в тетрагидрофуране (1,5 мл) и к раствору добавляют 60% гидрид натрия (20 мг) и трет-бутиловый эфир 3-гидроксипропионовой кислоты (72 мкл) при охлаждении на льду. Смесь перемешивают при комнатной температуре в течение 1,5 часов. Реакционный раствор распределяют между водой и этилацетатом. Органический слой промывают насыщенным раствором соли, затем сушат над сульфатом магния и концентрируют при пониженном давлении. Полученный остаток очищают колоночной хроматографией (силикагель; гексан:этилацетат=4:1 1:1) с получением 2-трет-бутоксикарбонилэтилового эфира (2R,4S)-4-{[3,5-бис(трифторметил)бензил]-[5-(морфолин-4-ил)пиримидин-2-ил]}амино-2-этил-6-метокси-3,4-дигидро-2Н-[1,5]нафтиридин-1-карбоновой кислоты (180 мг). MC (m/z): 769 [М+Н]+.
(2) К 2-трет-бутоксикарбонилэтиловому эфиру (2R,4S)-4-{[3,5-бис(трифторметил)бензил]-[5-(морфолин-4-ил)пиримидин-2-ил]}амино-2-этил-6-метокси-3,4-дигидро-2Н-[1,5]нафтиридин-1-карбоновой кислоты (165 мг) добавляют раствор 4н. HCl-этилацетат (2 мл) и полученную смесь перемешивают в течение 1,5 часов. Реакционный раствор концентрируют и полученный остаток распределяют между водой и этилацетатом. Органический слой промывают насыщенным раствором соли, затем сушат над сульфатом магния и концентрируют при пониженном давлении. Полученный остаток очищают колоночной хроматографией (силикагель; хлороформ:метанол=1:0 9:1) с получением 2-карбоксиэтилового эфира (2R,4S)-4-{[3,5-бис(трифторметил)бензил]-[5-(морфолин-4-ил)пиримидин-2-ил]}амино-2-этил-6-метокси-3,4-дигидро-2Н-[1,5]нафтиридин-1-карбоновой кислоты (145 мг). MC (m/z): 713 [М+Н]+.
Ссылочный пример 1
2-(бензилокси)этанол (0,75 мл) растворяют в N,N-диметилформамиде (3 мл) и добавляют по каплям к раствору гидрида натрия (400 мг) в N,N-диметилформамиде при охлаждении на льду. Смесь перемешивают в течение 40 минут. К реакционному раствору добавляют хлоруксусную кислоту (500 мг) при охлаждении на льду и полученную смесь перемешивают при комнатной температуре в течение 1 дня. К реакционному раствору добавляют смесь воды со льдом и экстрагируют этилацетатом. К водному слою добавляют 6н. HCl, раствор доводят до рН 2 и экстрагируют этилацетатом. Органический слой промывают насыщенным раствором соли, затем сушат над сульфатом магния и концентрируют при пониженном давлении с получением 2-(бензилокси)этоксиуксусной кислоты (895 мг). MC (m/z): 211 [М+Н]+.
Ссылочный пример 2
(1) 5-бром-2-хлорпиримидин (5 г) растворяют в 1,4-диоксане (100 мл) и к раствору добавляют диизопропилэтиламин (0,81 мл) и морфолин (4,5 мл). Полученную смесь нагревают при 60°С в токе азота и перемешивают в течение 4 часов. К полученной смеси добавляют дистиллированную воду и экстрагируют эфиром. Органический слой промывают насыщенным раствором соли, затем сушат над сульфатом магния и концентрируют при пониженном давлении. Полученный остаток очищают колоночной хроматографией (силикагель; гексан:этилацетат=19:1 9:1) с получением 4-(5-бромпиримидин-2-ил)морфолина (6,74 г). MC (m/z): 244/246 [М+Н]+.
(2) 4-(5-бромпиримидин-2-ил)морфолин (3 г) растворяют в 1,4-диоксане (60 мл) и к раствору добавляют иодид меди (700 мг), иодид натрия (22 г), N,N’-диметилэтан-1,2-диамин (0,8 мл). Полученную смесь нагревают при 110°С и перемешивают в течение 6 дней. К смеси добавляют дистиллированную воду и экстрагируют эфиром. Органический слой промывают насыщенным раствором соли, сушат над сульфатом магния и затем концентрируют при пониженном давлении. Полученный остаток очищают колоночной хроматографией (силикагель; гексан:этилацетат=19:1 7:3) в качестве элюирующего растворителя с получением 4-(5-иодпиримидин-2-ил)морфолина (2,33 г). MC (m/z): 292 [М+Н]+.
Ссылочный пример 3
(S)-1-фенилэтиловый спирт (1,0 г) и 1,1′-карбонилдиимидазол (1,33 г) растворяют в тетрагидрофуране (20 мл) и полученную смесь перемешивают при 80°С в течение 2 часов. К реакционному раствору добавляют этиловый эфир (2R*,4S*)-4-амино-2-этил-6-метокси-3,4-дигидро-2Н-[1,5]нафтиридин-1-карбоновой кислоты (1,91 г) и триэтиламин (1,14 мл) и полученную смесь кипятят с обратным холодильником в течение 3 дней. Реакционный раствор распределяют между этилацетатом и насыщенным водным раствором бикарбоната натрия, затем органический слой промывают насыщенным раствором соли, сушат над сульфатом магния и затем концентрируют при пониженном давлении. Остаток очищают колоночной хроматографией (силикагель; гексан:этилацетат=90:10 70:30). Полученную смесь диастереомеров перекристаллизовывают из гексана с получением этилового эфира (2R,4S)-2-этил-6-метокси-4-((S)-1-фенилэтоксикарбониламино)-3,4-дигидро-2Н-[1,5]нафтиридин-1-карбоновой кислоты (345 мг). Данные физических свойств являются такими же, как для соединения, полученного в примере 2 (3).
Ссылочный пример 4
(1) К водному раствору (1000 мл) азида натрия (157,6 г) добавляют по каплям раствор (605 мл) акрилилхлорида (182,4 мл) в толуоле при охлаждении на льду. Полученную смесь перемешивают при той же температуре в течение 3 часов. К смеси добавляют насыщенный водный раствор бикарбоната натрия, органический слой промывают насыщенным раствором соли и сушат над сульфатом магния. Полученный раствор в толуоле добавляют по каплям в смесь (S)-1-фенилэтилового спирта (268 мл), пиридина (81,5 мл) и гидрохинона (12,21 г), которую нагревают до 85°С, и полученную смесь перемешивают при той же температуре в течение 2 часов. К полученной смеси добавляют насыщенный водный раствор бикарбоната натрия и органический слой промывают насыщенным раствором соли, сушат над сульфатом натрия и затем концентрируют при пониженном давлении. Полученный остаток очищают колоночной хроматографией (силикагель; гексан:этилацетат=10:1 8:1) с получением (S)-1-фенилэтилового эфира винилкарбаминовой кислоты (240,2 г). MC (m/z): 191 [М+Н]+.
(2) {[1-(бензотриазол-1-ил)пропил]-6-метоксипиридин-3-ил)}амин (218 г), (S)-1-фенилэтилового эфир винилкарбаминовой кислоты (147,1 г) и моногидрат п-толуолсульфоновой кислоты (1,47 г) растворяют в толуоле (2,88 л) и полученную смесь перемешивают в течение ночи при 85°С. После охлаждения до комнатной температуры при стоянии к смеси добавляют насыщенный водный раствор бикарбоната натрия и этилацетат. Органический слой промывают насыщенным раствором соли, сушат над сульфатом магния и затем концентрируют при пониженном давлении. Полученный остаток очищают колоночной хроматографией (силикагель; гексан:этилацетат=3:1 1:1). К полученной смеси диастереомеров добавляют смесь гексан/этилацетат (4:1). Смеси дают стоять и осажденные кристаллы выделяют фильтрованием с получением (S)-1-фенилэтилового эфира (2R,4S)-2-этил-6-метокси-1,2,3,4-тетрагидро-2Н-[1,5]нафтиридин-4-ил)карбаминовой кислоты (69,0 г). MC (m/z): 356 [М+Н]+.
Фильтрат концентрируют при пониженном давлении для использования в следующем процессе (3).
(3) Концентрат (194,7 г), полученный в (2), описанном выше, и пиридин (183 мл) растворяют в метиленхлориде (1,65 л). К полученной смеси добавляют по каплям раствор (540 мл) этилхлорформиата (180 мл) в метиленхлориде при охлаждении на льду и перемешивают при той же температуре в течение 2 часов. Реакционный раствор промывают 10% водным раствором лимонной кислоты и насыщенным раствором соли, затем сушат над сульфатом натрия и концентрируют при пониженном давлении. Полученный остаток очищают колоночной хроматографией (силикагель; гексан:этилацетат=4:1) и полученное соединение перекристаллизовывают из гексана (350 мл) с получением этилового эфира (2R,4S)-2-этил-6-метокси-4-((S)-1-фенилэтоксикарбониламино)-3,4-дигидро-2Н-[1,5]нафтиридин-1-карбоновой кислоты (133 г). Данные физических свойств являются такими же, как для соединения, полученного в примере 2 (3).
Ссылочный пример5
Трет-бутилакрилат (4.4 мл) растворяют в метаноле (5 мл) и к раствору добавляют 2-метоксиэтиламин (3,1 мл). Полученную смесь перемешивают при комнатной температуре в течение 3 часов. Реакционный раствор концентрируют при пониженном давлении. Полученный остаток очищают перегонкой при пониженном давлении с получением трет-бутил-3-(2-метоксиэтиламино)пропионата (4,61 г). Т.кип. 98,0-102,0°С (5,8 мм рт.ст.). MC (m/z): 204 [М+Н]+.
Ссылочный пример 6
Этиловый эфир (2R,4S)-4-{[3,5-бис(трифторметил)бензил]-(5-бромпиримидин-2-ил)}амино-2-этил-6-метокси-3,4-дигидро-2Н-[1,5]нафтиридин-1-карбоновой кислоты (8,0 г), [1,1′-бис(дифенилфосфино)ферроцен]дихлорпалладий (265 мг), ацетат калия (3,56 г) и бис(пинаколато)дибор (4,6 г) растворяют в диметилсульфоксиде (50 мл), смесь нагревают при 80°С в атмосфере азота и перемешивают в течение 1 часа. После охлаждения до комнатной температуры реакционную смесь распределяют между водой и этилацетатом. Органический слой промывают насыщенным раствором соли, сушат над сульфатом магния и затем концентрируют при пониженном давлении. Полученный остаток растворяют в тетрагидрофуране (80 мл) и к раствору добавляют по каплям 30% раствор пероксида водорода (80 мл) при охлаждении на льду. Спустя 1 час к смеси добавляют насыщенный водный раствор тиосульфата натрия при охлаждении на льду для разрушения избытка пероксида водорода. Полученную смесь распределяют между водой и этилацетатом. Органический слой промывают насыщенным раствором соли, сушат над сульфатом магния и затем концентрируют при пониженном давлении. Полученный остаток очищают колоночной хроматографией (силикагель; гексан:этилацетат=19:1 3:1) с получением этилового эфира (2R,4S)-4-{[3,5-бис(трифторметил)бензил]-(5-гидроксипиримидин-2-ил)}амино-2-этил-6-метокси-3,4-дигидро-2Н-[1,5]нафтиридин-1-карбоновой кислоты (4,41 г). Данные физических свойств являются такими же, как для соединения, полученного в примере 83.
Формула изобретения
1. Соединение формулы (I)
 где R1 означает С1-6алкоксикарбонильную группу, необязательно замещенную 1-5 заместителями, независимо выбранными из гидроксигруппы, карбоксильной группы, С1-6алкоксигруппы, С1-6алкилтиогруппы, С1-6алкилсульфонильной группы, С2-6алкенильной группы, С1-6алканоиламиногруппы, атома галогена и С3-10циклоалкильной группы; карбамоильную группу, необязательно замещенную С1-6алкоксигруппой; дигидрооксазолильную группу, необязательно замещенную 1-2 гидрокси C1-6алкильными группами; моно- или ди-С1-6алкилкарбамоильную группу, необязательно замещенную 1-5 заместителями, независимо выбранными из атома галогена и гидроксигруппы; С1-6алкильную группу, необязательно замещенную 1-5 С1-6алкоксикарбонильными группами; или С1-6алканоильную группу, необязательно замещенную 1-5 морфолильными группами; R2 означает С1-6алкильную группу; R3 означает атом водорода; R4 означает С1-4алкиленовую группу; R5 означает ненасыщенную 5-8-членную гетероциклическую группу, содержащую 1-4 гетероатома, независимо выбранных из атомов кислорода и азота, где ненасыщенная 5-8-членная гетероциклическая группа, содержащая 1-4 гетероатома, независимо выбранных из атомов кислорода и азота, представляет собой пиримидинильную группу, пиридильную группу, тетразолильную группу, оксадиазолильную группу, пиразинильную группу или оксазолильную группу; где указанная гетероциклическая группа необязательно замещена 1-4 заместителями, выбранными из следующих групп: атома галогена; оксогруппы; гидроксигруппы; цианогруппы; карбоксильной группы; сульфогруппы; С1-6алкильной группы, необязательно замещенной группой, выбранной из цианогруппы, гидроксигруппы, карбоксильной группы, С1-6алкоксикарбонильной группы, карбамоильной, сульфогруппы, сульфамоильной группы, моно- или ди- C1-6алкилкарбамоильной группы, С1-6алкоксигруппы (указанная С1-6алкоксигруппа необязательно замещена карбоксильной или гидрокси группой), С1-6алканоилоксигруппы, С1-6алкилсульфонильной группы, аминогруппы, моно- или ди-С1-6алкиламиногруппы, необязательно замещенной С1-6алкоксигруппой, пирролидинильной группы (указанная пирролидинильная группа необязательно замещена С1-6алкоксикарбонильной или карбоксильной группой), пиперидинильной группы, пиперазинильной группы, необязательно замещенной С1-6алкильной группой, и морфолинильной группы; С2-6алкенильной группы, необязательно замещенной группой, выбранной из цианогруппы, гидроксигруппы, карбоксильной группы, бензилоксикарбонильной группы и тетразолильной группы; C1-6алкоксигруппы, необязательно замещенной группой, выбранной из гидроксигруппы, карбоксильной группы, С1-6алкоксикарбонильной группы, карбамоильной группы, С1-6алкоксигруппы (указанная С1-6алкоксигруппа необязательно замещена гидрокси группой), С1-6алкилтиогруппы, С1-6алкилсульфонильной группы, C1-6алкилсульфинильной группы, диоксоланильной группы, необязательно замещенной С1-6алкильной группой, пирролидинильной группы (указанная пирролидинильная группа необязательно замещена оксогруппой), моно- или ди- С1-6алкилкарбамоильной группы, необязательно замещенной гидроксигруппой, пиримидинильной группы, пиридильной группы и морфолинилкарбонильной группы; С1-6алкоксикарбонильной группы; карбамоильной группы; моно- или ди- С1-6алкилкарбамоильной группы, необязательно замещенной группой, выбранной из карбоксильной группы, морфолинильной группы, гидроксигруппы и С1-6алкоксигруппы; гидроксикарбамимидоильной группы; С1-6алкилтиогруппы, необязательно замещенной группой, выбранной из гидроксигруппы, карбоксильной группы и моно- или ди- С1-6алкилкарбамоильную группы; С1-6алкилсульфонильной группы, необязательно замещенной группой, выбранной из гидроксигруппы, С1-6алкоксикарбонильной группы и моно-или ди- С1-6алкилкарбамоильную группы; аминогруппы; моно- или ди-С1-6алкиламиногруппы, необязательно замещенной группой, выбранной из гидроксигруппы, карбоксильной группы, С1-6алкоксикарбонильной группы и морфолинильной группы; моно- или ди-С1-6алканоиламиногруппы, необязательно замещенной группой, выбранной из гидроксигруппы, С1-6алкоксигруппы, карбоксильной группы и аминогруппы; моно- или ди- С1-6алкилкарбамоил аминогруппы, необязательно замещенной С1-6алкоксигруппой; морфолинилкарбониламиногруппы; сульфамоильной группы; С1-6алканоильной группы; С1-6алкоксикарбониламиногруппы, необязательно замещенной карбоксильной группой, гидроксигруппой или С1-6алкоксикарбонильной группой; или группы, выбранной из следующих групп:
, , , ,
, , , 
и  где X1 и X3 означают независимо СН2, NH или О; X2 и X5 означают независимо СН2; X4 означает NH, О или SO; n, о, р, q и r равны независимо целому числу 1-3, где каждая группа приведенных выше формул необязательно замещена заместителями, выбранными из следующих групп: карбоксильной группы, гидроксигруппы, цианогруппы, оксогруппы, C1-6алкильной группы, гидроксиС1-6алкильной группы, С1-6алкоксикарбонил С1-6алкильной группы, карбоксиС1-6алкильной группы, фенилС1-6алкильной группы, С1-6алканоильной группы, С1-6алкоксиС1-6алканоильной группы, С1-6алкоксигруппы, фенилС1-6алкоксигруппы, С1-6алкоксикарбонильной группы, бензилоксикарбонильной группы, моно- или ди-С1-6алкиламиногруппы, моно- или ди-С1-6алкилкарбамоильной группы, моно- или ди-С1-6алкилсульфамоильной группы, С1-6алкилсульфонильной группы, дигидрооксазолильной группы, необязательно замещенной оксогруппой, и тетразолильной группы; R6, R7 и R8 означают независимо атом водорода, гидроксигруппу, цианогруппу, С1-6алкильную группу, С1-6алкоксигруппу, моно- или ди- С1-6алкилкарбамоильную группу или моно- или ди-С1-6алкиламиногруппу, где указанные группы С1-6алкил, С1-6алкокси, моно- или ди- С1-6алкилкарбамоил и моно- или ди-С1-6алкиламино необязательно замещены 1-6 заместителями, независимо выбранными из атома галогена, С1-6алкоксигруппы и аминогруппы; R10 означает фенильную группу, где указанная фенильная группа необязательно замещена 1-2 заместителями, независимо выбранными из атома галогена, карброксильной группы, С1-6алкоксикарбонильной группы, С1-6алкильной группы, С1-6алкоксигруппы, цианогруппы и С1-6алкилтиогруппы, где указанные С1-6алкильная группа, С1-6алкоксигруппа и С1-6алкилтиогруппа необязательно замещены атомами галогена; или его фармацевтически приемлемая соль.
2. Соединение по п.1, где R1 означает С1-6алкоксикарбонильную группу, необязательно замещенную 1-5 заместителями, независимо выбранными из карбоксильной группы, атома галогена, гидроксигруппы и С3-10циклоалкильной группы; где R5 означает группу формулы:
 кольцо А означает пиримидинильную, тетразолильную группу или пиридильную группу; R11 означает С1-6алкильную группу, необязательно замещенную карбоксильной группой, карбоксиС2-6алкенильную группу; C1-6алкоксигруппу, необязательно замещенную группой, выбранной из гидроксигруппы, карбоксильной группы, С1-6алкилтиогруппы и С1-6алкилсульфонильной группы; моно- или ди- С1-6алкиламиногруппу, необязательно замещенную карбоксильной группой; гидроксиС1-6алканоиламиногруппу; морфолинильную группу; пиперазинильную группу, необязательно замещенную С1-6алкильной группой или C1-6 алканоильной группой; или пиперидинильную группу, необязательно замещенную карбоксильной группой или гидроксигруппой; R6 означает С1-6алкильную группу, необязательно замещенную атомом галогена, С1-6алкоксигруппу или моно- или ди- С1-6алкиламиногруппу; и R7 означает атом водорода;
3. Соединение по п.2, где R1 означает этоксикарбонильную группу, гидроксиэтоксикарбонильную группу, 2-фторэтоксикарбонильную группу, 2,2-дифторэтоксикарбонильную группу или 2,2,2-трифторэтокси карбонильную группу; R2 означает этильную группу; R10 означает фенильную группу, замещенную 1-2 заместителями, выбранными из цианогруппы и трифторметильной группы; и R6 означает метоксигруппу или трифторметильную группу.
4. Соединение по п.2, где R1 означает карбокси(С1-6алкокси)карбонильную группу; R2 означает этильную группу; R10 означает фенильную группу, замещенную 1-2 заместителями, выбранными из цианогруппы и трифторметильной группы; и R6 означает метоксигруппу или трифторметильную группу.
5. Соединение, выбранное из следующих соединений, или его фармацевтически приемлемая соль: этиловый эфир (2R,4S)-4-{[3,5-бис(трифторметил)бензил]-[5-(морфолин-4-ил)пиримидин-2-ил]}амино-2-этил-6-метокси-3,4-дигидро-2Н-[1,5]нафтиридин-1-карбоновой кислоты; этиловый эфир (2R,4S)-4-{[3,5-бис(трифторметил)бензил]-[5-(2-метилсульфонилэтокси)пиримидин-2-ил]}амино-2-этил-6-метокси-3,4-дигидро-2Н-[1,5]нафтиридин-1-карбоновой кислоты; этиловый эфир (2R,4S)-4-{[3,5-бис(трифторметил)бензил]-[5-(4-карбоксипиперидин-1-ил)пиримидин-2-ил]}амино-2-этил-6-метокси-3,4-дигидро-2Н-[1,5]нафтиридин-1-карбоновой кислоты; этиловый эфир (2R,4S)-4-{[3,5-бис(трифторметил)бензил]-[5-(2-карбоксиэтокси)пиримидин-2-ил]}амино-2-этил-6-метокси-3,4-дигидро-2Н-[1,5]нафтиридин-1-карбоновой кислоты; этиловый эфир (2R,4S)-4-{[5-(4-ацетилпиперазин-1-ил)пиримидин-2-ил]-[3,5-бис(трифторметил)бензил]}амино-6-диметиламино-2-этил-3,4-дигидро-2Н-[1,5]нафтиридин-1-карбоновой кислоты; 2,2,2-трифторэтиловый эфир (2R,4S)-4-{[3,5-бис(трифторметил)бензил]-[5-(2-карбоксиэтил)пиримидин-2-ил]}амино-2-этил-6-метокси-3,4-дигидро-2Н-[1,5]нафтиридин-1-карбоновой кислоты; 2-карбокси-2-метилпропиловый эфир (2R,4S)-4-{[3,5-бис(трифторметил)бензил]-[5-(морфолин-4-ил)пиримидин-2-ил]}амино-2-этил-6-метокси-3,4-дигидро-2Н-[1,5]нафтиридин-1-карбоновой кислоты.
6. Способ получения производного тетрагидронафтиридина формулы (I)
 где символы R1, R2, R3, R4, R5, R6, R7, R8 и R10 имеют значения, определенные в п.1, и при этом не содержат первичных и вторичных аминогрупп, предусматривающий конденсацию соединения формулы (II)
 где каждый символ имеет значения, определенные выше, с соединением формулы (III):
 где Z1 означает отщепляемую группу, выбранную из атома галогена, метансульфонилоксигруппы, толуолсульфонилоксигруппы и трифторметансульфонилоксигруппы, и другие символы имеют определенные выше значения.
7. Способ получения смеси диастереомеров формулы (VII-a)
 где R15′ означает бензилоксикарбонильную группу, содержащую хиральный центр в положении бензила; R6 означает атом водорода, С1-6алкильную группу, необязательно замещенную атомом галогена, С1-6алкоксигруппу, цианогруппу или моно-или ди- С1-6алкиламиногруппу; и символы R2, R3, R7 и R8 имеют такие же значения, как определено в п.1, предусматривающий реакцию соединения формулы (IX)
 где каждый символ имеет такие же значения, как определено выше, с соединением формулы (VIII-a):
 где каждый символ имеет такие же значения, как определено выше.
8. Способ получения оптически активного соединения формулы (VII-b)
 где символы R2, R3, R7 и R8 имеют такие же значения, как определено в п.1, и R6 имеет такое же значение, как определено в п.7, предусматривающий реакцию соединения формулы (IX):
 где каждый символ имеет такие же значения, как определено выше, с соединением формулы (VIII-a):
 где R15′ означает оптически активную защитную группу для аминогруппы, выбранную из бензилоксикарбонильных групп, содержащих хиральный центр в положении бензила, таких как -метилбензилоксикарбонильная группа, и символ R3 имеет такие же значения, как определено выше, разделение полученной смеси диастереомеров формулы (VII-a)
 где каждый символ имеет такие же значения, как определено выше, и удаление оптически активной защитной группы для аминогруппы.
9. Способ по п.7, где соединение формулы (XII)
 где символы R2, R7 и R8 имеют такие же значения, как определено в п.1, и R6 имеет такое же значение, как определено в п.7, используют вместо соединения (IX)
 где каждый символ имеет такие же значения, как определено выше.
10. Способ по п.8, где соединение формулы (XII)
 где символы R2, R7 и R8 имеют такие же значения, как определено в п.1, и R6 имеет такое же значение, как определено в п.7, используют вместо соединения (IX)
 где каждый символ имеет такие же значения, как определено выше.
11. Способ ингибирования белка переноса холестерилового эфира, включающий контактирование указанного белка с эффективным количеством соединения по любому из пп.1-5.
12. Применение соединения по любому из пп.1-5 или его фармацевтически приемлемой соли для производства фармацевтической композиции, обладающей ингибирующим действием в отношении белка переноса холестерилового эфира.
|
|